TONTADARYA COLEGE OF ENGINEERING
GADAG, Karnataka
VIDEO LECTURE SERIES
ON
OPERATIONS RESEARCH
Construction of Network Diagram
Some of the terms commonly used in Network.
1. Activity: It is physically identifiable part of a project which requires time and resources for its
execution. In conventional method an activity is represented by an arrow, the tail of which
represents the start and the head finish of the activity. Shape, size and direction of the arrow
has no relation to the size of the activity.
2. Event: The event is happening such as start and finish. The Start of an activity and end of an
activity is represented as event. Event does not consume any resource. In conventional
method event is represented by circle (or Node).
3. Path : An unbroken chain of activity arrows connecting the initial event to some other event
is called path.
4. Network: It is graphical representation of logically and sequentially connected arrows and
nodes representing activities and events of a project. Networks are also called arrow
diagram.
Construction of Network Diagram
Network diagram may be drawn in two methods. They are:
1. AOA (Activity-On-Arrow) Diagram:
A network with activities represented on arrows and events on node. Often dummy
arrow is needed to Establish precedence relationship which makes the network a little
cumbersome and requires greater computation. But is easily understandable. It is also
called as conventional arrow diagram.
A B
3 5
2. AON (Activity-On-Node): A network with activities represented on nodes. Arrows
indicate only the interdependencies between them. The use of dummy activities can be
avoided.
A, 3 B, 5
Example 1:
The dependency relationship between various activities of a project are given below.
Draw the AOA (arrow) and AON diagrams.
1. AOA (Activity-On-Arrow) Diagram:
A D
B E
C F
Construction of Network Diagram
Activity A B C D E F
Immediate Predecessor -- -- -- A, B B B,C
Construction of Network Diagram
