A
INTER, ,CTIOW
   DESIGN   I




beyond human-computer interaction
Color Plate 1

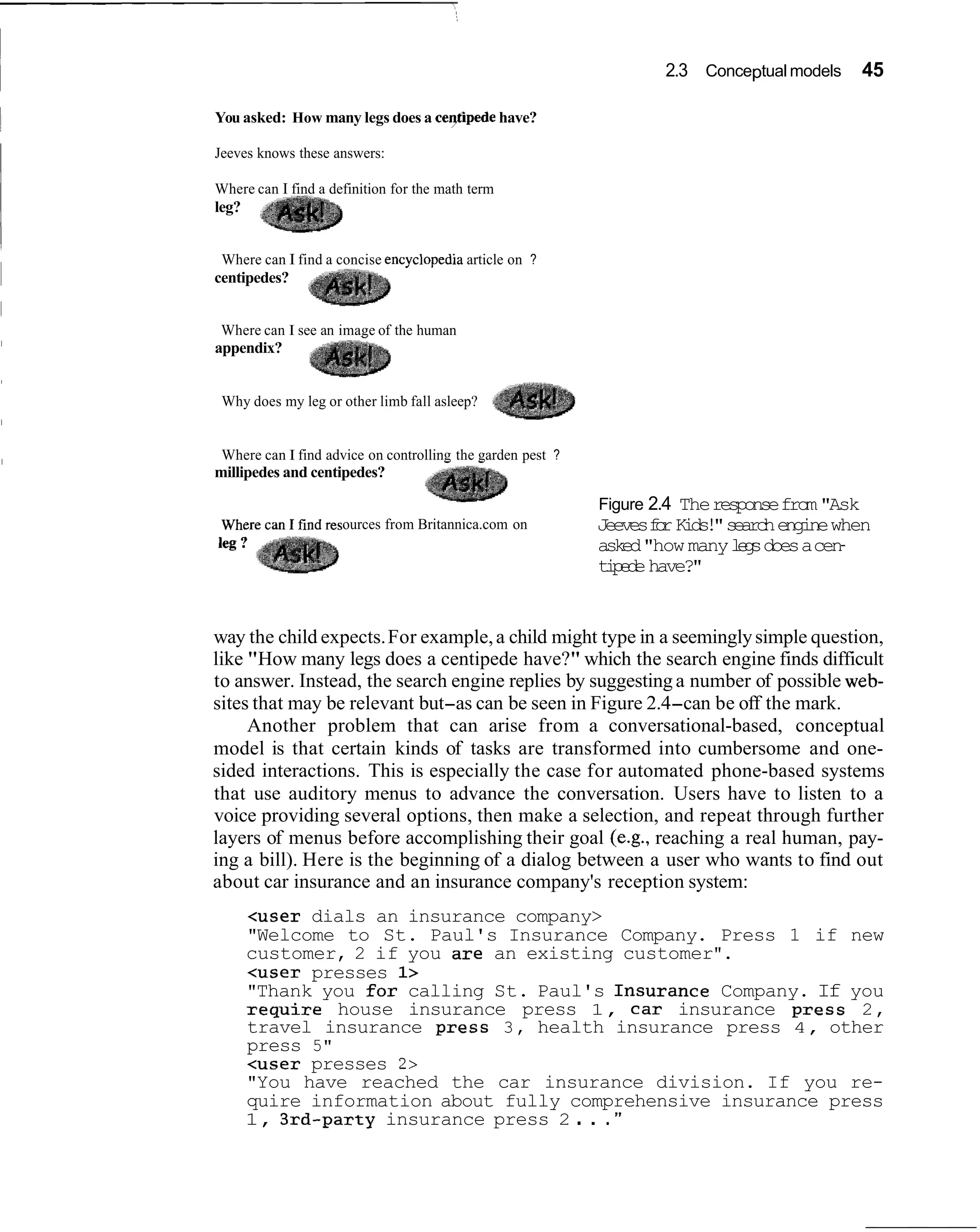
Figure 1.2 Novel forms of interactive products embedded with computational power (clockwise from top left):




(i) Electrolux screen-
fridge that provides a
range of functionality, in-
cluding food manage-
ment where recipes are
displayed, based on the
food stored in the fridge.




                                                                          [IV)Barney, an interactive cuddly
                                                                          toy that makes learning enjoyable.



                              (iii) 'geek chic', a Levi jacket equipped
                              with a fully integrated computer network
                              (body area network), enabling the wearer
                              to be fully connected to the web.




                                            ENTER
Figure 1.1 1 2D and 3D buttons. Which are easier to distin-
guish between?
Color Plate 2

                Figure 2.1 An example of augmented reality. Virtual and
                physical worlds have been combined so that a digital image of
                the brain is superimposed on the person's head, providing a
                new form of medical visualization.




                           Figure 2.14 The i-room project at Stanford: a graphical
                           rendering of the Interactive Room Terry Winograd's
                           group is researching, which is an innovative technology-
                           rich prototype workspace, integrating a variety of dis-
                           plays and devices. An overarching aim is to explore new
                           possibilities for people to work together (see
                           http://graphics.stanford.EDU/projects/iwork/).




                                     -
                  .    -
                 I..         ,   .
Color Plate 3

Figure 2.6 Recent direct-manipulation virtual environments

                                                   (a) Virtue (Daniel Reid, 1999, www-pablo.cs.uiuc.edulPro-
                                                   jectNRNirtue) enables software developers to directly ma-
                                                   nipulate software components and their behavior.




(b), (c) Crayoland (Dave Pape, www.ncsa.uiuc.eduNis/) is an interactive virtual environment where the child
in the image on the right uses a joystick to navigate through the space. The child is interacting with an avatar in
the flower world.
Color Plate 4




Figure 3.7 Dynalinking used in the PondWorld software. In the background is a simulation
of a pond ecosystem, comprising perch, stickleback, beetles, tadpoles, and weeds. In the
foreground is a food web diagram representing the same ecosystem but at a more abstract
level. The two are dynalinked: changes made to one representation are reflected in the
other. Here the user has clicked on the arrow between the tadpole and the weed rep-
resented in the diagram. This is shown in the PondWorld simulation as the tadpole eating
the weed. The dynalinking is accompanied by a narrative explaining what is happening and
sounds of dying organisms.




Figure 3.9 A see-through
handset-transparency does not
mean simply showing the insides of
a machine but involves providing a
good system image.
Color Plate 5




Figure 4.1 'l'he rooftop gar-
den in BowieWorld, a collab-
orative virtual environment
(CVE) supported by
Worlds.com. The User takes
part by "dressing up" as an
avatar. There are hundreds of
avatars to choose from, in-
cluding penguins and real
people. Once avatars have
entered a world, they can ex-
plore it and chat with other
avatars.
Color Plate 6




Figure 5.3 Examples of aesthetically pleasing interactive products: iMac, Nokia cell phone
and IDEO's digital radio for the BBC.




1
                                           Figure 5.9 Virtual screen characters:




(a) Aibo, the interactive dog.
Color Plate 7




Figure 5.1 1
I-lerman the bug
watches as a stu-
dent chooses
roots for a plant
in a n Alpinc
meadow.




                    Figure 5.1 2 The
                    Woggles inter-
                    face, with icons
                    and slider bars
                    repl-escnting
                    emotions. specch
                    and actions.
Color Plate 8




                                   Figure 7.3(b) The KordGrip being used underwater




Figure 5.13 Rea the real estate
agent welcoming the user to look
at a condo.




                                                                     Figure 15.8 The first foam mod-
                                                                     els of a mobile communicator for
                                                                     children.
INTERACTION'
   DESIGN
beyond human-computer interaction




          John Wiley & Sons, Inc.
ACQUISITIONS EDITOR                           Gaynor Redvers-MuttonlPaulCrockett
MARKETING MANAGER                             Katherine Hepburn
SENIOR PRODUCTION EDITOR                      Ken Santor
COVER DESIGNER                                Madelyn Lesure
ILLUSTRATION EDITOR                           Anna Melhorn
ILLUSTRATIONS                                 Tech-Graphics, Inc.
COVER IMAGE                                   "Thoughts in Passage 11" by Michael Jon March.
                                              Courtesy of Grand Image Publishing

This book was set in 10112 Times Ten by UG I GGS Information Services, Inc., and printed
and bound by R. R. DonnelleylCrawfordsville.The cover and the color insert were printed
by Phoenix Color Corporation.

This book is printed on acid free paper. m

Copyright O 2002 John Wiley & Sons, Inc. All rights reserved.

No part of this publication may be reproduced, stored in a retrieval system or transmitted in any
form or by any means, electronic, mechanical, photocopying, recording, scanning or otherwise,
except as permitted under Sections 107 or 108 of the 1976 United States Copyright Act, without
either the prior written permission of the Publisher, or authorization through payment of the
appropriate per-copy fee to the Copyright Clearance Center, 222 Rosewood Drive, Danvers, MA
01923, (508) 750-8400, fax (508) 750-4470. Requests to the Publisher for permission should be
addressed to the Permissions Department, John Wiley & Sons, Inc., 605 Third Avenue, New
York, NY 10158-0012, (212) 850-6011, fax (212) 850-6008, E-Mail:
PERMREQ@WILEY.COM.
To order books or for customer service please call 1(800)225-5945.




Library of Congress Cataloging in Publication Data.
Preece, Jennifer.
  Interaction design : beyond human- computer interaction1Jennifer Preece, Yvonne Rogers, Helen
Sharp.
    p. cm.
  Includes bibliographicalreferences and index.
  ISBN 0-471-49278-7 (paper : alk. paper)
  1. Human-computer interaction. I. Rogers, Yvonne. 11. Sharp, Helen. 111. Title.
QA76.9.H85 P72 2002
004'.01'94c21

Printed in the United States of America                                                   2001006730
Preface


      Welcome to Interaction Design: Beyond Human-Computer Interaction, and our in-
      teractive website at ID-Book.com
           This textbook is for undergraduate and masters students from a range of back-
      grounds studying classes in human-computer interaction, interaction design, web
      design, etc. A broad range of professionals and technology users will also find this
      book useful, and so will graduate students who are moving into this area from re-
      lated disciplines.
           Our book is called Interaction Design: Beyond Human-Computer Interaction
      because it is concerned with a broader scope of issues, topics, and paradigms than
      has traditionally been the scope of human-computer interaction (HCI). This reflects
      the exciting times we are living in, when there has never been a greater need for in-
      teraction designers and usability engineers to develop current and next-generation
      interactive technologies. To be successful they will need a mixed set of skills from
      psychology, human-computer interaction, web design, computer science, informa-
      tion systems, marketing, entertainment, and business.
           What exactly do we mean by interaction design? In essence, we define interac-
      tion design as:
          "designing interactive products to support people in their everyday and working lives".
           This entails creating user experiences that enhance and extend the way people
      work, communicate, and interact. Now that it is widely accepted that HCI has
      moved beyond designing computer systems for one user sitting in front of one ma-
      chine to embrace new paradigms, we, likewise, have covered a wider range of is-
      sues. These include ubiquitous computing and pervasive computing that make use
      of wireless and collaborative technologies. We also have tried to make the book
      up-to-date with many examples from contemporary research.
           The book has 15 chapters and includes discussion of how cognitive, social, and
      affective issues apply to interaction design. A central theme is that design and eval-
      uation are interleaving, highly iterative processes, with some roots in theory but
      which rely strongly on good practice to create usable products. The book has a
      'hands-on' orientation and explains how to carry out a variety of techniques. It also
      has a strong pedagogical design and includes many activities (with detailed com-
      ments), assignments, and the special pedagogic features discussed below.
          The style of writing is intended to be accessible to students, as well as profes-
      sionals and general readers, so it is conversational and includes anecdotes, car-
      toons, and case studies. Many of the examples are intended to relate to readers'
      own experiences. The book and the associated website encourage readers to be ac-
      tive when reading and to think about seminal issues. For example, one feature we
      have included in the book is the "dilemma," where a controversial topic is aired.
      The aim is for readers to understand that much of interaction design needs consid-
vi   Preface

               eration of the issues, and that they need to learn to weigh-up the pros and cons and
               be prepared to make trade-offs. We particularly want readers to realize that there
               is rarely a right or wrong answer although there are good designs and poor designs.
                    This book is accompanied by a website, which provides a variety of resources
               and interactivities, The website offers a place where readers can learn how to design
               websites and other kinds of multimedia interfaces. Rather than just provide a list of
               guidelines and design principles, we have developed various interactivities, includ-
               ing online tutorials and step-by-step exercises, intended to support learning by
               doing.


Special features
               We use both the textbook and the web to teach about interaction design. To pro-
               mote good pedagogical practice we include the following features:

               Chapter design
               Each chapter is designed to motivate and support learning:
                     Aims are provided so that readers develop an accurate model of what to ex-
                     pect in the chapter.
                     Key points at the end of the chapter summarize what is important.
                     Activities are included throughout the book and are considered an essential
                     ingredient for learning. They encourage readers to extend and apply their
                     knowledge. Comments are offered directly after the activities, because peda-
                     gogic research suggests that turning to the back of the text annoys readers
                     and discourages learning.
                     An assignment is provided at the end of each chapter. This can be set as a
                     group or individual project. The aim is for students to put into practice and
                     consolidate knowledge and skills either from the chapter that they have just
                     studied or from several chapters. Some of the assignments build on each
                     other and involve developing and evaluating designs or actual products.
                     Hints and guidance are provided on the website.
                     Boxes provide additional and highlighted information for readers to reflect
                     upon in more depth.
                     Dilemmas offer honest and thought-provoking coverage of controversial or
                     problematic issues.
                     Further reading suggestions are provided at the end of each chapter. These
                     refer to seminal work in the field, interesting additional material, or work
                     that has been heavily drawn upon in the text.
                     Interviews with nine practitioners and visionaries in the field enable readers
                     to gain a personal perspective of the interviewees' work, their philosophies,
                     their ideas about what is important, and their contributions to the field.
                     Cartoons are included to make the book enjoyable.
How to use this book   vii

             ID-Book.com website
             The aim of the website is to provide you with an opportunity to learn about inter-
             action design in ways that go "beyond the book." Additional in-depth material,
             hands-on interactivities, a student's corner and informal tutorials will be provided.
             Specific features planned include:
                   Hands-on interactivities, including designing a questionnaire, customizing a
                   set of heuristics, doing a usability analysis on 'real' data, and interactive tools
                   to support physical design.
                   Recent case studies.
                   Student's corner where you will be able to send in your designs, thoughts,
                   written articles which, if suitable, will be posted on the site at specified times
                   during the year.
                   Hints and guidance on the assignments outlined in the book.
                   Suggestions for additional material to be used in seminars, lab classes, and
                   lectures.
                   Key terms and concepts (with links to where to find out more about them).

Readership
             This book will be useful to a wide range of readers with different needs and
             aspirations.
                  Students from Computer Science, Software Engineering, Information Systems,
             Psychology, Sociology, and related disciplines studying courses in Interaction De-
             sign and Human-Computer Interaction will learn the knowledge, skills, and tech-
             niques for designing and evaluating state-of-the-art products, and websites, as well
             as traditional computer systems.
                  Web and Interaction Designers, and Usability Professionals will find plenty to
             satisfy their need for immediate answers to problems as well as for building skills to
             satisfy the demands of today's fast moving technical market.
                  Users, who want to understand why certain products can be used with ease
             while others are unpredictable and frustrating, will take pleasure in discovering
             that there is a discipline with practices that produce usable systems.
                  Researchers and developers who are interested in exploiting the potential of the
             web, wireless, and collaborative technologies will find that, as well as offering guid-
             ance, techniques, and much food for thought, a special effort has been made to in-
             clude examples of state-of-the-art systems.
                  In the next section we recommend various routes through the text for different
             kinds of readers.

How to use this book
             Interaction Design is not a linear design process but is essentially iterative and
             some readers and experienced instructors will want tb find their own way through
             the chapters. Others, and particularly those with less experience, may prefer to
viii   Preface

                 work through chapter by chapter. Readers will also have different needs. For ex-
                 ample, students in Psychology will come with different background knowledge and
                 needs from those in Computer Science. Similarly, professionals wanting to learn
                 the fundamentals in a one-week course have different needs. This book and the
                 website are designed for using in various ways. The following suggestions are pro-
                 vided to help you decide which way is best for you.

From beginning to end
                 There are fifteen chapters so students can study one chapter per week during a
                 fifteen-week semester course. Chapter 15 contains design and evaluation case studies.
                 Our intention is that these case studies help to draw together the contents of the
                 rest of the book by showing how design and evaluation are done in the real world.
                 However, some readers may prefer to dip into them along the way.

Getting a quick overview
                 For those who want to get a quick overview or just the essence of the book, we
                 suggest you read Chapters 1, 6, and 10. These chapters are recommended for
                 everyone.

Suggestions for computer science students
                 In addition to reading Chapters 1,6, and 10, Chapters 7 and 8 contain the material
                 that will feel most familiar to any students who have been introduced to software
                 development. These chapters cover the process of interaction design and the activi-
                 ties it involves, including establishing requirements, conceptual design, and physi-
                 cal design. The book itself does not include any coding exercises, but the website
                 will provide tools and widgets with which to interact.
                      For those following the ACM-IEEE Curriculum (2001)*, you will find that this
                 text and website cover most of this curriculum. The topics listed under each of the
                 following headings are discussed in the chapters shown:
                        HC1 Foundations of Human-Computer Interaction (Chapters 1-5, 14,
                        website).
                        HC2 Building a simple graphical user interface (Chapters 1,6,8,10 and the
                        website).
                        HC3 Human-Centered Software Evaluation (Chapters 1,10-15, website).
                        HC4 Human-Centered Software Design (Chapters 1,6-9,15).
                        HC5 Graphical User-Interface Design (Chapters 2 and 8 and the website.
                        Many relevant examples are discussed in Chapters 1-5 integrated with dis-
                        cussion of cognitive and social issues).

                 *ACM-IEEE Curriculum (2001) [computer.org/education/cc2001/] under development at the time of
                                                                            is
                 writing this book.
How to use this book   ix

                      HC6 Graphical User-Interface Programming (touched upon only in Chap-
                      ters 7-9 and on the website).
                      HC7 HCI Aspects of Multimedia Information Systems and the web (inte-
                      grated into the discussion of Chapters 1-5, and in examples throughout the
                      text, and on the website).
                      HC8 HCI Aspects of Group Collaboration and Communication Technology
                      (discussed in 1-5, particularly in Chapter 4. Chapters 6- discuss design and
                                                                               15
                      evaluation and some examples cover these systems, as does the website.)

Suggestions for information systems students
               Information systems students will benefit from reading the whole text, but instructors
               may want to find additional examples of their own to illustrate how issues apply to
               business applications. Some students may be tempted to skip Chapters 3- but we rec-
                                                                                       5
               ommend that they should read these chapters since they provide important founda-
               tional material. This book does not cover how to develop business cases or marketing.

Suggestions for psychology and cognitive science students
               Chapters 3-5 cover how theory and research findings have been applied to interac-
               tion design. They discuss the relevant issues and provide a wide range of studies
               and systems that have been informed by cognitive, social, and affective issues.
               Chapters 1 and 2 also cover important conceptual knowledge, necessary for having
               a good grounding in interaction design.

Practitioner and short course route
               Many people want the equivalent of a short intensive 2-5 day course. The best
               route for them is to read Chapters 1,6,10 and 11 and dip into the rest of the book
               for reference. For those who want practical skills, we recommend Chapter 8.

Plan your own path
               For people who do not want to follow the "beginning-to-end" approach or the sug-
               gestions above, there are many ways to use the text. Chapters 1,6,10 and 11 provide
               a good overview of the topic. Chapter 1 is an introduction to key issues in the disci-
               pline and Chapters 6 and 10 offer introductions to design and evaluation. Then go
               to Chapters 2- for user issues, then on to the other design chapters, 2-9, dipping
                              5
               into the evaluation chapters 10-14 and the case studies in 15. Another approach is to
               start with one or two of the evaluation chapters after first reading Chapters 1, 6, 10
               and 11, then move into the design section, drawing on Chapters 2- as necessary.
                                                                                   5

Web designer route
               Web designers who have a background in technology and want to learn how to de-
               sign usable and effective websites are advised to read Chapters 1, 7, 8, 13 and 14.
x   Preface

                These chapters cover key issues that are important when designing and evaluating
                the usability of websites. A worked assignment runs through these chapters.

Usability professionals' route
                Usability professionals who want to extend their knowledge of evaluation techniques
                and read about the social and psychological issues that underpin design of the web,
                wireless, and collaborative systems are advised to read Chapter 1 for an overview,
                then select from Chapters 10-14 on usability testing. Chapters 3,4, and 5 provide dis-
                cussion of seminal user issues (cognitive, social, and affective aspects). There is new
                material throughout the rest of the book, which will also be of interest for dipping
                into as needed. This group may also be particularly interested in Chapter 8 which, to-
                gether with material on the book website, provides practical design examples.


Acknowledgements
               Many people have helped to make this book a reality. We have benefited from the
               advice and support of our many professional colleagues across the world, our stu-
               dents, friends, and families and we thank you all. We also warmly thank the following
               people for reviewing the manuscript and making many helpful suggestions for im-
               provements: Liam Bannon, Sara Bly, Penny Collings, Paul Dourish, Jean Gasen,
               Peter Gregor, Stella Mills, Rory O'Connor, Scott Toolson, Terry Winograd, Richard
               Furuta, Robert J.K. Jacob, Blair Nonnecke, William Buxton, Carol Traynor, Blaise
               Liffich, Jan Scott, Sten Hendrickson, Ping Zhang, Lyndsay Marshall, Gary Perlman,
               Andrew Dillon, Michael Harrison, Mark Crenshaw, Laurie Dingers, David Carr,
               Steve Howard, David Squires, George Weir, Marilyn Tremaine, Bob Fields, Frances
               Slack, Ian Graham, Alan O'Callaghan, Sylvia Wilbur, and several anonymous re-
               viewers. We also thank Geraldine Fitzpatrick, Tim and Dirk from DSTC (Australia)
               for their feedback on Chapters 1 and 4, Mike Scaife, Harry Brignull, Matt Davies,
               the HCCS Masters students at Sussex University (2000-2001), Stephanie Wilson
               and the students from the School of Informatics at City University and Information
               Systems Department at UMBC for their comments.
                    We are particularly grateful to Sara Bly, Karen Holtzblatt, Jakob Nielsen, Abi-
               gail Sellen, Suzanne Robertson, Gitta Salomon, Ben Shneiderman, Gillian Cramp-
               ton Smith, and Terry Winograd for generously contributing in-depth interviews.
                    Lili Cheng and her colleagues allowed us to use the Hutchworld case study.
               Bill Killam provided the TRZS case study. Keith Cogdill supplied the MEDLZNE-
               plus case study. We thank Lili, Bill, and Keith for supplying the basic reports and
               commenting on various drafts. Jon Lazar and Dorine Andrews contributed mater-
               ial for the section on questionnaires, which we thank them for.
                    We are grateful to our Editors Paul Crockett and Gaynor Redvers-Mutton and
               the production team at Wiley: Maddy Lesure, Susannah Barr, Anna Melhorn,
               Gemma Quilter, and Ken Santor. Without their help and skill this book would not
               have been produced. Bill Zobrist and Simon Plumtree played a significant role in
               persuading us to work with Wiley and we thank them too.
About the authors   xi


I   About the authors

             The authors are all senior academics with a background in teaching, researching,
             and consulting in the UK, USA, Canada, Australia, and Europe. Having worked
             together on two other successful text books, they bring considerable experience in
             curriculum development, using a variety of media for distance learning as well as
             face-to-face teaching. They have considerable knowledge of creating learning texts
             and websites that motivate and support learning for a range of students.
                 All three authors are specialists in interaction design and human-computer in-
             teraction (HCI). In addition they bring skills from other discipline~.Yvonne
             Rogers is a cognitive scientist, Helen Sharp is a software engineer, and Jenny
             Preece works in information systems. Their complementary knowledge and skills
             enable them to cover the breadth of concepts in interaction design and HCI to pro-
             duce an interdisciplinary text and website. They have collaborated closely, sup-
             porting and commenting upon each other's work to produce a high degree of
             integration of ideas with one voice. They have shared everything from initial con-
             cepts, through writing, design and production.
Contents


Chapter 1   What is interaction design?          1
            1.I Introduction 1
            1.2   Good and poor design 2
                     1.2.1     What to design 4
            1.3   What is interaction design? 6
                     1.3.1     The makeup of interaction design 6
                     1.3.2     Working together as a multidisciplinary team 9
                     1.3.3 Interaction design in business 10
            1.4   What is involved in the process of interaction design? 12
            1.5   The goals of interaction design 13
                     1.5.1     Usability goals 1A
                     1.5.2     User experience goals 18
            1.6   More on usability: design and usability principles 20
                     1.6.1     Heuristics and usability principles 26
                  Interview with Gitta Salomon 3 1

Chapter 2   Understanding and concep~alizing
                                           interaction 35
            2.1   lntroduction 35
            2.2   Understanding the problem space 36
            2.3   Conceptual models 39
                     2.3.1     Conceptual models based on activities 41
                     2.3.2     Conceptual models based on objects 51
                     2.3.3     A case of mix and match? 54
            2.4   Interface metaphors 55
            2.5   Interaction paradigms 60
            2.6   From conceptual models to physical design 64
                  Interview with Terry Winograd 70

Chapter 3   Understanding users 73
            3.1   Introduction 73
            3.2   What is cognition? 74
            3.3   Applying knowledge from the physical world to the digital world 90
            3.4   Conceptual frameworks for cognition 92
                     3.4.1    Mental models 92
xiv Contents

                        3.4.2     Information processing 96
                        3.4.3     External cognition 98
               3.5    Informing design: from theory to practice     101

Chapter 4      Designing for collaboration and communica~ion 105
               4.1  Introduction 105
               4.2  Social mechanisms used in communication and collaboration 106
                       4.2.1     Conversational mechanisms 107
                       4.2.2     Designing collaborative technologies to support conversation
                                 110
                       4.2.3     Coordination mechanisms 118
                       4.2.4     Designing collaborative technologies to support coordination
                                 122
                       4.2.5     Awareness mechanisms 124
                       4.2.6     Designing collaborative technologies to support awareness 126
               4.3  Ethnographic studies of collaboration and communication 129
               4.4  Conceptual frameworks 130
                       4.4.1     The language/action framework 130
                       4.4.2     Distributed cognition 133
                    Interview with Abigail Sellen 138

Chapter 5      Understanding how interfaces affect users 141
               5.1 lntroduction 141
               5.2 What are affective aspects? 142
               5.3 Expressive interfaces 143
               5.4 User frustration 147
                      5.4.1     Dealing with user frustration 152
               5.5 A debate: the application of anthropomorphism to interaction design          153
               5.6 Virtual characters: agents 157
                      5.6.1     Kinds of agents 157
                      5.6.2     General design concerns 160

Chapter 6      The process of interaction design              165
               6.1    Introduction 165
               6.2    What is interaction design about? 166
                         6.2.1    Four basic activities of interaction design 1 68
                         6.2.2    Three key characteristics of the interaction design process   170
               6.3    Some practical issues 170
                         6.3.1    Who are the users? 171
Contents   xv

                            6.3.2     What do we mean by "needs"? 172
                            6.3.3     How do you generate alternative designs? 174
                            6.3.4     How do you choose among alternative designs? 179
                  6.4    Lifecycle models: showing how the activities are related I 82
                            6.4.1     A simple lifecycle model for interaction design 186
                            6.4.2     Lifecycle models in software engineering 187
                            6.4.3     Lifecycle models in HCI 192
                         Interview with Gillian Crampton Smith 198

    Chapter   7   Identifying needs and establishing requirements 201
                  7.1  Introduction 201
                  7.2   What, how, and why? 202
                          7.2.1     What are we trying to achieve in this design activity? 202
                          7.2.2     How can we achieve this? 202
                          7.2.3     Why bother? The importance of getting it right 203
                          7.2.4     Why establish requirements? 204
                  7.3   What are requirements? 204
                          7.3.1     Different kinds of requirements 205
                  7.4  Data gathering 210
                          7.4.1     Data-gathering techniques 21 1
                          7.4.2     Choosing between techniques 215
                          7.4.3     Some basic datmgathering guidelines 216
                  7.5  Data interpretation and analysis 219
                  7.6  Task description 222
                          7.6.1     Scenarios 223
                          7.6.2     Use cases 226
                          7.6.3     Essential use cases 229
                  7.7  Task analysis 231
                          7.7.1     Hierarchical Task Analysis (HTA) 231
                       Interview with Suzanne Robertson 236

1   Chapter 8     Design, prototyping and construction 239
                  8.1  lntroduction 239
                  8.2  Prototyping and construction 240
                          8.2.1    What is a prototype? 240
                          8.2.2    Why prototype? 241
                          8.2.3    Low-fidelity prototyping 243
                          8.2.4    High-fidelity prototyping 245
                          8.2.5    Compromises in prototyping 246
xvi   Contents

                            8.2.6     Construction: from design to implementation 248
                 8.3      Conceptual design: moving from requirements to first design 249
                            8.3.1     Three perspectives for developing a conceptual model 250
                            8.3.2     Expanding the conceptual model 257
                            8.3.3     Using scenarios in conceptual design 259
                            8.3.4     Using prototypes in conceptual design 262
                 8.4      Physical design: getting concrete 264
                            8.4.1     Guidelines for physical design 266
                            8.4.2     Different kinds of widget 268
                 8.5      Tool support 275

Chapter 9        User-centered approaches to interaction design 279
                 9.1      Introduction 279
                 9.2      Why is it important to involve users at all? 280
                             9.2.1     Degrees of involvement 281
                 9.3      What i s a user-centered approach? 285
                 9.4      Understanding users' work: applying ethnography in design   288
                             9.4.1     Coherence 293
                             9.4.2     Contextual Design 295
                 9.5       involving users in design: Participatory Design 306
                             9.5.1      PICTIVE 307
                             9.5.2      CARD 309
                          Interview with Karen Holtzblatt 313

Chapter 1 0      Introducing evaluation 317
                 10.1 Introduction 317
                 10.2     What, why, and when to evaluate 318
                            10.2.1 What t evaluate 318
                                           o
                            10.2.2 Why you need to evaluate 319
                            10.2.3 When to evaluate 323
                 10.3     Hutchworld case study 324
                             10.3.1 How the team got started: early design ideas   324
                            10.3.2 How was the testing done? 327
                            10.3.3 Was it tested again? 333
                            10.3.4 Looking to the future 334
                 10.4     Discussion 336

Chapter 1 1      An evaluation framework 339
                 1 1 .1   Introduction   339
Contents xvii

             11.2   Evaluation paradigms and techniques 340
                       11.2.1 Evaluation paradigms 341
                       11.2.2 Techniques 345
             11.3   D E C I D E: A framework to guide evaluation 348
                       11.3.1 Determine the goals 348
                       11.3.2 Explore the questions 349
                       11.3.3 Choose the evaluation paradigm and techniques     349
                       11.3.4 identify the practical issues 350
                       1 1.3.5 Decide how to deal with the ethical issues 351
                       11.3.6 Evaluate, interpret, and present the data 355
             11.4   pilot studies 356

Chapter 12   Observing users         359
             12.1 Introduction 359
             12.2 Goals, questions and paradigms 360
                      12.2.1 What and when to observe 361
                      12.2.2 Approaches to observation 363
             1 2.3 How to observe 364
                      12.3.1 In controlled environments 365
                      12.3.2 In the field 368
                      12.3.3 Participant observation and ethnography 370
             12.4 Data collection 373
                      12.4.1 Notes plus still camera 374
                      12.4.2 Audio recording plus still camera 374
                      12.4.3 Video 374
             12.5 Indirect observation: tracking users' activities 377
                      12.5.1 Diaries 377
                      12.5.2 Interaction logging 377
             12.6 Analyzing, interpreting and presenting data 379
                      12.6.1 Qualitative analysis to tell a story 380
                      1 2.6.2 Qualitative analysis for categorization 381
                      12.6.3 Quantitative data analysis 384
                      12.6.4 Feeding the findings back into design 384
                   Interview with Sara B 387
                                         b
Chapter 13   Asking users and experts 389
             13.1   introduction 389
             13.2   Aking users: interviews 390
                       13.2.1 Developing questions and planning an interview 390
xviii   Contents

                             13.2.2 Unstructured interviews 392
                             13.2.3 Structured interviews 394
                             13.2.4 Semi-structured interviews 394
                             13.2.5 Group interviews 396
                             13.2.6 Other sources of interview-like feedback    397
                             13.2.7 Data analysis and interpretation 398
                   13.3   Asking users: Questionnaires 398
                             13.3.1 Designing questionnaires 398
                             13.3.2 Question and response format 400
                             13.3.3 Administering questionnaires 404
                             13.3.4 Online questionnaires 405
                             13.3.5 Analyzing questionnaire data 407
                   13.4   Asking experts: Inspections 407
                             13.4.1 Heuristic evaluation 408
                             13.4.2 Doing heuristic evaluation 410
                             13.4.3 Heuristic evaluation of websites 412
                             13.4.4 Heuristics for other devices 419
                   13.5   Asking experts: walkthroughs 420
                             I 3.5.1 Cognitive walkthroughs 420
                             13.5.2 Pluralistic walkthroughs 423
                          Interview with Jakob Nielsen 426


Chapter 14         Testing and modeling users 429
                   14.1   Introduction 429
                   14.2   User testing 430
                             14.2.1 Testing MEDLINE~~us       432
                   14.3   Doing user testing 438
                             14.3.1 Determine the goals and explore the questions 439
                             14.3.2 Choose the paradigm and techniques 439
                             14.3.3 Identify the practical issues: Design typical tasks 439
                             14.3.4 Identify the practical issues: Select typical users 440
                             14.3.5 Identify the practical issues: Prepare the testing
                                      conditions 441
                             14.3.6 Identify the practical issues: Plan how to run the tests 442
                             14.3.7 Deal with ethical issues 443
                             14.3.8 Evaluate, analyze, and present the data 443
                   14.4   Experiments 443
                             14.4.1 Variables and conditions 444
                             14.4.2 Allocation of participants to conditions 445
Contents   xix

                            14.4.3 Other            issues 446
                            14.4.4 Data collection and analysis 446
                 1 4.5   Predictive models 448
                            14.5.1 The W M S model 449
                            14.5.2 The Keystroke level model 450
                            14.5.3 Benefits and limitations of W M S 453
                            14.5.4 Fitts' Law 454
                         Interview with Ben Shneiderman 457

Chapter 15      Design and evaluation in the real world: communicators
                and advisory systems 461
                15.1     Introduction 4 1
                                        6
                15.2     Key Issues 462
                15.3     Designing mobile communicators 463
                            15.3.1 Background 463
                            15.3.2 Nokia's approach to developing a communicator 464
                            15.3.3 Philip's approach to designing a communicator for children
                                     474
                15.4     Redesigning part of a large interactive phone-based response system 482
                            15.4.1 Background 483
                            15.4.2 The redesign 483

Reflections from the Authors 4 1
                              9

References 493

Credits   503

Index 509
I
    by Gary Perlman



                    As predicted by many visionaries, devices everywhere are getting "smarter." My
                    camera has a multi-modal hierarchical menu and form interface. Even my toaster
                    has a microprocessor. Computing is not just for computers anymore. So when the
                    authors wrote the subtitle "beyond human-computer interaction," they wanted to
                    convey that the book generalizes the human side to people, both individuals and
                    groups, and the computer side to desktop computers, handheld computers, phones,
                    cameras . . . maybe even toasters.
                        My own interest in this book is motivated by having been a software developer
                    for 20 years, during which time I was a professor and consultant for 12. Would the
                    book serve as a textbook for students? Would it help bring software development
                    practice into a new age of human-centered interaction design?


    A textbook for students . . .
                    More than anything, I think students need to be motivated, inspired, challenged,
                    and I think this book, particularly Chapters 1-5, will do that. Many students will
                    not have the motivating experience of seeing projects and products fail because of
                    a lack of attention, understanding, and zeal for the user, but as I read the opening
                    chapters, I imagined students thinking, "This is what I've been looking for!" The in-
                    terviews will provide students with the wisdom of well-chosen experts: what's im-
                    portant, what worked (or didn't), and why. I see students making career choices
                    based on this motivating material.
                         The rest of the book covers the art and some of the science of interaction de-
                    sign, the basic knowledge needed by practitioners and future innovators. Chapters
                    6-9 give a current view of analysis, design, and prototyping, and the book's website
                    should add motivating examples. Chapters 10-14 cover evaluation in enough depth
                    to facilitate understanding, not just rote application. Chapter 15 brings it all to-
                    gether, adding more depth. For each topic, there are ample pointers to further
                    reading, which is important because interaction design is not a one-book discipline.
                         Finally, the book itself is pedagogically well designed. Each chapter describes
                    its aims, contains examples and subtopics, and ends with key points, assignments,
                    and an annotated bibliography for more detail.


    A guide for development teams . . .
                    When I lead or consult on software projects, I face the same problem over and over:
                    many people in marketing and software development-these are the people who
                    have the most input into design, but it applies to any members of multidisciplinary
                    teams-have little knowledge or experience building systems with a user-centered
xxii   Foreword

                  focus. A user-centered focus requires close work with users (not just customer-buy-
                  ers), from analysis through design, evaluation, and maintenance. A lack of user-
                  centered focus results in products and services that often do not meet the needs of
                  their intended users. Don Norman's design books have convinced many that these
                  problems are not unique to software, so this book's focus on interaction design feels
                  right.
                       To help software teams adopt a user-centered focus, I've searched for books
                  with end-to-end coverage from analysis, to design, to implementation (possibly of
                  prototypes), to evaluation (with iteration). Some books have tried to please all au-
                  diences and have become encyclopedias of user interface development, covering
                  topics worth knowing, but not in enough detail for readers to understand them.
                  Some books have tried to cover theory in depth and tried to appeal to developers
                  who have little interest in theory. Whatever the reasons for these choices, the re-
                  sults have been lacking. This book has chosen fewer topics and covered them in
                  more depth; enough depth, I think, to put the ideas into practice. I think the mater-
                  ial is presented in a way that is understandable by a wide audience, which is impor-
                  tant in order for the book to be useful to whole multidisciplinary teams.

