TOPIC 9:
SPECIAL PROBABILITY
DISTRIBUTIONS
MATHEMATICS UNIT
KOLEJ MATRIKULASI KEJURUTERAAN JOHOR
LECTURE 1 OF 4
9.1 BINOMIAL DISTRIBUTION
a) Identify the binomial distribution B(n,p)
b) Find the mean and variance of binomial distribution
c) Find the probability by using binomial distribution.
BINOMIAL
DISTRIBUTION
trials are
independent of
each other
a fixed number
of trials (n
trials),
use to model
situations where
there are just two
possible outcomes,
success and failure
probability of
success ( p ) must
be the same for
each trial
Determine whether the following situations can be
modelled by a binomial distribution
a) The number of heads obtained when
unbiased coin is tossed 10 times.
b) The number of black pens obtained when four
pens are picked at random one at a time, from a box
containing 5 black pens and 15 red pens.
c) The number of lettuce seeds that germinate from a
pack of 3 seeds, given that the probability that a lettuce
seed germinates is 0.8
If X is a random variable of a binomial distribution, then the
probability of x success in n trials is given by the following
probability density function
n
x
q
p
C
x
X
P x
n
x
x
n
,...,
2
,
1
,
0
,
)
( 

 
n : the number of trial
x : the number of success
p : the probability for a success
q : the probability for a failure ( q = 1 – p )
DEFINITION
We write X ~ B( n , p ) where n and p are known as the
parameter of the binomial distribution.
)!
(
!
!
:
Note
x
n
x
n
Cx
n


find
,
)
9
.
0
,
10
(
~
If B
X
)
6
(
a) 
X
P
)
8
(
b) 
X
P
)
2
(
c) 
X
P
In a Maths Test, 45 % of students passed the test. If a
class of 20 students took the test, find the probability
that
a) exactly 15 students passed.
b) at least 2 students passed.
c) more than 16 students passed.
d) not more than 1 student passed.
)
,
(
~ B
X 0.45
20
a) exactly 15 students passed.
b) at least 2 students passed.
c) more than 16 students passed.
*Note: could use probability table
d) not more than 1 student passed
*Note: could use probability table
topic
in this
used
be
that will
y values
probabilit
the
of
part
shows
below
table
The
successes.
of
number
the
is
X
where
)
(
of
form
in the
y
probabilit
for the
is
value
tabulated
The
instead.
used
is
table
binomial
Therefore
tedious.
becomes
n
calculatio
the
larger,
gets
)
(
trials
of
number
the
As
x
X
P
n

If X ~ B(20, 0.35 ). By using the binomial table, find
(a) P ( X > 5 )
(b) P ( 2<X< 7 )
(c) P ( X < 4 )
X is a random variable such that X ~ B (5, 0.3). By
using the binomial table, find
)
3
(
a) 
X
P
)
3
(
b) 
X
P
)
3
(
c) 
X
P
)
3
(
d) 
X
P
)
3
(
e) 
X
P
The Expected Value ( Mean ) and Variance of
The Binomial Distribution
Definition
If X ~ B( n, p ) :
• expected value or mean of X written as E( X ) = np
• the variance of X written as Var( X ) = npq .
Let X ~ B( n, 0.22 ) and E( X ) = 11. Find
(a) the value of n (b)Var( X ) (c)P ( X = 4 )
A coin is tossed 40 times. Find the mean and the standard
deviation of the number of heads appeared .
For a particular strain of seeds, only one out of five
germinates. If a farmer plants 20 of these seeds, what is
the probability that
(a) exactly five germinate
(b) more than five germinate
(c) not less than five germinate 0 1746
0 1958
0 3704
a) .
b) .
c) .
Answer
In a local election 40 % of voters support the
Future Party. A random sample of 15 voters is
taken. What is the probability that it contains :
(a) no voters of the Future Party
(b) at least two voters for the Future Party
(c) less than six voters for the Future Party
0 0005
0 9948
0 4032
a) .
b) .
c) .
Answer
A four-sided dice is thrown five times. If X denotes the
number of four obtained, describe the distribution of X and
find P ( X = 3 ) .
0 0879
.
Answer
Of all the pupils in a particular school, 45 % go to school
by bus. In a random sample of 30 pupils, calculate
(a)the mean number of pupils that go to school by bus
(b)the probability that not more than 10 pupils go to school
by bus.
13 5
0 135
a) .
b) .
Answer
At the local swimming club, the expected number of
members that can swim a mile is 4.5 with variance 3.15.
Find the probability that at least three members can swim a
mile.
0 8732
.
Answer
TOPIC 9:
SPECIAL PROBABILITY
DISTRIBUTIONS
MATHEMATICS UNIT
KOLEJ MATRIKULASI KEJURUTERAAN JOHOR
LECTURE 2 OF 4
POISSON DISTRIBUTION
9.2
a) Identify the Poisson distribution, 𝑃𝑜 𝜆
b) Find the mean and variance of Poisson distribution
c) Find the probability by using Poisson distribution.
POISSON
DISTRIBUTION
Events occur
independently
Probability that
an event occurs
is the same for
each interval
Probability of a
given number of
events occurring
in a fixed interval
of time or space
Determine whether the following situations can be
modelled by a Poisson distribution
a) The number of meteorites greater than 1 meter
diameter that strike Earth in a year.
b) The number of patients arriving in an emergency
room between 10 and 11 pm
c) The number of photons hitting a detector in a
particular time interval
= parameter/ average/ mean
The variable X is the number of occurrences in the given
interval is written as where is the parameter of
the Poisson Distribution.
)
(
~ 0 
P
X 
!
)
(
x
e
x
X
P
x