Example 1:
The dependency relationship between various activities of a project are given below.
Draw the AOA (arrow) and AON diagrams.
1. AON (Activity-On-Node) Diagram:
A
D
Start B E End
F
C
Activity A B C D E F
Immediate Predecessor -- -- -- A, B B B,C
Construction of Network Diagram
Activity A B C D E F
Immediate Predecessor -- A A B C D, E
A
B D
C
F
E
A
B
C
F
E
D
AOA
AON
S E
S
E
E
Fulkerson’s Rule for Numbering the Events
•The initial event which has all outgoing arrows with no incoming arrow is numbered “1”.
•Delete all the arrows coming out from node “1”. This will convert some more nodes (at least one)
in to initial events. Number these events 2,3,….
•Delete all the arrows going out from these numbered events to create more initial events. Assign
next numbers to these events.
•Continue until final or terminal node, which has all arrows coming in with no arrow going out, is
numbered.
Fulkerson’s Rule for Numbering the Events
a
c
g
j
h
e
b
f
k
d
i
Illustrative Example
Fulkerson’s Rule for Numbering the Events
1
a
c
g
j
h
e
b
f
k
d
i
Fulkerson’s Rule for Numbering the Events
3
2
1
c
g
j
h
e
f
k
d
i
Fulkerson’s Rule for Numbering the Events
5
3
2
4
1
g
j
h
k
i
Fulkerson’s Rule for Numbering the Events
5
3
2
4
7
6
1
Fulkerson’s Rule for Numbering the Events
5
3
2
4
7
6
1
8
Fulkerson’s Rule for Numbering the Events
5
3
2
1
4
7
6
8
a
c
g
j
h
e
b
f
k
d
i
Activity After Node Numbering
a 1-2
b 1-3
c 2-4
d 2-5
e 3-5
f 3-7
g 4-6
h 5-8
i 5-7
j 6-8
k 7-8
Difference between PERT and CPM
Benefits of PERT/CPM
•Useful at many stages of project management
•Mathematically simple
•Give critical path and slack time
•Provide project documentation
• Useful in monitoring costs
Limitations of PERT/CPM
•Clearly defined, independent and stable activities
•Specified precedence relationships
•Over emphasis on critical paths
Applications of CPM / PERT
•Construction of a dam or a canal system in a region
•Construction of a building or highway