A recommended book . . .
                  I've been waiting for this book for many years. I think it's been worth the wait.
                       As the director of the HCI Bibliography project (www.hcibib.org), a free-ac-
                  cess HCI portal receiving a half-million hits per year, I receive many requests for
                  suggestions for books, particularly from students and software development man-
                  agers. To answer that question, I maintain a list of recommended readings in ten
                  categories (with 20,000 hits per year). Until now, it's been hard to recommend just
                  one book from that list. I point people to some books for motivation, other books
                  for process, and books for specific topics (e.g., task analysis, ergonomics, usability
                  testing). This book fits well into half the categories in my list and makes it easier to
                  recommend one book to get started and to have on hand for development.
                       I welcome the commitment of the authors to building a website for the book.
                  It's a practice that has been adopted by other books in the field to offer additional
                  information and keep the book current. The site also presents interactive content
                  to aid in tasks like conducting surveys and heuristic evaluations. I look forward to
                  seeing the book's site present new materials, but as director of www.hcibib.org, I
                  hope they use links to instead of re-inventing existing resources.
                                                                                          Gary Perlman
                                                                                               Columbus
                                                                                           October 2001
Foreword   xxiii

About Gary Perlman
             Gary Perlman is a consulting research scientist at the OCLC-Online Computer Li-
             brary Center (www.oclc.org) where he works on user interfaces for bibliographic
             and full-text retrieval. His research interests are in making information technology
             more useful and usable for people.
                  He has also held research and academic positions at Bell Labs in Murray Hill,
             New Jersey; Wang Institute of Graduate Studies; Massachusetts Institute of Tech-
             nology; Carnegie-Mellon University; and The Ohio State University. Dr. Perlman's
             Ph.D. is in experimental psychology from the University of California, San Diego.
             He is the author of over 75 publications in the areas of mathematics education, sta-
             tistical computing, hypertext, and user interface development. He has lectured and
             consulted internationally since 1980.
                  He is best known in the HCI community as the director of the HCI Bibliogra-
             phy (www.hcibib.org), a free-access online resource of over 20,000 records
             searched hundreds of thousands of times each year.
                  A native of Montreal, Canada, Gary now lives in Columbus, Ohio with his wife
             and two sons.
What is interaction design?
             1 .I Introduction
             1.2 Good and poor design
                   1.2.1 What to design
             1.3 What is interaction design?
                   1.3.1 The makeup of interaction design
                   1.3.2 Working together as a multidisciplinary team
                   1 3.3 Interaction design in business
             1.4 What is involved in the process of interaction design?
             1.5 The goals of interaction design
                   1.5.1Usability goals
                   1.5.2User experience goals
             1.6.More on usability: design and usability principles



1.1   Introduction
             How many interactive products are there in everyday use? Think for a minute
             about what you use in a typical day: cell phone, computer, personal organizer, re-
             mote control, soft drink machine, coffee machine, ATM, ticket machine, library in-
             formation system, the web, photocopier, watch, printer, stereo, calculator, video
             game.. . the list is endless. Now think for a minute about how usable they are.
             How many are actually easy, effortless, and enjoyable to use? All of them, several,
             or just one or two? This list is probably considerably shorter. Why is this so?
                  Think about when some device caused you considerable grief-how much time
             did you waste trying to get it to work? Two well-known interactive devices that
             cause numerous people immense grief are the photocopier that doesn't copy the
             way they want and the VCR that records a different program from the one they
             thought they had set or none at all. Why do you think these things happen time and
             time again? Moreover, can anything be done about it?
                  Many products that require users to interact with them to carry out their tasks
             (e.g., buying a ticket online from the web, photocopying an article, pre-recording a TV
             program) have not necessarily been designed with the users in mind. Typically, they
             have been engineered as systems to perform set functions. While they may work effec-
             tively from an engineering perspective, it is often at the expense of how the system will
             be used by real people. The aim of interaction design is to redress this concern by
2   Chapter 1   What is interaction design?

                 bringing usability into the design process. In essence, it is about developing interactive
                 products1 that are easy, effective, and enjoyable to use-    from the users' perspective.
                     In this chapter we begin by examining what interaction design is. We look at
                 the difference between good and poor design, highlighting how products can differ
                 radically in their usability. We then describe what and who is involved in interac-
                 tion design. In the last part of the chapter we outline core aspects of usability and
                 how these are used to assess interactive products. An assignment is presented at
                 the end of the chapter in which you have the opportunity to put into practice what
                 you have read, by evaluating an interactive product using various usability criteria.
                     The main aims of the chapter are to:
                        Explain the difference between good and poor interaction design.
                        Describe what interaction design is and how it relates to human-computer
                        interaction and other fields.
                        Explain what usability is.
                        Describe what is involved in the process of interaction design.
                        Outline the different forms of guidance used in interaction design.
                        Enable you to evaluate an interactive product and explain what is good and
                        bad about it in terms of the goals and principles of interaction design.

1.2 Good and poor design
                A central concern of interaction design is to develop interactive products that are
                usable. By this is generally meant easy to learn, effective to use, and provide an en-
                joyable user experience. A good place to start thinking about how to design usable
                interactive products is to compare examples of well and poorly designed ones.
                Through identifying the specific weaknesses and strengths of different interactive
                systems, we can begin to understand what it means for something to be usable or
                not. Here, we begin with an example of a poorly designed system-voice mail-
                that is used in many organizations (businesses, hotels, and universities). We then
                compare this with an answering machine that exemplifies good design.
                    Imagine the following scenario. You're staying at a hotel for a week while on a
                business trip. You discover you have left your cell (mobile) phone at home so you
                have to rely on the hotel's facilities. The hotel has a voice-mail system for each
                room. To find out if you have a message, you pick up the handset and listen to the
                tone. If it goes "beep beep beep" there is a message. To find out how to access the
                message you have to read a set of instructions next to the phone.
                    You read and follow the first step:
                "1. Touch 491".
                The system responds, "You have reached the Sunny Hotel voice message center.
                Please enter the room number for which you would like to leave a message."


                'We use the term interactive products generically to refer to all classes of interactive systems,
                technologies, environments, tools, applications,and devices.
1.2 Good and poor design         3

     You wait to hear how to listen to a recorded message. But there are no further
instructions from the phone. You look down at the instruction sheet again and
read:
"2. Touch*, your room number, and #". You do so and the system replies,
"You have reached the mailbox for room 106. To leave a message type in your
password."
You type in the room number again and the system replies, "Please enter room
number again and then your password."
     You don't know what your password is. You thought it was the same as your
room number. But clearly not. At this point you give up and call reception for help.
The person at the desk explains the correct procedure for recording and listening
to messages. This involves typing in, at the appropriate times, the room number
and the extension number of the phone (the latter is your password, which is differ-
ent from the room number). Moreover, it takes six steps to access a message and
five steps to leave a message. You go out and buy a new cell phone.
     What is problematic with this voice-mail system?
      It is infuriating.
      It is confusing.
      It is inefficient, requiring you to carry out a number of steps for basic tasks.
      It is difficult to use.
      It has no means of letting you know at a glance whether any messages have
      been left or how many there are. You have to pick up the handset to find out
      and then go through a series of steps to listen to them.
      It is not obvious what to do: the instructions are provided partially by the
      system and partially by a card beside the phone.
     Now consider the following phone answering machine. Figure 1.1 shows two
small sketches of an answering machine phone. Incoming messages are represented
using physical marbles. The number of marbles that have moved into the pinball-
like chute indicates the number of messages. Dropping one of these marbles into a
slot in the machine causes the recorded message to play. Dropping the same mar-
ble into another slot on the phone dials the caller who left the message.




                                                             Figure 1 .1 Two small
                                                             sketches showing answer-
                                                             ing phone.
4   Chapter 1   What is interaction design?

                     How does the "marble" answering machine differ from the voice-mail system?
                        It uses familiar physical objects that indicate visually at a glance how many
                        messages have been left.
                        It is aesthetically pleasing and enjoyable to use.
                        It only requires one-step actions to perform core tasks.
                        It is a simple but elegant design.
                        It offers less functionality and allows anyone to listen to any of the messages.
                      The marble answering machine was designed by Durrell Bishop while a stu-
                 dent at the Royal College of Art in London (described by Crampton-Smith, 1995).
                 One of his goals was to design a messaging system that represented its basic func-
                 tionality in terms of the behavior of everyday objects. To do this, he capitalized on
                 people's everyday knowledge of how the physical world works. In particular, he
                 made use of the ubiquitous everyday action of picking up a physical object and
                 putting it down in another place. This is an example of an interactive product de-
                 signed with the users in mind. The focus is on providing them with an enjoyable ex-
                 perience but one that also makes efficient the activity of receiving messages.
                 However, it is important to note that although the marble answering machine is a
                 very elegant and usable design, it would not be practical in a hotel setting. One of
                 the main reasons is that it is not robust enough to be used in public places, for ex-
                 ample, the marbles could easily get lost or taken as souvenirs. Also, the need to
                 identify the user before allowing the messages to be played is essential in a hotel
                 setting. When considering the usability of a design, therefore, it is important to
                 take into account where it is going to be used and who is going to use it. The marble
                 answering machine would be more suited in a home setting-provided there were
                 no children who might be tempted to play with the marbles!

1.2.1 What to design
                 Designing usable interactive products thus requires considering who is going to be
                 using them and where they are going to be used. Another key concern is under-
                 standing the kind of activities people are doing when interacting with the products.
                 The appropriateness of different kinds of interfaces and arrangements of input and
                 output devices depends on what kinds of activities need to be supported. For exam-
                 ple, if the activity to be supported is to let people communicate with each other at a
                 distance, then a system that allows easy input of messages (spoken or written) that
                 can be readily accessed by the intended recipient is most appropriate. In addition,
                 an interface that allows the users to interact with the messages (e.g., edit, annotate,
                 store) would be very useful.
                      The range of activities that can be supported is diverse. Just think for a
                 minute what you can currently do using computer-based systems: send messages,
                 gather information, write essays, control power plants, program, draw, plan, cal-
                 culate, play games-to name but a few. Now think about the number of inter-
                 faces and interactive devices that are available. They, too, are equally diverse:
1.2 Good and poor design        5

          multimedia applications, virtual-reality environments, speech-based systems, per-
          sonal digital assistants and large displays-to name but a few. There are also
          many ways of designing the way users can interact with a system (e.g., via the use
          of menus, commands, forms, icons, etc.). Furthermore, more and more novel
          forms of interaction are appearing that comprise physical devices with embedded
          computational power, such as electronic ink, interactive toys, smart fridges, and
          networked clothing (See Figure 1.2 on Color Plate 1). What this all amounts to is
          a multitude of choices and decisions that confront designers when developing in-
          teractive products.
               A key question for interaction design is: how do you optimize the users' inter-
          actions with a system, environment or product, so that they match the users' activi-
          ties that are being supported and extended? One could use intuition and hope for
          the best. Alternatively, one can be more principled in deciding which choices to
          make by basing them on an understanding of the users. This involves:
                taking into account what people are good and bad at
                considering what might help people with the way they currently do things
                thinking through what might provide quality user experiences
                listening to what people want and getting them involved in the design
                using "tried and tested" user-based techniques during the design process
          The aim of this book is to cover these aspects with the goal of teaching you how to
          carry out interaction design. In particular, it focuses on how to identify users'
          needs, and from this understanding, move to designing usable, useful, and enjoy-
          able systems.


          How does making a phone call differ when using:
                 a public phone box
                 a cell phone?
               How have these devices been designed to take into account (a) the kind of users, (b) type
               of activity being supported, and (c) context of use?

Comment    (a) Public phones are designed to be used by the general public. Many have Braille em-
               bossed on the keys and speaker volume control to enable people who are blind and
               hard of hearing to use them.
               Cell phones are intended for all user groups, although they can be difficult to use for
               people who are blind or have limited manual dexterity.
           (b) Most phone boxes are designed with a simple mode of interaction: insert card or
               money and key in the phone number. If engaged or unable to connect the money or
               card is returned when the receiver is replaced. There is also the option of allowing the
               caller to make a follow-on call by pressing a button rather than collecting the money
               and reinserting it again. This function enables the making of multiple calls to be more
               efficient.
I   6 Chapter 1   What is interaction design?

                            Cell phones have a more complex mode of interaction. More functionality is provided,
                            requiring the user to spend time learning how to use them. For example, users can save
                            phone numbers in an address book and then assign these to "hotkeys," allowing them
                            to be called simply through pressing one or two keys.
                        (c) Phone boxes are intended to be used in public places, say on the street or in a bus sta-
                            tion, and so have been designed to give the user a degree of privacy and noise protec-
                            tion through the use of hoods and booths.
                            Cell phones have have been designed to be used any place and any time. However, lit-
                            tle consideration has been given to how such flexibility affects others who may be in
                            the same public place (e.g.,sitting on trains and buses).


I
        1.3 What is interaction design?
I                     By interaction design, we mean
                           designing interactive products to support people in their everyday and working lives.
I
                      In particular, it is about creating user experiences that enhance and extend the way
                      people work, communicate and interact. Winograd (1997) describes it as "the de-
                      sign of spaces for human communication and interaction." In this sense, it is about
                      finding ways of supporting people. This contrasts with software engineering, which
                      focuses primarily on the production of software solutions for given applications. A
                      simple analogy to another profession, concerned with creating buildings, may clar-
                      ify this distinction. In his account of interaction design, Terry Winograd asks how
                      architects and civil engineers differ when faced with the problem of building a
                      house. Architects are concerned with the people and their interactions with each
                      other and within the house being built. For example, is there the right mix of family
                      and private spaces? Are the spaces for cooking and eating in close proximity? Will
                      people live in the space being designed in the way it was intended to be used? In
                      contrast, engineers are interested in issues to do with realizing the project. These
                      include practical concerns like cost, durability, structural aspects, environmental
                      aspects, fire regulations, and construction methods. Just as there is a difference
                      between designing and building a house, so too, is there a distinction between in-
                      teraction design and software engineering. In a nutshell, interaction design is re-
                      lated to software engineering in the same way as architecture is related to civil
                      engineering.


        1.3.1 The makeup of interaction design
                      It has always been acknowledged that for interaction design to succeed many disci-
                      plines need to be involved. The importance of understanding how users act and
                      react to events and how they communicate and interact together has led people
                      from a variety of disciplines, such as psychologists and sociologists, to become in-
                      volved. Likewise, the growing importance of understanding how to design different
                      kinds of interactive media in effective and aesthetically pleasing ways has led to a
1.3 What is interaction design?      7

diversity of other practitioners becoming involved, including graphic designers,
artists, animators, photographers, film experts, and product designers. Below we
outline a brief history of interaction design.
     In the early days, engineers designed hardware systems for engineers to use.
The computer interface was relatively straightforward, comprising various switch
panels and dials that controlled a set of internal registers. With the advent of moni-
tors (then referred to as visual display units or VDUs) and personal workstations in
the late '70s and early '80s, interface design came into being (Grudin, 1990). The
new concept of the user interface presented many challenges:
    Terror. You have to confront the documentation. You have to learn a new language. Did
    you ever use the word 'interface' before you started using the computer?
                                                -Advertising executive Arthur Einstein (1990)

     One of the biggest challenges at that time was to develop computers that could
be accessible and usable by other people, besides engineers, to support tasks in-
volving human cognition (e.g., doing sums, writing documents, managing accounts,
drawing plans). To make this possible, computer scientists and psychologists be-
came involved in designing user interfaces. Computer scientists and software engi-
neers developed high-level programming languages (e.g., BASIC, Prolog), system
architectures, software design methods, and command-based languages to help in
such tasks, while psychologists provided information about human capabilities
(e.g., memory, decision making).
     The scope afforded by the interactive computing technology of that time (i.e.,
the combined use of visual displays and interactive keyboards) brought about
many new challenges. Research into and development of graphical user inter-
faces (GUI for short, pronounced "goo-ee") for office-based systems took off in
a big way. There was much research into the design of widgets (e.g., menus, win-
dows, palettes, icons) in terms of how best to structure and present them in a
GUI.
     In the mid '80s, the next wave of computing technologies-including speech
recognition, multimedia, information visualization, and virtual reality-presented
even more opportunities for designing applications to support even more people.
Education and training were two areas that received much attention. Interactive
learning environments, educational software, and training simulators were some of
the main outcomes. To build these new kinds of interactive systems, however, re-
quired a different kind of expertise from that of psychologists and computer pro-
grammers. Educational technologists, developmental psychologists, and training
experts joined in the enterprise.
     As further waves of technological development surfaced in the '90s-network-
ing, mobile computing, and infrared sensing-the creation of a diversity of applica-
tions for all people became a real possibility. All aspects of a person's life-  at
home, on the move, at school, at leisure as well as at work, alone, with family or
friends-began to be seen as areas that could be enhanced and extended by design-
ing and integrating various arrangements of computer technologies. New ways of
learning, communicating, working, discovering, and living were envisioned.
8   Chapter 1   What is interaction design?




                     In the mid '90s, many companies realized it was necessary again to extend their
                 existing multidisciplinary design teams to include professionals trained in media
                 and design, including graphical design, industrial design, film, and narrative. Sociol-
                 ogists, anthropologists, and dramaturgists were also brought on board, all having
                 quite a different take on human interaction from psychologists. This wider set of
1.3 What is interaction design?        9

              people were thought to have the right mix of skills and understanding of the differ-
              ent application areas necessary to design the new generation of interactive systems.
              For example, designing a reminder application for the family requires understand-
              ing how families interact; creating an interactive story kit for children requires un-
              derstanding how children write and understand narrative, and developing an
              interactive guide for art-gallery visitors requires appreciating what people do and
              how they move through public spaces.
                   Now in the 'OOs, the possibilities afforded by emerging hardware capabilities-
              e.g., radio-frequency tags, large interactive screens, and information appliances-
              has led to a further realization that engineers, who know about hardware, software,
              and electronics are needed to configure, assemble, and program the consumer elec-
              tronics and other devices to be able to communicate with each other (often re-
              ferred to as middleware).

1.3.2 Working together as a multidisciplinary team
              Bringing together so many people with different backgrounds and training has
              meant many more ideas being generated, new methods being developed, and more
              creative and original designs being produced. However, the down side is the costs
              involved. The more people there are with different backgrounds in a design team,
              the more difficult it can be to communicate and progress forward the designs being
              generated. Why? People with different backgrounds have different perspectives
              and ways of seeing and talking about the world (see Figure 1.4). What one person
              values as important others may not even see (Kim, 1990). Similarly, a computer sci-
              entist's understanding of the term representation is often very different from a
              graphic designer's or a psychologist's.




                                                                         Figure 1.4  Four different
                                                                         team members looking at
                                                                         the same square, but each
                                                                         seeing it quite differently.
10   Chapter 1   What is interaction design?

                      What this means in practice is that confusion, misunderstanding, and com-
                 munication breakdowns can often surface in a team. The various team members
                 may have different ways of talking about design and may use the same terms to
                 mean quite different things. Other problems can arise when a group of people is
                 "thrown" together who have not worked as a team. For example, the Philips Vi-
                 sion of the Future Project found that its multidisciplinary teams-who were re-
                 sponsible for developing ideas and products for the future-experienced a
                 number of difficulties, namely, that project team members did not always have a
                 clear idea of who needed what information, when, and in what form (Lambourne
                 et al., 1997).


                    practice, the makeup of a given design team depends on the kind of interactive product
                   ing built. Who do you think would need to be involved in developing:
                    (a) a public kiosk providing information about the exhibits available in a science
                        museum?
                    (b) an interactive educational website to accompany a TV series?

Comment          Each team will need a pumber of different people with different skill sets. For example, the
                 first interactive product would need:
                    (a) graphic and inteiaction designers, museum curators, educational advisors, software
                        engineers, software designers, usability engineers, ergonomists
                 The second project would need:
                    (b) TV producers, graphic and interaction designers, teachers, video experts, software
                        engineers, software designers, usability engineers
                 In addition, as both systeds are being developed for use by the general public, representa-
                 tive users, such as school children and parents, should be involved.
                 In practice, design teams often end up being quite large, especially if they are working on a
                 big project to meet a fixed deadline. For example, it is common to find teams of fifteen peo-
                 ple or more working on a website project for an extensive period of time, like six months.
                 This means that a number of people from each area of expertise are likely to be working as
                 part of the project team.


1.3.3 Interaction design in business
                 Interaction design is dbw big business. In particular, website consultants, start-
                 up companies, a n d mobile computing industries have all realized its pivotal role
                 in successful interactive hroducts. To get noticed in the highly competitive field
                 of web products requires standing out. Being able to say that your product is
                 easy and effective to use is seen as central to this. Marketing departments are re-
                 alizing how branding, the number of hits, customer return rate, and customer
                 satisfaction are greatly affected by the usability of a website. Furthermore, the
                 presence or absence of good interaction design can make or break a company.
1.3 What is interaction design?   11

One infamous dot.com fashion clothes company that failed to appreciate the im-
portance of good interaction design paid heavily for its oversight, becoming
bankrupt within a few months of going public.' Their approach had been to go
for an "all singing and all dancing," glossy 3D graphical interface. One of the
problems with this was that it required several minutes to download. Further-
more, it often took more than 20 minutes to place an order by going through a
painfully long and slow process of filling out an online form-only to discover
that the order was not successful. Customers simply got frustrated with the site
and never returned.
     In response to the growing demand for interaction design, an increasing
number of consultancies are establishing themselves as interaction design ex-
perts. One such company is Swim, set up by Gitta Salomon to assist clients with
the design of interactive products (see the interview with her at the end of this
chapter). She points out how often companies realize the importance of interac-
tion design but don't know how to do it themselves. So they get in touch with
companies, like Swim, with their partially developed products and ask them for
help. This can come in the form of an expert "crit" in which a detailed review of
the usability and design of the product is given (for more on expert evaluation,
see Chapter 13). More extensively, it can involve helping clients create their
products.
     Another established design company that practices interaction design is IDEO,
which now has many branches worldwide. Drawing on over 20 years of experience
in the area, they design products, services, and environments for other companies,
pioneering new user experiences (Spreenberg et al., 1995). They have developed




'This happened before the dot.com crash in 2001.
12 Chapter 1   What is interaction design?




                                                                            Figure 1.5 An innovative
                                                                            product developed by
                                                                            IDEO: Scout Modo, a wire-
                                                                            less handheld device deliv-
                                                                            ering up-to-date
                                                                            information about what's
                                                                            going on in a city.


               thousands of products for numerous clients, each time following their particular
               brand of user-centered design (see Figure 1.5).

1.4   What is involved in the process of interaction design?
               Essentially, the process of interaction design involves four basic activities:
                   1. Identifying needs and establishing requirements.
                   2. Developing alternative designs that meet those requirements.
                   3. Building interactive versions of the designs so that they can be communi-
                      cated and assessed.
                   4. Evaluating what is being built throughout the process.
               These activities are intended to inform one another and to be repeated. For exam-
               ple, measuring the usability of what has been built in terms of whether it is easy to
               use provides feedback that certain changes must be made or that certain require-
               ments have not yet been met.
                    Evaluating what has been built is very much at the heart of interaction design.
               Its focus is on ensuring that the product is usable. It is usually addressed through a
               user-centered approach to design, which, as the name suggests, seeks to involve
               users throughout the design process. There are many different ways of achieving
               this: for example, through observing users, talking to them, interviewing them, test-
               ing them using performance tasks, modeling their performance, asking them to fill
1.5 The goals of interaction design   13

             in questionnaires, and even asking them to become co-designers. The findings from
             the different ways of engaging and eliciting knowledge from users are then inter-
             preted with respect to ongoing design activities (we give more detail about all these
             aspects of evaluation in Chapters 10-14).
                  Equally important as involving users in evaluating an interactive product is un-
             derstanding what people currently do. This form of research should take place be-
             fore building any interactive product. Chapters 3,4, and 5 cover a lot of this ground
             by explaining in detail how people act and interact with one another, with informa-
             tion, and with various technologies, together with describing their strengths and
             weaknesses. Such knowledge can greatly help designers determine which solutions
             to choose from the many design alternatives available and how to develop and test
             these further. Chapter 7 describes how an understanding of users' needs can be
             translated to requirements, while Chapter 9 explains how to involve users effec-
             tively in the design process.
                  A main reason for having a better understanding of users is that different
             users have different needs and interactive products need to be designed accord-
             ingly. For example, children have different expectations about how they want
             to learn or play from adults. They may find having interactive quizzes and cartoon
             characters helping them along to be highly motivating, whereas most adults find
             them annoying. Conversely, adults often like talking-heads discussions about top-
             ics, but children find them boring. Just as everyday objects like clothes, food, and
             games are designed differently for children, teenagers, and adults, so, too, must in-
             teractive products be designed to match the needs of different kinds of users.
                  In addition to the four basic activities of design, there are three key character-
             istics of the interaction design process:
                 1. Users should be involved through the development of the project.
                 2. Specific usability and user experience goals should be identified, clearly doc-
                    umented, and agreed upon at the beginning of the project.
                 3. Iteration through the four activities is inevitable.
             We have already mentioned the importance of involving users and will return to
             this topic throughout the book. Iterative design will also be addressed later when
             we talk about the various design and evaluation methods by which this can be
             achieved. In the next section we describe usability and user experience goals.

1.5   The goals of interaction design
             Part of the process of understanding users' needs, with respect to designing an in-
             teractive system to support them, is to be clear about your primary objective. Is it
             to design a very efficient system that will allow users to be highly productive in
             their work, or is it to design a system that will be challenging and motivating so that
             it supports effective learning, or is it something else? We call these top-level con-
             cerns usability goals and user experience goals. The two differ in terms of how they
             are operationalized, i.e., how they can be met and through what means. Usability
14   Chapter 1   What is interaction design?

                 goals are concerned with meeting specific usability criteria (e.g., efficiency) and
                 user experience goals are largely concerned with explicating the quality of the user
                 experience (e.g., to be aesthetically pleasing).

1.5.1 Usability goals
                 To recap, usability is generally regarded as ensuring that interactive products are
                 easy to learn, effective to use, and enjoyable from the user's perspective. It involves
                 optimizing the interactions people have with interactive products to enable them to
                 carry out their activities at work, school, and in their everyday life. More specifi-
                 cally, usability is broken down into the following goals:
                       effective to use (effectiveness)
                       efficient to use (efficiency)
                       safe to use (safety)
                       have good utility (utility)
                       easy to learn (learnability)
                       easy to remember how to use (memorability)
                      For each goal, we describe it in more detail and provide a key question.
                      Effectiveness is a very general goal and refers to how good a system is at doing
                 what it is supposed to do.
                      Question: Is the system capable of allowing people to learn well, carry out their
                 work efficiently, access the information they need, buy the goods they want, and
                 so on?
                      Efficiency refers to the way a system supports users in carrying out their tasks.
                 The answering machine described at the beginning of the chapter was considered
                 efficient in that it let the user carry out common tasks (e.g., listening to messages)
                 through a minimal number of steps. In contrast, the voice-mail system was consid-
                 ered inefficient because it required the user to carry out many steps and learn an
                 arbitrary set of sequences for the same common task. This implies that an efficient
                 way of supporting common tasks is to let the user use single button or key presses.
                 An example of where this kind of efficiency mechanism has been effectively em-
                 ployed is in e-tailing. Once users have entered all the necessary personal details on
                 an e-commerce site to make a purchase, they can let the site save all their personal
                 details. Then, if they want to make another purchase at that site, they don't have
                 to re-enter all their personal details again. A clever mechanism patented by
                 Amazon.com is the one-click option, which requires users only to click a single but-
                 ton when they want to make another purchase.
                      Question: Once users have learned how to use a system to carry out their tasks,
                 can they sustain a high level of productivity?
                      Safety involves protecting the user from dangerous conditions and undesirable
                 situations. In relation to the first ergonomic aspect, it refers to the external condi-
                 tions where people work. For example, where there are hazardous conditions-like
                 X-ray machines or chemical plants--operators should be able to interact with and
                 control computer-based systems remotely. The second aspect refers to helping any
1.5 The goals of interaction design    15

kind of user in any kind of situation avoid the dangers of carrying out unwanted ac-
tions aceidentally. It also refers to the perceived fears users might have of the con-
sequences of making errors and how this affects their behavior. To make
computer-based systems safer in this sense involves (i) preventing the user from
making serious errors by reducing the risk of wrong keyslbuttons being mistakenly
activated (an example is not placing the quit or delete-file command right next to
the save command on a menu) and (ii) providing users with various means of re-
covery should they make errors. Safe interactive systems should engender confi-
dence and allow the user the opportunity to explore the interface to try out new
operations (see Figure 1.6a). Other safety mechanisms include undo facilities and




      Color Settings        b




lb)
Figure 1.6 (a) A safe and an unsafe menu. Which is which and why? (b) Warning dialog
message from Eudora.
16   Chapter 1   What is interaction design?

                 confirmatory dialog boxes that give users another chance to consider their inten-
                 tions (a well-known example used in e-mail applications is the appearance of a dia-
                 log box, after the user has highlighted messages to be deleted, saying: "Are you
                 sure you want to delete all these messages?" See Figure 1.6(b)).
                      Question: Does the system prevent users from making serious errors and, if
                 they do make an error, does it permit them to recover easily?
                      Utility refers to the extent to which the system provides the right kind of func-
                 tionality so that users can do what they need or want to do. An example of a system
                 with high utility is an accounting software package providing a powerful computa-
                 tional tool that accountants can use to work out tax returns. A example of a system
                 with low utility is a software drawing tool that does not allow users to draw free-
                 hand but forces them to use a mouse to create their drawings, using only polygon
                 shapes.
                      Question: Does the system provide an appropriate set of functions that enable
                 users to carry out all their tasks in the way they want to do them?
                      Learnability refers to how easy a system is to learn to use. It is well known that
                 people don't like spending a long time learning how to use a system. They want to
                 get started straight away and become competent at carrying out tasks without too
                 much effort. This is especially so for interactive products intended for everyday use
                 (e.g., interactive TV, email) and those used only infrequently (e.g., videoconferenc-
                 ing). To a certain extent, people are prepared to spend longer learning more com-
                 plex systems that provide a wider range of functionality (e.g., web authoring tools,
                 word processors). In these situations, CD-ROM and online tutorials can help by
                 providing interactive step-by-step material with hands-on exercises. However,
                 many people find these tedious and often difficult to relate to the tasks they want to
1.5 The goals of interaction design   17

          accomplish. A key concern is determining how much time users are prepared to
          spend learning a system. There seems little point in developing a range of function-
          ality if the majority of users are unable or not prepared to spend time learning how
          to use it.
               Question: How easy is it and how long does it take (i) to get started using a sys-
          tem t o perform core tasks and (ii) to learn the range of operations to perform a
          wider set of tasks?
               Memorability refers to how easy a system is to remember how to use, once
          learned. This is especially important for interactive systems that are used infre-
          quently. If users haven't used a system or an operation for a few months or longer,
          they should be able to remember or at least rapidly be reminded how to use it.
          Users shouldn't have to keep relearning how to carry out tasks. Unfortunately, this
          tends to happen when the operations required to be learned are obscure, illogical,
          or poorly sequenced. Users need to be helped to remember how to do tasks. There
          are many ways of designing the interaction to support this. For example, users can
          be helped to remember the sequence of operations at different stages of a task
          through meaningful icons, command names, and menu options. Also, structuring
          options and icons so they are placed in relevant categories of options (e.g., placing
          all the drawing tools in the same place on the screen) can help the user remember
          where to look to find a particular tool at a given stage of a task.
               Question: What kinds of interface support have been provided to help users re-
          member how to carry out tasks, especially for systems and operations that are used
          infrequently?



          How long do you think it should take to learn how to use the following interactive products
          and how long does it actually take most people to learn them? How memorable are they?
            (a) using a VCR to play a video
            (b) using a VCR to pre-record two programs
            (c) using an authoring tool to create a website

Comment    (a) To play a video should be as simple as turning the radio on, should take less than 30
               seconds to work out, and then should be straightforward to do subsequently. Most
               people are able to fathom how to play a video. However, some systems require the
               user to switch to the "video" channel using one or two remote control devices, select-
               ing from a choice of 50 or more channels. Other settings may also need to be config-
               ured before the video will play. Most people are able to remember how to play a video
               once they have used a particular VCR.
           (b) This is a more complex operation and should take a couple of minutes to learn how to
               do and to check that the programming is correct. In reality, many VCRs are so poorly
               designed that 80% of the population is unable to accomplish this task, despite several
               attempts. Very few people remember how to pre-record a program, largely because
               the interaction required to do this is poorly designed, with poor or no feedback, and is
               often illogical from the user's perspective. Of those, only a few will bother to go
               through the manual again.
18   Chapter 1   Whpt is interaction design?

                  (c) A well-designed authoring too1 should let the user create a basic page in about 20 min-
                      utes. Learning the full range of operations and possibilities is likely to take much
                      longer, possibly a few days. In reality, there are some good authoring tools that allow
                      the user to get started straight away, providing templates that they can adapt. Most
                      users will extend their repertoire, taking another hour or so to learn more functions.
                      However, very few people actually learn to use the full range of functions provided by
                      the authoring tool. Users will tend to remember frequently used operations (e.g., cut
                      and paste, inserting images), especially if they are consistent with the way they are car-
                      ried out in other software applications. However, less frequently used operations may
                      need to be relearned (e.g., formatting tables).



                 The usability goals discussed so far are well suited to the design of business systems
                 intended to support working practices. In particular, they are highly relevant for
                 companies and organizations who are introducing or updating applications running
                 on desktop and networked systems-that are intended to increase productivity by
                 improving and enhancing how work gets done. As well as couching them in terms
                 of specific questions, usability goals are turned into usability criteria. These are
                 specific objectives that enable the usability of a product to be assessed in terms of
                 how it can improve (or not) a user's performance. Examples of commonly used us-
                 ability criteria are time to complete a task (efficiency), time to learn a task (learn-
                 ability), and the number of errors made when carrying out a given task over time
                 (memorability).


1.5.2 User experience goals
                 The realization that new technologies are offering increasing opportunities for sup-
                 porting people in their everyday lives has led researchers and practitioners to con-
                 sider further goals. The emergence of technologies (e.g., virtual reality, the web,
                 mobile computing) in a diversity of application areas (e.g., entertainment, educa-
                 tion, home, public areas) has brought about a much wider set of concerns. As well
                 as focusing primarily on improving efficiency and productivity at work, interaction
                 design is increasingly concerning itself with creating systems that are:
                       satisfying
                       enjoyable
                       fun
                       entertaining
                       helpful
                       motivating
                       aesthetically pleasing
                       supportive of creativity
                       rewarding
                       emotionally fulfilling
1.5 The goals of interaction design    19

     The goals of designing interactive products to be fun, enjoyable, pleasurable,
aesthetically pleasing and so on are concerned primarily with the user experience.
By this we mean what the interaction with the system feels like to the users. This in-
volves explicating the nature of the user experience in subjective terms. For exam-
ple, a new software package for children to create their own music may be designed
with the primary objectives of being fun and entertaining. Hence, user experience
goals differ from the more objective usability goals in that they are concerned with
how users experience an interactive product from their perspective, rather than as-
sessing how useful or productive a system is from its own perspective. The relation-
ship between the two is shown in Figure 1.7.
     Much of the work on enjoyment, fun, etc., has been carried out in the enter-
tainment and computer games industry, which has a vested interest in understand-
ing the role of pleasure in considerable detail. Aspects that have been described
as contributing to pleasure include: attention, pace, play, interactivity, conscious
and unconscious control, engagement, and style of narrative. It has even been
suggested that in these contexts, it might be interesting to build systems that are
non-easy to use, providing opportunities for quite different user experiences from
those designed based on usability goals (Frohlich and Murphy, 1999). Interact-
ing with a virtual representation using a physical device (e.g., banging a plastic




                       ----,
                      TfUn
               satisfying
                                                 emotionally
                /                                 fulfilling

                                efficient


enjoiable          easy to
                                   TI           effective        rewarding
                remember                        to use




   i                                                                    1
               how to use




                  easy to                        safe
                    learn                        to use         supportive
entertaining                                                    of creativity
                                                                   /
                              havetgood
                                utility

               helpful
                                                         /
                                                aesthetically


                              motivating
Figure 1.7 Usability and user experience goals. Usability goals are central to interaction de-
sign and are operationalized through specific criteria. User experience goals are shown in
the outer circle and are less clearly defined.
20   Chapter 1   What is interaction design?
I

                     hammer to hit a virtual nail represented on the computer screen) compared with
                     using a more efficient way to do the same thing (e.g., selecting an option using com-
                     mand keys) may require more effort but could, conversely, result in a more enjoy-
                     able and fun experience.
                          Recognizing and understanding the trade-offs between usability and user expe-
                     rience goals is important. In particular, this enables designers to become aware of
                     the consequences of pursuing different combinations of them in relation to fulfill-
                     ing different users' needs. Obviously, not all of the usability goals and user experi-
                     ence goals apply to every interactive product being developed. Some combinations
                     will also be incompatible. For example, it may not be possible or desirable to de-
                     sign a process control system that is both safe and fun. As stressed throughout this
                     chapter, what is important depends on the use context, the task at hand, and who
                     the intended users are.



                      elow are a number of proposed interactive products. What do you think are the key usabil-
                      y goals and user experience goals for each of them?
                       (a) a mobile device that allows young children to communicate with each other and play
                           collaborative games
                       (b) a video and computer conferencing system that allows students to learn at home
                       (c) an Internet application that allows the general public to access their medical records
                           via interactive TV
                       (d) a CAD system for architects and engineers
                       (e) an online community that provides support for people who have recently been
                           bereaved

    Comment            (a) Such a collaborative device should be easy to use, effective, efficient, easy to learn
                           and use, fun and entertaining.
                       (b) Such a learning device should be easy to learn, easy to use, effective, motivating and
                           rewarding.
                       (c) Such a personal system needs to be safe, easy to use and remember how to use, effi-
                           cient and effective.
                       (d) Such a tool needs to be easy to learn, easy to remember, have good utility, be safe, ef-
                           ficient, effective, support creativity and be aesthetically pleasing.
                       (e) Such a system needs to be easy to learn, easy to use, motivating, emotionally satisfy-
                           ing and rewarding.



    1.6 More on usability: design and usability principles
                     Another way of conceptualizing usability is in terms of design principles. These are
                     generalizable abstractions intended to orient designers towards thinking about dif-
                     ferent aspects of their designs. A well-known example is feedback: systems should
                     be designed to provide adequate feedback to the users to ensure they know what to
1.6 More on usability: design and usability principles   21

do next in their tasks. Design principles are derived from a mix of theory-based
knowledge, experience, and common sense. They tend to be written in a prescrip-
tive manner, suggesting to designers what to provide and what to avoid at the inter-
face- you like, the do's and don'ts of interaction design. More specifically, they
       if
are intended to help designers explain and improve the design (Thimbleby, 1990).
However, they are not intended to specify how to design an actual interface (e.g.,
telling the designer how to design a particular icon or how to structure a web por-
tal) but act more like a set of reminders to designers, ensuring that they have pro-
vided certain things at the interface.
     A number of design principles have been promoted. The best known are con-
cerned with how to determine what users should see and do when carrying out
their tasks using an interactive product. Here we briefly describe the most common
ones: visibility, feedback, constraints, mapping, consistency, and affordances. Each
of these has been written about extensively by Don Norman (1988) in his bestseller
The Design of Everyday Things.

Visibility The importance of visibility is exemplified by our two contrasting exam-
ples at the beginning of the chapter. The voice-mail system made the presence and
number of waiting messages invisible, while the answer machine made both aspects
highly visible. The more visible functions are, the more likely users will be able to
know what to do next. In contrast, when functions are "out of sight," it makes them
more difficult to find and know how to use. Norman (1988) describes the controls
of a car to emphasize this point. The controls for different operations are clearly
visible (e.g., indicators, headlights, horn, hazard warning lights), indicating what
can be done. The relationship between the way the controls have been positioned
in the car and what they do makes it easy for the driver to find the appropriate con-
trol for the task at hand.

Feedback Related to the concept of visibility is feedback. This is best illustrated
by an analogy to what everyday life would be like without it. Imagine trying to play
a guitar, slice bread using a knife, or write using a pen if none of the actions pro-
duced any effect for several seconds. There would be an unbearable delay before
the music was produced, the bread was cut, or the words appeared on the paper,
making it almost impossible for the person to continue with the next strum, saw, or
stroke.
     Feedback is about sending back information about what action has been done
and what has been accomplished, allowing the person to continue with the activity.
Various kinds of feedback are available for interaction design-audio, tactile, ver-
bal, visual, and combinations of these. Deciding which combinations are appropri-
ate for different kinds of activities and interactivities is central. Using feedback in
the right way can also provide the necessary visibility for user interaction.

