Oleh: Emanueli Mendrofa, S.Pd
Pengerjaan dengan singkat diperkenalkan oleh Carl Friedrich Gauss,
seorang matematikawan dari Jerman.
Saat itu Gauss mendapat tugas dari gurunya untuk menghitung jumlah
bilangan bulat dari 1 sampai 100. Pada mulanya gurunya yakin bahwa
pengerjaannya membutuhkan waktu cukup lama. Akan tetapi gurunya
terkejut ketika Gauss telah menemukan jawaban yang benar dan ditulis
pada selembar kertas dengan waktu yang singkat.
Bagaimanakah Gauss menemukan jawaban tugas tersebut??
Gauss menggunakan skema berikut ini:
1 + 2 + 3 + . . . + 99 + 100
100 + 99 + 98 + . . . + 2 + 1
101 + 101 + 101 + . . . + 101 + 101 = 10.100
Kemudian Gauss menyimpulkan bahwa jumlah bilangan bulat dari 1
sampai 100 adalah 10.100 : 2 = 5.050.
+


𝑘=1
5
2𝑘 − 1
𝒂 𝟏
𝒂 𝟐
𝒂 𝒏
𝑘=1
𝑛
𝑎 𝑘 = 𝑎1 + 𝑎2 + 𝑎3+ . . . +𝑎 𝑛
𝑘=1
4
2𝑘2 − 1
𝑘=1
4
2𝑘2 − 1 = 2 . 12 − 1 + 2 . 22 − 1 + 2 . 32 − 1 + 2 . 42 − 1
= 1 + 7 + 17 + 31
𝑘=1
4
2𝑘2 − 1 = 2 . 12 − 1 + 2 . 22 − 1 + 2 . 32 − 1 + 2 . 42 − 1
= 1 + 7 + 17 + 31
= 56
𝑘=1
4
2𝑘2 − 1 = 56
𝑘=1
6
2𝑘 + 1 2
= 32
+ 52
+ 72
+ 92
+ 112
+ 132
𝑘=1
5
2𝑘 + 1 2 = 32 + 52 + 72 + 92 + 112
𝑘=1
6
2𝑘 + 1 2 =
𝑘=1
5
2𝑘 + 1 2 + 132
𝒂 𝒏
𝒌=𝟏
𝒏
𝒂 𝒌 =
𝒌=𝟏
𝒏−𝟏
𝒂 𝒌 + 𝒂 𝒏
− −
𝒌=𝟏
𝟓
𝟐𝒌
𝒌=𝟏
𝟖
(𝟓𝒌 − 𝟑)
− − − − − −
𝒌=𝟏
𝟒
−𝟏 𝒌
𝒌
𝒌 + 𝟏
Bentuk penjumlahan yang dituliskan dengan notasi sigma memiliki
beberapa kaidah-kaidah (sifat) tertentu.
