Embed presentation
Download as PDF, PPTX
































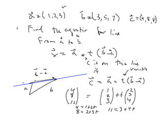
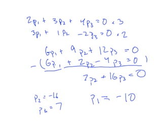
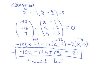
The document discusses lines and planes in mathematics. It provides multiple ways to specify a line, including using two points, a point and slope, or a slope and y-intercept. Lines can also be described using vectors, with a line being the set of points a + tv, where a is a point on the line, v is a direction vector, and t is a real number. Planes are similarly defined as the set of points where the dot product of a normal vector p and the offset (x - a) is 0, where a is a point on the plane. An example shows how to check if three points lie on the same line by finding the line equation and checking if a third point satisfies it.






