Constraints The design concept of constraining refers to determining ways of re-
stricting the kind of user interaction that can take place at a given moment. There
are various ways this can be achieved. A common design practice in graphical user
interfaces is to deactivate certain menu options by shading them, thereby restrict-
22 Chapter 1 What is interaction design?




               Figure 1.8 A menu illustrating restricted availability of options as an example of logical
               constraining. Shaded areas indicate deactivated options.


               ing the user to only actions permissible at that stage of the activity (see Figure 1.8).
               One of the advantages of this form of constraining is it prevents the user from se-
               lecting incorrect options and thereby reduces the chance of making a mistake. The
               use of different kinds of graphical representations can also constrain a person's in-
               terpretation of a problem or information space. For example, flow chart diagrams
               show which objects are related to which, thereby constraining the way the informa-
               tion can be perceived.
                    Norman (1999) classifies constraints into three categories: physical, logical, and
               cultural. Physical constraints refer to the way physical objects restrict the move-
               ment of things. For example, the way an external disk can be placed into a disk
               drive is physically constrained by its shape and size, so that it can be inserted in
               only one way. Likewise, keys on a pad can usually be pressed in only one way.
                    Logical constraints rely on people's understanding of the way the world works
               (cf. the marbles answering machine design). They rely on people's common-sense
               reasoning about actions and their consequences. Picking up a physical marble and
               placing it in another location on the phone would be expected by most people to
1.6 More on usability: design and usability principles   23




Figure 1.9 (a) Natural mapping between rewind, play, and fast forward on a tape recorder
device. (b) An alternative arbitrary mapping.


trigger something else to happen. Making actions and their effects obvious enables
people to logically deduce what further actions are required. Disabling menu op-
tions when not appropriate for the task in hand provides logical constraining. Jt al-
lows users to reason why (or why not) they have been designed this way and what
options are available.
     Cultural constraints rely on learned conventions, like the use of red for warn-
ing, the use of certain kinds of audio signals for danger, and the use of the smiley
face to represent happy emotions. Most cultural constraints are arbitrary in the
sense that their relationship with what is being represented is abstract, and could
have equally evolved to be represented in another form (e.g., the use of yellow in-
stead of red for warning). Accordingly, they have to be learned. Once learned and
accepted by a cultural group, they become universally accepted conventions. Two
universally accepted interface conventions are the use of windowing for display-
ing information and the use of icons on the desktop to represent operations and
documents.

Mapping This refers to the relationship between controls and their effects in the
world. Nearly all artifacts need some kind of mapping between controls and effects,
whether it is a flashlight, car, power plant, or cockpit. An example of a good map-
ping between control and effect is the up and down arrows used to represent the up
and down movement of the cursor, respectively, on a computer keyboard. The
mapping of the relative position of controls and their effects is also important. Con-
sider the various musical playing devices (e.g., MP3, CD player, tape recorder).
How are the controls of playing, rewinding, and fast forward mapped onto the de-
sired effects? They usually follow a common convention of providing a sequence of
buttons, with the play button in the middle, the rewind button on the left and the
fast-forward on the right. This configuration maps directly onto the directionality
of the actions (see Figure 1.9a). Imagine how difficult it would be if the mappings in
Figure 1.9b were used. Look at Figure 1.10 and determine from the various map-
pings which is good and which would cause problems to the person using it.




Figure 1.10 Four possible combinations of arrow-key mappings. Which is the most natural
mapping?
24   Chapter 1   What is interaction design?

                 Consistency This refers to designing interfaces to have similar operations and use
                 similar elements for achieving similar tasks. In particular, a consistent interface is
                 one that follows rules, such as using the same operation to select all objects. For
                 example, a consistent operation is using the same input action to highlight any
                 graphical object at the interface, such as always clicking the left mouse button. In-
                 consistent interfaces, on the other hand, allow exceptions to a rule. An example of
                 this is where certain graphical objects (e.g., email messages presented in a table)
                 can be highlighted only by using the right mouse button, while all other operations
                 are highlighted using the left button. A problem with this kind of inconsistency is
                 that it is quite arbitrary, making it difficult for users to remember and making the
                 users more prone to mistakes.
                      One of the benefits of consistent interfaces, therefore, is that they are easier to
                 learn and use. Users have to learn only a single mode of operation that is applicable
                 to all objects. This principle works well for simple interfaces with limited operations,
                 like a mini CD player with a small number of operations mapped onto separate but-
                 tons. Here, all the user has to do is learn what each button represents and select ac-
                 cordingly. However, it can be more problematic to apply the concept of consistency
                 to more complex interfaces, especially when many different operations need to be
                 designed for. For example, consider how to design an interface for an application
                 that offers hundreds of operations (e.g. a word-processing application). There is
                 simply not enough space for a thousand buttons, each of which maps onto an indi-
                 vidual operation. Even if there were, it would be extremely difficult and time-
                 consuming for the user to search through them all to find the desired operation.
                      A much more effective design solution is to create categories of commands
                 that can be mapped into subsets of operations. For the word-processing applica-
                 tion, the hundreds of operations available are categorized into subsets of different
                 menus. All commands that are concerned with file operations (e.g., save, open,
                 close) are placed together in the same file menu. Likewise, all commands con-
                 cerned with formatting text are placed in a format menu. Selecting an operation
                 then becomes a matter of homing in on the right category (menu) of options and
                 scanning it for the desired one, rather than scrolling through one long list. How-
                 ever, the consistency rule of having a visible one-to-one mapping between com-
                 mand and operation is broken. Operations are not immediately visible at the
                 interface, but are instead hidden under different categories of menus. Furthermore,
                 some menu items are immediately visible, when a top-level menu is first pulled
                 down, while others remain hidden until the visible items are scrolled over. Thus,
                 users need to learn what items are visible in each menu category and which are hid-
                 den in submenus.
                      The way the items are divided between the categories of menu items can also
                 appear inconsistent to users. Various operations appear in menus where they do
                 not belong. For example, the sorting operation (very useful for listing references or
                 names in alphabetical order) in Microsoft Word 2001 is in the Table menu (the
                 Mac Version). In the previous Word 98 version, it was in both the Tools and Table
                 menus. I always thought of it as a Tool operation (like Word Count), and became
                 very frustrated to discover that as a default for Word 2001 it is only in the Table
                 menu. This makes it inconsistent for me in two ways: (i) with the previous version
                 and (ii) in the category it has been placed. Of course, I can customize the new ver-
1.6 More on usability: design and usability principles     25

sion so that the menus are structured in the way I think they should be, but this all
takes considerable time (especially when I use different machines at work, home,
and when travelling).
     Another problem with consistency is determining what aspect of an interface
to make consistent with what else. There are often many choices, some of which
can be inconsistent with other aspects of the interface or ways of carrying out ac-
tions. Consider the design problem of developing a mechanism to let users lock
their files on a shared server. Should the designer try to design it to be consistent
with the way people lock things in the outside world (called external consistency)
or with the way they lock objects in the existing system (called internal consis-
tency)? However, there are many different ways of locking objects in the physical
world (e.g., placing in a safe, using a padlock, using a key, using a child safety lock),
just as there are different ways of locking electronically (e.g., using PIN numbers,
passwords, permissions, moving the physical switches on floppy disks). The prob-
lem facing designers is knowing which one to be consistent with.

Ahbrdance is a term used to refer to an attribute of an object that allows people
to know how to use it. For example, a mouse button invites pushing (in so doing ac-
tivating clicking) by the way it is physically constrained in its plastic shell. At a very
simple level, to afford means "to give a clue" (Norman, 1988). When the affor-
dances of a physical object are perceptually obvious it is easy to know how to inter-
act with it. For example, a door handle affords pulling, a cup handle affords
grasping, and a mouse button affords pushing. Norman introduced this concept in
the late '80s in his discussion of the design of everyday objects. Since then, it has
been much popularized, being used to describe how interface objects should be de-
signed so that they make obvious what can be done to them. For example, graphi-
cal elements like buttons, icons, links, and scroll bars are talked about with respect
to how to make it appear obvious how they should be used: icons should be de-
signed to afford clicking, scroll bars to afford moving up and down, buttons to af-
ford pushing.
     Unfortunately, the term affordance has become rather a catch-all phrase, los-
ing much of its potency as a design principle. Norman (1999), who was largely re-
sponsible for originally promoting the concept in his book The Design of Everyday
Things (1988), now despairs at the way it has come to be used in common parlance:
    "Zput an affordance there, " a participant would say, "I wonder if the object affords
    clicking. . . " affordances this, affordances that. And no data, just opinion. Yikes! What
    had I unleashed upon the world? Norman's (1999) reaction to a recent CHI-Web
    discussion.
He has since tried to clarify his argument about the utility of the concept by saying
there are two kinds of affordance: perceived and real. Physical objects are said to
have real affordances, like grasping, that are perceptually obvious and do not have to
be learned. In contrast, user interfaces that are screen-based are virtual and do not
have these kinds of real affordances. Using this distinction, he argues that it does not
make sense to try to design for real affordances at the interface--except when design-
ing physical devices, like control consoles, where affordances like pulling and press-
ing are helpful in guiding the user to know what to do. Alternatively, screen-based
26   Chapter 1   What is interaction design?




                 interfaces are better conceptualized as perceived affordances, which are essentially
                 learned conventions. In conclusion, Norman argues that other design concepts--con-
                 ventions, feedback and cultural and logical constraints-are far more useful for help-
                 ing designers develop graphical user interfaces.

1.6.1 Heuristics and usability principles
                      When design principles are used in practice they are commonly referred to as
                 heuristics. This term emphasizes that something has to be done with them when
                 they are applied to a given problem. In particular, they need to be interpreted in
                 the design context, drawing on past experience of, for example, how to design feed-
                 back and what it means for something to be consistent.
                      Another form of guidance is usability principles. An example is "speak the user's
                 language." These are quite similar to design principles, except that they tend to be
                 more prescriptive. In addition, whereas design principles tend to be used mainly for
                 informing a design, usability principles are used mostly as the basis for evaluating
                 prototypes and existing systems. In particular, they provide the framework for heuris-
                 tic evaluation (see Chapter 13). They, too, are called heuristics when used as part of
1.6 More on usability: design and usability principles      27

          an evaluation. Below are the ten main usability principles, developed by Nielsen
          (2001) and his colleagues. Note how some of them overlap with the design principles.
                1. Visibility of system status-always keep users informed about what is going
                   on, through providing appropriate feedback within reasonable time
                2. Match between system and the real world-speak the users' language, using
                   words, phrases and concepts familiar to the user, rather than system-
                   oriented terms
                3. User control and freedom-provide ways of allowing users to easily escape
                   from places they unexpectedly find themselves, by using clearly marked
                   'emergency exits'
                4. Consistency and standards-avoid making users wonder whether different
                   words, situations, or actions mean the same thing
                5. Help users recognize, diagnose, and recover from errors-use plain lan-
                   guage to describe the nature of the problem and suggest a way of solving it
                6. error prevention-where possible prevent errors occurring in the first place
                7. Recognition rather than recall-make objects, actions, and options visible
                8. Flexibility and efficiency of use-provide accelerators that are invisible to
                   novice users, but allow more experienced users to carry out tasks more
                   quickly
                9. Aesthetic and minimalist design-avoid using information that is irrelevant
                   or rarely needed
               10. Help and documentation-provide information that can be easily searched
                   and provides help in a set of concrete steps that can easily be followed


          One of the main design principles which Nielsen has proselytized, especially for website de-
          sign, is simplicity. He proposes that designers go through all of their design elements and re-
          move them one by one. If a design works just as well without an element, then remove it. Do
          you think this is a good design principle? If you have your own website, try doing this and
          seeing what happens. At what point does the interaction break down?

Comment   Simplicity is certainly an important design principle. Many designers try to cram too much into
          a screenful of space, making it unwieldy for people to find what they are interested in. Remov-
          ing design elements to see what can be discarded without affecting the overall function of the
          website can be a salutary lesson. Unnecessary icons, buttons, boxes, lines, graphics, shading,
          and text can be stripped, leaving a cleaner, crisper, and easier-to-navigate website. However, a
          certain amount of graphics, shading, coloring, and formatting can make a site aesthetically
          pleasing and enjoyable to use. Plain vanilla sites with just lists of text and a few hyperlinks may
          not be as appealing and may put certain visitors off returning. The key is getting the right bal-
          ance between aesthetic appeal and the right amount and kind of information per page.


          Design and usability principles have also been operationalized into even more spe-
          cific prescriptions called rules. These are guidelines that should be followed. An ex-
          ample is "always place the quit or exit button at the bottom of the first menu list in
          an application."
28   Chapter 1   What is interaction design?




Assignment
                 This assignment is intended for you to put into practice what you have read about in this chap-
                 ter. Specifically, the objective is to enable you to define usability and user experience goals and
                 to use design and usability principles for evaluating the usability of an interactive product.
                       Find a handheld device (e.g. remote control, handheld computer, or cell phone) and ex-
                 amine how it has been designed, paying particular attention to how the user is meant to in-
                 teract with it.
                       (a) From your first impressions, write down what first comes to mind as to what is good
                           and bad about the way the device works. Then list (i) its functionality and (ii) the
                           range of tasks a typical user would want to do using it. Is the functionality greater,
                           equal, or less than what the user wants to do?
                       (b) Based on your reading of this chapter and any other material you have come across,
                           compile your own set of usability and user experience goals that you think will be
I                                                                                            Summary      29




                      most useful in evaluating the device. Decide which are the most important ones and
                      explain why.
                  (c) Translate the core usability and user experience goals you have selected into two or
                      three questions. Then use them to assess how well your device fares (e.g., Usability
                      goals. What specific mechanisms have been used to ensure safety? How easy is it to
                      learn? User experience goals: Is it fun to use? Does the user get frustrated easily? If
                      so, why?).
                  (d) Repeat (b) and (c) for design concepts and usability principles (again choose a rele-
                      vant set).
                  (e) Finally, discuss possible improvements to the interface based on your usability
                      evaluation.


    Summary
              In this chapter we have looked at what interaction design is and how it has evolved. We ex-
              amined briefly its makeup and the various processes involved. We pointed out how the no-
              tion of usability is fundamental to interaction design. This was explained in some detail,
              describing what it is and how it is operationalized to assess the appropriateness, effective-
              ness, and quality of interactive products. A number of high-level design principles were also
              introduced that provide different forms of guidance for interaction design.
30    Chapter 1      What is interaction design?

                     Key points
                       Interaction design is concerned with designing interactive products to support people in
                        their everyday and working lives.
                       Interaction design is multidisciplinary, involving many inputs from wide-reaching disci-
                       plines and fields.
                       Interaction design is now big business: many companies want it but don't know how to
                                                                                                                                    I
                       do it.
                       Optimizing the interaction between users and interactive products requires taking into
                       account a number of interdependent factors, including context of use, type of task, and
                       kind of user.
                       Interactive products need to be designed to match usability goals like ease of use and
                       learning.
                       User experience goals are concerned with creating systems that enhance the user experi-
                       ence in terms of making it enjoyable, fun, helpful, motivating, and pleasurable.
                       Design and usability principles, like feedback and simplicity, are useful heuristics for an-
                       alyzing and evaluating aspects of an interactive product.


Further reading
Here we recommend a few seminal readings. A more compre-         NORMAN, D. (1999) ACM Interactions Magazine, MayIJune,
hensive list of useful books, articles, websites, videos, and    38-42. Affordances, conventions and design. This is a short
other material can be found at our website.                      and thought-provoking critique of design principles.
WINOGRAD, T. (1997) From computing machinery to inter-           GRUDIN, (1990) The computer reaches out: the historical
                                                                            J.
action design. In P. Denning and R. Metcalfe (eds.) Beyond       continuity of interface design. In CHZ'90 Proc. 261-268.
Calculation: the Next Fifty Years of Computing. New York:        GRUDIN, J. (1989) The case against user interface consistency.
Springer-Verlag, 14S162. Terry Winograd provides an              Communications of the ACM, 32(10), 1164-1173.
overview of how interaction design has emerged as a new          Jonathan Grudin is a prolific writer and many of his earlier
area, explaining how it does not fit into any existing design    works provide thought-provoking and well documented ac-
or computing fields. He describes the new demands and            counts of topical issues in HCI. The first paper talks about
challenges facing the profession.                                how interface design has expanded to wver many more as-
                                                                 pects in its relatively short history. The second paper, consid-
NORMAN, D. (1988) The Design of Everyday Things. New             ered a classic of its time, discusses why the concept of
York: Doubleday, (especially Chapter 1). Norman's writing        consistency-which had been universally accepted as good in-
is highly accessible and enjoyable to read. He writes exten-     terface design up until then-   was in fact highly problematic.
sively about the design and usability of everyday objects like
doors, faucets, and fridges. These examples provide much         Interactions, JanuarylFebruary 2000, ACM. This special
food for thought in relation to designing interfaces. The        issue provides a collection of visions, critiques, and sound
Voyager CD-ROM (sadly, now no longer published) of his           bites on the achievements and future of HCI from a number
collected works ~rovides    additional videos and animations     of researchers, designers, and practitioners.
that illustrate in an entertaining way many of the problems,     IDEO provides a well illustrated online archive of a range of
design ideas and issues raised in the text.                      interactive products it has designed. (see www.ideo.com)
Interview   31



                                                                   YR: So what were the kinds of projects you were
                                                                   working on when you first started Swim?
                                                                   GS: They were less web-centric. There was more
                                                                   software application design and a few hardwarelsoft-
                                                                   ware type things. For the last year and a half the focus
                                                                   shifted to almost exclusively web-based applications.
                                                                   However, these are quite similar to software applica-
                                                                   tions-they just have different implementation con-
                                                                   straints. Right at the moment, the hardwarelsoftware
                                                                   products are starting to pick up again-it does seem
                                                                   that information appliances are going to take off. The
                                    portance of interaction de-    nature of the problems we solve hasn't changed
sign in ensuring their products are successful but don't know
                                                                   much; it's the platform and associated constraints that
how to do this. Often they get in touch with Swim with partially
developed products and ask for help with their interaction de-
                                                                   change.
sign. Swim has consulted for a range of clienk, including Apple
Computer, Nike, IBM, DoubleClick, Webex, and RioPort.              YR: What would you say are the biggest challenges
                                                                   facing yourself and other consultants doing interac-
YR: What is your approach to interaction design?                   tion design these days?
GS: I've devised my own definition: interaction design             GS: One of the biggest challenges is remembering
is the design of products that reveal themselves over              that half of what we do is the design work and the
time. Users don't necessarily see all the functionality in         other half is the communication of that design work.
interactive products when they first look at them. For             The clients almost never bridge the gap for us: we
example, the first screen you see on a cell phone doesn't          need to bridge it. We always have to figure out how
show you everything you can do with it. As you use it,             to deliver the work so it is going to have impact. We
additional functionality is revealed to you. Same thing            are the ones who need to ensure that the client is
with a web-based application or a Window's applica-                going to understand it and know what to d o with it.
tion-as you use them you find yourself in different                That part of the work is oftentimes the most difficult.
states and suddenly you can do different things. This              It means we've got to figure out what is going on in-
idea of revealing over time is possible because there is           ternally with the client and decide how what we de-
a microprocessor behind the product and usually there              liver will be effective. In some cases you just start
is also a dynamic display. I believe this definition char-         seeing there is no place to engage with the client.
acterizes the kind of products we work on-which is a               And I think that is a very difficult problem. Most
very wide range, not just web products.                            people right now don't have a product development
                                                                   process. They are just going for it. And we have to
YR: How would you say interaction design has                       figure out how to fit into what is best described as a
changed in the years since you started Swim?                       moving train.
GS: I don't think what we do has changed fundamen-
tally, but the time frame for product development is               YR: And what do you use when you try to communi-
much shorter. And seemingly more people think they                 cate with them? Is it a combination of talking, meet-
want interaction design assistance. That has definitely            ings, and reports?
changed. There are more people who don't necessar-                 GS: We do a number of different things. Usually
ily know what interaction design is, but they are call-            we will give them a written document, like a report
ing us and saying "we need it." All of a sudden there              or a critique of their product. Sometimes we will
is a great deal of focus and money on all of these                 give them interactive prototypes in Director or
products that are virtual and computationally based,               HTML, things that simulate what the product expe-
which require a different type of design thinking.                 rience would feel like. In the written materials, I
32    Chapter 1    What is interaction design?




Figure 1 Steelcase Worklife New York retail showroom. One of the projects Gitta Salomon was involved in
was to develop an interactive sales showroom for the company called Steelcase, based in New York. The sales
environment was developed to provide various sales tools, including an interactive device allowing salespeople
to access case-study videos that can be projected onto the large screens in the background.




often name the things that we all need to be talking      YR. So this communication process is just as impor-
about. Then at least we all have a common termi-          tant as the ideas?
nology to discuss things. It is a measure of our suc-     GS: 1think it is, a lot of times.
cess if they start using the words that we gave them,
because we truly have influenced their thinking. A        y ~so, how do you start with a client?
                                                                   ,
lot of times we'll give them a diagram of what their
system is like, because nobody has ever visualized        GS: For clients who already have something built, I
                                                          find that usually the best way for us to get started, is
it. We serve as the visualizers, taking a random as-
                                                          to begin with the client doing a comprehensive demo
sortment of vaguely defined concepts and giving
                                                          of their product for us. We will usually spend a whole
some shape to them. We'll make an artifact, which
                                                          day collecting information. Besides the demo, they
allows them to say "Yes, it is like that" or "No, it's
not like that, it's like this. . . ." Without something   tell us about their target market, competitors, and a
to point to they couldn't even say to each other          whole range of things. It then takes a longer period of
                                                          time for us to use the product and observe other peo-
"No, that is not what 1 mean" because they didn't
know if they were talking about the same thing.           ple using it to get a much broader picture. Because
Many times we'll use schematic diagrams to repre-         the client's own vision of their product is so narrow,
sent system behavior. Once they have these dia-           we really have to step back from what they initially
                                                              .--
                                                          tell Ub.
grams then they can say "Oh no, we need all this
other stuff in there, we forgot to tell you." It seems
that nobody is writing complete lists of functional-      YR: So do you writenotes, and then try and put it to-
ity, requirements specifications, or complete docu-       gether afterwards,Orwhat?
mentation anymore. This means the product ideas           GS: We use all kinds of things. We use notes and
stay in somebody's head until we make them tangi-         video, and we sit around with tracing paper and
ble through visualization.                                marker pens. When reviewing the materials, 1 often
Interview   33

try and bring them together in some sort of thematic       YR: Finally, how do you see interaction design mov-
way. It's often mind-boggling to bring a software          ing in the next five years? More of the same kind of
product that's been thrown together into any kind of       problems with new emerging technologies? Or do
coherent framework. It's easy to write a shopping list     you think there are going to be more challenges, es-
of observations, but we want to assemble a larger          pecially with the hardwarelsoftware integration?
structure and framework and that takes several weeks       GS: I think there will be different constraints as new
to construct. We need time to reflect and stew on          technologies arise. No matter what we are designing,
what was done and what maybe should have been              we have to understand the constraints of the imple-
done. We need to highlight the issues and put them         mentation. And yes, different things will happen when
into some kind of larger order. If you always operate      we get more into designing hardwarelsoftware prod-
at a low level of detail, like worrying and critiquing     ucts. There are different kinds of cost constraints and
the size of a button, you end up solving only local is-    different kinds of interactions you can do when there is
sues. You never really get to the big interaction de-      special purpose hardware involved. Whereas designing
sign problems of the product, the ones that should be      the interaction for applications requires visual design
solved first.                                              expertise, designing information appliances or other
                                                           hardware products requires experience with product
YR: If you're given a prototype or product to evalu-       design. Definitely, there will be some new challenges.
ate and you discover that it is redly bad, what do you          Hopefully, in the next few years, people will stop
do?                                                        looking for interaction design rules. There's been a bit
GS: Well, I never have the guts to go in and say           of a push towards making interaction design a science
something is fundamentally flawed. And that's maybe        lately. Maybe this has happened because so many peo-
not the best strategy anyway, because it's your word       ple are trying to do it and they don't know where to
against theirs. Instead, I think it is always about mak-   start because they don't have much experience. I'm
ing the case for why something is wrong or flawed.         hoping people will start understanding that interaction
Sometimes I think we are like lawyers. We have to as-      design is a design discipline-that there are some guide-
semble the case for what's wrong with the product.         lines and ways to do good practice-and creativity com-
We have to make a convincing argument. A lot of            bined with analytical thinking are necessary to arrive at
times I think the kind of argumentation we do is very      good products. And then, even more so than now, it is
much like what lawyers do.                                 going to get interesting and be a really exciting time.
Chapter 2


         Understanding and
         conceptualizing interaction
         2.1 Introduction
         2.2 Understanding the problem space
         2.3 Conceptual models
              2.3.1 Conceptual models based on activities
              2.3.2 Conceptual models based on objects
              2.3.3 A case of mix and match?
         2.4 Interface metaphors
         2.5 Interaction paradigms
         2.6 From conceptual models to physical design



  Introduction
         Imagine you have been asked to design an application to let people organize,
         store, and retrieve their email in a fast, efficient and enjoyable way. What would
         you do? How would you start? Would you begin by sketching out how the inter-
         face might look, work out how the system architecture will be structured, or
         even just start coding? Alternatively, would you start by asking users about their
         current experiences of saving email, look at existing email tools and, based on
         this, begin thinking about why, what, and how you were going to design the
         application?
              Interaction designers would begin by doing the latter. It is important to real-
         ize that having a clear understanding of what, why, and how you are going to de-
         sign something, before writing any code, can save enormous amounts of time and
         effort later on in the design process. Ill-thought-out ideas, incompatible and un-
         usable designs can be ironed out while it is relatively easy and painless to do.
         Once ideas are committed to code (which typically takes considerable effort,
         time, and money), they become much harder to throw away-and much more
         painful. Such preliminary thinking through of ideas about user needs1 and what



         'User needs here are the range of possible requirements, including user wants and experiences.
36   Chapter 2   Understanding and conceptualizing interaction

                 kinds of designs might be appropriate is, however, a skill that needs to be
                 learned. It is not something that can be done overnight through following a
                 checklist, but requires practice in learning to identify, understand, and examine
                 the issues-just like learning to write an essay or to program. In this chapter we
                 describe what is involved. In particular, we focus on what it takes to understand
                 and conceptualize interaction.
                     The main aims of this chapter are to:
                       Explain what is meant by the problem space.
                       Explain how to conceptualize interaction.
                       Describe what a conceptual model is and explain the different kinds.
                       Discuss the pros and cons of using interface metaphors as conceptual models.
                       Debate the pros and cons of using realism versus abstraction at the interface.
                       Outline the relationship between conceptual design and physical design.


2.2 Understanding the problem space
                 In the process of creating an interactive product, it can be temping to begin at the
                 "nuts and bolts" level of the design. By this, we mean working out how to design
                 the physical interface and what interaction styles to use (e.g., whether to use
                 menus, forms, speech, icons, or commands). A problem with trying to solve a de-
                 sign problem beginning at this level is that critical usability goals and user needs
                 may be overlooked. For example, consider the problem of providing drivers with
                 better navigation and traffic information. How might you achieve this? One could
                 tackle the problem by thinking straight away about a good technology or kind
                 of interface to use. For example, one might think that augmented reality, where
                 images are superimposed on objects in the real world (see Figure 2.1 on Color
                 Plate 2), would be appropriate, since it can be useful for integrating additional in-
                 formation with an ongoing activity (e.g., overlaying X-rays on a patient during an
                 operation). In the context of driving, it could be effective for displaying informa-
                 tion to drivers who need to find out where they are going and what to do at certain
                 points during their journey. In particular, images of places and directions to follow
                 could be projected inside the car, on the dashboard or rear-view mirror. However,
                 there is a major problem with this proposal: it is likely to be very unsafe. It could
                 easily distract drivers, luring them to switch their attention from the road to where
                 the images were being projected.
                      A problem in starting to solve a design problem at the physical level, therefore,
                 is that usability goals can be easily overlooked. While it is certainly necessary at
                 some point to decide on the design of physical aspects, it is better to make these
                 kinds of design decisions after understanding the nature of the problem space. By
                 this, we mean conceptualizing what you want to create and articulating why you
                 want to do so. This requires thinking through how your design will support people
                 in their everyday or work activities. In particular, you need to ask yourself whether
                 the interactive product you have in mind will achieve what you hope it will. If so,
2.2 Understanding the problem space      37

how? In the above example, this involves finding out what is problematic with ex-
isting forms of navigating while driving (e.g., trying to read maps while moving the
steering wheel) and how to ensure that drivers can continue to drive safely without
being distracted.
     Clarifying your usability and user experience goals is a central part of working
out the problem space. This involves making explicit your implicit assumptions and
claims. Assumptions that are found to be vague can highlight design ideas that
need to be better formulated. The process of going through them can also help to
determine relevant user needs for a given activity. In many situations, this involves
identifying human activities and interactivities that are problematic and working
out how they might be improved through being supported with a different form of
interaction. In other situations it can be more speculative, requiring thinking
through why a novel and innovative use of a new technology will be potentially
useful.
     Below is another scenario in which the problem space focuses on solving an
identified problem with an existing product. Initial assumptions are presented first,
followed by a further explanation of what lies behind these (assumptions are high-
lighted in italics):
    A large software company has decided to develop an upgrade of its web browser.
    They assume that there is a need for a new one, which has better and more powerful
    functionality. They begin by carrying out an extensive study of people's actual use of
    web browsers, talking to lots of different kinds of users and observing them using
    their browsers. One of their main findings is that many people do not use the
    bookmarking feature effectively. A common finding is that it is too restrictive and
    underused. In fathoming why this is the case, it was considered that the process of
    placing web addresses into hierarchical folders was an inadequate way of supporting
    the user activity of needing to mark hundreds and sometimes thousands of websites
    such that any one of them could be easily returned to or forwarded onto other
    people. A n implication of the study was that a new way of saving and retrieving web
    addresses was needed.

   In working out why users find the existing feature of bookmarking cumber-
some to use, a further assumption was explicated:
      The existing way of organizing saved (favorite) web addresses into folders i
                                                                                 s
      inefjicient because it takes too long and is prone to errors.
    A number of underlying reasons why this was assumed to be the case were fur-
ther identified, including:
      It is easy to lose web addresses by placing them accidentally into the wrong
      folders.
      I t is not easy to move web addresses between folders.
      It is not obvious how .to move a number of addresses from the saved favorite
      list into another folder simultaneously.
      It is not obvious how to reorder web addresses once placed in folders.
38   Chapter 2   Understanding and conceptualizing interaction

                      Based on this analysis, a set of assumptions about the user needs for supporting
                 this activity more effectively were then made. These included:
                        If the bookmarking function was improved users would find it more useful
                        and use it more to organize their web addresses.
                        Users need a flexible way of organizing web addresses they want to keep for
                        further reference or for sending on to other people.

                 A framework for explicating assumptions
                 Reasoning through your assumptions about why something might be a good idea
                 enables you to see the strengths and weaknesses of your proposed design. In so
                 doing, it enables you to be in a better position to commence the design process. We
                 have shown you how to begin this, through operationalizing relevant usability
                 goals. In addition, the following questions provide a useful framework with which
                 to begin thinking through the problem space:
                        Are there problems with an existing product? If so, what are they? Why do
                        you think there are problems?
                        Why do you think your proposed ideas might be useful? How do you envi-
                        sion people integrating your proposed design with how they currently do
                        things in their everyday or working lives?
                        How will your proposed design support people in their activities? In what
                        way does it address an identified problem or extend current ways of doing
                        things? Will it really help?


                 At the turn of the millennium, WAP-enabled (wireless application protocol) phones came
                 into being, that enabled people to connect to the Internet using them. To begin with, the
                 web-enabled services provided were very primitive, being text-based with limited graphics
                 capabilities. Access was very restricted, with the downloaded information being displayed
                 on a very small LCD screen (see Figure 2.2). Despite this major usability drawback, every
                 telecommunication company saw this technological breakthrough as an opportunity to cre-
                 ate innovative applications. A host of new services were explored, including text messaging,
                 online booking of tickets, betting, shopping, viewing movies, stocks and shares, sports events
                 and banking.
                     What assumptions were made about the proposed services? How reasonable are these
                 assumptions?




                                             Figure 2.2 An early cell phone display. Text is restricted to
                                             three or four lines at a time and scrolls line by line, making read-
                                             ing very cumbersome. Imagine trying to read a page from this
                                             book in this way! The newer 3G (third generation) phones have
                                             bigger displays, more akin to those provided with handheld
                                             computers.
2.3 Conceptual models       39

Comment   The problem space for this scenario was very open-ended. There was no identifiable problem
          that needed to be improved or fixed. Alternatively, the new WAP technology provided op-
          portunities to create new facilities and experiences for people. One of the main assumptions
          is that people want to be kept informed of up-to-the-minute news (e.g. sports, stocks and
          share prices) wherever they are. Other assumptions included:

               That people want to be able to decide what to do in an evening while on their way
               home from work (e.g., checking TV listings, movies, making restaurant reservations).
               That people want to be able to interact with information on the move (e.g., reading
               email on the train).
               That users are prepared to put up with a very small display and will be happy browsing
               and interacting with information using a restricted set of commands via a small number
               of tiny buttons.
               That people will be happy doing things on a mobile phone that they normally do using
               their PCs (e.g., reading email, surfing the web, playing video games, doing their
               shopping).

              It is reasonable to assume that people want flexibility. They like to be able to find out
          about news and events wherever they are (just look at the number of people who take a
          radio with them to a soccer match to find out the scores of other matches being played at the
          same time). People also like to use their time productively when traveling, as in making
          phone calls. Thus it is reasonable to assume they would like to read and send email on the
          move. The most troublesome assumption is whether people are prepared to interact with the
          range of services proposed using such a restricted mode of interactivity. In particular, it is
          questionable whether most people are prepared to give up what they have been used to (e.g.
          large screen estate, ability to type messages using a normal-sized keyboard) for the flexibility
          of having access to very restricted Internet-based information via a cell phone they can keep
          in their pocket.




               One of the benefits of working through your assumptions for a problem space
          before building anything is that it can highlight problematic concerns. In so doing,
          it can identify ideas that need to be reworked, before it becomes too late in the de-
          sign process to make changes. Having a good understanding of the problem space
          can also help greatly in formulating what it is you want to design. Another key as-
          pect of conceptualizing the problem space is to think about the overall structure of
          what will be built and how this will be conveyed to the users. In particular, this in-
          volves developing a conceptual model.



23 Conceptual models
 .
              "The most important thing to design is the user's conceptual model. Everything else
              should be subordinated to making that model clear, obvious, and substantial. That
              is almost exactly the opposite of how most software is designed." (David Liddle,
              1996, p. 17)
40   Chapter 2   Understanding and conceptualizing interaction

                 By a conceptual model is meant:
                     a description of the proposed system in terms of a set of integrated ideas and concepts
                     about what it should do, behave and look like, that will be understandable by the users
                     in the manner intended.
                 To develop a conceptual model involves envisioning the proposed product, based
                 on the users' needs and other requirements identified. To ensure that it is designed
                 to be understandable in the manner intended requires doing iterative testing of the
                 product as it is developed. A key aspect of this design process is initially to decide
                 what the users will be doing when carrying out their tasks. For example, will they
                 be primarily searching for information, creating documents, communicating with
                 other users, recording events, or some other activity? At this stage, the interaction
                 mode that would best support this needs to be considered. For example, would al-
                 lowing the users to browse be appropriate, or would allowing them to ask questions
                 directly to the system in their native language be more effective? Decisions about
                 which kind of interaction style to use (e.g., whether to use a menu-based system,
                 speech input, commands) should be made in relation to the interaction mode.
                 Thus, decisions about which mode of interaction to support differ from those
                 made about which style of interaction to have; the former being at a higher level
                 of abstraction. The former are also concerned with determining the nature of the
                 users' activities to support, while the latter are concerned with the selection of
                 specific kinds of interface.
                      Once a set of possible ways of interacting with an interactive system has been
                 identified, the design of the conceptual model then needs to be thought through
                 in terms of actual concrete solutions. This entails working out the behavior of the
                 interface, the particular interaction styles that will be used, and the "look and
                 feel" of the interface. At this stage of "fleshing out," it is always a good idea to
                 explore a number of possible designs and to assess the merits and problems of
                 each one.
                      Another way of designing an appropriate conceptual model is to select an in-
                 terface metaphor. This can provide a basic structure for the conceptual model that
                 is couched in knowledge users are familiar with. Examples of well-known interface
                 metaphors are the desktop and search engines (which we will cover in Section 2.4).
                 Interaction paradigms can also be used to guide the formation of an appropriate
                 conceptual metaphor. They provide particular ways of thinking about interaction
                 design, such as designing for desktop applications or ubiquitous computing (these
                 will also be covered in Section 2.5).
                      As with any aspect of interaction design, the process of fleshing out conceptual
                 models should be done iteratively, using a number of methods. These include
                 sketching out ideas, storyboarding, describing possible scenarios, and prototyping
                 aspects of the proposed behavior of the system. All these methods will be covered
                 in Chapter 8, which focuses on doing conceptual design. Here, we describe the dif-
                 ferent kinds of conceptual models, interface metaphors, and interaction paradigms
                 to give you a good understanding of the various types prior to thinking about how
                 to design them.
2.3 Conceptual models      41

                  There are a number of different kinds of conceptual models. These can be bro-
              ken down into two main categories: those based on activities and those based on
              objects.

2.3.1 Conceptual models based on activities
              The most common types of activities that users are likely to be engaged in when in-
              teracting with systems are:
                  1.   instructing
                  2.   conversing
                  3.   manipulating and navigating
                  4.   exploring and browsing
              A first thing to note is that the various kinds of activity are not mutually exclusive,
              as they can be carried out together. For example, it is possible for someone to give
              instructions while conversing or navigate an environment while browsing. How-
              ever, each has different properties and suggests different ways of being developed
              at the interface. The first one is based on the idea of letting the user issue instruc-
              tions to the system when performing tasks. This can be done in various interaction
              styles: typing in commands, selecting options from menus in a windows environ-
              ment or on a touch screen, speaking aloud commands, pressing buttons, or using a
              combination of function keys. The second one is based on the user conversing with
              the system as though talking to someone else. Users speak to the system or type in
              questions to which the system replies via text or speech output. The third type is
              based on allowing users to manipulate and navigate their way through an environ-
              ment of virtual objects. It assumes that the virtual environment shares some of the
              properties of the physical world, allowing users to use their knowledge of how
              physical objects behave when interacting with virtual objects. The fourth kind is
              based on the system providing information that is structured in such a way as to
              allow users to find out or learn things, without having to formulate specific ques-
              tions to the system.


              A company is building a wireless information system to help tourists find their way around
              an unfamiliar city. What would they need to find out in order to develop a conceptual
              model?

