International Research Journal of Engineering and Technology (IRJET) e-ISSN: 2395-0056
Volume: 07 Issue: 02 | Feb 2020 www.irjet.net p-ISSN: 2395-0072
TEXT SUMMARIZER
Prof. Martina D’Souza, Aditya Gadekar
1
, Atharva Mhatre
2
, Rushabh Sarvaiya
3
1,2,3
Student, Dept. of Information Technology, Xaviers Institute of Engineering, Mumbai, Maharashtra, India
---------------------------------------------------------------------***----------------------------------------------------------------------
ABSTRACT:- Right now huge data is accessible on the Internet, it is generally imperative to give the improved system to
remove the data rapidly and most proficiently. It is extremely hard for individuals to physically extricate the synopsis of a
huge archives of content. There are a lot of content material accessible on the Internet. So there is an issue of scanning for
significant records from the quantity of reports accessible, and engrossing applicable data from it. In request to take care
of the over two issues, the Automatic Text Summarization is particularly necessary. Text Summarization is the way toward
distinguishing the most significant important data in an archive or set of related records and packing them into a shorter
form protecting its general implications. Before heading off to the Text Summarization, first we, need to realize that what
an Summary is. A Summary is a book that is delivered from at least one messages, that passes on significant data in the
first content, and it is of a shorter structure. The objective of Automatic Text Summarization is exhibiting the source
content into a shorter adaptation with semantics. The most significant bit of leeway of utilizing a Summary is, it lessens the
understanding time. Content Summarization techniques can be characterized into extractive and abstractive synopsis. An
extractive Summary technique comprises of choosing significant sentences, sections and so on from the first report and
connecting them into shorter structure. An Abstractive outline is a comprehension of the primary ideas in a record and
afterward express those ideas in clear regular language
Keywords:- Text, Summarizer, TextRank, Website, Computer Science, Machine Learning, CSS, HTML.
1. INTRODUCTION
Today we realize that machines have gotten more astute than us and can assist us with each part of life, the innovations
have come to a degree where they can do all the assignments of individuals like family unit errands, controlling home
gadgets, making arrangements and so on. The field which causes these things to happen is Machine Learning. AI train the
machines with certain information which makes it fit for acting when tried by the comparative kind of information. The
machines have gotten fit for understanding human dialects utilizing Natural Language Processing. Today examines are
being done in the field of text investigation. As the task title proposes, Text Summarizer is an online application which
helps in abridging the text. We can transfer our information and this application gives us the synopsis of that information
in the same number of quantities of lines as we need. The item is for the most part a text abridging utilizing Deep Learning
ideas. The principle design is to give solid rundowns of site pages or transferred documents relies upon the client's
decision.
2. REVIEW OF LITERATURE
There are various steps and aspects that are needed to be taken into consideration while doing text summarization.
Sentence Ordering: There are several sentences in a paragraph which need to be put in proper Order. The sentences with
more importance and the sentence with comparatively less importance need to be arranged appropriately. So it takes
several sentences which have been deemed important by the extractive summarizer and these sentences are presented in
logical order. [1] In order to do this it is very important to identify key words in a paragraph which is done using Text
Rank Algorithm. TextRank is a calculation dependent on PageRank, which regularly utilized in catchphrase extraction and
content synopsis. Right now, will assist you with seeing how TextRank functions with a catchphrase extraction model and
show the usage by Python [3].
Sentence revision: Sentence revision was verifiably the principal language age task endeavored with regards to outline.