•Maintenance or overhaul of airplanes or oil refinery
•Space flight
•Cost control of a project using PERT / CPM
•Designing a prototype of a machine
•Development of supersonic planes
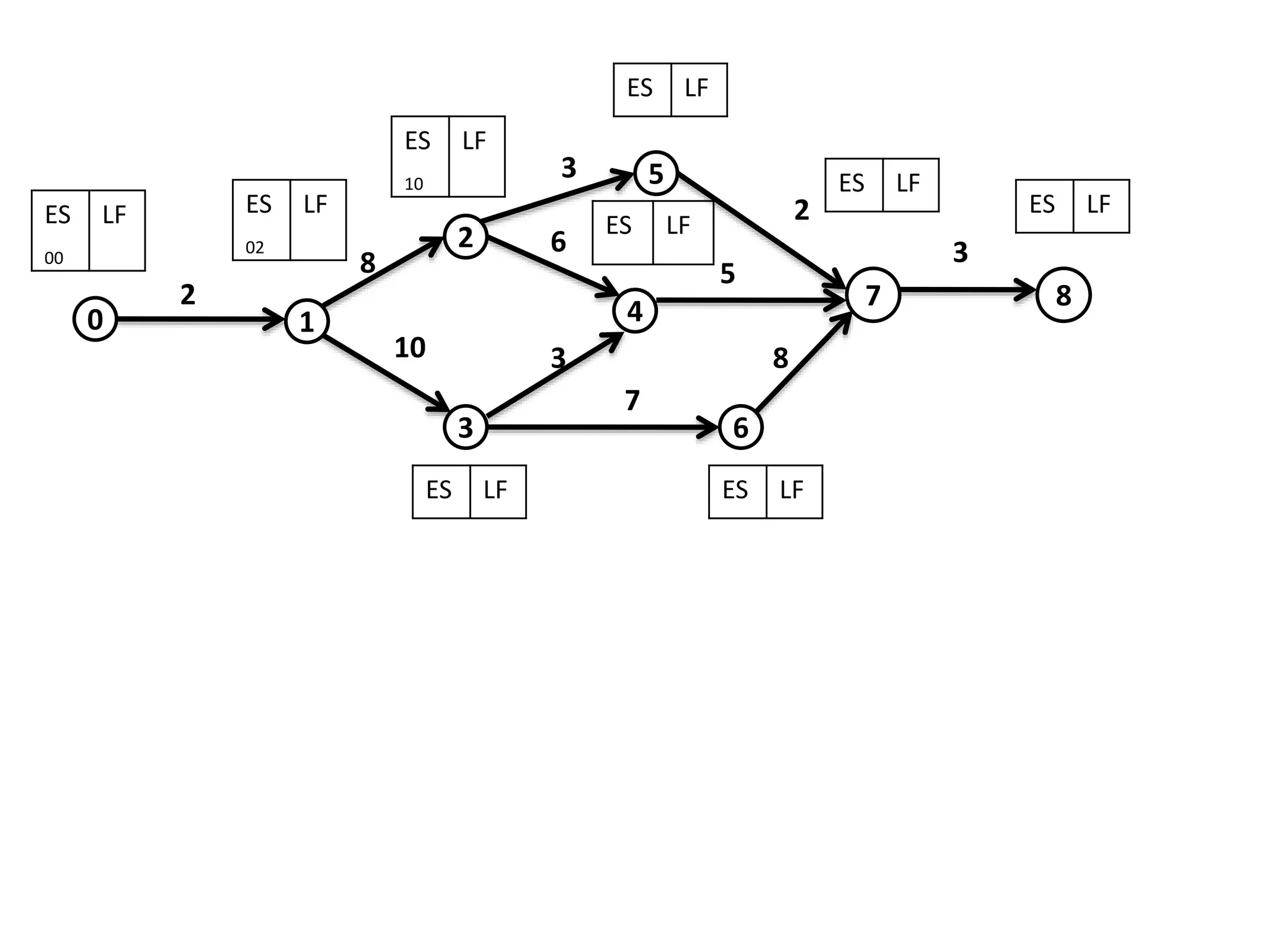
4
3
2
0
5
6
7
8
3
8
3
10
7
6
0 1
5
2
2 8
3
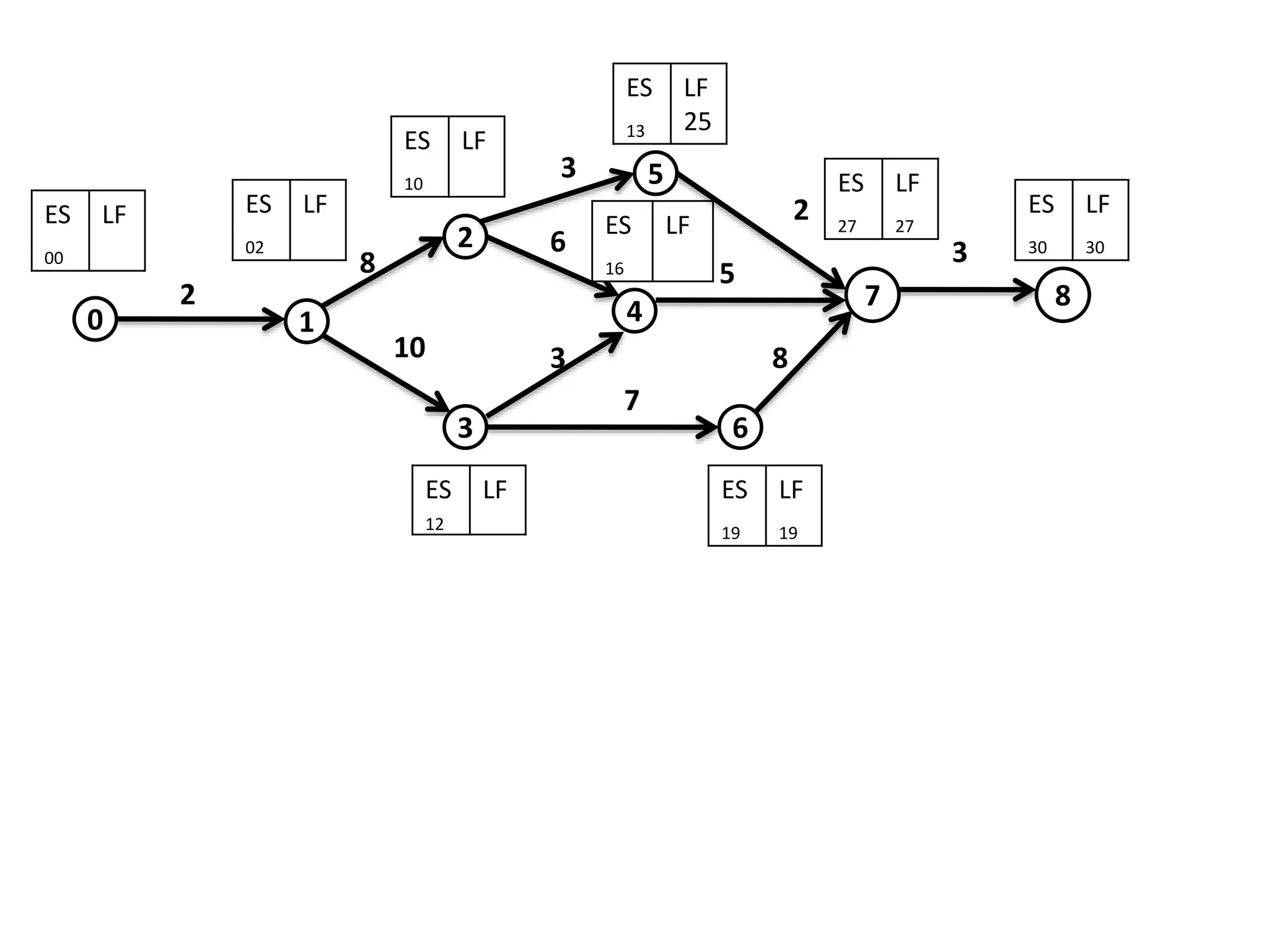
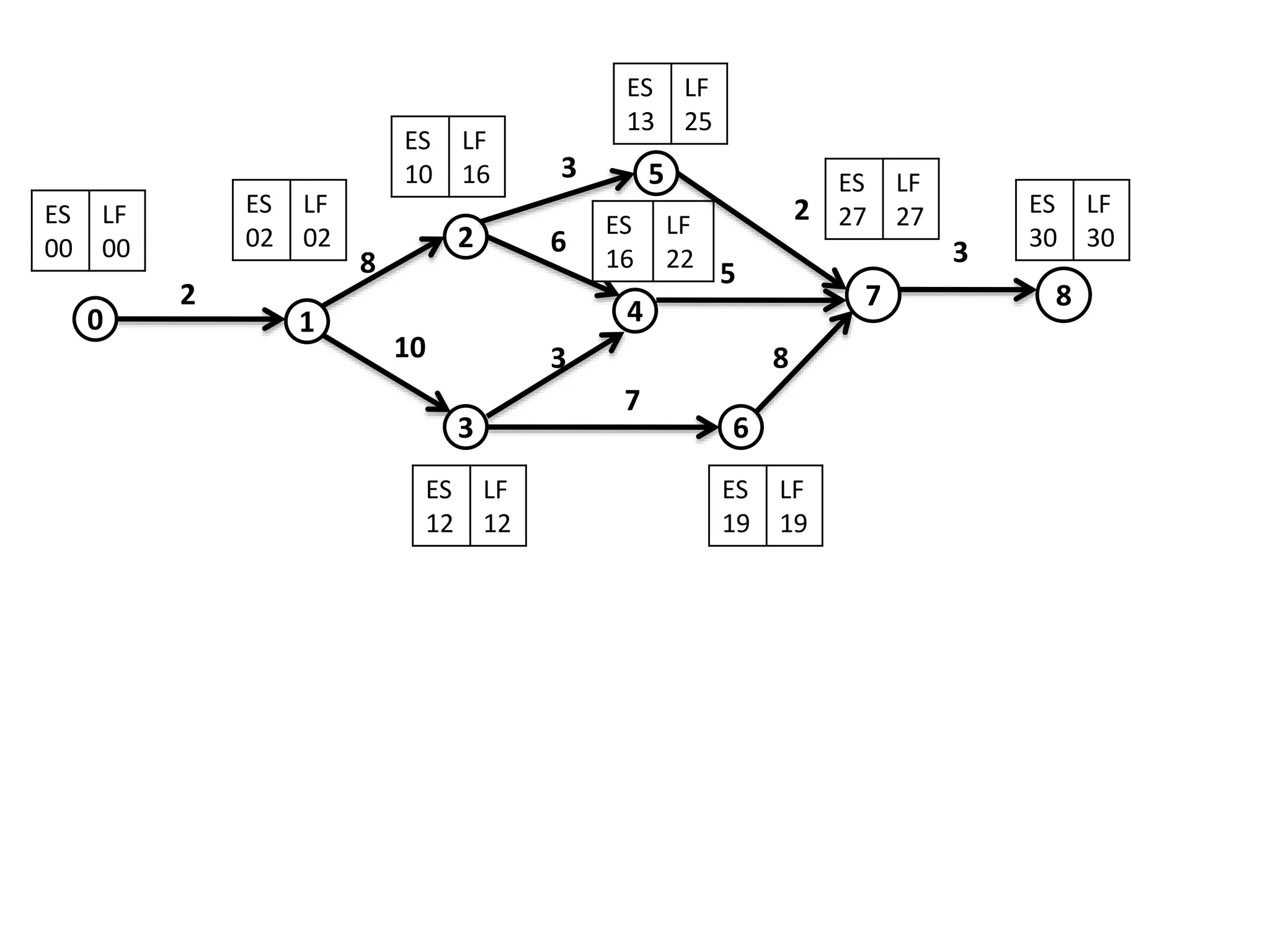
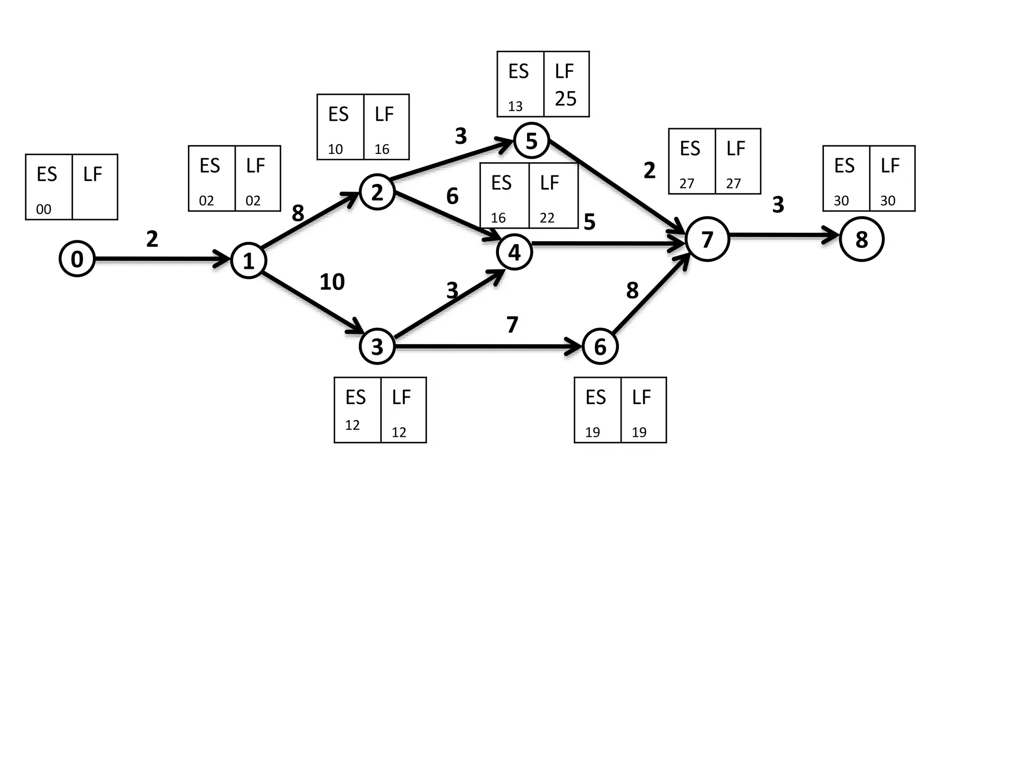
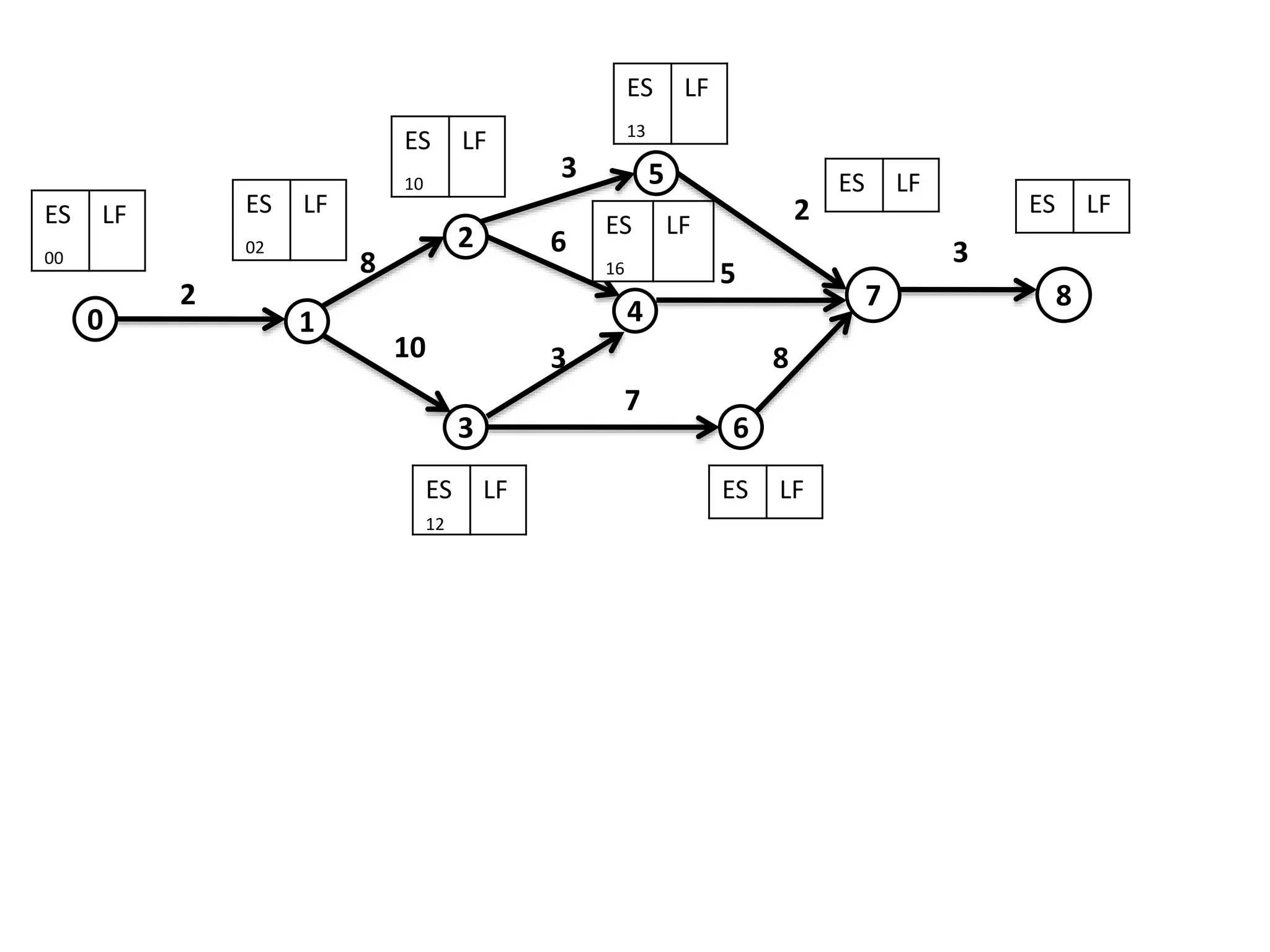
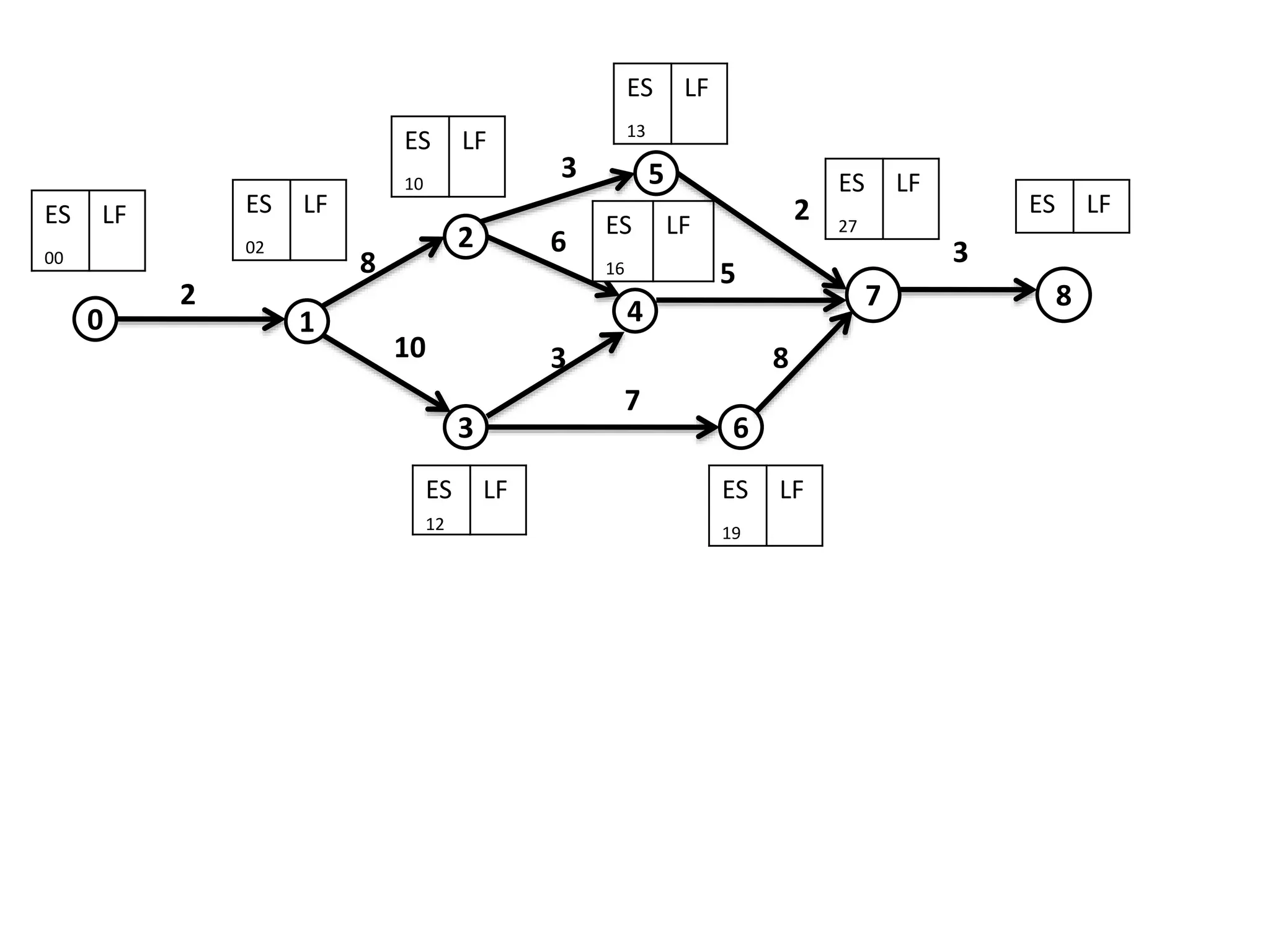
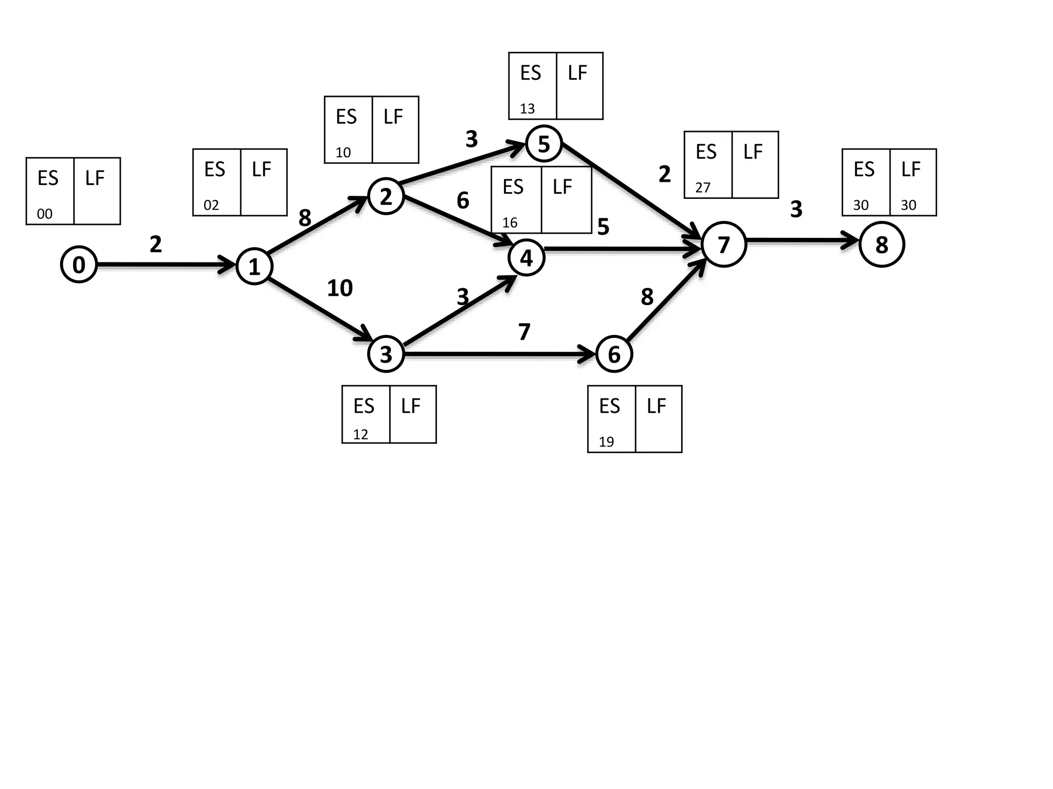
Illustrative Probem on CPM
4
3
2
0
5
6
7
8
3
8
3
10
7
6
0 1
5
2
2 8
3
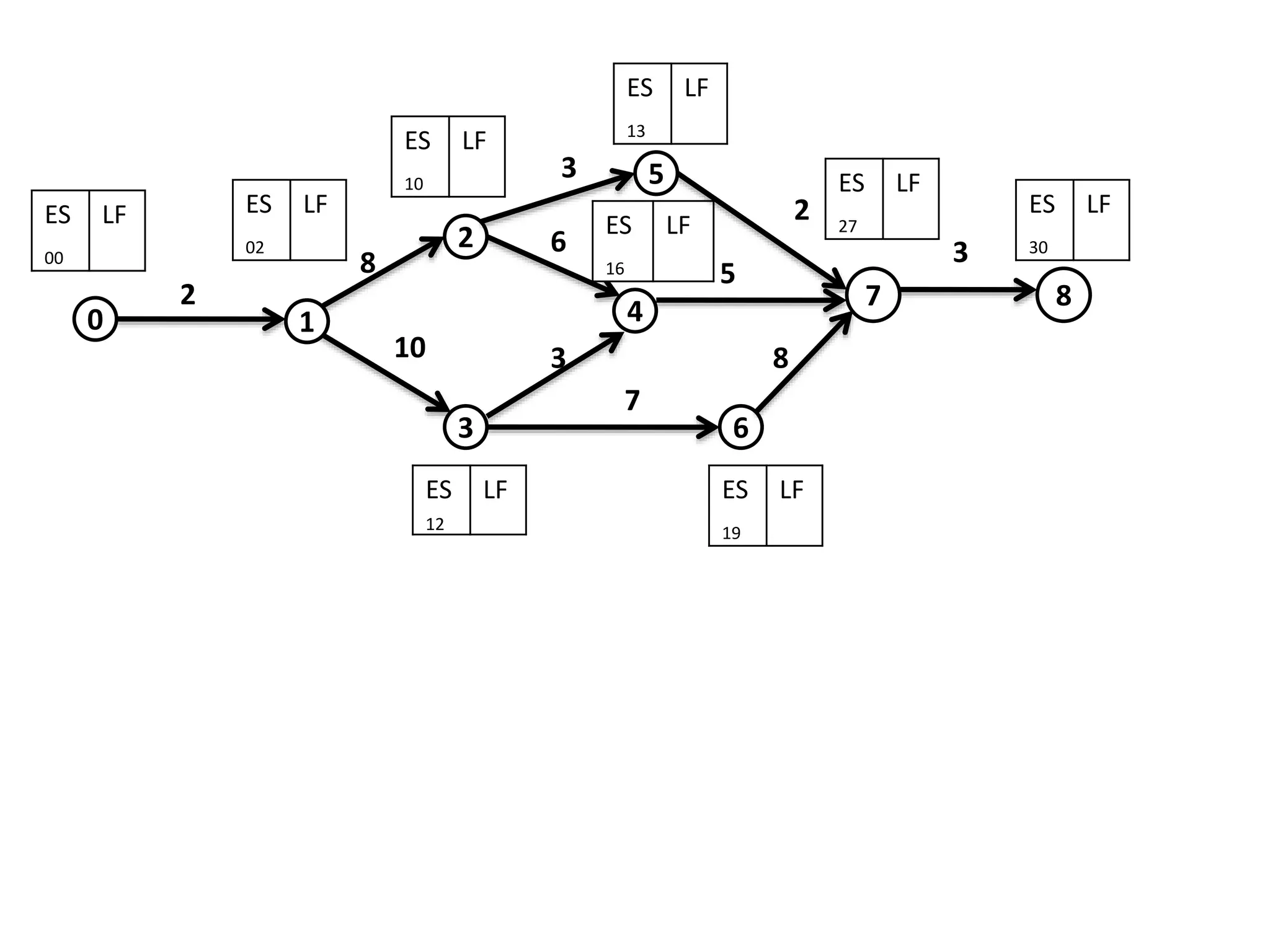
ES LF
ES LF
ES LF
ES LF
ES LF
ES LF
ES LF
ES LF
ES LF
4
3
2
0
5
6
7
8
3
8
3
10
7
6
0 1
5
2
2 8
3
ES LF
ES LF
ES LF
ES LF
ES LF
ES LF
ES LF
ES LF
ES
00
LF
4
3
2
0
5
6
7
8
3
8
3
10
7
6
0 1
5
2
2 8
3
ES
02
LF
ES LF
ES LF
ES LF
ES LF
ES LF
ES LF
ES LF
ES
00
LF
4
3
2
0
5
6
7
8
3
8
3
10
7
6
0 1
5
2
2 8
3
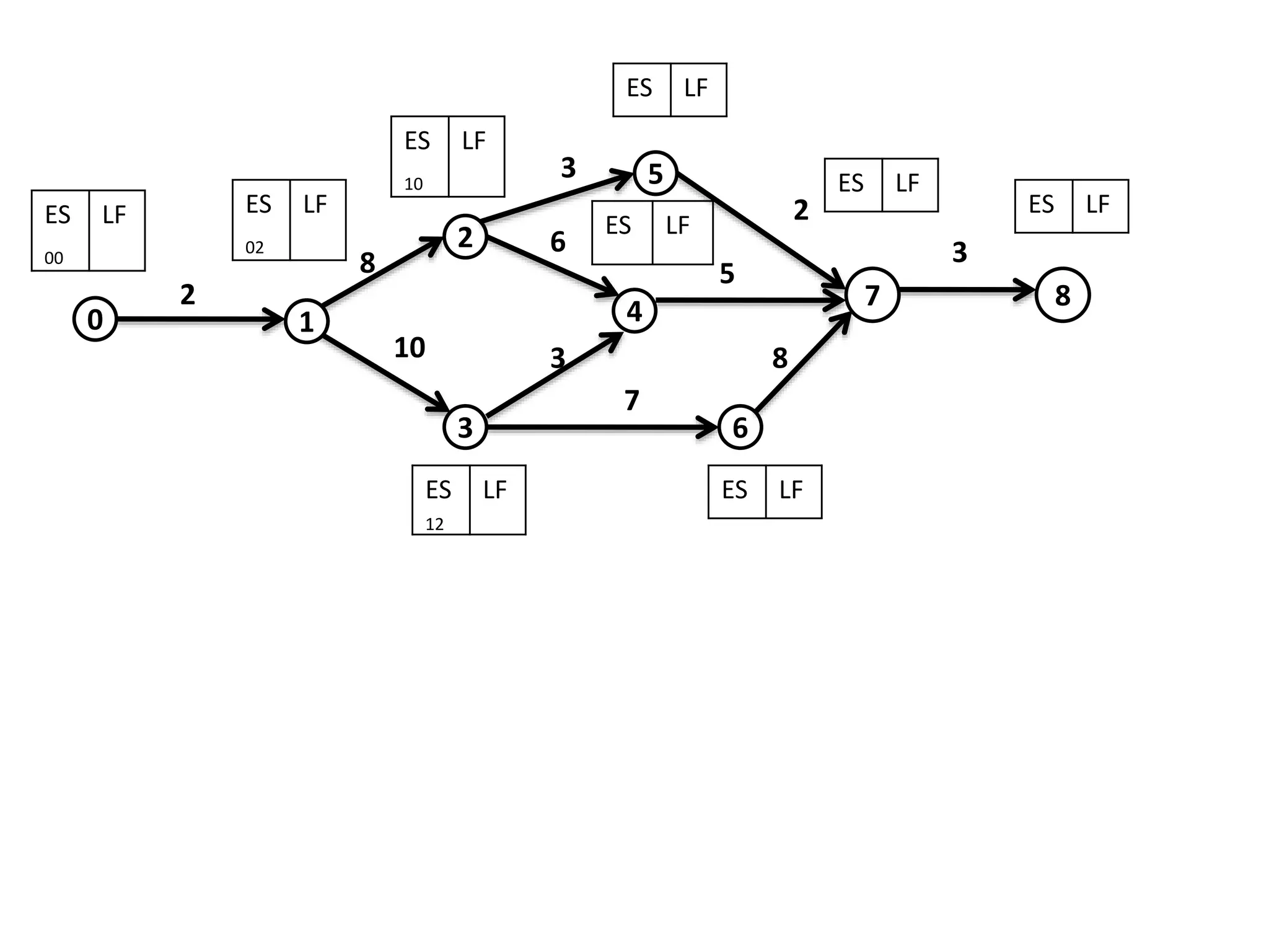
ES
02
LF
ES
10
LF
ES LF
