Prognostic models  in  Infertility
Basic fertility work up   referral gyn History Physical examination Cycle evaluation Ovulation Semen analysis ? PCT Tubal p atency : CAT HSG DLS FSH, E2 AFC
Causes of infertility Azoospermia Anovulation Double sided tubal occlusion Sexual dysfunction
Causes of subfertility Unexplained subfertility One-sided tubal pathology Cervical factor subfertility Endometriosis Decreased semen quality  Decreased intercourse frequency
Evers JL, Lancet 2002 Infertility or subfertility?
Clinical problem  Distinction between couples who need treatment and couples who are likely to conceive spontaneously
Clinical Problem II You scheduled a couple to do ICSI and the woman asked you : What is my chance to get a baby after doing ICSI???
Gynaecologists differ widely in estimating pregnancy chances of subfertile couples Van der Steeg et al.,HR, 2006
Why Models!! Prediction models are intended to help gynaecologists in  patient communication  and  decision making  about treatment
How to Choose: Expectant management or intervention Prediction models for  Chance to concieve naturally (home conception)  (treatment independent pregnancy) Prediction models for pregnancy after IVF Prediction models for pregnancy after IUI
Hunault et al. HR 2004 Prediction models for spontaneous pregnancy Eimers Collins Snick  Hunault Female age + +  - + Duration subfertility + + + + F.A. man Urethritis vg. man + -  - - - - - - prim/ sec subfertility + + - + Anovulation - - + - Tubal pathology - + + - Semen-analysis +  + - + Endometriosis - + - - PCT Referral status + -  + +/- +
Calculation Prognosis P = 1-0,0166 EXP(-0,053* age -0,152* duration -0,447* prim/sec +0.0035* prog.mot -0,949* PCT -0,321* referral )
External validation   the  agreement between predicted probabilities and the outcome event rates Calibration
Calibration  Synthesis model 10 groups of N~260 Van der Steeg HR 2007
http:// www.amc.nl/prognosticmodel http:// www.amc.nl/prognosticmodel
Clinical consequences Couples with prognosis <30%  =  IVF Couples with prognosis > 40% = expectant management  Couples with prognosis 30-40% = IUI
Expectant management or intervention Prediction models for  Chance to concieve naturally (home conception)  (treatment independent pregnancy) Prediction models for pregnancy after IVF Prediction models for pregnancy after IUI
Protocols for IVF  GnRH Antagonist Protocols GnRH  Agonist Protocols   225 IU per day (150 IU Europe) Individualized Dosing of FSH/HMG 250   g per day antagonist Individualized Dosing of FSH/HMG GnRHa 1.0 mg per day  up to 21 days 0.5 mg per day of GnRHa 225 IU per day (150 IU Europe) Day 6 of  FSH/HMG Day of  hCG Day 1  of FSH/HMG Day 6 of  FSH/HMG Day of hCG 7 – 8 days after estimated ovulation Down regulation Day 2 or 3 of menses Day 1  FSH/HMG
Which day!!! Day of start of cycle Day of start of stimulation Day of OPU Day of ET the time of embryo transfer will be more accurate  but limited since the couple has already gone through the whole process of IVF.
Ideal model the probability of live birth in an IVF cycle prior to start of ovarian stimulation.
Day of start: Baseline factors female age, duration of infertility,  primary cause of infertility,  duration of GnRH agonist use,  Hormonal level the number of previous IVF cycle
The age of the woman is still considered to be the most important predictor of IVF success (Broekmans and Klinkert, 2004).
increasing duration of infertility has also been shown to be negative impact , even after adjustment for age, whereas previous pregnancy  increases the likelihood of success (Collins  et al., 1995; Templeton et al, 1996).
couples with different infertility diagnoses will likely have different probabilities of achieving a live birth
Ovarian reserve tests Basal FSH, inhibin B, and anti-Müllerian hormone concentrations, as well as antral follicles count can be used to measure the ovarian reserve ( Broekmans  et al., 2006; Kwee et al., 2008).
AMH If kits are available, AMH measurement could be the most useful in the prediction of ovarian response in anovulatory women. It is done at any day of cycle It is too expensive Exact normal levels not yet well agreed upon
? Pregnancy  correlation with the degree of response to COH, but identifying poor responders by means of these tests has low prognostic value in relation to the chance of live birth after IVF Broekmans  et al. (2006)
How to build a model! Multivariate logistic regression analysis for previous prognostic variables to create prediction models of ovarian response  and/or ongoing pregnancy has been used to a lesser extent (e.g., Bancsi  et al., 2002).
Existing Models Most statistical models for prediction of IVF outcome use both prestimulation parameters and data obtained during the treatment, such as data on embryos
IVF prediction models Prediction models Outcome Discrimination Calibration Templeton (1996) IVF 0.63 good
 
