PRML §6 — kernel method
@taki0313
10/10/22
@taki0313
1/50
ToC
Introduction
6.1 双対表現
6.2 カーネル関数の構成
6.3 RBFネットワーク
6.4 ガウス過程
@taki0313
2/50
Introduction
@§3 回帰 / @§4 分類 — linear, parametric
kernel function k(x, x′
) = φ(x)T
φ(x′
)
– ある特徴空間上での内積, 対称k(x, x′
) = k(x′
, x)
– 恒等カーネル k(x, x′
) = xT
x′
– 不変カーネル k(x, x′
) = k(x − x′
)
– 均一カーネル k(x, x′
) = k(||x − x′
||)
kernel trick
– kernelを用いて特徴空間上でごにょごにょする技法
@taki0313
3/50
−1 0 1
−1
−0.5
0
0.5
1
−1 0 1
0
0.25
0.5
0.75
1
−1 0 1
0
0.25
0.5
0.75
1
−1 0 1
−0.4
0.0
1.0
−1 0 1
0.0
1.0
2.0
−1 0 1
0.0
3.0
6.0
Figure 1: kernelとk(x,x’)をx’を×としてxの関数にしたもの
@taki0313
4/50
ToC
Introduction
6.1 双対表現
6.2 カーネル関数の構成
6.3 RBFネットワーク
6.4 ガウス過程
@taki0313
5/50
双対表現 — dual representation
正則化項付き線形回帰の評価式
– J(w) = 1
2
∑
{wT
φ(xn) − tn}2
+ λ
2 wT
w
– wについての勾配=0
w = −1
λ
∑
{wT
φ(xn)}φ(xn) =
∑
anφ(xn) = ΦT
a
– ΦT
= (φ(x1) · · · φ(xN))
パラメータの変換 w a — w = ΦT
a → J(w)
– J(a) = 1
2aT
ΦΦT
ΦΦT
a − aT
ΦΦT
t + 1
2tT
t + λ
2 aT
ΦΦT
a
グラム行列 — Knm ≡ φ(xn)T
φ(xm) = k(xn, xm)
@taki0313
6/50
双対表現 — dual representation
Kを用いて
– K = ΦΦT
– J(a) = 1
2aT
KKa − aT
Kt + 1
2tT
t + λ
2 aT
Ka
w = ΦT
a を an の式に代入して
– λan + aT
Φφ(xn) = tn → (λIN + K)a = t
予測の式
– y(x) = aT
Φφ(x)
– y(x) = k(x)
T
(K + λIN)−1
t — k(x) = k(xn, x)
@taki0313
7/50
双対表現 — dual representation
kernel method — グラム行列K(NxN)の逆行列を求める
基底関数 — 計画行列Φ(MxM)の逆行列を求める
一般に…
– N >> M
– グラム行列の逆行列を求めるコストは大きい 全てをカーネ
ルk の上で行なえるのが嬉しいことらしい。
@taki0313
8/50
ToC
Introduction
6.1 双対表現
6.2 カーネル関数の構成
6.3 RBFネットワーク
6.4 ガウス過程
@taki0313
9/50
カーネル関数の構成
カーネル関数 — 特徴空間上への写像 φ(x)
カーネルkが有効か? ある空間上での内積になること
– (xT
z)2
= (x1z1 + x2z2)2
= x2
1 z2
1 + 2x1z1x2z2 + x2
2 z2
2
– = (x2
1 ,
√
2x1x2, x2
2 )(z2
1 ,
√
2z1z2, z2
2 )T
= φ (x)
T
φ (z)
カーネルkが有効か? グラム行列K が半正定値行列
カーネルの構成法 — (6.13) ∼ (6.22)
@taki0313
10/50
カーネルの作り方
k(x, x′
) = ck1(x, x′
)
k(x, x′
) = f (x)k1(x, x′
)f (x′
)
k(x, x′
) = q(k1(x, x′
))
k(x, x′
) = exp(k1(x, x′
))
k(x, x′
) = k1(x, x′
) + k2(x, x′
)
k(x, x′
) = k1(x, x′
)k2(x, x′
)
k(x, x′
) = k3(φ(x), φ(x′
))
k(x, x′
) = xT
Ax
k(x, x′
) = ka(xa, x′
a) + kb(xb, x′
b)
k(x, x′
) = ka(xa, x′
a)kb(xb, x′
b)
– cは定数、fは任意の
関数
– qは非負の係数をも
つ多項式
– Φ : x → RM
– k3はRM
上のkernel
– Aは対称, 半正定値
– x = (xa, xb)
– ka, kb はそれぞれで
有効なkernel
@taki0313
11/50
有名なカーネル
ガウスカーネル k(x, x′
) = exp(−1
2||x − x′
||2
)
– ||x − x′
||2
= xT
x + (x′
)T
x′
− 2xT
x′
– カーネルトリック — → κ(x, x) + κ(x′
, x′
) − 2κ(x, x′
)
シグモイドカーネル k(x, x′
) = tanh(axT
x′
+ b)
@taki0313
12/50
確率的生成モデル → カーネル
生成モデル p(x) → k(x, x′
) = p(x)p(x′
)
一般化
– 離散 — k(x, x′
) =
∑
i p(x|i)p(x′
|i)p(i)
– 連続 — k(x, x′
) =
∫
p(x|z)p(x′
|z)p(z)dz
HMM → §13
– よく知らないので…
– k(X, X′
) =
∑
Z p(X|Z)p(X′
|Z)p(Z)
@taki0313
13/50
生成モデル → カーネル
parametric な生成モデル — p(x|θ)
フィッシャーカーネル
– フィッシャースコア — g(θ, x) = ∇θ ln p(x|θ)
– フィッシャー情報量行列 — F = Eθ[g(θ, x)g(θ, x)T
]
近似 — F ∼ 1
N
∑
g(θ, xn)g(θ, xn)T
– フィッシャーカーネル
∗ k(x, x′
) = g(θ, x)T
F−1
g(θ, x′
)
∗ k(x, x′
) = g(θ, x)T
g(θ, x′
)
@taki0313
14/50
ToC
Introduction
6.1 双対表現
6.2 カーネル関数の構成
6.3 RBFネットワーク
6.4 ガウス過程
@taki0313
15/50
RBF network — Radial Basis Function
関数補間
– 入力集合 {x1, x2, · · · , xN, }{t1, t2, · · · , tN}
– 1 ≤ n ≤ N について f (xn) = tn になる関数fを求める
– f (x) =
∑
wnh(||x − xn||) として{wn} を最小二乗法で求める。
— 過学習
ノイズが入る場合の補間
– ノイズの分布 ν(ξ) — 確率変数ξ
– 二乗誤差 E = 1
2
∑N
n=1
∫
{y(xn + ξ) − tn}2
ν(ξ)dξ
@taki0313
16/50
RBF network — Radial Basis Function
変分法による最適化
– Nadaraya-Watson Model.
