 Peubah Acak
 Distribusi Peluang Diskret
 Distribusi Peluang Kontinyu
 Distribusi Empiris
 Distribusi Peluang Gabungan
 Bebas Statistik
 Peubah acak ialah suatu fungsi yang
mengaitkan suatu bilangan real pada setiap
unsur dalam ruang sampel.
 Peubah acak akan dinyatakan dengan huruf
besar, misalnya X , sedangkan nilainya
dinyatakan dengan huruf kecil padanannya,
misalnya x.
 Peubah acak, X, banyaknya barang yang
cacat bila tiga suku cadang elektronik diuji.
Jadi, peubah acak X mendapat nilai 2 untuk
semua unsur pada himpunan bagian
E = {CCB, CBC, BCC}
 Jadi, tiap kemungkinan nilai x
menggambarkan suatu kejadian yang
merupakan ruang bagian dari ruang sampel
percobaan tersebut.
 Dua buah bola diambil satu demi satu tanpa
dikembalikan dari suatu kantung berisi 4 bola
merah dan 3 bola hitam. Bila Y menyatakan
jumlah bola merah yang diambil maka nilai y
yang mungkin dari peubah acak Y adalah?
ruang sampel y
MM
MH
HM
HH
2
1
1
0
 Ruang sampel diskret
Jika suatu ruang sampel mengandung titik yang
berhingga banyaknya atau sederetan anggota
yang banyaknya sebanyak bilangan bulat, maka
ruang sampel itu disebut ruang sampel diskret
 Ruang sampel kontinu
Bila ruang sampel mengandung titik sampel yang
tak berhingga banyaknya dan banyaknya
sebanyak titik pada sepotong garis, maka ruang
sampel itu disebut ruang sampel kontinu
Himpunan pasangan terurut (x, f(x))
merupakan suatu fungsi peluang, atau
distribusi peluang peubah acak diskret X bila,
untuk setiap kemungkinan hasil x
1. F(x) >= 0
2. = 1
3. P’(X = x) = f(x)
 Suatu pengiriman 8 komputer pc yang sama
ke suatu toko mengandung 3 yang cacat. Bila
suatu sekolah membeli 2 komputer ini secara
acak, cari distribusi peluang banyaknya yang
cacat
Misalkan X peubah acak dengan nilai x
kemungkinan banyaknya komputer yang cacat
yang dibeli oleh sekolah tersebut. Maka x
dapat memperoleh setiap nilai 0, 1, dan 2.
Sekarang,
F(0) = P (X = 0) = = 10/28
F(1) = P(X = 1) = = 15/28
continue..






0
3






2
5






2
8






1
3






1
5






2
8
f(1) = P(X = 2) = = 2/28
Jadi distribusi peluang X
x 0 1 2
f(x) 10/28 15/28 3/28






2
3






0
5






2
8
Distribusi kumulatif F(x) suatu peubah acak
diskret X dengan distribusi peluang f(x)
dinyatakan oleh
F(x) = P(X x) = untuk - < x < xt
tf )(  
Hitunglah distribusi kumulatif peubah acak X
dalam contoh soal 2. Dengan menggunakan F(x),
perlihatkan bahwa f(2) = 3/8
Jawab:
Dengan menghitung langsung distribusi peluang pada contoh soal 2,
diperoleh f(0) = 1/16, f(1) = 1/14, f(2) = 3/8, f(3) = ¼, dan f(4) =
1/16. Jadi,
F(0) = f(0) = 1/16
F(1) = f(0) + f(1) = 5/16
F(2) = f(0) + f(1) + f(2) = 11/16
F(3) = f(0) + f(1) + f(2) + f(3) = 15/16
F(4) = f(0) + f(1) + f(2) + f(3) + f(4) = 1
Jadi,
f(2) = F(2) – F(1) = 11/ 16 – 5/16 = 3/8
Fungsi f(x) adalah fungsi padat peluang
peubah acak kontinu Xt yang disefinisikan di
atas himpunan semua bilangan real Rt bila
1. f(x) ≥ 0 untuk semua x R
2 = 1
3. P(a < X <b) =
dxxf