Jika C adalah suatu konstanta, maka:
Sifat Pertama
𝒌=𝟏
𝒏
𝑪 = 𝒏𝑪
Bukti:
Jadi,
Dari sifat pertama ini diperoleh:
𝑘=1
𝑛
𝐶 = 𝐶 + 𝐶 + 𝐶+ . . . +𝐶
𝑘=1
𝑛
𝐶 = 𝑛𝐶
n buah
𝑘=1
𝑛
𝐶 = 𝑛𝐶
(terbukti)
𝑘=1
𝑛
1 = 𝑛
Jika 𝒂 𝒌 merupakan suku ke-k dan C suatu konstanta, maka:
Bukti:
𝒌=𝟏
𝒏
𝑪 𝒂 𝒌 = 𝑪
𝒌=𝟏
𝒏
𝒂 𝒌
Sifat Kedua
𝒌=𝟏
𝒏
𝑪 𝒂 𝒌 = 𝑪𝒂 𝟏 + 𝑪𝒂 𝟐 + 𝑪𝒂 𝟑+ . . . +𝑪𝒂 𝒏 = 𝑪 (𝒂 𝟏 + 𝒂 𝟐 + 𝒂 𝟑+ . . . +𝒂 𝒏)
𝒌=𝟏
𝒏
𝑪 𝒂 𝒌 = 𝑪
𝒌=𝟏
𝒏
𝒂 𝒌 (terbukti)
Jika 𝒂 𝒌 dan 𝒃 𝒌 merupakan suku ke-k, maka:
Bukti:
𝒌=𝟏
𝒏
(𝒂 𝒌 + 𝒃 𝒌) =
𝒌=𝟏
𝒏
𝒂 𝒌 +
𝒌=𝟏
𝒏
𝒃 𝒌
Sifat Ketiga
𝒌=𝟏
𝒏
(𝒂 𝒌 + 𝒃 𝒌) = (𝒂 𝟏 + 𝒃 𝟏) + (𝒂 𝟐 + 𝒃 𝟐) + (𝒂 𝟑 + 𝒃 𝟑)+ . . . +(𝒂 𝒏 + 𝒃 𝒏)
Jadi,
(terbukti)
𝒌=𝟏
𝒏
(𝒂 𝒌 + 𝒃 𝒌) = (𝒂 𝟏 + 𝒂 𝟐 + 𝒂 𝟑+ . . . + 𝒂 𝒏) + (𝒃 𝟏+𝒃 𝟐 + 𝒃 𝟑+ . . . + 𝒂 𝒏)
𝒌=𝟏
𝒏
𝒂 𝒌 + 𝒃 𝒌 =
𝒌=𝟏
𝒏
𝒂 𝒌 +
𝒌=𝟏
𝒏
𝒃 𝒌
𝒌=𝟏
𝒏
(𝒂 𝒌 + 𝒃 𝒌) =
𝒌=𝟏
𝒏
𝒂 𝒌 +
𝒌=𝟏
𝒏
𝒃 𝒌
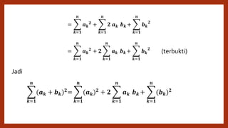
Jika 𝒂 𝒌 dan 𝒃 𝒌 merupakan suku ke-k, maka:
Bukti:
𝒌=𝟏
𝒏
(𝒂 𝒌 + 𝒃 𝒌) 𝟐=
𝒌=𝟏
𝒏
(𝒂 𝒌) 𝟐 + 𝟐
𝒌=𝟏
𝒏
𝒂 𝒌 𝒃 𝒌 +
𝒌=𝟏
𝒏
(𝒃 𝒌) 𝟐
Sifat keempat
𝒌=𝟏
𝒏
(𝒂 𝒌 + 𝒃 𝒌) 𝟐
=
𝒌=𝟏
𝒏
(𝒂 𝒌
𝟐
+ 𝟐 𝒂 𝒌 𝒃 𝒌 + 𝒃 𝒌
𝟐
)
Jadi
𝒌=𝟏
𝒏
(𝒂 𝒌 + 𝒃 𝒌) 𝟐 =
𝒌=𝟏
𝒏
𝒂 𝒌
𝟐 +
𝒌=𝟏
𝒏
𝟐 𝒂 𝒌 𝒃 𝒌 +
𝒌=𝟏
𝒏
𝒃 𝒌
𝟐
𝒌=𝟏
𝒏
(𝒂 𝒌 + 𝒃 𝒌) 𝟐
=
𝒌=𝟏
𝒏
𝒂 𝒌
𝟐
+ 𝟐
𝒌=𝟏
𝒏
𝒂 𝒌 𝒃 𝒌 +
𝒌=𝟏
𝒏
𝒃 𝒌
𝟐
𝒌=𝟏
𝒏
(𝒂 𝒌 + 𝒃 𝒌) 𝟐=
𝒌=𝟏
𝒏
(𝒂 𝒌) 𝟐 + 𝟐
𝒌=𝟏
𝒏
𝒂 𝒌 𝒃 𝒌 +
𝒌=𝟏
𝒏
(𝒃 𝒌) 𝟐
(terbukti)
Hasil penjumlahan dengan notasi sigma dapat dihitung dengan cepat
apabila banyak sukunya (n) sedikit, tetapi jika banyak sukunya (n) besar
maka perlu menggunakan rumus tertentu.