Calculation  The predicted probability ( P ) of achieving a live birth after IVF was calculated using the Templeton the model:  Where  y  was defined as  y  = –2.028 + [0.00551x( age  – 16)2] – [0.00028x(age – 16)3] + [i – (0.0690x  no. of unsuccessful IVF attempts )] – (0.0711xtubal subfertility) + (0.7587xlive birth after IVF) + (0.2986 x  previous pregnancy  after IVF which did not result in a live birth) + (0.2277x  live birth  which was not a result of IVF) + (0.1117x  previous pregnancy , not after IVF and which did not result in a live birth).                                           
IVF prediction models Prediction models Outcome Discrimination Calibration Templeton (1996) IVF 0.63 good
Lintsen, A.M.E. et al. Hum. Reprod. 2007
classified for each woman into one of three groups, i.e.,  (i) predictor of good prognosis (ii) intermediate prognosis  (iii) predictor of poor prognosis.
Expectant management or intervention Prediction models for  Chance to concieve naturally (home conception)  (treatment independent pregnancy) Prediction models for pregnancy after IUI Prediction models for pregnancy after IVF
Prognostic factors of pregnancy in intrauterine insemination  Women with intermediate prognosis
IUI prediction model prediction models Outcome Discrimination Calibration Steures (2004) IUI 0.59 good
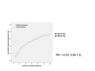
PICO Patient woman, 34 years, 2ys 1ry unexplained inf. Intervention IUI Comparison wait Outcome Pregnancy
 
 
--  delayed treatment --  early treatment  RR: 1, 0 (CI: 0,86-1,2)  N= 90 (71%) N= 90 (71%)
Take Home Message Prediction models are now available and ready for use Female age is the overwhelming factor affecting prediction models The prognosis should be discussed clearly with the patients based on scientific evidence and existing models.
However Patient preferences Private vs medical insurance Patient values
http:// www.amc.nl/prognosticmodel http:// www.amc.nl/prognosticmodel
Clinical consequences Couples with prognosis <30%  =  IVF Couples with prognosis > 40% = expectant management  Couples with prognosis 30-40% = IUI
Lintsen, A.M.E. et al. Hum. Reprod. 2007
Basics Clinical Expertise Prediction Model  Patient Preferences
THANK You