)(


b
a
dxxf )(
Misalkan bahwa galat suhu reaksi, dalam ºC, pada percobaan
laboratorium yang dikontrol merupakan peubah acak X yang
mempunyai fungsi padat peluang
f(x) = x2/3, untuk –1 < x < 2
0, untuk x lainnya
a.Tunjukkan bahwa syarat terpenuhi.
b.Hitung P(0 < x 1).
Jawab:
 = x2/3 dx = x3/9 = 8/9 + 1/9 = 1.
 P(0 < x 1) = x2/3 dx = x3/9 = 1/9



1)( 


dxxf


2
1
1
2
 
1
0
0
1



dxxf )(
Distribusi kumulatif (tumpukan) F(x) suatu
peubah acak kontinu X dengan fungsi padat
f(x) diberikan oleh
F(x) = P(x x) = untuk - < x < 
x
dttf )(  
Carilah F(x) dari fungsi pada contoh soal 4 dan
kemudian hitunglah P(0 < X 1)
Jawab:
Untuk -1< x < 2,
F(x) = = t2/3 dt = t3/9 = x3+1
9
Jadi,
0 x -1
F(x) = x3 + 1 -1 x < 2
9
1 x 2
Jadi,
P(0 < X 1) = F(1) – F(0) = 2/9 – 1/9


x
dttf )( 
x
1
1
x




 



Data statistik, yang dikumpulkan dalam jumlah amat banyak, akan
sangat membantu dalam menelaah bentuk distribusi bila disajikan
dalam bentuk gabungan tabel dan grafik yang dinamakan diagram
batang-daun.
Contoh : 25 data
2,2 4,1 3,5 4,5 3,2
3,7 3,0 1,1 1,2 2,3
3,3 4,2 3,1 3,9 2,2
2,4 3,4 1,5 2,4 3,3
2,7 1,1 4,3 3,2 2,5
Batang Daun Frekuensi
1 1251 4
2 2232447 7
3 5270319432 11
4 152 3
Distribusi frekuensi yang datanya dikelompokkan dalam kelas atau
selang yang berbeda dapat dibuat dengan mudah dengan
menghitung banyaknya daun pada setiap batang dan perhatikan
bahwa setiap batang menentukan selang kelas.
Contoh
Selang Kelas Titik Tengah
Kelas
Frekuensi
f
Frekuensi
nisbi
1.5 – 1.9 1.7 2 0.050
2.0 – 2.4 2.2 1 0.025
2.5 - 2.9 2.7 4 0.100
3.0 – 3.4 3.2 15 0.375
3.5 – 3.9 3.7 10 0.250
4.0 – 4.4 4.2 5 0.125
4.5 – 4.9 4.7 3 0.075
Histogram frekuensi nisbi dibentuk dengan menggunakan titik
tengah tiap selang dan frekuensi nisbi padanannya.
Suatu distribusi dikatakan simetris atau setangkup bila dapat
dilipat sepanjang sumbu tegak tertentu sehingga kedua bagian
saling menutupi. Distribusi yang tidak setangkup terhadap suatu
sumbu tegak dikatakan taksetangkup atau mencong
0
0.05
0.1
0.15
0.2
0.25
0.3
0.35
0.4
1.7 2.2 2.7 3.2 3.7 4.2 4.7
Fungsi f(x, y) adalah distribusi peluang
gabungan atau fungsi massa peluang peubah
acak diskret X dan Y bila
1. F(x,y) 0 untuk semua (x,y).
2. F(x,y) = 1.
3. P(X = x, Y = y) = f(x,y).
Untuk tiap daerah A di bidang xy, P[(X, Y) A]
=

 x y

 A
yxf ).,(
Contoh soal 7:
Dua isi ballpoint dipilih secara acak dari sebuah kotak yang berisi 3
isi warna biru, 2 merah, dan 3 hijau. Bila X menyatakan banyaknya
yang berwarna biru dan Y warna merah yang terpilih, hitunglah
a.Fungsi peluang gabungan f(x,y), dan
b. P [(X,Y) A], bila A daerah { (x,y) [x+y 1}
Jawab:
Pasangan nilai (x,y) yang mungkin adalah (0,0), (0,1), (1,0), (1,1),
(0, 2), dan (2,0). Sekarang f(0,1), misalnya menyatakan peluang
bahwa isi berwarna merah dan hijau yang terpilih. Banyaknya cara
yang berkemungkinan sama memilih dua isi dari delapan adalah =
28. Banyaknya cara memilih 1 merah dari 2 isi berwarna merah dan
hijau dari 3 isi berwarna hijau adalah = 6, jadi f(0,1) = 6/28 =
¾. Dengan jalan yang sama dihitung peluang untuk kasus lainnya,
yang disajikan pada tabel halaman berikut
 