Comment       To begin, they would need to ask: what do tourists want? Typically, they want to find out
              lots of things, such as how to get from A to B, where the post office is and where a good Chi-
              nese restaurant is. They then need to consider how best to support the activity of requesting
              information. Is it preferable to enable the tourists to ask questions of the system as if they
              were having a conversation with another human being? Or would it be more appropriate to
              allow them to ask questions as if giving instructions to a machine? Alternatively, would they
              prefer a system that structures information in the form of lists, maps, and recommendations
              that they could then explore at their leisure?
42   Chapter 2   Understanding and conceptualizing interaction

                 1.   Instructing
                 This kind of conceptual model describes how users carry out their tasks through in-
                 structing the system what to do. Examples include giving instructions to a system to
                 perform operations like tell the time, print a file, and remind the user of an ap-
                 pointment. A diverse r.?nge of devices has been designed based on this model, in-
                 cluding VCRs, hi-fi systems, alarm clocks, and computers. The way in which the
                 user issues instructions can vary from pressing buttons to typing in strings of char-
                 acters. Many activities are readily supported by giving instructions.
                      Operating systems like Unix and DOS have been specifically designed as com-
                 mand-based systems, to which the user issues instructions at the prompt as a com-
                 mand or set of commands. In Windows and other GUI-based systems, control keys
                 or the selection of menu options via a mouse are used. Well-known applications that
                 are command-based include word processing, email, and CAD. Typically, a wide
                 range of functions is provided from which users choose when they want to do some-
                 thing to the object they are working on. For example, a user writing a report using a
                 word processor will want to format the document, count the numbers of words typed,
                 and check the spelling. The user will need to instruct the system to do these opera-
                 tions by issuing apprbpriate commands. Typically, commands are carried out in a se-
                 quence, with the system responding appropriately (or not) as instructed.
                      One of the main benefits of an instruction-based conceptual model is that it
                 supports quick and efficient interaction. It is particularly suited to repetitive kinds
                 of actions performed on multiple objects. Examples include the repetitive actions
                 of saving, deleting, and organizing email messages or files.



                 There are many different kinds of vending machines in the world. Each offers a range of
                 goods, requiring the user initially to part with some money. Figure 2.3 shows photos of two
                 different vending machines, one that provides soft drinks and the other a range of snacks.
                 Both support the interaction style of issuing instructions. However, the way they do it is
                 quite different.
                    What instructions must be issued to obtain a can of soft drink from the first machine and
                 a bar of chocolate from the second? Why has it been necessary to design a more complex
                 mode of interaction for the second vending machine? What problems can arise with this
                 mode of interaction?

Comment          The first vending machine has been designed on a very simple instruction-based conceptual
                 model. There are a small number of drinks to choose from and each is represented by a large
                 button displaying the label of each drink. The user simply has to press one button and
                 (hopefully) this will have the effect of returning the selected drink. The second machine is
                 more complex, offering a wider range of snacks. The trade-off for providing more choices,
                 however, is that the user can no longer instruct the machine by using a simple one-press ac-
                 tion but is required to use a more complex process, involving: (i) reading off the code (e.g.,
                 C12) under the item chosen, then (ii) keying this into the number pad adjacent to the dis-
                 played items, and (iii) checking the price of the selected option and ensuring that the
                 amount of money inserted is the same or more (depending on whether or not the machine
                 provides change). Problems that can arise from this mode of interaction are the customer
2.3 Conceptual models       43




Figure 2.3 Two vending machines, (a) one selling soft drinks, (b) the other selling a range of
snacks.


misreading the code and or mistyping in the code, resulting in the machine not issuing the
snack or providing the wrong sort.
   A better way of designing an interface for a large number of choices of variable cost is to
continue to use direct mapping, but use buttons that show miniature versions of the snacks
placed in a large matrix (rather than showing actual versions). This would use the available
space at the front of the vending machine more economically. The customer would need
only to press the button of the object chosen and put in the correct amount of money.



     Much research has been carried out on how to optimize command-based and
other instruction-giving systems with respect to usabilty goals. The form of the
commands (e.g., the use of abbreviations, full names, icons, and/or labels), their
syntax (how best to combine different commands), and their organization (e.g.,
how to structure options in different menus) are examples of some of the main
areas that have been investigated (Shneiderman, 1998). In addition, various cogni-
tive issues have been investigated that we will look at in the next chapter, such as
the problems people have in remembering the names of a set of commands. Less
44   Chapter 2   Understanding and conceptualizing interaction

                 research has been carried out, however, on the best way to design the ordering and
                 sequencing of button pressing for physical devices like cell phones, calculators, re-
                 mote controls and vending machines.

                 Another ubiquitous vending machine is the ticket machine. Typically, a number of instruc-
                 tions have to be given in a sequence when using one of these. Consider ticket machines de-
                 signed to issue train tickets at railway stations-how often have you (or the person in front
                 of you) struggled to work out how to purchase a ticket and made a mistake? How many in-
                 structions have to be given? What order are they given in? Is it logical or arbitrary? Could
                 the interaction have been designed any differently to make it more obvious to people how to
                 issue instructions to the machine to get the desired train ticket?
Comment          Ticketing machines vary enormously from country to country and from application to appli-
                 cation. There seems to be little attempt to standardize. Therefore, a person's knowledge of
                 the Eurostar ticketing machine will not be very useful when buying a ticket for the Sydney
                 Monorail or cinema tickets for the Odeon. Sometimes the interaction has been designed to
                 get you to specify the type of ticket first (e.g. adult, child), the kind of ticket (e.g. single, re-
                 turn, special saver), then the destination, and finally to insert their money. Others require
                 that the user insert a credit card first, before selecting the destination and the type of ticket.


                 2. Conversing
                 This conceptual model is based on the idea of a person conversing with a system,
                 where the system acts as a dialog partner. In particular, the system is designed to
                 respond in a way another human being might when having a conversation with
                 someone else. It differs from the previous category of instructing in being intended
                 to reflect a more two-way communication process, where the system acts more like
                 a partner than a machine that simply obeys orders. This kind of conceptual model
                 has been found to be most useful for applications in which the user needs to find
                 out specific kinds of information or wants to discuss issues. Examples include advi-
                 sory systems, help facilities, and search engines. The proposed tourist application
                 described earlier would fit into this category.
                      The kinds of conversation that are supported range from simple voice-recognition
                 menu-driven systems that are interacted with via phones to more complex natural-lan-
                 guage-based systems that involve the system parsing and responding to user queries
                 typed in by the user. Examples of the former include banking, ticket booking, and
                 train time inquiries, where the user talks to the system in single-word phrases (e.g.,
                 yes, no, three) in response to prompts from the system. Examples of the latter include
                 search engines and help systems, where the user types in a specific query (e.g., how do
                 I change the margin widths?) to which the system responds by giving various answers.
                      A main benefit of a conceptual model based on holding a conversation is that it
                 allows people, especially novices, to interact with a system in a way they are already
                 familiar with. For example, the search engine "Ask Jeeves for Kids!" allows chil-
                 dren to ask a question in a way they would when asking their teachers or parents-
                 rather than making them reformulate their question in terms of key words and
                 Boolean logic. A disadvantage of this approach, however, is the misunderstandings
                 that can arise when the search engine is unable to answer the child's question in the
2.3 Conceptual models   45

You asked: How many legs does a ceyipede have?

Jeeves knows these answers:

Where can I find a definition for the math term
leg?


                                , .
 Where can I find a concise encvclo~edia
                                       article on ?
centipedes?


                       -
 Where can I see an image of the human
appendix?


 Why does my leg or other limb fall asleep?


 Where can I find advice on controlling the garden pest ?
millipedes and centipedes?

                                                                Figure 2.4 The response from "Ask
                     ources from Britannica.com on              Jeevesf r K d ! s a c engine when
                                                                        o is" erh
                                                                asked "how many l g does acen-
                                                                                  es
                                                                t p d have?"
                                                                 iee


way the child expects. For example, a child might type in a seemingly simple question,
like "How many legs does a centipede have?" which the search engine finds difficult
to answer. Instead, the search engine replies by suggesting a number of possible web-
sites that may be relevant but-as can be seen in Figure 2.4-can be off the mark.
     Another problem that can arise from a conversational-based, conceptual
model is that certain kinds of tasks are transformed into cumbersome and one-
sided interactions. This is especially the case for automated phone-based systems
that use auditory menus to advance the conversation. Users have to listen to a
voice providing several options, then make a selection, and repeat through further
layers of menus before accomplishing their goal (e.g., reaching a real human, pay-
ing a bill). Here is the beginning of a dialog between a user who wants to find out
about car insurance and an insurance company's reception system:
     <user dials an insurance company>
     "Welcome to St. Paul's Insurance Company. Press 1 if new
     customer, 2 if you are an existing customer".
     <user presses 1>
     "Thank you for calling St. Paul's Insurance Company. If you
     require house insurance press 1, car insurance press 2,
     travel insurance press 3 , health insurance press 4, other
     press 5"
     <user presses 2>
     "You have reached the car insurance division. If you re-
     quire information about fully comprehensive insurance press
     1, 3rd-party insurance press 2 . . "                   .
46   Chapter 2                                              k
                 Understanding and conceptualizing intera ion

                                                       81       Randy Glasberw.
                                                         $ww.01asbergen.com       1




                        "If you'd like to press 1, press 3.
                         If you'd like to press 3 press 8.
                                                 ,
                       If you'd like to press 8, press S..."




                       A recent development based on the conversing conceptual model is animated
                 agents. Various kinds of characters, ranging from "real" people appearing at the
                 interface (e.g., videoed personal assistants and guides) to cartoon characters (e.g.,
                 virtual and imaginary creatures), have been designed to act as the partners in the
                 conversation with the system. In so doing, the dialog partner has become highly
                 visible and tangible, appearing to both act and talk like a human being (or crea-
                 ture). The user is able to see, hear, and even touch the partner (when it is a physi-
                 cal toy) they are talking with, whereas with other systems based on a dialog
                 partner (e.g., help systems) they can only hear or read what the system is saying.
                 Many agents have also been designed to exhibit desirable human-like qualities
                 (e.g., humorous, happy, enthusiastic, pleasant, gentle) that are conveyed through
                 facial expressions and lifelike physical movements (head and lip movements,
                 body movements). Others have been designed more in line with Disney-like car-
                 toon characters, exhibiting exaggerated behaviors (funny voices, larger-than-life
                 facial expressions).
                       Animated agents that exhibit human-like or creature-like physical behavior as
                 well as "talk" can be more believable. The underlying conceptual model is con-
                 veyed much more explicitly through having the system act and talk via a visible
                 agent. An advantage is that it can make it easier for people to work out that the in-
                 terface agent (or physical toy) they are conversing with is not a human being, but a
                 synthetic character that has been given certain human qualities. In contrast, when
                 the dialog partner is hidden from view, it is more difficult to discern what is behind
                 it and just how intelligent it is. The lack of visible cues can lead users into thinking
                 it is more intelligent than it actually is. If the dialog partner then fails to understand
                 their questions or comments, users are likely to lose patience with it. Moreover,
2.3 Conceptual models     47

they are likely to be less forgiving of it (having been fooled into thinking the dialog
partner is more intelligent than it really is) than of a dialog partner that is repre-
sented as a cartoon character at the interface (having only assumed it was a simple
partner). The flip side of imbuing dialog partners with a physical presence at the in-
terface, however, is that they can turn out to be rather annoying (for more on this
topic see Chapter 5).

3. Manipulating and navigating
This conceptual model describes the activity of manipulating objects and navigat-
ing through virtual spaces by exploiting users' knowledge of how they do this in the
physical world. For example, virtual objects can be manipulated by moving, select-
ing, opening, closing, and zooming in and out of them. Extensions to these actions
can also be included, such as manipulating objects or navigating through virtual
spaces, in ways not possible in the real world. For example, some virtual worlds
have been designed to allow users to teleport from place to place or to transform
one object into another.
     A well known instantidtion of this kind of conceptual model is direct manip-
ulation. According to Ben Shneiderman (1983), who coined the term, direct-
manipulation interfaces possess three fundamental properties:
      continuous representation of the objects and actions of interest
      rapid reversible incremental actions with immediate feedback about the
      object of interest
      physical actions and button pressing instead of issuing commands with
      complex syntax
Benefits of direct manipulation interfaces include:
      helps beginners learn basic functionality rapidly
      experienced users can work rapidly on a wide range of tasks
      infrequent users can remember how to carry out operations over time
      no need for error messages, except very rarely
      users can immediately see if their actions are furthering their goals and if not
      do something else
      useis experience less anxiety
      users gain confidence and mastery and feel in control
Apple Computer Inc. was one of the first computer companies to design an op-
erating environment using direct manipulation as its central mode of interaction.
The highly successful Macintosh desktop demonstrates the main principles of di-
rect manipulation (see Figure 2.5). To capitalize on people's understanding of
what happens to physical objects in the real world, they used a number of visual
and auditory cues at the interface that were intended to emulate them. One of
Chapter




          Figure 2.5 Original Macintosh desktop interface.




          their assumptions was that people expect their physical actions to have physical
          results, so when a drawing tool is used, a corresponding line should appear and
          when a file is placed in the trash can a corresponding sound or visual cue show-
          ing it has been successfully thrown away is used (Apple Computer Inc., 1987). A
          number of specific visual and auditory cues were used to provide such feedback,
          including various animations and sounds (e.g. shrinking and expanding icons ac-
          companied with 'shhhlicc' and 'crouik' sounds to represent opening and closing
          of files). Much of this interaction design was geared towards providing clues to
          the user to know what to do, to feel comfortable, and to enjoy exploring the
          interface.
               Many other kinds of direct manipulation interfaces have been developed, in-
          cluding video games, data visualization tools and CAD systems. Virtual environ-
          ments and virtual reality have similarly employed a range of interaction
          mechanisms that enable users to interact with and navigate through a simulated 3D
          physical world. For example, users can move around and explore aspects of a 3D
          environment (e.g., the interior of a building) while also moving objects around in
          the virtual environment, (e.g., rearranging the furniture in a simulated living
          room). Figure 2.6 on Color Plate 3 shows screen shots of some of these.
               While direct manipulation and virtual environments provide a very versatile
          mode of interaction, they do have a number of drawbacks. At a conceptual level,
          some people may take the underlying conceptual model too literally and expect
          certain things to happen at the interface in the way they would in the physical
          world. A well known example of this phenomenon is of new Mac users being terri-
2.3 Conceptual models      49

          fied of dragging the icon of their floppy disk to the trash can icon on the desktop to
          eject it from the computer for fear of deleting it in the same way files are when
          placed in the trash can. The conceptual confusion arises because the designers
          opted to use the same action (dropping) on the same object (trash can) for two
          completely different operations, deleting and ejecting. Another problem is that not
          all tasks can be described by objects and not all actions can be done directly. Some
          tasks are better achieved through issuing instructions and having textual descrip-
          tions rather than iconic representations. Imagine if email messages were repre-
          sented as small icons in your mailbox with abbreviations of who they were from
          and when they were sent. Moreover, you could only move them around by drag-
          ging them with a mouse. Very quickly they would take up your desk space and you
          would find it impossible to keep track of them all.


          4. Exploring and browsing
          This conceptual model is based on the idea of allowing people to explore and
          browse information, exploiting their knowledge of how they do this with existing
          media (e.g., books, magazines, TV, radio, libraries, pamphlets, brochures). When
          people go to a tourist office, a bookstore, or a dentist's surgery, often they scan and
          flick through parts of the information displayed, hoping to find something interest-
          ing to read. CD-ROMs, web pages, portals and e-commerce sites are applications
          based on this kind of conceptual model. Much thought needs to go into structuring
          the information in ways that will support effective navigation, allowing people to
          search, browse, and find different kinds of information.



          What conceptual models are the following applications based on?
            (a) a 3D video game, say a car-racing game with a steering wheel and tactile, audio, and
                visual feedback
            (b) the Windows environment
            (c) a web browser

Commenf     (a) A 3D video game is based on a direct manipulation/virtual environment conceptual
                model.
            (b) The Windows environment is based on a hybrid form of conceptual model. It com-
                bines a manipulating mode of interaction where users interact with menus, scrollbars,
                documents, and icons, an instructing mode of interaction where users can issue com-
                mands through selecting menu options and combining various function keys, and a
                conversational model of interaction where agents (e.g. Clippy) are used to guide
                users in their actions.
            (c) A web browser is also based on a hybrid form of conceptual model, allowing users to
                explore and browse information via hyperlinks and also to instruct the network what
                to search for and what results to present and save.
50   Chapter 2   Understanding and conceptualizinginteraction
2.3 Conceptual models      51

               Which conceptual model or combination of models do you think is most suited to supporting
               the following user activities?
                 (a) downloading music off the web
                 (b) programming
Comment          (a) The activity involves selecting, saving, cataloging and retrieving large files from an
                     external source. Users need to be able to browse and listen to samples of the music
                     and then instruct the machine to save and catalog the files in an order that they can
                     readily access at subsequent times. A conceptual model based on instructing and
                     navigating would seem appropriate.
                 (b) Programming involves various activities including checking, debugging, copying li-
                     braries, editing, testing, and annotating. An environment that supports this range of
                     tasks needs to be flexible. A conceptual model that allows visualization and easy ma-
                     nipulation of code plus efficient instructing of the system on how to check, debug,
                     copy, etc., is essential.

2.3.2   Conceptual models based on objects
              The second category of conceptual models is based on an object or artifact, such as
              a tool, a book, or a vehicle. These tend to be more specific than conceptual models
              based on activities, focusing on the way a particular object is used in a particular
              context. They are often based on an analogy with something in the physical world.
              An example of a highly successful conceptual model based on an object is the
              spreadsheet (Winograd, 1996). The object this is based on is the ledger sheet.
                   The first spreadsheet was designed by Dan Bricklin, and called VisiCalc. It en-
              abled people to carry out a range of tasks that previously could only be done very
              laboriously and with much difficulty using other software packages, a calculator, or
              by hand (see Figure 2.7). The main reasons why the spreadsheet has become so
              successful are first, that Bricklin understood what kind of tool would be useful to
              people in the financial world (like accountants) and second, he knew how to design
              it so that it could be used in the way that these people would find useful. Thus, at
              the outset, he understood (i) the kinds of activities involved in the financial side of
              business, and (ii) the problems people were having with existing tools when trying
              to achieve these activities.
                   A core financial activity is forecasting. This requires projecting financial results
              based on assumptions about a company, such as projected and actual sales, invest-
              ments, infrastructure, and costs. The amount of profit or loss is calculated for different
              projections. For example, a company may want to determine how much loss it will
              incur before it will start making a profit, based on different amounts of investment, for
              different periods of time. Financial analysts need to see a spread of projections for dif-
              ferent time periods. Doing this kind of multiple projecting by hand requires much ef-
              fort and is subject to errors. Using a calculator can reduce the computational load of
              doing numerous sums, but it still requires the person to do much key pressing and
              writing down of partial results-again making the process vulnerable to errors.
                   To tackle these problems, Bricklin exploited the interactivity provided by micro-
              computers and developed an application that was capable of interactive financial
52   Chapter 2           Understanding and conceptualizing interaction




                                                                       Rrcalculal~oo
                                                                                   Osdsf                                Memory I I dt (
                                                                                                                                m C lD
                                        Entry Type V 40' v ~ l w L                                                      HDvr mlny K memory
                                        fur tabct  for ~ p a M l n 9                 oR
                                                                       l n l i ~ ~ l I1 l IICtOSS                       avaUlbtt It liMhrnp M
                                        IebLIl                         lDVd5 /fC dQWR GQtURIRB                          WI 0 room
                                                                                                                            1
     Currsnr Enrw 5 Cwrdkll?%es

                                                                                                  Dhad+an  tndtcatw d
                                                                                                     mi^ keys wtll move
                                                                                                    e w e rag sod down I(   -   /

 Edh line Rashmg block
 m e n 4 wstmg wpue




                            /
                         Cursor            Two w~ndawa   when the
                                                                        $
                                                                        ;?    Jws81tw F~lma'c

                                           screen 4 BP'*

                                                                                               (obpsr Format ( I
                                                                                                              S)                Vatu. Enlty

                         Figure 2.7   Reference card showing annotated screen dump for VisiCalc




                         modeling. Key aspects of his conceptual model were: (i) to create a spreadsheet that
                         was analogous to a ledger sheet in the way it looked, with columns and rows, which
                         allowed people to capitalize on their familiarity with how to use this kind of repre-
                         sentation, (ii) to make the spreadsheet interactive, by allowing the user to input and
                         change data in any of the cells in the columns or rows, and (iii) to get the computer
                         to perform a range of different calculations and recalculations in response to user
                         input. For example, the last column can be programmed to display the sum of all the
                         cells in the columns preceding it. With the computer doing all the calculations, to-
                         gether with an easy-to-learn-and-use interface, users were provided with an easy-to-
                         understand tool. Moreover, it gave them a new way of effortlessly working out any
2.3 Conceptual models    53
number of forecasts-greatly extending what they could do before with existing
tools.
    Another popular accounting tool intended for the home market, based on a con-
ceptual model of an object, is Quicken. This used paper checks and registers for its
basic structure. Other examples of conceptual models based on objects include most
operating environments (e.g., Windows and the Mac desktop) and web portals. All
provide the user with a familiar frame of reference when starting the application.
54   Chapter 2   Understanding and conceptualizing interaction

2.3.3 A case of mix and match?
                 As we have pointed out, which kind of conceptual model is optimal for a given ap-
                 plication obviously depends on the nature of the activity to be supported. Some are
                 clearly suited to supporting a given activity (e.g., using manipulation and naviga-
                 tion for a flight simulator) while for others, it is less clear what might be best (e.g.,
                 writing and planning activities may be suited to both manipulation and giving in-
                 structions). In such situations, it is often the case that some form of hybrid concep-
                 tual model that combines different interaction styles is appropriate. For example,
                 the tourist application in Activity 2.2 may end up being optimally designed based
                 on a combination of conversing and exploring models. The user could ask specific
                 questions by typing them in or alternatively browse through information. Shopping
                 on the Internet is also often supported by a range of interaction modes. Sometimes
                 the user may be browsing and navigating, other times communicating with an
                 agent, at yet other times parting with credit card details via an instruction-based
                 form fill-in. Hence, which mode of interaction is "active" depends on the stage of
                 the activity that is being carried out.
2.4 Interface metaphors   55

                The down side of mixing interaction moqes is that the underlying conceptual
           model can end up being more complex and ambiguous, making it more difficult
           for the user to understand and learn. For example, some operating and word-pro-
           cessing systems now make it possible for the user to carry out the same activity in
           a number of different ways (e.g., to delete a file the user can issue a command
           like CtrlD, speak to the computer by saying "delete file," or drag an icon of the
           file to the recycle bin). Users will have to learn the different styles to decide
           which they prefer. Inevitably, the learning curve will be steeper, but in the long
           run the benefits are that it enables users to decide how they want to interact with
           the system.


2.4 Interface metaphors
           Another way of describing conceptual models is in terms of interface metaphors.
           By this is meant a conceptual model that has been developed to be similar in
           some way to aspects of a physical entity (or entities) but that also has its own be-
           haviors and properties. Such models can be based on an activity or an object or
           both. As well as being categorized as conceptual models based on objects, the
           desktop and the spreadsheet are also examples of interface metaphors. Another
           example of an interface metaphor is a "search engine." The tool has been de-
           signed to invite comparison with a physical object-a mechanical engine with
           several parts working-together with an everyday action-searching by looking
           through numerous files in many different places to extract relevant information.
           The functions supported by a search engine also include other features besides
           those belonging to an engine that searches, such as listing and prioritizing the re-
           sults of a search. It also does these actions in quite different ways from how a me-
           chanical engine works or how a human being might search a library for books on
           a given topic. The similarities alluded to by the use of the term "search engine,"
           therefore, are at a very general conceptual level. They are meant to conjure up
           the essence of the process of finding relevant information, enabling the user to
           leverage off this "anchor" further understanding of other aspects of the function-
           ality provided.
                Interface metaphors are based on conceptual models that combine familiar
           knowledge with new concepts. As mentioned in Box 2.2, the Star was based on a
           conceptual model of the familiar knowledge of an office. Paper, folders, filing cabi-
           nets, and mailboxes were represented as icons on the screen and were designed to
           possess some of the properties of their physical counterparts. Dragging a document
           icon across the desktop screen was seen as equivalent to picking up a piece of
           paper in the physical world and moving it (but of course is a very different action).
           Similarly, dragging an electronic document onto an electronic folder was seen as
           being analogous to placing a physical document into a physical cabinet. In addition,
           new concepts that were incorporated as part of the desktop metaphor were opera-
           tions that couldn't be performed in the physical world. For example, electronic files
           could be placed onto an icon of a printer on the desktop, resulting in the computer
           printing them out.
I   56   Chapter 2   Understanding and conceptualizing interaction




                     Interface metaphors are often actually composites, i.e., they combine quite different pieces
                     of familiar knowledge with the system functionality. We already mentioned the "search en-
                     gine" as one such example. Can you think of any others?

    Comment          Some other examples include:
                        Scrollbar--combines the concept of a scroll with a bar, as in bar chart
                        Toolbar--combines the idea of a set of tools with a bar
                        Portal website-a gateway to a particular collection of pages of networked information



                     Benefits of interface metaphors
                     Interface metaphors have proven to be highly successful, providing users with a
                     familiar orienting device and helping them understand and learn how to use a sys-
                     tem. People find it easier to learn and talk about what they are doing at the com-
2.4 Interface metaphors    57

            puter interface in terms familiar to them-whether they are computer-phobic or
            highly experienced programmers. Metaphorically based commands used in Unix,
            like "lint" and "pipe," have very concrete meanings in everyday language that,
            when used in the context of the Unix operating system, metaphorically represent
            some aspect of the operations they refer to. Although their meaning may appear
            obscure, especially to the novice, they make sense when understood in the context
            of programming. For example, Unix allows the programmer to send the output of
            one program to another by using the pipe (1) symbol. Once explained, it is easy to
            imagine the output from one container going to another via a pipe.


            Can you think of any bizarre computing metaphors that have become common parlance
            whose original source of reference is (or always was) obscure?

Cornrnent   A couple of intriguing ones are:
               Java-The programing language Java originally was called Oak, but that name had
                  already been taken. It is not clear how the developers moved from Oak to Java. Java
                  is a name commonly associated with coffee. Other Java-based metaphors that have
                  been spawned include Java beans (a reusable software component) and the steaming
                  coffee-cup icon that appears in the top left-hand corner of Java applets.
               Bluetooth-Bluetooth is used in a computing context to describe the wireless technol-
                  ogy that is able to unite technology, communication, and consumer electronics. The
                  name is taken from King Harald Blue Tooth, who was a 10th century legendary
                  Viking king responsible for uniting Scandinavia and thus getting people to talk to
                  each other.



            Opposition to using interface metaphors
            A mistake sometimes made by designers is to try to design an interface metaphor
            to look and behave literally like the physical entity it is being compared with.
            This misses the point about the benefit of developing interface metaphors. As
            stressed earlier, they are meant to be used to map familiar to unfamiliar knowl-
            edge, enabling users to understand and learn about the new domain. Designing
            interface metaphors only as literal models of the thing being compared with has
            understandably led to heavy criticism. One of the most outspoken critics is Ted
            Nelson (1990) who considers metaphorical interfaces as "using old half-ideas as
            crutches" (p. 237). Other objections to the use of metaphors in interaction design
            include:
                 Breaks the rules. Several commentators have criticized the use of interface
            metaphors because of the cultural and logical contradictions involved in accommo-
            dating the metaphor when instantiated as a GUI. A pet hate is the recycle bin (for-
            merly trash can) that sits on the desktop. Logically and culturally (i.e., in the real
            world), it should be placed under the desk. If this same rule were followed in the
            virtual desktop, users would not be able to see the bin because it would be oc-
            cluded by the desktop surface. A counter-argument to this objection is that it does
58   Chapter 2   Understanding and conceptualizing interaction

                 not matter whether rules are contravened. Once people understand why the bin is
                 on the desktop, they readily accept that the real-world rule had to be broken.
                 Moreover, the unexpected juxtaposition of the bin on the desktop can draw to the
                 user's attention the additional functionality that it provides.
                       Too constraining. Another argument against interface metaphors is that they
                 are too constraining, restricting the kinds of computational tasks that would be
                 useful at the interface. An example is trying to open a file that is embedded in
                 several hundreds of files in a directory. Having to scan through hundreds of icons
                 on a desktop or scroll through a list of files seems a very inefficient way of doing
                 this. As discussed earlier, a better way is to allow the user to instruct the computer
                 to open the desired file by typing in its name (assuming they can remember the
                 name of the file).
                       Conflicts with design principles. By trying to design the interface metaphor to
                 fit in with the constraints of the physical world, designers are forced into making
                 bad design solutions that conflict with basic design principles. Ted Nelson sets up
                 the trash can again as an example of such violation: "a hideous failure of consis-
                 tency is the garbage can on the Macintosh, which means either "destroy this" or
                 "eject it for safekeeping" (Nelson, 1990).
                       Not being able to understand the system functionality beyond the metaphor. It
                 has been argued that users may get fixed in their understanding of the system based
                 on the interface metaphor. In so doing, they may find it difficult to see what else
                 can be done with the system beyond the actions suggested by the interface
                 metaphor. Nelson (1990) also argues that the similarity of interface metaphors to
                 any real objects in the world is so tenuous that it gets in the way more than it helps.
                 We would argue the opposite: because the link is tenuous and there are only a cer-
                 tain number of similarities, it enables the user to see both the dissimilarities and
                 how the metaphor has been extended.
                       Overly literal translation of existing bad designs. Sometimes designers fall into
                 the trap of trying to create a virtual object to resemble a familiar physical object
                 that is itself badly designed. A well-known example is the virtual calculator,
                 which is designed to look and behave like a physical calculator. The interface of
                 many physical calculators, however, has been poorly designed in the first place,
                 based on poor conceptual models, with excessive use of modes, poor labeling of
                 functions, and difficult-to-manipulate key sequences (Mullet and Sano, 1995).
                 The design of the calculator in Figure 2.10(a) has even gone as far as replicating
                 functions needing shift keys (e.g., deg, oct, and hex), which could have been re-
                 designed as dedicated software buttons. Trying to use a virtual calculator that has
                 been designed to emulate a poorly designed physical calculator is much harder
                 than using the physical device itself. A better approach would have been for the
                 designers to think about how to use the computational power of the computer to
                 support the kinds of tasks people need to do when doing calculations (cf. the
                 spreadsheet design). The calculator in Figure 2.10(b) has tried to do this to some
                 extent, by moving the buttons closer to each other (minimizing the amount of
                 mousing) and providing flexible display modes with one-to-one mappings with
                 different functions.
2.4 Interface metaphors   59




                                                  (b)
Figure 2.10 Two virtual calculators where (a) has been designed too literally and
(b) more appropriately for a computer screen.



     Limits the designer's imagination in conjuring up new paradigms and models.
Designers may h a t e on "tired" ideas, based on well known technologies, that they
know people are very familiar with. Examples include travel and books for repre-
senting interaction with the web and hypermedia. One of the dangers of always
looking backwards is that it restricts the designer in thinking of what new function-
ality to provide. For example, Gentner and Nielsen (1996) discuss how they used a
book metaphor for designing the user interface to Sun Microsystems' online docu-
mentation. In hindsight they realized how it had blinkered them in organizing the
online material, preventing them from introducing desirable functions such as the
ability to reorder chapters according to their relevance scores after being searched.
     Clearly, there are pitfalls in using interface metaphors in interaction design. In-
deed, this approach has led to some badly designed conceptual models, that have
resulted in confusion and frustration. However, this does not have to be the case.
Provided designers are aware of the dangers and try to develop interface
metaphors that effectively combine familiar knowledge with new functionality in a
meaningful way, then many of the above problems can be avoided. Moreover, as
we have seen with the spreadsheet example, the use of analogy as a basis for a con-
ceptual model can be very innovative and successful, opening up the realm of com-
puters and their applications to a greater diversity of people.
60   Chapter 2   Understanding and conceptualizing interaction


                   amine a web browser interface and describe the various forms of analogy and composite
                   erface metaphors that have been used in its design. What familiar knowledge has been
                 combined withnew functionality?

Comment          Many aspects of a web browser have been combined to create a composite interface metaphor:
                      a range of toolbars, such as a button bar, navigation bar, favorite bar, history bar
                      tabs, menus, organizers
                      search engines, guides
                      bookmarks, favorites
                      icons for familiar objects like stop lights, home
                    These have been combined with other operations and functions, including saving, search-
                 ing, downloading, listing, and navigating.


2.5 Interaction paradigms
                 At a more general level, another source of inspiration for informing the design of a
                 conceptual model is an interaction paradigm. By this it is meant a particular philos-
                 ophy or way of thinking about interaction design. It is intended to orient designers
                 to the kinds of questions they need to ask. For many years the prevailing paradigm
                 in interaction design was to develop applications for the desktop-intended to be
                 used by single users sitting in front of a CPU, monitor, keyboard and mouse. A
                 dominant part of this approach was to design software applications that would run
                 using a GUI or WIMP interface (windows, icons, mouse and pull-down menus, al-
                 ternatively referred to as windows, icons, menus and pointers).
                      As mentioned earlier, a recent trend has been to promote paradigms that move
                 "beyond the desktop." With the advent of wireless, mobile, and handheld technolo-
                 gies, developers started designing applications that could be used in a diversity of ways
                 besides running only on an individual's desktop machine. For example, in September,
                 2000, the clothes company Levis, with the Dutch electronics company Philips, started
                 selling the first commercial e-jacket-incorporating wires into the lining of the jacket
                 to create a body-area network (BAN) for hooking up various devices, e.g., mobile
                 phone, MP3, microphone, and headphone (see Figure 1.2(iii) in Color Plate 1). If the
                 phone rings, the MP3 player cuts out the music automatically to let the wearer listen
                 to the call. Another innovation was handheld interactive devices, like the Palmpilot,
                 for which a range of applications were programmed. One was to program the Palmpi-
                 lot as a multipurpose identity key, allowing guests to check in to certain hotels and
                 enter their room without having to interact with the receptionist at the front desk.
                      A number of alternative interaction paradigms have been proposed by re-
                 searchers intended to guide future interaction design and system development (see
                 Figure 2.11). These include:
                        ubiquitous computing (technology embedded in the environment)
                        pervasive computing (seamless integration of technologies)
                        wearable computing (or wearables)
2.5 Interaction paradigms     61   I




Figure 2.1 1 Examples of new interaction paradigms: (a) Some of the original devices devel-
oped as part of the ubiquitous computing paradigm. Tabs are small hand-sized wireless
computers which know where they are and who they are with. Pads are paper-sized devices
connected to the system via radio. They know where they are and who they are with. Live-
boards are large wall sized devices. The "Dangling String" created by artist Natalie Jeremi-
jenko was attached directly to the ethernet that ran overhead in the ceiling. It spun around
depending on the level of digital traffic.
(b) Ishii and Ulmer, MIT Lab (1997) Tangible bits: from GUIs of desktop PCs to Tangible
User Interfaces. The paradigm is concerned with establishing a new type of HCI called
"Tangible User Interfaces" (TUIs). TUIs augment the real physical world by coupling digi-
tal information to everyday physical objects and environments.
(c) Affective Computing: The project, called "BlueEyes," is creating devices with embedded
technology that gather information about people. This face (with movable eyebrows, eyes
and mouth) tracks your movements and facial expressions and responds accordingly.
62   Chapter 2   Understanding and conceptualizing interaction

                       tangible bits, augmented reality, and physicallvirtual integration
                       attentive environments (computers attend to user's needs)
                       the Workaday World (social aspects of technology use)

                      Ubiquitous computing ("ubicomp'~. late Mark Weiser (1991), an influen-
                                                             The
                 tial visionary, proposed the interaction paradigm of ubiquitous computing (Figure
                 2.11). His vision was for computers to disappear into the environment so that we
                 would be no longer aware of them and would use them without thinking about
                 them. As part of this process, they should "invisibly" enhance the world that al-
                 ready exists rather than create artificial ones. Existing computing technology, e.g.,
                 multimedia-based systems and virtual reality, currently do not allow us to do this.
                 Instead, we are forced to focus our attention on the multimedia representations on
                 the screen (e.g., buttons, menus, scrollbars) or to move around in a virtual simu-
                 lated world, manipulating virtual objects.
                      So, how can technologies be designed to disappear into the background?
                 Weiser did not mean ubiquity in the sense of simply making computers portable so
                 that they can be moved from the desk into our pockets or used on trains or in bed.
                 He meant that technology be designed to be integrated seamlessly into the physical
                 world in ways that extend human capabilities. One of his prototypes was a "tabs,
                 pads, and boards" setup whereby hundreds of computer devices equivalent in size
                 to post-it notes, sheets of paper, and blackboards would be embedded in offices.
                 Like the spreadsheet, such devices are assumed to be easy to use, because they cap-
                 italize on existing knowledge about how to interact and use everyday objects. Also
                 like the spreadsheet, they provide much greater computational power. One of
                 Weiser's ideas was that the tabs be connected to one another, enabling them to be-
                 come multipurpose, including acting as a calendar, diary, identification card, and an
                 interactive device to be used with a PC.

                     Ubiquitous computing will produce nothing fundamentally new, but by making
                     everything faster and easier to do, with less strain and fewer mental gymnastics, it will
                     transform what i apparently possible (Weiser, 1991, p. 940).
                                      s

                     Pervasive computing. Pervasive computing is a direct follow-on of ideas arising
                 from ubiquitous computing. The idea is that people should be able to access and in-
                 teract with information any place and any time, using a seamless integration of
                 technologies. Such technologies are often referred to as smart devices or informa-
                 tion appliances-designed to perform a particular activity. Commercial products
                 include cell phones and handheld devices, like PalmPilots. On the domestic front,
                 other examples currentIy being prototyped include intelligent fridges that signal
                 the user when stocks are low, interactive microwave ovens that allow users to ac-
                 cess information from the web while cooking, and smart pans that beep when the
                 food is cooked.
                     Wearable computing. Many of the ideas behind ubiquitous computing have
                 since inspired other researchers to develop technologies that are part of the envi-
                 ronment. The MIT Media Lab has created several such innovations. One example
                 is wearable computing (Mann, 1996). The combination of multimedia and wireless
2.5 Interaction paradigms   63

communication presented many opportunities for thinking about how to embed
such technologies on people in the clothes they wear. Jewelry, head-mounted caps,
glasses, shoes, and jackets have all been experimented with to provide the user with
a means of interacting with digital information while on the move in the physical
world. Applications that have been developed include automatic diaries that keep
users up to date on what is happening and what they need to do throughout the
day, and tour guides that inform users of relevant information as they walk through
an exhibition and other public places (Rhodes et al., 1999).
      Tangible bits, augmented reality, and physicaUvirtua1 integration. Another de-
velopment that has evolved from ubiquitous computing is tangible user interfaces
or tangible bits (Ishii and Ullmer, 1997). The focus of this paradigm is the "integra-
tion of computational augmentations into the physical environment", in other
words, finding ways to combine digital information with physical objects and sur-
faces (e.g., buildings) to allow people to carry out their everyday activities. Exam-
ples include physical books embedded with digital information, greeting cards that
play a digital animation when opened, and physical bricks attached to virtual ob-
jects that when grasped have a similar effect on the virtual objects. Another illus-
tration of this approach is the one described in Chapter 1 of an enjoyable interface,
in which a person could use a physical hammer to hit a physical key with corre-
sponding virtual representations of the action being displayed on a screen.
      Another part of this paradigm is augmented reality, where virtual representa-
tions are superimposed on physical devices and objects (as shown in Figure 2.1 on
Color Plate 2). Bridging the gulf between physical and virtual worlds is also cur-
rently undergoing much research. One of the earlier precursors of this work was
the Digital Desk (Wellner, 1993). Physical office tools, like books, documents and
paper, were integrated with virtual representations, using projectors and video
cameras. Both virtual and real documents were seamlessly combined.
      Attentive environments and transparent computing. This interaction paradigm
proposes that the computer attend to user's needs through anticipating what the
user wants to do. Instead of users being in control, deciding what they want to do and
where to go, the burden should be shifted onto the computer. In this sense the mode
of interaction is much more implicit: computer interfaces respond to the user's ex-
pressions and gestures. Sensor-rich environments are used to detect the user's cur-
rent state and needs. For example, cameras can detect where people are looking on
a screen and decide what to display accordingly. The system should be able to de-
termine when someone wants to make a call and which websites they want to visit
at particular times. IBM's BlueEyes project is developing a range of computational
devices that use non-obtrusive sensing technology, including videos and micro-
phones, to track and identify users' actions. This information is then analyzed with
respect to where users are looking, what they are doing, their gestures, and their fa-
cial expressions. In turn, this is coded in terms of the users' physical, emotional or
informational state and is then used to determine what information they would
like. For example, a BlueEyes-enabled computer could become active when a user
first walks into a room, firing up any new email messages that have arrived. If the
user shakes his or her head, it would be interpreted by the computer as "I don't
want to read them," and instead show a listing of their appointments for that day.
64   Chapter 2   Understanding and conceptualizing interaction

                      The Workaday World. In the new paradigms mentioned above, the emphasis is
                 on exploring how technological devices can be linked with each other and digital
                 information in novel ways that allow people to do things they could not do before.
                 In contrast, the Workaday World paradigm is driven primarily by conceptual and
                 mundane concerns. It was proposed by Tom Moran and Bob Anderson (1990),
                 when working at Xerox PARC. They were particularly concerned with the need to
                 understand the social aspects of technology use in a way that could be useful for
                 designers. The Workaday World paradigm focuses on the essential character of the
                 workplace in terms of people's everyday activities, relationships, knowledge, and
                 resources. It seeks to unravel the "set of patterns that convey the richness of the
                 settings in which technologies live-the complex, unpredictable, multiform rela-
                 tionships that hold among the various aspects of working life" (p. 384).