Menentukan nilai
Kita tahu bahwa:
𝑘=1
𝑛
𝑘
𝑘2 + 2𝑘 + 1 = (𝑘 + 1)2
2𝑘 + 1 = (𝑘 + 1)2 − 𝑘2
Sehingga untuk:
𝑘 = 1, maka 2𝑘 + 1 bernilai 22 − 12
𝑘 = 2, maka 2𝑘 + 1 bernilai 32 − 12
𝑘 = 3, maka 2𝑘 + 1 bernilai 42
− 12
𝑘 = 𝑛 − 1, maka 2𝑘 + 1 bernilai 𝑛2
− (𝑛 − 1)2
𝑘 = 𝑛, maka 2𝑘 + 1 bernilai (𝑛 + 1)2−𝑛2
+
𝑘=1
𝑛
2𝑘 + 1 = (𝑛 + 1)2−12
= 𝑛2 + 2𝑛 + 1 − 1
= 𝑛2 + 2𝑛
Berdasarkan kaidah-kaidah notasi sigma, didapat:
Dari uraian di atas, maka diperoleh persamaan:
𝑘=1
𝑛
2𝑘 + 1 =
𝑘=1
𝑛
2𝑘 +
𝑘=1
𝑛
1
= 2
𝑘=1
𝑛
𝑘 + 𝑛
2
𝑘=1
𝑛
𝑘 + 𝑛 = 𝑛2 + 2𝑛
2
𝑘=1
𝑛
𝑘 = 𝑛2 + 2𝑛 − 𝑛
Jadi,
atau
2
𝑘=1
𝑛
𝑘 = 𝑛2
+ 𝑛
𝑘=1
𝑛
𝑘 =
𝑛2
+ 𝑛
2
𝑘=1
𝑛
𝑘 =
𝑛2 + 𝑛
2
𝑘=1
𝑛
𝑘 =
1
2
𝑛 (𝑛 + 1)
Contoh1:
Hitunglah 3 + 6 + 9 + 12 + . . . + 45
Jawab:
3 + 6 + 9 + 12 + . . . + 45 = 3 (1 + 2 + 3 + . . . + 15)
= 3
𝑘=1
15
𝑘
= 3
152 + 15
2
= 360
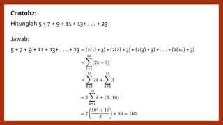
Contoh2:
Hitunglah 5 + 7 + 9 + 11 + 13+ . . . + 23
Jawab:
5 + 7 + 9 + 11 + 13+ . . . + 23 = (2(1) + 3) + (2(2) + 3) + (2(3) + 3) + . . . + (2(10) + 3)
=
𝑘=1
10
(2𝑘 + 3)
= 2
102 + 10
2
+ 30 = 140
=
𝑘=1
10
2𝑘 +
𝑘=1
10
3
= 2
𝑘=1
10
𝑘 + (3 . 10)
Tugas
1. Tulislah dengan menggunakan notasi sigma.
a. 2 + 4 + 8 + 16 + 32 + 64
b.
1
2
+
1
3
+
1
4
+ . . . +
1
100
2. Nyatakan dalam bentuk penjumlahan.
𝑛=0
7
(2 − 𝑛)
𝑘=2
𝑛
𝑘(𝑘 + 1)
2
a.
b.
3. Diketahui: 𝑎1 = 2, 𝑎2 = 3, 𝑎3 = 5, 𝑎4 = 7, 𝑎5 = 11, 𝑎6 = 13
𝑏1 = −3, 𝑏2 = −2, 𝑏3 = 0, 𝑏4 = 1, 𝑏5 = 2, 𝑏6 = −1
Hitunglah:
𝑘=1
6
(𝑎 𝑘 + 𝑏 𝑘)2
𝑘=1
6
(𝑎 𝑘 + 𝑏 𝑘)(𝑎 𝑘 − 𝑏 𝑘)
a.
b.