ES LF
ES LF
ES LF
ES LF
ES LF
ES
00
LF
4
3
2
0
5
6
7
8
3
8
3
10
7
6
0 1
5
2
2 8
3
ES
02
LF
ES
10
LF
ES LF
ES LF
ES LF
ES LF
ES
12
LF
ES LF
ES
00
LF
4
3
2
0
5
6
7
8
3
8
3
10
7
6
0 1
5
2
2 8
3
ES
02
LF
ES
10
LF
ES LF
ES LF
ES LF
ES LF
ES
12
LF
ES
16
LF
ES
00
LF
4
3
2
0
5
6
7
8
3
8
3
10
7
6
0 1
5
2
2 8
3
ES
02
LF
ES
10
LF
ES
13
LF
ES LF
ES LF
ES LF
ES
12
LF
ES
16
LF
ES
00
LF
4
3
2
0
5
6
7
8
3
8
3
10
7
6
0 1
5
2
2 8
3
ES
02
LF
ES
10
LF
ES
13
LF
ES LF
ES LF
ES
19
LF
ES
12
LF
ES
16
LF
ES
00
LF
4
3
2
0
5
6
7
8
3
8
3
10
7
6
0 1
5
2
2 8
3
ES
02
LF
ES
10
LF
ES
13
LF
ES
27
LF
ES LF
ES
19
LF
ES
12
LF
ES
16
LF
ES
00
LF
4
3
2
0
5
6
7
8
3
8
3
10
7
6
0 1
5
2
2 8
3
ES
02
LF
ES
10
LF
ES
13
LF
ES
27
LF
ES
30
LF
ES
19
LF
ES
12
LF
ES
16
LF
ES
00
LF
4
3
2
0
5
6
7
8
3
8
3
10
7
6
0 1
5
2
2 8
3
ES
02
LF
ES
10
LF
ES
13
LF
ES
27
LF
ES
30
LF
30
ES
19
LF
ES
12
LF
ES
16
LF
ES
00
LF
4
3
2
0
5
6
7
8
3
8
3
10
7
6
0 1
5
2
2 8
3
ES
02
LF
ES
10
LF
ES
13
LF
ES
27
LF
27
ES
30
LF
30
ES
19
LF
ES
12
LF
ES
