Prof. Dr. Atıl BULU1
Chapter 3
Local Energy (Head) Losses
3.1. Introduction
Local head losses occur in the pipes when there is a change in the area of the cross-
section of the pipe (enlargement, contraction), a change of the direction of the flow
(bends), and application of some devices on the pipe (vanes). Local head losses are also
named as minor losses. Minor losses can be neglected for long pipe systems.
Minor losses happen when the magnitude or the direction of the velocity of the flow
changes. In some cases the magnitude and the direction of the velocity of the flow may
change simultaneously. Minor losses are proportional with the velocity head of the flow
and is defined by,
g
V
hL
2
2
ξ= (3.1)
Where ξ is the loss coefficient.
3.2. Abrupt Enlargement
There is certain amount of head loss when the fluid moves through a sudden
enlargement in a pipe system such as that shown in Fig. (3.1)
Impuls-momentum equation is applied to the 1221 control volume along the horizontal
flow direction. The forces acting on to the control volume are,
a) Pressure force on the 1-1 cross-section, 111 ApF =
r
b) Pressure force on the 2-2 cross-section, 222 ApF =
s
c) Pressure force on the 3-3 cross-section, ( )1233 AApF −=
r
Laboratory experiments have verified that 13 pp = , ( )1213 AApF −=
r
d) Momentum on the 1-1 cross-section, 11 QVM ρ=
r
e) Momentum on the 2-2 cross-section, 22 QVM ρ=
r
Prof. Dr. Atıl BULU2
Fig. 3.1.
Neglecting the shearing force on the surface of the control volume,
( )
( ) ( )
( )12
2
21
12221
222121111 0
VV
gA
Qpp
g
VVQApp
QVApAApApQV
−=
−
=
−=−
=−−−++
γ
γ
ρ
ρ
ρρ
p1A1ρQV1
p2A2 ρQV2
p1(A2 -A1)
1
3 2
23
Energy Line ( )
g
VV
hL
2
2
21 −
=
g
V
2
2
1
γ
1p
1
g
V
2
2
2
γ
2p
Flow
3 2
H.G.L
Prof. Dr. Atıl BULU3
Applying the continuity equation,
2
1
12
2211
A
A
VV
AVAVQ
=
==
Substituting this,
⎟⎟
⎠
⎞
⎜⎜
⎝
⎛
−=
−
111
2
1
111
2
21 1
VAV
A
A
VAV
gA
pp
γ
⎥
⎥
⎦
⎤
⎢
⎢
⎣
⎡
−⎟⎟
⎠
⎞
⎜⎜
⎝
⎛
=
−
2
1
2
2
1
2
121
A
A
A
A
g
Vpp
γ
(3.2)
Applying Bernoulli equation between cross-sections 1-2 for the horizontal pipe flow,
L
L
h
g
V
g
Vpp
h
g
Vp
g
Vp
+−=
−
++=+
22
22
2
1
2
221
2
22
2
11
γ
γγ
Substituting Equ. (3.2),
g
V
g
VV
g
V
h
g
VV
g
V
g
V
g
V
h
V
V
V
V
g
V
g
V
g
V
h
V
V
A
A
AVAV
h
g
V
g
V
A
A
A
A
g
V
L
L
L
L
22
22
22
222
2
221
2
1
21
2
2
2
2
2
1
1
2
2
1
2
2
1
2
2
2
1
1
2
2
1
2211
2
1
2
2
2
1
2
2
1
2
1
+−=
−+−=
⎥
⎥
⎦
⎤
⎢
⎢
⎣
⎡
−⎟⎟
⎠
⎞
⎜⎜
⎝
⎛
+−=
=→=
+−=
⎥
⎥
⎦
⎤
⎢
⎢
⎣
⎡
−⎟⎟
⎠
⎞
⎜⎜
⎝
⎛
Prof. Dr. Atıl BULU4
( )
g
VV
hL
2
2
21 −
= (3.3)
This equation is known as Borda-Carnot equation. The loss coefficient can be derived
as,
⎟⎟
⎠
⎞
⎜⎜
⎝
⎛
+−=
⎟⎟
⎠
⎞
⎜⎜
⎝
⎛
+−=
2
2
2
1
2
1
2
1
2
1
2
2
1
2
2
1
21
2
21
2
A
A
A
A
g
V
h
V
V
V
V
g
V
h
L
L
2
2
1
2
1
1
2 ⎟⎟
⎠
⎞
⎜⎜
⎝
⎛
−=
A
A
g
V
hL (3.4)
The loss coefficient of Equ. (3.1) is then,
2
2
1
1 ⎟⎟
⎠
⎞
⎜⎜
⎝
⎛
−=
A
A
ξ (3.5)
The loss coefficient ξ is a function of the geometry of the pipe and is not dependent on to
the flow characteristics.
Special case: Connecting to a reservoir,
Fig. 3.2.
A2
A1
V1
2
/2g
Energy Line
H.G.L.
Prof. Dr. Atıl BULU5
1 a
2
1 a
2
A1
A2V1 V2pa
Dead Zone
Since the reservoir cross-sectional area is too big comparing to the area pipe cross-
section, 12 AA >> , 0
2
1
≅
A
A
, the loss coefficient will be equal to zero, ζ=0. The head loss is
then,
g
V
hL
2
2
1
= (3.6)
3.3. Abrupt Contraction
Flow through an abrupt contraction is shown in Fig. 3.3.
Fig. 3.3
Derivation of the ζ loss coefficient may be done by following these steps.
a) Bernoulli equation between 1, C, and 2 cross-sections by neglecting the head loss
between 1 and C cross-sections is for the horizontal pipe system,
L
CC
h
g
Vp
g
Vp
g
Vp
++=+=+
222
2
22
22
11
γγγ
b) Continuity equation of the system,
2211 AVAVAVQ CC ===
Prof. Dr. Atıl BULU6
c) Impuls-Momentum equation between C and 2 cross-sections,
( ) ( )CC VVQApp −=− 222 ρ
Solving these 3 equations gives us head loss equation as,
( )
g
V
A
A
h
g
VV
h
C
L
C
L
2
1
2
2
2
2
2
2
2
⎟⎟
⎠
⎞
⎜⎜
⎝
⎛
−=
−
=
(3.7)
Where,
2A
A
C C
C = = Coefficient of contraction (3.8)
The loss coefficient for abrupt contraction is then,
2
1
1
⎟⎟
⎠
⎞
⎜⎜
⎝
⎛
−=
CC
ξ (3.9)
g
V
hL
2
2
2
ξ=
CC contraction coefficients, and ζ loss coefficients have determined by laboratory
experiments depending on the A2/A1 ratios and given in Table 3.1.
Prof. Dr. Atıl BULU7
Table 3.1.
A2/A1
CC
ζ
0 0.10 0.20 0.30 0.40 0.50 0.60 0.70 0.80 0.90 1.00
0.62 0.62 0.63 0.64 0.66 0.68 0.71 0.76 0.81 0.89 1.00
0.50 0.46 0.41 0.36 0.30 0.24 0.18 0.12 0.06 0.02 0
Example: At an abrupt contraction in a pressured pipe flow, Q = 1 m3
/sec, D1 = 0.80 m,
D2 = 0.40 m. Calculate the local head when contraction coefficient is CC = 0.60.
Solution: Since discharge has been given,
sec26.13
0754.0
1
0754.01257.060.0
1257.0
4
40.0
4
sec96.7
40.0
144
2
2
2
22
2
2
22
2
2
m
A
Q
V
mACA
m
D
A
m
D
Q
V
C
C
cC
===
=×==
=
×
==
=
×
×
==
ππ
ππ
( ) ( ) m
g
VV
h C
L 43.1
62.19
96.726.13
2
22
2
=
−
=
−
=
Or,
mh
V
C
h
L
C
L
44.1
62.19
96.7
1
60.0
1
62.19
1
1
22
2
2
2
=×⎟
⎠
⎞
⎜
⎝
⎛
−=
×⎟⎟
⎠
⎞
⎜⎜
⎝
⎛
−=
Special case: Pipe entrance from a reservoir,
Loss coefficient ζ depends on the geometry of the pipe connection to the reservoir. The
loss coefficient ζ is 0.50 for square-edge entrance. Fig. (3.4)
Prof. Dr. Atıl BULU8
Fig. 3.4
g
V
hL
2
5.0
2
= (3.10)
The head loss at the pipe fittings, bends and vanes is calculated with the general local loss
equation (Equ. 3.1). The loss coefficients can be taken from the tables prepared for the
bends and vanes.
Example 3.1. Two reservoirs is connected with a pipe length L. What will the elevation
difference between the water surfaces of the reservoir? Draw the energy and hydraulic
grade line of the system.
Fig. 3.5
H1
H2
ΔH=?
V2
/2g
0.5V2
/2g
E.L.
H.G.L.
V
L= Pipe Length
V2
/2g
0.5V2
/2g
R.E.L.
H.G.L.
V
Prof. Dr. Atıl BULU9
Solution: Bernoulli equation between reservoir (1) and (2),
Lh
g
Vp
z
g
Vp
z +++=++
22
2
22
2
2
11
1
γγ
Since the velocities in the reservoirs are taken as zero, V1 = V2 =0, and the pressure on
the surface of reservoirs is equal to the atmospheric pressure,
Lhzz =− 21
The head losses along the pipe system are,
1) Local loss to the entrance of the pipe,
g
V
hL
2
5.0
2
1
=
2) Head loss along the pipe, L
g
V
D
f
JLhL
2
2
2
==
3) Local loss at the entrance to the reservoir,
g
V
hL
2
2
3
=
The total loss is then will be equal to the elevation difference between the reservoir
levels,
L
g
V
D
f
g
V
zz
g
V
L
g
V
D
f
g
V
zz
hzz L
22
5.1
222
5.0
22
21
222
21
21
+=−
++=−
=−
Prof. Dr. Atıl BULU10
Numerical Application: If the physical characteristics of the system are given as below,
what will be difference between the reservoir levels? Calculate the ratio of local losses to
the total head loss and give a physical explanation of this ratio.
Figure 3.6
Q = 0.2 m3
/sec, f = 0.02, L = 2000 m, D = 0.30 m
The velocity in the pipe,
sec83.2
3.0
2.044
22
mV
D
Q
V
=
×
×
==
ππ
The velocity head,
m
g
V
41.0
62.19
83.2
2
22
==
The elevation difference is then,
mzz
zz
zz
L
g
V
D
f
g
V
zz
62.82
0.8262.0
2000
2.0
02.0
41.041.05.1
22
5.1
21
21
21
22
21
=−
+=−
××+×=−
+=−
z1
z2
ΔH=82.62
V2
/2g=0.41m
0.5V2
/2g=0.20m
E.L.
H.G.L.