2.6 From conceptual models to physical design
                 As we emphasize throughout this book, interaction design is an iterative process. It
                 involves cycling through various design processes at different levels of detail. Pri-
                 marily it involves: thinking through a design problem, understanding the user's
                 needs, coming up with possible conceptual models, prototyping them, evaluating
                 them with respect to usability and user experience goals, thinking about the design
                 implications of the evaluation studies, making changes to the prototypes with re-
                 spect to these, evaluating the changed prototypes, thinking through whether the
                 changes have improved the interface and interaction, and so on. Interaction design
                 may also require going back to the original data to gather and check the require-
                 ments. Throughout the iterations, it is important to think through and understand
                 whether the conceptual model being developed is working in the way intended and
                 to ensure that it is supporting the user's tasks.
                      Throughout this book we describe the way you should go about doing interac-
                 tion design. Each iteration should involve progressing through the design in more
                 depth. A first pass through an iteration should involve essentially thinking about
                 the problem space and identifying some initial user requirements. A second pass
                 should involve more extensive information gathering about users' needs and the
                 problems they experience with the way they currently carry out their activities
                 (see Chapter 7). A third pass should continue explicating the requirements, lead-
                 ing to thinking through possible conceptual models that would be appropriate (see
                 Chapter 8). A fourth pass should begin "fleshing out" some of these using a vari-
                 ety of user-centered methods. A number of user-centered methods can be used to
                 create prototypes of the potential candidates. These include using storyboarding
                 to show how the interaction between the users and the system will take place and
                 the laying out of cards and post-it notes to show the possible structure of and navi-
                 gation through a website. Throughout the process, the various prototypes of the
                 conceptual models should be evaluated to see if they meet users' needs. Informally
                 asking users what they think is always a good starting point (see Chapter 12). A
                 number of other techniques can also be used at different stages of the develop-
                 ment of the prototypes, depending on the particular information required (see
                 Chapters 13 and 14).
2.6 From conceptual models to physical design   65

    Many issues will need to be addressed when developing and testing initial pro-
totypes of conceptual models. These include:
      the way information is to be presented and interacted with at the interface
      what combinations of media to use (e.g., whether to use sound and
      animations)
      the kind of feedback that will be provided
      what combinations of input and output devices to use (e.g., whether to use
      speech, keyboard plus mouse, handwriting recognition)
      whether to provide agents and in what format
      whether to design operations to be hardwired and activated through physical
      buttons or to represent them on the screen as part of the software
      what kinds of help to provide and in what format
    While working through these design decisions about the nature of the interac-
tion to be supported, issues concerning the actual physical design will need to be
addressed. These will often fall out of the conceptual decisions about the way infor-
mation is to be represented, the kind of media to be used, and so on. For example,
these would typically include:
      information presentation
      -which dialogs and interaction styles to use (e.g., form fill-ins, speech input,
       menus)
      -how to structure items in graphical objects, like windows, dialog boxes and
       menus (e.g., how many items, where to place them in relation to each
       other)
      feedback
      -what navigation mechanisms to provide (e.g., forward and backward
       buttons)
      media combination
      -which kinds of icons to use
     Many of these physical design decisions will be specific to the interactive prod-
uct being built. For example, designing a calendar application intended to be used
by business people to run on a handheld computer will have quite different con-
straints and concerns from designing a tool for scheduling trains to run over a large
network, intended to be used by a team of operators via multiple large displays.
The way the information will be structured, the kinds of graphical representations
that will be appropriate, and the layout of the graphics on the screens will be quite
different.
     These kinds of design decisions are very practical, needing user testing to en-
sure that they meet with the usability goals. It is likely that numerous trade-offs will
surface, so it is important to recognize that there is no right or wrong way to resolve
these. Each decision has to be weighed with respect to the others. For example, if
you decide that a good way of providing visibility for the calendar application on
the handheld device is to have a set of "soft" navigation buttons permanently as
66   Chapter 2   Understonding and conceptualizing interaction
2.6 From conceptual models to physical design   67
68   Chapter 2   Understanding and conceptualizing interaction

                 part of the visual display, you then need to consider the consequences of doing this
                 for the rest of the information that needs to be interacted with. Will it still be possi-
                 ble to structure the display to show the calendar as days in a week or a month, all
                 on one screen?
                      This part of the design process is highly dependent on the context and essen-
                 tially involves lots of juggling between design decisions. If you visit our website you
                 can try out some of the interactivities provided, where you have to make such deci-
                 sions when designing the physical layout for various interfaces. Here, we provide the
                 background and rationale that can help you make appropriate choices when faced
                 with a series of design decisions (primarily Chapters 3-5 and 8). For example, we ex-
                 plain why you shouldn't cram a screen full of information; why certain techniques
                 are better than others for helping users remember how to carry out their tasks at the
                 interface; and why certain kinds of agents appear more believable than others.


Assignment
                 The aim of this assignment is for you to think about the appropriateness of different kinds of
                 conceptual model that have been designed for similar kinds of physical and electronic artifacts.
                     (a) Describe the conceptual model that underlie the design of:
                            a personal pocket-sized calendarldiary (one week to a page)
                            a wall calendar (one month to a page, usually with a picturelphoto)
                            a wall planner (displaying the whole year)
                         What is the main kind of activity and object they are based on? How do they differ
                         for each of the three artifacts? What metaphors have been used in the design of
                         their physical interface (think about the way time is conceptualized for each of
                         them)? Do users understand the conceptual models these are based on in the ways
                         intended (ask a few people to explain how they use them)? Do they match the dif-
                         ferent user needs?
                     (b) Now describe the conceptual models that underlie the design of:
                            an electronic personal calendar found on a personal organizer or handheld
                            computer
                            a shared calendar found on the web
                         How do they differ from the equivalent physical artifacts? What new functionality
                         has been provided? What interface metaphors have been used? Are the functions
                         and interface metaphor well integrated? What problems do users have with these
                         interactive kinds of calendars? Why do you think this is?


Summary
                 This chapter has explained the importance of conceptualizing interaction design before try-
                 ing to build anything. It has stressed throughout the need always to be clear and explicit
                 about the rationale and assumptions behind any design decision made. It described a taxon-
                 omy of conceptual models and the different properties of each. It also discussed interface
                 metaphors and interaction paradigms as other ways of informing the design of conceptual
                 models.
References     69

                    Key points
                        It is important to have a good understanding of the problem space, specifying what it is
                        you are doing, why and how it will support users in the way intended.
                        A fundamental aspect of interaction design is to develop a conceptual model.
                        There are various kinds of conceptual models that are categorized according to the activ-
                        ity or object they are based on.
                        Interaction modes (e.g., conversing, instructing) provide a structure for thinking about
                        which conceptual model to develop.
                        Interaction styles (e.g., menus, form fill-ins) are specific kinds of interfaces that should be
                        decided upon after the conceptual model has been chosen.
                        Decisions about conceptual design also should be made before commencing any physical
                        design (e.g., designing an icon).
                        Interface metaphors are commonly used as part of a conceptual model.
                        Many interactive systems are based on a hybrid conceptual model. Such models can pro-
                        vide more flexibility, but this can make them harder to learn.
                        3D realism is not necessarily better than 2D or other forms of representation when in-
                        stantiating a conceptual model: what is most effective depends on the users' activities
                        when interacting with a system.
                        General interaction paradigms, like WIMP and ubiquitous computing, provide a particu-
                        lar way of thinking about how to design a conceptual model.


Further reading
LAUREL, B. (1990) (ed.) The Art of Human Computer De-          LANIER, J. (1995) Agents of alienation, ACM Interactions,
sign has a number of papers on conceptual models and inter-    2(3), 66-72. The Art of Human Computer Design also pro-
face metaphors. T W that are definitely worth reading are:
                      ~                                        vides several thought-provoking articles, including one
Tom Erickson, "Working with interface metaphors" (pp.          called "Interface agents: metaphors with character" by
65-74), which is a practical hands-on guide to designing in-   Brenda Laurel (pp. 355-366) and another called "Guides:
terface metaphors (covered later in this book), and Ted Nel-   characterizing the interface" by Tim Oren et al. (pp.
son's polemic, "The right way to think about software          367-382).
design" (pp. 229-234), which is a scathing attack on the use   BANNON, L. (1977) "Problems in human-machine interac-
of interface metaphors.                                        tion and communication." Proc HCI'97, San Francisco.
JOHNSON, M. AND LAKOFF,G. (1980) Metaphors We L v      ie      Bannon presents a critical review of the agent approach to
By. The University of Chicago Press. Those wanting to find     interface design.
out more about how metaphors are used in everyday con-         MIT's Media Lab (www.media.mit.edu) is a good starting
versations should take a look at this text.                    place to find out what is currently happening in the world of
There are many good articles on the topic of interface         agents, wearables, and other new interaction paradigms.
agents. A classic is:
70    Chapter 2      Understanding and conceptualizing interaction




                                                               this I mean a human dialog not in the sense of using
                                                               ordinary language, but in the sense of thinking about
                                                               the sequence and the flow of interaction. So I think
                                                               interaction design is about designing a space for peo-
                                                               ple, where that space has to have a temporal flow. It
                                                               has to have a dialog with the person.

                                                               YR: Could you tell me a bit more about what you
                                                               think is involved in interaction design?
                                                               TW: One of the biggest influences is product design.
                                                               I think that interaction design overlaps with it, be-
ticles on hat topic. His book, Bringing Design to Sofhvare,
                                                               cause they both take a very strong user-oriented view.
brings together the perspectives of a number of leading re-
                                                               Both are concerned with finding a user group, under-
searchers and designers. See Color Plate 2 for an example of
his latest research.                                           standing their needs, then using that understanding to
                                                               come up with new ideas. They may be ones that the
YR: Tell me about your background and how you                  users don't even realize they need. It is then a matter
moved into interaction design.                                 of trying to translate who it is, what they are doing,
                                                               and why they are doing it into possible innovations.
TW: I got into interaction design through a couple of          In the case of product design it is products. In the case
intermediate steps. I started out doing research into
                                                               of interaction design it is the way that the computer
artificial intelligence. I became interested in how peo-
                                                               system interacts with the person.
ple interact with computers, in particular, when using
ordinary language. It became clear after years of              YR. What do you think are important inputs into the
working on that, however, that the computer was a
                                                               design process?
long way off from matching human abilities. More-
over, using natural language with a computer when it           TW: One of the characteristics of design fields as op-
doesn't really understand you can be very frustrating          posed to traditional engineering fields is that there is
and in fact a very bad way to interact with it. So,            much more dependence on case studies and examples
rather than trying to get the computer to imitate the          than on formulas. Whereas an engineer knows how to
person, I became interested in other ways of taking            calculate something, an architect or a designer is
advantage of what the computer can do well and what            working in a tradition where there is a history over
the person can do well. That led me into the general           time of other things people have done. People have
field of HCI. As I began to look at what was going on          said that the secret of great design is to know what to
in that field and to study it, it became clear that it was     steal and to know when some element or some way of
not the same as other areas of computer science. The           doing things that worked before will be appropriate
key issues were about how the technology fits with             to your setting and then adapt it. Of course you can't
what people could do and what they wanted to do. In            apply it directly, so I think a big part of doing good
contrast, most of computer science is really domi-             design is experience and exposure. You have to have
nated by how the mechanisms operate.                           seen a lot of things in practice and understood what is
      I was very attracted to thinking more in the style       good and bad about them, to then use these to inform
of design disciplines, like product design, urban de-          your design.
sign, architecture, and so on. I realized that there was
an approach that you might call a design way, that             YR: How do you see the relationship between study-
puts the technical asspects into the background with           ing interaction design and the practice of it? Is there a
respect to understanding the interaction. Through              good dialog between research and practice?
looking at these design disciplines, I realized that           TW: Academic study of interaction design is a tricky
there was something unique about interaction design,           area because so much of it depends on a kind of
which is that it has a dialogic temporal element. By           tacit knowledge that comes through experience and
Interview   71

exposure. It is not the kind of thing you can set          YR: Are there any classic case studies that stand out
down easily as, say, you can scientific formulas. A        as good exemplars of interaction design?
lot of design tends to be methodological. It is not        TW: You need to understand what has been impor-
about the design per se but is more about how you          tant in the past. I still use the Xerox Star as an exem-
go about doing design, in particular, knowing what         plar because so much of what we use today was there.
are the appropriate steps to take and how you put          When you go back to look at the Star you see it in the
them together.                                             context of when it was first created. I also think some
                                                           exemplars that are very interesting are ones that never
YR: How do you see the field of interaction design         actually succeeded commercially. For example, I use
taking on board the current explosion in new tech-         the PenPoint system that was developed for pen com-
nologies-for example mobile, ubiquitous, infrared,         puters by Go. Again, they were thinking fresh. They
and so on? Is it different, say, from 20 years ago when    set out to do something different and they were much
it was just about designing software applications to sit   more conscious of the design issues than somebody
on the desktop?                                            who was simply adapting the next version of something
TW: I think a real change in people's thinking has         that already existed. Palmpilot is another good exam-
been to move from interface design to interaction de-      ple, because they looked at the problem in a different
sign. This has been pushed by the fact that we do have     way to make something work. Another interesting ex-
all kinds of devices nowadays. Interface design used       emplar, which other people may not agree with, is Mi-
to mean graphical interfaces, which meant designing        crosoft Bob--not because it was a successful program,
menus and other widgets. But now when you're talk-         because it wasn't, but because it was a first exploration
ing about handheld devices, gesture interfaces, tele-      of a certain style of interaction, using animated agents.
phone interfaces and so on, it is clear that you can't     You can see very clearly from these exemplars what
focus just on the widgets. The widgets may be part of      design trade-offs the designers were making and why
any one of these devices but the design thinking as a      and then you can look at the consequences.
whole has to focus on the interaction.
                                                           YR: Finally, what are the biggest challenges facing
YR: What advice would you give to a student coming         people working in this area?
into the field on what they should be learning and         TW: I think one of the biggest challenges is what
looking for?                                               Pelle Ehn calls the dialectic between tradition and
TW: I think a student who wants to learn this field        transcendence. That is, people work and live in cer-
should think of it as a kind of dual process, that is      tain ways already, and they understand how to adapt
what Donald Schon calls "reflection in action,"            that within a small range, but they don't have an un-
needing both the action and the reflection. It is im-      derstanding or a feel for what it would mean to make
portant to have experience with trying to build            a radical change, for example, to change their way of
things. That experience can be from outside work,          doing business on the Internet before it was around,
projects, and courses where you are actually en-           or to change their way of writing from pen and paper
gaged in making something work. At the same time           when word processors weren't around. I think what
you need to be able to step back and look at it not as     the designer is trying to do is envision things for users
"What do I need to d o next?" but from the perspec-        that the users can't yet envision. The hard part is not
tive of what you are doing and how that fits into the      fixing little problems, but designing things that are
larger picture.                                            both innovative and that work.
Chapter 3


         Understanding users
         3.1 Introduction
         3.2 What is cognition?
         3.3 Applying knowledge from the physical world to the digital world
         3.4 Conceptual frameworks for cognition
              3.4.1 Mental models
             3.4.2 Information processing
              3.4.3 External cognition
         3.5 Informing design: from theory to practice



  Introduction
         Imagine trying to drive a car by using just a computer keyboard. The four arrow
         keys are used for steering, the space bar for braking, and the return key for acceler-
         ating. To indicate left you need to press the F1 key and to indicate right the F2 key.
         To sound your horn you need to press the F3 key. To switch the headlights on you
         need to use the F4 key and, to switch the windscreen wipers on, the F5 key. Now
         imagine as you are driving along a road a ball is suddenly kicked in front of you.
         What would you do? Bash the arrow keys and the space bar madly while pressing
         the F4 key? How would you rate your chances of missing the ball?
              Most of us would balk at the very idea of driving a car this way. Many early
         video games, however, were designed along these lines: the user had to press an ar-
         bitrary combination of function keys to drive or navigate through the game. There
         was little, if any, consideration of the user's capabilities. While some users regarded
         mastering an arbitrary set of keyboard controls as a challenge, many users found
         them very limiting, frustrating, and difficult to use. More recently, computer con-
         soles have been designed with the user's capabilities and the demands of the activ-
         ity in mind. Much better ways of controlling and interacting, such as through using
         joysticks and steering wheels, are provided that map much better onto the physical
         and cognitive aspects of driving and navigating.
              In this chapter we examine some of the core cognitive aspects of interaction de-
         sign. Specifically, we consider what humans are good and bad at and show how this
         knowledge can be used to inform the design of technologies that both extend human
         capabilities and compensate for their weaknesses. We also look at some of the influ-
         ential cognitively based conceptual frameworks that have been developed for ex-
         plaining the way humans interact with computers. (Other ways of conceptualizing
74   Chapter 3   Understanding users

                 human behavior that focus on the social and affective aspects of interaction design
                 are presented in the following two chapters.)
                     The main aims of this chapter are to:
                       Explain what cognition is and why it is important for interaction design.
                       Describe the main ways cognition has been applied to interaction design.
                       Provide a number of examples in which cognitive research has led to the de-
                       sign of more effective interactive products.
                       Explain what mental models are.
                       Give examples of conceptual frameworks that are useful for interaction design.
                       Enable you to try to elicit a mental model and be able to understand what it
                       means.

32 What is cognition?
 .
                 Cognition is what goes on in our heads when we carry out our everyday activities.
                 It involves cognitive processes, like thinking, remembering, learning, daydreaming,
                 decision making, seeing, reading, writing and talking. As Figure 3.1 indicates, there
                 are many different kinds of cognition. Norman (1993) distinguishes between two
                 general modes: experiential and reflective cognition. The former is a state of mind
                 in which we perceive, act, and react to events around us effectively and effortlessly.
                 It requires reaching a certain level of expertise and engagement. Examples include
                 driving a car, reading a book, having a conversation, and playing a video game. In
                 contrast, reflective cognition involves thinking, comparing, and decision-making.
                 This kind of cognition is what leads to new ideas and creativity. Examples include
                 designing, learning, and writing a book. Norman points out that both modes are
                 essential for everyday life but that each requires different kinds of technological
                 support.


                                 What goes on in the mind?



                 i1
                   perceiving
                   thinking
                   remembering
                                                    understanding others
                                                    talking with others




                                                    making decisions


                                                                             Figure 3.1 What goes on
                                                                             in the mind?
3.2 What is cognition?    75

    Cognition has also been described in terms of specific kinds of processes. These
include:
      attention
      perception and recognition
      memory
      learning
      reading, speaking, and listening
      problem solving, planning, reasoning, decision making
     It is important to note that many of these cognitive processes are interdepen-
dent: several may be involved for a given activity. For example, when you try to
learn material for an exam, you need to attend to the material, perceive, and recog-
nize it, read it, think about it, and try to remember it. Thus, cognition typically in-
volves a range of processes. It is rare for one to occur in isolation. Below we
describe the various kinds in more detail, followed by a summary box highlighting
core design implications for each. Most relevant (and most thoroughly researched)
for interaction design is memory, which we describe in greatest detail.
     Attention is the process of selecting things to concentrate on, at a point in time,
from the range of possibilities available. Attention involves our auditory andlor vi-
sual senses. An example of auditory attention is waiting in the dentist's waiting
room for our name to be called out to know when it is our time to go in. An exam-
ple of attention involving the visual senses is scanning the football results in a news-
paper to attend to information about how our team has done. Attention allows us
to focus on information that is relevant to what we are doing. The extent to which
this process is easy or difficult depends on (i) whether we have clear goals and (ii)
whether the information we need is salient in the environment:
(i) O u r goals If we know exactly what we want to find out, we try to match this
with the information that is available. For example, if we have just landed at an air-
port after a long flight and want to find out who had won the World Cup, we might
scan the headlines at the newspaper stand, check the web, call a friend, or ask
someone in the street.
    When we are not sure exactly what we are looking for we may browse through
information, allowing it to guide our attention to interesting or salient items. For
example, when we go to a restaurant we may have the general goal of eating a meal
but only a vague idea of what we want to eat. We peruse the menu to find things
that whet our appetite, letting our attention be drawn to the imaginative descrip-
tions of various dishes. After scanning through the possibilities and imagining what
each dish might be like (plus taking into account other factors, such as cost, who we
are with, what the specials are, what the waiter recommends, whether we want a
two- or three-course meal, and so on), we may then make a decision.
(ii) Information presentation The way information is displayed can also greatly in-
fluence how easy or difficult it is to attend to appropriate pieces of information.
Look at Figure 3.2 and try the activity. Here, the information-searching tasks are
very precise, requiring specific answers. The information density is identical in both
76   Chapter 3   Understanding users




                                                                  Figure 3.2 Two different ways of struc-
                                                                  turing the same information at the inter-
                                                                  face: one makes it much easier to find
                                                                  information than the other. Look at the
                                                                  top screen and: (i) find the price for a
                                                                  double room at the Quality Inn in Co-
                                                                  lumbia; (ii) find the phone number of the
                                                                  Days Inn in Charleston. Then look at the
                                                                  bottom screen and (i) find the price of a
                                                                  double room at the Holiday 1nn in
                                                                  Bradley; (ii) find the phone number of
                                                                          - ,,
                                                                  the Quality Inn in ~ e d f o r dWhich took
                                                                                                  .
                                                                  longer to do? In an early study Tullis
                                                                  found that the two screens produced
                                                                  quite different results: it took an average
                                                                  of 3.2 seconds to search the top screen
                                                                  and 5.5 seconds to find the same kind of
                                                                  information in the bottom screen. Why is
                                                                  this so, considering that both displays
                                                                  have the same density of information
                                                                  (31%)? The primary reason is the way
                                                                  the characters are grouped in the display:
                                                                  in the top they are grouped into vertical
                                                                  categories of information (e.g., place,
                                                                  kind of accommodation, phone number,
                                                                  and rates) that have columns of space be-
                                                                  tween them. In the bottom screen the in-
                                                                  formation is bunched up together,
                                                                  making it much harder to search through.


                 displays. However, it is much harder to find the information in the bottom screen
                 than in t h e t o p screen. T h e reason for this is that t h e information is very poorly
                 structured in the bottom, making it difficult to find the information. In the top the
                 information has been ordered into meaningful categories with blank spacing be-
                 tween them, making it easier to select the necessary information.
                     Perception refers to how information is acquired from the environment, via the
                 different sense organs (e.g., eyes, ears, fingers) and transformed into experiences of
                 objects, events, sounds, and tastes (Roth, 1986). It is a complex process, involving
                 other cognitive processes such as memory, attention, and language. Vision is the
3.2 What is cognition? 77




most dominant sense for sighted individuals, followed by hearing and touch. With
respect to interaction design, it is important to present information in a way that
can be readily perceived in the manner intended. For example, there are many
ways to design icons. The key is to make them easily distinguishable from one an-
other and to make it simple to recognize what they are intended to represent (not
like the ones in Figure 3.4).
     Combinations of different media need also to be designed to allow users to rec-
ognize the composite information represented in them in the way intended. The
use of sound and animation together needs to be coordinated so they happen in a
logical sequence. An example of this is the design of lip-synch applications, where
the animation of an avatar's or agent's face to make it appear to be talking, must be
carefully synchronized with the speech that is emitted. A slight delay between the
two can make it difficult and disturbing to perceive what is happening-as some-
times happens when film dubbing gets out of synch. A general design principle is
78   Chapter 3   Understanding users




                                                                         Figure 3.4 Poor icon set. What
                                                                         do you think the icons mean
                                                                         and why are they so bad?


                 that information needs to be represented in an appropriate form to facilitate the
                 perception and recognition of its underlying meaning.
                      Memory involves recalling various kinds of knowledge that allow us to act ap-
                 propriately. It is very versatile, enabling us to do many things. For example, it al-
                 lows us to recognize someone's face, remember someone's name, recall when we
                 last met them and know what we said to them last. Simply, without memory we
                 would not be able to function.
                      It is not possible for us to remember everything that we see, hear, taste, smell,
                 or touch, nor would we want to, as our brains would get completely overloaded. A
                 filtering process is used to decide what information gets further processed and
                 memorized. This filtering process, however, is not without its problems. Often we
3.2 What is cognition? 79

          forget things we would dearly love to remember and conversely remember things
          we would love to forget. For example, we may find it difficult to remember every-
          day things like people's names and phone numbers or academic knowledge like
          mathematical formulae. On the other hand, we may effortlessly remember trivia or
          tunes that cycle endlessly through our heads.
               How does this filtering process work? Initially, encoding takes place, determin-
          ing which information is attended to in the environment and how it is interpreted.
          The extent to which it takes place affects our ability to recall that information later.
          The more attention that is paid to something and the more it is processed in terms
          of thinking about it and comparing it with other knowledge, the more likely it is to
          be remembered. For example, when learning about a topic it is much better to re-
          flect upon it, carry out exercises, have discussions with others about it, and write
          notes than just passively read a book or watch a video about it. Thus, how informa-
          tion is interpreted when it is encountered greatly affects how it is represented in
          memory and how it is used later.
               Another factor that affects the extent to which information can be subse-
          quently retrieved is the context in which it is encoded. One outcome is that some-
          times it can be difficult for people to recall information that was encoded in a
          different context from the one they currently are in. Consider the following sce-
          nario:
              You are on a train and someone comes up to you and says hello. You don't recognize
              him for a few moments but then realize it is one of your neighbors. You are only used to
              seeing your neighbor in the hallway of your apartment block and seeing him out of
              context makes him difficult to recognize initially.

          Another well-known memory phenomenon is that people are much better at rec-
          ognizing things than recalling things. Furthermore, certain kinds of information are
          easier to recognize than others. In particular, people are very good at recognizing
          thousands of pictures, even if they have only seen them briefly before.


          Try to remember the dates of all the members of your family's and your closest friends'
          birthdays. How many can you remember? Then try to describe what is on the cover of the
          last DVDICD or record you bought. Which is easiest and why?

Comment   It is likely that you remembered much better what was on the CD/DVD/record cover (the
          image, the colors, the title) than the birthdays of your family and friends. People are very
          good at remembering visual cues about things, for example the color of items, the location
          of objects (a book being on the top shelf), and marks on an object (e.g., a scratch on a
          watch, a chip on a cup). In contrast, people find other kinds of information persistently
          difficult to learn and remember, especially arbitrary material like birthdays and phone
          numbers.


               Instead of requiring users to recall from memory a command name from a pos-
          sible set of hundreds or even thousands, GUIs provide visually based options that
80   Chapter 3   Understanding users

                 users can browse through until they recognize the operation they want to perform
                 (see Figure 3.5(a) and (b)). Likewise, web browsers provide a facility of bookmark-
                 ing or saving favorite URLs that have been visited, providing a visual list. This
                 means that users need only recognize a name of a site when scanning through the
                 saved list of URLs.




                 Figure 3.5(a) A DOS-based interface, requiring the user to type in commands.
3.2 What is cognition?   81




                                                   File Folder
                                                   FJe Folder
                                                   File Pol&




                                Attached are the 6les I menboned in the meehng.

                                Have a good weekendl

                                - HWi




          Figure 3.5(b)A Windows-based interface, with menus, icons, and buttons.



          What strategies do you use to help you remember things?

Comment   People often write down what they need to remember on a piece of paper. They also ask
          others to remind them. Another approach is to use various mental strategies, like mnemon-
          ics. A mnemonic involves taking the first letters of a set of words in a phrase or set of con-
          cepts and using them to make a more memorable phrase, often using bizarre and
          idiosyncratic connections. For example, some people have problems working out where east
          is in relation to west and vice versa (i.e., is it to the left or right). A mnemonic to help figure
          this out is to take the first letters of the four main points of the compass and then use them in
          the phrase "Never Eat Shredded Wheat" mentally recited in a clockwise sequence.


               A growing problem for computer users is file management. The number of
          documents created, images and videoclips downloaded, emails and attachments
          saved, URLs bookmarked, and so on increases every day. A major problem is find-
          ing them again. Naming is the most common means of encoding them, but trying to
          remember a name of a file you created some time back can be very difficult, espe-
          cially if there are tens of thousands of named files. How might such a process be fa-
          cilitated, bearing in mind people's memory abilities? Mark Lansdale, a British
          psychologist, has been researching this problem of information retrieval for many
--




82   Chapter   3   Understanding users
3.2 What is cognition? 83

years. He suggests that it is profitable to view this process as involving two memory
processes: recall-directed, followed by recognition-based scanning. The first refers
to using memorized information about the required file to get as close to it as possi-
ble. The more exact this is, the more success the user will have in tracking down the
desired file. The second happens when recall has failed to produce what a user
wants and so requires reading through directories of files.
     To illustrate the difference between these two processes, consider the following
scenario: a user is trying to access a couple of websites visited the day before that
compared the selling price of cars offered by different dealers. The user is able to re-
call the name of one website: "alwaysthecheapest.com". She types this in and the
website appears. This is an example of successful recall-directed memory. However,
the user is unable to remember the name of the second one. She vaguely remembers
it was something like 'autobargains.com'; but typing this in proves unsuccessful. In-
stead, she switches to scanning her bookmarks/favorites,going to the list of most re-
cent ones saved. She notices two or three URLs that could be the one desired, and on
the second attempt she finds the website she is looking for. In this situation, the user
initially tries recall-directed memory and when this fails, adopts the second strategy
of recognition-basedscanning-which takes longer but eventually results in success.
     Lansdale proposes that file management systems should be designed to opti-
mize both kinds of memory processes. In particular, systems should be devel-
oped that let users use whatever memory they have to limit the area being
searched and then represent the information in this area of the interface so as to
maximally assist them in finding what they need. Based on this theory, he has
developed a prototype system called MEMOIRS that aims at improving users'
recall of information they had encoded so as to make it easier to recall later
(Lansdale and Edmunds, 1992). The system was designed to be flexible, provid-
ing the user with a range of ways of encoding documents mnemonically, includ-
ing time stamping (see Figure 3.6), flagging, and attribution (e.g., color, text,
icon, sound or image).
     More flexible ways of helping users track down the files they want are now be-
ginning to be introduced as part of commercial applications. For example, various
search and find tools, like Apple's Sherlock, have been designed to enable the user
to type a full or partial name or phrase that the system then tries to match by listing
all the files it identifies containing the requested nametphrase. This method, how-
ever, is still quite limited, in that it allows users to encode and retrieve files using
only alphanumericals.
84   Chapter 3   Understanding users




                 I     Full-Sized Document               /
                     This is a full-sized document, an
                                                                 TY~ssrMI-nudd4uxol..D
                     exact replica of the original               ru,npl.rof,bon$,"d
                                                                 ihuhxriruuxdlltolh
                                                                 UEMOrnS .Ism70 """I.
                     which was scanned into the                  ,Y""r,2eb,,rdourumx.


                     MEMOIRS system using a
                     Truvel24-bit colour scanner
                                                             / u
                                                              I Miniature
                                                               (80 X 110 pixels)




                 u          Full-sized Document
                 Figure 3.6 Memoirs tool.
3.2 What is cognition?     85




          How else might banks solve the problem of providing a secure system while making the
          memory load relatively easy for people wanting to use phone banking? How does phone
          banking compare with online banking?

Comment   An alternative approach is to provide the customers with a PIN number (it could be the
          same as that of their ATM card) and ask them to key this in on their phone keypad, followed
          by asking one or two questions like their zip or post code, as a backup. Online banking has
          similar security risks to phone banking and hence this requires a number of security mea-
          sures to be enforced. These include that the user sets up a nickname and a password. For ex-
          ample, some banks require typing in three randomly selected letters from a password each
          time the user logs on. This is harder to do online than when asked over the phone, mainly
86   Chapter 3   Understanding users

                 because it interferes with the normally highly automated process of typing in a password.
                 You really have to think about what letters and numbers are in your password; for example,
                 has it got two letter f's after the number 6, or just one?


                      Learning can be considered in terms of (i) how to use a computer-based appli-
                 cation or (ii) using a computer-based application to understand a given topic. Jack
                 Carroll (1990) and his colleagues have written extensively about how to design inter-
                 faces to help learners develop computer-based skills. A main observation is that peo-
                 ple find it very hard to learn by following sets of instructions in a manual. Instead,
                 they much prefer to "learn through doing." GUIs and direct manipulation interfaces
                 are good environments for supporting this kind of learning by supporting exploratory
                 interaction and importantly allowing users to "undo" their actions, i.e., return to a
                 previous state if they make a mistake by clicking on the wrong option. Carroll has
                 also suggested that another way of helping learners is by using a "training-wheels"
                 approach. This involves restricting the possible functions that can be carried out by a
                 novice to the basics and then extending these as the novice becomes more experi-
                 enced. The underlying rationale is to make initial learning more tractable, helping
                 the learner focus on simple operations before moving on to more complex ones.
                      There have also been numerous attempts to harness the capabilities of differ-
                 ent technologies to help learners understand topics. One of the main benefits of in-
                 teractive technologies, such as web-based, multimedia, and virtual reality, is that
                 they provide alternative ways of representing and interacting with information that
                 are not possible with traditional technologies (e.g., books, video). In so doing, they
                 have the potential of offering learners the ability to explore ideas and concepts in
                 different ways.


                 Ask a grandparent, child, or other person who has not used a cell phone before to make and
                 answer a call using it. What is striking about their behavior?

Comment          First-time users often try to apply their understanding of a land-line phone to operating a cell
                 phone. However, there are marked differences in the way the two phones operate, even for
                 the simplest of tasks, like making a call. First, the power has to be switched on when using a
                 cell phone, by pressing a button (but not so with land-line phones), then the number has to be
                 keyed in, including at all times the area code (in the UK), even if the callee is in the same area
                 (but not so with land-lines), and finally the "make a call" button must be pressed (but not so
                 with land-line phones). First-time users may intuitively know how to switch the phone on but
                 not know which key to hit, or that it has to be held down for a couple of seconds. They may
                 also forget to key in the area code if they are in the same area as the person they are calling,
                 and to press the "make a call" key. They may also forget to press the "end a call" button (this
                 is achieved through putting the receiver down with a land-line phone). Likewise, when an-
                 swering a call, the first-time user may forget to press the "accept a call" button or not know
                 which one to press. These additional actions are quick to learn, once the user understands the
                 need to explicitly instruct the cell phone when they want to make, accept, or end a call.


