Power Flow Studies
► Power flow studies are of great importance in planning and
operation.
► A power flow study gives the magnitude and angle of the
voltage at each bus.
► Once the bus voltage magnitudes and angles are known, the
real and reactive power flow through each line can be
computed and hence losses in a system.
► Power flow studies are a steady state analysis of a power
system. They are called as load flow studies.
► Since the loads are specified in terms of power, the resulting
equations are non-linear algebraic which need to be solved
iteratively.
► We use numerical methods such as Gauss-Seidal and
Newton-Raphson Methods for solving them.
Power Flow Problem:
Let Vi be the voltage at ith bus.
Vi = |Vi| δi
Let Yii and Yij be
Yii = |Yii | θii Yij = |Yij| θij
The net current injected into the network at bus Oi is
N
Σ
I = Y V + Y V + ··· + Y V = Y V
i i1 1 i2 2 iN N in n
n=1
where N be the total number of buses in the network. Let Pi and
Qi be the net real and reactive power entering the network at the
bus Oi.
Pi + Qi = Vi Ii
∗
Pi − Qi = Vi
∗
Ii
Pi − Qi = V ∗
i
N
Σ
n=1
Y V
in n
On substitution,
N
Σ
n=1
i i i i in
P − Q = |V | −δ |Y ||V | θ + δ
n in n
N
Σ
P − Q = |Y ||V ||V | θ + δ −δ
i i in i n in n i
n=1
Equating real and and imaginary parts,
i
N
Σ
P = |Y ||
n=1
in i n in n i
V ||V | cos(θ + δ −δ )
i
N
Σ
Q = − |Y ||
n=1
in i n in n i
V ||V | sin(θ + δ −δ )
The above equations are power flow equations in the polar form.
They are non linear functions of |V| and δ.
P = f1(|V|, δ)
Q = f2(|V|,δ)
Oi
→ Pgi
→ Qgi
→ Pi,sch
→ Qi,sch
Pdi ,Qdi
} P ,Q
i i
The net scheduled power injected into the network
Pi,sch = Pgi −Pdi ; Qi,sch = Qgi −Qdi
The mismatch power
∆ Pi = Pi,sch −Pi ∆ Qi = Qi,sch −Qi
If the calculated values match the scheduled values perfectly, the
mismatches are zero at bus Oi. The power balance equations
(Pgi −Pdi ) −Pi = 0
(Qgi −Qdi ) −Qi = 0
At each bus Oi , there are four quantities.
Pi, Qi, |Vi|, δi
Two of the four quantities are specified and the remaining two are
calculated.
Types of Buses:
The main objective of the power flow is to find |V | and δof each
bus when power generation and loads are specified. To facilitate
this, the buses are classified into three different types.
1. Load buses (PQ)
2. Generator buses / Voltage controlled buses (PV)
3. Slack /Swing bus
1. Load buses:
At each load bus, Pgi and Qgi are zero. Pdi and Qdi are
specified.
Pi,sch = −Pdi; Qi,sch = −Qdi
|Vi| and δi are to be determined at each load bus.
2. Voltage-controlled buses:
► A bus at which the voltage magnitude is kept constant is said
to be voltage controlled.
► At each generator bus, Pgi and |Vi | are specified. Qgi and δi
are to be determined.
► These buses are called as generator buses.
► Buses which have voltage control capability even without
generators are designated as voltage controlled buses. Pgi = 0
for those buses.
3. Slack bus:
► For convenience, bus O
1is almost always designated as the
slack bus.
► |V1| and δ1 are specified. Usually δ1 = 0◦.
► P1 and Q1 are to be found.
► Since the losses can be found only after |V | and δare known
at each bus, the slack bus Pg and Qg are not specified.
► The slack bus supplies the difference between the specified
power going into the network at all the other buses and the
total output plus losses.
► A generator bus with the largest generating capacity is usually
selected as the slack bus.
Power Flow Studies - Methods
► The power flow equations are nonlinear functions of |Vi| and
δi .
► Hence, iterative techniques such as Gauss-Seidel and
Newton-Raphson methods are used to solve them.
► Gauss- Seidel method solves the power flow equations in
rectangular form.
► Newton- Raphson method solves the power flow equations in
polar form.
Gauss Seidel Method
Let f (x) be a non-linear function of one variable.
f (x) = 0
To solve it, let us rewrite f (x) as follows:
x = g(x)
where g is another function of x. (It need not be unique.)
► Assume x0.
► Set k = 0.
► Find the next iterate
xk+1 = g(xk )
► Check for convergence i.e., |xk+1 −xk| ≤ ϵ. Otherwise repeat
the above step.
Let us extend it to multi- variable functions.
f1(x1,x2) = 0
f2(x1,x2) = 0
1 2
► Assume x0 and x0.
► Set k = 0.
► Find the next iterate
xk+1 = g1(xk ,xk )
1 1 2
xk+1 = g2(xk+1,xk)
2 1 2
► Check for convergence i.e., ǁxk+1 −xkǁ ≤ ϵ. Otherwise repeat
the above step.
► G-S method is slow. It converges linearly.
► To accelerate convergence, an acceleration factor (α) is used.
acc
k+1 k k+1 k
x = x + α(x −x )
In power flow studies, α is 1.6.
Example : Use G-S method to solve the following equation.
Assume x0 = 2. α = 1.6
f (x) = x3 −6x2 + 9x −4 = 0
This can be written as
1
9
x = − (x −
3 2
6x −4)
First Iteration:
x1 = 2.2222
x1
acc = x1 + α(x1 −x0) = 2 + 1.6 × (2.2222 −2) = 2.3556
It took almost 10 iterations to reach a solution.
10
acc
x ≈ 4
► G-S Method is slow.
► It requires less computations per iteration.
Example : Use Gauss-Seidal method to find the solution of the
following equations
x1 + x1x2 = 10
x1 + x2 = 6
1 2
with x0 = 1 and x0 = 1.
The functions can be rewritten as
10
x1 =
1 + x2
x2 = 6 −x1
The general form of G-S Method
1
xk+1 =
10
1 + xk
k+1
2
x = 6 −x
2
k+1
1
First Iteration:
1
x1 = 10/ 2 = 5
1
2
x = 6 −5 = 1
It took 2 iterations to reach the solution.
x =
5
1
0 0
0
Suppose we start with x = . We will reach the following
solution in 15 iterations.
x =
2
4
Gauss-Seidel Method - Power Flow Studies:
Pi,sch − Qi,sch = V
∗
N
Σ
Y V
i in n
n=1
where Pi,sch = Pgi −Pdi and Qi,sch = Qgi −Qdi.
V∗
i
Pi,sch − Qi,sch
= Y i1V1 + ···+ Yii Vi + ···+ YiN VN
It can be rewritten as
i
V =
Yii
1 P —Q
i,sch i,sch
V∗
i
—(Yi1V1 + ···+ YiN VN
)
Vi =
Yii
1 P − Q
i,sch i,sch
V∗
i
−
N
Σ
n=1
n/
=i
YinVn
In general,
i
Vk+1 =
Yii
1 Pi,sch − Qi,sch
i
(Vk )∗
i−1
Σ
— Yin
k+1
n
V −
N
Σ
n=1 n=i+1
YinVk
n
!