Sentence revision includes re-utilizing content gathered from the contribution to the summarizer, however parts of the
last outline are consequently changed by subbing a few articulations with other increasingly suitable articulations, given
the setting of the new synopsis. Kinds of revisions proposed by early analysts incorporate disposal of pointless pieces of
the sentences, mix of data initially communicated in various sentences and substitution of a pronoun with a progressively
expressive thing phrase where the setting of the outline requires this. Given that usage of these revision activities can be
very mind boggling, analysts in the field in the long run. [1]
Sentence Compression and Multi Level fusion: Automatic sentence compression and MSF are an ongoing expansion to
inquire about in automatic summarization. Truth be told, they can be considered both as a sort of rundown and as an
integral assignment to remove summarization. Automatic sentence compression comprises of disposing of the
© 2020, IRJET | Impact Factor value: 7.34 | ISO 9001:2008 Certified Journal | Page 2295
International Research Journal of Engineering and Technology (IRJET) e-ISSN: 2395-0056
Volume: 07 Issue: 02 | Feb 2020 www.irjet.net p-ISSN: 2395-0072
unnecessary components in a sentence. The procedure additionally includes sentence combination. changing language
structure and choosing sentences. Sentence compression can, in any case, be considered as one kind of nonexclusive
rundown, which contains an improved variant of each sentence. MSF comprises of producing a sentence from the
combination of a gathering of k related sentences. In this manner, the fundamental target is to lessen excess, while keeping
up the basic data contained in a gathering of sentences.
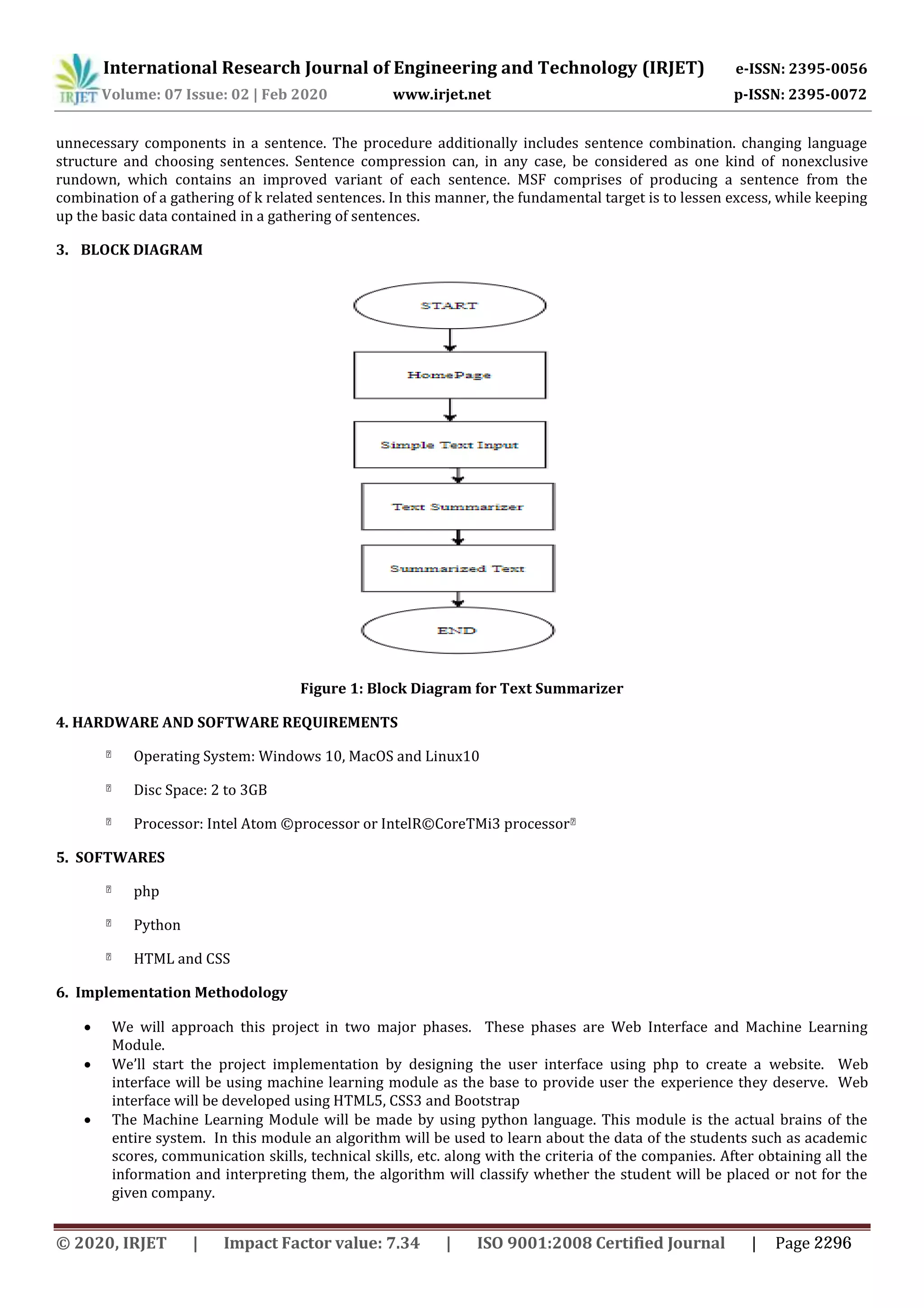
3. BLOCK DIAGRAM
Figure 1: Block Diagram for Text Summarizer
4. HARDWARE AND SOFTWARE REQUIREMENTS
Operating System: Windows 10, MacOS and Linux10
Disc Space: 2 to 3GB
Processor: Intel Atom ©processor or IntelR©CoreTMi3 processor
5. SOFTWARES
php
Python
HTML and CSS
6. Implementation Methodology
 We will approach this project in two major phases. These phases are Web Interface and Machine Learning
Module.
 We’ll start the project implementation by designing the user interface using php to create a website. Web