V
L= 2000m
Prof. Dr. Atıl BULU11
The ratio of local losses to the total head loss is,
0075.0
62.82
62.0
=
As can be seen from the result, the ratio is less than 1%. Therefore, local losses are
generally neglected for long pipes.
3.4 Conduit Systems
The other applications which are commonly seen in practical applications for conduit
systems are,
a) The Three-Reservoir Problems,
b) Parallel Pipes,
c) Branching Pipes,
d) Pump Systems.
3.4.1 The Three-Reservoir Problems
Consider the case where three reservoirs are connected by a branched-pipe system. The
problem is to determine the discharge in each pipe and the head at the junction point D.
There are four unknowns (VAD, VBC, VDC and pD/γ ), and the solution is obtained by
solving the energy equations for the pipes (neglecting velocity heads and including only
pipe losses and not the minor losses) and the continuity equation. The physical
characteristics of the system such as lengths, diameters and f friction factors of the pipes,
the geometric elevations of the water surfaces at the reservoirs and the piezometric head
at the junction D are given. The reservoirs are located as, zA> zB> zC. There are three
possible solutions of this problem,
a) A
D
z
p
z =⎟⎟
⎠
⎞
⎜⎜
⎝
⎛
+
γ
Figure 3.7
A
zA
zB
zC
B
C
Dp
D
zD
E.L
Prof. Dr. Atıl BULU12
Since A
D
z
p
z =⎟⎟
⎠
⎞
⎜⎜
⎝
⎛
+
γ
, there will be no flow from or to reservoir A, and therefore,
0,0,0 === ADADAD JVQ
DCBD QQ =
The relations between the reservoir levels B, and D and the piezometric head at the
junction D are,
CDBD LC
D
DLB hz
p
zhz +=+=−
γ
Energy line slope (JBD) of the BD pipe can be found as,
BD
L
BD
AB
BD
D
DB
BD
L
h
L
zz
L
p
zz
J BD
=
−
=
−−
=
γ
(3.11)
Using the Darcy-Weisbach equation,
gD
fV
J
2
2
=
The flow velocity in the BD pipe can be calculated by,
21
2
⎟⎟
⎠
⎞
⎜⎜
⎝
⎛
=
BD
BDBD
BD
f
JgD
V (3.12)
And the discharge is,
BDBDBD VAQ =
Prof. Dr. Atıl BULU13
The energy line slope, the velocity and the discharge of the CD pipe are then,
BDCdCDCD
CD
CDCD
CD
CD
L
CD
CA
CD
QVAQ
f
JgD
V
L
h
L
zz
J CD
==
⎟⎟
⎠
⎞
⎜⎜
⎝
⎛
=
=
−
=
21
2
b) B
D
AC z
p
zzz <⎟⎟
⎠
⎞
⎜⎜
⎝
⎛
+<<
γ
Figure 3.7
The continuity equation for this case is,
DCADBd QQQ +=
The relations between the reservoir levels B, A, and C and the piezometric head at the
junction D are,
CDADBD LCLA
D
LB hzhz
p
zhz +=+=⎟⎟
⎠
⎞
⎜⎜
⎝
⎛
+=−
γ
A
zA
zB
zC
B
C
γ
Dp
D
zD
E.L.
Prof. Dr. Atıl BULU14
The energy line slopes of the pipes are,
AD
L
AD
A
D
AD
BD
L
BD
D
B
BD
L
h
L
z
p
z
J
L
h
L
p
zz
J
AD
BD
=
−⎟⎟
⎠
⎞
⎜⎜
⎝
⎛
+
=
=
⎟⎟
⎠
⎞
⎜⎜
⎝
⎛
+−
=
γ
γ
CD
L
CD
C
D
CD
L
h
L
z
p
z
J CD
=
−⎟⎟
⎠
⎞
⎜⎜
⎝
⎛
+
=
γ
c) BA
D
C zz
p
zz <<⎟⎟
⎠
⎞
⎜⎜
⎝
⎛
+<
γ
Figure 3.8
The continuity equation is,
CDADBD QQQ =+
The relations between the reservoir levels B, A, and C and the piezometric head at the
junction D are,
CDADBD LCLA
D
LB hzhz
p
zhz +=−=⎟⎟
⎠
⎞
⎜⎜
⎝
⎛
+=−
γ
A
zA
zB
zC
B
C
γ
Dp
D
zD
E.L.
Prof. Dr. Atıl BULU15
The energy line slopes of the pipes are,
CD
L
CD
C
D
CD
AD
L
AD
D
A
AD
BD
L
BD
D
B
BD
L
h
L
z
p
z
J
L
h
L
p
zz
J
L
h
L
p
zz
J
CD
AD
BD
=
−⎟⎟
⎠
⎞
⎜⎜
⎝
⎛
+
=
=
⎟⎟
⎠
⎞
⎜⎜
⎝
⎛
+−
=
=
⎟⎟
⎠
⎞
⎜⎜
⎝
⎛
+−
=
γ
γ
γ
Example: The water surface levels at the A and C reservoirs are respectively zA=100 m
and zC= 70 for the given three-reservoir system. Reservoirs A and B are feeding reservoir
C and QA = QB . Calculate the water surface level of the reservoir B. Draw the energy
line of the system. The physical characteristics of the pipes are,
Figure 3.9
Pipe Length (m) Diameter (mm) f
AD 500 150 0.03
BD 1000 200 0.02
DC 1500 250 0.03
A
zA=100m
zB=89.47m
zC=70m
B
C
γ
Dp
D
zD
E.L.
Prof. Dr. Atıl BULU16
Solution: The head loss along the pipes 1 and 3 is,
mzzhh CALL 307010031
=−=−=+ (1)
Since,
QQ
QQQ
23
21
=
==
Using the Darcy-Weisbach equation for the head loss,
5
2
2
2
2
2
8
4
22
D
LQ
g
f
h
D
Q
g
fL
gD
LfV
h
L
L
×=
⎟
⎠
⎞
⎜
⎝
⎛
×==
π
π
Using Equ. (1),
( )
sec8.30sec0308.0
3156630
25.0
21500
15.0
500
81.9
03.08
30
8
3
2
5
2
5
2
2
5
2
2
222
5
1
2
111
2
ltmQ
Q
QQ
D
QLf
D
QLf
g
hL
==
=
⎥
⎦
⎤
⎢
⎣
⎡ ×
+
×
×
×
=
⎟
⎟
⎠
⎞
⎜
⎜
⎝
⎛
+=
π
π
sec74.1
15.0
0308.044
sec0308.0
22
1
1
1
3
1
m
D
Q
V
mQ
=
×
×
==
=
ππ
sec26.1
25.0
0616.044
sec0616.00308.022
22
3
3
3
3
13
m
D
Q
V
mQQ
=
×
×
==
=×==
ππ
Prof. Dr. Atıl BULU17
Head losses along the pipes are,
mhh
m
gD
LVf
h
m
gD
LVf
h
Ll
L
L
00.3057.1443.15
57.14
25.062.19
150026.103.0
2
43.15
15.062.19
50074.103.0
2
31
3
1
2
3
3
2
33
2
1
1
2
11
=+=+
=
×
××
==
=
×
××
==
For the pipe 2,
sec0308.0 3
21 mQQ ==
m
gD
LVf
h
m
D
Q
V
L 90.4
20.062.19
100098.002.0
2
sec98.0
20.0
0308.044
2
2
2
2
22
22
2
2
2
2
=
×
××
==
=
×
×
==
ππ
Water surface level of the reservoir B is,
mh
p
zz
mhz
p
z
mhz
p
z
L
D
B
LC
D
LA
D
47.8990.457.84
57.8457.1400.70
57.8443.1500.100
2
3
1
=+=+⎟⎟
⎠
⎞
⎜⎜
⎝
⎛
+=
=+=+=⎟⎟
⎠
⎞
⎜⎜
⎝
⎛
+
=−=−=⎟⎟
⎠
⎞
⎜⎜
⎝
⎛
+
γ
γ
γ
3.4.2 Parallel Pipes
Consider a pipe that branches into two parallel and then rejoins as in Fig….. . In pipeline
practice, looping or laying a pipeline parallel to an existing pipeline is a standard method
of increasing the capacity of the line. A problem involving this configuration might be to
determine the division of flow in each pipe given the total flow rate. In such problems,
velocity heads, and minor losses are usually neglected, and calculations are made on the
basis of coincident energy and hydraulic grade lines.
Prof. Dr. Atıl BULU18
Figure 3.10
Evidently, the distribution of flow in the branches must be such that the same head loss
occurs in each branch; if this were not so there would be more than one energy line for
the pipe upstream and downstream from the junctions.
Application of the continuity principle shows that the discharge in the mainline is equal
to the sum of the discharges in the branches. Thus the following simultaneous equations
may be written.
21
21
QQQ
hh LL
+=
=
(3.13)
Using the equality of head losses,
gD
VLf
gD
VLf
22 2
2
222
1
2
111
=
21
211
122
2
1
⎟⎟
⎠
⎞
⎜⎜
⎝
⎛
=
DLf
DLf
V
V
(3.14)
If f1 and f2 are known, the division of flow can be easily determined.
Q1, L1, D1, f1
Q2, L2, D2, f2
Q Q
A B
hL1 = hL2
PB/γ
PA/γ
E.L
Prof. Dr. Atıl BULU19
Expressing the head losses in terms of discharge through the Darcy-Weisbach equation,
42
22
16
22 D
Q
gD
fL
gD
LfV
hL
π
×=
2
2
52
2
16
KQh
Q
gD
fL
h
L
L
=
×⎟⎟
⎠
⎞
⎜⎜
⎝
⎛
=
π (3.14)
Substituting this to the simultaneous Equs (3.12),
21
2
22
2
11
QQQ
QKQK
+=
=
(3.15)
Solution of these simultaneous equations allows prediction of the division of a discharge
Q into discharges Q1 and Q2 when the pipe characteristics are known. Application of
these principles allows prediction of the increased discharge obtainable by looping an
existing pipeline.
Example: A 300 mm pipeline 1500 m long is laid between two reservoirs having a
difference of surface elevation of 24. The maximum discharge obtainable through this
line is 0.15m3
/sec. When this pipe is looped with a 600 m pipe of the same size and
material laid parallel and connected to it, what increase of discharge may be expected?