Prognostic models

  • 1.
    Prognostic models in Infertility
  • 2.
    Basic fertility workup referral gyn History Physical examination Cycle evaluation Ovulation Semen analysis ? PCT Tubal p atency : CAT HSG DLS FSH, E2 AFC
  • 3.
    Causes of infertilityAzoospermia Anovulation Double sided tubal occlusion Sexual dysfunction
  • 4.
    Causes of subfertilityUnexplained subfertility One-sided tubal pathology Cervical factor subfertility Endometriosis Decreased semen quality Decreased intercourse frequency
  • 5.
    Evers JL, Lancet2002 Infertility or subfertility?
  • 6.
    Clinical problem Distinction between couples who need treatment and couples who are likely to conceive spontaneously
  • 7.
    Clinical Problem IIYou scheduled a couple to do ICSI and the woman asked you : What is my chance to get a baby after doing ICSI???
  • 8.
    Gynaecologists differ widelyin estimating pregnancy chances of subfertile couples Van der Steeg et al.,HR, 2006
  • 9.
    Why Models!! Predictionmodels are intended to help gynaecologists in patient communication and decision making about treatment
  • 10.
    How to Choose:Expectant management or intervention Prediction models for Chance to concieve naturally (home conception) (treatment independent pregnancy) Prediction models for pregnancy after IVF Prediction models for pregnancy after IUI
  • 11.
    Hunault et al.HR 2004 Prediction models for spontaneous pregnancy Eimers Collins Snick Hunault Female age + + - + Duration subfertility + + + + F.A. man Urethritis vg. man + - - - - - - - prim/ sec subfertility + + - + Anovulation - - + - Tubal pathology - + + - Semen-analysis + + - + Endometriosis - + - - PCT Referral status + - + +/- +
  • 12.
    Calculation Prognosis P= 1-0,0166 EXP(-0,053* age -0,152* duration -0,447* prim/sec +0.0035* prog.mot -0,949* PCT -0,321* referral )
  • 13.
    External validation the agreement between predicted probabilities and the outcome event rates Calibration
  • 14.
    Calibration Synthesismodel 10 groups of N~260 Van der Steeg HR 2007
  • 15.
  • 16.
    Clinical consequences Coupleswith prognosis <30% = IVF Couples with prognosis > 40% = expectant management Couples with prognosis 30-40% = IUI
  • 17.
    Expectant management orintervention Prediction models for Chance to concieve naturally (home conception) (treatment independent pregnancy) Prediction models for pregnancy after IVF Prediction models for pregnancy after IUI
  • 18.
    Protocols for IVF GnRH Antagonist Protocols GnRH Agonist Protocols 225 IU per day (150 IU Europe) Individualized Dosing of FSH/HMG 250  g per day antagonist Individualized Dosing of FSH/HMG GnRHa 1.0 mg per day up to 21 days 0.5 mg per day of GnRHa 225 IU per day (150 IU Europe) Day 6 of FSH/HMG Day of hCG Day 1 of FSH/HMG Day 6 of FSH/HMG Day of hCG 7 – 8 days after estimated ovulation Down regulation Day 2 or 3 of menses Day 1 FSH/HMG
  • 19.
    Which day!!! Dayof start of cycle Day of start of stimulation Day of OPU Day of ET the time of embryo transfer will be more accurate but limited since the couple has already gone through the whole process of IVF.
  • 20.
    Ideal model theprobability of live birth in an IVF cycle prior to start of ovarian stimulation.
  • 21.
    Day of start:Baseline factors female age, duration of infertility, primary cause of infertility, duration of GnRH agonist use, Hormonal level the number of previous IVF cycle
  • 22.
    The age ofthe woman is still considered to be the most important predictor of IVF success (Broekmans and Klinkert, 2004).
  • 23.
    increasing duration ofinfertility has also been shown to be negative impact , even after adjustment for age, whereas previous pregnancy increases the likelihood of success (Collins et al., 1995; Templeton et al, 1996).
  • 24.
    couples with differentinfertility diagnoses will likely have different probabilities of achieving a live birth
  • 25.
    Ovarian reserve testsBasal FSH, inhibin B, and anti-Müllerian hormone concentrations, as well as antral follicles count can be used to measure the ovarian reserve ( Broekmans et al., 2006; Kwee et al., 2008).
  • 26.
    AMH If kitsare available, AMH measurement could be the most useful in the prediction of ovarian response in anovulatory women. It is done at any day of cycle It is too expensive Exact normal levels not yet well agreed upon
  • 27.
    ? Pregnancy correlation with the degree of response to COH, but identifying poor responders by means of these tests has low prognostic value in relation to the chance of live birth after IVF Broekmans et al. (2006)
  • 28.
    How to builda model! Multivariate logistic regression analysis for previous prognostic variables to create prediction models of ovarian response and/or ongoing pregnancy has been used to a lesser extent (e.g., Bancsi et al., 2002).
  • 29.
    Existing Models Moststatistical models for prediction of IVF outcome use both prestimulation parameters and data obtained during the treatment, such as data on embryos
  • 30.
    IVF prediction modelsPrediction models Outcome Discrimination Calibration Templeton (1996) IVF 0.63 good
  • 31.
  • 32.
    Calculation Thepredicted probability ( P ) of achieving a live birth after IVF was calculated using the Templeton the model: Where y was defined as y = –2.028 + [0.00551x( age – 16)2] – [0.00028x(age – 16)3] + [i – (0.0690x no. of unsuccessful IVF attempts )] – (0.0711xtubal subfertility) + (0.7587xlive birth after IVF) + (0.2986 x previous pregnancy after IVF which did not result in a live birth) + (0.2277x live birth which was not a result of IVF) + (0.1117x previous pregnancy , not after IVF and which did not result in a live birth).                                          
  • 33.
    IVF prediction modelsPrediction models Outcome Discrimination Calibration Templeton (1996) IVF 0.63 good
  • 34.
    Lintsen, A.M.E. etal. Hum. Reprod. 2007
  • 35.
    classified for eachwoman into one of three groups, i.e., (i) predictor of good prognosis (ii) intermediate prognosis (iii) predictor of poor prognosis.
  • 36.
    Expectant management orintervention Prediction models for Chance to concieve naturally (home conception) (treatment independent pregnancy) Prediction models for pregnancy after IUI Prediction models for pregnancy after IVF
  • 37.
    Prognostic factors ofpregnancy in intrauterine insemination Women with intermediate prognosis
  • 38.
    IUI prediction modelprediction models Outcome Discrimination Calibration Steures (2004) IUI 0.59 good
  • 39.
    PICO Patient woman,34 years, 2ys 1ry unexplained inf. Intervention IUI Comparison wait Outcome Pregnancy
  • 40.
  • 41.
  • 42.
    -- delayedtreatment -- early treatment RR: 1, 0 (CI: 0,86-1,2) N= 90 (71%) N= 90 (71%)
  • 43.
    Take Home MessagePrediction models are now available and ready for use Female age is the overwhelming factor affecting prediction models The prognosis should be discussed clearly with the patients based on scientific evidence and existing models.
  • 44.
    However Patient preferencesPrivate vs medical insurance Patient values
  • 45.
  • 46.
    Clinical consequences Coupleswith prognosis <30% = IVF Couples with prognosis > 40% = expectant management Couples with prognosis 30-40% = IUI
  • 47.
    Lintsen, A.M.E. etal. Hum. Reprod. 2007
  • 48.
    Basics Clinical ExpertisePrediction Model Patient Preferences
  • 49.

Editor's Notes

  • #49 “ Explicit , judicious , and conscientious use of current best evidence from medical care research to make decisions about the medical care of individuals ” Clinical expertise IS important! Why? Experience with patients: improves efficiency of diagnosis and treatment Improves ability to determine applicability of research data to your patients Allows consideration of patient preferences EBM is the process of systematically finding the most recent applicable research, appraising its validity, and using it as the basis for clinical decisions. Clinical Expertise improves efficiency of Dx and Rx considers patient preferences Overestimates usefulness of therapy -placebo effect - loss to follow-up “ Have not all concerned physicians been doing this (EBM) for ages... ? The steps and recommendations of the EBM acolytes reek of obfuscations and platitudes.” WKC Morgan, London, Ontario Lancet , October 28, 1995