                    Reading, speaking and listening: these three forms of language processing
                 have both similar and different properties. One similarity is that the meaning of
3.2 What is cognition?   87




sentences or phrases is the same regardless of the mode in which it is conveyed. For
example, the sentence "Computers are a wonderful invention" essentially has the
same meaning whether one reads it, speaks it, or hears it. However, the ease with
which people can read, listen, or speak differs depending on the person, task, and
context. For example, many people find listening much easier than reading. Specific
differences between the three modes include:
      Written language is permanent while listening is transient. It is possible to
      reread information if not understood the first time round. This is not possi-
      ble with spoken information that is being broadcast.
88   Chapter 3   Understanding users

                       Reading can be quicker than speaking or listening, as written text can be
                       rapidly scanned in ways not possible when listening to serially presented spo-
                       ken words.
                       Listening requires less cognitive effort than reading or speaking. Children,
                       especially, often prefer to listen to narratives provided in multimedia or web-
                       based learning material than to read the equivalent text online.
                       Written language tends to be grammatical while spoken language is often
                       ungrammatical. For example, people often start a sentence and stop in mid-
                       sentence, letting someone else start speaking.
                       There are marked differences between people in their ability to use lan-
                       guage. Some people prefer reading to listening, while others prefer listening.
                       Likewise, some people prefer speaking to writing and vice versa.
                       Dyslexics have difficulties understanding and recognizing written words,
                       making it hard for them to write grammatical sentences and spell correctly.
                       People who are hard of hearing or hard of seeing are also restricted in the
                       way they can process language.
                 Many applications have been developed either to capitalize on people's reading,
                 writing and listening skills, or to support or replace them where they lack or have
                 difficulty with them. These include:
                       interactive books and web-based material that help people to read or learn
                       foreign languages
                       speech-recognition systems that allow users to provide instructions via spo-
                       ken commands (e.g., word-processing dictation, home control devices that
                       respond to vocalized requests)
                       speech-output systems that use artificially generated speech (e.g., written-
                       text-to-speech systems for the blind)
                       natural-language systems that enable users to type in questions and give
                       text-based responses (e.g., Ask Jeeves search engine)
                       cognitive aids that help people who find it difficult to read, write, and speak.
                       A number of special interfaces have been developed for people who have
                       problems with reading, writing, and speaking (e.g., see Edwards, 1992).
                       various input and output devices that allow people with various disabili-
                       ties to have access to the web and use word processors and other software
                       packages
                     Helen Petrie and her team at the Sensory Disabilities Research Lab in the UK
                 have been developing various interaction techniques to allow blind people to ac-
                 cess the web and other graphical representations, through the use of auditory navi-
                 gation and tactile diagrams.
                      Problem-solving, planning, reasoning and decision-making are all cognitive
                 processes involving reflective cognition. They include thinking about what to do,
                 what the options are, and what the consequences might be of carrying out a given
                 action. They often involve conscious processes (being aware of what one is thinking
3.2 What is cognition? 89       I




about), discussion with others (or oneself), and the use of various kinds of artifacts,
(e.g., maps, books, and pen and paper). For example, when planning the best route
to get somewhere, say a foreign city, we may ask others, use a map, get instructions
from the web, or a combination of these. Reasoning also involves working through
different scenarios and deciding which is the best option or solution to a given
problem. In the route-planning activity we may be aware of alternative routes and
reason through the advantages and disadvantages of each route before deciding on
the best one. Many a family argument has come about because one member thinks
he or she knows the best route while another thinks otherwise.
     Comparing different sources of information is also common practice when
seeking information on the web. For example, just as people will phone around for
a range of quotes, so too, will they use different search engines to find sites that
give the best deal or best information. If people have knowledge of the pros and
cons of different search engines, they may also select different ones for different
kinds of queries. For example, a student may use a more academically oriented one
when looking for information for writing an essay, and a more commercially based
one when trying to find out what's happening in town.
     The extent to which people engage in the various forms of reflective cognition
depends on their level of experience with a domain, application, or skill. Novices
tend to have limited knowledge and will often make assumptions about what to do
using other knowledge about similar situations. They tend to act by trial and error,
exploring and experimenting with ways of doing things. As a result they may start
off being slow, making errors and generally being inefficient. They may also act ir-
rationally, following their superstitions and not thinking ahead to the consequences
of their actions. In contrast, experts have much more knowledge and experience
and are able to select optimal strategies for carrying out their tasks. They are likely
to be able to think ahead more, considering what the consequences might be of
opting for a particular move or solution (as do expert chess players).
90 Chapter 3 Understanding users

3.3   Applying knowledge from the physical world
      to the digital world
               As well as understanding the various cognitive processes that users engage in when
               interacting with systems, it is also useful to understand the way people cope with
               the demands of everyday life. A well known approach to applying knowledge
               about everyday psychology to interaction design is to emulate, in the digital world,
               the strategies and methods people commonly use in the physical world. An as-
               sumption is that if these work well in the physical world, why shouldn't they also
               work well in the digital world? In certain situations, this approach seems like a
               good idea. Examples of applications that have been built following this approach
               include electronic post-it notes in the form of "stickies," electronic "to-do" lists,
               and email reminders of meetings and other events about to take place. The stickies
               application displays different colored notes on the desktop in which text can be in-
               serted, deleted, annotated, and shufffed around, enabling people to use them to re-
               mind themselves of what they need to do-analogous to the kinds of externalizing
               they do when using paper stickies. Moreover, a benefit is that electronic stickies are
               more durable than paper ones-they don't get lost or fall off the objects they are
               stuck to, but stay on the desktop until explicitly deleted.
                    In other situations, however, the simple emulation approach can turn out to be
               counter-productive, forcing users to do things in bizarre, inefficient, or inappropri-
               ate ways. This can happen when the activity being emulated is more complex than
               is assumed, resulting in much of it being oversimplified and not supported effec-
               tively. Designers may notice something salient that people do in the physical world
               and then fall into the trap of trying to copy it in the electronic world without think-
               ing through how and whether it will work in the new context (remember the poor
               design of the virtual calculator based on the physical calculator described in the
               previous chapter).
                    Consider the following classic study of real-world behavior. Ask yourself, first,
               whether it is useful to emulate at the interface, and second, how it could be ex-
               tended as an interactive application.
                    Tom Malone (1983) carried out a study of the "natural history" of physical of-
               fices. He interviewed people and studied their offices, paying particular attention to
               their filing methods and how they organized their papers. One of his findings was
               that whether people have messy offices or tidy offices may be more significant than
               people realize. Messy offices were seen as being chaotic with piles of papers every-
               where and little organization. Tidy offices, on the other hand, were seen as being
               well organized with good use of a filing system. In analyzing these two types of of-
               fices, Malone suggested what they reveal in terms of the underlying cognitive be-
               haviors of the occupants. One of his observations was that messy offices may
               appear chaotic but in reality often reflect a coping strategy by the person: docu-
               ments are left lying around in obvious places to act as reminders that something has
               to be done with them. This observation suggests that using piles is a fundamental
               strategy, regardless of whether you are a chaotic or orderly person.
                    Such observations about people's coping strategies in the physical world bring
               to mind an immediate design implication about how to support electronic file
3.3 Applying knowledge from the physical world to the digital world   91

                  management: to capitalize on the "pile" phenomenon by trying to emulate it in
                  the electronic world. Why not let people arrange their electronic files into piles as
                  they do with paper files? The danger of doing this is that it could heavily constrain
                  the way people manage their files, when in fact there may be far more effective
                  and flexible ways of filing in the electronic world. Mark Lansdale (1988) points
                  out how introducing unstructured piles of electronic documents on a desktop
                  would be counterproductive, in the same way as building planes to flap their
                  wings in the way birds do (someone seriously thought of doing this).
                        But there may be benefits of emulating the pile phenomenon by using it as a
                  kind of interface metaphor that is extended to offer other functionality. How might
                  this be achieved? A group of interface designers at Apple Computer (Mandler et
                  al., 1992) tackled this problem by adopting the philosophy that they were going to
                  build an application that went beyond physical-world capabilities, providing new
                  functionality that only the computer could provide and that enhanced the interface.
                  To begin their design, they carried out a detailed study of office behavior and ana-
                  lyzed the many ways piles are created and used. They also examined how people
                  use the default hierarchical file-management systems that computer operating sys-
                  tems provide. Having a detailed understanding of both enabled them to create a
                  conceptual model for the new functionality-which was to provide various interac-
                  tive organizational elements based around the notion of using piles. These included
                  providing the user with the means of creating, ordering, and visualizing piles of
                  files. Files could also be encoded using various external cues, including date and
                  color. New functionality that could not be achieved with physical files included the
                  provision of a scripting facility, enabling files in piles to be ordered in relation to
                  these cues (see Figure 3.8).
                       Emulating real-world activity at the interface can be a powerful design strat-
                  egy, provided that new functionality is incorporated that extends or supports the
                  users in their tasks in ways not possible in the physical world. The key is really to
                  understand the nature of the problem being addressed in the electronic world in re-
                  lation to the various coping and externalizing strategies people have developed to
                  deal with the physical world.




                                                                       portable computer




Figure 3.8 The pile metaphor as it appears at the interface.
92   Chapter 3   Understanding users


3.4 Conceptual frameworks for cognition
                 In the previous section we described the pros and cons of applying knowledge of
                 people's coping strategies in the physical world to the digital world. Another ap-
                 proach is to apply theories and conceptual frameworks to interaction design. In this
                 section we examine three of these approaches, which each have a different perspec-
                 tive on cognition:
                       mental models
                       information processing
                       external cognition

3.4.1 Mental models
                 In Chapter 2 we pointed out that a successful system is one based on a conceptual
                 model that enables users to readily learn a system and use it effectively. What hap-
                 pens when people are learning and using a system is that they develop knowledge
                 of how to use the system and, to a lesser extent, how the system works. These two
                 kinds of knowledge are often referred to as a user's mental model.
                     Having developed a mental model of an interactive product, it is assumed that
                 people will use it to make inferences about how to carry out tasks when using the
                 interactive product. Mental models are also used to fathom what to do when some-
                 thing unexpected happens with a system and when encountering unfamiliar sys-
                 tems. The more someone learns about a system and how it functions, the more
                 their mental model develops. For example, TV engineers have a "deep" mental
                 model of how TVs work that allows them to work out how to fix them. In contrast.
3.4 Conceptual frameworks for cognition       93

          an average citizen is likely t o have a reasonably good mental model of how to oper-
          ate a T V but a "shallow" mental model of how it works.
               Within cognitive psychology, mental models have been postulated as internal
          constructions of some aspect of the external world that are manipulated enabling
          predictions and inferences to be made (Craik, 1943). This process is thought to in-
          volve the "fleshing out" and the "running" of a mental model (Johnson-Laird,
          1983). This can involve both unconscious and conscious mental processes, where
          images and analogies are activated.


           o illustrate how we use mental models in our everyday reasoning, imagine the following

             (a) You arrive home from a holiday on a cold winter's night to a cold house. You have a
                 small baby and you need to get the house warm as quickly as possible. Your house is
                 centrally heated. Do you set the thermostat as high as possible or turn it to the de-
                 sired temperature (e.g. 70°F)?
             (b) You arrive home from being out all night, starving hungry. You look in the fridge and
                 find all that is left is an uncooked pizza. The instructions on the packet say heat the
                 oven to 375°F and then place the pizza in the oven for 20 minutes. Your oven is elec-
                 tric. How do you heat it up? Do you turn it to the specified temperature or higher?

Comment   Most people when asked the first question imagine the scenario in terms of what they would
          do in their own house and choose the first option. When asked why, a typical explanation
          that is given is that setting the temperature to be as high as possible increases the rate at
          which the room warms up. While many people may believe this, it is incorrect. Thermostats
          work by switching on the-heat and keeping it going at a constant speed until the desired tem-
          perature set is reached, at which point they cut out. They cannot control the rate at which
          heat is given out from a heating system. Left at a given setting, thermostats will turn the heat
          on and off as necessary to maintain the desired temperature.
              When asked the second question, most people say they would turn the oven to the speci-
          fied temperature and put the pizza in when they think it is at the desired temperature. Some
          people answer that they would turn the oven to a higher temperature in order to warm it up
          more quickly. Electric ovens work on the same principle as central heating and so turning
          the heat up higher will not warm it up any quicker. There is also the problem of the pizza
          burning if the oven is too hot!


               Why do people use erroneous mental models? It seems that in the above sce-
          narios, they are running a mental model based on a general valve theory of the way
          something works (Kempton, 1986). This assumes the underlying principle of "more
          is more": the more you turn or push something, the more it causes the desired ef-
          fect. This principle holds for a range of physical devices, such as taps and radio con-
          trols, where the more you turn them, the more water or volume is given. However,
          it does not hold for thermostats, which instead function based on the principle of
          an on-off switch. What seems to happen is that in everyday life people develop a
          core set of abstractions about how things work, and apply these to a range of de-
          vices, irrespective of whether they are appropriate.
I   94   Chapter 3   Understanding users

                          Using incorrect mental models to guide behavior is surprisingly common. Just
                     watch people at a pedestrian crossing or waiting for an elevator (lift). How many
                     times do they press the button? A lot of people will press it at least twice. When
                     asked why, a common reason given is that they think it will make the lights change
                     faster or ensure the elevator arrives. This seems to be another example of following
                     the "more is more" philosophy: it is believed that the more times you press the but-
                     ton, the more likely it is to result in the desired effect.
                          Another common example of an erroneous mental model is what people do
                     when the cursor freezes on their computer screen. Most people will bash away at
                     all manner of keys in the vain hope that this will make it work again. However, ask
                     them how this will help and their explanations are rather vague. The same is true
                     when the TV starts acting up: a typical response is to hit the top of the box repeat-
                     edly with a bare hand or a rolled-up newspaper. Again, ask people why and their
                     reasoning about how this behavior will help solve the problem is rather lacking.
                          The more one observes the way people interact with and behave towards inter-
                     active devices, the more one realizes just how strange their behavior can get-
                     especially when the device doesn't work properly and they don't know what to do.
                     Indeed, research has shown that people's mental models of the way interactive de-
                     vices work is poor, often being incomplete, easily confusable, based on inappropriate
                     analogies, and superstition (Norman, 1983). Not having appropriate mental models
                     available to guide their behavior is what causes people to become very frustrated-
                     often resulting in stereotypical "venting" behavior like those described above.
                          On the other hand, if people could develop better mental models of interactive
                     systems, they would be in a better position to know how to carry out their tasks ef-
                     ficiently and what to do if the system started acting up. Ideally, they should be able
                     to develop a mental model that matches the conceptual model developed by the
                     designer. But how can you help users to accomplish this? One suggestion is to edu-
                     cate them better. However, many people are resistant to spending much time
                     learning about how things work, especially if it involves reading manuals and other
                     documentation. An alternative proposal is to design systems to be more transpar-
                     ent, so that they are easier to understand. This doesn't mean literally revealing the
                     guts of the system (cf. the way some phone handsets-see Figure 3.9 on Color
                     Plate 4-and iMacs are made of transparent plastic to reveal the colorful electronic
                     circuitry inside), but requires developing an easy-to-understand system image (see
                     Chapter 2 for explanation of this term in relation to conceptual models). Specifi-
                     cally, this involves providing:
                           useful feedback in response to user input
                           easy-to-understand and intuitive ways of interacting with the system
                         In addition, it requires providing the right kind and level of information, in the
                     form of:
                           clear and easy-to-follow instructions
                           appropriate online help and tutorials
                           context-sensitive guidance for users, set at their level of experience, explaining
                           how to proceed when they are not sure what to do at a given stage of a task.
3.4 Conceptual frameworks for cognition         95




                                  ucrkr.
barn iAe hcias of how OocOlr s~rrch


A q ' larc & the nuny sbmmts of b s l r r rewits pipw.
   uw


P&iur mweh, wweh by eatettpwy, ml othn            r w c h featunr rr rwpkkrd.


                     fiihrinq, intmutbnrl Wlr, nd other diilw optknr.
lnformatipn w S~cSIweh


Whrt m ZOIOh.dup a p s m "1%0 F w l i W y * ? TMrr fwSur61bn6 o h r s expbhd.
                        i
96   Chapter 3   Understanding users


3.4.2 information processing
                 Another approach to conceptualizing how the mind works has been to use
                 metaphors and analogies (see also Chapter 2). A number of comparisons have
                 been made, including conceptualizing the mind as a reservoir, a telephone net-
                 work, and a digital computer. One prevalent metaphor from cognitive psychology
                 is the idea that the mind is an information processor. Information is thought to
                 enter and exit the mind through a series of ordered processing stages (see Figure
                 3.11). Within these stages, various processes are assumed to act upon mental rep-
                 resentations. Processes include comparing and matching. Mental representations
                 are assumed to comprise images, mental models, rules, and other forms of knowl-
                 edge.
                      The information processing model provides a basis from which to make predic-
                 tions about human performance. Hypotheses can be made about how long some-
                 one will take to perceive and respond to a stimulus (also known as reaction time)
                 and what bottlenecks occur if a person is overloaded with too much information.
                 The best known approach is the human processor model, which models the cogni-
                 tive processes of a user interacting with a computer (Card et al., 1983). Based on
                 the information processing model, cognition is conceptualized as a series of pro-
                 cessing stages, where perceptual, cognitive, and motor processors are organized in
                 relation to one another (see Figure 3.12). The model predicts which cognitive
                 processes are involved when a user interacts with a computer, enabling calculations
                 to be made of how long a user will take to carry out various tasks. This can be very
                 useful when comparing different interfaces. For example, it has been used to com-
                 pare how well different word processors support a range of editing tasks.
                      The information processing approach is based on modeling mental activities
                 that happen exclusively inside the head. However, most cognitive activities involve
                 people interacting with external kinds of representations, like books, documents,
                 and computers-not to mention one another. For example, when we go home from
                 wherever we have been we do not need to remember the details of the route be-
                 cause we rely on cues in the environment (e.g., we know to turn left at the red
                 house, right when the road comes to a T-junction, and so on). Similarly, when we
                 are at home we do not have to remember where everything is because information
                 is "out there." We decide what to eat and drink by scanning the items in the fridge,
                 find out whether any messages have been left by glancing at the answering machine
                 to see if there is a flashing light, and so on. To what extent, therefore, can we say
                 that information processing models are truly representative of everyday cognitive
                 activities? Do they adequately account for cognition as it happens in the real world
                 and, specifically, how people interact with computers and other interactive devices?



                  Input                                                           output
                    or                                                              or
                 stimuli                                                         response

                 Figure 3.1 1 Human information processing model.
3.4 Conceptual frameworks for cognition      97




                                            =
                                        pw,," 7 15-91 chunks
                                         6
                                         ,   r 7 15-2261 sec




 Eye movement = 230 170-7001msec




                                                               Figure 3.1 2 The human proces-
                                                               sor model.



   Several researchers have argued that existing information processing ap-
proaches are too impoverished:
     The traditional approach to the study of cognition is to look at the pure intellect, isolated
      from distractions and from artificial aids. Experiments are performed in closed, isolated
     rooms, with a minimum of distracting lights or sounds, no other people to assist with the
     task, and no aids to memory or thought. The tasks are arbitrary ones, invented by the
     researcher. Model builders build simulations and descriptions of these isolated situations.
     The theoretical analyses are self-contained little structures, isolated from the world,
     isolated from any other knowledge or abilities ofthe person. (Norman, 1990, p. 5)
    Instead, there has been an increasing trend to study cognitive activities in the
context in which they occur, analyzing cognition as it happens "in the wild"
98   Chapter 3   Understanding users

                 (Hutchins, 1995). A central goal has been to look at how structures in the environ-
                 ment can both aid human cognition and reduce cognitive load. A number of alter-
                 native frameworks have been proposed, including external cognition and
                 distributed cognition. In this chapter, we look at the ideas behind external cogni-
                 tion-which has focused most on how to inform interaction design (distributed
                 cognition is described in the next chapter).

3.4.3 External cognition
                 People interact with or create information through using a variety of external rep-
                 resentations, e.g., books, multimedia, newspapers, web pages, maps, diagrams,
                 notes, drawings, and so on. Furthermore, an impressive range of tools has been de-
                 veloped throughout history to aid cognition, including pens, calculators, and com-
                 puter-based technologies. The combination of external representations and physical
                 tools have greatly extended and supported people's ability to carry out cognitive ac-
                 tivities (Norman, 1993). Indeed, they are such an integral part that it is difficult to
                 imagine how we would go about much of our everyday life without them.
                      External cognition is concerned with explaining the cognitive processes involved
                 when we interact with different external representations (Scaife and Rogers, 1996).
                 A main goal is to explicate the cognitive benefits of using different representations
                 for different cognitive activities and the processes involved. The main ones include:
                     1. externalizing to reduce memory load
                     2. computational offloading
                     3. annotating and cognitive tracing

                 1 . Externalizing to reduce memory load
                 A number of strategies have been developed for transforming knowledge
                 into external representations to reduce memory load. One such strategy is exter-
                 nalizing things we find difficult to remember, such as birthdays, appointments, and
                 addresses. Diaries, personal reminders and calendars are examples of cognitive ar-
                 tifacts that are commonly used for this purpose, acting as external reminders of
                 what we need to do at a given time (e.g., buy a card for a relative's birthday).
                      Other kinds of external representations that people frequently employ are
                 notes, like "stickies," shopping lists, and to-do lists. Where these are placed in the
                 environment can also be crucial. For example, people often place post-it notes in
                 prominent positions, such as on walls, on the side of computer monitors, by the
                 front door and sometimes even on their hands, in a deliberate attempt to ensure
                 they do remind them of what needs to be done or remembered. People also place
                 things in piles in their offices and by the front door, indicating what needs to be
                 done urgently and what can wait for a while.
                      Externalizing, therefore, can help reduce people's memory burden by:
                       reminding them to do something (e.g., to get something for their mother's
                       birthday)
3.4 Conceptual frameworks for cognition        99

                 reminding them of what to do (e.g., to buy a card)
                 reminding them of when to do something (send it by a certain date)


          2. Computational offloading
          Computational offloading occurs when we use a tool or device in conjunction with
          an external representation to help us carry out a computation. An example is using
          pen and paper to solve a math problem.


             (a) Multiply 2 by 3 in your head. Easy. Now try multiplying 234 by 456 in your head.
                 Not as easy. Try doing the sum using a pen and paper. Then try again with a calcula-
                 tor. Why is it easier to do the calculation with pen and paper and even easier with a
                 calculator?
             (b) Try doing the same two sums using Roman numerals.

Comment      (a) Carrying out the sum using pen and the paper is easier than doing it in your head be-
                 cause you "offload" some of the computation by writing down partial results and
                 using them to continue with the calculation. Doing the same sum with a calculator is
                 even easier, because it requires only eight simple key presses. Even more of the com-
                 putation has been offloaded onto the tool. You need only follow a simple internal-
                 ized procedure (key in first number, then the multiplier sign, then next number and
                 finally the equals sign) and then read of the result from the external display.
             (b) Using roman numerals to do the same sum is much harder. 2 by 3 becomes 1 x 1 1 1 1,
                 and 234 by 456 becomes CCXXXllll X CCCCXXXXXVI. The first calculation may
                 be possible to do in your head or on a bit of paper, but the second is incredibly diffi-
                 cult to do in your head or even on a piece of paper (unless you are an expert in using
                 Roman numerals or you "cheat" and transform it into Arabic numerals). Calculators
                 do not have Roman numerals so it would be impossible to do on a calculator.
             Hence, it is much harder to perform the calculations using Roman numerals than alge-
          braic numerals-even though the problem is equivalent in both conditions. The reason for
          this is the two kinds of representation transform the task into one that is easy and more diffi-
          cult, respectively. The kind of tool used also can change the nature of the task to being more
          or less easy.


          3. Annotating and cognitive tracing
          Another way in which we externalize our cognition is by modifying representations
          to reflect changes that are taking place that we wish to mark. For example, people
          often cross things off in a to-do list to show that they have been completed. They
          may also reorder objects in the environment, say by creating different piles as the
          nature of the work to be done changes. These two kinds of modification are called
          annotating and cognitive tracing:
                 Annotating involves modifying external representations, such as crossing off
                 or underlining items.
100   Chapbr 3    Understanding users

                       Cognitive tracing invdves externally manipulating items into different orders
                       or structures.
                 Annotating is often used when people go shopping. People usually begin their
                 shopping by planning what they are going to buy. This often involves looking in
                 their cupboards and fridge to see what needs stocking up. However, many people
                 are aware that they won't remember all this in their heads and so often externalize
                 it as a written shopping list. The act of writing may also remind them of other items
                 that they need to buy that they may not have noticed when looking through the
                 cupboards. When they actually go shopping at the store, they may cross off items
                 on the shopping list as they are placed in the shopping basket or cart. This provides
                 them with an annotated externalization, allowing them to see at a glance what
                 items are still left on the list that need to be bought.
                      Cognitive tracing is useful in situations where the current state of play is in a
                 state of flux and the person is trying to optimize their current position. This typi-
                 cally happens when playing games, such as:
                       in a card game, the continued rearrangement of a hand of cards into suits, as-
                       cending order, or same numbers to help determine what cards to keep and
                       which to play, as the game progresses and tactics change
                       in Scrabble, where shuffling around letters in the tray helps a person work
                       out the best word given the set of letters (Maglio et al., 1999)
                 It is also a useful strategy for letting users know what they have studied in an online
                 learning package. An interactive diagram can be used to highlight all the nodes vis-
                 ited, exercises completed, and units still to study.
                       A genera1 cognitive principle for interaction design based on the external cog-
                 nition approach is to provide external representations at the interface that reduce
                 memory load and facilitate computational offloading. Different kinds of informa-
                 tion visualizations can be developed that reduce the amount of effort required to
                 make inferences about a given topic (e.g., financial forecasting, identifying pro-
3.5   Informing design: from theory to practice   101




                                                                           Figure 3.13 Information
                                                                           visualization. Visual In-
                                                                           sights' site map showing
                                                                           web page use. Each page
                                                                           appears as a 3D color rod
                                                                           and is positioned radially,
                                                                           with the position showing
                                                                           the location of the page in
                                                                           the site.


            gramming bugs). In so doing, they can extend or amplify cognition, allowing people
            to perceive and do activities that they couldn't do otherwise. For example, a num-
            ber of information visualizations have been developed that present masses of data
            in a form that makes it possible to make cross comparisons between dimensions at
            a glance (see Figure 3.13). GUIs can also be designed to reduce memory load sig-
            nificantly, enabling users to rely more on external representations to guide them
            through their interactions.

3.5 Informing design: from theory to practice
            Theories, models, and conceptual frameworks provide abstractions for thinking
            about phenomena. In particular, they enable generalizations to be made about cog-
            nition across different situations. For example, the concept of mental models pro-
            vides a means of explaining why and how people interact with interactive products
            in the way they do across a range of situations. The information processing model
            has been used to predict the usability of a range of different interfaces.
                 Theory in its pure form, however, can be difficult to digest. The arcane terminol-
            ogy and jargon used can be quite off-putting to those not familiar with it. It also re-
            quires much time to become familiar with it-something that designers and engineers
            can't afford when working to meet deadlines. Researchers have tried to help out by
            making theory more accessible and practical. This has included translating it into:
                  design principles and concepts
                  design rules
                  analytic methods
                  design and evaluation methods
102   Chapter 3    Understanding users

                       A main emphasis has been on transforming theoretical knowledge into tools
                  that can be used by designers. For example, Card et al's (1983) psychological model
                  of the human processor, mentioned earlier, was simplified into another model
                  called GOMS (an acronym standing for goals, operators, methods, and selection
                  rules). The four components of the GOMS model describe how a user performs a
                  computer-based task in terms of goals (e.g., save a file) and the selection of meth-
                  ods and operations from memory that are needed to achieve them. This model has
                  also been transformed into the keystroke level method that essentially provides a
                  formula for determining the amount of time each of the methods and operations
                  takes. One of the main attractions of the GOMS approach is that it allows quantita-
                  tive predictions to be made (see Chapter 14 for more on this).
                       Another approach has been to produce various kinds of design principles, such
                  as the ones we discussed in Chapter 1. More specific ones have also been proposed
                  for designing multimedia and virtual reality applications (Rogers and Scaife, 1998).
                  Thomas Green (1990) has also proposed a framework of cognitive dimensions. His
                  overarching goal is to develop a set of high-level concepts that are both valuable and
                  easy to use for evaluating the designs of informational artifacts, such as software ap-
                  plications. An example dimension from the framework is "viscosity," which simply
                  refers to resistance to local change. The analogy of stirring a spoon in syrup (high
                  viscosity) versus milk (low viscosity) quickly gives the idea. Having understood the
                  concept in a familiar context, Green then shows how the dimension can be further
                  explored to describe the various aspects of interacting with the information structure
                  of a software application. In a nutshell, the concept is used to examine "how much
                  extra work you have to do if you change your mind." Different kinds of viscosity are
                  described, such as knock-on viscosity, where performing one goal-related action
                  makes necessary the performance of a whole train of extraneous actions. The reason
                  for this is constraint density: the new structure that results from performing the first
                  action violates some constraint that must be rectified by the second action, which in
                  turn leads to a different violation, and so on. An example is editing a document using
                  a word processor without widow control. The action of inserting a sentence at the
                  beginning of the document means that the user must then go through the rest of the
                  document to check that all the headers and bodies of text still lie on the same page.
Summary      103

Assignment
             The aim of this assignment is for you to elicit mental models from people. In particular, the
             goal is for you to understand the nature ofpeople's knowledge about an interactive product in
             terms of how to use it and how it works.
                  (a) First, elicit your own mental model. Write down how you think a cash machine
                       (ATM) works. Then answer the following questions (abbreviated from Payne, 1991):
                        How much money are you allowed to take out?
                        If you took this out and then went to another machine and tried to withdraw the
                           same amount, what would happen?
                        What is on your card?
                       How is the information used?
                        What happens if you enter the wrong number?
                        Why are there pauses between the steps of a transaction?
                       How long are they? What happens if you type ahead during the pauses?
                        What happens to the card in the machine?
                        Why does it stay inside the machine?
                       Do you count the money? Why?
             Next, ask two other people the same set of questions.
                  (b) Now analyze your answers. Do you get the same or different explanations? What
                      do the findings indicate? How accurate are people's mental models of the way
                      ATMs work? How transparent are the ATM systems they are talking about?
                  (c) Next, try to interpret your findings with respect to the design of the system. Are any
                      interface features revealed as being particularly problematic? What design recom-
                      mendations do these suggest?
                  (d) Finally, how might you design a better conceptual model that would allow users to
                      develop a better mental model of ATMs (assuming this is a desirable goal)?
             This exercise is based on an extensive study carried out by Steve Payne on people's mental
             models of ATMs. He found that people do have mental models of ATMs, frequently resorting
             to analogies to explain how they work. Moreover, he found that people's explanations were
             highly variable and based on ad hoc reasoning.


Summary
             This chapter has explained the importance of understanding users, especially their cognitive
             aspects. It has described relevant findings and theories about how people carry out their
             everyday activities and how to learn from these when designing interactive products. It has
             provided illustrations of what happens when you design systems with the user in mind and
             what happens when you don't. It has also presented a number of conceptual frameworks
             that allow ideas about cognition to be generalized across different situations.

             Key points
               Cognition comprises many processes, including thinking, attention, learning, memory,
                perception, decision-making, planning, reading, speaking, and listening.
104     Chapter   3    Understanding users

                        The way an interface is designed can greatly affect how well people can perceive, attend,
                        learn, and remember how to carry out their tasks.
                        The main benefits of conceptual frameworks and cognitive theories are that they can ex-
                        plain user interaction and predict user performance.
                        T h e conceptual framework of mental models provides a way of conceptualizing the
                        user's understanding of the system.
                        Research findings and theories from cognitive psychology need t o b e carefully reinter-
                        preted in the context of interaction design t o avoid oversimplification and misapplication.


Further reading
MULLET, K., AND SANO, (1995) Designing Visual Inter-
                          D.                                     man provide many key findings and observations about peo-
faces. New Jersey: SunSoft Press. This is an excellent book      ple's behavior and their use of artifacts. They are written in
on the do's and don'ts of interactive graphical design. It in-   a stimulating and thought-provoking way, using many exam-
cludes many concrete examples that have followed (or not)        ples from everyday life to illustrate conceptual issues. He
design principles based on cognitive issues.                     also presents a number of psychological theories, including
CARROLL, J. (1991) (ed.) Designing Interaction. Cambridge:       external cognition, in an easily digestible form.
Cambridge University Press. This edited volume provides a        ROGERS, Y., RUTHERFORD, A,, AND BIBBY, (1992) (eds.)
                                                                                                                P.
good collection of papers on cognitive aspects of interaction    Models in the Mind. Orlando: Academic Press. This volume
design.                                                          provides a good collection of papers on eliciting, interpret-
NORMAN, D. (1988) The Psychology of Everyday Things.             ing, and theorizing about mental models in HCI and other
New York: Basic Books.                                           domains.
NORMAN, D. (1993) Things that Make Us Smart. Reading,            For more on dynalinking and interactivity see
MA: Addison-Wesley. These two early books by Don Nor-            www.cogs.susx.ac.uklEC0i
Chapter         4

             Designing for coIIaboration
             and communication
             4.1 Introduction
             4.2 Social mechanisms in communication and collaboration
                   4.2.1 Conversational mechanisms
                   4.2.2 Designing collaborative technologies to support conversation
                   4.2.3 Coordination mechanisms
                   4.2.4 Designing collaborative technologies to support coordination
                   4.2.5 Awareness mechanisms
                   4.2.6 Designing collaborative technologies to support awareness
             4.3 Ethnographic studies of collaboration and communication
             4.4 Conceptual frameworks
                   4.4.1 The language/action framework
                   4.4.2 Distributed cognition




4.1   Introduction
             Imagine going into school or work each day and sitting in a room all by yourself
             with no distractions. At first, it might seem blissful. You'd be able to get on with
             your work. But what if you discovered you had no access to email, phones, the In-
             ternet and other people? On top of that there is nowhere to get coffee. How long
             would you last? Probably not very long. Humans are inherently social: they live to-
             gether, work together, learn together, play together, interact and talk with each
             other, and socialize. It seems only natural, therefore, to develop interactive systems
             that support and extend these different kinds of sociality.
                 There are many kinds of sociality and many ways of studying it. In this chapter
             our focus is on how people communicate and collaborate in their working and
             everyday lives. We examine how collaborative technologies (also called group-
             ware) have been designed to support and extend communication and collabora-
             tion. We also look at the social factors that influence the success or failure of user
             adoption of such technologies. Finally, we examine the role played by ethnographic
             studies and theoretical frameworks for informing system design.
106   Chapter 4    Design for collaboration and communication


                      The main aims of this chapter are to:
                        Explain what is meant by communication and collaboration.
                                                                                                         I
                        Describe the main kinds of social mechanisms that are used by people to
                        communicate and collaborate.
                        Outline the range of collaborative systems that have been developed to sup-
                        port this kind of social behavior.
                        Consider how field studies and socially-based theories can inform the design
                        of collaborative systems.

                                                                                                         I
4.2   Social mechanisms in communication and collaboration
                                                                                                         I
                                                                                                         l
                  A fundamental aspect of everyday life is talking, during which we pass on knowl-
                  edge to each other. We continuously update each other about news, changes, and
                  developments on a given project, activity, person, or event. For example, friends
                  and families keep each other posted on what's happening at work, school, at the
                  pub, at the club, next door, in soap operas, and in the news. Similarly, people who
                  work together keep each other informed about their social lives and everyday hap-
                  penings-as well as what is happening at work, for instance when a project is about
                  to be completed, plans for a new project, problems with meeting deadlines, rumors
                  about closures, and so on.
                       The kinds of knowledge that are circulated in different social circles are di-
                  verse, varying among social groups and across cultures. The frequency with which
                  knowledge is disseminated is also highly variable. It can happen continuously
                  throughout the day, once a day, weekly or infrequently. The means by which com-
                  munication happens is also flexible-it can take place via face to face conversa-
                  tions, telephone, videophone, messaging, email, fax, and letters. Non-verbal
                  communication also plays an important role in augmenting face to face conversa-
                  tion, involving the use of facial expressions, back channeling (the "aha's" and
                  "umms"), voice intonation, gesturing, and other kinds of body language.
                       All this may appear self-evident, especially when one reflects on how we inter-
                  act with one another. Less obvious is the range of social mechanisms and practices
                  that have evolved in society to enable us to be social and maintain social order.
                  Various rules, procedures, and etiquette have been established whose function is to
                  let people know how they should behave in social groups. Below we describe three
                  main categories of social mechanisms and explore how technological systems have
                  been and can be designed to facilitate these:
                        the use of conversational mechanisms to facilitate the flow of talk and help
                        overcome breakdowns during it
                        the use of coordination mechanisms to allow people to work and interact
                        together
                        the use of awareness mechanisms to find out what is happening, what others
                        are doing and, conversely, to let others know what is happening
4.2 Social mechanisms in communication and collaboration   107

4.2.1 Conversational mechanisms
             Talking is something that is effortless and comes naturally to most people. And yet
             holding a conversation is a highly skilled collaborative achievement, having many
             of the qualities of a musical ensemble. Below we examine what makes up a conver-
             sation. We begin by examining what happens at the beginning:
                 A: Hi there.
                 B: Hi!
                 C: Hi.
                 A: All right?
                 C: Good. How's it going?
                 A: Fine, how are you?
                 C: Good.
                 B: OK. How's life treating you?
                  Such mutual greetings are typical. A dialog may then ensue in which the partic-
             ipants take turns asking questions, giving replies, and making statements. Then
             when one or more of the participants wants to draw the conversation to a close,
             they do so by using either implicit or explicit cues. An example of an implicit cue is
             when a participant looks at his watch, signaling indirectly to the other participants
             that he wants the conversation to draw to a close. The other participants may
             choose to acknowledge this cue or carry on and ignore it. Either way, the first par-
             ticipant may then offer an explicit signal, by saying, "Well, I must be off now. Got
             work to do," or, "Oh dear, look at the time. Must dash. Have to meet someone."
             Following the acknowledgment by the other participants of such implicit and ex-
             plicit signals, the conversation draws to a close, with a farewell ritual. The different
             participants take turns saying, "Bye," "Bye then," "See you," repeating themselves
             several times, until they finally separate.
                  Such conversational mechanisms enable people to coordinate their "talk" with
             one another, allowing them to know how to start and stop. Throughout a conversa-
             tion further "turn-taking" rules are followed, enabling people to know when to lis-
             ten, when it is their cue to speak, and when it is time for them to stop again to allow
             the others to speak. Sacks, Schegloff and Jefferson (1978)-who are famous for
             their work on conversation analysis-describe these in terms of three basic rules:
                   rule 1- current speaker chooses the next speaker by asking an opinion,
                           the
                   question, or request
                   rule 2-another person decides to start speaking
                   rule 3- current speaker continues talking
                           the
                  The rules are assumed to be applied in the above order, so that whenever there
             is an opportunity for a change of speaker to occur (e.g., someone comes to the end
             of a sentence), rule 1 is applied. If the listener to whom the question or opinion is
             addressed does not accept the offer to take the floor, the second rule is applied and
108   Chapter 4    Design for collaboration and communication

                  someone else taking part in the conversation may take up the opportunity and
                  offer a view on the matter. If this does not happen then the third rule is applied and
                  the current speaker continues talking. The rules are cycled through recursively
                  until someone speaks again.
                       To facilitate rule following, people use various ways of indicating how long
                  they are going to talk and on what topic. For example, a speaker might say right at
                  the beginning of their turn in the conversation that he has three things to say. A
                  speaker may also explicitly request a change in speaker by saying, "OK, that's all I
                  want to say on that matter. So, what do you think?" to a listener. More subtle cues
                  to let others know that their turn in the conversation is coming to an end include
                  the lowering or raising of the voice to indicate the end of a question or the use of
                  phrases like, "You know what I mean?" or simply, "OK?" Back channeling (uh-
                  huh, mmm), body orientation (e.g., moving away from or closer to someone), gaze
                  (staring straight at someone or glancing away), and gesture (e.g. raising of arms)
                  are also used in different combinations when talking, to signal to others when
                  someone wants to hand over or take up a turn in the conversation.
                       Another way in which conversations are coordinated and given coherence is
                  through the use of adjacency pairs (Shegloff and Sacks, 1973). Utterances are as-
                  sumed to come in pairs in which the first part sets up an expectation of what is to
                  come next and directs the way in which what does come next is heard. For exam-
                  ple, A may ask a question to which B responds appropriately:
                      A: So shall we meet at 8:00?
                      B: Um, can we make it a bit later, say 8:30?
                  Sometimes adjacency pairs get embedded in each other, so it may take some time
                  for a person to get a reply to their initial request or statement:
                      A: So shall we meet at 8:00?
                      B: Wow, look at him.
                      A: Yes, what a funny hairdo!
                      B: Um, can we make it a bit later, say 8:30?
                  For the most part people are not aware of following conversational mechanisms,
                  and would be hard pressed to articulate how they can carry on a conversation. Fur-
                  thermore, people don't necessarily abide by the rules all the time. They may inter-
                  rupt each other or talk over each other, even when the current speaker has clearly
                  indicated a desire to hold the floor for the next two minutes to finish an argument.
                  Alternatively, a listener may not take up a cue from a speaker to answer a question
                  or take over the conversation, but instead continue to say nothing even though the
                  speaker may be making it glaringly obvious it is the listener's turn to say some-
                  thing. Many a time a teacher will try to hand over the conversation to a student in a
                  seminar, by staring at her and asking a specific question, only to see the student
                  look at the floor, and say nothing. The outcome is an embarrassing silence, fol-
                  lowed by either the teacher or another student picking up the conversation again.
                       Other kinds of breakdowns in conversation arise when someone says something
                  that is ambiguous and the other person misinterprets it to mean something else. In
4.2 Social mechanisms in communication and collaboration       109

          such situations the participants will collaborate to overcome the misunderstanding
          by using repair mechanisms. Consider the following snippet of conversation be-
          tween two people:
              A: Can you tell me the way to get to the Multiplex Ranger cinema?
              B: Yes, you go down here for two blocks and then take a right (pointing to the
                right), go on till you get to the lights and then it is on the left.
              A: Oh, so I go along here for a couple of blocks and then take a right and the
                cinema is at the lights (pointing ahead of him)?
              A: No, you go on this street for a couple of blocks (gesturing more vigorously
                than before to the street to the right of him while emphasizing the word "this").
              B: Ahhhh! I thought you meant that one: so it's this one (pointing in same di-
                rection as the other person).
              A: Uh-hum, yes that's right, this one.
          Detecting breakdowns in conversation requires the speaker and listener to be at-
          tending to what the other says (or does not say). Once they have understood the na-
          ture of the failure, they can then go about repairing it. As shown in the above
          example, when the listener misunderstands what has been communicated, the
          speaker repeats what she said earlier, using a stronger voice intonation and more ex-
          aggerated gestures. This allows the speaker to repair the mistake and be more ex-
          plicit to the listener, allowing her to understand and follow better what they are
          saying. Listeners may also signal when they don't understand something or want fur-
          ther clarification by using various tokens, like "Huh?", "Quoi?" or "What?" (Sche-
          gloff, 1982) together with giving a puzzled look (usually frowning). This is especially
          the case when the speaker says something that is vague. For example, they might say
          "I want it" to their partner, without saying what it is they want. The partner may
          reply using a token or, alternatively, explicitly ask, "What do you mean by it?"
               Taking turns also provides opportunities for the listener to initiate repair or re-
          quest clarification, or for the speaker to detect that there is a problem and to initi-
          ate repair. The listener will usually wait for the next turn in the conversation before
          interrupting the speaker, to give the speaker the chance to clarify what is being said
          by completing the utterance (Suchman, 1987).



