Embed presentation
Downloaded 73 times

































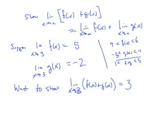
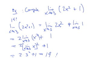
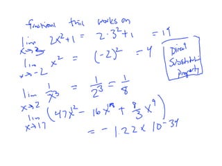
This document discusses limit laws and theorems for computing limits. It provides 10 limit laws for operations like addition, subtraction, multiplication, division, powers, and roots. It also presents theorems for direct substitution, limits of functions that are equal near a point, and using algebraic manipulations to find limits. The squeeze/sandwich theorem is introduced for limits bounded above and below by functions that approach the same limit. Examples demonstrate applying these limit concepts.