2
8












1
3
1
2
x = 0, 1, 2;
F(x,y) = y = 0, 1, 2;
0 x+y 2
b. P [(X, Y) A] = P (X + Y 1)
= f(0,0) + f(0,1) + f(1,0)
= 3/28 + 3/14 + 9/28
= 9/14
F(x,y) x Jumlah
baris
0 1 2
y
0
1
2
3/28 9/28 3/28
3/14 3/14
1/28
15/28
3/7
1/28
jum. lajur 5/14 15/28 3/28 1
 


















yxyx 2
323






2
8  
Fungsi f(x,y) adalah fungsi padat gabungan
peubah acak kontinu X dan Y bila
1. F(x,y) 0 untuk semua (x,y)
2. = 1
3. P [(X, Y) A] =
Untuk tiap daerah A di bidang xy

 




dydxyxf ),(
  A
dydxyxf ),(
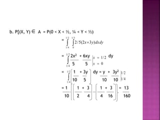
Contoh soal 8:
Suatu perusahaan coklat mengirim berkotak-kotak coklat
dengan campuran krem, tofe, da kacang berlapis coklat
cerah dan pekat. Bila kotak dipilih secara acak , serta X dan
Y menyatakan amsing – masing proporsi yang krem berlapis
coklat cerah dan pekat dan misalkan bahwa fungsi padat
gabungannya ialah:
f(x, y) = 0 x 1, 0 y 1
untuk x, y lainnya
a.Tunjukkan bahwa syarat = 1 dipenuhi
b.Cari P [(X, Y) A], bila A daerah {(x,y)| 0 x ½,
¼ y ½}


 
0
)32(5/2 yx
   
 




dydxyxf ),(
  
 
 Jawab :
a. =
= 2x2 + 6xy dy
5 5
= 2 + 6y dy = 2y + 3y2
5 5 5 5
= 2 + 3 = 1
5 5
 




dydxyxf ),(  
1
0
1
0
)32(5/2 dydxyx

1
0
0
1


x
x

1
0
0
1
b. P[(X, Y) A = P(0 < X < ½, ¼ < Y < ½)
=
= 2x2 + 6xy dy
5 5
= 1 + 3y dy = y + 3y2
10 5 10 10
= 1 1 + 3 1 + 3 = 13
10 2 4 4 16 160

  
2/1
4/1
3/1
0
)32(5/2 dydxyx

2/1
4/1
0
2/1


x
x

2/1
4/1
4/1
2/1
Distribusi marginal (pias) dari X sendiri dan Y
sendiri didefinisikan sebagai
g(x) = dan h(y) =
Untuk hal diskret, dan
g(x) = dan h(y) =
untuk hal kontinu
y
yxf ),( x
yxf ),(



dyyxf ),( 


dxyxf ),(
Tunjukkan bahwa jumlah lajur dan baris
tabel berikut memberikan distribusi pias
dari X sendiri dan Y sendiri
F(x,y) x Jumlah
baris0 1 2
y
0
1
2
3/28 9/28 3/28
3/14 3/14
1/28
15/28
3/7
1/28
jum. lajur 5/14 15/28 3/28 1
Untuk peubah acak X,
P(X = 0) = g(x) = = f(0,0) + f(0,1) + f(0,2)
= 3/28 + 3/14 + 1/28
= 5/14
P(X = 1) = g(1) = = f(1,0) + f(1,1) + f(1,2)
= 9/28 + 3/14 + 0
= 15/28
Dan
P(X = 2) = g(2) = = f(2,0) + f(2,1) + f(2,2)
= 3/28 + 0 + 0
= 3/28
Yang merupakan jumlah lajur pada tabel tersebut. Dengan jalan
yang sama dapat ditunjukkan bahwa nilai h(y) merupakan jumlah
barisnya.