          How do people repair breakdowns in conversations when using the phone or email?

Comment   In these settings people cannot see each other and so have to rely on other means of repair-
          ing their conversations. Furthermore, there are more opportunities for breakdowns to occur
          and fewer mechanisms available for repair. When a breakdown occurs over the phone, peo-
          ple will often shout louder, repeating what they said several times, and use stronger intbna-
          tion. When a breakdown occurs via email, people may literally spell out what they meant,
          making things much more explicit in a subsequent email. If the message is beyond repair
          they may resort to another mode of communication that allows greater flexibility of expies-
          sion, either telephoning or speaking to the recipient face to face.
1 10   Chapter 4    Design for collaboration and communication

                   Kinds of conversations
                   Conversations can take a variety of forms, such as an argument, a discussion, a
                   heated debate, a chat, a t6te-8-tete, or giving someone a "telling off." A well-
                   known distinction in conversation types is between formal and informal communi-
                   cation. Formal communication involves assigning certain roles to people and
                   prescribing a priori the types of turns that people are allowed to take in a conversa-
                   tion. For example, at a board meeting, it is decided who is allowed to speak, who
                   speaks when, who manages the turn-taking, and what the participants are allowed
                   to talk about.
                        In contrast, informal communication is the chat that goes on when people so-
                   cialize. It also commonly happens when people bump into each other and talk
                   briefly. This can occur in corridors, at the coffee machine, when waiting in line, and
                   walking down the street. Informal conversations include talking about impersonal
                   things like the weather (a favorite) and the price of living, or more personal things,
                   like how someone is getting on with a new roommate. It also provides an opportu-
                   nity to pass on gossip, such as who is going out to dinner with whom. In office set-
                   tings, such chance conversations have been found to serve a number of functions,
                   including coordinating group work, transmitting knowledge about office culture,
                   establishing trust, and general team building (Kraut et al, 1990). It is also the case
                   that people who are in physical proximity, such as those whose offices or desks are
                   close to one another, engage much more frequently in these kinds of informal chats
                   than those who are in different corridors or buildings. Most companies and organi-
                   zations are well aware of this and often try to design their office space so that peo-
                   ple who need to work closely together are placed close to one another in the same
                   physical space.


4.2.2 Designing collaborative technologies to support conversation
                   As we have seen, "talk" and the way it is managed is integral to coordinating social
                   activities. One of the challenges confronting designers is to consider how the differ-
                   ent kinds of communication can be facilitated and supported in settings where
                   there may be obstacles preventing it from happening "naturally." A central con-
                   cern has been to develop systems that allow people to communicate with each
                   other when they are in physically different locations and thus not able to communi-
                   cate in the usual face to face manner. In particular, a key issue has been to deter-
                   mine how to allow people to carry on communicating as if they were in the same
                   place, even though they are geographically separated-sometimes many thousands
                   of miles apart.
                        Email, videoconferencing, videophones, computer conferencing, chatrooms
                   and messaging are well-known examples of some of the collaborative technologies
                   that have been developed to enable this to happen. Other less familiar systems are
                   collaborative virtual environments (CVEs) and media spaces. CVEs are virtual
                   worlds where people meet and chat. These can be 3D graphical worlds where users
                   explore rooms and other spaces by teleporting themselves around in the guise of
                   avatars (See Figure 4.1 on Color Plate 5), or text and graphical "spaces" (often
                   called MUDS and MOOS) where users communicate with each other via some
4.2 Social mechanisms in communication and collaboration        111

          form of messaging. Media spaces are distributed systems comprising audio, video,
          and computer systems that "extend the world of desks, chairs, walls and ceilings"
          (Harrison et al., 1997), enabling people distributed over space and time to commu-
          nicate and interact with one another as if they were physically present. The various
          collaborative technologies have been designed to support different kinds of
          communication, from informal to formal and from one-to-one to many-to-many
          conversations. Collectively, such technologies are often referred to as computer-
          mediated communication (CMC).


          Do you think it is better to develop technologies that will allow people to talk at a dis-
          tance as if they were face to face, or to develop technologies that will support new ways of
          conversing?

Comment   On the one hand, it seems a good idea to develop technologies supporting people communi-
          cating at a distance that emulate the way they hold conversations in face to face situations.
          After all, this means of communicating is so well established and second nature to people.
          Phones and videoconferencing have been developed to essentially support face to face con-
          versations. It is important to note, however, that conversations held in this way are not the
          same as when face to face. People have adapted the way they hold conversations to fit in
          with the constraints of the respective technologies. As noted earlier, they tend to shout more
          when misunderstood over the phone. They also tend to speak more loudly when talking on
          the phone, since they can't monitor how well the person can hear them at the other end of
          the phone. Likewise, people tend to project themselves more when videoconferencing.
          Turn-taking appears to be much more explicit, and greetings and farewells more ritualized.
             On the other hand, it is interesting to look at how the new communication technologies
          have been extending the way people talk and socialize. For example, SMS text messaging
          has provided people with quite different ways of having a conversation at a distance. People
          (especially teenagers) have evolved a new form of fragmentary conversation (called "tex-
          ting") that they continue over long periods. The conversation comprises short phrases that
          are typed in, using the key pad, commenting on what each is doing or thinking, allowing the
          other to keep posted on current developments. These kinds of "streamlined" conversations
          are coordinated simply by taking turns sending and receiving messages. Online chatting has
          also enabled effectively hundreds and even thousands of people to take part in the same
          conversations, which is not possible in face to face settings.


               The range of systems that support computer-mediated communication is quite
          diverse. A summary table of the different types is shown in Table 4.1, highlighting
          how they support, extend and differ from face to face communication. A conven-
          tionally accepted classification system of CMC is to categorize them in terms of ei-
          ther synchronous or asynchronous communication. We have also included a third
          category: systems that support CMC in combination with other collaborative ac-
          tivities, such as meetings, decision-making, learning, and collaborative authoring
          of documents. Although some communication technologies are not strictly speak-
          ing computer-based (e.g., phones, video-conferencing) we have included these in
          the classification of CMC, as most now are display-based and interacted with or
          controlled via an interface. (For more detailed overviews of CMC, see Dix et al.
          (Chapter 13,1998) and Baecker et al. (Part 111 and IV, 1993).
Table 4.1 Classification of computer-mediated communication (CMC) into three types: (I) Synchronous
communication, (ii) Asynchronous communication and (iii) CMC combined with other activity

i. Synchronous communication
Where conversations in real time are supported by letting people talk with each other either using their voices
or through typing. Both modes seek to support non-verbal communication to varying degrees.
Examples:
   Talking with voice: video phones, video conferencing (desktop or wall), media spaces.
   Talking via typing: text messaging (typing in messages using cell phones), instant messaging (real-time
   interaction via PCs) chatrooms, collaborative virtual environments (CVEs).
New kinds of functionality:
    CVEs allow communication to take place via a combination of graphical representations of self (in the form
    of avatars) with a separate chatbox or overlaying speech bubbles.
    CVEs allow people to represent themselves as virtual characters, taking on new personas (e.g., opposite
    gender), and expressing themselves in ways not possible in face-to-face settings.
    CVEs, MUDSand chatrooms have enabled new forms of conversation mechanisms, such as multi-turn-taking,
    where a number of people can contribute and keep track of a multi-streaming text-based conversation.
    Instant messaging allows users to multitask by holding numerous conversations at once.
Benefits:
    Not having to physically face people may increase shy people's confidence and self-esteem to converse more
    in "virtual" public.
    It allows people to keep abreast of the goings-on in an organization without having to move from their office.
    It enables users to send text and images instantly between people using instant messaging.
    In offices, instant messaging allows users to fire off quick questions and answers without the time lag of
    email or phone-tag.
Problems:
    Lack of adequate bandwidth has plagued video communication, resulting in poor-quality images that
    frequently break up, judder, have shadows, and appear as unnatural images.
    It is difficult to establish eye contact (normally an integral and subconscious part of face-to-face
    conversations) in CVEs, video conferencing, and videophones.
    Having the possibility of hiding behind a persona, a name, or an avatar in a chatroom gives people the
    opportunity to behave differently. Sometimes this can result in people becoming aggressive or intrusive.
ii. Asynchronous communication
Where communication between participants takes place remotely and at different times. It relies not on time-
dependent turn-taking but on participants initiating communication and responding to others when they want
 or are able to do so.
 Examples:
    email, bulletin boards, newsgroups, computer conferencing
 New kinds offunctionality:
    Attachments of different sorts (including annotations, images, music) for email and computer conferencing
    can be sent.
    Messages can be archived and accessed using various search facilities.
 Benefits:
    Ubiquity: Can read any place, any time.
    Flexibility: Greater autonomy and control of when and how to respond, so can attend to it in own time
    rather than having to take a turn in a conversation at a particular cue.
    Powerful: Can send the same message to many people.
    Makes some things easier to say: Do not have to interact with person so can be easier to say things than when
    face to face (e.g., announcing sudden death of colleague, providing feedback on someone's performance).
                                                                                                     (Continued)
112
Table 4.1   (Continued)
                    -     -      -         -



Problems:
    Flaming: When a user writes incensed angry email expressed in uninhibited language that is much stronger
    than normally used when interacting with the same person face to face. This includes the use of impolite
    statements, exclamation marks, capitalized sentences or words, swearing, and superlatives. Such "charged"
    communication can lead to misunderstandings and bad feelings among the recipients.
    Overload: Many people experience message overload, receiving over 30 emails or other messages a day.
   They find it difficult to cope and may overlook an important message while working through their ever
    increasing pile of email-especially if they have not read it for a few days. Various interface mechanisms
    have been designed to help people manage their email better, including filtering, threading, and the use of
   signaling to indicate the level of importance of a message (via the sender or recipient), through color coding,
    bold font, or exclamation marks placed beside a message.
    False expectations: An assumption has evolved that people will read their messages several times a day and
    reply to them there and then. However, many people have now reverted to treating email more like postal
    mail, replying when they have the time to do so.
iii. CMC combined with other activity
People often talk with each other while carrying out other activities. For example, designing requires people to
brainstorm together in meetings, drawing on whiteboards, making notes, and using existing designs. Teaching
involves talking with students as well as writing on the board and getting students to solve problems
collaboratively. Various meeting- and decision- support systems have been developed to help people work or
learn while talking together.
Examples:
    Customized electronic meeting rooms have been built that support people in face-to-face meetings, via the
    use of networked workstations, large public displays, and shared software tools, together with various
    techniques to help decision-making. One of the earliest systems was the University of Arizona's
    Groupsystem (see Figure 4.2).


                            --     -   -       -


                   White board    Wall mounted projectioiscreen   White board


                                 Facilitator console
                                 and network
                                 file server




                                                                         
                                                                         Work
                                                                         /




                  Figure 4.2 Schematic diagram of a group meeting room, showing relationship of work-
                  station, whiteboards and video projector.

                                                                                                     (Continued)
                                                                                                             113
1 14   Chapter 4    Design for collaboration and communication

Table 4.1   (Continued)




                                                     Figure 4.3 An ACTIVBoard whiteboard developed by
                                                     Promethean (U.K. company) that allows children to take
                                                     control of the front-of-class display. This allows them to
                                                     add comments and type in queries, rather than having to
                                                     raise their hands and hope the teacher sees them.




  Networked classrooms: Recently schools and universities have realized the potential of using combinations
  of technologies to support learning. For example, wireless communication, portable devices and interactive
  whiteboards are being integrated in classroom settings to allow the teacher and students to learn and
  communicate with one another in novel interactive ways (see Figure 4.3).
  Argumentation tools which record the design rationale and other arguments used in a discussion that lead to
  decisions in a design (e.g. gIBIS, Conklin and Begeman, 1989). These are mainly designed for people
  working in the same physical location.
  Shared authoring and drawing tools that allow people to work on the same document at the same time. This
  can be remotely over the web (e.g., shared authoring tools like Shredit) or on the same drawing surface in
  the same room using multiple mouse cursors (e.g., KidPad, Benford et al., 2000).
New kinds of functionality:
  Allows new ways of collaboratively creating and editing documents.
  Supports new forms of collaborative learning.
  Integrates different kinds of tools.
Benefits:
  Supports talking while carrying out other activities at the same time, allowing multi-tasking-which is what
  happens in face-to-face settings.
  Speed and efficiency: allows multiple people to be working a n same document at same time.
  Greater awareness: allows users to see how one another are progressing in real time.
Problems:
  WYSIWIS (what you see is what I see): It can be difficult to see what other people are referring to when in
  remote locations, especially if the document is large and different users have different parts of the document
  on their screens.
  Floor control: Users may want to work on the same piece of text or design, potentially resulting in file
  conflicts. These can be overcome by developing various social and technological floor-control policies.
4.2 Social mechanisms in communication and collaboration        1 15    I
              e of the earliest technological innovations (besides the telephone and telegraph) devel-
             ed for supporting conversations at a distance was the videophone. Despite numerous at-
                                                                                                           1
          tempts by the various phone companies to introduce them over the last 50 years (see Figure
          4.4), they have failed each time. Why do you think this is so?                                   1
Comment   One of the biggest problems with commercial videophones is that the bandwidth is too low,            1
          resulting in poor resolution and slow refresh rate. The net effect is the display of unaccept-
          able images: the person in the picture appears to move in sudden jerks; shadows are left be-
          hind when a speaker moves, and it is difficult to read lips or establish eye contact. There is
          also the social acceptability issue of whether people want to look at pocket-sized images of
          each other when talking. Sometimes you don't want people to see what state you are in or
          where you are.



              Another innovation has been to develop systems that allow people to com-
          municate and interact with each other in ways not possible in the physical world.
          Rather than try to imitate or facilitate face to face communication (like the
          above systems), designers have tried to develop new kinds of interactions. For ex-
          ample, ClearBoard was developed to enable facial expressions of participants to
          be made visible to others by using a transparent board that showed their face to
          the others (Ishii et al., 1993). HyperMirror was designed to provide an environ-
          ment in which the participants could feel they were in the same virtual place even




          Figure 4.4 (a) One of British Telecom's early videophones and (b) a recent mobile "visual-
          phone" developed in Japan.
- -


                                                                I

1 16   Chapter 4   Design for collaboration and communication   I
4.2 Social mechanisms in communication and collaboration   1 17   I
1 18 Chapter 4 Design for collaboration and communication




                Figure 4.7 Hypermirror in action, showing perception of virtual personal space. (a) A       I
                woman is in one room (indicated by arrow on screen), (b) while a man and another woman
                in the other room chat to each other. They move apart when they notice they are "overlap-
                ping" her and (c) virtual personal space is established.



                though they were physically in different places (Morikawa and Maesako, 1998).
                Mirror reflections of people in different places were synthesized and projected
                onto a single screen, so that they appeared side by side in the same virtual space.
                In this way, the participants could see both themselves and others in the same
                seamless virtual space. Observations of people using the system showed how
                quickly they adapted to perceiving themselves and others in this way. For exam-
                ple, participants quickly became sensitized to the importance of virtua1,personal
                space, moving out of the way if they perceived they were overlapping someone
                else on the screen (see Figure 4.7).


4.2.3 Coordination mechanisms
                Coordination takes place when a group of people act or interact together to
                achieve something. For example, consider what is involved in playing a game of
                basketball. Teams have to work out how to play with each other and to plan a set
                of tactics that they think will outwit the other team. For the game to proceed both
                teams need to follow (and sometimes contravene) the rules of the game. An in-
                credible amount of coordination is required within a team and between the com-
                peting teams in order to play.
                     In general, collaborative activities require us to coordinate with each other,
                whether playing a team game, moving a piano, navigating a ship, working on a
                large software project, taking orders and serving meals in a restaurant, constructing
                a bridge or playing tennis. In particular, we need to figure out how to interact with
                one another to progress with our various activities. To help us we use a number of
                coordinating mechanisms. Primarily, these include:
                      verbal and non-verbal communication
                      schedules, rules and conventions
                      shared external representations
4.2 Social mechanisms in communication and collaboration        1 19    1
          Verbal and non-verbal communication
          When people are working closely together they talk to each other, issuing com-
                                                                                                           I
          mands and letting others know how they are progressing with their part. For exam-
          ple, when two or more people are collaborating together, as in moving a piano,
          they shout to each other commands like "Down a bit, left a bit, now straight for-
          ward" to coordinate their actions with each other. As in a conversation, nods,
          shakes, winks, glances, and hand-raising are also used in combination with such co-
          ordination "talk" to emphasize and sometimes replace it.
               In formal settings, like meetings, explicit structures such as agendas, memos,
          and minutes are employed to coordinate the activity. Meetings are chaired, with
          secretaries taking minutes to record what is said and plans of actions agreed
          upon. Such minutes are subsequently distributed to members to remind them of
          what was agreed in the meeting and for those responsible to act upon what was
          agreed.
               For time-critical and routinized collaborative activities, especially where it is
          difficult to hear others because of the physical conditions, gestures are fre-
          quently used (radio-controlled communication systems may also be used). Vari-
          ous kinds of hand signals have evolved, with their own set of standardized syntax
          and semantics. For example, the arm and baton movements of a conductor coor-
          dinate the different players in an orchestra, while the arm and baton movements
          of a ground marshal at an airport signal to a pilot how to bring the plane into its
          allocated gate.



                  uch communication is non-verbal? Watch a soap opera on the TV and turn down the
                   and look at the kinds and frequency of gestures that are used. Are you able to un-
          derstand what is going on? How do radio soaps compensate for not being able to use non-
          verbal gestures? How do people compensate when chatting online?

Comment   Soaps are good to watch for observing non-verbal behavior as they tend to be overcharged,
          with actors exaggerating their gestures and facial expressions to convey their emotions. It is
          often easy to work out what kind of scene is happening from their posture, body move-
          ment, gestures, and facial expressions. In contrast, actors on the radio use their voice a lot
          more, relying on intonation and surrounding sound effects to help convey emotions. When
          chatting online, people use emoticons and other specially evolved verbal codes.



          Schedules, rules, and conventions
          A common practice in organizations is to use various kinds of schedules to orga-
          nize the people who are part of it. For example, consider how a university manages
          to coordinate the people within it with its available resources. A core task is allo-
          cating the thousands of lectures and seminars that need to be run each week with
          the substantially smaller number of rooms available. A schedule has to be devised
120   Chapter 4    Design for collaboration and communication

                  that allows students to attend the lectures and seminars for their given courses, tak-
                  ing into account numerous rules and constraints. These include:
                        A student cannot attend more than one lecture at a given time.
                        A professor cannot give more than one lecture or seminar at a given time.
                        A room cannot be allocated to more than one seminar or lecture at a given
                        time.
                        Only a certain number of students can be placed in a room, depending on its
                        size.
4.2 Social mechanisms in communication and collaboration      121
                                                                                             I
    Other coordinating mechanisms that are employed by groups working together
are rules and conventions. These can be formal or informal. Formal rules, like the
compulsory attendance of seminars, writing monthly reports, and filling in of
timesheets, enable organizations to maintain order and keep track of what its mem-
bers are doing. Conventions, like keeping quiet in a library or removing meal trays
after finishing eating in a cafeteria, are a form of courtesy to others.
                                                                                             I

Shared external representations
                                                                                             I

Shared external representations are commonly used to coordinate people. We
have already mentioned one example, that of shared calendars that appear on
user's monitors as graphical charts, email reminders, and dialog boxes. Other
kinds that are commonly used include forms, checklists, and tables. These are pre-
sented on public noticeboards or as part of other shared spaces. They can also be
attached to documents and folders. They function by providing external informa-
tion of who is working on what, when, where, when a piece of work is supposed to
be finished, and who it goes to next. For example, a shared table of who has com-
pleted the checking of files for a design project (see Figure 4.8), provides the nec-
essary information from which other members of the group can at a glance update
their model of the current progress of that project. Importantly, such external rep-
resentations can be readily updated by annotating. If a project is going to take
longer than planned, this can be indicated on a chart or table by extending the line
representing it, allowing others to see the change when they pass by and glance up
at the whiteboard.
     Shared externalizations allow people to make various inferences about the
changes or delays with respect to their effect on their current activities. Accordingly,




Figure 4.8 An external representation used to coordinate collaborative work in the form of
a print-out table showing who has completed the checking of files and who is down to do
what.
122   Chapter 4    Design for collaboration and communication

                  they may need to reschedule their work and annotate the shared workplan. In so
                  doing, these kinds of coordination mechanisms are considered to be tangible, pro-
                  viding important representations of work and responsibility that can be changed
                  and updated as and when needed.

4.2.4 Designing collaborative technologies to support coordination
                  Shared calendars, electronic schedulers, project management tools, and workflow
                  tools that provide interactive forms of scheduling and planning are some of the
                  main kinds of collaborative technologies that have been developed to support
                  coordination. A specific mechanism that has been implemented is the use of con-
                  ventions. For example, a shared workspace system (called POLITeam) that sup-
                  ported email and document sharing to allow politicians to work together at
                  different sites introduced a range of conventions. These included how folders and
                  files should be organized in the shared workspace. Interestingly, when the system
                  was used in practice, it was found that the conventions were often violated (Mark,
                  et al., 1997). For example, one convention that was set up was that users should
                  always type in the code of a file when they were using it. In practice, very few peo-
                  ple did this, as pointed out by an administrator: "They don't type in the right
                  code. I must correct them. I must sort the documents into the right archive. And
                  that's annoying".
                       The tendency of people not to follow conventions can be due to a number of
                  reasons. If following conventions requires additional work that is extraneous to the
                  users' ongoing work, they may find it gets in the way. They may also perceive the
                  convention as an unnecessary burden and "forget" to follow it all the time. Such
                  "productive laziness" (Rogers, 1993) is quite common. A simple analogy to every-
                  day life is forgetting to put the top back on the toothpaste tube: it is a very simple
                  convention to follow and yet we are all guilty sometimes (or even all the time) of
                  not doing this. While such actions may only take a tiny bit of effort, people often
                  don't do them because they perceive them as tedious and unnecessary. However,
                  the consequence of not doing them can cause grief to others.
                       When designing coordination mechanisms it is important to consider how so-
                  cially acceptable they are to people. Failure to do so can result in the users not
                  using the system in the way intended or simply abandoning it. A key part is getting
                  the right balance between human coordination and system coordination. Too much
                  system control and the users will rebel. Too little control and the system breaks
                  down. Consider the example of file locking, which is a form of concurrency control.
                  This is used by most shared applications (e.g., shared authoring tools, file-sharing
                  systems) to prevent users from clashing when trying to work on the same part of a
                  shared document or file at the same time. With file locking, whenever someone is
                  working on a file or part of it, it becomes inaccessible to others. Information about
                  who is using the file and for how long may be made available to the other users, to
                  show why they can't work on a particular file. When file-locking mechanisms are
                  used in this way, however, they are often considered too rigid as a form of coordi-
                  nation, primarily because they don't let other users negotiate with the first user
                  about when they can have access to the locked file.
4.2 Social mechanisms in communication and collaboration   123

     A more flexible form of coordination is to include a social policy of floor con-
trol. Whenever a user wants to work on a shared document or file, he must initially
request "the floor." If no one else is using the specified section or file at that time,
then he is given the floor. That part of the document or file then becomes locked,
preventing others from having access to it. If other users want access to the file,
they likewise make a request for the floor. The current user is then notified and can
then let the requester know how long the file will be in use. If not acceptable, the
requester can try to negotiate a time for access to the file. This kind of coordination
mechanism, therefore, provides more scope for negotiation between users on how
to collaborate, rather than simply receiving a point-blank "permission denied" re-
sponse from the system when a file is being used by someone else.
124   Chapter 4    Design for collaboration and communication


                          Why are whiteboards so useful for coordinating projects? How might electronic whiteboards
                          be designed to extend this practice?
    I
        Comment           Physical whiteboards are very good as coordinating tools as they display information that is
                          external and public, making it highly visible for everyone to see. Furthermore, the informa-
                          tion can be easily annotated to show up-to-date modifications to a schedule. Whiteboards
                          also have a gravitational force, drawing people to them. They provide a meeting place for
                          people to discuss and catch up with latest developments.
                             Electronic whiteboards have the added advantage that important information can be ani-
                          mated to make it stand out. Important information can also be displayed on multiple dis-
                          plays throughout a building and can be extracted from existing databases and software,
                          thereby making the project coordinator's work much easier. The boards could also be used
                          to support on-the-fly meetings in which individuals could use electronic pens to sketch out
                          ideas-that could then be stored electronically. In such settings they could also be interacted
                          with via wireless handheld computers, allowing information to be "scraped" off or
                          "squirted onto the whiteboard.


I       4.2.5 Awareness mechanisms
                          Awareness involves knowing who is around, what is happening, and who is talk-
                          ing with whom (Dourish and Bly, 1992). For example, when we are at a party, we
                          move around the physical space, observing what is going on and who is talking to
                          whom, eavesdropping on others' conversations and passing on gossip to others. A
                          specific kind of awareness is peripheral awareness. This refers to a person's abil-
                          ity to maintain and constantly update a sense of what is going on in the physical
                          and social context, through keeping an eye on what is happening in the periphery
                          of their vision. This might include noting whether people are in a good or bad
                          mood by the way they are talking, how fast the drink and food is being consumed,
                          who has entered or left the room, how long someone has been absent, and
                          whether the lonely guy in the corner is finally talking to someone-all while we
                          are having a conversation with someone else. The combination of direct observa-
                          tions and peripheral monitoring keeps people informed and updated of what is
                          happening in the world.
                               Similar ways of becoming aware and keeping aware take place in other con-
                          texts, such as a place of study or work. Importantly, this requires fathoming
                          when is an appropriate time to interact with others to get and pass information
                          on. Seeing a professor slam the office door signals to students that this is defi-
                          nitely not a good time to ask for an extension on an assignment deadline. Con-
                          versely, seeing teachers with beaming faces, chatting openly to other students
                          suggests they are in a good mood and therefore this would be a good time to ask
                          them if it would be all right to miss next week's seminar because of an important
                          family engagement. The knowledge that someone is amenable or not rapidly
                          spreads through a company, school, or other institution. People are very eager to
                          pass on both good and bad news to others and will go out of their way to gossip,
                          loitering in corridors, hanging around at the photocopier and coffee machine
                          "spreading the word."
4.2 Social mechanisms in communication and collaboration    125




                                         Figure 4.9 An external representation used to
                                         signal to others a person's availability.


     In addition to monitoring the behaviors of others, people will organize their
work and physical environment to enable it to be successfully monitored by others.
This ranges from the use of subtle cues to more blatant ones. An example of a sub-
tle cue is when someone leaves their dorm or office door slightly ajar to indicate
that they can be approached. A more blatant one is the complete closing of their
door together with a "do not disturb" notice prominently on it, signaling to every-
one that under no circumstances should they be disturbed (see Figure 4.9).

Overhearing and overseeing
People who work closely together also develop various strategies for coordinating
their work, based on an up-to-date awareness of what the others are doing. This is
especially so for interdependent tasks, where the outcome of one person's activity
is needed for others to be able to carry out their tasks. For example, when putting
on a show, the performers will constantly monitor what one another is doing in
order to coordinate their performance efficiently.
    The metaphorical expression "closely-knit teams" exemplifies this way of col-
laborating. People become highly skilled in reading and tracking what others are
doing and the information they are attending to. A well-known study of this phe-
nomenon is described by Christian Heath and Paul Luff (1992), who looked at how
two controllers worked together in a control room in the London Underground.
An overriding observation was that the actions of one controller were tied very
closely to what the other was doing. One of the controllers was responsible for the
movement of trains on the line (controller A), while the other was responsible for
providing information to passengers about the current service (controller B). In
many instances, it was found that controller B overheard what controller A was
doing and saying, and acted accordingly-even though controller A had not said
anything explicitly to him. For example, on overhearing controller A discussing a
problem with a train driver over the in-cab intercom system, controller B inferred
from the ensuing conversation that there was going to be a disruption to the service
126   Chapter 4     Design for collaboration and communication

                  and so started announcing this to the passengers on the platform before controller
                  A had even finished talking with the train driver. At other times, the two con-
                  trollers keep a lookout for each other, monitoring the environment for actions and
                  events which they might have not noticed but may be important for them to know
                  about so that they can act appropriately.


                    hat d o you think happens when one person of a closely knit team does not see or hear
                     ething or misunderstands what has been said, while the others in the group assume they
                  have seen, heard, or understood what has been said?

Comment           In such circumstances, the person is likely to carry on as normal. In some cases this will re-
                  sult in inappropriate behavior. Repair mechanisms will then need to be set in motion. The
                  knowledgeable participants may notice that the other person has not acted in the manner
                  expected. They may then use one of a number of subtle repair mechanisms, say coughing
                  or glancing at something that needs attending to. If this doesn't work, they may then re-
                  sort to explicitly stating aloud what had previously been signaled implicitly. Conversely,
                  the unaware participant may wonder why the event hasn't happened and, likewise, look
                  over at the other people, cough to get their attention or explicitly ask them a question.
                  The kind of repair mechanism employed at a given moment will depend on a number of
                  factors, including the relationship among the participants (e.g., whether one is more se-
                  nior than the others-this determines who can ask what), perceived fault or responsibility
                  for the breakdown and the severity of the outcome of not acting there and then on the
                  new information.


4.2.6 Designing collaborative technologies to support awareness
                  The various observations about awareness have led system developers to con-
                  sider how best to provide awareness information for people who need to work to-
                  gether but who are not in the same physical space. Various technologies have
                  been employed along with the design of specific applications to convey informa-
                  tion about what people are doing and the progress of their ongoing work. As
                  mentioned previously, audio-video links have been developed to enable remote
                  colleagues to keep in touch with one another. Some of these systems have also
                  been developed to provide awareness information about remote partners, allow-
                  ing them to find out what one another is doing. One of the earliest systems was
                  Portholes, developed at Xerox PARC research labs (Dourish and Bly, 1992). The
                  system presented regularly-updated digitized video images of people in their of-
                  fices from a number of different locations (in t h e US and UK). T h e s e were shown
                  in a matrix display on people's workstations. Clicking on one of the images had
                  the effect of bringing up a dialog box providing further information about that in-
                  dividual (e.g., name, phone number) together with a set of lightweight action but-
                  tons (e.g., email the person, listen to a pre-recorded audio snippet). The system
                  provided changing images of people throughout the day and night in their offices,
                  letting others see at a glance whether they were in their offices, what they were
                  working on, and who was around (see Figure 4.10). Informal evaluation of the
4.2 Social mechanisms in communication and collaboration    127




Figure 4.10 A screen dump of Portholes, showing low resolution monochrome images from
offices in the US and UK PARC sites. (Permission from Xerox Research Centre, Europe)


set-up suggested that having access to such information led to a shared sense of
community.
     The emphasis in the design of these early awareness systems was largely on
supporting peripheral monitoring, allowing people to see each other and their
progress. Dourish and Bellotti (1992) refer to this as shared feedback. More recent
distributed awareness systems provide a different kind of awareness information.
Rather than place the onus on participants to find out about each other, they have
been designed to allow users to notify each other about specific kinds of events.
Thus, there is less emphasis on monitoring and being monitored and more on ex-
plicitly letting others know about things. Notification mechanisms are also used to
provide information about the status of shared objects and the progress of collabo-
rative tasks.
     Hence, there has been a shift towards supporting a collective "stream of con-
sciousness" that people can attend to when they want to, and likewise provide in-
formation for when they want to. An example of a distributed awareness system is
Elvin, developed at the University of Queensland (Segall and Arnold, 1997), which
provides a range of client services. A highly successful client is Tickertape, which is
a lightweight instant messaging system, showing small color-coded messages that
scroll from right to left across the screen (Fitzpatrick et a]., 1999). It has been most
useful as a "chat" and local organizing tool, allowing people in different locations
to effortlessly send brief messages and requests to the public tickertape display (see
Figure 4.11). It has been used for a range of functions, including organizing shared
128   Chapter 4     Design for collaboration and communication




                  Figure 4.1 1   The Tickertape and Tickerchat interface for ELVIN awareness service.


                  events (e.g. lunch dates), making announcements, and as an "always-on" communi-
                  cation tool for people working together on projects but who are not physically co-
                  located. It is also often used as a means of mediating help between people. For
                  example, when I was visiting the University of Queensland, I asked for help over
                  Tickertape. Within minutes, I was inundated with replies from people logged onto
                  the system who did not even know me. At the time, I was having problems working
                  out the key mappings between the PC that I was using in Australia and a Unix edi-
                  tor I couldn't find a way of quitting from on a remote machine in the UK. The sug-
                  gestions that appeared on Tickertape quickly led to a discussion among the
                  participants, and within five minutes someone had come over to my desk and
                  sorted the problem out for me!
                       In addition to presenting awareness information as streaming text messages,
                  more abstract forms of representation have been used. For example, a communica-
                  tion tool called Babble, developed at IBM (Erickson et al., 1999), provides a dy-
                  namic visualization of the participants in an ongoing chat-like conversation. A
                  large 2D circle is depicted with colored marbles on each user's monitor. Marbles
                  inside the circle convey those individuals active in the current conversation. Mar-
                  bles outside the circle convey users involved in other conversations. The more ac-
                  tive a participant is in the conversation, the more the corresponding marble is
                  moved towards the center of the circle. Conversely, the less engaged a person is in
                  the ongoing conversation, the more the marble moves towards the periphery of the
                  circle (see Figure 4.12).




                                                               -      Figure 4.12 The Babble interface, with
                                                         0            dynamic visualization of participants in
                                                                      ongoing conversation.
4.3 ~ t h n o ~ r a ~ h i c of collaboration and communication
                                                     studies                                     1 29

4.3 Ethnographic studies of collaboration
    and communication
           One of the main approaches to informing the design of collaborative technolo-
           gies that takes into account social concerns is carrying out an ethnographic study
           (a type of field study). Observations of the setting, be it home, work, school, pub-
           lic place, or other setting, are made, examining the current work and other col-
           laborative practices people engage in. The way existing technologies and
           everyday artifacts are used is also analyzed. The outcome of such studies can be
           very illuminating, revealing how people currently manage in their work and
           everyday environments. They also provide a basis from which to consider how
           such existing settings might be improved or enhanced through the introduction
           of new technologies, and can also expose problematic assumptions about how
           collaborative technologies will or should be used in a setting (for more on how to
           use ethnography to inform design, see Chapter 9; how to do ethnography is cov-
           ered in Chapter 12).
                Many studies have analyzed in detail how people carry out their work in differ-
           ent settings (Plowman et al., 1995). The findings of these studies are used both to
           inform the design of a specific system, intended for a particular workplace, and
           more generally, to provide input into the design of new technologies. They can also
           highlight problems with existing system design methods. For example, an early
           study by Lucy Suchman (1983) looked at the way existing office technologies were
           being designed in relation to how people actually worked. She observed what really
           happened in a number of offices and found that there was a big mismatch between
           the way work was actually accomplished and the way people were supposed to
           work using the office technology provided. She argued that designers would be
           much better positioned to develop systems that could match the way people be-
           have and use technology, if they began by considering the actual details of work
           practice.
                In her later, much-cited study of how pairs of users interacted with an interac-
           tive help system-intended as a facility for using with a photocopier-Suchman
           (1987) again stressed the point that the design of interactive systems would greatly
           benefit from analyses that focused on the unique details of the user's particular sit-
           uation-rather than being based on preconceived models of how people ought to
           (and will) follow instructions and procedures. Her detailed analysis of how the
           help system was unable to help users in many situations, highlighted the inade-
           quacy of basing the design of an interactive system purely on an abstract user
           model.
                Since Suchman's seminal work, a large number of ethnographic studies have
           examined how work gets done in a range of companies (e.g., fashion, design, multi-
           media, newspapers) and local government. Other settings have also recently come
           under scrutiny to see how technologies are used and what people do at home, in
           public places, in schools, and even cyberspace. Here, the objective has been to un-
           derstand better the social aspects of each setting and then to come up with implica-
           tions for the design of future technologies that will support and extend these. For
           more on the way user studies can inform future technologies, see the interview at
           the end of this chapter with Abigail Sellen.
130   Chapter 4    Design for collaboration and communication

4.4   Conceptual frameworks
                  A number of conceptual frameworks of the "social" have been adapted from other
                  disciplines, like sociology and anthropology. As with the conceptual frameworks
                  derived from cognitive approaches, the aim has been to provide analytic frame-
                  works and concepts that are more amenable to design concerns. Below, we briefly
                  describe two well known approaches, that have quite distinct origins and ways of
                  informing interaction design. These are:
                        Languagelaction framework
                        Distributed cognition
                  The first describes how a model of the way people communicate was used to in-
                  form the design of a collaborative technology. The second describes a theory that
                  is used primarily to analyze how people carry out their work, using a variety of
                  technologies.

4.4.1 The language/action framework
                  The basic premise of the language/action framework is that people act through lan-
                  guage (Winograd and Flores, 1986). It was developed to inform the design of sys-
                  tems to help people work more effectively through improving the way they
                  communicate with one another. It is based on various theories of how people use
                  language in their everyday activities, most notably speech act theory.
                       Speech act theory is concerned with the functions utterances have in conversa-
                  tions (Austin, 1962; Searle, 1969). A common function is a request that is asked indi-
                  rectly (known as an indirect speech act). For example, when someone says, "It's hot
                  in here" they may really be asking if it would be OK to open the window because
                  they need some fresh air. Speech acts range from formalized statements (e.g., I
                  hereby declare you man and wife) to everyday utterances (e.g., how about dinner?).
                       There are five categories of speech acts:
                        Assertives-commit the speaker to something being the case
                        Commissives--committhe speaker to some future action
                        Declarations-pronouncesomething has happened
                        Directives-get the listener to do something
                        Expressives-express a state of affairs, such as apologizing or praising someone
                  Each utterance can vary in its force. For example, a command to do something has
                  quite a different force from a polite comment about the state of affairs.
                      The languagelaction approach was developed further into a framework called
                  conversations for action (CfA). Essentially, this framework describes the se-
                  quence of actions that can follow from a speaker making a request of someone
                  else. It depicts a conversation as a kind of "dance" (see Figure 4.13) involving a se-
                  ries of steps that are seen as following the various speech acts. Different dance
                  steps ensue depending on the speech acts followed. The most straightforward kind
                  of dance involves progressing from state 1 through to state 5 of the conversation,
-        4.4 Conceptual frameworks

                                                  A: Declare
                                                                                       1 31




                              /



                                                         1
                           A: Reject       A: Withdraw

                        6 Withdraw
                         :                          
Figure 4.13   Conversation for action (CfA) diagram (from Winograd and Flores, 1986, p. 65).


in a linear order. For example, A (state 1) may request B to do homework (state
2), B may promise to do it after she has watched a TV program (state 3), B may
then report back to A that the homework is done (state 4) and A, having looked
at it, declares that this is the case (state 5). In reality, conversation dances tend to
be more complex. For example, A may look at the homework and see that it is
very shoddy and request that B complete it properly. The conversation is thus
moved back a step. B may promise to do the homework but may in fact not do it
at all, thereby canceling their promise (state 7), or A may say that B doesn't need
to do it any more (state 9). B may also suggest an alternative, like cooking dinner
(moving to state 6).
     The CfA framework was used as the basis of a conceptual model for a com-
mercial software product called the Coordinator. The goal was to develop a system
to facilitate communication in a variety of work settings, like sales, finance, general
management, and planning. The Coordinator was designed to enable electronic
messages to be sent between people in the form of explicit speech acts. When send-
ing someone a request, say "Could you get the report to me", the sender was also
required to select the menu option "request." This was placed in the subject header
of the message, thereby explicitly specifying the nature of the speech act. Other
speech-act options included offer, promise, inform, and question (see Figure 4.14).
The system also asked the user to fill in the dates by which the request should be
completed. Another user receiving such a message had the option of responding
with another labeled speech act. These included:
      acknowledge
      promise
      counter-offer
      decline
      free form
-   --- - -




132   Chapter 4    Design for collaboration and communication


                   Table A: Menu items for initiating a new conversation.
                   Request             Sender wants receiver to do something.
                   Offer               Sender offers to do something, pending acceptance.
                   Promise             Sender promises to do something (request i s implicit).
                   What if             Opens a joint exploration of a space of possibilities.
                   Inform              Sender provides information.
                   Question            A request for information.
                   Note                A simple exchange of messages (as in ordinary E-mail).