Solution: For the single pipe, using Equ. (3.14),
1067
15.024 2
2
=
×=
=
K
K
KQhL
Prof. Dr. Atıl BULU20
Figure 3.11
K for the looped section is,
427
1067
1500
6002
=
×==
A
A
K
K
L
L
K
For the unlooped section,
640
1067
1500
6001500
2
=′
×
−
=′
−
=′
K
K
K
L
LL
K
For the looped pipeline, the headloss is computed first in the common section plus branch
A as,
22
22
42764024 A
AAL
QQ
QKQKh
×+×=
+′=
(1)
And then in the common section plus branch B as,
22
42764024 BQQ ×+×= (2)
24m1
1
A
B, LB=600m
Prof. Dr. Atıl BULU21
In which QA and QB are the discharges in the parallel branches. Solving these by
eliminating Q shows that QA=QB (which is expected to be from symmetry in this
problem). Since, from continuity,
2
Q
Q
QQQ
A
BA
=
+=
Substituting this in the Equ (1) yields,
( )
sec18.0
sec09.0
298724
427264024
3
3
2
22
mQ
mQ
Q
QQ
A
A
AA
=
=
=
×+×=
Thus the gain of discharge capacity by looping the pipe is 0.03 m3
/sec or 20%.
Example: Three pipes have been connected between the points A and B. Total discharge
between A and B is 200 lt/sec. Physical characteristics of the pipes are,
mDmDmD
mLLL
fff
30.0,20.0,10.0
1000
02.0
321
321
321
===
===
===
Calculate the discharges of each pipe and calculate the head loss between the points A
and B. Draw the energy line of the system.
Figure
A B
1
2
3
hL= 13.33m
Prof. Dr. Atıl BULU22
Solution: Head losses through the three pipes should be the same.
321 LLL hhh ==
332211 LJLJLJ ==
Since the pipe lengths are the same for the three pipes,
321 JJJ ==
5
2
242
22
816
2
1
2 D
Q
g
f
D
Q
gD
f
g
V
D
f
J ×=××=×=
ππ
And also roughness coefficients f are the same for three pipe, the above equation takes
the form of,
5
3
2
3
5
2
2
2
5
1
2
1
D
Q
D
Q
D
Q
==
Using this equation,
21
5.225
2
1
2
1
177.0
177.0
20.0
10.0
QQ
D
D
Q
Q
=
=⎟
⎠
⎞
⎜
⎝
⎛
=⎟⎟
⎠
⎞
⎜⎜
⎝
⎛
=
23
5.225
2
3
2
3
76.2
76.2
20.0
30.0
QQ
D
D
Q
Q
=
=⎟
⎠
⎞
⎜
⎝
⎛
=⎟⎟
⎠
⎞
⎜⎜
⎝
⎛
=
Substituting these values to the continuity equation,
sec051.0
200.0937.3
200.076.2177.0
200.0
3
2
2
222
321
mQ
Q
QQQ
QQQ
=
=
=++
=++
sec140.0051.076.2
sec009.0051.0177.0
3
3
3
1
mQ
mQ
=×=
=×=
sec200.0140.0051.0009.0 3
321 mQQQ =++=++
Prof. Dr. Atıl BULU23
Calculated discharges for the parallel pipes satisfy the continuity equation.
The head loss for the parallel pipes is,
mh
L
D
Q
g
f
h
AB
AB
L
L
33.131000
30.0
14.0
81.9
02.08
8
5
2
2
35
3
2
3
2
=××
×
×
=
××=
π
π
3.4.2 Branching Pipes
Figure 3.12
Consider the reservoir A supplying water with branching pipes BC and BD to a city.
Pressure heads (p/γ) are required to be over 25 m to supply water to the top floors in
multistory buildings.
m
p
m
p DC
25,25 ≥≥
γγ
Using the continuity equation,
BDBCAB QQQ +=
A
zA
B
C
D
γγ
minppc
≥
γγ
minppD
≥
zC
zD
γ
Bp
Prof. Dr. Atıl BULU24
Two possible problems may arise for these kinds of pipeline systems;
a) The physical characteristics of the system such as the lengths, diameters and
friction factors, and also the discharges of each pipe are given. Water surface
level in the reservoir is searched to supply the required (p/γ)min pressure head at
points C and D. The problem can be solved by following these steps,
1) Velocities in the pipes are calculated using the given discharges and diameters.
2
4
D
Q
A
Q
V
π
==
2) Head losses for the BC and BD pipes are calculated.
L
g
V
D
f
hL ××=
2
2
Piezometric head at junction B is calculated by using the given geometric elevations of
the points C and D.
BCLC
B
hz
pp
z −+⎟⎟
⎠
⎞
⎜⎜
⎝
⎛
=⎟⎟
⎠
⎞
⎜⎜
⎝
⎛
+
min
γγ
(1)
BDLD
B
hz
pp
z −+⎟⎟
⎠
⎞
⎜⎜
⎝
⎛
=⎟⎟
⎠
⎞
⎜⎜
⎝
⎛
+
min
γγ
(2)
Since there should be only one piezometric head (z+p/γ) at any junction, the largest value
obtained from the equations (1) and (2) is taken as the piezometric head for the junction
B. Therefore the minimum pressure head requirement for the points C and D has been
achieved.
3) The minimum water surface level at the reservoir to supply the required pressure
head at points C and D is calculated by taking the chosen piezometric head for the
junction,
ABL
B
A h
p
zz +⎟⎟
⎠
⎞
⎜⎜
⎝
⎛
+=
γ
Prof. Dr. Atıl BULU25
b) The physical characteristics and the discharges of the pipes are given. The
geometric elevations of the water surface of the reservoir and at points C and D
are also known. The minimum pressure head requirement will be checked,
1) VAB , VBC and VBD velocities in the pipes are calculated.
2) Head losses along the pipes AB, BC and BD are calculated.
3) Piezometric heads at points B, C and D are calculated.
min
min
⎟⎟
⎠
⎞
⎜⎜
⎝
⎛
≥−⎟⎟
⎠
⎞
⎜⎜
⎝
⎛
+=⎟⎟
⎠
⎞
⎜⎜
⎝
⎛
+
⎟⎟
⎠
⎞
⎜⎜
⎝
⎛
≥−⎟⎟
⎠
⎞
⎜⎜
⎝
⎛
+=⎟⎟
⎠
⎞
⎜⎜
⎝
⎛
+
−=⎟⎟
⎠
⎞
⎜⎜
⎝
⎛
+
γγγ
γγγ
γ
p
h
p
z
p
z
p
h
p
z
p
z
hz
p
z
BD
BC
AB
L
BD
L
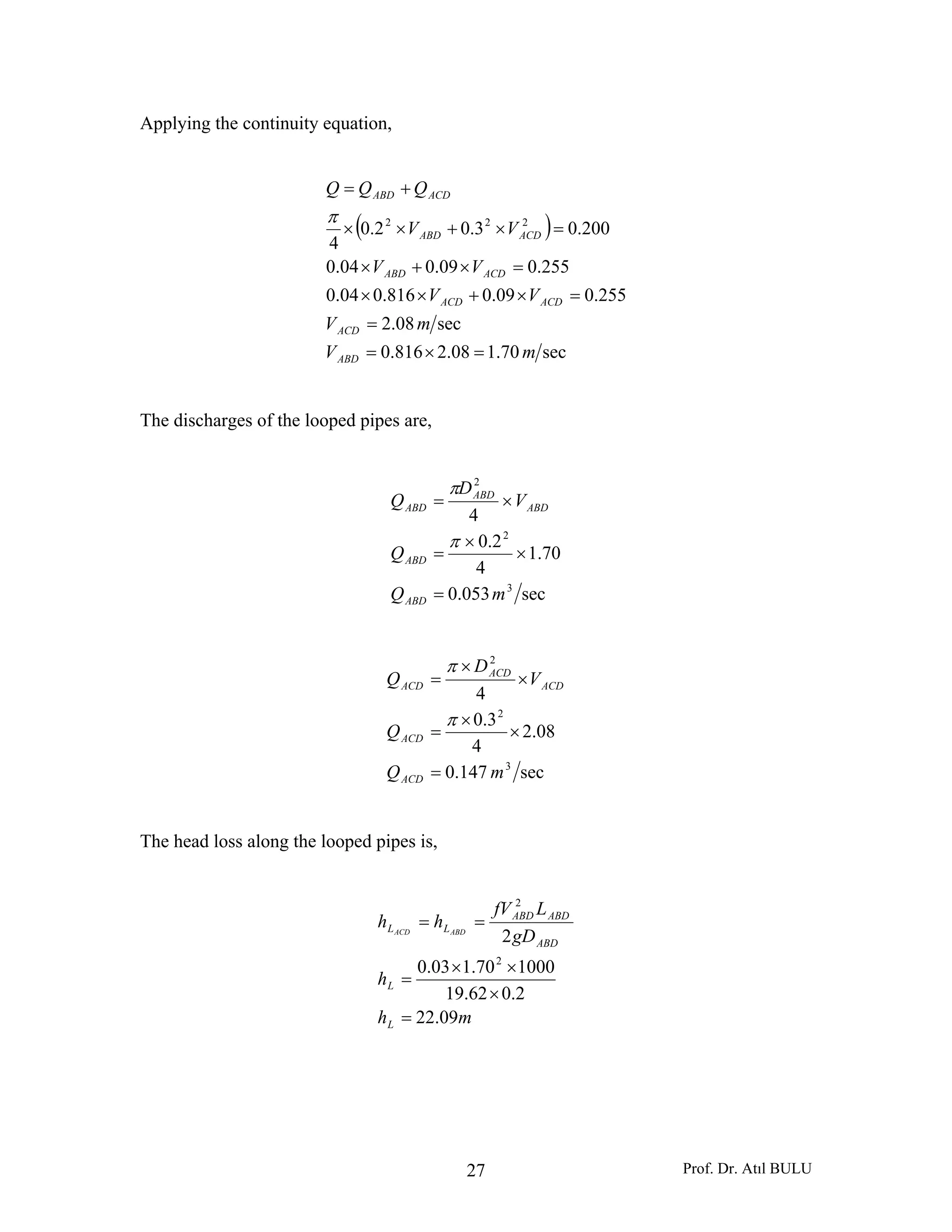
BC
LA
B
4) If the minimum pressure head requirement is supplied at points C and D, the
pipeline system has been designed according to the project requirements. If the
minimum pressure head is not supplied either at one of the points or at both
points,
a) The reservoir water level is increased up to supply the minimum pressure head at
points C and D by following the steps given above.
b) Head losses are reduced by increasing the pipe diameters.
Example: Geometric elevation of the point E is 50 m for the reservoir system given. The
required minimum pressure at point E is 300 kPa. The discharge in the pipe DE is 200
lt/sec. The physical characteristics of the reservoir-pipe system are given as,
Pipe Length(m) Diameter(mm) f
ABD 1000 200 0.03
ACD 1000 300 0.03
DE 1500 400 0.03
Prof. Dr. Atıl BULU26
Figure 3.13
Calculate the minimum water surface level to supply the required pressure at the outlet E.
Draw the energy line of the system. γwater= 10 kN/m3
.