2
0
),0(
y
yf

2
0
),1(
y
yf

2
0
),2(
y
yf
Misalkan X dan Y dua peubah acak, diskret
maupun kontinu. Distribusi bersyarat peubah
acak Y, bila diketahui X = x, dinyatakan oleh
f(y|x) = f(x,y), g(x) >0
g(x)
Begitupula, distribusi bersyarat peubah acak
X, bila diketahui Y = y, dinyatakan oleh
f(x|y) = f(x,y), h(y) >0
h(y)
Misalkan X dan Y dua peubah acak, diskret maupun kontinu,
dengan fungsi peluang gabungan f(x,y) dan distribusi pias
masing – masing g(x) dan h(y). Peubah X dan Y dinyatakan
bebas statistik jika dan hanya jika
f(x,y) = g(x) h(y)
Untuk semua (x,y) dalam daerah definisinya
Misalkan X1, X2, X3, …, Xn n peubah acak, diskret maupun
kontinu, dengan distribusi peluang gabungan f(X1, X2, X3, …,
Xn) dan distribusi pias masing – masing f1(x1), f2(x2), …, fn(xn).
Peubah acak X1, X2, X3, …, Xn dikatakan saling bebas statistik
jika dan hanya jika
f(x1, x2, …, xn) = f1(x1) f2(x2), …, fn(xn).
Untuk semua (x1, x2, …, xn) dalam daerah definisinya
Misalkan lamanya tahan, dalam tahun, sejenis makanan kemasan dalam
kotak sebelum rusak merupakan peubah acak yang fungsi padat
peluangnya berbentuk
f(x) = e-x , x >0
0, untuk x lainnya.
Misalkan X1, X2, dan X3 menyatakan lamanya tahan tiga kotak dari
makanan kemasan ini yang dipilih secara acak, hitunglah P (X1<2,
1<X2<3, X3>2).
Jawab:
Karena kotak dipilih secara acak (bebas), maka dapat dianggap bahwa
peubah acak X1, X2, dan X3 bebas statistik dengan peluang padat
gabungan
f(x1, x2, x3) = f(x1)f(x2)f(x3)
= e-x 1 e-x 2 e-x 3
= e-x 1-x2-x3 , x1>0, x2 >0, x3 >0



Dan f(x1, x2, x3) = 0 untuk nilai yang lainnya.
Jadi
P(X1<2, 1< X2<3, X3>2) = e-x 1-x2-x3 dx1 dx2 dx3
= (1 – e-2)(e-1 - e-3) e-2
= 0,0376