Notasi sigma

Notasi sigma

  • 1.
  • 2.
    Pengerjaan dengan singkatdiperkenalkan oleh Carl Friedrich Gauss, seorang matematikawan dari Jerman. Saat itu Gauss mendapat tugas dari gurunya untuk menghitung jumlah bilangan bulat dari 1 sampai 100. Pada mulanya gurunya yakin bahwa pengerjaannya membutuhkan waktu cukup lama. Akan tetapi gurunya terkejut ketika Gauss telah menemukan jawaban yang benar dan ditulis pada selembar kertas dengan waktu yang singkat.
  • 3.
    Bagaimanakah Gauss menemukanjawaban tugas tersebut?? Gauss menggunakan skema berikut ini: 1 + 2 + 3 + . . . + 99 + 100 100 + 99 + 98 + . . . + 2 + 1 101 + 101 + 101 + . . . + 101 + 101 = 10.100 Kemudian Gauss menyimpulkan bahwa jumlah bilangan bulat dari 1 sampai 100 adalah 10.100 : 2 = 5.050. +
  • 5.
  • 6.
  • 7.
    𝒂 𝟏 𝒂 𝟐 𝒂𝒏 𝑘=1 𝑛 𝑎 𝑘 = 𝑎1 + 𝑎2 + 𝑎3+ . . . +𝑎 𝑛
  • 8.
    𝑘=1 4 2𝑘2 − 1 𝑘=1 4 2𝑘2− 1 = 2 . 12 − 1 + 2 . 22 − 1 + 2 . 32 − 1 + 2 . 42 − 1 = 1 + 7 + 17 + 31
  • 9.
    𝑘=1 4 2𝑘2 − 1= 2 . 12 − 1 + 2 . 22 − 1 + 2 . 32 − 1 + 2 . 42 − 1 = 1 + 7 + 17 + 31 = 56 𝑘=1 4 2𝑘2 − 1 = 56
  • 11.
    𝑘=1 6 2𝑘 + 12 = 32 + 52 + 72 + 92 + 112 + 132 𝑘=1 5 2𝑘 + 1 2 = 32 + 52 + 72 + 92 + 112 𝑘=1 6 2𝑘 + 1 2 = 𝑘=1 5 2𝑘 + 1 2 + 132
  • 12.
    𝒂 𝒏 𝒌=𝟏 𝒏 𝒂 𝒌= 𝒌=𝟏 𝒏−𝟏 𝒂 𝒌 + 𝒂 𝒏
  • 13.
  • 14.
  • 15.
    𝒌=𝟏 𝟖 (𝟓𝒌 − 𝟑) −− − − − − 𝒌=𝟏 𝟒 −𝟏 𝒌 𝒌 𝒌 + 𝟏
  • 16.
    Bentuk penjumlahan yangdituliskan dengan notasi sigma memiliki beberapa kaidah-kaidah (sifat) tertentu. Jika C adalah suatu konstanta, maka: Sifat Pertama 𝒌=𝟏 𝒏 𝑪 = 𝒏𝑪
  • 17.
    Bukti: Jadi, Dari sifat pertamaini diperoleh: 𝑘=1 𝑛 𝐶 = 𝐶 + 𝐶 + 𝐶+ . . . +𝐶 𝑘=1 𝑛 𝐶 = 𝑛𝐶 n buah 𝑘=1 𝑛 𝐶 = 𝑛𝐶 (terbukti) 𝑘=1 𝑛 1 = 𝑛
  • 18.
    Jika 𝒂 𝒌merupakan suku ke-k dan C suatu konstanta, maka: Bukti: 𝒌=𝟏 𝒏 𝑪 𝒂 𝒌 = 𝑪 𝒌=𝟏 𝒏 𝒂 𝒌 Sifat Kedua 𝒌=𝟏 𝒏 𝑪 𝒂 𝒌 = 𝑪𝒂 𝟏 + 𝑪𝒂 𝟐 + 𝑪𝒂 𝟑+ . . . +𝑪𝒂 𝒏 = 𝑪 (𝒂 𝟏 + 𝒂 𝟐 + 𝒂 𝟑+ . . . +𝒂 𝒏) 𝒌=𝟏 𝒏 𝑪 𝒂 𝒌 = 𝑪 𝒌=𝟏 𝒏 𝒂 𝒌 (terbukti)
  • 19.
