NADEEM UDDIN
ASSOCIATE PROFESSOR
OF STATISTICS
POISSON PROBABILITY
DISTRIBUTION
Poisson experiment:
A Poisson experiment is a random experiment that has the
following properties:
1-The experiment results in outcomes that can be classified
as successes or failures.
2-The average number of successes (μ) that occurs in a
specified region is known.
3-The probability that a success will occur is proportional to
the size of the region.
4-The probability that a success will occur in an extremely
small region is virtually zero.
Note that the specified region could take many forms. For
instance, it could be a length, an area, a volume, a period of
time, etc.
Poisson application
1-The number of car accidents at a place per month.
2-The number of network failures per day.
3-The arrivals of buses, trucks and cars at a toll
plaza in a 2 hours interval.
4-There will be a specific number of flaws found on
the surface space of a sheet-metal panel used in
the production of cars.
Poisson Random Variable:
A Poisson random variable is the number of successes that result
from a Poisson experiment.
Poisson Distribution:
The probability distribution of a Poisson random variable is called a
Poisson distribution.
Given the mean number of successes (μ) that occur in a specified
region, we can compute the Poisson probability based on the
following formula:
𝑃 𝑥 = 𝑥 =
𝑒−𝜇 𝜇 𝑥
𝑥!
; 𝑓𝑜𝑟𝑥 = 0, 1, 2, … … … …
The mean of the distribution is equal to μ .
The variance is also equal to μ .
Use of Poisson Probability Distribution
Example-1
A student finds that the average number of amoebas in
10ml of pond water from a particular pond is four. Find the
probability that in a 10ml sample.
(a). there are exactly five amoebas.
(b). there are no amoebas.
(c). there are fewer than three amoebas.
(d). there are at least three amoebas.
(e). there are 1 to 3 amoebas.(inclusive)
Solution:
X is the number of amoebas in 10ml of pond water where
X ̴ P(4)
𝜇 = 4
𝑃(𝑥 = 𝑥) =
𝑒−𝜇 𝜇 𝑥
𝑥!
(a). 𝑃 𝑥 = 5 =
𝑒−445
5!
= 0.156
(b). 𝑃 𝑥 = 0 =
𝑒−440
0!
= 0.183
(c). 𝑃 𝑥 < 3 = 𝑃 𝑥 = 0 + 𝑃 𝑥 = 1 + 𝑝(𝑥 = 2)
=
𝑒−440
0!
+
𝑒−441
1!
+
𝑒−442
2!
= 0.238
(d). P(x ≥ 3) = 1 - 𝑃 𝑥 < 3
P(x ≥ 3) = 1- 0.238 (from part c)
P(x ≥ 3) = 0.762
(e). P(1≤ x ≤ 3) = 𝑃 𝑥 = 1 + 𝑝 𝑥 = 2 + 𝑝 𝑥 = 3
P(1≤ x ≤ 3) =
𝑒−441
1!
+
𝑒−442
2!
+
𝑒−443
3!
P(1≤ x ≤ 3) = 0.4152
Example-2
On average the school photocopier breaks down eight times during
the school week (Monday to Friday). Find the probability
(a). five times in given week.
(b). once on Monday.
(c). eight times in a fortnight.
Solution:
(a). mean number of breakdowns in weak =  = 8
𝑃 𝑥 = 5 =
𝑒−885
5!
= 0.0916
(b). mean number of breakdowns in a day =  =
8
5
= 1.6
𝑃 𝑥 = 1 =
𝑒−1.6 1.6 1
1!
= 0.323
(c). mean number of breakdowns in fortnight =  = 2  8 = 16
𝑃 𝑥 = 8 =
𝑒−16168
8!
= 0.0120
Using the Poisson Distribution as an Approximation to the
Binomial Distribution
Ifn is sufficiently large and p is sufficiently small. if n ≥ 20
and p ≤ 0.05, or ifn ≥ 100 and np ≤ 10.
Example-3
Eggs are packed into boxes of 500 on average 0.7% of the eggs are
found to be broken when the eggs are unpacked. Find the probability
that in a box of 500 eggs,
(a). exactly three are broken.
(b). at least two are broken.
P = 0.007
n = 500
 = np = 500  0.007 = 3.5
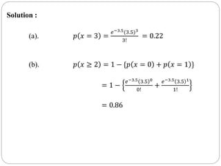
Solution :
(a). 𝑝 𝑥 = 3 =
𝑒−3.5(3.5)3
3!
= 0.22
(b). 𝑝 𝑥 ≥ 2 = 1 − {𝑝 𝑥 = 0 + 𝑝 𝑥 = 1 }
= 1 −
𝑒−3.5 3.5 0
0!
+
𝑒−3.5 3.5 1
1!