DEFINITION
If , find the probability by using the Poisson
formula
)
6
(
~ 0
P
X
)
3
(
) 
X
P
a
)
2
(
) 
X
P
b
)
2
(
) 
X
P
c
)
5
3
(
) 
 X
P
d
An average of three cars arrive at a highway tollgate every
minute. If this rate is approximately Poisson distribution what
is the probability that exactly,
(a) five cars will arrive in one minute
(b) seven cars will arrive in five minutes
Finding Probability Using The Poisson Table
Sometimes we need to calculate the probability
such as P( X < 10). In this case, we have to
calculate P(X = 0) + P(X = 1) + P(X = 2) + … +
P(X = 9). This procedure is time consuming thus,
it is easier to use the Poisson Distribution Table.
Read: 𝑃(𝑋 ≥ 𝑥)
:
find
),
5
.
5
(
~
If 0
P
X
)
5
(
a) 
X
P
)
5
(
b) 
X
P
)
5
(
c) 
X
P
)
8
3
(
d) 
 X
P
The number of breakdowns in a particular machine
occurs at a rate of 2.5 per month. Assuming that the
number of breakdowns follows Poisson distribution, find
the probability that,
(a) more than three breakdowns occur in a particular month.
(b) less than ten breakdowns occur in three months period.
(c) exactly three breakdowns occur in two months.
Mean and Variance of Poisson Distribution.
If X is a random variable following the Poisson
distribution then,
)
(
~ 0 
P
X


)
(
mean, X
E


)
(
variance, X
Var
If 𝑿~𝑷𝟎 𝟏. 𝟖 , 𝒔𝒕𝒂𝒕𝒆 𝒕𝒉𝒆 𝒎𝒆𝒂𝒏 𝒂𝒏𝒅 𝒗𝒂𝒓𝒊𝒂𝒏𝒄𝒆
𝒇𝒐𝒓 𝒕𝒉𝒊𝒔 𝒅𝒊𝒔𝒕𝒓𝒊𝒃𝒖𝒕𝒊𝒐𝒏.
Emergency calls to an ambulance service are received at
random times, at an average of 2 per hour. Calculate the
probability that, in a randomly chosen one hour period,
(a) no emergency calls are received
(b) exactly one call is received in the first half hour and exactly one
call is received in the second half.
Answer: (a) 0.1353
(b) 0.1353
An average number of books sold at a bookshop per week
is 10, find
(a) the probability that 5 books are sold at that bookshop
per week
(b) the probability that less than 4 books are sold per week
(c) the probability that more than 7 books are sold in 2 weeks
0378
.
0

0103
.
0

9992
.
0

Answer: (a) 0.0378
(b) 0.0103
(c) 0.9992
Butterworth police records show that there has
been an average of 4 accidents per week on
the Butterworth highway. If these accidents
follow a Poisson distribution, what is the
probability that the police must respond to
(a) exactly one accident in a week.
(b) fewer than 2 accidents in a week
Answer: (a) 0.0733
(b) 0.0916
TOPIC 9:
SPECIAL PROBABILITY
DISTRIBUTIONS
MATHEMATICS UNIT
KOLEJ MATRIKULASI KEJURUTERAAN JOHOR
LECTURE 3 OF 4
NORMAL DISTRIBUTION
9.3
a) Identify the normal distribution, 𝑁 𝜇, 𝜎2
b) Use the formula to standardize the normal random
variable, Z-N(0,1).
c) Find the mean and variance of normal distribution
problems
d) Solve related problems.
NORMAL
DISTRIBUTION
)
,
(
~ 2


N
X
Normal curve is given
by a bell shaped curve
• The total area under the
curve is 1
• The curve is symmetric
about the mean
• The two tails of the curve
is indefinitely
• Always use distribution
table to compute
probabilities follow
N(0,1)  standard
normal
Find the area under the standard normal curve
between z = 0 and z =1.95
)
1
,
0
(
~ N
Z
If ,find
)
1
,
0
(
~ N
Z
)
2
.
1
(
) 
Z
P
a
If ,find
)
1
,
0
(
~ N
Z
)
2
2
(
) 

 Z
P
b
If ,find
)
1
,
0
(
~ N
Z
)
1
2
.
1
(
) 

 Z
P
c
If ,find
)
1
,
0
(
~ N
Z
9
.
0
)
(
) 
 a
Z
P
a
If ,find
)
1
,
0
(
~ N
Z
25
0.
)
(
) 
 a
Z
P
b
values.
to
values
following
e
Convert th
10.
of
deviation
standard
a
and
50
of
mean
a
with
on
distributi
normal
a
has
that
variable
random
continuous
be
Let
z
x
x
55
) 
x
a 35
) 
x
b
)
1
,
0
(
~ N
Z
)
10
,
50
(
~ 2
N
X 



