BY HAFIZ JUNAID
PLANNING & SCHEDULING
DONE BY A CIVIL ENGINEERS
Planning & Scheduling
Planning:
Process of choosing the method and
order of work
Scheduling:
Process of determining the interrelationship
of associated timings of operations.
Planning & Scheduling
Network Schedules Non - Network
Schedules
(Bar Charts)
CPM PERT Monte Carlo Simultation Techniques
see network schedule and its
classification
Network Scheduling
Network Scheduling is a method of scheduling
activities by joining them in a series of
interconnected links which reflect relationships
of activities as assigned by the planner.
Basic Assumptions for a Network Schedule
1- The project can be broken down into a group
of activities.
2- Each activity can be assigned a duration.
3- The logic relationship between activities are
known and fixed in the network chain.
Techniques for Network Scheduling
1- CPM (Critical Path Method)
 It is the most popular network-scheduling technique
used in construction.
 Developed in the mid fifties by Morgan Walker &
James E. Kelly for managing the construction,
overhaul, and shutdown of large chemical plants.
 Uses only one possible project duration and the
process is called deterministic.
steps
 In applying the CPM, there are several steps that can be summarized
as follows:
 Define the required tasks and put them down in an ordered
(sequenced) list.
 Create a flowchart or other diagram showing each task in relation to
the others.
 Identify the critical and non-critical relationships (paths) among tasks.
 Determine the expected completion or execution time for each task.
 Locate or devise alternatives (backups) for the most critical paths
Techniques for Network Scheduling (- ctd -)
2- PERT (Program Evaluation & Review Techniques)
 Developed in the mid fifties – but not in connection with
CPM – by the U.S. Navy for the research & development
of their Polaris Misile Program.
 Uses probability distributions rather than fixed values
and, hence, termed as stochastic.
Techniques for Network Scheduling (- ctd -)
3- MONTE CARLO SIMULTATION TECHNIQUES
 Not new technique but its practical use in network scheduling is
new, due to the availability of fast, affordable computers.
 It utilizes simultation to predict a project duration by using
random numbers to assign probable durations to activities and
then solving the CPM algorithm for project duration.
 By repeating the process many times, one can produce a
distribution for the probable project duration.
CRITICAL PATH METHOD (NO)
(BASIC STEPS)
 Splitting of the project into work activities
 Determining logic relationships/interrelationships
between activities.
 Construction of Network Diagrams.
 Assigning durations to work activities. (PERT and
CPM use different techniques for this)
 CPM Calculations resulting in start times, finish
times and float calculations of activities.
 Marking of Critical Path
 Construction of Bar Charts / Time phased diagrams
ACTIVITY (NO)
 An element of work performed during the course of a
project. Or
An amount of work that can be identified so that we
know what it involves and can recognize, when it starts
and finishes.
 An activity normally has an expected duration, an
expected cost, and expected resource requirements.
 A list of activities preceeding any given activity is called
PA list.
 A list of activities immediately preceeding any given
activity is called IPA list.
CLASSIFICATION OF ACTIVITIES (NO)
1- PROCUREMENT
It involves all things that must be brought to the job that require
time, such as permanent materials, temporary materials,
workers, money, equipment and utilities.
2- CONSTRUCTION
It includes the activities necessary to assemble and erect the
facility.
3- MANAGEMENT
It includes all items necessary for the project but not specially
identifies in the first or second category.
ACTIVITY DURATIONS (NO)
 Activity duration is forecasted by any of the several means, including:
(1) Check Past Records.
(2) Check Standards and / or cost guides, if available.
(3) Ask the workers, who will do it
(4) make an educated guess
 Any time units may be allotted to activity durations like days, hours,
weeks, months, shifts, etc.
 In CPM, a single duration is forecasted for an activity.
 In PERT (Program Evaluation & Review Techniques), 3 durations are
forecasted for an activity and mean taken by weighted average method.
Then, Project’s Duration or any Event Completion Time is calculated by
probability distribution.
Network Diagrams
 Any schematic display of the logical relationship of
project activities.