= 0.86

Poisson probability distribution

  • 1.
    NADEEM UDDIN ASSOCIATE PROFESSOR OFSTATISTICS POISSON PROBABILITY DISTRIBUTION
  • 2.
    Poisson experiment: A Poissonexperiment is a random experiment that has the following properties: 1-The experiment results in outcomes that can be classified as successes or failures. 2-The average number of successes (μ) that occurs in a specified region is known. 3-The probability that a success will occur is proportional to the size of the region. 4-The probability that a success will occur in an extremely small region is virtually zero. Note that the specified region could take many forms. For instance, it could be a length, an area, a volume, a period of time, etc.
  • 3.
    Poisson application 1-The numberof car accidents at a place per month. 2-The number of network failures per day. 3-The arrivals of buses, trucks and cars at a toll plaza in a 2 hours interval. 4-There will be a specific number of flaws found on the surface space of a sheet-metal panel used in the production of cars.
  • 4.
    Poisson Random Variable: APoisson random variable is the number of successes that result from a Poisson experiment. Poisson Distribution: The probability distribution of a Poisson random variable is called a Poisson distribution. Given the mean number of successes (μ) that occur in a specified region, we can compute the Poisson probability based on the following formula: 𝑃 𝑥 = 𝑥 = 𝑒−𝜇 𝜇 𝑥 𝑥! ; 𝑓𝑜𝑟𝑥 = 0, 1, 2, … … … … The mean of the distribution is equal to μ . The variance is also equal to μ .
  • 5.
    Use of PoissonProbability Distribution Example-1 A student finds that the average number of amoebas in 10ml of pond water from a particular pond is four. Find the probability that in a 10ml sample. (a). there are exactly five amoebas. (b). there are no amoebas. (c). there are fewer than three amoebas. (d). there are at least three amoebas. (e). there are 1 to 3 amoebas.(inclusive)
  • 6.
    Solution: X is thenumber of amoebas in 10ml of pond water where X ̴ P(4) 𝜇 = 4 𝑃(𝑥 = 𝑥) = 𝑒−𝜇 𝜇 𝑥 𝑥! (a). 𝑃 𝑥 = 5 = 𝑒−445 5! = 0.156 (b). 𝑃 𝑥 = 0 = 𝑒−440 0! = 0.183
  • 7.
    (c). 𝑃 𝑥< 3 = 𝑃 𝑥 = 0 + 𝑃 𝑥 = 1 + 𝑝(𝑥 = 2) = 𝑒−440 0! + 𝑒−441 1! + 𝑒−442 2! = 0.238 (d). P(x ≥ 3) = 1 - 𝑃 𝑥 < 3 P(x ≥ 3) = 1- 0.238 (from part c) P(x ≥ 3) = 0.762 (e). P(1≤ x ≤ 3) = 𝑃 𝑥 = 1 + 𝑝 𝑥 = 2 + 𝑝 𝑥 = 3 P(1≤ x ≤ 3) = 𝑒−441 1! + 𝑒−442 2! + 𝑒−443 3! P(1≤ x ≤ 3) = 0.4152
  • 8.
    Example-2 On average theschool photocopier breaks down eight times during the school week (Monday to Friday). Find the probability (a). five times in given week. (b). once on Monday. (c). eight times in a fortnight. Solution: (a). mean number of breakdowns in weak =  = 8 𝑃 𝑥 = 5 = 𝑒−885 5! = 0.0916
  • 9.
    (b). mean numberof breakdowns in a day =  = 8 5 = 1.6 𝑃 𝑥 = 1 = 𝑒−1.6 1.6 1 1! = 0.323 (c). mean number of breakdowns in fortnight =  = 2  8 = 16 𝑃 𝑥 = 8 = 𝑒−16168 8! = 0.0120
  • 10.
    Using the PoissonDistribution as an Approximation to the Binomial Distribution Ifn is sufficiently large and p is sufficiently small. if n ≥ 20 and p ≤ 0.05, or ifn ≥ 100 and np ≤ 10. Example-3 Eggs are packed into boxes of 500 on average 0.7% of the eggs are found to be broken when the eggs are unpacked. Find the probability that in a box of 500 eggs, (a). exactly three are broken. (b). at least two are broken. P = 0.007 n = 500  = np = 500  0.007 = 3.5
  • 11.
    Solution : (a). 𝑝𝑥 = 3 = 𝑒−3.5(3.5)3 3! = 0.22 (b). 𝑝 𝑥 ≥ 2 = 1 − {𝑝 𝑥 = 0 + 𝑝 𝑥 = 1 } = 1 − 𝑒−3.5 3.5 0 0! + 𝑒−3.5 3.5 1 1! = 0.86