interface will be using machine learning module as the base to provide user the experience they deserve. Web
interface will be developed using HTML5, CSS3 and Bootstrap
 The Machine Learning Module will be made by using python language. This module is the actual brains of the
entire system. In this module an algorithm will be used to learn about the data of the students such as academic
scores, communication skills, technical skills, etc. along with the criteria of the companies. After obtaining all the
information and interpreting them, the algorithm will classify whether the student will be placed or not for the
given company.
© 2020, IRJET | Impact Factor value: 7.34 | ISO 9001:2008 Certified Journal | Page 2296
International Research Journal of Engineering and Technology (IRJET) e-ISSN: 2395-0056
Volume: 07 Issue: 02 | Feb 2020 www.irjet.net p-ISSN: 2395-0072
7. RESULTS AND CONCLUSION
The framework has built up a programmed text summarization framework utilizing characteristic language handling
system for example semantic anchoring in blend with highlight extraction utilizing fluffy rationale and treatment of
relationship of sentences. It has utilized a dataset of 250 little estimated reports and 250 medium-sized records in space of
sports and specialized from BBC news corpus for testing the exhibition of the executed summarizer. TextRank utilizes the
instinct behind the PageRank calculation to rank sentences TextRank is an unaided strategy for figuring the extractive
rundown of a text. No preparation is essential. Given that it's language autonomous, can be utilized on any language, not
just English. Right now, utilized as the comparability measure, the cosine likeness. We convert sentences to vectors to
register this similarity.
Figure 2: User Interface
Figure 3: Input Text
Figure 4: Summarized Output
Hence this is how we get the Summarized output for the Input Text.
8. REFERENCES
[1] A. Nenkova and K. McKeown, Automatic Summarization, Foundation and Trends R in Information Retrieval, vol 5, nos
2–3, pp 103–233, 2011.
[2] Juan-Manuel Torres-Moreno, Automatic Text Summarization, John Wiley & Sons, page 38.
[3] https://towardsdatascience.com/textrank-for-keyword-extraction-by-python-c0bae21bcec0 accessed on 28th
November 2018 at 7:30 PM.
[4] https://www.link-assistant.com/news/google-page-rank-2019.html accessed on 11th January 2019 at 9:20 PM.