Solution: The velocity and the head loss along the pipe DE are,
m
gD
LfV
h
m
D
Q
V
DEDE
L
De
DE
50.14
4.062.19
150059.103.0
2
sec59.1
4.0
2.044
22
22
=
×
××
==
=
×
×
==
ππ
Since,
ACDABD
ACDABD
ACDABD
ACD
ACDACD
ABD
ABDABD
LL
VV
VV
g
V
g
V
gD
LfV
gD
LfV
hh ACDABD
816.0
2.03.0
3.02
100003.0
2.02
100003.0
22
22
22
22
=
×=×
×
××
=
×
××
=
=
A
B
C
D E
50m
80m
94.50m
116.59m
Prof. Dr. Atıl BULU27
Applying the continuity equation,
( )
sec70.108.2816.0
sec08.2
255.009.0816.004.0
255.009.004.0
200.03.02.0
4
222
mV
mV
VV
VV
VV
QQQ
ABD
ACD
ACDACD
ACDABD
ACDABD
ACDABD
=×=
=
=×+××
=×+×
=×+××
+=
π
The discharges of the looped pipes are,
sec053.0
70.1
4
2.0
4
3
2
2
mQ
Q
V
D
Q
ABD
ABD
ABD
ABD
ABD
=
×
×
=
×=
π
π
sec147.0
08.2
4
3.0
4
3
2
2
mQ
Q
V
D
Q
ACD
ACD
ACD
ACD
ACD
=
×
×
=
×
×
=
π
π
The head loss along the looped pipes is,
mh
h
gD
LfV
hh
L
L
ABD
ABDABD
LL ABDACD
09.22
2.062.19
100070.103.0
2
2
2
=
×
××
=
==
Prof. Dr. Atıl BULU28
Piezometric head at the outlet E is,
m
p
z
Ew
80
10
300
50 =+=⎟⎟
⎠
⎞
⎜⎜
⎝
⎛
+
γ
The required minimum water surface level at the reservoir is,
ACDDe LL
E
A hh
p
zz ++⎟⎟
⎠
⎞
⎜⎜
⎝
⎛
+=
γ
mz
z
A
A
59.116
09.2250.1480
=
++=
Example: The discharges in the AB and AC pipes are respectively Q1=50 lt/sec and
Q2=80 lt/sec for the pipe system given. The required pressure at the B and C outlets is
200 kPa and the geometric elevations for these points are zB= 50 m and zc= 45 m. The
physical characteristics of the pipe system are,
Pipe Length (m) Diameter (mm) f
RA 2000 300 0.02
AB 1000 350 0.02
AC 1500 400 0.02
Calculate the minimum water surface level of the reservoir R to supply the required
pressure at the outlets. Draw the energy line of the system. γwater= 10 kN/m3
.
Figure 3.14
A
B
C
R
70.79m
m
pc
22.24=
γ
50m
m
pB
20=
γ
45m
93.79m
Prof. Dr. Atıl BULU29
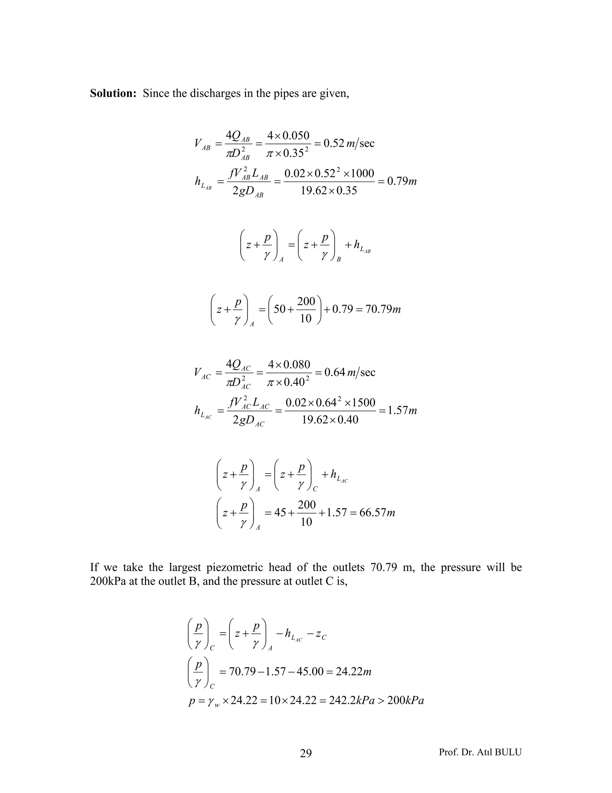
Solution: Since the discharges in the pipes are given,
m
gD
LfV
h
m
D
Q
V
AB
ABAB
L
AB
AB
AB
AB
79.0
35.062.19
100052.002.0
2
sec52.0
35.0
050.044
22
22
=
×
××
==
=
×
×
==
ππ
ABL
BA
h
p
z
p
z +⎟⎟
⎠
⎞
⎜⎜
⎝
⎛
+=⎟⎟
⎠
⎞
⎜⎜
⎝
⎛
+
γγ
m
p
z
A
79.7079.0
10
200
50 =+⎟
⎠
⎞
⎜
⎝
⎛
+=⎟⎟
⎠
⎞
⎜⎜
⎝
⎛
+
γ
m
gD
LfV
h
m
D
Q
V
AC
ACAC
L
AC
AC
AC
AC
57.1
40.062.19
150064.002.0
2
sec64.0
40.0
080.044
22
22
=
×
××
==
=
×
×
==
ππ
m
p
z
h
p
z
p
z
A
L
CA
AC
57.6657.1
10
200
45 =++=⎟⎟
⎠
⎞
⎜⎜
⎝
⎛
+
+⎟⎟
⎠
⎞
⎜⎜
⎝
⎛
+=⎟⎟
⎠
⎞
⎜⎜
⎝
⎛
+
γ
γγ
If we take the largest piezometric head of the outlets 70.79 m, the pressure will be
200kPa at the outlet B, and the pressure at outlet C is,
kPakPap
m
p
zh
p
z
p
w
C
CL
AC
AC
2002.24222.241022.24
22.2400.4557.179.70
>=×=×=
=−−=⎟⎟
⎠
⎞
⎜⎜
⎝
⎛
−−⎟⎟
⎠
⎞
⎜⎜
⎝
⎛
+=⎟⎟
⎠
⎞
⎜⎜
⎝
⎛
γ
γ
γγ
Prof. Dr. Atıl BULU30
Water surface level at the reservoir R is,
mh
p
zz
m
gD
LfV
h
m
D
Q
V
mQQQ
RA
RA
L
A
R
RA
RARA
L
RA
RA
RA
ACABRA
79.9300.2379.70
00.23
30.062.19
200084.102.0
2
sec84.1
30.0
13.044
sec13.008.005.0
22
22
3
=+=+⎟⎟
⎠
⎞
⎜⎜
⎝
⎛
+=
=
×
××
==
=
×
×
==
=+=+=
γ
ππ
3.4.4. Pump Systems
When the energy (head) in a pipe system is not sufficient enough to overcome the head
losses to convey the liquid to the desired location, energy has to be added to the system.
This is accomplished by a pump. The power of the pump is calculated by,
QHN γ= (3.16)
Where γ = Specific weight of the liquid (N/m3
), Q = Discharge (m3
/sec), H = Head to
be supplied by pump (m), N = Power of the pump (Watt). Calculated pump power should
be divided by η = Efficiency factor of the pump.
Example: Reservoir D is fed by a pump and pipe system. Pressure heads in the pipe flow
at the entrance and at the outlet from the pump are respectively 5 and 105 m. The
geometric of the pipe before the pump is 0.50 m. The efficient power of the pump is 75
kW. The friction factor at all the pipe system is f = 0.03. (Minor losses will be neglected).
a) Calculate the discharge in pipe BC,
b) What will be the discharges in the parallel C1D and C2D pipes?
c) Calculate the water surface level of the reservoir D.
d) Draw the energy line of the system.
Pipe Length (m) Diameter (mm) f
BC 1000 300 0.03
C1D 3000 400 0.03
C2D 1500 200 0.03
Prof. Dr. Atıl BULU31
Figure 3.
Solution:
a) The head to be supplied by the pump is,
mH pump 1005105 =−=Δ
The efficient power of the pump is,
η
γQH
N =
sec76sec076.0
10081.91000
75000 3
ltm
H
N
Q ==
××
==
γ
η
b) The velocity in the pipe BC,
sec08.1
30.0
076.044
22
m
D
Q
V
BC
BC =
×
×
==
ππ
The head loss is,
mh
L
g
V
D
f
h
BC
BC
L
BC
BC
BC
L
94.51000
62.19
08.1
30.0
03.0
2
2
2
=××=
××=
0.50m
Pump
A B
C
1
2
D
Prof. Dr. Atıl BULU32
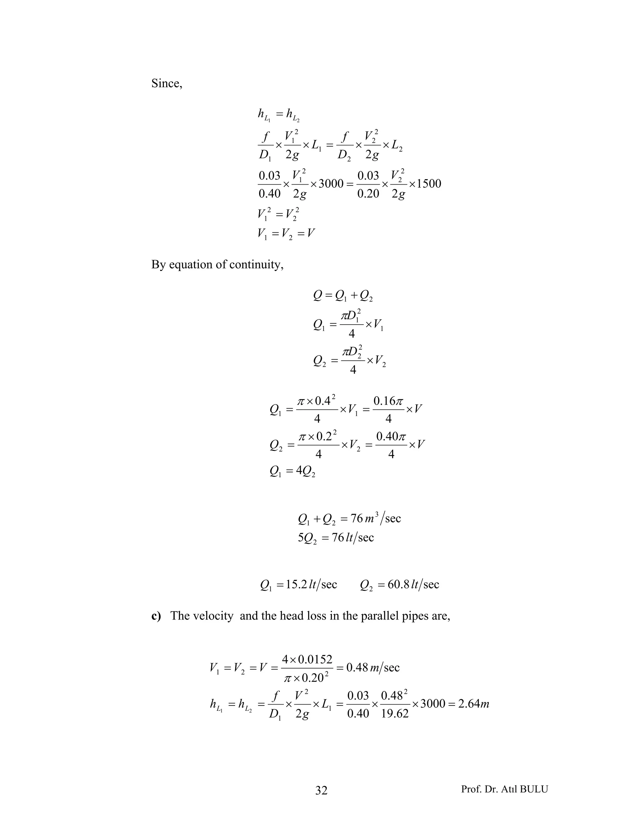
Since,
VVV
VV
g
V
g
V
L
g
V
D
f
L
g
V
D
f
hh LL
==
=
××=××
××=××
=
21
2
2
2
1
2
2
2
1
2
2
2
2
1
2
1
1
1500
220.0
03.0
3000
240.0
03.0
22
21
By equation of continuity,
2
2
2
2
1
2
1
1
21
4
4
V
D
Q
V
D
Q
QQQ
×=
×=
+=
π
π
21
2
2
2
1
2
1
4
4
40.0
4
2.0
4
16.0
4
4.0
QQ
VVQ
VVQ
=
×=×
×
=
×=×
×
=
ππ
ππ
sec765
sec76
2
3
21
ltQ
mQQ
=
=+
sec2.151 ltQ = sec8.602 ltQ =
c) The velocity and the head loss in the parallel pipes are,
mL
g
V
D
f
hh
mVVV
LL 64.23000
62.19
48.0
40.0
03.0
2
sec48.0
20.0
0152.04
2
1
2
1
221
21
=××=××==
=
×
×
===
π
Prof. Dr. Atıl BULU33
Total head loss is,
mh
hhh
L
LLL BC
58.864.294.5
1
=+=
+=
∑
∑
The water surface level of the reservoir D is,
mz
h
p
zz
D
L
B
D
92.9658.810550.0 =−+=
−⎟⎟
⎠
⎞
⎜⎜
⎝
⎛
+= ∑γ
Example: Reservoir A is feeding reservoirs B and C by a pump and pipe system. The
discharge to reservoir C is Q2 = 0.10 m3
/sec. If the efficient coefficient of the pump is η =
0.70 n, what will be required power of pump? Draw the energy line of the system . The
physical characteristics of the pipe system are,
Pipe Diameter (mm) Length (m) f
1 300 400 0.020
2 150 300 0.015
3 200 1000 0.025
5.50m
105.50m
99.56m
96.92m
p/ γ=100m
A pump B
C
D
0.50m
Prof. Dr. Atıl BULU34
Figure…..