X
Z
on
distributi
normal on
distributi
normal
standard
area,
the
Find
4.
of
deviation
standard
a
and
25
of
mean
a
with
on
distributi
normal
a
has
that
variable
random
continuous
be
Let x
32
and
25
etween
) 
 x
x
b
a
34
and
18
etween
) 
 x
x
b
b
)
32
25
(
) 
 X
P
a
0 75
.
1
)
4
,
25
(
~ 2
N
X
)
34
18
(
) 
 X
P
b
In a company, the wages of a certain grade of staff are normally
distributed with a standard deviation of RM 400. If 20.05% of staff earn
less than RM 300 a week,
a)What is the average wage?
b)What the percentage of staff earns more than RM500 a week?
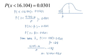
.
and
Find
0.0301.
16.104)
P(X
and
0.3594
25.512)
P(X
Given that
.
variance
and
mean
a
on with
distributi
normal
a
has
X
variable
random
The
2
2








3594
.
0
)
512
.
25
( 

x
P
0301
.
0
)
104
.
16
( 

x
P
A random variable X has a normal distribution with standard
deviation 10 . Find its mean if the probability that it will take
on a value more than 77.5 is 0.1736
 
Answer:
68 1
.

 
2
Given that ~ ( , ). If P(X 12) 0.3 and P(X 4) 0.4,
find the value of and .
X N  
 
   
Answer:
6 6056
.
 
10 2867
.
 
A certain type of cabbage has a mass which is normally distributed
with mean 1.2 kg and standard deviation 0.2 kg.
(a) In a representative batch of 1000 cabbages calculate an
estimate of how many will have mass greater than 0.9 kg.
(b) A farmer rejects 5% of a large quantity of cabbages because
they are underweight. Calculate the minimum acceptable
weight of a cabbage.
Answer: (a) 0.9332
(b) 872g
TOPIC 9:
SPECIAL PROBABILITY
DISTRIBUTIONS
MATHEMATICS UNIT
KOLEJ MATRIKULASI KEJURUTERAAN JOHOR
LECTURE 4 OF 4
DISTRIBUTION APPROXIMATION
9.4
a) Use the normal distribution to approximate the
binomial distribution.
BINOMIAL
DISTRIBUTION
)
,
(
~ p
n
B
X APPROXIMATION
NORMAL
DISTRIBUTION
)
,
(
~ 2


N
X
50

n
5
5


nq
np
n = num. of trials
p = prob. of success npq
np


2


1
2
3
CONTINUITY
CORRECTION
Binomial
Distribution
(discrete)
Normal
Distribution
(continuous)
continuity
correction
±0.5
A manufacturer of chocolates produces 3 times as many soft centred chocolates as
hard centred ones. Assuming that the chocolates are randomly distributed within
boxes of chocolates,
(a) find the probability that in a box containing 20 chocolates there are
(i) an equal number of soft centred and hard centred chocolates,
(ii) fewer than 5 hard centred chocolates.
(b) A random sample of 5 boxes is taken. Find the probability that exactly 3 of
them contain fewer than 5 hard centred chocolates
(c) A large box of chocolates contains 100 chocolates. Using a suitable
approximation estimate the probability that it contains fewer than 21 hard
centred chocolates
)
25
.
0
,
20
(
~
) B
X
a
choc
centred
hard

p
75
.
0

q
)
10
(
) 
X
P
i
10
10
10
20
)
75
.
0
(
)
25
.
0
(
C

.0099
0

(i) an equal number of soft centred and hard centred
chocolates,
)
25
.
0
,
20
(
~
) B
X
a choc
centred
hard

p
75
.
0

q
)
5
(
) 
X
P
ii
)
5
(
1 

 X
P
5852
.
0
1

.4148
0

(ii) fewer than 5 hard centred chocolates.
(b) A random sample of 5 boxes is taken. Find the probability that
exactly 3 of them contain fewer than 5 hard centred chocolates
)
4148
.
0
,
5
(
~ B
Y
choc
centred
hard
5


p 5852
.
0

q
)
3
( 
Y
P 2
3
3
5
)
5852
.
0
(
)
4148
.
0
(
C

2444
.
0

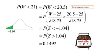
(c) A large box of chocolates contains 100 chocolates. Using a suitable
approximation estimate the probability that it contains fewer than 21 hard centred
chocolates
)
25
.
0
,
100
(
~ B
W )
75
.
18
,
25
(
~ N
W
Normal approximation
75
.
18
25
5
75
,
5
25
,
50
2









npq
np
nq
np
n


)
21
( 
W
P )
5
.
20
( 
 W
P





 



75
.
18
25
5
.
20
75
.
18
25
W
P
 
04
.
1


 Z
P
 
04
.
1

 Z
P
04
.
1

0.1492

Continuity Correction
A large box contains many plastic syringes, but previous experience indicates that 10% of the
syringes in the box are defective. 5 syringes are taken at random from the box.
(a) Use a binomial model to calculate, giving your answer to three decimal places, the
probability that
(i) none of the 5 syringes is defective
(ii)at least 2 syringes out of the 5 are defective.
(b) Discuss the validity of the binomial model in this context.
(c) Instead of removing 5 syringes, 100 syringes are picked at random and removed. A
normal distribution may be used to estimate the probability that at least 15 out of
the 100 syringes are defective. Give a reason why it may be convenient to use a
normal distribution to do this, and calculate the required estimate.
(i) none of the 5 syringes is defective
)
1
.
0
,
5
(
~ B
X 9
.
0