 Always drawn from left to right to reflect project
chronology.
 Usually a combination of arrows and nodes.
 A Network for a project is not unique.
 Mainly of two types:
1. Arrow diagram / Activity-on-arrow diagram
2. Node diagram / Precedence diagram /
Activity-on-node diagram
ARROW DIAGRAMS
 Activity is shown by arrow. Relationship between activities shown by
nodes / events.
Activity
Duration
A B C D
3 5 2 7
 Length of arrow has no relation with the duration/size of activity. It is
just a symbol.
 Head of arrow shows start and tail shows end of activity.
 Customarily arrow always starts from left to right.
i j
5
10 15
20
25
EVENT NUMBERING
 Events are numbered in an
Arrow Diagram.
 For any given Activity, the
head event number should
be greater than the tail
event number
 Each Activity should have
a unique i & j pair.
Situation in Figure 2.14 is
not allowed.
MILESTONES
 Events of some special
significance are called
Milestones.
DUMMY ACTIVITIES
 An activity having zero duration and zero cost (and uses zero
resources) is called Dummy Activity.
 Dummy Activity is represented by Dashed Lined Arrow.
 A Dummy Activity may be
---- Logic Dummy ------- To fulfill logic relationship
---- Numbering Dummy – To avoid same i, j pair for
two activities’
---- Start / Finish Dummy – To give single start or
finish activity in the
network.
ARTIFICIAL ACTIVITY
 When a time delay is needed in a
construction sequence, an Artificial Activity is
introduced.
 An Artificial Activity is associated with time
duration but has zero cost.
ACTIVITY CROSSOVER
 Activity crossover is not allowed in Arrow diagrams. However, if
unavoidable, one of the following configurations may be
adopted:
Example 2
ACTIVITY IPA ACTIVITY IPA
A ------ F A, B, C
B ------ G E, F
C ----- H D, G
D A I D, G
E A, B, C
EXAMPLE 1
ACTIVITY IPA
A -----
B A
C A
D B, C
E C
F C
Example 2
ACTIVITY IPA ACTIVITY IPA
A ------ F A, B, C
B ------ G E, F
C ----- H D, G
D A I D, G
E A, B, C
Figure shows a different way of drawing
the arrow diagram, but with the same
logic:
learn the numbers
Node Diagrams
 Activities shown by Nodes, relationship between
activities shown by arrows or links.
 Nodes may be circles, squares, or rectangles.
 These are easier to construct.
 Generally no need of dummies. Instead dummies
used only to give single start or finish.
 Crossing of arrows or links is allowed.
 CPM calculations are similar to arrow diagrams.
In Figure below, C is the activity name and 10 is the
activity duration shown in a square node..
start finish
HOW TO CONSTRUCT NODE DIAGRAMS ?
 Construction of Node diagrams is very easy as compared to
arrow diagrams.
 Sequence steps (SS) are assigned to each activity.
 Any activity is given a sequence step higher than its IPA’s. If
activity B follows activity A and A was on SS1, B will be on SS2.
 We start the diagram by placing the sequence steps across the
page and arranging the activities vertically above the proper
step.
 Activities are then connected with straight lines, according to
their IPA’s.
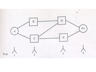
EXAMPLE 1
ACTIVITY IPA SS
A --- 1
B A 2
C A 2
D B, C 3
E C 3
Fn D, E 4
Example 2
ACTIVITY IPA ACTIVITY IPA
A ------ F A, B, C
B ------ G E, F
C ----- H D, G
D A I D, G
E A, B, C
As there are more than one starting and ending activities,
add a start dummy (St) and a finish dummy (Fn)
ACTIVITY IPA SS ACTIVITY IPA SS
St ---- 1 F A, B, C 3
A St 2 G E, F 4
B St 2 H D, G 5
C St 2 I D, G 5
D A 3 Fn H, I 6
E A, B, C 3 ----- ------ -----

PLANNING AND SCHEDULING DONE BY A CIVIL ENGINEERS

  • 1.