When a system has only PQ (load) buses,
1. Form Ybus matrix from the line data.
2. Assume Vi = 1 + 0for all PQ buses. It is called a flat start
3. Update voltages of load buses using the following equation.
i
Vk+1 =
1 P − Q
Yii
i,sch i,sch
i
(Vk )∗
i−1
Σ
— Y
n=1
in n
N
Σ
k+1 k
V − YinV
n=i+1
n
!
4. Accelerate the voltage to improve convergence.
i,acc i
k+1 k k+1
i
V = V + α(V − k
i
V )
k+1
5. Check for convergence |V − k
i,acc i
V | ≤ ϵ.
6. If yes, stop. Otherwise go to step 3.
When a system has both PQ and PV (voltage controlled) buses,
1. Form Ybus matrix from the line data.
2. Assume Vi = 1+ 0for all load buses. δi = 0 for all PV buses.
3. If the bus is PQ,
► Update voltages of load buses using the following equation.
i
V k+1 =
Yii
1 P − Q
i
(V k )∗
i−1
Σ
n=1
k+1
in n
i,sch i,sch
— Y V −
N
Σ
!
n=i+1
YinVk
n
4. If the bus is PV, (Qi is not given in PV buses.)
► Find Qi using the following equation
k+1
i i
k ∗
Q = −Imag (V )
( i−1
Σ
n=1
n
YinV k+1 +
N
Σ
n=i
YinVk
n
! )
► If Qi,min ≤ Qk+1
i i,max
≤ Q , update the voltage as follows:
i
V k+1 =
Yii
i,sch
1 P − Q k+1
i
i
(V k )∗
i−1
Σ
— Y
n=1
in
k+1
n
V −
N
Σ
n=i+1
YinVk
n
!
Since |Vi | is given,
k+1
i,corr i
V = |V |
V k+1
k+1
i
|Vi |
► Else, set Qi to the violated limit.
Qi = Qi,min if Qi < Qi,min
Qi = Qi,max if Qi > Qi,max
Treat the bus as PQ bus and update the voltage (both
magnitude and angle) accordingly for this iteration.
5. Accelerate the voltage to improve convergence.
i,acc i i
k+1 k k+1 k
i
V = V + α(V −V )
k+1
6. Check for convergence |V − k
i,acc i
V | ≤ ϵ.
7. If yes, stop. Otherwise go to step 3.
8. Find the line flows, losses and the slack bus power.
Example :
O
1 O
2
O
3
Table: Line data
Bus Code R (p.u.) X (p.u.)
1-2 0 0.1
1-3 0 0.1
2-3 0 0.1
Y (p.u.)
2
0.01
0.01
0.01
Table: Bus data
Pd Qd
Bus Pg Qg |V| δ Type
1 — — — — 1 0 Slack
2 0.6661 — — — 1.05 — PV
3 — — 2.8653 1.2244 — — PQ
Assume a flat voltage start, determine the voltage at the end of
first iteration using G-S method. 0.2 ≤ Q2 ≤ 2. Take α = 1.6.
1. Form Ybus matrix.
Ybus =
1 1
0.1 0.1
+ + 0.01 + 0.01 − 1
0.1
−
−
−
0. 0.
1 1
1 + 1 + 0.01 + 0.01 −
1
0.1
1
0.1
1
0.1
1
0.1
− 1
0.1 0. 0.
1 1
1 + 1 + 0.01 + 0.01
Ybus =
−19.98 10 1
0
10 −19.98 10
1
0 1
0 − 19.98
2. Start the first iteration k = 0.
► Bus O
2is a PV bus.
►Find Q2.
1
2 2
0 ∗
,
Q = −Imag (V ) Y21
1
1
0
22 2
V + Y V + Y23V 0
3
,
= −Imag{(1.05+ 0)∗
×( 10(1+ 0)+(− 19.98)(1.05+ 0)
+ 10(1 + 0))}
2
Q1
= 1.028
Q2 is within limit. Modify V2.
V2 =
Y22
∫
1 2,sch
1 P − Q
1
2
2
(V 0)∗
1
—Y V −Y V 0
21 1 23 3
,
1
2
V =
∫
1 0.6661 − 1.028
−19.98 (1.05 + 0)∗
—10 × (1 + 0) − 10 × (1 + 0)
,
2
V 1
= 1.0500 + 0.0318
Since |V2| is fixed,
V 1
2,corr 2
V 1
2
1
2
|V |
= |V | = 1.05×
1.0500 + 0.0318
1.0505
= 1.0495+ 0.0317
V 1
2,corr = 1.05 1.732◦
► Bus O
3is a PQ bus.
►Update V3.
1
3
V =
Y33
∫
1 P —Q
3,sch 3,sch
3
(V 0)∗
1
31 1
—Y V −Y V 1
32 2
,
1
3
V = {
1 −2.8653 + 1.2244
−19.98 (1 + 0)∗
—10 × (1 + 0)
—10 × (1.0495 + 0.0317)}
1
3
V = 0.9645 − 0.1275
V 1 0
3,acc 3
1
3
0
3
= V +α(V −V ) = (1+ 0)+1.6×(0.9645 − 0.1275−1− 0)
V 1
3,acc = 0.9432 − 0.2040
V = 1.0486 − 0.0551
3. Slack bus power
It took 13 iterations to converge.
1.0000 + 0.0000
0.9354 − 0.1648
S1 = V1 × I1
∗
P1 = 2.1985; Q1 = 0.1408
PL = 0; QL = 0.5601
Newton’s Method :
Let f (x) be a non-linear function of one variable.
f (x) = 0
► It approximates the given function as linear and solves
repeatedly.
Let x0 be the initial guess and ∆ x0 be the correction value to be
added to x0 to get the actual solution.
f (x0 + ∆ x0) = 0
Let us expand it using Taylor’s series and neglect higher order
terms .
0
f (x ) +
df
dx
.
.
x=x0
∆ x0 + ··· ≈ 0
If we neglect higher order terms,
0 f (x0)
∆ x = −
df .
dx.
x=x0
To get the second approximation,
x1 = x0 + ∆ x0 = x0 f (x0)
—
df
.
dx.
x=x0
In general
k+1
x = xk f (xk )
dx
—
df
.
.
x=xk
Check for convergence i.e., |xk+1 −xk| ≤ ϵ. Otherwise repeat the
above step.
Example 2: Let us solve the example 1 by Newton’s Method.
f (x) = x3 −6x2 + 9x −4 = 0
df
dx
2
= 3x −12x + 9
Assume x0 = 2.
∆ x0 = −
−2
= −0.6667
−3
x1 = x0 + ∆ x0 = 2 −0.6667 = 1.3333
It took 10 iterations to reach another solution.
x10 = 1.006
Assume x0 = 5.
∆ x0 = −
−2
= −0.6667
−3
x1 = x0 + ∆ x0 = 5 −0.6667 = 4.3333
It took 5 iterations to reach the first solution.
x5 = 4
x
f (x)
x0 = 2
x1
x0 = 5
x1
If x0 = 3, Newton’s method will fail for this problem because
dx
df
= 0 at x0 = 3.
Newton-Raphson Method:
f1(x1,x2) = 0
f2(x1,x2) = 0
Let x0 be the initial guess and ∆x0 be the correction value to be
added to x0 to get the actual solution.
f1(x0 + ∆ x0,x0 + ∆ x0) = 0
1 1 2 2
f2(x0 + ∆ x0,x0 + ∆ x0) = 0
1 1 2 2
Let us expand it using Taylor’s series and neglect higher order
terms.
1
0 0
1 2
f (x ,x ) +
1
∂x1
.