© 2020, IRJET | Impact Factor value: 7.34 | ISO 9001:2008 Certified Journal | Page 2297

IRJET - Text Summarizer.

  • 1.
    International Research Journalof Engineering and Technology (IRJET) e-ISSN: 2395-0056 Volume: 07 Issue: 02 | Feb 2020 www.irjet.net p-ISSN: 2395-0072 TEXT SUMMARIZER Prof. Martina D’Souza, Aditya Gadekar 1 , Atharva Mhatre 2 , Rushabh Sarvaiya 3 1,2,3 Student, Dept. of Information Technology, Xaviers Institute of Engineering, Mumbai, Maharashtra, India ---------------------------------------------------------------------***---------------------------------------------------------------------- ABSTRACT:- Right now huge data is accessible on the Internet, it is generally imperative to give the improved system to remove the data rapidly and most proficiently. It is extremely hard for individuals to physically extricate the synopsis of a huge archives of content. There are a lot of content material accessible on the Internet. So there is an issue of scanning for significant records from the quantity of reports accessible, and engrossing applicable data from it. In request to take care of the over two issues, the Automatic Text Summarization is particularly necessary. Text Summarization is the way toward distinguishing the most significant important data in an archive or set of related records and packing them into a shorter form protecting its general implications. Before heading off to the Text Summarization, first we, need to realize that what an Summary is. A Summary is a book that is delivered from at least one messages, that passes on significant data in the first content, and it is of a shorter structure. The objective of Automatic Text Summarization is exhibiting the source content into a shorter adaptation with semantics. The most significant bit of leeway of utilizing a Summary is, it lessens the understanding time. Content Summarization techniques can be characterized into extractive and abstractive synopsis. An extractive Summary technique comprises of choosing significant sentences, sections and so on from the first report and connecting them into shorter structure. An Abstractive outline is a comprehension of the primary ideas in a record and afterward express those ideas in clear regular language Keywords:- Text, Summarizer, TextRank, Website, Computer Science, Machine Learning, CSS, HTML. 1. INTRODUCTION Today we realize that machines have gotten more astute than us and can assist us with each part of life, the innovations have come to a degree where they can do all the assignments of individuals like family unit errands, controlling home gadgets, making arrangements and so on. The field which causes these things to happen is Machine Learning. AI train the machines with certain information which makes it fit for acting when tried by the comparative kind of information. The machines have gotten fit for understanding human dialects utilizing Natural Language Processing. Today examines are being done in the field of text investigation. As the task title proposes, Text Summarizer is an online application which helps in abridging the text. We can transfer our information and this application gives us the synopsis of that information in the same number of quantities of lines as we need. The item is for the most part a text abridging utilizing Deep Learning ideas. The principle design is to give solid rundowns of site pages or transferred documents relies upon the client's decision. 2. REVIEW OF LITERATURE There are various steps and aspects that are needed to be taken into consideration while doing text summarization. Sentence Ordering: There are several sentences in a paragraph which need to be put in proper Order. The sentences with more importance and the sentence with comparatively less importance need to be arranged appropriately. So it takes several sentences which have been deemed important by the extractive summarizer and these sentences are presented in logical order. [1] In order to do this it is very important to identify key words in a paragraph which is done using Text Rank Algorithm. TextRank is a calculation dependent on PageRank, which regularly utilized in catchphrase extraction and content synopsis. Right now, will assist you with seeing how TextRank functions with a catchphrase extraction model and show the usage by Python [3]. Sentence revision: Sentence revision was verifiably the principal language age task endeavored with regards to outline. Sentence revision includes re-utilizing content gathered from the contribution to the summarizer, however parts of the last outline are consequently changed by subbing a few articulations with other increasingly suitable articulations, given the setting of the new synopsis. Kinds of revisions proposed by early analysts incorporate disposal of pointless pieces of the sentences, mix of data initially communicated in various sentences and substitution of a pronoun with a progressively expressive thing phrase where the setting of the outline requires this. Given that usage of these revision activities can be very mind boggling, analysts in the field in the long run. [1] Sentence Compression and Multi Level fusion: Automatic sentence compression and MSF are an ongoing expansion to inquire about in automatic summarization. Truth be told, they can be considered both as a sort of rundown and as an integral assignment to remove summarization. Automatic sentence compression comprises of disposing of the © 2020, IRJET | Impact Factor value: 7.34 | ISO 9001:2008 Certified Journal | Page 2295
  • 2.
