Embed presentation
Download as PDF, PPTX














































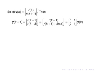
This document discusses solving second-order difference equations by treating them as systems of first-order equations. It provides the example of the Fibonacci sequence, defined by f(k+2)=f(k)+f(k+1), and shows how to set it up as the system y(k+1)=Ay(k) where y(k)=[f(k) g(k)]^T. The eigenvalues and eigenvectors of the matrix A are found, allowing the solution to be written as a combination of terms involving the eigenvalues. The constants are then determined using the initial conditions to obtain the final solution for f(k).












































