PRML
               §3
                      2010 / 06 / 27
                        id: taki0313




2010   7   9
CONTENTS


           ● §3.1

           ● §3.2

           ● §3.3

           ● §3.4

           ● §3.5

           ● §3.6
2010   7   9
Introduction

           ●         →

           ●

                           {xn} , {tn}

                    x           t

                …

               t = y(x)             p( t | x )   …

               Et[t | x]                         @ §1.5.5

2010   7   9
§3.1

           ●




           ●   Φj




                           w



                               Φj(x) = x^j

2010   7   9
2010   7   9
§3.1.1

           ●                  +




           ●
           ●            : y(x,w)


2010   7   9
N




2010   7   9
ED




                    :   =0




2010   7   9
…?




2010   7   9
M=3, N=2   ///




2010   7   9
2010   7   9
2010   7   9
w0




               β




2010   7   9
§3.1.2

           ●                             N

           ● M=2, N=3




                    j

                    N                            Φ j

                                 Φ(xn)       n


2010   7   9
●N>M    M            S

           ●t     y(xn,w) ∈ S




                                          =

                                    3.2   …




2010   7   9
§3.1.3

           ●

           ●       E




               τ                 η

               (3.12)ED     …

               LMS           (       )


2010   7   9
§3.1.4

           ●            λ




               …




2010   7   9
●


           ●




           ● q=1(lasso)   λ   →




2010   7   9
●       …

               λ           →



               M           →λ

                                    …?

                               ?   §3.4

           ●           2




2010   7   9
§3.1.5

           ●

                        y :K
                        W : (M,K)




2010   7   9
●




               tk   n   tnk,N




2010   7   9
§3.2

           ● §1.5.5

                      p(t|x)                   …

                                                   …



           ●

                               h(x)




                      y               (   !)


2010   7   9
∞           …

                            h(x)

                   y(x,w)              …?

                                   =

               w

                   D




2010   7   9
●

                         D

               2*(...)




                         (   )^2

               Bias:


               Variance:




2010   7   9
●       …


                                   = Bias^2 + Variance + Noise


                                                            Bias   Variance


               Bias - Variance



               h(x) = sin(2πx) , N=25 , M=25

                                 100

                                       λ


2010   7   9
●   …

                       &

                   !



2010   7   9
§3.3

           ●




           ●

               w

                …



2010   7   9
w

                             2



           w    ∝    ×

               ?→2




                         w       mN



2010   7   9
∞



               mN   WML

               …




2010   7   9
@   (ry




2010   7   9
●1             x, 1               t, y(x,w) = w0 + x*w1
       ● f(x, a) = a0 + x*a1 (a0=-0.3, a1=0.5)
         xn ∈ U(x| -1, 1)              f(xn, a)
                  σ=0.2                              tn
       ●       : a0=-0.3 , a1=0.5
       ● α=2.0                β=(1 / 0.2)^2 = 25        (        )


       ●           ∝          *
       ●w              p(w|α)=N(w|0,1/αE)




2010   7   9
y(x,w)


               1   (       )




               2       (       )




               w       …

2010   7   9
q=2

       q=2           …


                     w   =




2010   7   9
§3.3.2

           ●   t           →




           ●   ?2   k&         &




                                   1/β + w

                    N→∞            →0 (w     )




2010   7   9
@




2010   7   9
● sin(2πx) , N = 1 , 2 , 4 , 25. ,
       ●                                    ±
       ●                         9




       ●w                      y(x,w)




2010   7   9
§3.3.3

           ●




2010   7   9
…

               k(x,x’) :




                                           x’ ,   x




                                     k(x,x’)

                    x      x’

                                x‘

2010   7   9
y(x)   y(x’)




                              :



           k(x,x’)




2010   7   9
§3.4

           ●

               L     {Mi}

                            D



                                P(Mi)

           D




2010   7   9
p(Mi) :

                          p(D|Mi) :



                                           ?