. 0 0
(x1 ,x2)
0
1
∆x +
∂f ∂f1
∂x2
.
. 0 0
(x1 ,x2)
0
2
∆ x + ··· ≈ 0
2
0 0
1 2
f (x ,x ) +
∂f2
∂x1
.
. 0 0
(x1 ,x2)
0
1
∆x +
∂f2
∂x2
.
. 0 0
(x1 ,x2)
0
2
∆ x + ··· ≈ 0
If we neglect higher order terms,
1
∂f ∂f
1 1
∂x ∂x2
∂f2 ∂f1
(x0,x0)
1 2
∂x1 ∂x2
The Jacobian matrix is
0
∆x1
∆ x0
2
= 1
0 0
1 2
0 −f (x ,x )
0 − 2
0 0
1 2
f (x ,x )
J =
1
∂f ∂f1
∂x ∂x
1 2
∂f2 ∂f1
∂x1 ∂x2
The mismatch vector ∆f is
∆f = 1 1 2
0 −f (x ,x )
0 −f2(x1,x2)
Therefore, the mismatch equations are
J0∆x0 = ∆f0
By solving for ∆x0, we get the next estimates.
x1 = x0 + ∆x0
In general
xk+1 = xk + ∆xk
The above process is repeated till ǁ∆xkǁ ≤ ϵ.
► Every iteration, J has to be formed.
► ∆x has to be found by solving the mismatch equations either
by inverse or triangular factorization.
Example 3: Consider the following nonlinear equations.
4x2 sinx1 = −0.6
2
2 2 1
4x −4x cosx = −0.3
Find x1 and x2. Assume x0 = 0 rad and x0 = 1.
1 2
∆f =
−0.6−4x2 sinx1
2
2
−0.3 −4x + 4x cosx
2 1
J =
1
∂f ∂f1
∂x ∂x
1 2
∂f2 ∂f1
∂x1 ∂x2
First Iteration:
=
4x cosx
2 1 4sinx1
4x2 sinx1 8x2 −4cosx1
J0∆x0 = ∆f0
4 0 ∆ x0
1
0 4 ∆ x0
2
=
−0.6
−0.3
∆ x0
1
∆ x0
2
=
4 0
0 4
−1
−0.6
−0.3
=
−0.150
−0.075
x1
x1 =
1 0
1
x0
2 2
+
x ∆ x0
1
∆ x0
2
=
−0.15
0.925
It converged after 3 iterations.
4
x = −0.1668 rad;
1 2
x4 = 0.9030
► N-R method converges fast if the starting point is near a
solution.
► It takes a few iterations to converge irrespective of system
variables.
► But it requires a lot of computations per iteration (Calculation
of J and either inverse or triangular factorization).
► It does not converge to a solution from an arbitrary starting
point.
N-R Method - Power Flow Studies
i
N
Σ
P = |Y ||
n=1
in i n in n i
V ||V | cos(θ + δ −δ )
i
N
Σ
Q = − |Y ||
in i n in n i
V ||V | sin(θ + δ −δ )
n=1
They are non linear functions of |V| and δ.
P = f1(|V|, δ)
Q = f2(|V|,δ)
By N-R method, the mismatch equations are
∆P
∆Q
= 1 2
J J ∆ δ
J3 J4 ∆|V|
where
∆P = Psch −Pcal; ∆Q = Qsch −Qcal
J1, J2, J3 and J4 are sub matrices of Jacobian.
∂P ∂P ∂Q ∂Q
J1 = [
∂δ
]; J2 = [
∂|V |
]; J3 = [
∂δ
]; J4 = [
∂|V |
];
(n −1) × 1.
To find the size of the Jacobian matrix, let us assume that there
are m voltage controlled buses in the system of n buses.
► Since P is specified for n −1 buses, the size of ∆P is
► Since Q is specified for only PQ buses, the size of ∆Q is
(n −m −1) × 1.
► Size of J1 is (n −1) × (n −1)
► Size of J2 is (n −1) × (n −m −1)
► Size of J3 is (n −m −1) × (n −1)
► Size of J4 is (n −m −1) × (n −m −1)
The size of the Jacobian is (2n −m −2) × (2n −m −2).
To find J1:
Off-Diagonal Elements:
∂Pi
∂δn
= −|Yin||Vi||Vn| sin(θin + δn −δi) i /= n
Diagonal Elements :
∂Pi
∂δi
N
Σ
n=1
n
=
/ i
To find J2:
Off-Diagonal Elements:
in i n in n i
= |Y ||V ||V | sin(θ + δ −δ )
∂Pi
= |Yin||Vi | cos(θin + δn −δi) i /= n
∂|Vn|
Diagonal Elements:
∂Pi
∂|Vi|
N
Σ
n=1
n/
=i
ii i ii in n
= 2|Y ||V | cos(θ ) + |Y ||V | cos(θ + δ
in n i
—δ )
To find J3:
Off-Diagonal Elements:
∂Qi
∂δn
= −|Yin||Vi||Vn| cos(θin + δn −δi) i /= n
Diagonal Elements:
∂Qi
∂δi
N
Σ
n=1
n
=
/ i
To find J4:
Off-Diagonal Elements:
in i n in n i
= |Y ||V ||V | cos(θ + δ −δ )
in i in n i
∂Qi
= −|Y ||V | sin(θ + δ −δ ) i =
/ n
∂|Vn|
Diagonal Elements:
∂Qi
∂|Vi|
N
Σ
n=1
n/
=i
= −2|V ||Y | sin(θ ) − |Y ||V | sin(θ + δ
i ii ii in n in n i
—δ )
Example :
O
1 O
2
O
3
Table: Line data
Bus Code R (p.u.) X (p.u.)
1-2 0 0.1
1-3 0 0.1
2-3 0 0.1
Y (p.u.)
2
0.01
0.01
0.01
Table: Bus data
Pd Qd
Bus Pg Qg |V| δ Type
1 — — — — 1 0 Slack
2 0.6661 — — — 1.05 — PV
3 — — 2.8653 1.2244 — — PQ
Assume a flat voltage start, determine the voltage at the end of
first iteration using N-R method. 0.2 ≤ Q2 ≤ 2.
O
2 is a PV bus and O
3 is a PQ bus.
2
P2 = |Y21||V2||V1|cos(θ21 + δ1 −δ2) + |Y22||V2| cos(θ22)
+ |Y23||V2||V3| cos(θ23 + δ3 −δ2)
P3 = |Y31||V3||V1| cos(θ31+δ1−δ3)+|Y32||V3||V2| cos(θ32+δ2−δ3)
2
+ |Y33||V3| cos(θ33)
Q3 = −|Y31||V3||V1|sin(θ31+δ1−δ3)−|Y32||V3||V2| sin(θ32+δ2−δ3)
2
—|Y33||V3| sin(θ33)