    BY HAFIZ JUNAID PLANNING& SCHEDULING DONE BY A CIVIL ENGINEERS
  • 2.
    Planning & Scheduling Planning: Processof choosing the method and order of work Scheduling: Process of determining the interrelationship of associated timings of operations.
  • 3.
    Planning & Scheduling NetworkSchedules Non - Network Schedules (Bar Charts) CPM PERT Monte Carlo Simultation Techniques see network schedule and its classification
  • 4.
    Network Scheduling Network Schedulingis a method of scheduling activities by joining them in a series of interconnected links which reflect relationships of activities as assigned by the planner.
  • 5.
    Basic Assumptions fora Network Schedule 1- The project can be broken down into a group of activities. 2- Each activity can be assigned a duration. 3- The logic relationship between activities are known and fixed in the network chain.
  • 6.
    Techniques for NetworkScheduling 1- CPM (Critical Path Method)  It is the most popular network-scheduling technique used in construction.  Developed in the mid fifties by Morgan Walker & James E. Kelly for managing the construction, overhaul, and shutdown of large chemical plants.  Uses only one possible project duration and the process is called deterministic.
  • 7.
    steps  In applyingthe CPM, there are several steps that can be summarized as follows:  Define the required tasks and put them down in an ordered (sequenced) list.  Create a flowchart or other diagram showing each task in relation to the others.  Identify the critical and non-critical relationships (paths) among tasks.  Determine the expected completion or execution time for each task.  Locate or devise alternatives (backups) for the most critical paths
  • 8.
    Techniques for NetworkScheduling (- ctd -) 2- PERT (Program Evaluation & Review Techniques)  Developed in the mid fifties – but not in connection with CPM – by the U.S. Navy for the research & development of their Polaris Misile Program.  Uses probability distributions rather than fixed values and, hence, termed as stochastic.
  • 9.
    Techniques for NetworkScheduling (- ctd -) 3- MONTE CARLO SIMULTATION TECHNIQUES  Not new technique but its practical use in network scheduling is new, due to the availability of fast, affordable computers.  It utilizes simultation to predict a project duration by using random numbers to assign probable durations to activities and then solving the CPM algorithm for project duration.  By repeating the process many times, one can produce a distribution for the probable project duration.
  • 10.
    CRITICAL PATH METHOD(NO) (BASIC STEPS)  Splitting of the project into work activities  Determining logic relationships/interrelationships between activities.  Construction of Network Diagrams.  Assigning durations to work activities. (PERT and CPM use different techniques for this)  CPM Calculations resulting in start times, finish times and float calculations of activities.  Marking of Critical Path  Construction of Bar Charts / Time phased diagrams
  • 11.
    ACTIVITY (NO)  Anelement of work performed during the course of a project. Or An amount of work that can be identified so that we know what it involves and can recognize, when it starts and finishes.  An activity normally has an expected duration, an expected cost, and expected resource requirements.  A list of activities preceeding any given activity is called PA list.  A list of activities immediately preceeding any given activity is called IPA list.
  • 12.
    CLASSIFICATION OF ACTIVITIES(NO) 1- PROCUREMENT It involves all things that must be brought to the job that require time, such as permanent materials, temporary materials, workers, money, equipment and utilities. 2- CONSTRUCTION It includes the activities necessary to assemble and erect the facility. 3- MANAGEMENT It includes all items necessary for the project but not specially identifies in the first or second category.
  • 13.
    ACTIVITY DURATIONS (NO) Activity duration is forecasted by any of the several means, including: (1) Check Past Records. (2) Check Standards and / or cost guides, if available. (3) Ask the workers, who will do it (4) make an educated guess  Any time units may be allotted to activity durations like days, hours, weeks, months, shifts, etc.  In CPM, a single duration is forecasted for an activity.  In PERT (Program Evaluation & Review Techniques), 3 durations are forecasted for an activity and mean taken by weighted average method. Then, Project’s Duration or any Event Completion Time is calculated by probability distribution.
  • 14.