Solution: Beginning with pipe 2,
sec66.5
15.0
10.04
4
22
2
2
2
2
2
2
mV
D
Q
A
Q
V
=
×
×
=
==
π
π
mh
L
g
V
D
f
h
L
L
49300
62.19
66.5
15.0
015.0
2
2
2
2
2
2
2
2
2
≅××=
××=
Energy level at the outlet of the pump is,
mhz
p
zH LC
P
Poutlet
13949902
=+=+=⎟⎟
⎠
⎞
⎜⎜
⎝
⎛
+=
γ
Pipe 3:
Head loss along the pipe 3 is,
mzHh BPL outlet
291101393
=−=−=
65m
A
B
C
110m
90m
1
2
3
Prof. Dr. Atıl BULU35
sec067.013.2
4
20.0
4
sec13.2
1000
62.19200.0
025.0
29
2
3
2
3
2
3
3
3
2
3
3
2
3
3
3
3
mV
D
Q
mV
V
L
g
V
D
f
hL
=×
×
=×=
=
××=
××=
ππ
Pipe 1:
mL
g
V
D
f
h
m
D
Q
V
mQ
QQQ
L 57.7400
62.19
36.2
30.0
020.0
2
sec36.2
30.0
167.044
sec167.0067.0100.0
2
1
2
1
1
1
22
1
1
1
3
1
321
1
=××=××=
=
×
×
==
=+=
+=
ππ
Energy level at the entrance to the pump is,
mhzH LAPent
43.5757.700.651
=−=−=
The energy (head) to be supplied by pump is,
mHHH entoutlet PPp 57.8143.5700.139 =−=−=Δ
The required power of the pump is,
kWWN
HQ
N
P
P
P
191190952
70.0
59.81167.0100081.9
≅=
×××
=
Δ
=
η
γ
Prof. Dr. Atıl BULU36
Example: Reservoir B is fed by reservoir A with 600 lt/sec discharge. The water surface
levels in the reservoirs are zA = 100 m and zB = 90 m. If the pipe diameter is D = 0.50m,
the friction factor is f = 0.02, and the efficiency factor of the pump is η = 0.70, calculate
the required pump power. The lengths of the pipes are respectively L1 = 500 m and L2 =
1000 m. Draw the energy line of the system.
Figure
Solution: Since the discharge of the system is known, the head loss from reservoir A to
the pump can be calculated as,
sec06.3
50.0
60.044
22
m
D
Q
V =
×
×
==
ππ
100m
90m
A
B
C
pump
1
2
65m
A
B
C
110m
90m
1
2
3
139m
57.43m
Pump
Prof. Dr. Atıl BULU37
mh
L
g
V
D
f
h
AC
AC
L
ACL
54.9500
62.19
06.3
50.0
02.0
2
2
2
=××=
××=
The energy level at the entrance to the pump is,
mH entC 46.9054.9100 =−=
Since the pipe diameter is same along the pipe, and L2 = 2L1, the head loss along the
pipe 2 is,
mhh LL 08.1954.922 12
=×==
The energy level at the outlet of the pump should be,
mH outC 80.10908.1900.90 =+=
The pumping is then,
mH pump 62.1846.9080.109 =−=Δ
The required power of the pump is,
kWW
QH
N 157156568
70.0
62.18600.09810
≅=
××
==
η
γ
A
100m
90m
C
B
90.46m
109.08m

Local Energy (Head) Losses (Lecture notes 03)

  • 1.
    Prof. Dr. AtılBULU1 Chapter 3 Local Energy (Head) Losses 3.1. Introduction Local head losses occur in the pipes when there is a change in the area of the cross- section of the pipe (enlargement, contraction), a change of the direction of the flow (bends), and application of some devices on the pipe (vanes). Local head losses are also named as minor losses. Minor losses can be neglected for long pipe systems. Minor losses happen when the magnitude or the direction of the velocity of the flow changes. In some cases the magnitude and the direction of the velocity of the flow may change simultaneously. Minor losses are proportional with the velocity head of the flow and is defined by, g V hL 2 2 ξ= (3.1) Where ξ is the loss coefficient. 3.2. Abrupt Enlargement There is certain amount of head loss when the fluid moves through a sudden enlargement in a pipe system such as that shown in Fig. (3.1) Impuls-momentum equation is applied to the 1221 control volume along the horizontal flow direction. The forces acting on to the control volume are, a) Pressure force on the 1-1 cross-section, 111 ApF = r b) Pressure force on the 2-2 cross-section, 222 ApF = s c) Pressure force on the 3-3 cross-section, ( )1233 AApF −= r Laboratory experiments have verified that 13 pp = , ( )1213 AApF −= r d) Momentum on the 1-1 cross-section, 11 QVM ρ= r e) Momentum on the 2-2 cross-section, 22 QVM ρ= r
  • 2.
    Prof. Dr. AtılBULU2 Fig. 3.1. Neglecting the shearing force on the surface of the control volume, ( ) ( ) ( ) ( )12 2 21 12221 222121111 0 VV gA Qpp g VVQApp QVApAApApQV −= − = −=− =−−−++ γ γ ρ ρ ρρ p1A1ρQV1 p2A2 ρQV2 p1(A2 -A1) 1 3 2 23 Energy Line ( ) g VV hL 2 2 21 − = g V 2 2 1 γ 1p 1 g V 2 2 2 γ 2p Flow 3 2 H.G.L
  • 3.
    Prof. Dr. AtılBULU3 Applying the continuity equation, 2 1 12 2211 A A VV AVAVQ = == Substituting this, ⎟⎟ ⎠ ⎞ ⎜⎜ ⎝ ⎛ −= − 111 2 1 111 2 21 1 VAV A A VAV gA pp γ ⎥ ⎥ ⎦ ⎤ ⎢ ⎢ ⎣ ⎡ −⎟⎟ ⎠ ⎞ ⎜⎜ ⎝ ⎛ = − 2 1 2 2 1 2 121 A A A A g Vpp γ (3.2) Applying Bernoulli equation between cross-sections 1-2 for the horizontal pipe flow, L L h g V g Vpp h g Vp g Vp +−= − ++=+ 22 22 2 1 2 221 2 22 2 11 γ γγ Substituting Equ. (3.2), g V g VV g V h g VV g V g V g V h V V V V g V g V g V h V V A A AVAV h g V g V A A A A g V L L L L 22 22 22 222 2 221 2 1 21 2 2 2 2 2 1 1 2 2 1 2 2 1 2 2 2 1 1 2 2 1 2211 2 1 2 2 2 1 2 2 1 2 1 +−= −+−= ⎥ ⎥ ⎦ ⎤ ⎢ ⎢ ⎣ ⎡ −⎟⎟ ⎠ ⎞ ⎜⎜ ⎝ ⎛ +−= =→= +−= ⎥ ⎥ ⎦ ⎤ ⎢ ⎢ ⎣ ⎡ −⎟⎟ ⎠ ⎞ ⎜⎜ ⎝ ⎛
  • 4.
    Prof. Dr. AtılBULU4 ( ) g VV hL 2 2 21 − = (3.3) This equation is known as Borda-Carnot equation. The loss coefficient can be derived as, ⎟⎟ ⎠ ⎞ ⎜⎜ ⎝ ⎛ +−= ⎟⎟ ⎠ ⎞ ⎜⎜ ⎝ ⎛ +−= 2 2 2 1 2 1 2 1 2 1 2 2 1 2 2 1 21 2 21 2 A A A A g V h V V V V g V h L L 2 2 1 2 1 1 2 ⎟⎟ ⎠ ⎞ ⎜⎜ ⎝ ⎛ −= A A g V hL (3.4) The loss coefficient of Equ. (3.1) is then, 2 2 1 1 ⎟⎟ ⎠ ⎞ ⎜⎜ ⎝ ⎛ −= A A ξ (3.5) The loss coefficient ξ is a function of the geometry of the pipe and is not dependent on to the flow characteristics. Special case: Connecting to a reservoir, Fig. 3.2. A2 A1 V1 2 /2g Energy Line H.G.L.
  • 5.
    Prof. Dr. AtılBULU5 1 a 2 1 a 2 A1 A2V1 V2pa Dead Zone Since the reservoir cross-sectional area is too big comparing to the area pipe cross- section, 12 AA >> , 0 2 1 ≅ A A , the loss coefficient will be equal to zero, ζ=0. The head loss is then, g V hL 2 2 1 = (3.6) 3.3. Abrupt Contraction Flow through an abrupt contraction is shown in Fig. 3.3. Fig. 3.3 Derivation of the ζ loss coefficient may be done by following these steps. a) Bernoulli equation between 1, C, and 2 cross-sections by neglecting the head loss between 1 and C cross-sections is for the horizontal pipe system, L CC h g Vp g Vp g Vp ++=+=+ 222 2 22 22 11 γγγ b) Continuity equation of the system, 2211 AVAVAVQ CC ===
  • 6.
    Prof. Dr. AtılBULU6 c) Impuls-Momentum equation between C and 2 cross-sections, ( ) ( )CC VVQApp −=− 222 ρ Solving these 3 equations gives us head loss equation as, ( ) g V A A h g VV h C L C L 2 1 2 2 2 2 2 2 2 ⎟⎟ ⎠ ⎞ ⎜⎜ ⎝ ⎛ −= − = (3.7) Where, 2A A C C C = = Coefficient of contraction (3.8) The loss coefficient for abrupt contraction is then, 2 1 1 ⎟⎟ ⎠ ⎞ ⎜⎜ ⎝ ⎛ −= CC ξ (3.9) g V hL 2 2 2 ξ= CC contraction coefficients, and ζ loss coefficients have determined by laboratory experiments depending on the A2/A1 ratios and given in Table 3.1.