Since, n = 3 and m = 1, the mismatch equations are
∆P2
∆ P3
∆Q3 3×1
=
2
2
2
3
∂|V |
2 3
3
∂P ∂P2 ∂P
∂δ ∂δ3
∂P3 ∂P3 ∂P3
∂δ ∂δ3
∂Q ∂Q3
∂δ2 ∂δ3
∂Q3
∂|V3|
∂|V |
3×3
∆δ2
∆ δ3
∆|V3| 3×1
1. Form Ybus matrix.
Ybus =
19.98 −90 ◦
10 90◦
10 90◦ 10 90◦
19.98 −90◦ 10 90◦
10 90◦ 10 90◦ 19.98 −90◦
2. Assume δ2 = δ3 = 0. and |V3| = 1.
3. Set k = 0.
4. Find the mismatch vector.
3
∆Q3
∆ P2
0
P 2,sch 2
0 0
2 3
—P (δ ,δ , 3
0
|V | )
∆ P = P3,sch 3
0 0
2 3
—P (δ ,δ , 3
0
3,sch 3 2 3 3
0 0 0
Q −Q (δ ,δ ,|V | )
|V | ) =
0.6661 −0
−2.8653 −0
−1.2244 −(−0.52)
∆ P2
0
3
∆P = −2.8653
∆Q3 −0.7044
0.6661
0
21 −10.5 0
J = −10.5 20.5 0
0 0 19.46
5. Solve for the correction vector.
∆ δ2
0
3
∆|V3|
0 −1
∆ δ = [J ] ∆ P
∆ P2
0
3
∆Q3
∆ δ2
0
3
∆ δ = −0.1660 rad
−0.0513 rad
∆|V3| −0.0362
6. Find the new estimate.
δ2
1
3
δ = δ + ∆ δ
δ2
0
3 3
|V3| |V3| ∆|V3|
∆ δ2
0
δ2
1
3
|V3| 1 −0.0362
δ = 0 + −0.1660 = −0.1660 rad
0.9638
0 −0.0513 −0.0513 rad
3
|V3|
δ = −0.1745 rad
0.9500
7. k=k+1 and go back to step 4.
8. It took 5 iterations to converge.
δ2 −0.0524 rad
9. Slack bus power:
Pg = 2.1992; Qg = 0.1387
10. Losses :
PL = 0; QL = 0.5560
Decoupled Load Flow
By N-R method, the mismatch equations are
∆P
= 1 2
J J ∆ δ
∆Q J3 J4 ∆|V|
In a well designed power system, X ratio is high.
R
1. Real power (P) in transmission lines is primarily dependent on
voltage angle (δ).
2. Reactive power (P) in transmission lines is primarily
dependent on voltage magnitude (|V|).
∆P
∆Q
= 1
J 0 ∆ δ
0 J4 ∆|V|
Therefore,
∆P = J1∆δ
∆Q = J4∆|V|
Fast Decoupled Load Flow (FDLF)
Let us introduce further simplifications.
In a well designed and properly operated system,
1. The angular differences between buses are small.
cos(δi −δj ) ≈ 1; sin(δi −δj ) ≈ (δi −δj )
2. The line susceptancs Bij are many times larger than the line
conductances Gij.
Gij sin(δi −δj ) < < Bij cos(δi −δj )
3. The net reactive power Qi injected into bus i during normal
operation is much less than the reactive power which would
flow if all the lines were from the bus were short circuited.
Qi < < |Vi|2Bii
From J1:
Off-Diagonal Elements:
∂Pi
∂δn
= −|Yin||Vi||Vn| sin(θin + δn −δi) i =
/ n
= −|Vi|Vn|Bin
= −|Vi|Bin (Assuming |Vn| ≈ 1)
Diagonal Elements
∂Pi
∂δi
N
Σ
n=1
n=
/ i
N
in i n in n i
= |Y ||V ||V | sin(θ + δ −δ )
Σ
= |Y ||
in i n in n i
V ||V | sin(θ + δ −δ ) −|V i
2
ii
| |Y | sin(θii )
n=1
= −Qi −|Vi |2Bii
= −|Vi |2Bii (Since Qi < < |Vi |2Bii )
= −|Vi |Bii (Assuming |Vi |2 ≈ |Vi |)
From J4:
Off-Diagonal Elements:
∂|Vn|
in i in n i
∂Qi
= −|Y ||V | sin(θ + δ −δ ) i =
/ n
= −|Vi|Bin
Diagonal Elements:
∂Qi
∂|Vi|
= −2|V ||
i ii
N
Σ
n=1
n=
/ i
ii in n
Y | sin(θ ) − |Y ||V | sin(θ + δ
in n i
—δ )
N
Σ
= −|V ||Y | sin(θ ) − |Y ||
i ii ii in n in n i
V | sin(θ + δ −δ )
n=1
= −|Vi |Bii + Qi
= −|Vi |Bii (Since Qi < < |Vi |2Bii )
Therefore,
|V|
∆P
= −BJ∆ δ
∆Q
= −BJJ∆ |V|
|V|
1. BJ and BJJ are the imaginary part of the bus admittance
matrix (YBus ).
2. The size of BJ is (n −1) × (n −1) and the size of BJJ is
(n −m −1) × (n −m −1).
3. Since they are constant, they need to be triangulaized
(inverted) once.
∆P
∆ δ = −[BJ]−1
|V|
∆Q
∆ |V| = −[BJJ]−1
|V |
1. N-R method is accurate and takes less iterations but requires
a lot of calculations per iteration (more time).
2. FDLF takes more iterations but less calculations per iteration
(less time).
3. FDLF solves load flow very rapidly.
4. FDLF is used where accuracy is not important.
Line Flows, Losses and Slack Bus Power:
Once the bus voltages are found numerically, the next step is to
find line flows and losses.
Iij Il yij Iji
Vi Vj
Ii 0
yi0
Ij0
yj0
Iij = Il + Ii0 = yij (Vi −Vj ) + yi0Vi
Iji = −Iij = yij (Vj −Vi ) + yj 0Vj
The complex power Sij and Sji are
P1 − Q1 = V ∗
1
Sij = Vi Ii
∗
j
Sji = Vj Ij
∗
i
The power loss in the line i −j is
SL,ij = Sij + Sji
The slack bus power can be computed as follows:
N
Σ
Y V
1n n
n=1
The Slack bus does the following.
Σ
G1 Gi
P = −( P −
i∀
Gen
i=
/ Slack
Σ
i∀
load
di L
P −P )
G1
Q = −(
Σ
i∀
Gen
i=
/ Slack
Gi
Q −
Σ
i∀
load
di L
Q −Q )
Example : For the system shown in the figure, SD1 and SD2 are
complex power demands at bus 1 and bus 2 respectively. If |V2| =
1 p.u., compute the rating of capacitor (QG2) connected at bus 2
in p.u.
V1 = 1∠0◦
X = 0.5 p.u.
1 2
SD1 = (1 + 0) p.u. SD2 = (1 + 0) p.u.
QG2
1. Form Ybus matrix.
bus
Y =
1
0.5
−
1
0.5
−
0.5
1 1
0.5
=
2 −90◦ 2 90◦
2 90◦ 2 −90◦
2. Since O
2 is a voltage controlled (PV) bus,
P2,sch = PG2 −PD2 = 0 −1 = −1
The net real power injected into the network at O
2.
P2 = Y21||V2||V1|cos(θ21 + δ1 −δ2) + Y22||V2|2 cos(θ22)
δ2 can be found directly instead of N-R method for this
equation. At O
2 ,
P2,sch = P2
On substitution,
2cos(90◦ −δ2) = −1
2sinδ2 = −1
δ2 = −30◦
3. QG2 is found as follows:
Q2,sch = QG2 −QD2 = QG2
The net reactive power injected into the network at O
2.
Q2 = −Y21||V2||V1| sin(θ21 + δ1−δ2) −Y22||V2|2 sin(θ22)
On substitution,
Q2 = −2sin(120◦) + 2 = 0.2679
At O
2 ,
Q2,sch = Q2
Therefore,
QG2 = 0.2679 p.u.