                         p(D|Mi) / p(D|Mj) :

                                               (   )




2010   7   9
●   w



                       w




                   1




2010   7   9
p(w) ~ 1 / Δwprior
                                             : wMAP
               Δwposterior




                             w

                                                 (    )



2010   7   9
M       :   +




                   M
                                      …




                               M1 M2 M3




2010   7   9
D
                                   p(w)   w
                                   p(D|w)
                                 M1 :
                                              D
                                 M3 :
                                              D


           p(D|Mi)                            D0
                     M2

                      M1    D0
                     M3    D0


2010   7   9
M
               D

                   ?
               2   M1, M2. M1




               D




2010   7   9
§3.5

           ●

                         α,β

                               …

               w


                   2               …




2010   7   9
:w      α β




               p(t|w,β) : (3.8) , p(w|t,α,β) : (3.49),(3.53),(3.54)

               p(α,β|t)

                            α β

                 α β            w




2010   7   9
α,β




                    p(t|α,β)

                               α,β




               EM




2010   7   9
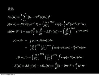
§3.5.1

           ●              p(t|α,β)




               (3.11), (3.12), (3.52)   …




2010   7   9
2010   7   9
(3.27)

           w




               A ∇∇E(w)            :




           A
                             mN

2010   7   9
2010   7   9
●               M
       ● α = 5 * 10^{-3}




       ●            3~8    3
       ●                    M=3


2010   7   9
§3.5.2

           ● p(t|α,β)       α

           ●

                                →A   α + λi

           ● ln |A|     α




2010   7   9
α




           2α             &Σ   M




                    α …



2010   7   9
α            →           β

               γ, mN α
               α            →γ,mN       →α   →…
                                                  × β → λi

           β

               λi   β




2010   7   9
§3.5.3

           ●      α

           ●



                               →



           ● λi




2010   7   9
λ


                     γ                         γ
                         well-determined

           λ1 < λ2

           λ2      λ1

           γ←

           γ               →

           γ:



               γ          →                →       Wml

2010   7   9
β

               1




               μML




                         γ

                     γ       → 1 / N-γ



2010   7   9
●        +9               M=10
       ●β      11.1                α
       ●          γ   2αEw(mn)
       ●




       ●       α
       ●

2010   7   9
●                     γ
       ● 0≦α≦∞ → 0≦γ≦M

                                  {wi}
                                  α→γ
                                  γ→
                                  α



       ● M << N                  well-determined
       ●
       ●α β              …



2010   7   9
§3.6

           ●               →
           ●
           ●
           ●
               1.
               2.          →M
           ●
               1.
               2.