– y(x) =
∑
tnh(x − xn), h(x − xn) =
ν(x − xn)
∑
ν(x − xn)
– 正則化 → 全ての関数が小さい値にならにように
−1 −0.5 0 0.5 1
0
0.2
0.4
0.6
0.8
1
−1 −0.5 0 0.5 1
0
0.2
0.4
0.6
0.8
1
@taki0313
17/50
6.3.1 Nadaraya-Watson Model
§3.3.3 — 新しい入力xに対する予測を線形結合の式で行う
– y(x, mN) =
∑
k(x, xn)tn — 等価カーネル
– 和の制約を満たしている
回帰 密度推定
– 訓練集合 {xn, tn} → p(x, t)の推定 — Parzen推定法(§2.5.1)
– p(x, t) = 1
N
∑
f (x − xn, t − tn) — 各要素を中心に持つ
– 条件付き期待値 が良い — y(x) = E[t|x] =
∫ ∞
−∞
tp(t|x)dt
– E[t|x] =
∫
tpdt
∫
pdt
=
∑
n
∫
tf (x − xn, t − tn)dt
∑
m
∫
f (x − xm, t − tm)dt
@taki0313
18/50
6.3.1 Nadaraya-Watson Model
y(x) = E[t|x] =
∫
tpdt
∫
pdt
=
∑
n
∫
tf (x − xn, t − tn)dt
∑
m
∫
f (x − xm, t − tm)dt
簡単化 — 各要素の平均は0 —
∫
tf (x, t)dt = 0
変数置換 → Nadaraya-Watson Model
– y(x) =
∑
n g(x − xn)tn/
∑
m g(x − xm) =
∑
n k(x, xn)tn
– g(x) =
∫ ∞
−∞
f (x, t)dt
– k(x, xn) = g(x − xn)/
∑
m g(x − xm)
@taki0313
19/50
6.3.1 Nadaraya-Watson Model
条件付き確率分布— p(t|x) = p(t, x)/
∫
p(t, x)dt
例 — 1次元、f (x, t) ∼ N(0, σ2
), z = (x, t) の場合
0 0.2 0.4 0.6 0.8 1
−1.5
−1
−0.5
0
0.5
1
1.5
• sin(緑)
• データ点(青)
• 条件付き期待値(赤)
• 赤±2σ
@taki0313
20/50
ToC
Introduction
6.1 双対表現
6.2 カーネル関数の構成
6.3 RBFネットワーク
6.4 ガウス過程
@taki0313
21/50
ガウス過程
確率過程
– 任意の有限な値集合 {y1, y2, · · · , yn}に対して矛盾のない同時
分布を与えるもの
– その同時分布がガウス分布 — ガウス過程
§6.1 回帰、双対性→カーネル — 非確率的モデル
確率的識別モデル + カーネル法 — ガウス過程
@taki0313
22/50
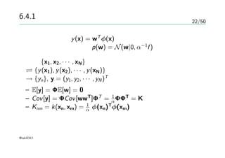
6.4.1 線形回帰の復習
線形回帰モデルy(x) = wT
φ(x)
パラメータの事前分布 p(w) = N(w|0, α−1
I)
入力 {x1, x2, · · · , xN}による評価
{y(x1), y(x2), · · · , y(xN)}による評価
→ {yn}, y = (y1, y2, · · · , yN)T
を評価する
– E[y] = ΦE[w] = 0
– Cov[y] = ΦCov[wwT
]ΦT
= 1
αΦΦT
= K
– Knm = k(xn, xm) = 1
α φ(xn)T
φ(xm)
線形回帰はガウス過程の特殊な場合
@taki0313
23/50
ガウス過程
同時分布の性質が平均、共分散で完全に記述される
– 平均(1次モーメント) =0とする = p(w|α)の平均を0
– ガウス過程 ← カーネル関数 — E[y(xn), y(xm)] = k(xn, xm)
−1 −0.5 0 0.5 1
−3
−1.5
0
1.5
3
−1 −0.5 0 0.5 1
−3
−1.5
0
1.5
3
カーネル&ガウス過程から取り出した関数
@taki0313
24/50
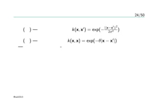
カーネル関数の直接定義
図(左) — ガウスカーネル k(x, x′
) = exp(−||x−x′
||2
2σ2 )
図(右) — 指数カーネル k(x, x) = exp(−θ|x − x′
|)
— オルンシュタイン-ウーレンベック過程
@taki0313
25/50
6.4.2 ガウス過程による回帰
ガウス分布のノイズを考える — tn = yn + εn
p(tn|yn) = N(tn|yn, β−1
)
データ y = (y1, · · · , yN)T
と t = (t1, · · · , tN)が与えられる
その同時分布が等方的ガウス分布になるとする(ガウス過程)
– p(t|y) = N(t|y, β−1
IN)
– p(y) = N(y|0, K)
– K は xn, xm が似ていれば大きい値になる
実際の予測のための分布 p(t)
@taki0313
26/50
6.4.2 ガウス過程による回帰
実際の予測のための分布 p(t)を考える
– p(t) =
∫
p(t|y)p(y)dy ∼ N(t|0, C)
– C(xn, xm) = k(xn, xm) + β−1
δnm
– データとノイズが独立なので共分散を加えるだけでいい
回帰に使われるようなモデル
k(xn, xm) = θ0 exp{−θ1
2 ||xn − xm||2
} + θ2 + θ3xT
n xm
— (θ0, θ1, θ2, θ3)毎のプロット : 図6.5
@taki0313