Load_Flow.pptx

  • 1.
    Power Flow Studies ►Power flow studies are of great importance in planning and operation. ► A power flow study gives the magnitude and angle of the voltage at each bus. ► Once the bus voltage magnitudes and angles are known, the real and reactive power flow through each line can be computed and hence losses in a system. ► Power flow studies are a steady state analysis of a power system. They are called as load flow studies. ► Since the loads are specified in terms of power, the resulting equations are non-linear algebraic which need to be solved iteratively. ► We use numerical methods such as Gauss-Seidal and Newton-Raphson Methods for solving them.
  • 2.
    Power Flow Problem: LetVi be the voltage at ith bus. Vi = |Vi| δi Let Yii and Yij be Yii = |Yii | θii Yij = |Yij| θij The net current injected into the network at bus Oi is N Σ I = Y V + Y V + ··· + Y V = Y V i i1 1 i2 2 iN N in n n=1 where N be the total number of buses in the network. Let Pi and Qi be the net real and reactive power entering the network at the bus Oi. Pi + Qi = Vi Ii ∗ Pi − Qi = Vi ∗ Ii
  • 3.
    Pi − Qi= V ∗ i N Σ n=1 Y V in n On substitution, N Σ n=1 i i i i in P − Q = |V | −δ |Y ||V | θ + δ n in n N Σ P − Q = |Y ||V ||V | θ + δ −δ i i in i n in n i n=1 Equating real and and imaginary parts, i N Σ P = |Y || n=1 in i n in n i V ||V | cos(θ + δ −δ ) i N Σ Q = − |Y || n=1 in i n in n i V ||V | sin(θ + δ −δ )
  • 4.
    The above equationsare power flow equations in the polar form. They are non linear functions of |V| and δ. P = f1(|V|, δ) Q = f2(|V|,δ) Oi → Pgi → Qgi → Pi,sch → Qi,sch Pdi ,Qdi } P ,Q i i
  • 5.
    The net scheduledpower injected into the network Pi,sch = Pgi −Pdi ; Qi,sch = Qgi −Qdi The mismatch power ∆ Pi = Pi,sch −Pi ∆ Qi = Qi,sch −Qi If the calculated values match the scheduled values perfectly, the mismatches are zero at bus Oi. The power balance equations (Pgi −Pdi ) −Pi = 0 (Qgi −Qdi ) −Qi = 0
  • 6.
    At each busOi , there are four quantities. Pi, Qi, |Vi|, δi Two of the four quantities are specified and the remaining two are calculated. Types of Buses: The main objective of the power flow is to find |V | and δof each bus when power generation and loads are specified. To facilitate this, the buses are classified into three different types. 1. Load buses (PQ) 2. Generator buses / Voltage controlled buses (PV) 3. Slack /Swing bus
  • 7.
    1. Load buses: Ateach load bus, Pgi and Qgi are zero. Pdi and Qdi are specified. Pi,sch = −Pdi; Qi,sch = −Qdi |Vi| and δi are to be determined at each load bus. 2. Voltage-controlled buses: ► A bus at which the voltage magnitude is kept constant is said to be voltage controlled. ► At each generator bus, Pgi and |Vi | are specified. Qgi and δi are to be determined. ► These buses are called as generator buses. ► Buses which have voltage control capability even without generators are designated as voltage controlled buses. Pgi = 0 for those buses.
  • 8.
    3. Slack bus: ►For convenience, bus O 1is almost always designated as the slack bus. ► |V1| and δ1 are specified. Usually δ1 = 0◦. ► P1 and Q1 are to be found. ► Since the losses can be found only after |V | and δare known at each bus, the slack bus Pg and Qg are not specified. ► The slack bus supplies the difference between the specified power going into the network at all the other buses and the total output plus losses. ► A generator bus with the largest generating capacity is usually selected as the slack bus.
  • 9.
    Power Flow Studies- Methods ► The power flow equations are nonlinear functions of |Vi| and δi . ► Hence, iterative techniques such as Gauss-Seidel and Newton-Raphson methods are used to solve them. ► Gauss- Seidel method solves the power flow equations in rectangular form. ► Newton- Raphson method solves the power flow equations in polar form.
  • 10.
    Gauss Seidel Method Letf (x) be a non-linear function of one variable. f (x) = 0 To solve it, let us rewrite f (x) as follows: x = g(x) where g is another function of x. (It need not be unique.) ► Assume x0. ► Set k = 0. ► Find the next iterate xk+1 = g(xk ) ► Check for convergence i.e., |xk+1 −xk| ≤ ϵ. Otherwise repeat the above step.
  • 11.
    Let us extendit to multi- variable functions. f1(x1,x2) = 0 f2(x1,x2) = 0 1 2 ► Assume x0 and x0. ► Set k = 0. ► Find the next iterate xk+1 = g1(xk ,xk ) 1 1 2 xk+1 = g2(xk+1,xk) 2 1 2 ► Check for convergence i.e., ǁxk+1 −xkǁ ≤ ϵ. Otherwise repeat the above step. ► G-S method is slow. It converges linearly. ► To accelerate convergence, an acceleration factor (α) is used. acc k+1 k k+1 k x = x + α(x −x ) In power flow studies, α is 1.6.
  • 12.
    Example : UseG-S method to solve the following equation. Assume x0 = 2. α = 1.6 f (x) = x3 −6x2 + 9x −4 = 0 This can be written as 1 9 x = − (x − 3 2 6x −4) First Iteration: x1 = 2.2222 x1 acc = x1 + α(x1 −x0) = 2 + 1.6 × (2.2222 −2) = 2.3556 It took almost 10 iterations to reach a solution. 10 acc x ≈ 4 ► G-S Method is slow. ► It requires less computations per iteration.
  • 13.
    Example : UseGauss-Seidal method to find the solution of the following equations x1 + x1x2 = 10 x1 + x2 = 6 1 2 with x0 = 1 and x0 = 1. The functions can be rewritten as 10 x1 = 1 + x2 x2 = 6 −x1 The general form of G-S Method 1 xk+1 = 10 1 + xk k+1 2 x = 6 −x 2 k+1 1
  • 14.
    First Iteration: 1 x1 =10/ 2 = 5 1 2 x = 6 −5 = 1 It took 2 iterations to reach the solution. x = 5 1 0 0 0 Suppose we start with x = . We will reach the following solution in 15 iterations. x = 2 4
  • 15.
    Gauss-Seidel Method -Power Flow Studies: Pi,sch − Qi,sch = V ∗ N Σ Y V i in n n=1 where Pi,sch = Pgi −Pdi and Qi,sch = Qgi −Qdi. V∗ i Pi,sch − Qi,sch = Y i1V1 + ···+ Yii Vi + ···+ YiN VN It can be rewritten as i V = Yii 1 P —Q i,sch i,sch V∗ i —(Yi1V1 + ···+ YiN VN ) Vi = Yii 1 P − Q i,sch i,sch V∗ i − N Σ n=1 n/ =i YinVn
  • 16.
    In general, i Vk+1 = Yii 1Pi,sch − Qi,sch i (Vk )∗ i−1 Σ — Yin k+1 n V − N Σ n=1 n=i+1 YinVk n ! When a system has only PQ (load) buses, 1. Form Ybus matrix from the line data. 2. Assume Vi = 1 + 0for all PQ buses. It is called a flat start 3. Update voltages of load buses using the following equation. i Vk+1 = 1 P − Q Yii i,sch i,sch i (Vk )∗ i−1 Σ — Y n=1 in n N Σ k+1 k V − YinV n=i+1 n ! 4. Accelerate the voltage to improve convergence. i,acc i k+1 k k+1 i V = V + α(V − k i V ) k+1 5. Check for convergence |V − k i,acc i V | ≤ ϵ. 6. If yes, stop. Otherwise go to step 3.