16
LF
ES
00
LF
4
3
2
0
5
6
7
8
3
8
3
10
7
6
0 1
5
2
2 8
3
ES
02
LF
ES
10
LF
ES
13
LF
ES
27
LF
27
ES
30
LF
30
ES
19
LF
19
ES
12
LF
ES
16
LF
ES
00
LF
4
3
2
0
5
6
7
8
3
8
3
10
7
6
0 1
5
2
2 8
3
ES
02
LF
ES
10
LF
ES
13
LF
25
ES
27
LF
27
ES
30
LF
30
ES
19
LF
19
ES
12
LF
ES
16
LF
ES
00
LF
4
3
2
0
5
6
7
8
3
8
3
10
7
6
0 1
5
2
2 8
3
ES
02
LF
ES
10
LF
ES
13
LF
25
ES
27
LF
27
ES
30
LF
30
ES
19
LF
19
ES
12
LF
ES
16
LF
22
ES
00
LF
4
3
2
0
5
6
7
8
3
8
3
10
7
6
0 1
5
2
2 8
3
ES
02
LF
ES
10
LF
ES
13
LF
25
ES
27
LF
27
ES
30
LF
30
ES
19
LF
19
ES
12
LF
12
ES
16
LF
22
ES
00
LF
4
3
2
0
5
6
7
8
3
8
3
10
7
6
0 1
5
2
2 8
3
ES
02
LF
ES
10
LF
16
ES
13
LF
25
ES
27
LF
27
ES
30
LF
30
ES
19
LF
19
ES
12
LF
12
ES
16
LF
22
ES
00
LF
4
3
2
0
5
6
7
8
3
8
3
10
7
6
0 1
5
2
2 8
3
ES
02
LF
02
ES
10
LF
16
ES
13
LF
25
ES
27
LF
27
ES
30
LF
30
ES
19
LF
19
ES
12
LF
12
ES
16
LF
22
ES
00
LF
4
3
2
0
5
6
7
8
3
8
3
10
7
6
0 1
5
2
2 8
3
ES
02
LF
02
ES
10
LF
16
ES
13
LF
25
ES
27
LF
27 ES
30
LF
30
ES
19
LF
19
ES
12
LF