27/50
図6.5 — 事前分布からのサンプル
(1.00, 4.00, 0.00, 0.00)
−1 −0.5 0 0.5 1
−3
−1.5
0
1.5
3
(9.00, 4.00, 0.00, 0.00)
−1 −0.5 0 0.5 1
−9
−4.5
0
4.5
9
(1.00, 64.00, 0.00, 0.00)
−1 −0.5 0 0.5 1
−3
−1.5
0
1.5
3
(1.00, 0.25, 0.00, 0.00)
−1 −0.5 0 0.5 1
−3
−1.5
0
1.5
3
(1.00, 4.00, 10.00, 0.00)
−1 −0.5 0 0.5 1
−9
−4.5
0
4.5
9
(1.00, 4.00, 0.00, 5.00)
−1 −0.5 0 0.5 1
−4
−2
0
2
4
@taki0313
28/50
図6.6 — 同時分布からのサンプル
x
t
−1 0 1
−3
0
3
ガウス過程の事前分布から
サンプリングされた関数f
入力 {xn}
入力に対する{yn} (赤)
サンプル {tn}(緑)
– ノイズ入り
@taki0313
29/50
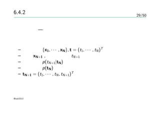
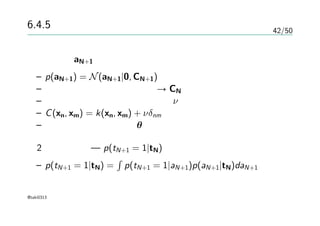
6.4.2 ガウス過程による回帰
これまで — ガウス過程の視点からの同時分布のモデル化
新しい入力に対する予測が必要
– 訓練集合 {x1, · · · , xN}, t = (t1, · · · , tN)T
– 入力 xN+1 , その予測値 tN+1
– 予測分布 p(tN+1|tN)
– 同時分布 p(tN) を書き下す
– tN+1 = (t1, · · · , tN, tN+1)T
@taki0313
30/50
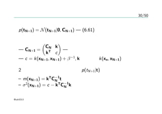
予測分布
p(tN+1) = N(tN+1|0, CN+1) — (6.61)より
共分散行列の分割
— CN+1 =
(
CN k
kT
c
)
— 正定値でなければならない
— c = k(xN+1, xN+1) + β−1
, kの要素はk(xn, xN+1)
2章の結果から、条件付き分布p(tN+1|t)は
– m(xN+1) = kT
C−1
N t
– σ2
(xN+1) = c − kT
C−1
N k
@taki0313
31/50
予測分布
事前分布&条件付き分布はガウス分布
予測分布の平均・分散もxN+1 に依存
t1
t2
m(x2)
−1 0 1
−1
0
1
訓練/テストデータが1つずつ
• 楕円 — 同時分布 p(t1, t2)
• t1 — 訓練データ(青)
• t1 に依存して p(t2|t1)(緑)
@taki0313
32/50
予測分布
ガウス過程による回帰の例
0 0.2 0.4 0.6 0.8 1
−1
−0.5
0
0.5
1
• sin関数(緑)
• データ(右3つ以外, 青)
• ガウス過程による予測分布
の平均(赤)
• 標準分布の2倍ぐらい(薄い
赤)
@taki0313
33/50
6.4.2 ガウス過程による回帰
Kの固有値λi → Cの固有値λi + β−1
– k(xn, xm)が∀xn, xm に関して半正定値であればいい
予測分布の平均
– m(xN+1) =
∑
ank(xn, xN+1)
– an はC−1
N tのn番目の要素
– kが動径に依存するならRBFが使える
計算量
– ガウス過程 NxNの逆行列 O(N3
) — 基底による回帰 O(M3
)
@taki0313
34/50
6.4.3 超パラメータの学習
予測が共分散の選び方にある程度依存する → parametric
ハイパーパラメータθ → p(t|θ)
– θの点推定, 共役勾配法
ガウス分布&ガウス過程では…
– ln p(t|θ) = −1
2 ln |CN| − 1
2tT
C−1
N t − N
2 ln(2π)
– 勾配 — ∂
∂θi
ln p(t|θ) = −1
2Tr(C−1
N
∂CN
∂θi
) + 1
2tT
C−1
N
∂CN
∂θi
C−1
N t
一般には非凸関数で、近似的に解く。以下略
@taki0313
35/50
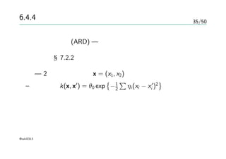
6.4.4 関連度自動決定
関連度自由決定(ARD) — ニューラルネットから提案された何か
詳しくは §7.2.2
例 — 2次元の入力空間x = (x1, x2)をもつガウス過程
– カーネル k(x, x′
) = θ0 exp
{
−1
2
∑
ηi(xi − x′
i )2
}
@taki0313
36/50
図6.9 — ARD事前分布からのサンプル
−1
0
1
−1
0
1
−1
0
1
−1
0
1
−1
0
1
−1
0
1
η1 = η2 = 1 (左)
η1 = 1, η2 = 0.01 (右)
ηは入力に対する敏感さ
ARDの文脈から出力の予測
にあまり寄与しない入力変
数を求められる。
@taki0313
37/50
図6.10 — ARDにおけるηの変化
0 20 40 60 80 100
10
−4
10
−2
10
0
10
2
3次元の入力 x1, x2, x3
最適化 — 共役勾配法
目標変数t
– x1:ガウス分布、100個
– x2 はx1+ノイズ
– x3 はランダムなノイズ
– sin(2πx1)+ノイズ
η1 > η2 >>>> η3
@taki0313
38/50
6.4.4 ARD
ARD → 指数・2次カーネル
– k(xn, xm) = θ0 exp{−1
2
∑
ηi(xni − xmi)2
} + θ2 + θ3
∑
xnixmi
種々の応用において有用らしいカーネル
@taki0313
39/50