  • 17.
    When a systemhas both PQ and PV (voltage controlled) buses, 1. Form Ybus matrix from the line data. 2. Assume Vi = 1+ 0for all load buses. δi = 0 for all PV buses. 3. If the bus is PQ, ► Update voltages of load buses using the following equation. i V k+1 = Yii 1 P − Q i (V k )∗ i−1 Σ n=1 k+1 in n i,sch i,sch — Y V − N Σ ! n=i+1 YinVk n 4. If the bus is PV, (Qi is not given in PV buses.) ► Find Qi using the following equation k+1 i i k ∗ Q = −Imag (V ) ( i−1 Σ n=1 n YinV k+1 + N Σ n=i YinVk n ! )
  • 18.
    ► If Qi,min≤ Qk+1 i i,max ≤ Q , update the voltage as follows: i V k+1 = Yii i,sch 1 P − Q k+1 i i (V k )∗ i−1 Σ — Y n=1 in k+1 n V − N Σ n=i+1 YinVk n ! Since |Vi | is given, k+1 i,corr i V = |V | V k+1 k+1 i |Vi | ► Else, set Qi to the violated limit. Qi = Qi,min if Qi < Qi,min Qi = Qi,max if Qi > Qi,max Treat the bus as PQ bus and update the voltage (both magnitude and angle) accordingly for this iteration.
  • 19.
    5. Accelerate thevoltage to improve convergence. i,acc i i k+1 k k+1 k i V = V + α(V −V ) k+1 6. Check for convergence |V − k i,acc i V | ≤ ϵ. 7. If yes, stop. Otherwise go to step 3. 8. Find the line flows, losses and the slack bus power.
  • 20.
    Example : O 1 O 2 O 3 Table:Line data Bus Code R (p.u.) X (p.u.) 1-2 0 0.1 1-3 0 0.1 2-3 0 0.1 Y (p.u.) 2 0.01 0.01 0.01 Table: Bus data Pd Qd Bus Pg Qg |V| δ Type 1 — — — — 1 0 Slack 2 0.6661 — — — 1.05 — PV 3 — — 2.8653 1.2244 — — PQ Assume a flat voltage start, determine the voltage at the end of first iteration using G-S method. 0.2 ≤ Q2 ≤ 2. Take α = 1.6.
  • 21.
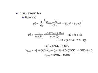
    1. Form Ybusmatrix. Ybus = 1 1 0.1 0.1 + + 0.01 + 0.01 − 1 0.1 − − − 0. 0. 1 1 1 + 1 + 0.01 + 0.01 − 1 0.1 1 0.1 1 0.1 1 0.1 − 1 0.1 0. 0. 1 1 1 + 1 + 0.01 + 0.01 Ybus = −19.98 10 1 0 10 −19.98 10 1 0 1 0 − 19.98 2. Start the first iteration k = 0. ► Bus O 2is a PV bus. ►Find Q2. 1 2 2 0 ∗ , Q = −Imag (V ) Y21 1 1 0 22 2 V + Y V + Y23V 0 3 , = −Imag{(1.05+ 0)∗ ×( 10(1+ 0)+(− 19.98)(1.05+ 0) + 10(1 + 0))} 2 Q1 = 1.028
  • 22.
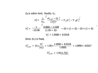
    Q2 is withinlimit. Modify V2. V2 = Y22 ∫ 1 2,sch 1 P − Q 1 2 2 (V 0)∗ 1 —Y V −Y V 0 21 1 23 3 , 1 2 V = ∫ 1 0.6661 − 1.028 −19.98 (1.05 + 0)∗ —10 × (1 + 0) − 10 × (1 + 0) , 2 V 1 = 1.0500 + 0.0318 Since |V2| is fixed, V 1 2,corr 2 V 1 2 1 2 |V | = |V | = 1.05× 1.0500 + 0.0318 1.0505 = 1.0495+ 0.0317 V 1 2,corr = 1.05 1.732◦
  • 23.
    ► Bus O 3isa PQ bus. ►Update V3. 1 3 V = Y33 ∫ 1 P —Q 3,sch 3,sch 3 (V 0)∗ 1 31 1 —Y V −Y V 1 32 2 , 1 3 V = { 1 −2.8653 + 1.2244 −19.98 (1 + 0)∗ —10 × (1 + 0) —10 × (1.0495 + 0.0317)} 1 3 V = 0.9645 − 0.1275 V 1 0 3,acc 3 1 3 0 3 = V +α(V −V ) = (1+ 0)+1.6×(0.9645 − 0.1275−1− 0) V 1 3,acc = 0.9432 − 0.2040
  • 24.
    V = 1.0486− 0.0551 3. Slack bus power It took 13 iterations to converge. 1.0000 + 0.0000 0.9354 − 0.1648 S1 = V1 × I1 ∗ P1 = 2.1985; Q1 = 0.1408 PL = 0; QL = 0.5601
  • 25.
    Newton’s Method : Letf (x) be a non-linear function of one variable. f (x) = 0 ► It approximates the given function as linear and solves repeatedly. Let x0 be the initial guess and ∆ x0 be the correction value to be added to x0 to get the actual solution. f (x0 + ∆ x0) = 0 Let us expand it using Taylor’s series and neglect higher order terms . 0 f (x ) + df dx . . x=x0 ∆ x0 + ··· ≈ 0
  • 26.
    If we neglecthigher order terms, 0 f (x0) ∆ x = − df . dx. x=x0 To get the second approximation, x1 = x0 + ∆ x0 = x0 f (x0) — df . dx. x=x0 In general k+1 x = xk f (xk ) dx — df . . x=xk Check for convergence i.e., |xk+1 −xk| ≤ ϵ. Otherwise repeat the above step.
  • 27.
    Example 2: Letus solve the example 1 by Newton’s Method. f (x) = x3 −6x2 + 9x −4 = 0 df dx 2 = 3x −12x + 9 Assume x0 = 2. ∆ x0 = − −2 = −0.6667 −3 x1 = x0 + ∆ x0 = 2 −0.6667 = 1.3333 It took 10 iterations to reach another solution. x10 = 1.006 Assume x0 = 5. ∆ x0 = − −2 = −0.6667 −3 x1 = x0 + ∆ x0 = 5 −0.6667 = 4.3333
  • 28.
    It took 5iterations to reach the first solution. x5 = 4 x f (x) x0 = 2 x1 x0 = 5 x1 If x0 = 3, Newton’s method will fail for this problem because dx df = 0 at x0 = 3.
  • 29.
    Newton-Raphson Method: f1(x1,x2) =0 f2(x1,x2) = 0 Let x0 be the initial guess and ∆x0 be the correction value to be added to x0 to get the actual solution. f1(x0 + ∆ x0,x0 + ∆ x0) = 0 1 1 2 2 f2(x0 + ∆ x0,x0 + ∆ x0) = 0 1 1 2 2 Let us expand it using Taylor’s series and neglect higher order terms. 1 0 0 1 2 f (x ,x ) + 1 ∂x1 . . 0 0 (x1 ,x2) 0 1 ∆x + ∂f ∂f1 ∂x2 . . 0 0 (x1 ,x2) 0 2 ∆ x + ··· ≈ 0 2 0 0 1 2 f (x ,x ) + ∂f2 ∂x1 . . 0 0 (x1 ,x2) 0 1 ∆x + ∂f2 ∂x2 . . 0 0 (x1 ,x2) 0 2 ∆ x + ··· ≈ 0
  • 30.