  • 7.
    Prof. Dr. AtılBULU7 Table 3.1. A2/A1 CC ζ 0 0.10 0.20 0.30 0.40 0.50 0.60 0.70 0.80 0.90 1.00 0.62 0.62 0.63 0.64 0.66 0.68 0.71 0.76 0.81 0.89 1.00 0.50 0.46 0.41 0.36 0.30 0.24 0.18 0.12 0.06 0.02 0 Example: At an abrupt contraction in a pressured pipe flow, Q = 1 m3 /sec, D1 = 0.80 m, D2 = 0.40 m. Calculate the local head when contraction coefficient is CC = 0.60. Solution: Since discharge has been given, sec26.13 0754.0 1 0754.01257.060.0 1257.0 4 40.0 4 sec96.7 40.0 144 2 2 2 22 2 2 22 2 2 m A Q V mACA m D A m D Q V C C cC === =×== = × == = × × == ππ ππ ( ) ( ) m g VV h C L 43.1 62.19 96.726.13 2 22 2 = − = − = Or, mh V C h L C L 44.1 62.19 96.7 1 60.0 1 62.19 1 1 22 2 2 2 =×⎟ ⎠ ⎞ ⎜ ⎝ ⎛ −= ×⎟⎟ ⎠ ⎞ ⎜⎜ ⎝ ⎛ −= Special case: Pipe entrance from a reservoir, Loss coefficient ζ depends on the geometry of the pipe connection to the reservoir. The loss coefficient ζ is 0.50 for square-edge entrance. Fig. (3.4)
  • 8.
    Prof. Dr. AtılBULU8 Fig. 3.4 g V hL 2 5.0 2 = (3.10) The head loss at the pipe fittings, bends and vanes is calculated with the general local loss equation (Equ. 3.1). The loss coefficients can be taken from the tables prepared for the bends and vanes. Example 3.1. Two reservoirs is connected with a pipe length L. What will the elevation difference between the water surfaces of the reservoir? Draw the energy and hydraulic grade line of the system. Fig. 3.5 H1 H2 ΔH=? V2 /2g 0.5V2 /2g E.L. H.G.L. V L= Pipe Length V2 /2g 0.5V2 /2g R.E.L. H.G.L. V
  • 9.
    Prof. Dr. AtılBULU9 Solution: Bernoulli equation between reservoir (1) and (2), Lh g Vp z g Vp z +++=++ 22 2 22 2 2 11 1 γγ Since the velocities in the reservoirs are taken as zero, V1 = V2 =0, and the pressure on the surface of reservoirs is equal to the atmospheric pressure, Lhzz =− 21 The head losses along the pipe system are, 1) Local loss to the entrance of the pipe, g V hL 2 5.0 2 1 = 2) Head loss along the pipe, L g V D f JLhL 2 2 2 == 3) Local loss at the entrance to the reservoir, g V hL 2 2 3 = The total loss is then will be equal to the elevation difference between the reservoir levels, L g V D f g V zz g V L g V D f g V zz hzz L 22 5.1 222 5.0 22 21 222 21 21 +=− ++=− =−
  • 10.
    Prof. Dr. AtılBULU10 Numerical Application: If the physical characteristics of the system are given as below, what will be difference between the reservoir levels? Calculate the ratio of local losses to the total head loss and give a physical explanation of this ratio. Figure 3.6 Q = 0.2 m3 /sec, f = 0.02, L = 2000 m, D = 0.30 m The velocity in the pipe, sec83.2 3.0 2.044 22 mV D Q V = × × == ππ The velocity head, m g V 41.0 62.19 83.2 2 22 == The elevation difference is then, mzz zz zz L g V D f g V zz 62.82 0.8262.0 2000 2.0 02.0 41.041.05.1 22 5.1 21 21 21 22 21 =− +=− ××+×=− +=− z1 z2 ΔH=82.62 V2 /2g=0.41m 0.5V2 /2g=0.20m E.L. H.G.L. V L= 2000m
  • 11.
    Prof. Dr. AtılBULU11 The ratio of local losses to the total head loss is, 0075.0 62.82 62.0 = As can be seen from the result, the ratio is less than 1%. Therefore, local losses are generally neglected for long pipes. 3.4 Conduit Systems The other applications which are commonly seen in practical applications for conduit systems are, a) The Three-Reservoir Problems, b) Parallel Pipes, c) Branching Pipes, d) Pump Systems. 3.4.1 The Three-Reservoir Problems Consider the case where three reservoirs are connected by a branched-pipe system. The problem is to determine the discharge in each pipe and the head at the junction point D. There are four unknowns (VAD, VBC, VDC and pD/γ ), and the solution is obtained by solving the energy equations for the pipes (neglecting velocity heads and including only pipe losses and not the minor losses) and the continuity equation. The physical characteristics of the system such as lengths, diameters and f friction factors of the pipes, the geometric elevations of the water surfaces at the reservoirs and the piezometric head at the junction D are given. The reservoirs are located as, zA> zB> zC. There are three possible solutions of this problem, a) A D z p z =⎟⎟ ⎠ ⎞ ⎜⎜ ⎝ ⎛ + γ Figure 3.7 A zA zB zC B C Dp D zD E.L
  • 12.
    Prof. Dr. AtılBULU12 Since A D z p z =⎟⎟ ⎠ ⎞ ⎜⎜ ⎝ ⎛ + γ , there will be no flow from or to reservoir A, and therefore, 0,0,0 === ADADAD JVQ DCBD QQ = The relations between the reservoir levels B, and D and the piezometric head at the junction D are, CDBD LC D DLB hz p zhz +=+=− γ Energy line slope (JBD) of the BD pipe can be found as, BD L BD AB BD D DB BD L h L zz L p zz J BD = − = −− = γ (3.11) Using the Darcy-Weisbach equation, gD fV J 2 2 = The flow velocity in the BD pipe can be calculated by, 21 2 ⎟⎟ ⎠ ⎞ ⎜⎜ ⎝ ⎛ = BD BDBD BD f JgD V (3.12) And the discharge is, BDBDBD VAQ =
  • 13.
    Prof. Dr. AtılBULU13 The energy line slope, the velocity and the discharge of the CD pipe are then, BDCdCDCD CD CDCD CD CD L CD CA CD QVAQ f JgD V L h L zz J CD == ⎟⎟ ⎠ ⎞ ⎜⎜ ⎝ ⎛ = = − = 21 2 b) B D AC z p zzz <⎟⎟ ⎠ ⎞ ⎜⎜ ⎝ ⎛ +<< γ Figure 3.7 The continuity equation for this case is, DCADBd QQQ += The relations between the reservoir levels B, A, and C and the piezometric head at the junction D are, CDADBD LCLA D LB hzhz p zhz +=+=⎟⎟ ⎠ ⎞ ⎜⎜ ⎝ ⎛ +=− γ A zA zB zC B C γ Dp D zD E.L.
  • 14.
    Prof. Dr. AtılBULU14 The energy line slopes of the pipes are, AD L AD A D AD BD L BD D B BD L h L z p z J L h L p zz J AD BD = −⎟⎟ ⎠ ⎞ ⎜⎜ ⎝ ⎛ + = = ⎟⎟ ⎠ ⎞ ⎜⎜ ⎝ ⎛ +− = γ γ CD L CD C D CD L h L z p z J CD = −⎟⎟ ⎠ ⎞ ⎜⎜ ⎝ ⎛ + = γ c) BA D C zz p zz <<⎟⎟ ⎠ ⎞ ⎜⎜ ⎝ ⎛ +< γ Figure 3.8 The continuity equation is, CDADBD QQQ =+ The relations between the reservoir levels B, A, and C and the piezometric head at the junction D are, CDADBD LCLA D LB hzhz p zhz +=−=⎟⎟ ⎠ ⎞ ⎜⎜ ⎝ ⎛ +=− γ A zA zB zC B C γ Dp D zD E.L.
  • 15.
    Prof. Dr. AtılBULU15 The energy line slopes of the pipes are, CD L CD C D CD AD L AD D A AD BD L BD D B BD L h L z p z J L h L p zz J L h L p zz J CD AD BD = −⎟⎟ ⎠ ⎞ ⎜⎜ ⎝ ⎛ + = = ⎟⎟ ⎠ ⎞ ⎜⎜ ⎝ ⎛ +− = = ⎟⎟ ⎠ ⎞ ⎜⎜ ⎝ ⎛ +− = γ γ γ Example: The water surface levels at the A and C reservoirs are respectively zA=100 m and zC= 70 for the given three-reservoir system. Reservoirs A and B are feeding reservoir C and QA = QB . Calculate the water surface level of the reservoir B. Draw the energy line of the system. The physical characteristics of the pipes are, Figure 3.9 Pipe Length (m) Diameter (mm) f AD 500 150 0.03 BD 1000 200 0.02 DC 1500 250 0.03 A zA=100m zB=89.47m zC=70m B C γ Dp D zD E.L.
  • 16.
    Prof. Dr. AtılBULU16 Solution: The head loss along the pipes 1 and 3 is, mzzhh CALL 307010031 =−=−=+ (1) Since, QQ QQQ 23 21 = == Using the Darcy-Weisbach equation for the head loss, 5 2 2 2 2 2 8 4 22 D LQ g f h D Q g fL gD LfV h L L ×= ⎟ ⎠ ⎞ ⎜ ⎝ ⎛ ×== π π Using Equ. (1), ( ) sec8.30sec0308.0 3156630 25.0 21500 15.0 500 81.9 03.08 30 8 3 2 5 2 5 2 2 5 2 2 222 5 1 2 111 2 ltmQ Q QQ D QLf D QLf g hL == = ⎥ ⎦ ⎤ ⎢ ⎣ ⎡ × + × × × = ⎟ ⎟ ⎠ ⎞ ⎜ ⎜ ⎝ ⎛ += π π sec74.1 15.0 0308.044 sec0308.0 22 1 1 1 3 1 m D Q V mQ = × × == = ππ sec26.1 25.0 0616.044 sec0616.00308.022 22 3 3 3 3 13 m D Q V mQQ = × × == =×== ππ
  • 17.