6.4.5 ガウス過程による分類
確率的な分類 → 事後確率 ∈ (0, 1)
ガウス過程 → 実数値全体 → 活性化関数 → 分類問題
2クラス分類問題 t ∈ {0, 1}
– 関数a(x)上でのガウス過程を考える
– y = σ(a)と変換する
– y ∈ {0, 1}へ落とす
– 1次元の例 — 図6.11
@taki0313
40/50
図6.11
−1 −0.5 0 0.5 1
−10
−5
0
5
10
−1 −0.5 0 0.5 1
0
0.25
0.5
0.75
1
• 上図
– a(x)に対するガウス過程
の事前分布からのサンプ
ル
• 下図
– ロジスティックシグモイ
ド関数で変換した
@taki0313
41/50
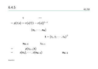
6.4.5 ガウス過程による分類
目標変数tの確率分布 — ベルヌーイ分布
– p(t|a) = σ(a)t
(1 − σ(a))1−t
入力の訓練集合{x1, · · · , xN}
対応する目標変数の観測値t = (t1, t2 · · · , tN)T
テスト点xN+1 に対するtN+1 を予測
– 予測分布p(tN+1|t)を決定する
– 要素a(x1), · · · , a(xN+1)を持つベクトルaN+1
@taki0313
42/50
6.4.5 ガウス過程による分類
ベクトルaN+1 い対するガウス過程による事前分布
– p(aN+1) = N(aN+1|0, CN+1)
– 正しいラベルが付いている → CN にはノイズが入ってない
– 正定値保証のためにパラメータν の項を入れる
– C(xn, xm) = k(xn, xm) + νδnm
– カーネルはパラメータθによって決まる
2クラス分類 — p(tN+1 = 1|tN)を予測する
– p(tN+1 = 1|tN) =
∫
p(tN+1 = 1|aN+1)p(aN+1|tN)daN+1
@taki0313
43/50
6.4.5 ガウス過程による分類
p(tN+1 = 1|tN) =
∫
p(tN+1 = 1|aN+1)p(aN+1|tN)daN+1
解析的に解けない
– 詳細略
– 漸近的にガウス分布に近づく
– どうやってガウス分布として近似するか
∗ 10.1 変分推論法
∗ 10.7 EP法
∗ 6.4.6 ラプラス近似
@taki0313
44/50
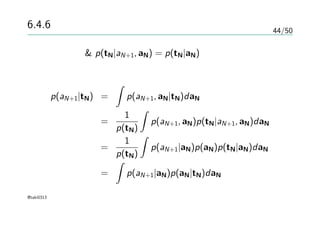
6.4.6 ラプラス近似
ベイズの定理 & p(tN|aN+1, aN) = p(tN|aN) より
p(aN+1|tN) =
∫
p(aN+1, aN|tN)daN
=
1
p(tN)
∫
p(aN+1, aN)p(tN|aN+1, aN)daN
=
1
p(tN)
∫
p(aN+1|aN)p(aN)p(tN|aN)daN
=
∫
p(aN+1|aN)p(aN|tN)daN
@taki0313
45/50
6.4.6 ラプラス近似
条件付き分布 — (6.66), (6.67)
– p(aN+1|aN) = N(aN+1|kT
C−1
N aN, c − kT
C−1
N k)
積分 → ラプラス近似 & ガウス分布の畳み込み
p(aN) — 平均0, 共分散行列CN であるガウス過程による
データについての項(各々独立として…)
– p(tN|aN) =
∏N
n=1 σ(an)tn(1 − σ(an))1−tn =
∏N
n=1 eantnσ(−an)
@taki0313
46/50
6.4.6 ラプラス近似
定数項を無視してラプラス近似
– Ψ(aN) = ln p(aN) + ln p(tN|aN)
= −1
2aT
NCNaN − N
2 ln(2π) − 1
2 ln |CN| + tT
NaN −
∑N
n=1 ln(1 + ean)
– ∇Ψ(aN) = tN − σN − C−1
N aN
σN の要素はσ(an)
– ∇∇Ψ(aN) = −WN − C−1
N
Wは対角要素にσ(an)(1 − σ(an))を持つ正定値行列
dσ
da = σ(1 − σ)(4.88)
正定値行列の和も正定値行列 (演習6.24)
@taki0313
47/50
6.4.6 ラプラス近似
ヘッセ行列 A = −∇∇Ψ(aN)が正定値 — 事後分布p(aN|tN)の対
数が凸関数
凸関数 — 極小・極大 = 最小・最大
逐次更新で最適解を目指せる — Newton-Raphson medhot (4.92)
– anew
N = CN(I + WNCN)−1
{tN−σN + WnaN}
– a∗
N に収束するまで — モード
– このとき a∗
N = CN(tN−σN)
収束時のヘッセ行列 H = −∇∇Ψ(aN) = WN + C−1
N
@taki0313
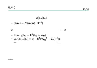
48/50
6.4.6 ラプラス近似
収束時の、事後分布p(aN|tN)のガウス分布による近似
– q(aN) = N(aN|a∗
N, H−1
)
2つのガウス分布の畳み込み積分の評価 — 2章
– E[aN+1|tN] = kT
(tN − σN)
– var[aN+1|tN] = c − kT
(W−1
N + CN)−1
k
→ガウス分布の情報が得られたので…
@taki0313
49/50
6.4.6 ラプラス近似
共分散パラメータθの決定
– 尤度最大化, 最尤推定
– 尤度関数p(tN|θ) =
∫
p(tN|aN)p(aN|θ)daN
近似
– ln p(tN|θ) = Ψ(a∗
N) − 1
2 ln |WN + C−1
N | + N
2 ln(2π)
Ψ(a∗
N) = ln p(a∗
N) + ln p(tN|a∗
N)
θの微分がCN とaN の二種類の項が表れる(以下略?)