    If we neglecthigher order terms, 1 ∂f ∂f 1 1 ∂x ∂x2 ∂f2 ∂f1 (x0,x0) 1 2 ∂x1 ∂x2 The Jacobian matrix is 0 ∆x1 ∆ x0 2 = 1 0 0 1 2 0 −f (x ,x ) 0 − 2 0 0 1 2 f (x ,x ) J = 1 ∂f ∂f1 ∂x ∂x 1 2 ∂f2 ∂f1 ∂x1 ∂x2 The mismatch vector ∆f is ∆f = 1 1 2 0 −f (x ,x ) 0 −f2(x1,x2) Therefore, the mismatch equations are J0∆x0 = ∆f0
  • 31.
    By solving for∆x0, we get the next estimates. x1 = x0 + ∆x0 In general xk+1 = xk + ∆xk The above process is repeated till ǁ∆xkǁ ≤ ϵ. ► Every iteration, J has to be formed. ► ∆x has to be found by solving the mismatch equations either by inverse or triangular factorization.
  • 32.
    Example 3: Considerthe following nonlinear equations. 4x2 sinx1 = −0.6 2 2 2 1 4x −4x cosx = −0.3 Find x1 and x2. Assume x0 = 0 rad and x0 = 1. 1 2 ∆f = −0.6−4x2 sinx1 2 2 −0.3 −4x + 4x cosx 2 1 J = 1 ∂f ∂f1 ∂x ∂x 1 2 ∂f2 ∂f1 ∂x1 ∂x2 First Iteration: = 4x cosx 2 1 4sinx1 4x2 sinx1 8x2 −4cosx1 J0∆x0 = ∆f0 4 0 ∆ x0 1 0 4 ∆ x0 2 = −0.6 −0.3
  • 33.
    ∆ x0 1 ∆ x0 2 = 40 0 4 −1 −0.6 −0.3 = −0.150 −0.075 x1 x1 = 1 0 1 x0 2 2 + x ∆ x0 1 ∆ x0 2 = −0.15 0.925 It converged after 3 iterations. 4 x = −0.1668 rad; 1 2 x4 = 0.9030 ► N-R method converges fast if the starting point is near a solution. ► It takes a few iterations to converge irrespective of system variables. ► But it requires a lot of computations per iteration (Calculation of J and either inverse or triangular factorization). ► It does not converge to a solution from an arbitrary starting point.
  • 34.
    N-R Method -Power Flow Studies i N Σ P = |Y || n=1 in i n in n i V ||V | cos(θ + δ −δ ) i N Σ Q = − |Y || in i n in n i V ||V | sin(θ + δ −δ ) n=1 They are non linear functions of |V| and δ. P = f1(|V|, δ) Q = f2(|V|,δ) By N-R method, the mismatch equations are ∆P ∆Q = 1 2 J J ∆ δ J3 J4 ∆|V|
  • 35.
    where ∆P = Psch−Pcal; ∆Q = Qsch −Qcal J1, J2, J3 and J4 are sub matrices of Jacobian. ∂P ∂P ∂Q ∂Q J1 = [ ∂δ ]; J2 = [ ∂|V | ]; J3 = [ ∂δ ]; J4 = [ ∂|V | ]; (n −1) × 1. To find the size of the Jacobian matrix, let us assume that there are m voltage controlled buses in the system of n buses. ► Since P is specified for n −1 buses, the size of ∆P is ► Since Q is specified for only PQ buses, the size of ∆Q is (n −m −1) × 1. ► Size of J1 is (n −1) × (n −1) ► Size of J2 is (n −1) × (n −m −1) ► Size of J3 is (n −m −1) × (n −1) ► Size of J4 is (n −m −1) × (n −m −1) The size of the Jacobian is (2n −m −2) × (2n −m −2).
  • 36.
    To find J1: Off-DiagonalElements: ∂Pi ∂δn = −|Yin||Vi||Vn| sin(θin + δn −δi) i /= n Diagonal Elements : ∂Pi ∂δi N Σ n=1 n = / i To find J2: Off-Diagonal Elements: in i n in n i = |Y ||V ||V | sin(θ + δ −δ ) ∂Pi = |Yin||Vi | cos(θin + δn −δi) i /= n ∂|Vn| Diagonal Elements: ∂Pi ∂|Vi| N Σ n=1 n/ =i ii i ii in n = 2|Y ||V | cos(θ ) + |Y ||V | cos(θ + δ in n i —δ )
  • 37.
    To find J3: Off-DiagonalElements: ∂Qi ∂δn = −|Yin||Vi||Vn| cos(θin + δn −δi) i /= n Diagonal Elements: ∂Qi ∂δi N Σ n=1 n = / i To find J4: Off-Diagonal Elements: in i n in n i = |Y ||V ||V | cos(θ + δ −δ ) in i in n i ∂Qi = −|Y ||V | sin(θ + δ −δ ) i = / n ∂|Vn| Diagonal Elements: ∂Qi ∂|Vi| N Σ n=1 n/ =i = −2|V ||Y | sin(θ ) − |Y ||V | sin(θ + δ i ii ii in n in n i —δ )
  • 38.
    Example : O 1 O 2 O 3 Table:Line data Bus Code R (p.u.) X (p.u.) 1-2 0 0.1 1-3 0 0.1 2-3 0 0.1 Y (p.u.) 2 0.01 0.01 0.01 Table: Bus data Pd Qd Bus Pg Qg |V| δ Type 1 — — — — 1 0 Slack 2 0.6661 — — — 1.05 — PV 3 — — 2.8653 1.2244 — — PQ Assume a flat voltage start, determine the voltage at the end of first iteration using N-R method. 0.2 ≤ Q2 ≤ 2.
  • 39.
    O 2 is aPV bus and O 3 is a PQ bus. 2 P2 = |Y21||V2||V1|cos(θ21 + δ1 −δ2) + |Y22||V2| cos(θ22) + |Y23||V2||V3| cos(θ23 + δ3 −δ2) P3 = |Y31||V3||V1| cos(θ31+δ1−δ3)+|Y32||V3||V2| cos(θ32+δ2−δ3) 2 + |Y33||V3| cos(θ33) Q3 = −|Y31||V3||V1|sin(θ31+δ1−δ3)−|Y32||V3||V2| sin(θ32+δ2−δ3) 2 —|Y33||V3| sin(θ33)
  • 40.
    Since, n =3 and m = 1, the mismatch equations are ∆P2 ∆ P3 ∆Q3 3×1 = 2 2 2 3 ∂|V | 2 3 3 ∂P ∂P2 ∂P ∂δ ∂δ3 ∂P3 ∂P3 ∂P3 ∂δ ∂δ3 ∂Q ∂Q3 ∂δ2 ∂δ3 ∂Q3 ∂|V3| ∂|V | 3×3 ∆δ2 ∆ δ3 ∆|V3| 3×1 1. Form Ybus matrix. Ybus = 19.98 −90 ◦ 10 90◦ 10 90◦ 10 90◦ 19.98 −90◦ 10 90◦ 10 90◦ 10 90◦ 19.98 −90◦ 2. Assume δ2 = δ3 = 0. and |V3| = 1. 3. Set k = 0.