    International Research Journalof Engineering and Technology (IRJET) e-ISSN: 2395-0056 Volume: 07 Issue: 02 | Feb 2020 www.irjet.net p-ISSN: 2395-0072 unnecessary components in a sentence. The procedure additionally includes sentence combination. changing language structure and choosing sentences. Sentence compression can, in any case, be considered as one kind of nonexclusive rundown, which contains an improved variant of each sentence. MSF comprises of producing a sentence from the combination of a gathering of k related sentences. In this manner, the fundamental target is to lessen excess, while keeping up the basic data contained in a gathering of sentences. 3. BLOCK DIAGRAM Figure 1: Block Diagram for Text Summarizer 4. HARDWARE AND SOFTWARE REQUIREMENTS Operating System: Windows 10, MacOS and Linux10 Disc Space: 2 to 3GB Processor: Intel Atom ©processor or IntelR©CoreTMi3 processor 5. SOFTWARES php Python HTML and CSS 6. Implementation Methodology  We will approach this project in two major phases. These phases are Web Interface and Machine Learning Module.  We’ll start the project implementation by designing the user interface using php to create a website. Web interface will be using machine learning module as the base to provide user the experience they deserve. Web interface will be developed using HTML5, CSS3 and Bootstrap  The Machine Learning Module will be made by using python language. This module is the actual brains of the entire system. In this module an algorithm will be used to learn about the data of the students such as academic scores, communication skills, technical skills, etc. along with the criteria of the companies. After obtaining all the information and interpreting them, the algorithm will classify whether the student will be placed or not for the given company. © 2020, IRJET | Impact Factor value: 7.34 | ISO 9001:2008 Certified Journal | Page 2296
  • 3.
    International Research Journalof Engineering and Technology (IRJET) e-ISSN: 2395-0056 Volume: 07 Issue: 02 | Feb 2020 www.irjet.net p-ISSN: 2395-0072 7. RESULTS AND CONCLUSION The framework has built up a programmed text summarization framework utilizing characteristic language handling system for example semantic anchoring in blend with highlight extraction utilizing fluffy rationale and treatment of relationship of sentences. It has utilized a dataset of 250 little estimated reports and 250 medium-sized records in space of sports and specialized from BBC news corpus for testing the exhibition of the executed summarizer. TextRank utilizes the instinct behind the PageRank calculation to rank sentences TextRank is an unaided strategy for figuring the extractive rundown of a text. No preparation is essential. Given that it's language autonomous, can be utilized on any language, not just English. Right now, utilized as the comparability measure, the cosine likeness. We convert sentences to vectors to register this similarity. Figure 2: User Interface Figure 3: Input Text Figure 4: Summarized Output Hence this is how we get the Summarized output for the Input Text. 8. REFERENCES [1] A. Nenkova and K. McKeown, Automatic Summarization, Foundation and Trends R in Information Retrieval, vol 5, nos 2–3, pp 103–233, 2011. [2] Juan-Manuel Torres-Moreno, Automatic Text Summarization, John Wiley & Sons, page 38. [3] https://towardsdatascience.com/textrank-for-keyword-extraction-by-python-c0bae21bcec0 accessed on 28th November 2018 at 7:30 PM. [4] https://www.link-assistant.com/news/google-page-rank-2019.html accessed on 11th January 2019 at 9:20 PM. © 2020, IRJET | Impact Factor value: 7.34 | ISO 9001:2008 Certified Journal | Page 2297