@taki0313
50/50
6.4.7 ニューラルネットとの関係
ニューラルネット
– 隠れユニットの数Mを上手く調整すれば強い
– M → ∞ ガウス過程っぽい. ただし独立
– ニューラルネット — 隠れユニットの共有とが面白い
ガウス過程
– 共分散関数に性質が左右される
– 解析的に求められないところは近似
@taki0313

Prml sec6

  • 1.
    PRML §6 —kernel method @taki0313 10/10/22 @taki0313
  • 2.
    1/50 ToC Introduction 6.1 双対表現 6.2 カーネル関数の構成 6.3RBFネットワーク 6.4 ガウス過程 @taki0313
  • 3.
    2/50 Introduction @§3 回帰 /@§4 分類 — linear, parametric kernel function k(x, x′ ) = φ(x)T φ(x′ ) – ある特徴空間上での内積, 対称k(x, x′ ) = k(x′ , x) – 恒等カーネル k(x, x′ ) = xT x′ – 不変カーネル k(x, x′ ) = k(x − x′ ) – 均一カーネル k(x, x′ ) = k(||x − x′ ||) kernel trick – kernelを用いて特徴空間上でごにょごにょする技法 @taki0313
  • 4.
    3/50 −1 0 1 −1 −0.5 0 0.5 1 −10 1 0 0.25 0.5 0.75 1 −1 0 1 0 0.25 0.5 0.75 1 −1 0 1 −0.4 0.0 1.0 −1 0 1 0.0 1.0 2.0 −1 0 1 0.0 3.0 6.0 Figure 1: kernelとk(x,x’)をx’を×としてxの関数にしたもの @taki0313
  • 5.
    4/50 ToC Introduction 6.1 双対表現 6.2 カーネル関数の構成 6.3RBFネットワーク 6.4 ガウス過程 @taki0313
  • 6.
    5/50 双対表現 — dualrepresentation 正則化項付き線形回帰の評価式 – J(w) = 1 2 ∑ {wT φ(xn) − tn}2 + λ 2 wT w – wについての勾配=0 w = −1 λ ∑ {wT φ(xn)}φ(xn) = ∑ anφ(xn) = ΦT a – ΦT = (φ(x1) · · · φ(xN)) パラメータの変換 w a — w = ΦT a → J(w) – J(a) = 1 2aT ΦΦT ΦΦT a − aT ΦΦT t + 1 2tT t + λ 2 aT ΦΦT a グラム行列 — Knm ≡ φ(xn)T φ(xm) = k(xn, xm) @taki0313
  • 7.
    6/50 双対表現 — dualrepresentation Kを用いて – K = ΦΦT – J(a) = 1 2aT KKa − aT Kt + 1 2tT t + λ 2 aT Ka w = ΦT a を an の式に代入して – λan + aT Φφ(xn) = tn → (λIN + K)a = t 予測の式 – y(x) = aT Φφ(x) – y(x) = k(x) T (K + λIN)−1 t — k(x) = k(xn, x) @taki0313
  • 8.
    7/50 双対表現 — dualrepresentation kernel method — グラム行列K(NxN)の逆行列を求める 基底関数 — 計画行列Φ(MxM)の逆行列を求める 一般に… – N >> M – グラム行列の逆行列を求めるコストは大きい 全てをカーネ ルk の上で行なえるのが嬉しいことらしい。 @taki0313
  • 9.
    8/50 ToC Introduction 6.1 双対表現 6.2 カーネル関数の構成 6.3RBFネットワーク 6.4 ガウス過程 @taki0313
  • 10.
    9/50 カーネル関数の構成 カーネル関数 — 特徴空間上への写像φ(x) カーネルkが有効か? ある空間上での内積になること – (xT z)2 = (x1z1 + x2z2)2 = x2 1 z2 1 + 2x1z1x2z2 + x2 2 z2 2 – = (x2 1 , √ 2x1x2, x2 2 )(z2 1 , √ 2z1z2, z2 2 )T = φ (x) T φ (z) カーネルkが有効か? グラム行列K が半正定値行列 カーネルの構成法 — (6.13) ∼ (6.22) @taki0313
  • 11.
    10/50 カーネルの作り方 k(x, x′ ) =ck1(x, x′ ) k(x, x′ ) = f (x)k1(x, x′ )f (x′ ) k(x, x′ ) = q(k1(x, x′ )) k(x, x′ ) = exp(k1(x, x′ )) k(x, x′ ) = k1(x, x′ ) + k2(x, x′ ) k(x, x′ ) = k1(x, x′ )k2(x, x′ ) k(x, x′ ) = k3(φ(x), φ(x′ )) k(x, x′ ) = xT Ax k(x, x′ ) = ka(xa, x′ a) + kb(xb, x′ b) k(x, x′ ) = ka(xa, x′ a)kb(xb, x′ b) – cは定数、fは任意の 関数 – qは非負の係数をも つ多項式 – Φ : x → RM – k3はRM 上のkernel – Aは対称, 半正定値 – x = (xa, xb) – ka, kb はそれぞれで 有効なkernel @taki0313
  • 12.
    11/50 有名なカーネル ガウスカーネル k(x, x′ )= exp(−1 2||x − x′ ||2 ) – ||x − x′ ||2 = xT x + (x′ )T x′ − 2xT x′ – カーネルトリック — → κ(x, x) + κ(x′ , x′ ) − 2κ(x, x′ ) シグモイドカーネル k(x, x′ ) = tanh(axT x′ + b) @taki0313
  • 13.
    12/50 確率的生成モデル → カーネル 生成モデルp(x) → k(x, x′ ) = p(x)p(x′ ) 一般化 – 離散 — k(x, x′ ) = ∑ i p(x|i)p(x′ |i)p(i) – 連続 — k(x, x′ ) = ∫ p(x|z)p(x′ |z)p(z)dz HMM → §13 – よく知らないので… – k(X, X′ ) = ∑ Z p(X|Z)p(X′ |Z)p(Z) @taki0313
  • 14.