  • 41.
    4. Find themismatch vector. 3 ∆Q3 ∆ P2 0 P 2,sch 2 0 0 2 3 —P (δ ,δ , 3 0 |V | ) ∆ P = P3,sch 3 0 0 2 3 —P (δ ,δ , 3 0 3,sch 3 2 3 3 0 0 0 Q −Q (δ ,δ ,|V | ) |V | ) = 0.6661 −0 −2.8653 −0 −1.2244 −(−0.52) ∆ P2 0 3 ∆P = −2.8653 ∆Q3 −0.7044 0.6661 0 21 −10.5 0 J = −10.5 20.5 0 0 0 19.46
  • 42.
    5. Solve forthe correction vector. ∆ δ2 0 3 ∆|V3| 0 −1 ∆ δ = [J ] ∆ P ∆ P2 0 3 ∆Q3 ∆ δ2 0 3 ∆ δ = −0.1660 rad −0.0513 rad ∆|V3| −0.0362 6. Find the new estimate. δ2 1 3 δ = δ + ∆ δ δ2 0 3 3 |V3| |V3| ∆|V3| ∆ δ2 0 δ2 1 3 |V3| 1 −0.0362 δ = 0 + −0.1660 = −0.1660 rad 0.9638 0 −0.0513 −0.0513 rad
  • 43.
    3 |V3| δ = −0.1745rad 0.9500 7. k=k+1 and go back to step 4. 8. It took 5 iterations to converge. δ2 −0.0524 rad 9. Slack bus power: Pg = 2.1992; Qg = 0.1387 10. Losses : PL = 0; QL = 0.5560
  • 44.
    Decoupled Load Flow ByN-R method, the mismatch equations are ∆P = 1 2 J J ∆ δ ∆Q J3 J4 ∆|V| In a well designed power system, X ratio is high. R 1. Real power (P) in transmission lines is primarily dependent on voltage angle (δ). 2. Reactive power (P) in transmission lines is primarily dependent on voltage magnitude (|V|). ∆P ∆Q = 1 J 0 ∆ δ 0 J4 ∆|V| Therefore, ∆P = J1∆δ ∆Q = J4∆|V|
  • 45.
    Fast Decoupled LoadFlow (FDLF) Let us introduce further simplifications. In a well designed and properly operated system, 1. The angular differences between buses are small. cos(δi −δj ) ≈ 1; sin(δi −δj ) ≈ (δi −δj ) 2. The line susceptancs Bij are many times larger than the line conductances Gij. Gij sin(δi −δj ) < < Bij cos(δi −δj ) 3. The net reactive power Qi injected into bus i during normal operation is much less than the reactive power which would flow if all the lines were from the bus were short circuited. Qi < < |Vi|2Bii
  • 46.
    From J1: Off-Diagonal Elements: ∂Pi ∂δn =−|Yin||Vi||Vn| sin(θin + δn −δi) i = / n = −|Vi|Vn|Bin = −|Vi|Bin (Assuming |Vn| ≈ 1) Diagonal Elements ∂Pi ∂δi N Σ n=1 n= / i N in i n in n i = |Y ||V ||V | sin(θ + δ −δ ) Σ = |Y || in i n in n i V ||V | sin(θ + δ −δ ) −|V i 2 ii | |Y | sin(θii ) n=1 = −Qi −|Vi |2Bii = −|Vi |2Bii (Since Qi < < |Vi |2Bii ) = −|Vi |Bii (Assuming |Vi |2 ≈ |Vi |)
  • 47.
    From J4: Off-Diagonal Elements: ∂|Vn| ini in n i ∂Qi = −|Y ||V | sin(θ + δ −δ ) i = / n = −|Vi|Bin Diagonal Elements: ∂Qi ∂|Vi| = −2|V || i ii N Σ n=1 n= / i ii in n Y | sin(θ ) − |Y ||V | sin(θ + δ in n i —δ ) N Σ = −|V ||Y | sin(θ ) − |Y || i ii ii in n in n i V | sin(θ + δ −δ ) n=1 = −|Vi |Bii + Qi = −|Vi |Bii (Since Qi < < |Vi |2Bii )
  • 48.
    Therefore, |V| ∆P = −BJ∆ δ ∆Q =−BJJ∆ |V| |V| 1. BJ and BJJ are the imaginary part of the bus admittance matrix (YBus ). 2. The size of BJ is (n −1) × (n −1) and the size of BJJ is (n −m −1) × (n −m −1). 3. Since they are constant, they need to be triangulaized (inverted) once. ∆P ∆ δ = −[BJ]−1 |V| ∆Q ∆ |V| = −[BJJ]−1 |V |
  • 49.
    1. N-R methodis accurate and takes less iterations but requires a lot of calculations per iteration (more time). 2. FDLF takes more iterations but less calculations per iteration (less time). 3. FDLF solves load flow very rapidly. 4. FDLF is used where accuracy is not important.
  • 50.
    Line Flows, Lossesand Slack Bus Power: Once the bus voltages are found numerically, the next step is to find line flows and losses. Iij Il yij Iji Vi Vj Ii 0 yi0 Ij0 yj0 Iij = Il + Ii0 = yij (Vi −Vj ) + yi0Vi Iji = −Iij = yij (Vj −Vi ) + yj 0Vj
  • 51.
    The complex powerSij and Sji are P1 − Q1 = V ∗ 1 Sij = Vi Ii ∗ j Sji = Vj Ij ∗ i The power loss in the line i −j is SL,ij = Sij + Sji The slack bus power can be computed as follows: N Σ Y V 1n n n=1 The Slack bus does the following. Σ G1 Gi P = −( P − i∀ Gen i= / Slack Σ i∀ load di L P −P ) G1 Q = −( Σ i∀ Gen i= / Slack Gi Q − Σ i∀ load di L Q −Q )
  • 52.
    Example : Forthe system shown in the figure, SD1 and SD2 are complex power demands at bus 1 and bus 2 respectively. If |V2| = 1 p.u., compute the rating of capacitor (QG2) connected at bus 2 in p.u. V1 = 1∠0◦ X = 0.5 p.u. 1 2 SD1 = (1 + 0) p.u. SD2 = (1 + 0) p.u. QG2 1. Form Ybus matrix. bus Y = 1 0.5 − 1 0.5 − 0.5 1 1 0.5 = 2 −90◦ 2 90◦ 2 90◦ 2 −90◦
  • 53.
    2. Since O 2is a voltage controlled (PV) bus, P2,sch = PG2 −PD2 = 0 −1 = −1 The net real power injected into the network at O 2. P2 = Y21||V2||V1|cos(θ21 + δ1 −δ2) + Y22||V2|2 cos(θ22) δ2 can be found directly instead of N-R method for this equation. At O 2 , P2,sch = P2 On substitution, 2cos(90◦ −δ2) = −1 2sinδ2 = −1 δ2 = −30◦
  • 54.
    3. QG2 isfound as follows: Q2,sch = QG2 −QD2 = QG2 The net reactive power injected into the network at O 2. Q2 = −Y21||V2||V1| sin(θ21 + δ1−δ2) −Y22||V2|2 sin(θ22) On substitution, Q2 = −2sin(120◦) + 2 = 0.2679 At O 2 , Q2,sch = Q2 Therefore, QG2 = 0.2679 p.u.