q
)
0
( 
X
P 5
0
0
5
)
9
.
0
(
)
1
.
0
(
C

(3d.p)
590
.
0

(ii) at least 2 syringes out of the 5 are defective
)
1
.
0
,
5
(
~ B
X 9
.
0

q
)
2
( 
X
P 0815
.
0

(3d.p)
082
.
0

(b) Discuss the validity of the binomial model in this context.
i. n = 5 (number of trials in fixed)
ii. n is independent
iii. probability of success is 0.1 for each trial.
So, binomial model is valid in this context.
(c) Instead of removing 5 syringes, 100 syringes are picked at random and removed.
A normal distribution may be used to estimate the probability that at least 15 out of
the 100 syringes are defective. Give a reason why it may be convenient to use a
normal distribution to do this, and calculate the required estimate.
)
1
.
0
,
100
(
~ B
W )
9
,
10
(
~ N
W
Normal approximation
9
10
5
90
,
5
10
,
50
2









npq
np
nq
np
n


)
15
( 
W
P )
5
.
14
( 
 W
P





 



3
10
5
.
14
3
10
W
P
 
5
.
1

 Z
P
0.0668

0 5
.
1
CONTINUITY CORRECTION
Autovend sells new cars and second-hand cars. The probability of selling new car is 0.4 and
the probability of selling automatic cars is 0.1. The sales of new and second-hand cars are
randomly distributed throughout the week,
(a) For a particular week, where the company sells 20 cars, find the probability that
(i) at most 5 new cars are sold.
(ii) more new cars are sold than second-hand cars.
(b) During a 3 months period 200 cars are sold. Using a suitable approximation find the
probability that
(i) less than 85 new cars are sold
(ii) 12 cars with automatic gearboxes are sold.
Answer:
(ai) 0.1256
(aii) 0.1275
(bi) 0.7422
(bii) 0.0164
At a certain petrol filling station, 60% of the
customers pay by credit card.
(a) For a random sample of 10 customers, find the
probability that exactly 6 pay by card credit.
(b) For a random sample of 80 customers, use an
appropriate distributional approximation
to obtain a value for the probability that more than
60 pay by credit card.
ANSWERS
(a) 0.251 (b) 0.00217
1) 𝑃𝑟𝑜𝑏𝑎𝑏𝑖𝑙𝑖𝑡𝑦 𝑏𝑒𝑡𝑤𝑒𝑒𝑛 𝑎 𝑎𝑛𝑑 𝑏 𝑃(𝑎 < 𝑋 < 𝑏)
2) 𝑃𝑟𝑜𝑏𝑎𝑏𝑖𝑙𝑖𝑡𝑦 𝑏𝑒𝑡𝑤𝑒𝑒𝑛 𝑎 𝑡𝑜 𝑏 𝑃(𝑎 < 𝑋 < 𝑏)
3) 𝑃𝑟𝑜𝑏𝑎𝑏𝑖𝑙𝑖𝑡𝑦 𝑏𝑒𝑡𝑤𝑒𝑒𝑛 𝑎 𝑎𝑛𝑑 𝑏 𝑖𝑛𝑐𝑙𝑢𝑠𝑖𝑣𝑒 𝑃(𝑎 ≤ 𝑋 ≤ 𝑏)
4) 𝑃𝑟𝑜𝑏𝑎𝑏𝑖𝑙𝑖𝑡𝑦 𝑏𝑒𝑡𝑤𝑒𝑒𝑛 𝑎 𝑡𝑜 𝑏 𝑖𝑛𝑐𝑙𝑢𝑠𝑖𝑣𝑒 𝑃(𝑎 ≤ 𝑋 ≤ 𝑏)
5) 𝑃𝑟𝑜𝑏𝑎𝑏𝑖𝑙𝑖𝑡𝑦 𝑓𝑟𝑜𝑚 𝑎 𝑎𝑛𝑑 𝑏 𝑃( 𝑎 ≤ 𝑋 ≤ 𝑏)
6)𝑃𝑟𝑜𝑏𝑎𝑏𝑖𝑙𝑖𝑡𝑦 𝑓𝑟𝑜𝑚 𝑎 𝑡𝑜 𝑏 𝑃(𝑎 ≤ 𝑋 ≤ 𝑏)
7) 𝑃𝑟𝑜𝑏𝑎𝑏𝑖𝑙𝑖𝑡𝑦 𝑎𝑡𝑙𝑒𝑎𝑠𝑡 𝑎 𝑃(𝑋 ≥ 𝑎)
8) 𝑃𝑟𝑜𝑏𝑎𝑏𝑖𝑙𝑖𝑡𝑦 𝑎𝑡𝑚𝑜𝑠𝑡 𝑎 𝑃(𝑋 ≤ 𝑎)
9) 𝑃𝑟𝑜𝑏𝑎𝑏𝑖𝑙𝑖𝑡𝑦 𝑙𝑒𝑠𝑠 𝑡ℎ𝑎𝑛 𝑎 𝑃(𝑋 < 𝑎)
10)𝑃𝑟𝑜𝑏𝑎𝑏𝑖𝑙𝑖𝑡𝑦 𝑚𝑜𝑟𝑒 𝑡ℎ𝑎𝑛 𝑎 𝑃(𝑋 > 𝑎)
11) 𝑃𝑟𝑜𝑏𝑎𝑏𝑙𝑖𝑡𝑦 𝑠𝑐𝑜𝑟𝑒𝑠 𝑚𝑜𝑟𝑒 𝑡ℎ𝑎𝑛 𝑎 𝑔𝑖𝑣𝑒𝑛 𝑡ℎ𝑎𝑡 𝑠𝑐𝑜𝑟𝑒𝑠 𝑙𝑒𝑠𝑠 𝑡ℎ𝑎𝑛 𝑏
𝑃(𝑎<𝑋<𝑏)
𝑃(𝑋<𝑏)
12) 𝑃𝑟𝑜𝑏𝑎𝑏𝑖𝑙𝑖𝑡𝑦 𝑎 𝑡𝑜 𝑏 𝑃(𝑎 ≤ 𝑋 ≤ 𝑏)
EXAMPLE 23
EXAMPLE 24
Topic 9_special-probability-distributions.pdf.pdf