    Jika 𝒂 𝒌dan 𝒃 𝒌 merupakan suku ke-k, maka: Bukti: 𝒌=𝟏 𝒏 (𝒂 𝒌 + 𝒃 𝒌) = 𝒌=𝟏 𝒏 𝒂 𝒌 + 𝒌=𝟏 𝒏 𝒃 𝒌 Sifat Ketiga 𝒌=𝟏 𝒏 (𝒂 𝒌 + 𝒃 𝒌) = (𝒂 𝟏 + 𝒃 𝟏) + (𝒂 𝟐 + 𝒃 𝟐) + (𝒂 𝟑 + 𝒃 𝟑)+ . . . +(𝒂 𝒏 + 𝒃 𝒏)
  • 20.
    Jadi, (terbukti) 𝒌=𝟏 𝒏 (𝒂 𝒌 +𝒃 𝒌) = (𝒂 𝟏 + 𝒂 𝟐 + 𝒂 𝟑+ . . . + 𝒂 𝒏) + (𝒃 𝟏+𝒃 𝟐 + 𝒃 𝟑+ . . . + 𝒂 𝒏) 𝒌=𝟏 𝒏 𝒂 𝒌 + 𝒃 𝒌 = 𝒌=𝟏 𝒏 𝒂 𝒌 + 𝒌=𝟏 𝒏 𝒃 𝒌 𝒌=𝟏 𝒏 (𝒂 𝒌 + 𝒃 𝒌) = 𝒌=𝟏 𝒏 𝒂 𝒌 + 𝒌=𝟏 𝒏 𝒃 𝒌
  • 21.
    Jika 𝒂 𝒌dan 𝒃 𝒌 merupakan suku ke-k, maka: Bukti: 𝒌=𝟏 𝒏 (𝒂 𝒌 + 𝒃 𝒌) 𝟐= 𝒌=𝟏 𝒏 (𝒂 𝒌) 𝟐 + 𝟐 𝒌=𝟏 𝒏 𝒂 𝒌 𝒃 𝒌 + 𝒌=𝟏 𝒏 (𝒃 𝒌) 𝟐 Sifat keempat 𝒌=𝟏 𝒏 (𝒂 𝒌 + 𝒃 𝒌) 𝟐 = 𝒌=𝟏 𝒏 (𝒂 𝒌 𝟐 + 𝟐 𝒂 𝒌 𝒃 𝒌 + 𝒃 𝒌 𝟐 )
  • 22.
    Jadi 𝒌=𝟏 𝒏 (𝒂 𝒌 +𝒃 𝒌) 𝟐 = 𝒌=𝟏 𝒏 𝒂 𝒌 𝟐 + 𝒌=𝟏 𝒏 𝟐 𝒂 𝒌 𝒃 𝒌 + 𝒌=𝟏 𝒏 𝒃 𝒌 𝟐 𝒌=𝟏 𝒏 (𝒂 𝒌 + 𝒃 𝒌) 𝟐 = 𝒌=𝟏 𝒏 𝒂 𝒌 𝟐 + 𝟐 𝒌=𝟏 𝒏 𝒂 𝒌 𝒃 𝒌 + 𝒌=𝟏 𝒏 𝒃 𝒌 𝟐 𝒌=𝟏 𝒏 (𝒂 𝒌 + 𝒃 𝒌) 𝟐= 𝒌=𝟏 𝒏 (𝒂 𝒌) 𝟐 + 𝟐 𝒌=𝟏 𝒏 𝒂 𝒌 𝒃 𝒌 + 𝒌=𝟏 𝒏 (𝒃 𝒌) 𝟐 (terbukti)
  • 23.