2
3
1
2
0

Bab2 peubah-acak-dan-distribusi-peluang

  • 2.
     Peubah Acak Distribusi Peluang Diskret  Distribusi Peluang Kontinyu  Distribusi Empiris  Distribusi Peluang Gabungan  Bebas Statistik
  • 3.
     Peubah acakialah suatu fungsi yang mengaitkan suatu bilangan real pada setiap unsur dalam ruang sampel.  Peubah acak akan dinyatakan dengan huruf besar, misalnya X , sedangkan nilainya dinyatakan dengan huruf kecil padanannya, misalnya x.
  • 4.
     Peubah acak,X, banyaknya barang yang cacat bila tiga suku cadang elektronik diuji. Jadi, peubah acak X mendapat nilai 2 untuk semua unsur pada himpunan bagian E = {CCB, CBC, BCC}  Jadi, tiap kemungkinan nilai x menggambarkan suatu kejadian yang merupakan ruang bagian dari ruang sampel percobaan tersebut.
  • 5.
     Dua buahbola diambil satu demi satu tanpa dikembalikan dari suatu kantung berisi 4 bola merah dan 3 bola hitam. Bila Y menyatakan jumlah bola merah yang diambil maka nilai y yang mungkin dari peubah acak Y adalah? ruang sampel y MM MH HM HH 2 1 1 0
  • 6.
     Ruang sampeldiskret Jika suatu ruang sampel mengandung titik yang berhingga banyaknya atau sederetan anggota yang banyaknya sebanyak bilangan bulat, maka ruang sampel itu disebut ruang sampel diskret  Ruang sampel kontinu Bila ruang sampel mengandung titik sampel yang tak berhingga banyaknya dan banyaknya sebanyak titik pada sepotong garis, maka ruang sampel itu disebut ruang sampel kontinu
  • 7.
    Himpunan pasangan terurut(x, f(x)) merupakan suatu fungsi peluang, atau distribusi peluang peubah acak diskret X bila, untuk setiap kemungkinan hasil x 1. F(x) >= 0 2. = 1 3. P’(X = x) = f(x)
  • 8.
     Suatu pengiriman8 komputer pc yang sama ke suatu toko mengandung 3 yang cacat. Bila suatu sekolah membeli 2 komputer ini secara acak, cari distribusi peluang banyaknya yang cacat
  • 9.
    Misalkan X peubahacak dengan nilai x kemungkinan banyaknya komputer yang cacat yang dibeli oleh sekolah tersebut. Maka x dapat memperoleh setiap nilai 0, 1, dan 2. Sekarang, F(0) = P (X = 0) = = 10/28 F(1) = P(X = 1) = = 15/28 continue..       0 3       2 5       2 8       1 3       1 5       2 8
  • 10.
    f(1) = P(X= 2) = = 2/28 Jadi distribusi peluang X x 0 1 2 f(x) 10/28 15/28 3/28       2 3       0 5       2 8
  • 11.
    Distribusi kumulatif F(x)suatu peubah acak diskret X dengan distribusi peluang f(x) dinyatakan oleh F(x) = P(X x) = untuk - < x < xt tf )(  
  • 12.
    Hitunglah distribusi kumulatifpeubah acak X dalam contoh soal 2. Dengan menggunakan F(x), perlihatkan bahwa f(2) = 3/8 Jawab: Dengan menghitung langsung distribusi peluang pada contoh soal 2, diperoleh f(0) = 1/16, f(1) = 1/14, f(2) = 3/8, f(3) = ¼, dan f(4) = 1/16. Jadi, F(0) = f(0) = 1/16 F(1) = f(0) + f(1) = 5/16 F(2) = f(0) + f(1) + f(2) = 11/16 F(3) = f(0) + f(1) + f(2) + f(3) = 15/16 F(4) = f(0) + f(1) + f(2) + f(3) + f(4) = 1 Jadi, f(2) = F(2) – F(1) = 11/ 16 – 5/16 = 3/8
  • 13.
    Fungsi f(x) adalahfungsi padat peluang peubah acak kontinu Xt yang disefinisikan di atas himpunan semua bilangan real Rt bila 1. f(x) ≥ 0 untuk semua x R 2 = 1 3. P(a < X <b) = dxxf   )(   b a dxxf )(
  • 14.
    Misalkan bahwa galatsuhu reaksi, dalam ºC, pada percobaan laboratorium yang dikontrol merupakan peubah acak X yang mempunyai fungsi padat peluang f(x) = x2/3, untuk –1 < x < 2 0, untuk x lainnya a.Tunjukkan bahwa syarat terpenuhi. b.Hitung P(0 < x 1). Jawab:  = x2/3 dx = x3/9 = 8/9 + 1/9 = 1.  P(0 < x 1) = x2/3 dx = x3/9 = 1/9    1)(    dxxf   2 1 1 2   1 0 0 1    dxxf )(