Topic 9_special-probability-distributions.pdf.pdf

  • 1.
    TOPIC 9: SPECIAL PROBABILITY DISTRIBUTIONS MATHEMATICSUNIT KOLEJ MATRIKULASI KEJURUTERAAN JOHOR LECTURE 1 OF 4
  • 2.
    9.1 BINOMIAL DISTRIBUTION a)Identify the binomial distribution B(n,p) b) Find the mean and variance of binomial distribution c) Find the probability by using binomial distribution.
  • 3.
    BINOMIAL DISTRIBUTION trials are independent of eachother a fixed number of trials (n trials), use to model situations where there are just two possible outcomes, success and failure probability of success ( p ) must be the same for each trial
  • 4.
    Determine whether thefollowing situations can be modelled by a binomial distribution a) The number of heads obtained when unbiased coin is tossed 10 times.
  • 5.
    b) The numberof black pens obtained when four pens are picked at random one at a time, from a box containing 5 black pens and 15 red pens.
  • 6.
    c) The numberof lettuce seeds that germinate from a pack of 3 seeds, given that the probability that a lettuce seed germinates is 0.8
  • 7.
    If X isa random variable of a binomial distribution, then the probability of x success in n trials is given by the following probability density function n x q p C x X P x n x x n ,..., 2 , 1 , 0 , ) (     n : the number of trial x : the number of success p : the probability for a success q : the probability for a failure ( q = 1 – p ) DEFINITION
  • 8.
    We write X~ B( n , p ) where n and p are known as the parameter of the binomial distribution. )! ( ! ! : Note x n x n Cx n  
  • 9.
  • 10.
  • 11.
    In a MathsTest, 45 % of students passed the test. If a class of 20 students took the test, find the probability that a) exactly 15 students passed. b) at least 2 students passed. c) more than 16 students passed. d) not more than 1 student passed.
  • 12.
    ) , ( ~ B X 0.45 20 a)exactly 15 students passed. b) at least 2 students passed.
  • 13.
    c) more than16 students passed. *Note: could use probability table
  • 14.
    d) not morethan 1 student passed *Note: could use probability table
  • 15.
    topic in this used be that will yvalues probabilit the of part shows below table The successes. of number the is X where ) ( of form in the y probabilit for the is value tabulated The instead. used is table binomial Therefore tedious. becomes n calculatio the larger, gets ) ( trials of number the As x X P n 
  • 16.
    If X ~B(20, 0.35 ). By using the binomial table, find (a) P ( X > 5 ) (b) P ( 2<X< 7 )
  • 17.
    (c) P (X < 4 )
  • 18.
    X is arandom variable such that X ~ B (5, 0.3). By using the binomial table, find ) 3 ( a)  X P ) 3 ( b)  X P ) 3 ( c)  X P
  • 19.
  • 20.
    The Expected Value( Mean ) and Variance of The Binomial Distribution Definition If X ~ B( n, p ) : • expected value or mean of X written as E( X ) = np • the variance of X written as Var( X ) = npq .
  • 21.
    Let X ~B( n, 0.22 ) and E( X ) = 11. Find (a) the value of n (b)Var( X ) (c)P ( X = 4 )
  • 22.
    A coin istossed 40 times. Find the mean and the standard deviation of the number of heads appeared .
  • 23.
    For a particularstrain of seeds, only one out of five germinates. If a farmer plants 20 of these seeds, what is the probability that (a) exactly five germinate (b) more than five germinate (c) not less than five germinate 0 1746 0 1958 0 3704 a) . b) . c) . Answer
  • 24.
    In a localelection 40 % of voters support the Future Party. A random sample of 15 voters is taken. What is the probability that it contains : (a) no voters of the Future Party (b) at least two voters for the Future Party (c) less than six voters for the Future Party 0 0005 0 9948 0 4032 a) . b) . c) . Answer
  • 25.
    A four-sided diceis thrown five times. If X denotes the number of four obtained, describe the distribution of X and find P ( X = 3 ) . 0 0879 . Answer