12
ES
16
LF
22
ES
00
LF
00
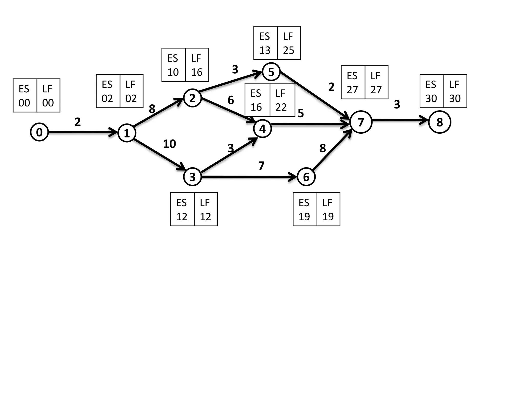
ACTIVITY DURATION
(DAYS)
START TIME FINISH TIME TOTAL
FLOAT
(LS-ES)
OR
(LF-EF)
FREE
FLOAT
(TF-
Head
event
slack)
REMARK
ES LS
(LF-DURATION)
EF
(ES+DURATION)
LF
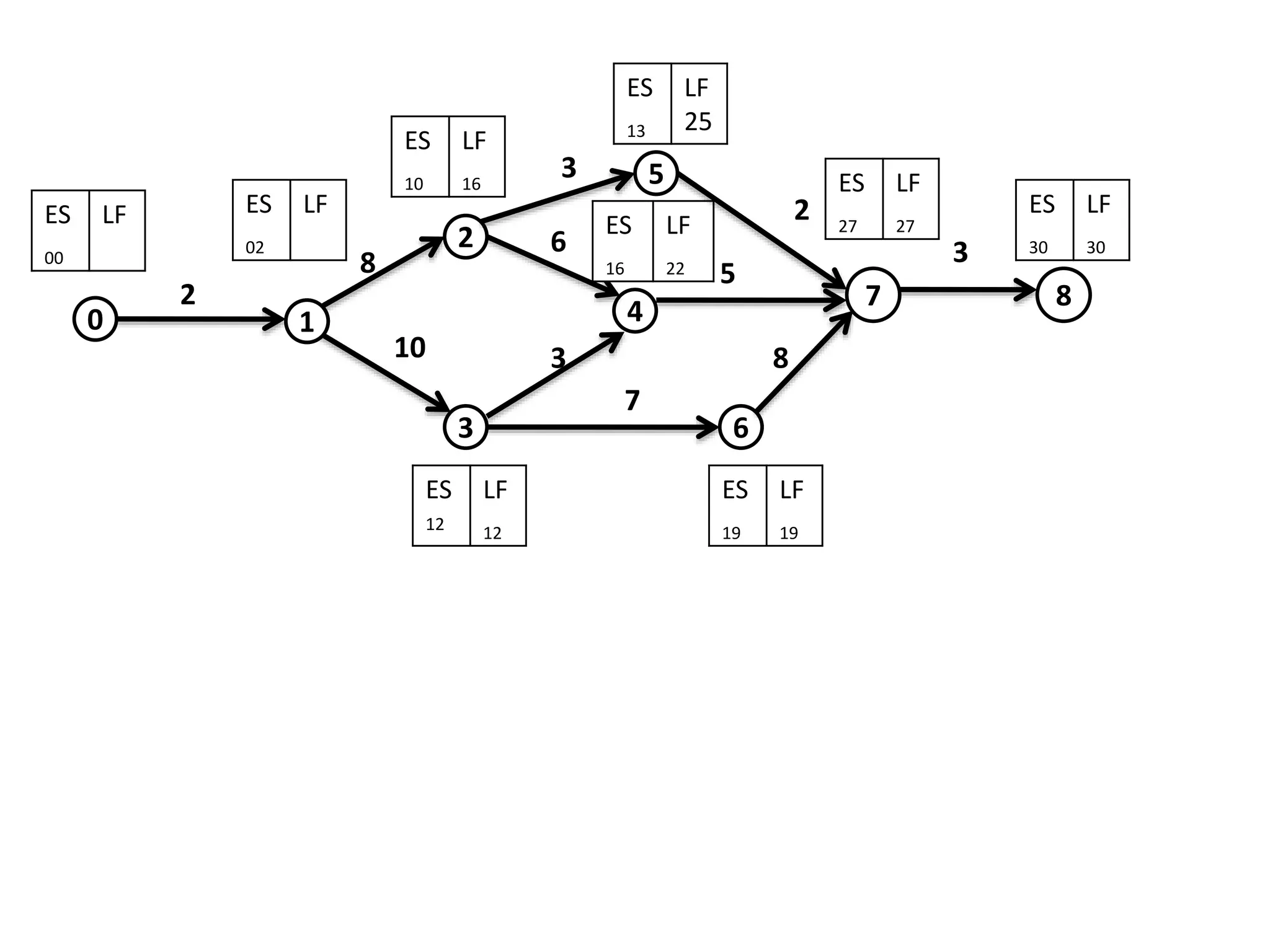
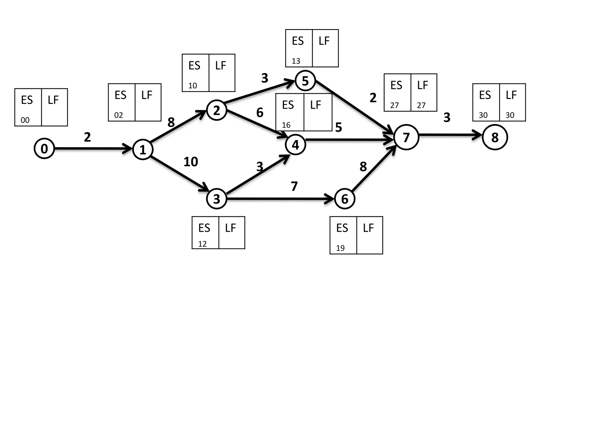
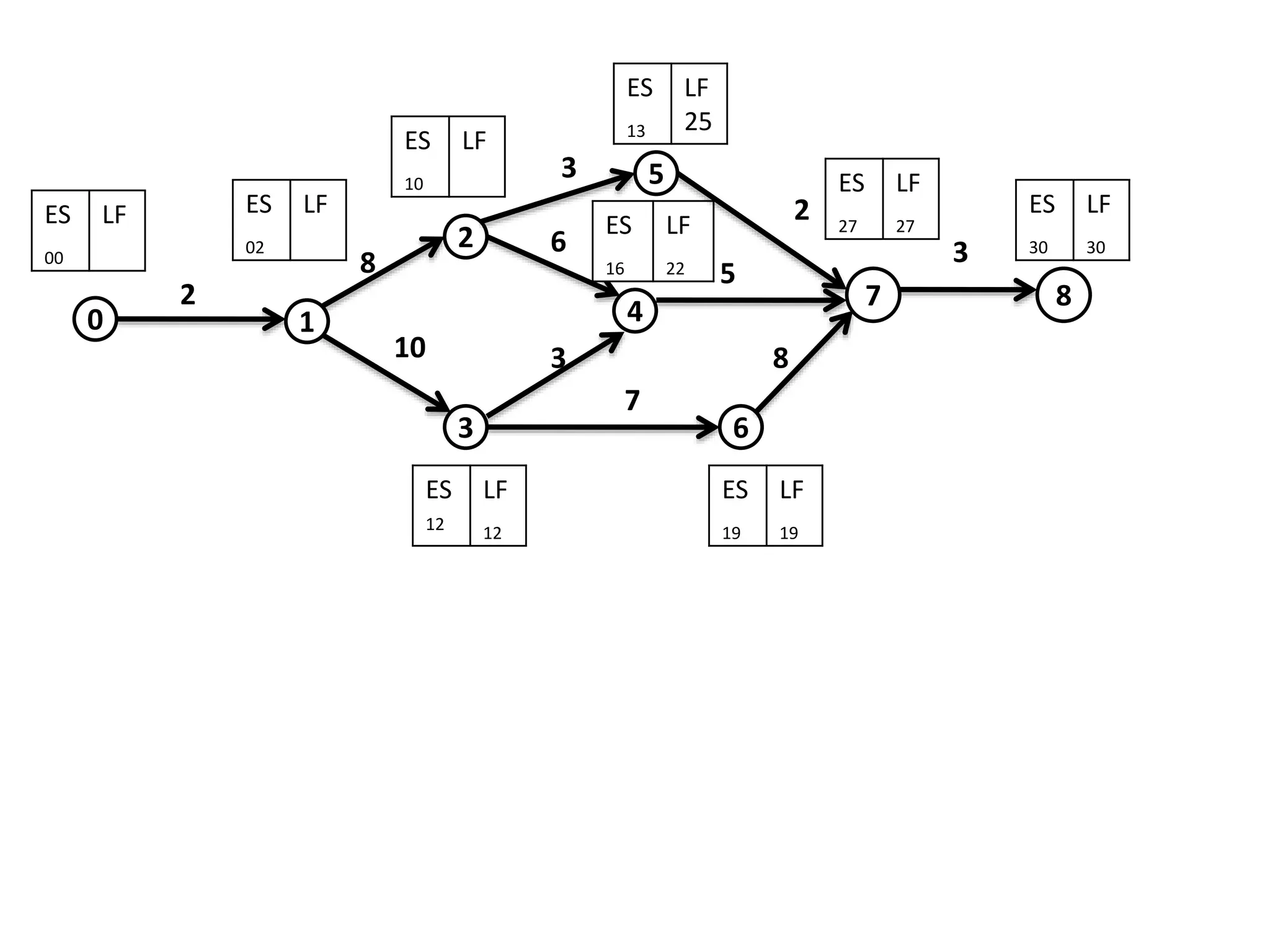
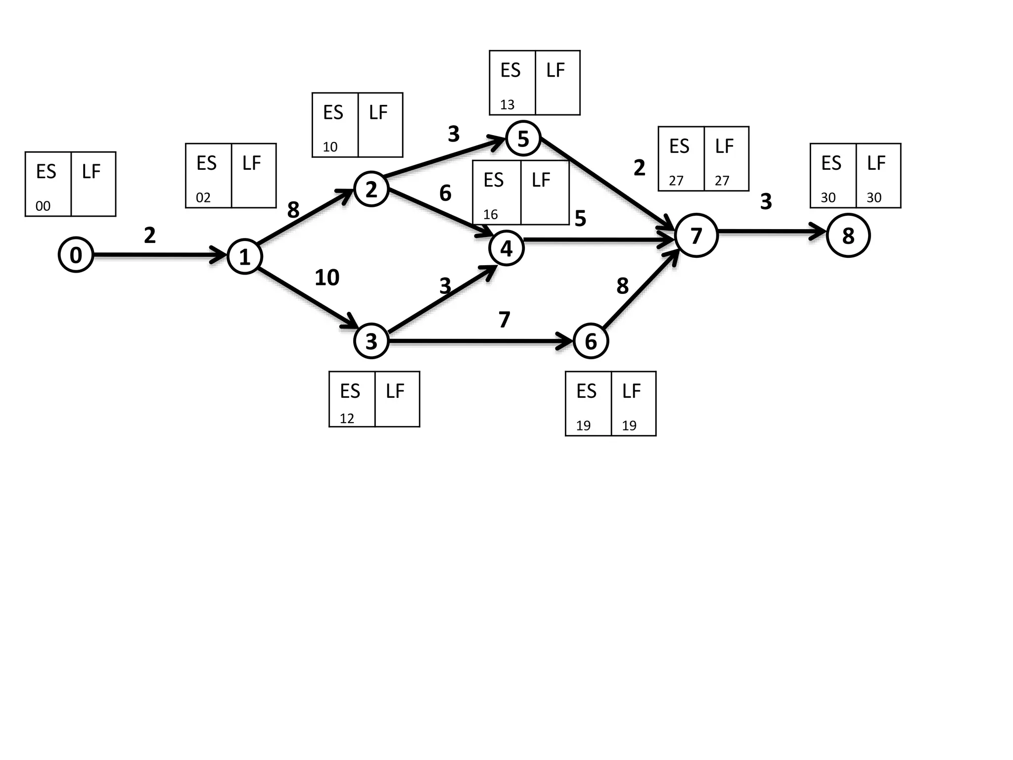
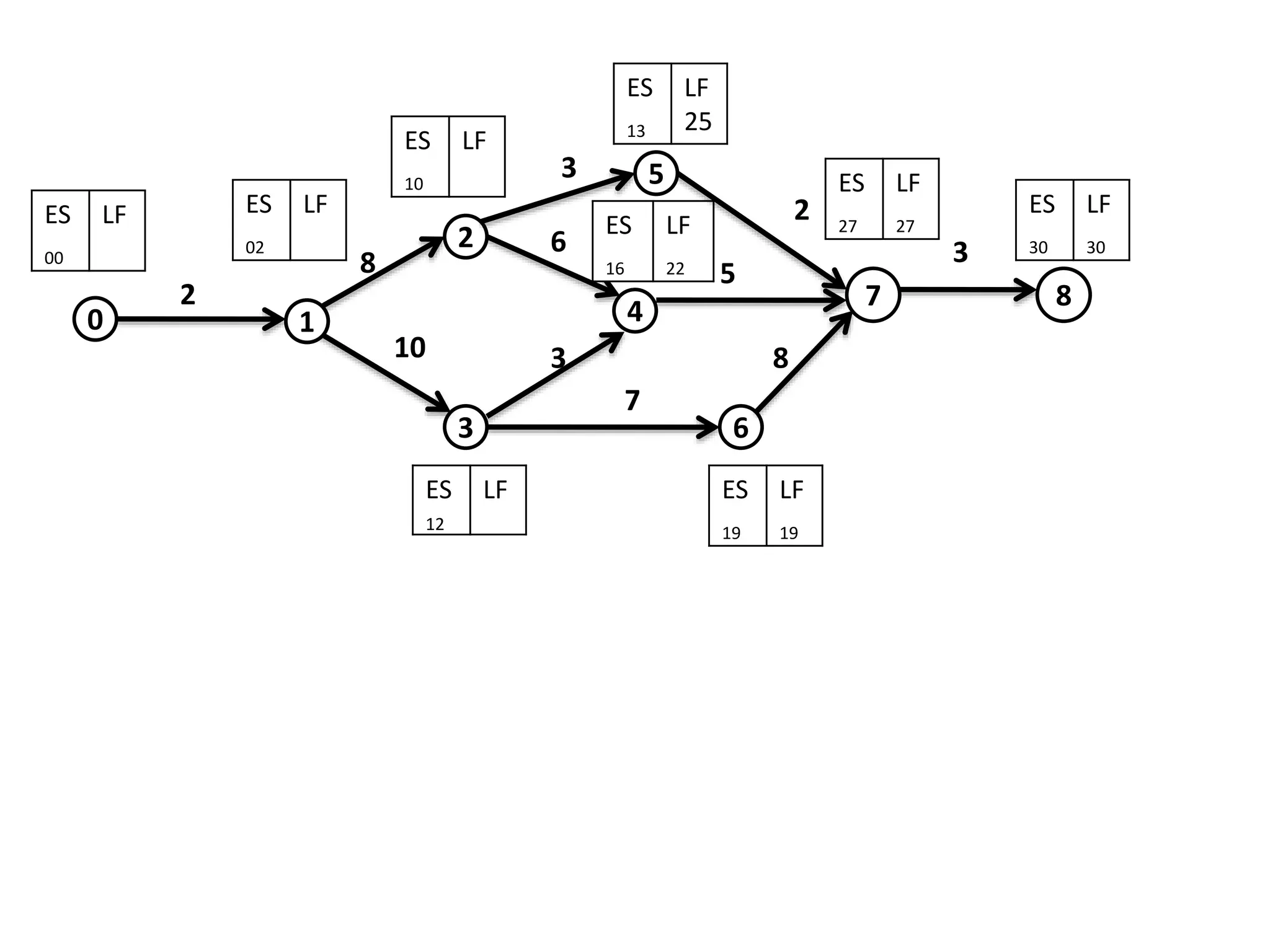
0-1 2 0 0 2 2 0 0 C
1-2 8 2 8 10 16 6 0 NC
1-3 10 2 2 12 12 0 0 C
2-4 6 10 16 16 22 6 0 NC
2-5 3 10 22 13 25 12 0 NC
3-4 3 12 19 15 22 7 1 NC
3-6 7 12 12 19 19 0 0 C
4-7 5 16 22 21 27 6 6 NC
5-7 2 13 25 15 27 12 12 NC
6-7 8 19 19 27 27 0 0 C
7-8 3 27 27 30 30 0 0 C
4
3
2
0
5
6
7
8
3
8
3
10
7
6
0 1
5
2
2 8
3
ES
02
LF
02
ES
10
LF
16
ES
13
LF
25
ES
27
LF
27 ES
30
LF
30
ES
19
LF
19
ES
12
LF
12
ES
16
LF
22
ES
00
LF
00
4
3
2
0
5
6
7
8
3
8
3
10
7
6
0 1
5
2
2 8
3
CRITICAL PATH: 0-1-3-6-7-8
PROJECT DURATION: 30 DAYS

Network analysis by PERT and CPM