  • 15.
    Distribusi kumulatif (tumpukan)F(x) suatu peubah acak kontinu X dengan fungsi padat f(x) diberikan oleh F(x) = P(x x) = untuk - < x <  x dttf )(  
  • 16.
    Carilah F(x) darifungsi pada contoh soal 4 dan kemudian hitunglah P(0 < X 1) Jawab: Untuk -1< x < 2, F(x) = = t2/3 dt = t3/9 = x3+1 9 Jadi, 0 x -1 F(x) = x3 + 1 -1 x < 2 9 1 x 2 Jadi, P(0 < X 1) = F(1) – F(0) = 2/9 – 1/9   x dttf )(  x 1 1 x         
  • 17.
    Data statistik, yangdikumpulkan dalam jumlah amat banyak, akan sangat membantu dalam menelaah bentuk distribusi bila disajikan dalam bentuk gabungan tabel dan grafik yang dinamakan diagram batang-daun. Contoh : 25 data 2,2 4,1 3,5 4,5 3,2 3,7 3,0 1,1 1,2 2,3 3,3 4,2 3,1 3,9 2,2 2,4 3,4 1,5 2,4 3,3 2,7 1,1 4,3 3,2 2,5 Batang Daun Frekuensi 1 1251 4 2 2232447 7 3 5270319432 11 4 152 3
  • 18.
    Distribusi frekuensi yangdatanya dikelompokkan dalam kelas atau selang yang berbeda dapat dibuat dengan mudah dengan menghitung banyaknya daun pada setiap batang dan perhatikan bahwa setiap batang menentukan selang kelas. Contoh Selang Kelas Titik Tengah Kelas Frekuensi f Frekuensi nisbi 1.5 – 1.9 1.7 2 0.050 2.0 – 2.4 2.2 1 0.025 2.5 - 2.9 2.7 4 0.100 3.0 – 3.4 3.2 15 0.375 3.5 – 3.9 3.7 10 0.250 4.0 – 4.4 4.2 5 0.125 4.5 – 4.9 4.7 3 0.075
  • 19.
    Histogram frekuensi nisbidibentuk dengan menggunakan titik tengah tiap selang dan frekuensi nisbi padanannya. Suatu distribusi dikatakan simetris atau setangkup bila dapat dilipat sepanjang sumbu tegak tertentu sehingga kedua bagian saling menutupi. Distribusi yang tidak setangkup terhadap suatu sumbu tegak dikatakan taksetangkup atau mencong 0 0.05 0.1 0.15 0.2 0.25 0.3 0.35 0.4 1.7 2.2 2.7 3.2 3.7 4.2 4.7
  • 20.
    Fungsi f(x, y)adalah distribusi peluang gabungan atau fungsi massa peluang peubah acak diskret X dan Y bila 1. F(x,y) 0 untuk semua (x,y). 2. F(x,y) = 1. 3. P(X = x, Y = y) = f(x,y). Untuk tiap daerah A di bidang xy, P[(X, Y) A] =   x y   A yxf ).,(
  • 21.
    Contoh soal 7: Duaisi ballpoint dipilih secara acak dari sebuah kotak yang berisi 3 isi warna biru, 2 merah, dan 3 hijau. Bila X menyatakan banyaknya yang berwarna biru dan Y warna merah yang terpilih, hitunglah a.Fungsi peluang gabungan f(x,y), dan b. P [(X,Y) A], bila A daerah { (x,y) [x+y 1} Jawab: Pasangan nilai (x,y) yang mungkin adalah (0,0), (0,1), (1,0), (1,1), (0, 2), dan (2,0). Sekarang f(0,1), misalnya menyatakan peluang bahwa isi berwarna merah dan hijau yang terpilih. Banyaknya cara yang berkemungkinan sama memilih dua isi dari delapan adalah = 28. Banyaknya cara memilih 1 merah dari 2 isi berwarna merah dan hijau dari 3 isi berwarna hijau adalah = 6, jadi f(0,1) = 6/28 = ¾. Dengan jalan yang sama dihitung peluang untuk kasus lainnya, yang disajikan pada tabel halaman berikut         2 8             1 3 1 2
  • 22.
    x = 0,1, 2; F(x,y) = y = 0, 1, 2; 0 x+y 2 b. P [(X, Y) A] = P (X + Y 1) = f(0,0) + f(0,1) + f(1,0) = 3/28 + 3/14 + 9/28 = 9/14 F(x,y) x Jumlah baris 0 1 2 y 0 1 2 3/28 9/28 3/28 3/14 3/14 1/28 15/28 3/7 1/28 jum. lajur 5/14 15/28 3/28 1                     yxyx 2 323       2 8  
  • 23.
    Fungsi f(x,y) adalahfungsi padat gabungan peubah acak kontinu X dan Y bila 1. F(x,y) 0 untuk semua (x,y) 2. = 1 3. P [(X, Y) A] = Untuk tiap daerah A di bidang xy        dydxyxf ),(   A dydxyxf ),(
  • 24.