  • 26.
    Of all thepupils in a particular school, 45 % go to school by bus. In a random sample of 30 pupils, calculate (a)the mean number of pupils that go to school by bus (b)the probability that not more than 10 pupils go to school by bus. 13 5 0 135 a) . b) . Answer
  • 27.
    At the localswimming club, the expected number of members that can swim a mile is 4.5 with variance 3.15. Find the probability that at least three members can swim a mile. 0 8732 . Answer
  • 28.
    TOPIC 9: SPECIAL PROBABILITY DISTRIBUTIONS MATHEMATICSUNIT KOLEJ MATRIKULASI KEJURUTERAAN JOHOR LECTURE 2 OF 4
  • 29.
    POISSON DISTRIBUTION 9.2 a) Identifythe Poisson distribution, 𝑃𝑜 𝜆 b) Find the mean and variance of Poisson distribution c) Find the probability by using Poisson distribution.
  • 30.
    POISSON DISTRIBUTION Events occur independently Probability that anevent occurs is the same for each interval Probability of a given number of events occurring in a fixed interval of time or space
  • 31.
    Determine whether thefollowing situations can be modelled by a Poisson distribution a) The number of meteorites greater than 1 meter diameter that strike Earth in a year.
  • 32.
    b) The numberof patients arriving in an emergency room between 10 and 11 pm
  • 33.
    c) The numberof photons hitting a detector in a particular time interval
  • 34.
    = parameter/ average/mean The variable X is the number of occurrences in the given interval is written as where is the parameter of the Poisson Distribution. ) ( ~ 0  P X  ! ) ( x e x X P x       DEFINITION
  • 35.
    If , findthe probability by using the Poisson formula ) 6 ( ~ 0 P X ) 3 ( )  X P a ) 2 ( )  X P b
  • 36.
  • 37.
    An average ofthree cars arrive at a highway tollgate every minute. If this rate is approximately Poisson distribution what is the probability that exactly, (a) five cars will arrive in one minute
  • 38.
    (b) seven carswill arrive in five minutes
  • 39.
    Finding Probability UsingThe Poisson Table Sometimes we need to calculate the probability such as P( X < 10). In this case, we have to calculate P(X = 0) + P(X = 1) + P(X = 2) + … + P(X = 9). This procedure is time consuming thus, it is easier to use the Poisson Distribution Table. Read: 𝑃(𝑋 ≥ 𝑥)
  • 40.
    : find ), 5 . 5 ( ~ If 0 P X ) 5 ( a)  X P ) 5 ( b) X P ) 5 ( c)  X P ) 8 3 ( d)   X P
  • 41.
    The number ofbreakdowns in a particular machine occurs at a rate of 2.5 per month. Assuming that the number of breakdowns follows Poisson distribution, find the probability that, (a) more than three breakdowns occur in a particular month.
  • 42.
    (b) less thanten breakdowns occur in three months period.
  • 43.
    (c) exactly threebreakdowns occur in two months.
  • 44.
    Mean and Varianceof Poisson Distribution. If X is a random variable following the Poisson distribution then, ) ( ~ 0  P X   ) ( mean, X E   ) ( variance, X Var
  • 45.
    If 𝑿~𝑷𝟎 𝟏.𝟖 , 𝒔𝒕𝒂𝒕𝒆 𝒕𝒉𝒆 𝒎𝒆𝒂𝒏 𝒂𝒏𝒅 𝒗𝒂𝒓𝒊𝒂𝒏𝒄𝒆 𝒇𝒐𝒓 𝒕𝒉𝒊𝒔 𝒅𝒊𝒔𝒕𝒓𝒊𝒃𝒖𝒕𝒊𝒐𝒏.
  • 46.
    Emergency calls toan ambulance service are received at random times, at an average of 2 per hour. Calculate the probability that, in a randomly chosen one hour period, (a) no emergency calls are received (b) exactly one call is received in the first half hour and exactly one call is received in the second half. Answer: (a) 0.1353 (b) 0.1353
  • 47.
    An average numberof books sold at a bookshop per week is 10, find (a) the probability that 5 books are sold at that bookshop per week (b) the probability that less than 4 books are sold per week (c) the probability that more than 7 books are sold in 2 weeks 0378 . 0  0103 . 0  9992 . 0  Answer: (a) 0.0378 (b) 0.0103 (c) 0.9992
  • 48.