    13/50 生成モデル → カーネル parametricな生成モデル — p(x|θ) フィッシャーカーネル – フィッシャースコア — g(θ, x) = ∇θ ln p(x|θ) – フィッシャー情報量行列 — F = Eθ[g(θ, x)g(θ, x)T ] 近似 — F ∼ 1 N ∑ g(θ, xn)g(θ, xn)T – フィッシャーカーネル ∗ k(x, x′ ) = g(θ, x)T F−1 g(θ, x′ ) ∗ k(x, x′ ) = g(θ, x)T g(θ, x′ ) @taki0313
  • 15.
    14/50 ToC Introduction 6.1 双対表現 6.2 カーネル関数の構成 6.3RBFネットワーク 6.4 ガウス過程 @taki0313
  • 16.
    15/50 RBF network —Radial Basis Function 関数補間 – 入力集合 {x1, x2, · · · , xN, }{t1, t2, · · · , tN} – 1 ≤ n ≤ N について f (xn) = tn になる関数fを求める – f (x) = ∑ wnh(||x − xn||) として{wn} を最小二乗法で求める。 — 過学習 ノイズが入る場合の補間 – ノイズの分布 ν(ξ) — 確率変数ξ – 二乗誤差 E = 1 2 ∑N n=1 ∫ {y(xn + ξ) − tn}2 ν(ξ)dξ @taki0313
  • 17.
    16/50 RBF network —Radial Basis Function 変分法による最適化 – Nadaraya-Watson Model. – y(x) = ∑ tnh(x − xn), h(x − xn) = ν(x − xn) ∑ ν(x − xn) – 正則化 → 全ての関数が小さい値にならにように −1 −0.5 0 0.5 1 0 0.2 0.4 0.6 0.8 1 −1 −0.5 0 0.5 1 0 0.2 0.4 0.6 0.8 1 @taki0313
  • 18.
    17/50 6.3.1 Nadaraya-Watson Model §3.3.3— 新しい入力xに対する予測を線形結合の式で行う – y(x, mN) = ∑ k(x, xn)tn — 等価カーネル – 和の制約を満たしている 回帰 密度推定 – 訓練集合 {xn, tn} → p(x, t)の推定 — Parzen推定法(§2.5.1) – p(x, t) = 1 N ∑ f (x − xn, t − tn) — 各要素を中心に持つ – 条件付き期待値 が良い — y(x) = E[t|x] = ∫ ∞ −∞ tp(t|x)dt – E[t|x] = ∫ tpdt ∫ pdt = ∑ n ∫ tf (x − xn, t − tn)dt ∑ m ∫ f (x − xm, t − tm)dt @taki0313
  • 19.
    18/50 6.3.1 Nadaraya-Watson Model y(x)= E[t|x] = ∫ tpdt ∫ pdt = ∑ n ∫ tf (x − xn, t − tn)dt ∑ m ∫ f (x − xm, t − tm)dt 簡単化 — 各要素の平均は0 — ∫ tf (x, t)dt = 0 変数置換 → Nadaraya-Watson Model – y(x) = ∑ n g(x − xn)tn/ ∑ m g(x − xm) = ∑ n k(x, xn)tn – g(x) = ∫ ∞ −∞ f (x, t)dt – k(x, xn) = g(x − xn)/ ∑ m g(x − xm) @taki0313
  • 20.
    19/50 6.3.1 Nadaraya-Watson Model 条件付き確率分布—p(t|x) = p(t, x)/ ∫ p(t, x)dt 例 — 1次元、f (x, t) ∼ N(0, σ2 ), z = (x, t) の場合 0 0.2 0.4 0.6 0.8 1 −1.5 −1 −0.5 0 0.5 1 1.5 • sin(緑) • データ点(青) • 条件付き期待値(赤) • 赤±2σ @taki0313
  • 21.
    20/50 ToC Introduction 6.1 双対表現 6.2 カーネル関数の構成 6.3RBFネットワーク 6.4 ガウス過程 @taki0313
  • 22.
    21/50 ガウス過程 確率過程 – 任意の有限な値集合 {y1,y2, · · · , yn}に対して矛盾のない同時 分布を与えるもの – その同時分布がガウス分布 — ガウス過程 §6.1 回帰、双対性→カーネル — 非確率的モデル 確率的識別モデル + カーネル法 — ガウス過程 @taki0313
  • 23.
    22/50 6.4.1 線形回帰の復習 線形回帰モデルy(x) =wT φ(x) パラメータの事前分布 p(w) = N(w|0, α−1 I) 入力 {x1, x2, · · · , xN}による評価 {y(x1), y(x2), · · · , y(xN)}による評価 → {yn}, y = (y1, y2, · · · , yN)T を評価する – E[y] = ΦE[w] = 0 – Cov[y] = ΦCov[wwT ]ΦT = 1 αΦΦT = K – Knm = k(xn, xm) = 1 α φ(xn)T φ(xm) 線形回帰はガウス過程の特殊な場合 @taki0313
  • 24.
    23/50 ガウス過程 同時分布の性質が平均、共分散で完全に記述される – 平均(1次モーメント) =0とする= p(w|α)の平均を0 – ガウス過程 ← カーネル関数 — E[y(xn), y(xm)] = k(xn, xm) −1 −0.5 0 0.5 1 −3 −1.5 0 1.5 3 −1 −0.5 0 0.5 1 −3 −1.5 0 1.5 3 カーネル&ガウス過程から取り出した関数 @taki0313
  • 25.
    24/50 カーネル関数の直接定義 図(左) — ガウスカーネルk(x, x′ ) = exp(−||x−x′ ||2 2σ2 ) 図(右) — 指数カーネル k(x, x) = exp(−θ|x − x′ |) — オルンシュタイン-ウーレンベック過程 @taki0313
  • 26.
    25/50 6.4.2 ガウス過程による回帰 ガウス分布のノイズを考える —tn = yn + εn p(tn|yn) = N(tn|yn, β−1 ) データ y = (y1, · · · , yN)T と t = (t1, · · · , tN)が与えられる その同時分布が等方的ガウス分布になるとする(ガウス過程) – p(t|y) = N(t|y, β−1 IN) – p(y) = N(y|0, K) – K は xn, xm が似ていれば大きい値になる 実際の予測のための分布 p(t) @taki0313
  • 27.