    Network Diagrams  Anyschematic display of the logical relationship of project activities.  Always drawn from left to right to reflect project chronology.  Usually a combination of arrows and nodes.  A Network for a project is not unique.  Mainly of two types: 1. Arrow diagram / Activity-on-arrow diagram 2. Node diagram / Precedence diagram / Activity-on-node diagram
  • 15.
    ARROW DIAGRAMS  Activityis shown by arrow. Relationship between activities shown by nodes / events. Activity Duration A B C D 3 5 2 7  Length of arrow has no relation with the duration/size of activity. It is just a symbol.  Head of arrow shows start and tail shows end of activity.  Customarily arrow always starts from left to right. i j 5 10 15 20 25
  • 16.
    EVENT NUMBERING  Eventsare numbered in an Arrow Diagram.  For any given Activity, the head event number should be greater than the tail event number  Each Activity should have a unique i & j pair. Situation in Figure 2.14 is not allowed.
  • 17.
    MILESTONES  Events ofsome special significance are called Milestones.
  • 18.
    DUMMY ACTIVITIES  Anactivity having zero duration and zero cost (and uses zero resources) is called Dummy Activity.  Dummy Activity is represented by Dashed Lined Arrow.  A Dummy Activity may be ---- Logic Dummy ------- To fulfill logic relationship ---- Numbering Dummy – To avoid same i, j pair for two activities’ ---- Start / Finish Dummy – To give single start or finish activity in the network.
  • 21.
    ARTIFICIAL ACTIVITY  Whena time delay is needed in a construction sequence, an Artificial Activity is introduced.  An Artificial Activity is associated with time duration but has zero cost.
  • 22.
    ACTIVITY CROSSOVER  Activitycrossover is not allowed in Arrow diagrams. However, if unavoidable, one of the following configurations may be adopted:
  • 23.
    Example 2 ACTIVITY IPAACTIVITY IPA A ------ F A, B, C B ------ G E, F C ----- H D, G D A I D, G E A, B, C
  • 26.
    EXAMPLE 1 ACTIVITY IPA A----- B A C A D B, C E C F C
  • 31.
    Example 2 ACTIVITY IPAACTIVITY IPA A ------ F A, B, C B ------ G E, F C ----- H D, G D A I D, G E A, B, C
  • 41.
    Figure shows adifferent way of drawing the arrow diagram, but with the same logic: learn the numbers
  • 42.
    Node Diagrams  Activitiesshown by Nodes, relationship between activities shown by arrows or links.  Nodes may be circles, squares, or rectangles.  These are easier to construct.  Generally no need of dummies. Instead dummies used only to give single start or finish.  Crossing of arrows or links is allowed.  CPM calculations are similar to arrow diagrams.
  • 43.
    In Figure below,C is the activity name and 10 is the activity duration shown in a square node..
  • 45.
  • 46.
    HOW TO CONSTRUCTNODE DIAGRAMS ?  Construction of Node diagrams is very easy as compared to arrow diagrams.  Sequence steps (SS) are assigned to each activity.  Any activity is given a sequence step higher than its IPA’s. If activity B follows activity A and A was on SS1, B will be on SS2.  We start the diagram by placing the sequence steps across the page and arranging the activities vertically above the proper step.  Activities are then connected with straight lines, according to their IPA’s.
  • 47.
    EXAMPLE 1 ACTIVITY IPASS A --- 1 B A 2 C A 2 D B, C 3 E C 3 Fn D, E 4
  • 49.
    Example 2 ACTIVITY IPAACTIVITY IPA A ------ F A, B, C B ------ G E, F C ----- H D, G D A I D, G E A, B, C
  • 50.
    As there aremore than one starting and ending activities, add a start dummy (St) and a finish dummy (Fn) ACTIVITY IPA SS ACTIVITY IPA SS St ---- 1 F A, B, C 3 A St 2 G E, F 4 B St 2 H D, G 5 C St 2 I D, G 5 D A 3 Fn H, I 6 E A, B, C 3 ----- ------ -----