    Contoh soal 8: Suatuperusahaan coklat mengirim berkotak-kotak coklat dengan campuran krem, tofe, da kacang berlapis coklat cerah dan pekat. Bila kotak dipilih secara acak , serta X dan Y menyatakan amsing – masing proporsi yang krem berlapis coklat cerah dan pekat dan misalkan bahwa fungsi padat gabungannya ialah: f(x, y) = 0 x 1, 0 y 1 untuk x, y lainnya a.Tunjukkan bahwa syarat = 1 dipenuhi b.Cari P [(X, Y) A], bila A daerah {(x,y)| 0 x ½, ¼ y ½}     0 )32(5/2 yx           dydxyxf ),(     
  • 25.
     Jawab : a.= = 2x2 + 6xy dy 5 5 = 2 + 6y dy = 2y + 3y2 5 5 5 5 = 2 + 3 = 1 5 5       dydxyxf ),(   1 0 1 0 )32(5/2 dydxyx  1 0 0 1   x x  1 0 0 1
  • 26.
    b. P[(X, Y)A = P(0 < X < ½, ¼ < Y < ½) = = 2x2 + 6xy dy 5 5 = 1 + 3y dy = y + 3y2 10 5 10 10 = 1 1 + 3 1 + 3 = 13 10 2 4 4 16 160     2/1 4/1 3/1 0 )32(5/2 dydxyx  2/1 4/1 0 2/1   x x  2/1 4/1 4/1 2/1
  • 27.
    Distribusi marginal (pias)dari X sendiri dan Y sendiri didefinisikan sebagai g(x) = dan h(y) = Untuk hal diskret, dan g(x) = dan h(y) = untuk hal kontinu y yxf ),( x yxf ),(    dyyxf ),(    dxyxf ),(
  • 28.
    Tunjukkan bahwa jumlahlajur dan baris tabel berikut memberikan distribusi pias dari X sendiri dan Y sendiri F(x,y) x Jumlah baris0 1 2 y 0 1 2 3/28 9/28 3/28 3/14 3/14 1/28 15/28 3/7 1/28 jum. lajur 5/14 15/28 3/28 1
  • 29.
    Untuk peubah acakX, P(X = 0) = g(x) = = f(0,0) + f(0,1) + f(0,2) = 3/28 + 3/14 + 1/28 = 5/14 P(X = 1) = g(1) = = f(1,0) + f(1,1) + f(1,2) = 9/28 + 3/14 + 0 = 15/28 Dan P(X = 2) = g(2) = = f(2,0) + f(2,1) + f(2,2) = 3/28 + 0 + 0 = 3/28 Yang merupakan jumlah lajur pada tabel tersebut. Dengan jalan yang sama dapat ditunjukkan bahwa nilai h(y) merupakan jumlah barisnya.  2 0 ),0( y yf  2 0 ),1( y yf  2 0 ),2( y yf
  • 30.
    Misalkan X danY dua peubah acak, diskret maupun kontinu. Distribusi bersyarat peubah acak Y, bila diketahui X = x, dinyatakan oleh f(y|x) = f(x,y), g(x) >0 g(x) Begitupula, distribusi bersyarat peubah acak X, bila diketahui Y = y, dinyatakan oleh f(x|y) = f(x,y), h(y) >0 h(y)
  • 31.
    Misalkan X danY dua peubah acak, diskret maupun kontinu, dengan fungsi peluang gabungan f(x,y) dan distribusi pias masing – masing g(x) dan h(y). Peubah X dan Y dinyatakan bebas statistik jika dan hanya jika f(x,y) = g(x) h(y) Untuk semua (x,y) dalam daerah definisinya Misalkan X1, X2, X3, …, Xn n peubah acak, diskret maupun kontinu, dengan distribusi peluang gabungan f(X1, X2, X3, …, Xn) dan distribusi pias masing – masing f1(x1), f2(x2), …, fn(xn). Peubah acak X1, X2, X3, …, Xn dikatakan saling bebas statistik jika dan hanya jika f(x1, x2, …, xn) = f1(x1) f2(x2), …, fn(xn). Untuk semua (x1, x2, …, xn) dalam daerah definisinya
  • 32.
    Misalkan lamanya tahan,dalam tahun, sejenis makanan kemasan dalam kotak sebelum rusak merupakan peubah acak yang fungsi padat peluangnya berbentuk f(x) = e-x , x >0 0, untuk x lainnya. Misalkan X1, X2, dan X3 menyatakan lamanya tahan tiga kotak dari makanan kemasan ini yang dipilih secara acak, hitunglah P (X1<2, 1<X2<3, X3>2). Jawab: Karena kotak dipilih secara acak (bebas), maka dapat dianggap bahwa peubah acak X1, X2, dan X3 bebas statistik dengan peluang padat gabungan f(x1, x2, x3) = f(x1)f(x2)f(x3) = e-x 1 e-x 2 e-x 3 = e-x 1-x2-x3 , x1>0, x2 >0, x3 >0   
  • 33.
    Dan f(x1, x2,x3) = 0 untuk nilai yang lainnya. Jadi P(X1<2, 1< X2<3, X3>2) = e-x 1-x2-x3 dx1 dx2 dx3 = (1 – e-2)(e-1 - e-3) e-2 = 0,0376   2 3 1 2 0