    26/50 6.4.2 ガウス過程による回帰 実際の予測のための分布 p(t)を考える –p(t) = ∫ p(t|y)p(y)dy ∼ N(t|0, C) – C(xn, xm) = k(xn, xm) + β−1 δnm – データとノイズが独立なので共分散を加えるだけでいい 回帰に使われるようなモデル k(xn, xm) = θ0 exp{−θ1 2 ||xn − xm||2 } + θ2 + θ3xT n xm — (θ0, θ1, θ2, θ3)毎のプロット : 図6.5 @taki0313
  • 28.
    27/50 図6.5 — 事前分布からのサンプル (1.00,4.00, 0.00, 0.00) −1 −0.5 0 0.5 1 −3 −1.5 0 1.5 3 (9.00, 4.00, 0.00, 0.00) −1 −0.5 0 0.5 1 −9 −4.5 0 4.5 9 (1.00, 64.00, 0.00, 0.00) −1 −0.5 0 0.5 1 −3 −1.5 0 1.5 3 (1.00, 0.25, 0.00, 0.00) −1 −0.5 0 0.5 1 −3 −1.5 0 1.5 3 (1.00, 4.00, 10.00, 0.00) −1 −0.5 0 0.5 1 −9 −4.5 0 4.5 9 (1.00, 4.00, 0.00, 5.00) −1 −0.5 0 0.5 1 −4 −2 0 2 4 @taki0313
  • 29.
    28/50 図6.6 — 同時分布からのサンプル x t −10 1 −3 0 3 ガウス過程の事前分布から サンプリングされた関数f 入力 {xn} 入力に対する{yn} (赤) サンプル {tn}(緑) – ノイズ入り @taki0313
  • 30.
    29/50 6.4.2 ガウス過程による回帰 これまで —ガウス過程の視点からの同時分布のモデル化 新しい入力に対する予測が必要 – 訓練集合 {x1, · · · , xN}, t = (t1, · · · , tN)T – 入力 xN+1 , その予測値 tN+1 – 予測分布 p(tN+1|tN) – 同時分布 p(tN) を書き下す – tN+1 = (t1, · · · , tN, tN+1)T @taki0313
  • 31.
    30/50 予測分布 p(tN+1) = N(tN+1|0,CN+1) — (6.61)より 共分散行列の分割 — CN+1 = ( CN k kT c ) — 正定値でなければならない — c = k(xN+1, xN+1) + β−1 , kの要素はk(xn, xN+1) 2章の結果から、条件付き分布p(tN+1|t)は – m(xN+1) = kT C−1 N t – σ2 (xN+1) = c − kT C−1 N k @taki0313
  • 32.
    31/50 予測分布 事前分布&条件付き分布はガウス分布 予測分布の平均・分散もxN+1 に依存 t1 t2 m(x2) −1 01 −1 0 1 訓練/テストデータが1つずつ • 楕円 — 同時分布 p(t1, t2) • t1 — 訓練データ(青) • t1 に依存して p(t2|t1)(緑) @taki0313
  • 33.
    32/50 予測分布 ガウス過程による回帰の例 0 0.2 0.40.6 0.8 1 −1 −0.5 0 0.5 1 • sin関数(緑) • データ(右3つ以外, 青) • ガウス過程による予測分布 の平均(赤) • 標準分布の2倍ぐらい(薄い 赤) @taki0313
  • 34.
    33/50 6.4.2 ガウス過程による回帰 Kの固有値λi →Cの固有値λi + β−1 – k(xn, xm)が∀xn, xm に関して半正定値であればいい 予測分布の平均 – m(xN+1) = ∑ ank(xn, xN+1) – an はC−1 N tのn番目の要素 – kが動径に依存するならRBFが使える 計算量 – ガウス過程 NxNの逆行列 O(N3 ) — 基底による回帰 O(M3 ) @taki0313
  • 35.
    34/50 6.4.3 超パラメータの学習 予測が共分散の選び方にある程度依存する →parametric ハイパーパラメータθ → p(t|θ) – θの点推定, 共役勾配法 ガウス分布&ガウス過程では… – ln p(t|θ) = −1 2 ln |CN| − 1 2tT C−1 N t − N 2 ln(2π) – 勾配 — ∂ ∂θi ln p(t|θ) = −1 2Tr(C−1 N ∂CN ∂θi ) + 1 2tT C−1 N ∂CN ∂θi C−1 N t 一般には非凸関数で、近似的に解く。以下略 @taki0313
  • 36.
    35/50 6.4.4 関連度自動決定 関連度自由決定(ARD) —ニューラルネットから提案された何か 詳しくは §7.2.2 例 — 2次元の入力空間x = (x1, x2)をもつガウス過程 – カーネル k(x, x′ ) = θ0 exp { −1 2 ∑ ηi(xi − x′ i )2 } @taki0313
  • 37.
    36/50 図6.9 — ARD事前分布からのサンプル −1 0 1 −1 0 1 −1 0 1 −1 0 1 −1 0 1 −1 0 1 η1= η2 = 1 (左) η1 = 1, η2 = 0.01 (右) ηは入力に対する敏感さ ARDの文脈から出力の予測 にあまり寄与しない入力変 数を求められる。 @taki0313
  • 38.
    37/50 図6.10 — ARDにおけるηの変化 020 40 60 80 100 10 −4 10 −2 10 0 10 2 3次元の入力 x1, x2, x3 最適化 — 共役勾配法 目標変数t – x1:ガウス分布、100個 – x2 はx1+ノイズ – x3 はランダムなノイズ – sin(2πx1)+ノイズ η1 > η2 >>>> η3 @taki0313
  • 39.
    38/50 6.4.4 ARD ARD →指数・2次カーネル – k(xn, xm) = θ0 exp{−1 2 ∑ ηi(xni − xmi)2 } + θ2 + θ3 ∑ xnixmi 種々の応用において有用らしいカーネル @taki0313
  • 40.