    Hasil penjumlahan dengannotasi sigma dapat dihitung dengan cepat apabila banyak sukunya (n) sedikit, tetapi jika banyak sukunya (n) besar maka perlu menggunakan rumus tertentu. Menentukan nilai Kita tahu bahwa: 𝑘=1 𝑛 𝑘 𝑘2 + 2𝑘 + 1 = (𝑘 + 1)2 2𝑘 + 1 = (𝑘 + 1)2 − 𝑘2
  • 24.
    Sehingga untuk: 𝑘 =1, maka 2𝑘 + 1 bernilai 22 − 12 𝑘 = 2, maka 2𝑘 + 1 bernilai 32 − 12 𝑘 = 3, maka 2𝑘 + 1 bernilai 42 − 12 𝑘 = 𝑛 − 1, maka 2𝑘 + 1 bernilai 𝑛2 − (𝑛 − 1)2 𝑘 = 𝑛, maka 2𝑘 + 1 bernilai (𝑛 + 1)2−𝑛2 + 𝑘=1 𝑛 2𝑘 + 1 = (𝑛 + 1)2−12 = 𝑛2 + 2𝑛 + 1 − 1 = 𝑛2 + 2𝑛
  • 25.
    Berdasarkan kaidah-kaidah notasisigma, didapat: Dari uraian di atas, maka diperoleh persamaan: 𝑘=1 𝑛 2𝑘 + 1 = 𝑘=1 𝑛 2𝑘 + 𝑘=1 𝑛 1 = 2 𝑘=1 𝑛 𝑘 + 𝑛 2 𝑘=1 𝑛 𝑘 + 𝑛 = 𝑛2 + 2𝑛 2 𝑘=1 𝑛 𝑘 = 𝑛2 + 2𝑛 − 𝑛
  • 26.
    Jadi, atau 2 𝑘=1 𝑛 𝑘 = 𝑛2 +𝑛 𝑘=1 𝑛 𝑘 = 𝑛2 + 𝑛 2 𝑘=1 𝑛 𝑘 = 𝑛2 + 𝑛 2 𝑘=1 𝑛 𝑘 = 1 2 𝑛 (𝑛 + 1)
  • 27.
    Contoh1: Hitunglah 3 +6 + 9 + 12 + . . . + 45 Jawab: 3 + 6 + 9 + 12 + . . . + 45 = 3 (1 + 2 + 3 + . . . + 15) = 3 𝑘=1 15 𝑘 = 3 152 + 15 2 = 360
  • 28.
    Contoh2: Hitunglah 5 +7 + 9 + 11 + 13+ . . . + 23 Jawab: 5 + 7 + 9 + 11 + 13+ . . . + 23 = (2(1) + 3) + (2(2) + 3) + (2(3) + 3) + . . . + (2(10) + 3) = 𝑘=1 10 (2𝑘 + 3) = 2 102 + 10 2 + 30 = 140 = 𝑘=1 10 2𝑘 + 𝑘=1 10 3 = 2 𝑘=1 10 𝑘 + (3 . 10)
  • 29.
    Tugas 1. Tulislah denganmenggunakan notasi sigma. a. 2 + 4 + 8 + 16 + 32 + 64 b. 1 2 + 1 3 + 1 4 + . . . + 1 100 2. Nyatakan dalam bentuk penjumlahan. 𝑛=0 7 (2 − 𝑛) 𝑘=2 𝑛 𝑘(𝑘 + 1) 2 a. b.
  • 30.
    3. Diketahui: 𝑎1= 2, 𝑎2 = 3, 𝑎3 = 5, 𝑎4 = 7, 𝑎5 = 11, 𝑎6 = 13 𝑏1 = −3, 𝑏2 = −2, 𝑏3 = 0, 𝑏4 = 1, 𝑏5 = 2, 𝑏6 = −1 Hitunglah: 𝑘=1 6 (𝑎 𝑘 + 𝑏 𝑘)2 𝑘=1 6 (𝑎 𝑘 + 𝑏 𝑘)(𝑎 𝑘 − 𝑏 𝑘) a. b.