    Prof. Dr. AtılBULU17 Head losses along the pipes are, mhh m gD LVf h m gD LVf h Ll L L 00.3057.1443.15 57.14 25.062.19 150026.103.0 2 43.15 15.062.19 50074.103.0 2 31 3 1 2 3 3 2 33 2 1 1 2 11 =+=+ = × ×× == = × ×× == For the pipe 2, sec0308.0 3 21 mQQ == m gD LVf h m D Q V L 90.4 20.062.19 100098.002.0 2 sec98.0 20.0 0308.044 2 2 2 2 22 22 2 2 2 2 = × ×× == = × × == ππ Water surface level of the reservoir B is, mh p zz mhz p z mhz p z L D B LC D LA D 47.8990.457.84 57.8457.1400.70 57.8443.1500.100 2 3 1 =+=+⎟⎟ ⎠ ⎞ ⎜⎜ ⎝ ⎛ += =+=+=⎟⎟ ⎠ ⎞ ⎜⎜ ⎝ ⎛ + =−=−=⎟⎟ ⎠ ⎞ ⎜⎜ ⎝ ⎛ + γ γ γ 3.4.2 Parallel Pipes Consider a pipe that branches into two parallel and then rejoins as in Fig….. . In pipeline practice, looping or laying a pipeline parallel to an existing pipeline is a standard method of increasing the capacity of the line. A problem involving this configuration might be to determine the division of flow in each pipe given the total flow rate. In such problems, velocity heads, and minor losses are usually neglected, and calculations are made on the basis of coincident energy and hydraulic grade lines.
  • 18.
    Prof. Dr. AtılBULU18 Figure 3.10 Evidently, the distribution of flow in the branches must be such that the same head loss occurs in each branch; if this were not so there would be more than one energy line for the pipe upstream and downstream from the junctions. Application of the continuity principle shows that the discharge in the mainline is equal to the sum of the discharges in the branches. Thus the following simultaneous equations may be written. 21 21 QQQ hh LL += = (3.13) Using the equality of head losses, gD VLf gD VLf 22 2 2 222 1 2 111 = 21 211 122 2 1 ⎟⎟ ⎠ ⎞ ⎜⎜ ⎝ ⎛ = DLf DLf V V (3.14) If f1 and f2 are known, the division of flow can be easily determined. Q1, L1, D1, f1 Q2, L2, D2, f2 Q Q A B hL1 = hL2 PB/γ PA/γ E.L
  • 19.
    Prof. Dr. AtılBULU19 Expressing the head losses in terms of discharge through the Darcy-Weisbach equation, 42 22 16 22 D Q gD fL gD LfV hL π ×= 2 2 52 2 16 KQh Q gD fL h L L = ×⎟⎟ ⎠ ⎞ ⎜⎜ ⎝ ⎛ = π (3.14) Substituting this to the simultaneous Equs (3.12), 21 2 22 2 11 QQQ QKQK += = (3.15) Solution of these simultaneous equations allows prediction of the division of a discharge Q into discharges Q1 and Q2 when the pipe characteristics are known. Application of these principles allows prediction of the increased discharge obtainable by looping an existing pipeline. Example: A 300 mm pipeline 1500 m long is laid between two reservoirs having a difference of surface elevation of 24. The maximum discharge obtainable through this line is 0.15m3 /sec. When this pipe is looped with a 600 m pipe of the same size and material laid parallel and connected to it, what increase of discharge may be expected? Solution: For the single pipe, using Equ. (3.14), 1067 15.024 2 2 = ×= = K K KQhL
  • 20.
    Prof. Dr. AtılBULU20 Figure 3.11 K for the looped section is, 427 1067 1500 6002 = ×== A A K K L L K For the unlooped section, 640 1067 1500 6001500 2 =′ × − =′ − =′ K K K L LL K For the looped pipeline, the headloss is computed first in the common section plus branch A as, 22 22 42764024 A AAL QQ QKQKh ×+×= +′= (1) And then in the common section plus branch B as, 22 42764024 BQQ ×+×= (2) 24m1 1 A B, LB=600m
  • 21.
    Prof. Dr. AtılBULU21 In which QA and QB are the discharges in the parallel branches. Solving these by eliminating Q shows that QA=QB (which is expected to be from symmetry in this problem). Since, from continuity, 2 Q Q QQQ A BA = += Substituting this in the Equ (1) yields, ( ) sec18.0 sec09.0 298724 427264024 3 3 2 22 mQ mQ Q QQ A A AA = = = ×+×= Thus the gain of discharge capacity by looping the pipe is 0.03 m3 /sec or 20%. Example: Three pipes have been connected between the points A and B. Total discharge between A and B is 200 lt/sec. Physical characteristics of the pipes are, mDmDmD mLLL fff 30.0,20.0,10.0 1000 02.0 321 321 321 === === === Calculate the discharges of each pipe and calculate the head loss between the points A and B. Draw the energy line of the system. Figure A B 1 2 3 hL= 13.33m
  • 22.
    Prof. Dr. AtılBULU22 Solution: Head losses through the three pipes should be the same. 321 LLL hhh == 332211 LJLJLJ == Since the pipe lengths are the same for the three pipes, 321 JJJ == 5 2 242 22 816 2 1 2 D Q g f D Q gD f g V D f J ×=××=×= ππ And also roughness coefficients f are the same for three pipe, the above equation takes the form of, 5 3 2 3 5 2 2 2 5 1 2 1 D Q D Q D Q == Using this equation, 21 5.225 2 1 2 1 177.0 177.0 20.0 10.0 QQ D D Q Q = =⎟ ⎠ ⎞ ⎜ ⎝ ⎛ =⎟⎟ ⎠ ⎞ ⎜⎜ ⎝ ⎛ = 23 5.225 2 3 2 3 76.2 76.2 20.0 30.0 QQ D D Q Q = =⎟ ⎠ ⎞ ⎜ ⎝ ⎛ =⎟⎟ ⎠ ⎞ ⎜⎜ ⎝ ⎛ = Substituting these values to the continuity equation, sec051.0 200.0937.3 200.076.2177.0 200.0 3 2 2 222 321 mQ Q QQQ QQQ = = =++ =++ sec140.0051.076.2 sec009.0051.0177.0 3 3 3 1 mQ mQ =×= =×= sec200.0140.0051.0009.0 3 321 mQQQ =++=++
  • 23.
    Prof. Dr. AtılBULU23 Calculated discharges for the parallel pipes satisfy the continuity equation. The head loss for the parallel pipes is, mh L D Q g f h AB AB L L 33.131000 30.0 14.0 81.9 02.08 8 5 2 2 35 3 2 3 2 =×× × × = ××= π π 3.4.2 Branching Pipes Figure 3.12 Consider the reservoir A supplying water with branching pipes BC and BD to a city. Pressure heads (p/γ) are required to be over 25 m to supply water to the top floors in multistory buildings. m p m p DC 25,25 ≥≥ γγ Using the continuity equation, BDBCAB QQQ += A zA B C D γγ minppc ≥ γγ minppD ≥ zC zD γ Bp
  • 24.
    Prof. Dr. AtılBULU24 Two possible problems may arise for these kinds of pipeline systems; a) The physical characteristics of the system such as the lengths, diameters and friction factors, and also the discharges of each pipe are given. Water surface level in the reservoir is searched to supply the required (p/γ)min pressure head at points C and D. The problem can be solved by following these steps, 1) Velocities in the pipes are calculated using the given discharges and diameters. 2 4 D Q A Q V π == 2) Head losses for the BC and BD pipes are calculated. L g V D f hL ××= 2 2 Piezometric head at junction B is calculated by using the given geometric elevations of the points C and D. BCLC B hz pp z −+⎟⎟ ⎠ ⎞ ⎜⎜ ⎝ ⎛ =⎟⎟ ⎠ ⎞ ⎜⎜ ⎝ ⎛ + min γγ (1) BDLD B hz pp z −+⎟⎟ ⎠ ⎞ ⎜⎜ ⎝ ⎛ =⎟⎟ ⎠ ⎞ ⎜⎜ ⎝ ⎛ + min γγ (2) Since there should be only one piezometric head (z+p/γ) at any junction, the largest value obtained from the equations (1) and (2) is taken as the piezometric head for the junction B. Therefore the minimum pressure head requirement for the points C and D has been achieved. 3) The minimum water surface level at the reservoir to supply the required pressure head at points C and D is calculated by taking the chosen piezometric head for the junction, ABL B A h p zz +⎟⎟ ⎠ ⎞ ⎜⎜ ⎝ ⎛ += γ
  • 25.
    Prof. Dr. AtılBULU25 b) The physical characteristics and the discharges of the pipes are given. The geometric elevations of the water surface of the reservoir and at points C and D are also known. The minimum pressure head requirement will be checked, 1) VAB , VBC and VBD velocities in the pipes are calculated. 2) Head losses along the pipes AB, BC and BD are calculated. 3) Piezometric heads at points B, C and D are calculated. min min ⎟⎟ ⎠ ⎞ ⎜⎜ ⎝ ⎛ ≥−⎟⎟ ⎠ ⎞ ⎜⎜ ⎝ ⎛ +=⎟⎟ ⎠ ⎞ ⎜⎜ ⎝ ⎛ + ⎟⎟ ⎠ ⎞ ⎜⎜ ⎝ ⎛ ≥−⎟⎟ ⎠ ⎞ ⎜⎜ ⎝ ⎛ +=⎟⎟ ⎠ ⎞ ⎜⎜ ⎝ ⎛ + −=⎟⎟ ⎠ ⎞ ⎜⎜ ⎝ ⎛ + γγγ γγγ γ p h p z p z p h p z p z hz p z BD BC AB L BD L BC LA B 4) If the minimum pressure head requirement is supplied at points C and D, the pipeline system has been designed according to the project requirements. If the minimum pressure head is not supplied either at one of the points or at both points, a) The reservoir water level is increased up to supply the minimum pressure head at points C and D by following the steps given above. b) Head losses are reduced by increasing the pipe diameters. Example: Geometric elevation of the point E is 50 m for the reservoir system given. The required minimum pressure at point E is 300 kPa. The discharge in the pipe DE is 200 lt/sec. The physical characteristics of the reservoir-pipe system are given as, Pipe Length(m) Diameter(mm) f ABD 1000 200 0.03 ACD 1000 300 0.03 DE 1500 400 0.03
  • 26.
    Prof. Dr. AtılBULU26 Figure 3.13 Calculate the minimum water surface level to supply the required pressure at the outlet E. Draw the energy line of the system. γwater= 10 kN/m3 . Solution: The velocity and the head loss along the pipe DE are, m gD LfV h m D Q V DEDE L De DE 50.14 4.062.19 150059.103.0 2 sec59.1 4.0 2.044 22 22 = × ×× == = × × == ππ Since, ACDABD ACDABD ACDABD ACD ACDACD ABD ABDABD LL VV VV g V g V gD LfV gD LfV hh ACDABD 816.0 2.03.0 3.02 100003.0 2.02 100003.0 22 22 22 22 = ×=× × ×× = × ×× = = A B C D E 50m 80m 94.50m 116.59m
  • 27.