    Butterworth police recordsshow that there has been an average of 4 accidents per week on the Butterworth highway. If these accidents follow a Poisson distribution, what is the probability that the police must respond to (a) exactly one accident in a week. (b) fewer than 2 accidents in a week Answer: (a) 0.0733 (b) 0.0916
  • 49.
    TOPIC 9: SPECIAL PROBABILITY DISTRIBUTIONS MATHEMATICSUNIT KOLEJ MATRIKULASI KEJURUTERAAN JOHOR LECTURE 3 OF 4
  • 50.
    NORMAL DISTRIBUTION 9.3 a) Identifythe normal distribution, 𝑁 𝜇, 𝜎2 b) Use the formula to standardize the normal random variable, Z-N(0,1). c) Find the mean and variance of normal distribution problems d) Solve related problems.
  • 51.
    NORMAL DISTRIBUTION ) , ( ~ 2   N X Normal curveis given by a bell shaped curve • The total area under the curve is 1 • The curve is symmetric about the mean • The two tails of the curve is indefinitely • Always use distribution table to compute probabilities follow N(0,1)  standard normal
  • 52.
    Find the areaunder the standard normal curve between z = 0 and z =1.95 ) 1 , 0 ( ~ N Z
  • 53.
  • 54.
  • 55.
  • 56.
  • 57.
  • 58.
    values. to values following e Convert th 10. of deviation standard a and 50 of mean a with on distributi normal a has that variable random continuous be Let z x x 55 )  x a35 )  x b ) 1 , 0 ( ~ N Z ) 10 , 50 ( ~ 2 N X     X Z on distributi normal on distributi normal standard
  • 59.
  • 60.
    ) 32 25 ( )   X P a 075 . 1 ) 4 , 25 ( ~ 2 N X
  • 61.
  • 62.
    In a company,the wages of a certain grade of staff are normally distributed with a standard deviation of RM 400. If 20.05% of staff earn less than RM 300 a week, a)What is the average wage? b)What the percentage of staff earns more than RM500 a week?
  • 65.
  • 66.
  • 67.
  • 69.
    A random variableX has a normal distribution with standard deviation 10 . Find its mean if the probability that it will take on a value more than 77.5 is 0.1736   Answer: 68 1 .    2 Given that ~ ( , ). If P(X 12) 0.3 and P(X 4) 0.4, find the value of and . X N         Answer: 6 6056 .   10 2867 .  
  • 70.
    A certain typeof cabbage has a mass which is normally distributed with mean 1.2 kg and standard deviation 0.2 kg. (a) In a representative batch of 1000 cabbages calculate an estimate of how many will have mass greater than 0.9 kg. (b) A farmer rejects 5% of a large quantity of cabbages because they are underweight. Calculate the minimum acceptable weight of a cabbage. Answer: (a) 0.9332 (b) 872g
  • 71.
    TOPIC 9: SPECIAL PROBABILITY DISTRIBUTIONS MATHEMATICSUNIT KOLEJ MATRIKULASI KEJURUTERAAN JOHOR LECTURE 4 OF 4
  • 72.
    DISTRIBUTION APPROXIMATION 9.4 a) Usethe normal distribution to approximate the binomial distribution.
  • 73.
    BINOMIAL DISTRIBUTION ) , ( ~ p n B X APPROXIMATION NORMAL DISTRIBUTION ) , ( ~2   N X 50  n 5 5   nq np n = num. of trials p = prob. of success npq np   2   1 2 3
  • 74.
  • 78.
    A manufacturer ofchocolates produces 3 times as many soft centred chocolates as hard centred ones. Assuming that the chocolates are randomly distributed within boxes of chocolates, (a) find the probability that in a box containing 20 chocolates there are (i) an equal number of soft centred and hard centred chocolates, (ii) fewer than 5 hard centred chocolates. (b) A random sample of 5 boxes is taken. Find the probability that exactly 3 of them contain fewer than 5 hard centred chocolates (c) A large box of chocolates contains 100 chocolates. Using a suitable approximation estimate the probability that it contains fewer than 21 hard centred chocolates
  • 79.
  • 80.
    ) 25 . 0 , 20 ( ~ ) B X a choc centred hard  p 75 . 0  q ) 5 ( ) X P ii ) 5 ( 1    X P 5852 . 0 1  .4148 0  (ii) fewer than 5 hard centred chocolates.
  • 81.
    (b) A randomsample of 5 boxes is taken. Find the probability that exactly 3 of them contain fewer than 5 hard centred chocolates ) 4148 . 0 , 5 ( ~ B Y choc centred hard 5   p 5852 . 0  q ) 3 (  Y P 2 3 3 5 ) 5852 . 0 ( ) 4148 . 0 ( C  2444 . 0 