2010   7   9

Prml sec3

  • 1.
    PRML §3 2010 / 06 / 27 id: taki0313 2010 7 9
  • 2.
    CONTENTS ● §3.1 ● §3.2 ● §3.3 ● §3.4 ● §3.5 ● §3.6 2010 7 9
  • 3.
    Introduction ● → ● {xn} , {tn} x t … t = y(x) p( t | x ) … Et[t | x] @ §1.5.5 2010 7 9
  • 4.
    §3.1 ● ● Φj w Φj(x) = x^j 2010 7 9
  • 5.
    2010 7 9
  • 6.
    §3.1.1 ● + ● ● : y(x,w) 2010 7 9
  • 7.
  • 8.
    ED : =0 2010 7 9
  • 9.
  • 10.
    M=3, N=2 /// 2010 7 9
  • 11.
    2010 7 9
  • 12.
    2010 7 9
  • 13.
    w0 β 2010 7 9
  • 14.
    §3.1.2 ● N ● M=2, N=3 j N Φ j Φ(xn) n 2010 7 9
  • 15.
    ●N>M M S ●t y(xn,w) ∈ S = 3.2 … 2010 7 9
  • 16.
    §3.1.3 ● ● E τ η (3.12)ED … LMS ( ) 2010 7 9
  • 17.
    §3.1.4 ● λ … 2010 7 9
  • 18.
    ● ● q=1(lasso) λ → 2010 7 9
  • 19.
    … λ → M →λ …? ? §3.4 ● 2 2010 7 9
  • 20.
    §3.1.5 ● y :K W : (M,K) 2010 7 9
  • 21.
    tk n tnk,N 2010 7 9
  • 22.
    §3.2 ● §1.5.5 p(t|x) … … ● h(x) y ( !) 2010 7 9
  • 23.
    … h(x) y(x,w) …? = w D 2010 7 9
  • 24.
    D 2*(...) ( )^2 Bias: Variance: 2010 7 9
  • 25.
    … = Bias^2 + Variance + Noise Bias Variance Bias - Variance h(x) = sin(2πx) , N=25 , M=25 100 λ 2010 7 9
  • 26.
    … & ! 2010 7 9
  • 27.
    §3.3 ● ● w … 2010 7 9
  • 28.
    w 2 w ∝ × ?→2 w mN 2010 7 9
  • 29.
    mN WML … 2010 7 9
  • 30.
    @ (ry 2010 7 9
  • 31.
    ●1 x, 1 t, y(x,w) = w0 + x*w1 ● f(x, a) = a0 + x*a1 (a0=-0.3, a1=0.5) xn ∈ U(x| -1, 1) f(xn, a) σ=0.2 tn ● : a0=-0.3 , a1=0.5 ● α=2.0 β=(1 / 0.2)^2 = 25 ( ) ● ∝ * ●w p(w|α)=N(w|0,1/αE) 2010 7 9
  • 32.
    y(x,w) 1 ( ) 2 ( ) w … 2010 7 9
  • 33.
    q=2 q=2 … w = 2010 7 9
  • 34.
    §3.3.2 ● t → ● ?2 k& & 1/β + w N→∞ →0 (w ) 2010 7 9
  • 35.
  • 36.
    ● sin(2πx) ,N = 1 , 2 , 4 , 25. , ● ± ● 9 ●w y(x,w) 2010 7 9
  • 37.
    §3.3.3 ● 2010 7 9
  • 38.
    k(x,x’) : x’ , x k(x,x’) x x’ x‘ 2010 7 9
  • 39.
    y(x) y(x’) : k(x,x’) 2010 7 9
  • 40.
    §3.4 ● L {Mi} D P(Mi) D 2010 7 9
  • 41.
    p(Mi) : p(D|Mi) : ? p(D|Mi) / p(D|Mj) : ( ) 2010 7 9
  • 42.
    w w 1 2010 7 9
  • 43.
    p(w) ~ 1/ Δwprior : wMAP Δwposterior w ( ) 2010 7 9
  • 44.
    M : + M … M1 M2 M3 2010 7 9
  • 45.
    D p(w) w p(D|w) M1 : D M3 : D p(D|Mi) D0 M2 M1 D0 M3 D0 2010 7 9
  • 46.
    M D ? 2 M1, M2. M1 D 2010 7 9
  • 47.
    §3.5 ● α,β … w 2 … 2010 7 9
  • 48.
    :w α β p(t|w,β) : (3.8) , p(w|t,α,β) : (3.49),(3.53),(3.54) p(α,β|t) α β α β w 2010 7 9
  • 49.
    α,β p(t|α,β) α,β EM 2010 7 9
  • 50.
    §3.5.1 ● p(t|α,β) (3.11), (3.12), (3.52) … 2010 7 9
  • 51.
    2010 7 9
  • 52.
    (3.27) w A ∇∇E(w) : A mN 2010 7 9
  • 53.
    2010 7 9
  • 54.
    M ● α = 5 * 10^{-3} ● 3~8 3 ● M=3 2010 7 9
  • 55.
    §3.5.2 ● p(t|α,β) α ● →A α + λi ● ln |A| α 2010 7 9
  • 56.
    α 2α &Σ M α … 2010 7 9
  • 57.
    α → β γ, mN α α →γ,mN →α →… × β → λi β λi β 2010 7 9
  • 58.
    §3.5.3 ● α ● → ● λi 2010 7 9
  • 59.
    λ γ γ well-determined λ1 < λ2 λ2 λ1 γ← γ → γ: γ → → Wml 2010 7 9
  • 60.
    β 1 μML γ γ → 1 / N-γ 2010 7 9
  • 61.
    +9 M=10 ●β 11.1 α ● γ 2αEw(mn) ● ● α ● 2010 7 9
  • 62.
    γ ● 0≦α≦∞ → 0≦γ≦M {wi} α→γ γ→ α ● M << N well-determined ● ●α β … 2010 7 9
  • 63.
    §3.6 ● → ● ● ● 1. 2. →M ● 1. 2. 2010 7 9