    39/50 6.4.5 ガウス過程による分類 確率的な分類 →事後確率 ∈ (0, 1) ガウス過程 → 実数値全体 → 活性化関数 → 分類問題 2クラス分類問題 t ∈ {0, 1} – 関数a(x)上でのガウス過程を考える – y = σ(a)と変換する – y ∈ {0, 1}へ落とす – 1次元の例 — 図6.11 @taki0313
  • 41.
    40/50 図6.11 −1 −0.5 00.5 1 −10 −5 0 5 10 −1 −0.5 0 0.5 1 0 0.25 0.5 0.75 1 • 上図 – a(x)に対するガウス過程 の事前分布からのサンプ ル • 下図 – ロジスティックシグモイ ド関数で変換した @taki0313
  • 42.
    41/50 6.4.5 ガウス過程による分類 目標変数tの確率分布 —ベルヌーイ分布 – p(t|a) = σ(a)t (1 − σ(a))1−t 入力の訓練集合{x1, · · · , xN} 対応する目標変数の観測値t = (t1, t2 · · · , tN)T テスト点xN+1 に対するtN+1 を予測 – 予測分布p(tN+1|t)を決定する – 要素a(x1), · · · , a(xN+1)を持つベクトルaN+1 @taki0313
  • 43.
    42/50 6.4.5 ガウス過程による分類 ベクトルaN+1 い対するガウス過程による事前分布 –p(aN+1) = N(aN+1|0, CN+1) – 正しいラベルが付いている → CN にはノイズが入ってない – 正定値保証のためにパラメータν の項を入れる – C(xn, xm) = k(xn, xm) + νδnm – カーネルはパラメータθによって決まる 2クラス分類 — p(tN+1 = 1|tN)を予測する – p(tN+1 = 1|tN) = ∫ p(tN+1 = 1|aN+1)p(aN+1|tN)daN+1 @taki0313
  • 44.
    43/50 6.4.5 ガウス過程による分類 p(tN+1 =1|tN) = ∫ p(tN+1 = 1|aN+1)p(aN+1|tN)daN+1 解析的に解けない – 詳細略 – 漸近的にガウス分布に近づく – どうやってガウス分布として近似するか ∗ 10.1 変分推論法 ∗ 10.7 EP法 ∗ 6.4.6 ラプラス近似 @taki0313
  • 45.
    44/50 6.4.6 ラプラス近似 ベイズの定理 &p(tN|aN+1, aN) = p(tN|aN) より p(aN+1|tN) = ∫ p(aN+1, aN|tN)daN = 1 p(tN) ∫ p(aN+1, aN)p(tN|aN+1, aN)daN = 1 p(tN) ∫ p(aN+1|aN)p(aN)p(tN|aN)daN = ∫ p(aN+1|aN)p(aN|tN)daN @taki0313
  • 46.
    45/50 6.4.6 ラプラス近似 条件付き分布 —(6.66), (6.67) – p(aN+1|aN) = N(aN+1|kT C−1 N aN, c − kT C−1 N k) 積分 → ラプラス近似 & ガウス分布の畳み込み p(aN) — 平均0, 共分散行列CN であるガウス過程による データについての項(各々独立として…) – p(tN|aN) = ∏N n=1 σ(an)tn(1 − σ(an))1−tn = ∏N n=1 eantnσ(−an) @taki0313
  • 47.
    46/50 6.4.6 ラプラス近似 定数項を無視してラプラス近似 – Ψ(aN)= ln p(aN) + ln p(tN|aN) = −1 2aT NCNaN − N 2 ln(2π) − 1 2 ln |CN| + tT NaN − ∑N n=1 ln(1 + ean) – ∇Ψ(aN) = tN − σN − C−1 N aN σN の要素はσ(an) – ∇∇Ψ(aN) = −WN − C−1 N Wは対角要素にσ(an)(1 − σ(an))を持つ正定値行列 dσ da = σ(1 − σ)(4.88) 正定値行列の和も正定値行列 (演習6.24) @taki0313
  • 48.
    47/50 6.4.6 ラプラス近似 ヘッセ行列 A= −∇∇Ψ(aN)が正定値 — 事後分布p(aN|tN)の対 数が凸関数 凸関数 — 極小・極大 = 最小・最大 逐次更新で最適解を目指せる — Newton-Raphson medhot (4.92) – anew N = CN(I + WNCN)−1 {tN−σN + WnaN} – a∗ N に収束するまで — モード – このとき a∗ N = CN(tN−σN) 収束時のヘッセ行列 H = −∇∇Ψ(aN) = WN + C−1 N @taki0313
  • 49.
    48/50 6.4.6 ラプラス近似 収束時の、事後分布p(aN|tN)のガウス分布による近似 – q(aN)= N(aN|a∗ N, H−1 ) 2つのガウス分布の畳み込み積分の評価 — 2章 – E[aN+1|tN] = kT (tN − σN) – var[aN+1|tN] = c − kT (W−1 N + CN)−1 k →ガウス分布の情報が得られたので… @taki0313
  • 50.
    49/50 6.4.6 ラプラス近似 共分散パラメータθの決定 – 尤度最大化,最尤推定 – 尤度関数p(tN|θ) = ∫ p(tN|aN)p(aN|θ)daN 近似 – ln p(tN|θ) = Ψ(a∗ N) − 1 2 ln |WN + C−1 N | + N 2 ln(2π) Ψ(a∗ N) = ln p(a∗ N) + ln p(tN|a∗ N) θの微分がCN とaN の二種類の項が表れる(以下略?) @taki0313
  • 51.
    50/50 6.4.7 ニューラルネットとの関係 ニューラルネット – 隠れユニットの数Mを上手く調整すれば強い –M → ∞ ガウス過程っぽい. ただし独立 – ニューラルネット — 隠れユニットの共有とが面白い ガウス過程 – 共分散関数に性質が左右される – 解析的に求められないところは近似 @taki0313