  • 82.
    (c) A largebox of chocolates contains 100 chocolates. Using a suitable approximation estimate the probability that it contains fewer than 21 hard centred chocolates ) 25 . 0 , 100 ( ~ B W ) 75 . 18 , 25 ( ~ N W Normal approximation 75 . 18 25 5 75 , 5 25 , 50 2          npq np nq np n  
  • 83.
    ) 21 (  W P ) 5 . 20 (  W P           75 . 18 25 5 . 20 75 . 18 25 W P   04 . 1    Z P   04 . 1   Z P 04 . 1  0.1492  Continuity Correction
  • 84.
    A large boxcontains many plastic syringes, but previous experience indicates that 10% of the syringes in the box are defective. 5 syringes are taken at random from the box. (a) Use a binomial model to calculate, giving your answer to three decimal places, the probability that (i) none of the 5 syringes is defective (ii)at least 2 syringes out of the 5 are defective. (b) Discuss the validity of the binomial model in this context. (c) Instead of removing 5 syringes, 100 syringes are picked at random and removed. A normal distribution may be used to estimate the probability that at least 15 out of the 100 syringes are defective. Give a reason why it may be convenient to use a normal distribution to do this, and calculate the required estimate.
  • 85.
    (i) none ofthe 5 syringes is defective ) 1 . 0 , 5 ( ~ B X 9 . 0  q ) 0 (  X P 5 0 0 5 ) 9 . 0 ( ) 1 . 0 ( C  (3d.p) 590 . 0 
  • 86.
    (ii) at least2 syringes out of the 5 are defective ) 1 . 0 , 5 ( ~ B X 9 . 0  q ) 2 (  X P 0815 . 0  (3d.p) 082 . 0 
  • 87.
    (b) Discuss thevalidity of the binomial model in this context. i. n = 5 (number of trials in fixed) ii. n is independent iii. probability of success is 0.1 for each trial. So, binomial model is valid in this context.
  • 88.
    (c) Instead ofremoving 5 syringes, 100 syringes are picked at random and removed. A normal distribution may be used to estimate the probability that at least 15 out of the 100 syringes are defective. Give a reason why it may be convenient to use a normal distribution to do this, and calculate the required estimate. ) 1 . 0 , 100 ( ~ B W ) 9 , 10 ( ~ N W Normal approximation 9 10 5 90 , 5 10 , 50 2          npq np nq np n  
  • 89.
    ) 15 (  W P ) 5 . 14 (  W P           3 10 5 . 14 3 10 W P   5 . 1   Z P 0.0668  0 5 . 1 CONTINUITY CORRECTION
  • 90.
    Autovend sells newcars and second-hand cars. The probability of selling new car is 0.4 and the probability of selling automatic cars is 0.1. The sales of new and second-hand cars are randomly distributed throughout the week, (a) For a particular week, where the company sells 20 cars, find the probability that (i) at most 5 new cars are sold. (ii) more new cars are sold than second-hand cars. (b) During a 3 months period 200 cars are sold. Using a suitable approximation find the probability that (i) less than 85 new cars are sold (ii) 12 cars with automatic gearboxes are sold. Answer: (ai) 0.1256 (aii) 0.1275 (bi) 0.7422 (bii) 0.0164
  • 91.
    At a certainpetrol filling station, 60% of the customers pay by credit card. (a) For a random sample of 10 customers, find the probability that exactly 6 pay by card credit. (b) For a random sample of 80 customers, use an appropriate distributional approximation to obtain a value for the probability that more than 60 pay by credit card. ANSWERS (a) 0.251 (b) 0.00217
  • 92.
    1) 𝑃𝑟𝑜𝑏𝑎𝑏𝑖𝑙𝑖𝑡𝑦 𝑏𝑒𝑡𝑤𝑒𝑒𝑛𝑎 𝑎𝑛𝑑 𝑏 𝑃(𝑎 < 𝑋 < 𝑏) 2) 𝑃𝑟𝑜𝑏𝑎𝑏𝑖𝑙𝑖𝑡𝑦 𝑏𝑒𝑡𝑤𝑒𝑒𝑛 𝑎 𝑡𝑜 𝑏 𝑃(𝑎 < 𝑋 < 𝑏) 3) 𝑃𝑟𝑜𝑏𝑎𝑏𝑖𝑙𝑖𝑡𝑦 𝑏𝑒𝑡𝑤𝑒𝑒𝑛 𝑎 𝑎𝑛𝑑 𝑏 𝑖𝑛𝑐𝑙𝑢𝑠𝑖𝑣𝑒 𝑃(𝑎 ≤ 𝑋 ≤ 𝑏) 4) 𝑃𝑟𝑜𝑏𝑎𝑏𝑖𝑙𝑖𝑡𝑦 𝑏𝑒𝑡𝑤𝑒𝑒𝑛 𝑎 𝑡𝑜 𝑏 𝑖𝑛𝑐𝑙𝑢𝑠𝑖𝑣𝑒 𝑃(𝑎 ≤ 𝑋 ≤ 𝑏) 5) 𝑃𝑟𝑜𝑏𝑎𝑏𝑖𝑙𝑖𝑡𝑦 𝑓𝑟𝑜𝑚 𝑎 𝑎𝑛𝑑 𝑏 𝑃( 𝑎 ≤ 𝑋 ≤ 𝑏) 6)𝑃𝑟𝑜𝑏𝑎𝑏𝑖𝑙𝑖𝑡𝑦 𝑓𝑟𝑜𝑚 𝑎 𝑡𝑜 𝑏 𝑃(𝑎 ≤ 𝑋 ≤ 𝑏) 7) 𝑃𝑟𝑜𝑏𝑎𝑏𝑖𝑙𝑖𝑡𝑦 𝑎𝑡𝑙𝑒𝑎𝑠𝑡 𝑎 𝑃(𝑋 ≥ 𝑎) 8) 𝑃𝑟𝑜𝑏𝑎𝑏𝑖𝑙𝑖𝑡𝑦 𝑎𝑡𝑚𝑜𝑠𝑡 𝑎 𝑃(𝑋 ≤ 𝑎) 9) 𝑃𝑟𝑜𝑏𝑎𝑏𝑖𝑙𝑖𝑡𝑦 𝑙𝑒𝑠𝑠 𝑡ℎ𝑎𝑛 𝑎 𝑃(𝑋 < 𝑎) 10)𝑃𝑟𝑜𝑏𝑎𝑏𝑖𝑙𝑖𝑡𝑦 𝑚𝑜𝑟𝑒 𝑡ℎ𝑎𝑛 𝑎 𝑃(𝑋 > 𝑎) 11) 𝑃𝑟𝑜𝑏𝑎𝑏𝑙𝑖𝑡𝑦 𝑠𝑐𝑜𝑟𝑒𝑠 𝑚𝑜𝑟𝑒 𝑡ℎ𝑎𝑛 𝑎 𝑔𝑖𝑣𝑒𝑛 𝑡ℎ𝑎𝑡 𝑠𝑐𝑜𝑟𝑒𝑠 𝑙𝑒𝑠𝑠 𝑡ℎ𝑎𝑛 𝑏 𝑃(𝑎<𝑋<𝑏) 𝑃(𝑋<𝑏) 12) 𝑃𝑟𝑜𝑏𝑎𝑏𝑖𝑙𝑖𝑡𝑦 𝑎 𝑡𝑜 𝑏 𝑃(𝑎 ≤ 𝑋 ≤ 𝑏)
  • 93.
  • 97.