    Prof. Dr. AtılBULU27 Applying the continuity equation, ( ) sec70.108.2816.0 sec08.2 255.009.0816.004.0 255.009.004.0 200.03.02.0 4 222 mV mV VV VV VV QQQ ABD ACD ACDACD ACDABD ACDABD ACDABD =×= = =×+×× =×+× =×+×× += π The discharges of the looped pipes are, sec053.0 70.1 4 2.0 4 3 2 2 mQ Q V D Q ABD ABD ABD ABD ABD = × × = ×= π π sec147.0 08.2 4 3.0 4 3 2 2 mQ Q V D Q ACD ACD ACD ACD ACD = × × = × × = π π The head loss along the looped pipes is, mh h gD LfV hh L L ABD ABDABD LL ABDACD 09.22 2.062.19 100070.103.0 2 2 2 = × ×× = ==
  • 28.
    Prof. Dr. AtılBULU28 Piezometric head at the outlet E is, m p z Ew 80 10 300 50 =+=⎟⎟ ⎠ ⎞ ⎜⎜ ⎝ ⎛ + γ The required minimum water surface level at the reservoir is, ACDDe LL E A hh p zz ++⎟⎟ ⎠ ⎞ ⎜⎜ ⎝ ⎛ += γ mz z A A 59.116 09.2250.1480 = ++= Example: The discharges in the AB and AC pipes are respectively Q1=50 lt/sec and Q2=80 lt/sec for the pipe system given. The required pressure at the B and C outlets is 200 kPa and the geometric elevations for these points are zB= 50 m and zc= 45 m. The physical characteristics of the pipe system are, Pipe Length (m) Diameter (mm) f RA 2000 300 0.02 AB 1000 350 0.02 AC 1500 400 0.02 Calculate the minimum water surface level of the reservoir R to supply the required pressure at the outlets. Draw the energy line of the system. γwater= 10 kN/m3 . Figure 3.14 A B C R 70.79m m pc 22.24= γ 50m m pB 20= γ 45m 93.79m
  • 29.
    Prof. Dr. AtılBULU29 Solution: Since the discharges in the pipes are given, m gD LfV h m D Q V AB ABAB L AB AB AB AB 79.0 35.062.19 100052.002.0 2 sec52.0 35.0 050.044 22 22 = × ×× == = × × == ππ ABL BA h p z p z +⎟⎟ ⎠ ⎞ ⎜⎜ ⎝ ⎛ +=⎟⎟ ⎠ ⎞ ⎜⎜ ⎝ ⎛ + γγ m p z A 79.7079.0 10 200 50 =+⎟ ⎠ ⎞ ⎜ ⎝ ⎛ +=⎟⎟ ⎠ ⎞ ⎜⎜ ⎝ ⎛ + γ m gD LfV h m D Q V AC ACAC L AC AC AC AC 57.1 40.062.19 150064.002.0 2 sec64.0 40.0 080.044 22 22 = × ×× == = × × == ππ m p z h p z p z A L CA AC 57.6657.1 10 200 45 =++=⎟⎟ ⎠ ⎞ ⎜⎜ ⎝ ⎛ + +⎟⎟ ⎠ ⎞ ⎜⎜ ⎝ ⎛ +=⎟⎟ ⎠ ⎞ ⎜⎜ ⎝ ⎛ + γ γγ If we take the largest piezometric head of the outlets 70.79 m, the pressure will be 200kPa at the outlet B, and the pressure at outlet C is, kPakPap m p zh p z p w C CL AC AC 2002.24222.241022.24 22.2400.4557.179.70 >=×=×= =−−=⎟⎟ ⎠ ⎞ ⎜⎜ ⎝ ⎛ −−⎟⎟ ⎠ ⎞ ⎜⎜ ⎝ ⎛ +=⎟⎟ ⎠ ⎞ ⎜⎜ ⎝ ⎛ γ γ γγ
  • 30.
    Prof. Dr. AtılBULU30 Water surface level at the reservoir R is, mh p zz m gD LfV h m D Q V mQQQ RA RA L A R RA RARA L RA RA RA ACABRA 79.9300.2379.70 00.23 30.062.19 200084.102.0 2 sec84.1 30.0 13.044 sec13.008.005.0 22 22 3 =+=+⎟⎟ ⎠ ⎞ ⎜⎜ ⎝ ⎛ += = × ×× == = × × == =+=+= γ ππ 3.4.4. Pump Systems When the energy (head) in a pipe system is not sufficient enough to overcome the head losses to convey the liquid to the desired location, energy has to be added to the system. This is accomplished by a pump. The power of the pump is calculated by, QHN γ= (3.16) Where γ = Specific weight of the liquid (N/m3 ), Q = Discharge (m3 /sec), H = Head to be supplied by pump (m), N = Power of the pump (Watt). Calculated pump power should be divided by η = Efficiency factor of the pump. Example: Reservoir D is fed by a pump and pipe system. Pressure heads in the pipe flow at the entrance and at the outlet from the pump are respectively 5 and 105 m. The geometric of the pipe before the pump is 0.50 m. The efficient power of the pump is 75 kW. The friction factor at all the pipe system is f = 0.03. (Minor losses will be neglected). a) Calculate the discharge in pipe BC, b) What will be the discharges in the parallel C1D and C2D pipes? c) Calculate the water surface level of the reservoir D. d) Draw the energy line of the system. Pipe Length (m) Diameter (mm) f BC 1000 300 0.03 C1D 3000 400 0.03 C2D 1500 200 0.03
  • 31.
    Prof. Dr. AtılBULU31 Figure 3. Solution: a) The head to be supplied by the pump is, mH pump 1005105 =−=Δ The efficient power of the pump is, η γQH N = sec76sec076.0 10081.91000 75000 3 ltm H N Q == ×× == γ η b) The velocity in the pipe BC, sec08.1 30.0 076.044 22 m D Q V BC BC = × × == ππ The head loss is, mh L g V D f h BC BC L BC BC BC L 94.51000 62.19 08.1 30.0 03.0 2 2 2 =××= ××= 0.50m Pump A B C 1 2 D
  • 32.
    Prof. Dr. AtılBULU32 Since, VVV VV g V g V L g V D f L g V D f hh LL == = ××=×× ××=×× = 21 2 2 2 1 2 2 2 1 2 2 2 2 1 2 1 1 1500 220.0 03.0 3000 240.0 03.0 22 21 By equation of continuity, 2 2 2 2 1 2 1 1 21 4 4 V D Q V D Q QQQ ×= ×= += π π 21 2 2 2 1 2 1 4 4 40.0 4 2.0 4 16.0 4 4.0 QQ VVQ VVQ = ×=× × = ×=× × = ππ ππ sec765 sec76 2 3 21 ltQ mQQ = =+ sec2.151 ltQ = sec8.602 ltQ = c) The velocity and the head loss in the parallel pipes are, mL g V D f hh mVVV LL 64.23000 62.19 48.0 40.0 03.0 2 sec48.0 20.0 0152.04 2 1 2 1 221 21 =××=××== = × × === π
  • 33.
    Prof. Dr. AtılBULU33 Total head loss is, mh hhh L LLL BC 58.864.294.5 1 =+= += ∑ ∑ The water surface level of the reservoir D is, mz h p zz D L B D 92.9658.810550.0 =−+= −⎟⎟ ⎠ ⎞ ⎜⎜ ⎝ ⎛ += ∑γ Example: Reservoir A is feeding reservoirs B and C by a pump and pipe system. The discharge to reservoir C is Q2 = 0.10 m3 /sec. If the efficient coefficient of the pump is η = 0.70 n, what will be required power of pump? Draw the energy line of the system . The physical characteristics of the pipe system are, Pipe Diameter (mm) Length (m) f 1 300 400 0.020 2 150 300 0.015 3 200 1000 0.025 5.50m 105.50m 99.56m 96.92m p/ γ=100m A pump B C D 0.50m
  • 34.
    Prof. Dr. AtılBULU34 Figure….. Solution: Beginning with pipe 2, sec66.5 15.0 10.04 4 22 2 2 2 2 2 2 mV D Q A Q V = × × = == π π mh L g V D f h L L 49300 62.19 66.5 15.0 015.0 2 2 2 2 2 2 2 2 2 ≅××= ××= Energy level at the outlet of the pump is, mhz p zH LC P Poutlet 13949902 =+=+=⎟⎟ ⎠ ⎞ ⎜⎜ ⎝ ⎛ += γ Pipe 3: Head loss along the pipe 3 is, mzHh BPL outlet 291101393 =−=−= 65m A B C 110m 90m 1 2 3
  • 35.
    Prof. Dr. AtılBULU35 sec067.013.2 4 20.0 4 sec13.2 1000 62.19200.0 025.0 29 2 3 2 3 2 3 3 3 2 3 3 2 3 3 3 3 mV D Q mV V L g V D f hL =× × =×= = ××= ××= ππ Pipe 1: mL g V D f h m D Q V mQ QQQ L 57.7400 62.19 36.2 30.0 020.0 2 sec36.2 30.0 167.044 sec167.0067.0100.0 2 1 2 1 1 1 22 1 1 1 3 1 321 1 =××=××= = × × == =+= += ππ Energy level at the entrance to the pump is, mhzH LAPent 43.5757.700.651 =−=−= The energy (head) to be supplied by pump is, mHHH entoutlet PPp 57.8143.5700.139 =−=−=Δ The required power of the pump is, kWWN HQ N P P P 191190952 70.0 59.81167.0100081.9 ≅= ××× = Δ = η γ
  • 36.
    Prof. Dr. AtılBULU36 Example: Reservoir B is fed by reservoir A with 600 lt/sec discharge. The water surface levels in the reservoirs are zA = 100 m and zB = 90 m. If the pipe diameter is D = 0.50m, the friction factor is f = 0.02, and the efficiency factor of the pump is η = 0.70, calculate the required pump power. The lengths of the pipes are respectively L1 = 500 m and L2 = 1000 m. Draw the energy line of the system. Figure Solution: Since the discharge of the system is known, the head loss from reservoir A to the pump can be calculated as, sec06.3 50.0 60.044 22 m D Q V = × × == ππ 100m 90m A B C pump 1 2 65m A B C 110m 90m 1 2 3 139m 57.43m Pump
  • 37.
    Prof. Dr. AtılBULU37 mh L g V D f h AC AC L ACL 54.9500 62.19 06.3 50.0 02.0 2 2 2 =××= ××= The energy level at the entrance to the pump is, mH entC 46.9054.9100 =−= Since the pipe diameter is same along the pipe, and L2 = 2L1, the head loss along the pipe 2 is, mhh LL 08.1954.922 12 =×== The energy level at the outlet of the pump should be, mH outC 80.10908.1900.90 =+= The pumping is then, mH pump 62.1846.9080.109 =−=Δ The required power of the pump is, kWW QH N 157156568 70.0 62.18600.09810 ≅= ×× == η γ A 100m 90m C B 90.46m 109.08m