                  Figure 4.1 4 Menu items for initiating a conversation.




                      Thus, the Coordinator was designed to provide a straightforward conversa-
                  tional structure, allowing users to make clear the status of their work and, like-
                  wise, to be clear about the status of others' work in terms of various commitments.
                  To reiterate, a core rationale for developing this system was to try to improve
                  people's ability to communicate more effectively. Earlier research had shown
                  how communication could be improved if participants were able to distinguish
                  among the kinds of commitments people make in conversation and also the time
                  scales for achieving them. These findings suggested to Winograd and Flores that
                  they might achieve their goal by designing a communication system that enabled
                  users to develop a better awareness of the value of using "speech acts." Users
                  would do this by being explicit about their intentions in their email messages to
                  one another.
                      Normally, the application of a theory backed up with empirical research is re-
                  garded as a fairly innocuous and systematic way of informing system design. How-
                  ever, in this instance it opened up a very large can of worms. Much of the research
                  community at the time was incensed by the assumptions made by Winograd and
                  Flores in applying speech act theory to the design of the Coordinator System.
                  Many heated debates ensued, often politically charged. A major concern was the
                  extent to which the system prescribed how people should communicate. It was
                  pointed out that asking users to specify explicitly the nature of their implicit speech
                  acts was contrary to what they normally do in conversations. Forcing people to
                  communicate in such an artificial way was regarded as highly undesirable. While
                  some people may be very blatant about what they want doing, when they want it
                  done by, and what they are prepared to do, most people tend to use more subtle
                  and indirect forms of communication to advance their collaborations with others.
                  The problem that Winograd and Flores came up against was people's resistance to
                  radically change their way of communicating.
                      Indeed, many of the people who tried using the Coordinator System in their
                  work organizations either abandoned it or resorted to using only the free-form
                  message facility, which had no explicit demands associated with it. In these con-
4.4 Conceptual frameworks   133

              texts, the system failed because it was asking too much of the users to change the
              way they communicated and worked. However, it should be noted that the Coordi-
              nator was successful in other kinds of organizations, namely those that are highly
              structured and need a highly structured system to support them. In particular, the
              most successful use of the Coordinator and its successors has been in organizations,
              like large manufacturing divisions of companies, where there is a great need for
              considerable management of orders and where previous support has been mainly
              in the form of a hodgepodge of paper forms and inflexible task-specific data pro-
              cessing applications (Winograd, 1994).                                                    1


4.4.2 Distributed cognition
              In the previous chapter we described how traditional approaches to modeling cog-
              nition have focussed on what goes on inside one person's head. We also mentioned
              that there has been considerable dissatisfaction with this approach, as it ignores
              how people interact with one another and their use of artifacts and external repre-
              sentations in their everyday and working activities. To redress this situation, Ed
              Hutchins and his colleagues developed the distributed cognition approach as a new
              paradigm for conceptualizing human work activities (e.g., Hutchins, 1995) (see Fig-
              ure 4.15).
                   The distributed cognition approach describes what happens in a cognitive sys-
              tem. Typically, this involves explaining the interactions among people, the artifacts




                                        processes
                                          /


                   Inputs
                   (sensory)




                                 Outputs
                                (motor behavior)                          representations




              Figure 4.15   Comparison of traditional and distributed cognition approaches.
I
134   Chapter 4     Design for collaboration and communication                                                   I
                                                                                  Air traffic controller
                                                                                         (ATC)




                                                                                     control center




                                                                                         alert
                                                                                         aob




                          Propagation of representational states:
                          1 ATC gives clearance to pilot to fly to higher altitude (verbal)
                          2 Pilot changes altitude meter (mental and physical)
                          3 Captain observes pilot (visual)
                          4 Captain flies to higher altitude (mental and physical)

                  Figure 4.16 A cognitive system in which information is propagated through different media.




                  they use, and the environment they are working in. An example of a cognitive sys-
                  tem is an airline cockpit, where a top-level goal is to fly the plane. This involves:
                         the pilot, co-pilot and air traffic controller interacting with one another
                         the pilot and co-pilot interacting with the instruments in the cockpit
                         the pilot and co-pilot interacting with the environment in which the plane is
                         flying (e.g., sky, runway).
                       A primary objective of the distributed cognition approach is to describe these
                  interactions in terms of how information is propagated through different media. By
                  this is meant how information is represented and re-represented as it moves across
                  individuals and through the array of artifacts that are used (e.g., maps, instrument
                  readings, scribbles, spoken word) during activities. These transformations of infor-
                  mation are referred to as changes in representational state.
                       This way of describing and analyzing a cognitive activity contrasts with other
                  cognitive approaches (e.g., the information processing model) in that it focuses not
                  on what is happening inside the heads of each individual but on what is happening
                  across individuals and artifacts. For example, in the cognitive system of the cockpit,
                  a number of people and artifacts are involved in the activity of "flying to a higher
                  altitude." The air traffic controller initially tells the co-pilot when it is safe to fly to
                  a higher altitude. The co-pilot then alerts the pilot, who is flying the plane, by mov-
                  ing a knob on the instrument panel in front of them, indicating that it is now safe to
                  fly (see Figure 4.16). Hence, the information concerning this activity is transformed
4.4 Conceptual Frameworks    135

through different media (over the radio, through the co-pilot, and via a change in
the position of an instrument).
    A distributed cognition analysis typically involves examining:
      the distributed problem solving that takes place (including the way people
      work together to solve a problem)
      the role of verbal and non-verbal behavior (including what is said, what is
      implied by glances, winks, etc., and what is not said)
      the various coordinating mechanisms that are used (e.g., rules, procedures)
      the various communicative pathways that take place as a collaborative activ-
      ity progresses
      how knowledge is shared and accessed                                               I
                                                                                         I
     In addition, an important part of a distributed cognition analysis is to identify
the problems, breakdowns, and concomitant problem-solving processes that
emerge to deal with them. The analysis can be used to predict what would happen
to the way information is propagated through a cognitive system, using a different
arrangement of technologies and artifacts and what the consequences of this would
be for the current work setting. This is especially useful when designing and evalu-
ating new collaborative technologies.
136 Chapter 4 Design For collaboration and communication




                    There are several other well known conceptual frameworks that are used to
                analyze how people collaborate and communicate, including activity theory, eth-
                nomethodology, situated action and common ground theory.

Assignment
                The aim of this design activity i for you to analyze the design of a collaborative virtual envi-
                                                s
                ronment (CVE) with respect to how it is designed to support collaboration and communication.
                     Visit an existing CVE (many are freely downloadable) such as V-Chat (vchat.microsoft.
                com), one of the many Worlds Away environments (www.worlds.net), or the Palace
                (www.communities.com). Try to work out how they have been designed to take into account
                the following:
                     (a) General social issues
                         What is the purpose of the CVE?
                         What kinds of conversation mechanisms are supported?
                         What kinds of coordination mechanisms are provided?
                         What kinds of social protocols and conventions are used?
                         What kinds of awareness information is provided?
                         Does the mode of communication and interaction seem natural or awkward?
                    (b) Specific interaction design issues
                         What form of interaction and communication is supported (e.g., textlaudiolvideo)?
                         What other visualizations are included? What information do they convey?
                         How do users switch between different modes of interaction (e.g., exploring and
                         chatting)? Is the switch seamless?
                         Are there any social phenomena that occur specific to the context of the CVE that
                         wouldn't happen in face to face settings (e.g., flaming)?
                    (c) Design issues
                         What other features might you include in the CVE to improve communication
                         and collaboration?
Further reading      137

Summary
                   In this chapter we have looked at some core aspects of sociality, namely communication and
                   collaboration. We examined the main social mechanisms that people use in different settings
                   in order to collaborate. A number of collaborative technologies have been designed to sup-
                   port and extend these mechanisms. We looked at representative examples of these, high-
                   lighting core interaction design concerns. A particular concern is social acceptability that is
                   critical for the success or failure of technologies intended to be used by groups of people
                   working or communicating together. We also discussed how ethnographic studies and theo-
                   retical frameworks can play a valuable role when designing new technologies for work and
                   other settings.

                   Key points
                       Social aspects are the actions and interactions that people engage in at home, work,
                       school, and in public.
                       The three main kinds of social mechanism used to coordinate and facilitate social aspects
                       are conversation, coordination, and awareness.
                       Talk and the way it is managed is integral to coordinating social activities.
                       Many kinds of computer-mediated communication systems have been developed to en-
                       able people to communicate with one another when in physically different locations.
                       External representations, rules, conventions, verbal and non-verbal communication are
                       all used to coordinate activities among people.
                       It is important to take into account the social protocols people use in face to face collabo-
                       ration when designing collaborative technologies.
                       Keeping aware of what others are doing and letting others know what you are doing are
                       important aspects of collaborative working and socializing.
                       Ethnographic studies and conceptual frameworks play an important role in understand-
                       ing the social issues to be taken into account in designing collaborative systems.
                       Getting the right level of control between users and system is critical when designing col-
                       laborative systems.


Further reading
DIX, A., FINLAY, ABOWD, AND BEALE, (1998)
                 J.,         G.,            R.               BAECKER, M., GRUDIN, J., BUXTON, W. A. S., AND
                                                                         R.
Human-Computer Interaction. Upper Saddle River, NJ:          GREENBERG, S. (eds.) (1995) Readings in Human-Computer
Prentice Hall. This textbook provides a comprehensive        Interaction: Toward the Year 2000, (second edition) San
overview of groupware systems and the field of CSCW in       Francisco, Ca.: Morgan Kaufmann, 1995.
Chapters 13 and 14.                                          BAECKER, R. M. (ed.) (1993) Readings in Groupware and
ENGESTROM, Y A N D MIDDLETON, D. (1996) (eds.) Cog-          Computer-Supported Cooperative Work: Assisting Human-
nition and Communication at Work. Cambridge: Cam-            Human Collaboration, San Mateo, Ca.: Morgan Kaufmann.
bridge University Press. A good collection of classic        These two collections of readings include a number of repre-
ethnographic studies that examine the relationship be-       sentative papers from the field of CSCW, ranging from so-
tween different theoretical perspectives and field studies   cial to system architecture issues.
of work practices.                                           MUNRO, A.J.,HOOK, K. AND BENYON, (eds.) (1999) Social
                                                                                                    D.
PREECE, (2000) Online Communities: Designing Usability,
         J.                                                  Navigation of Information Space. New York: Springer Ver-
Supporting Sociability. New York: John Wiley and Sons.       lag. Provides a number of illuminating papers that explore
This book combines usability and sociability issues to do    how people navigate information spaces in real and virtual
with designing online communities.                           worlds and how people interact with one another in them.
138     Chapter 4      Design for collaboration and communication




                                 Abigail Sellen is a senior re-   value of a particular product for a user? Once we
                                 searcher at Hewlett Packard      know this, we can then ask, for a particular situation
                                 Labs in Bristol, UK. Her         or task, what features do we want to deliver and how
                                 work involves carrying out       best should we deliver those features? This includes,
                                 user studies to inform the       for example, what would the interface look like? Fi-
                                 development of future prod-
                                                                  nally, I think user studies are important to understand
                                 ucts, including appliances
                                 and web-based services.
                                                                  how users' lives may change and how they will be af-
                                 She has a background in          fected by introducing a new technology. This has to
                                 coanitive science and            take into account the social, physical, and technologi-
                                    "
                                 human factors engineering,       cal context into which it will be introduced.
                                 having obtained her doctor-
                                 ate at the University of Cali-   YR: So it sounds like you have a set of general
                                 fornia, Son Diego. Prior to
                                                                  questions you have in mind when you do a user
                                 this Abiaail worked at
Xerox Research Labs in Cambridge, UK, and Apple Computer
                                                                  study. Could you now describe how you would do a
Inc. She has also worked as an academic researcher at the         user study and what kinds of things you would be
Computer Systems Research Institute at the University of          looking for?
Toronto, Canada and the Applied Psychology Unit in Cam-           AS: Well, I think there are two different classes of
bridge, UK. She has written widely on the social and cognitive    user studies and both are quite different in the ways
aspects of paper use, video conferencing, input devices,          you go about them. There are evaluation studies,
human memory, and human error, ail with an eye to the de-         where we take a concept, a prototype or even a devel-
sign of new technologies.
                                                                  oped technology and look at how it is used and then
                                                                  try to modify or improve it based on what we find.
YR: Could you tell me what you do at Hewlett                      The second class of user studies is more about discov-
Packard Research Labs?                                            ering what people's unmet needs may be. This means
AS: Sure, I've been at HP Labs for a number of                    trying to develop new concepts and ideas for things
years now as a member of its User Studies and Design              that people may never have thought of before. This is
Group. This is a smallish group consisting of five so-            difficult because you can't necessarily just ask people
cial scientists and three designers. Our work can best            what they would like or what they would use. Instead,
be described as doing three things: we do projeqts that           you have to make inferences from studying people in
are group-led around particular themes, likt for ex-              different situations and try to understand from this
ample, how people use digital music or how people                 what they might need or value.
capture documents using scanning technology. We do
consulting work for development teams at HP, and                  YR: In the book we mention the importance of tak-
thirdly, we do a little bit of our own individual work,           ing into account social aspects, such as awareness of
like writing papers and books, and giving talks.                  others, how people communicate with each other and
                                                                  so on. D o you think these issues are important when
YR: Right. Could you tell me about user studies,                  you are doing these two kinds of user studies?
what they are and why you consider them important?                AS: Well, yes, and in particular I think social aspects
AS: OK. User studies essentially involve looking at               really are playing to that second class of user study I
how people behave either in their natural habitats or             mentioned where you are trying to discover what
in the laboratory, both with old technologies and with            people's unmet needs or requirements may be. Here
new ones. I think there are many different questions              you are trying to get rich descriptions about what
that these kinds of studies can help you answer. Let              people do in the context of their everyday lives-
me name a few. One question is: who is going to be                whether this is in their working lives, their home lives,
the potential user for a particular device or service             or lives on the move. I'd say getting the social aspects
that you are thinking of developing? A second ques-               understood is often very important in trying to under-
tion-which I think is key-is, what is the potential               stand what value new products and services might
Interview   139

bring to people's day-to-day activities, and also how        very different depending on the kind of reading the
they would fit into those existing activities.               users are doing. So, for example, if they're reading by
                                                             themselves, the screen size and viewing angle may not
YR: And what about cognitive aspects, such as how            be as important as if they're reading with others. If
people carry out their tasks, what they remember,            they're skim reading, the ability to quickly flick
what they are bad at remembering? Is that also im-           through pages is important. And if they're reading
portant to look into when you are doing these kinds          and writing, then this points to the need for a pen-
of studies?                                                  based interface. All of these issues become important
                                                             design considerations.
AS: Yes, if you think about evaluation studies, then              This study then led to the development of some
cognitive aspects are extremely important. Looking at        design concepts and ideas for new kinds of reading
cognitive aspects can help you understand the nature         devices. At this stage we involved designers to de-
of the user interaction, in particular what processes        velop different "props" to get feedback and reactions
are going on in their heads. This includes issues like       from potential users. A prop could be anything from
learning how users perceive a device and how they            a quick sketch to an animation to a styrofoam 3D
form a mental model of how something works. Cogni-           mockup. Once you have this initial design work, you
tive issues are especially important to consider when        can then begin to develop working prototypes and
we want to contrast one device with another or think         test them with realistic tasks in both laboratory and
about new and better ways in which we might design           natural settings. Some of this work we have already
an interface.                                                completed, but the project has had an impact on sev-
                                                             eral different research and development efforts.
YR: I wonder if you could describe to me briefly one
of your recent studies where you have looked at cog-         YR: Would you say that user studies are going to be-
nitive and social aspects.                                   come an increasingly important part of the interaction
AS: How about a recent study we did to do with               design process, especially as new technologies like
building devices for reading digital documents? When         ubiquitous computing and handheld devices come
we first set out on this study, before we could begin to     into being-and where no one really knows what ap-
think about how to build such devices, we had to             plications to develop?
begin by asking, "What do we mean by reading?" It            AS: Yes. I think the main contribution of user stud-
turned out there was not a lot written about the dif-        ies, say, 15 years ago was in the area of evaluation and
ferent ways people read in their day-to-day lives. So        usability testing. I think that role is changing now in
the first thing we did was a very broad study looking        that user studies researchers are not only those who
at how people read in work situations. The technique         evaluate devices and interfaces but also those who de-
we used here was a combination of asking people to           velop new concepts. Also, another important devel-
fill out a diary about their reading activities during the   opment is a change in the way the research is carried
course of a day and interviewing them at the end of          out. More and more I am finding that teams are draw-
each day. The interviews were based around what was          ing together people from other disciplines, such as so-
written in the diaries, which turned out to be a good        ciologists, marketing people, designers, and people
way of unpacking more details about what people had          from business and technology development.
been doing.
      That initial study allowed us to categorize all the
different ways people were reading. What we found            YR: So they are essentially working as a multidisci-
out is that actually you can't talk about reading in a       plinary team. Finally, what is it like to work in a
generic sense but that it falls into at least 10 different   large organization like HP, with so many different
categories. For example, sometimes people skim               departments?
read, sometimes they read for the purpose of writing         AS: One thing about working for a large organiza-
something, and sometimes they read very reflectively         tion is that you get a lot of variety in what you can
and deeply, marking up their documents as they go.           do. You can pick and choose to some extent and, de-
What quickly emerged from this first study was that if       pending on the organization, don't have to be tied to
you're designing a device for reading it might look          a particular product. If, on the other hand, you work
140 Chapter 4        Design for collaboration and communication

for a smaller organization such as a start-up com-         teams. They put huge pressures on you because they
pany, inevitably there is lots of pressure to get things   have huge pressures on them. You really have to
out the door quickly. Things are often very focused.       work at effectively incorporating user studies find-
Whether large or small, however, I think one of the        ings into the development process. This can be in-
hardest things I have found in working for corporate       credibly challenging, but it's also satisfying to have
research is learning to work with the development          an impact on real products.
Understanding how interfaces
             affect users
             5.1   Introduction
             5.2   What are affective aspects?
             5.3   Expressive interfaces
             5.4   User frustration
             5.5   A debate: the application of anthropomorphism to interaction design
             5.6   Virtual characters: agents
                   5.6.1 Kinds of agents
                   5.6.2 General design concerns: believability of virtual characters




5.1   Introduction
             An overarching goal of interaction design is to develop interactive systems that
             elicit positive responses from users, such as feeling at ease, being comfortable, and
             enjoying the experience of using them. More recently, designers have become in-
             terested in how to design interactive products that elicit specific kinds of emotional
             responses in users, motivating them to learn, play, be creative, and be social. There
             is also a growing concern with how to design websites that people can trust, that
             make them feel comfortable about divulging personal information or making a
             purchase.
                  We refer to this newly emerging area of interaction design as affective aspects.
             In this chapter we look at how and why the design of computer systems cause cer-
             tain kinds of emotional responses in users. We begin by looking in general at ex-
             pressive interfaces, examining the role of an interface's appearance on users and
             how it affects usability. We then examine how computer systems elicit negative re-
             sponses, e.g., user frustration. Following this, we present a debate on the controver-
             sial topic of anthropomorphism and its implications for designing applications to
             have human-like qualities. Finally, we examine the range of virtual characters de-
             signed to motivate people to learn, buy, listen, etc., and consider how useful and
             appropriate they are.
142   Chapter 5    Understanding how interfaces affect users

                      The main aims of this chapter are to:
                         Explain what expressive interfaces are and the affects they can have on
                         people.
                         Outline the problems of user frustration and how to reduce them.
                         Debate the pros and cons of applying anthropomorphism in interaction
                         design.
                         Assess the believability of different kinds of agents and virtual characters.
                         Enable you to critique the persuasive impact of e-commerce agents on
                         customers.


      What are affective aspects?
                  In general, the term "affective" refers to producing an emotional response. For ex-
                  ample, when people are happy they smile. Affective behavior can also cause an
                  emotional response in others. So, for example, when someone smiles it can cause
                  others to feel good and smile back. Emotional skills, especially the ability to ex-
                  press and recognize emotions, are central to human communication. Most of us are
                  highly skilled at detecting when someone is angry, happy, sad, or bored by recog-
                  nizing their facial expressions, way of speaking, and other body signals. We are also
                  very good at knowing what emotions to express in given situations. For example,
                  when someone has just heard they have failed an exam we know it is not a good
                  time to smile and be happy. Instead we try to empathize.
                      It has been suggested that computers be designed to recognize and express
                  emotions in the same way humans do (Picard, 1998). The term coined for this ap-
                  proach is "affective computing". A long-standing area of research in artificial intel-
                  ligence and artificial life has been to create intelligent robots and other
                  computer-based systems that behave like humans and other creatures. One well-
                  known project is MIT's COG, in which a number of researchers are attempting to
                  build an artificial two-year-old. One of the offsprings of COG is Kismet (Breazeal,
                  1999),which has been designed to engage in meaningful social interactions with hu-
                  mans (see Figure 5.1). Our concern in this chapter takes a different approach: how
                  can interactive systems be designed (both deliberately and inadvertently) to make
                  people respond in certain ways?




                  Figure 5.1 Kismet the robot expressing surprise, anger, and happiness.
5.3 Expressive interfaces   143

5.3 Expressive interfaces
           A well-known approach to designing affective interfaces is to use expressive icons
           and other graphical elements to convey emotional states. These are typically used
           to indicate the current state of a computer. For example, a hallmark of the Apple
           computer is the icon of a smiling Mac that appears on the screen when the machine
           is first started (see Figure 5.2(a)). The smiling icon conveys a sense of friendliness,
           inviting the user to feel at ease and even smile back. The appearance of the icon on
           the screen can also be very reassuring to users, indicating that their computer is
           working fine. This is especially useful when they have just rebooted the computer
           after it has crashed and where previous attempts to reboot have failed (usually in-
           dicated by a sad icon face-see Figure 5.2(b)). Other ways of conveying the status
           of a system are through the use of:
                  dynamic icons, e.g., a recycle bin expanding when a file is placed into it
                  animations, e.g., a bee flying across the screen indicating that the computer is
                  doing something, like checking files
                  spoken messages, using various kinds of voices, telling the user what needs
                  to be done
                  various sounds indicating actions and events (e.g. window closing, files being
                  dragged, new email arriving)
           One of the benefits of these kinds of expressive embellishments is that they provide
           reassuring feedback to the user that can be both informative and fun.
                The style of an interface, in terms of the shapes, fonts, colors, and graphical el-
           ements that are used and the way they are combined, influences how pleasurable it
           is to interact with. The more effective the use of imagery at the interface, the more
           engaging and enjoyable it can be (Mullet and Sano, 1995). Conversely, if little
           thought is given to the appearance of an interface, it can turn out looking like a
           dog's dinner. Until recently, HCI has focused primarily on getting the usability
           right, with little attention being paid to how to design aesthetically pleasing inter-
           faces. Interestingly, recent research suggests that the aesthetics of an interface can




           Figure 5.2 (a) Smiling and (b) sad Apple Macs.
144   Chapter 5     Understanding how interfaces affect users

                  have a positive effect on people's perception of the system's usability (Tractin-
                  sky, 1997). Moreover, when the "look and feel" of an interface is pleasing (e.g.,
                  beautiful graphics, nice feel to the way the elements have been put together, well-
                  designed fonts, elegant use of images and color) users are likely to be more tolerant
                  of its usability (e.g., they may be prepared to wait a few more seconds for a website
                  to download). As we have argued before, interaction design should not just be
                  about usability per se, but should also include aesthetic design, such as how pleasur-
                  able an interface is to look at (or listen to). The key is to get the right balance be-
                  tween usability and other design concerns, like aesthetics (See Figure 5.3 on Color
                  Plate 6).


                  A question of style or stereotype? Figure 5.4 shows two differently designed dialog boxes.
                  Describe how they differ in terms of style. Of the two, which one do you prefer? Why?
                  Which one do you think (i) Europeans would like the most and (ii) Americans would like
                  the most?

Comment           Aaron Marcus, a graphic designer, created the two designs in an attempt to provide appealing
                  interfaces. Dialog box A was designed for white American females while dialog box B was
                  designed for European adult male intellectuals. The rationale behind Marcus's ideas was that
                  European adult male intellectuals like "suave prose, a restrained treatment of information
                  density, and a classical approach to font selection (e.g., the use of serif type in axial symmetric
                  layouts similar to those found in elegant bronze European building identification signs)." In
                  contrast, white American females "prefer a more detailed presentation, curvilinear shapes
                  and the absence of some of the more-brutal terms . . . favored by male software engineers."
                     When the different interfaces were empirically tested by Teasley et al. (1994), their re-
                  sults did not concur with Marcus's assumptions. In particular, they found that the European
                  dialog box was liked the best by all people and was considered most appropriate for all
                  users. Moreover, the round dialog box designed for women was strongly disliked by every-
                  one. The assumption that women like curvilinear features clearly was not true in this con-
                  text. At the very least, displaying the font labels in a circular plane makes them more
                  difficult to read than when presented in the conventionally accepted horizontal plane.


                      Another popular kind of expressive interface is the friendly interface agent. A
                  general assumption is that novices will feel more at ease with this kind of "compan-
                  ion" and will be encouraged to try things out, after listening, watching, following,
                  and interacting with them. For example, Microsoft pioneered a new class of agent-
                  based software, called Bob, aimed at new computer users (many of whom were
                  seen as computer-phobic). The agents were presented as friendly characters, in-
                  cluding a friendly dog and a cute bunny. An underlying assumption was that having
                  these kinds of agents on the screen would make the users feel more comfortable
                  and at ease with using the software. An interface metaphor of a warm, cozy living
                  room, replete with fire, furnishings, and furniture was provided (see Figure 5.5)-
                  again intended to convey a comfortable feeling.
                      Since the creation of Bob, Microsoft has developed other kinds of agents, in-
                  cluding the infamous "Clippy" (a paper clip that has human-like qualities), as part
2                                                      lt
                                                                            P L E A S E      S P E C I F Y           T Y P E

                                                                                                 Family
                                                                                        [V
                                                                                                      Linespace
                                                                                          1-
                                                                                                 Width
                                                                                        pzEqq
                                                                                    Weight                   Slant
                                                                                                    m ,
                                                                                                     l ,
                                                                                                     ,
                                                                                              Alignment




                                                                                                 Efects
                                                                                       Reverse            Outline
                                                                                       Shadow     a
                                                                                                 1 Underline


                                                                               Helvetica 12114pt Condensed Bold Roman



                                                                       >                                                       f
Figure 5.4 Square and round dialog boxes designed by Aaron Marcus (1993): (a) dialog box designed for white American women,
and (b) dialog box designed for European adult male intellectuals.
146   Chapter 5     Understanding how interfaces affect users




                  Figure 5.5 "At home with Bob" software.


                  of their Windows '98 operating environment.' The agents typically appear at the
                  bottom of the screen whenever the system "thinks" the user needs help carrying
                  out a particular task. They, too, are depicted as cartoon characters, with friendly
                  warm personalities. As mentioned in Chapter 2, one of the problems of using
                  agents in this more general context is that some users do not like them. More expe-
                  rienced users who have developed a reasonably good mental model of the system
                  often find such agent helpers very trying and quickly find them annoying intrusions,
                  especially when they distract them from their work. (We return to anthropomor-
                  phism and the design of interface agents later in Section 5.5).
                       Users themselves have also been inventive in expressing their emotions at the
                  computer interface. One well-known method is the use of emoticons. These are
                  keyboard symbols that are combined in various ways to convey feelings and emo-
                  tions by siqulating facial expressions like smiling, winking, and frowning on the
                  screen. The meaning of an emoticon depends on the content of the message and
                  where it is placed in the message. For example, a smiley face placed at the end of a
                  message can mean that the sender is happy about a piece of news she has just writ-
                  ten about. Alternatively, if it is placed at the end of a comment in the body of the
                  message, it usually indicates that this comment is not intended to be taken seri-
                  ously. Most emoticons are designed to be interpreted with the viewer's head tilted
                  over to the left (a result of the way the symbols are represented on the screen).
                  Some of the best known ones are presented in Table 5.1. A recently created short-
                  hand language, used primarily by teenagers when online chatting or texting is the
                  use of abbreviated words. These are formed by keying in various numbers and let-

                  ' o n the Mac version of Microsoft's Office 2001, Clippy was replaced by an anthropomorphized Mac
                  computer with big feet and a hand that conveys various gestures and moods.
5.4 User frustration   147

             Table 5.1    Some commonly used emoticons.

             Emotion           Expression           Emoticon      Possible meanings
             Happy             Smile               :) or :D       (i) Happiness, or (ii) previous
                                                                  comment not to be taken seriously
                                                                                                             I
             Sad               Mouth down           :( or : -     Disappointed,unhappy
                                                                                                             II
             Cheeky            Wink                 ) or )        Previous comment meant as tongue-
                                                                  in-cheek                                   1
             Mad               Brows raised         >:            Mad about something                        ,
             Very angry        Angry face           >:-(          Very angry, cross
             Embarrassed       Mouth open           :O            Embarrassed,shocked
             Sick              Looking sick         :x            Feeling ill
             Nai've            Schoolboyish look    <:-)          Smiley wearing a dunce's cap to
                                                                  convey that the sender is about to ask
                                                                  a stupid question.



                                                              7
             ters in place of words, e.g., "I 1 2 CU 2nite '. As well as being creative, the short-
             hand can convey emotional connotations.
                  Expressive forms like emoticons, sounds, icons, and interface agents have been
             primarily used to (i) convey emotional states andlor (ii) elicit certain kinds of emo-
             tional responses in users, such as feeling at ease, comfort, and happiness. However, in
             many situations computer interfaces inadvertently elicit negative emotional responses.
             By far the most common is user frustration, to which we now turn our attention.

5.4   User frustration
             Everyone at some time or other gets frustrated when using a computer. The effect
             ranges from feeling mildly amused to extremely angry. There are myriads of rea-
             sons why such emotional responses occur:
                      when an application doesn't work properly or crashes
                      when a system doesn't do what the user wants it to do
                      when a user's expectations are not met
                      when a system does not provide sufficient information to let the user know
                      what to do
                      when error messages pop up that are vague, obtuse, or condemning
                      when the appearance of an interface is too noisy, garish, gimmicky, or
                      patronizing
                      when a system requires users to carry out many steps to perform a task, only
                      to discover a mistake was made somewhere along the line and they need to
                      start all over again
148   Chapter 5    Understanding how interfaces affect users


                  Provide specific examples for each of the above categories from your own experience, when
                  you have become frustrated with an interactive device (e.g., telephone, VCR, vending ma-
                  chine, PDA, computer). In doing this, write down any further types of frustration that come
                  to mind. Then prioritize them in terms of how annoying they are. What are the worst types?

Comment           In the text below we provide examples of common frustrations experienced when using
                  computer systems. The worst include unhelpful error messages and excessive housekeeping
                  tasks. You no doubt came up with many more.


                       Often user frustration is caused by bad design, no design, inadvertent design, or
                  ill-thought-out design. It is rarely caused deliberately. However, its impact on users
                  can be quite drastic and make them abandon the application or tool. Here, we pre-
                  sent some examples of classic user-frustration provokers that could be avoided or
                  reduced by putting more thought into the design of the conceptual model.

                  1. Gimmicks
                  Cause: When a users' expectations are not met and they are instead presented with
                  a gimmicky display.
                  Level of frustration: Mild
                  This can happen when clicking on a link to a website only to discover that it is still
                  "under construction." It can be still more annoying when the website displays a
                  road-sign icon of "men at work" (see Figure 5.6). Although the website owner may
                  think such signs amusing, it serves to underscore the viewer's frustration at having
                  made the effort to go to the website only to be told that it is incomplete (or not
                  even started in some cases). Clicking on links that don't work is also frustrating.
                  How to avoid or help reduce the frustration:
                  By far the best strategy is to avoid using gimmicks to cover up the real crime. In
                  this example it is much better to put material live on the web only when it is com-
                  plete and working properly. People very rarely return to sites when they see icons
                  like the one in Figure 5.6.

                  2. Error Messages
                  Cause: When a system or application crashes and provides an "unexpected" error
                  message.
                  Level of frustration: High
                  Error messages have a long history in computer interface design, and are notorious
                  for their incomprehensibility. For example, Nielsen (1993) describes an early system
                  that was developed that allowed only for one line of error messages. Whenever the


                              Figure 5.6 Men at work icon sign indicating "website under construction." Ac-
                              cording to AltaVista, there were over 12 million websites containing the phrase
                              "under construction" in January 2001.
5.4 User frustration   149

error message was too long, the system truncated it to fit on the line, which the users
would spend ages trying to decipher. The full message was available only by pressing
the PF1 (help key) function key. While this may have seemed like a natural design
solution to the developers, it was not at all obvious to the users. A much better design
solution would have been to use the one line of the screen to indicate how to find
more information about the current error ("press the PF1 key for explanation").
     The use of cryptic language and developer's jargon in error messages is a major
contributing factor in user frustration. It is one thing to have to cope when some-
thing goes wrong but it is another to have to try to understand an obscure message
that pops up by way of explanation. One of my favorites, which sometimes appears
on the screen when I'm trying to do something perfectly reasonable like paste some         I
text into a document, using a word processor, is: "The application Word Wonder
has unexpectedly quit due to a Type 2 error."
     It is very clear from what the system has just done (closed the application very
rapidly) that it has just crashed, so such feedback is not very helpful. Letting the
user know that the error is of a Type 2 kind is also not very useful. How is the aver-
age user meant to understand this? Is there a list of error types ready at hand to tell
the user how to solve the problem for each error? Moreover, such a reference in-
vites the user to worry about how many more error types there might be. The tone
of the message is also annoying. The adjective "unexpectedly" seems condescend-
ing, implying almost that it is the fault of the user rather than the computer. Why
include such a word at all? After all, how else could the application have quit? One
could never imagine the opposite situation: an error message pops up saying, "The
application has expectedly quit, due to poor coding in the operating system."
How to avoid or help reduce the frustration:
     Ideally, error messages should be treated as how-to-fix-it messages. Instead of
explicating what has happened, they should state the cause of the problem and
what the user needs to do to fix it. Shneiderman (1998) has developed a detailed set
of guidelines on how to develop helpful messages that are easy to read and under-
stand. Box 5.1 summarizes the main recommendations.
150   Chapter 5    Understanding how interfaces affect users


                  Below are some common error messages expressed in harsh computer jargon that can be
                  quite threatening and offensive.Rewrite them in more usable, useful, and friendly language
                  that would help users to understand the cause of the problem and how to f x it. For each
                                                                                              i
                  message, imagine a specific context where such a problem might occur.
                     SYNTAX ERROR
                     INVALID FILENAME
                     INVALID DATA
                     APPLICATION ZETA HAS UNEXPECTEDLY QUIT DUE TO A TYPE 4 ERROR
                     DRIVE ERROR: ABORT, RETRY OR FAIL?                                                            1

Comment           How specific the given advice can be will depend on the kind of system it is. Here are sugges-   I

                  tions for hypotheticalsystems.
                     SYNTAX ERROR-There is a problem with the way you have typed the command.
                       Check for typos.
                     INVALID FILENAME-Choose another file name that uses only 20 characters or less
                       and is lower case without any spaces.
                     INVALID DATA-There is a problem with the data you have entered. Try again,
                       checking that no decimal points are used.
                     APPLICATION ZETA HAS UNEXPECTEDLY QUIT DUE TO A TYPE 4
                       ERROR-The application you were working on crashed because of an internal mem-
                       ory problem. Try rebooting and increasing the amount of allocated memory to the
                       application.
                     DRIVE ERROR: ABORT, RETRY OR FAIL?-There is a problem with reading your
                       disk. Try inserting it again.


                  3. Overburdening the user
                  Cause: Upgrading software so that users are required to carry out excessive house-
                  keeping tasks
                  Level of frustration: Medium to high
                  Another pervasive frustrating user experience is upgrading a piece of software. It is
                  now common for users to'have to go through this housekeeping task on a regular
                  basis, especially if they run a number of applications. More often than not it tends
                  to be a real chore, being very time-consuming and requiring the user to do a whole
                  range of things, like resetting preferences, sorting out extensions, checking other
                  configurations, and learning new ways of doing things. Often, problems can de-
                  velop that are not detected till some time later, when a user tries an operation that
                  worked fine before but mysteriously now fails. A common problem is that settings
                  get lost or do not copy over properly during the upgrade. As the number of options
                  for customizing an application or operating system increases for each new upgrade,
                  so, too, does the headache of having to reset all the relevant preferences. Wading
                  through myriads of dialog boxes and menus and figuring out which checkbox to
5.4 User frustration   151

  "You do not have the plug-in needed to view the audiolx-pn-real-audio plug-
  in-type information on this page. To get plug-in now, view plug-in directory"

Figure 5.7a Typical message in dialog box that appears when trying t o run an applet on a
website that needs a plug-in the user does not have.


click on, can be a very arduous task. To add to the frustration, users may also dis-
cover that several of their well-learned procedures for carrying out tasks have been
substantially changed in the upgrade.
     A pet frustration of mine over the years has been trying to run various websites
that require me to install a new plug-in. Achieving this is never straightforward. I
have spent huge amounts of time trying to install what I assume to be the correct
plug-in-only to discover that it is not yet available or incompatible with the oper-
ating system or machine I am using.
    What typically happens is I'll visit a tempting new website, only to discover
that my browser is not suitably equipped to view it. When my browser fails to run
the applet, a helpful dialog box will pop up saying that a plug-in of X type is re-
quired. It also usually directs me to another website from where the plug-in can be
downloaded (see Figure 5.7a). Websites that offer such plug-ins, however, are not
organized around my specific needs but are designed more like hardware stores
(a bad conceptual model), offering hundreds (maybe even thousands) of plug-ins
covering all manner of applications and systems. Getting the right kind of plug-in
from the vast array available requires knowing a number of things about your ma-
chine and the kind of network you are using. In going through the various options


 WEB PLUG-IN DIRECTORY
 Here is where you find the links to all of the plug-ins available on the net. Simply
 find a plug-in you're interested in, view what platforms it currently (or will 'soon')
 support and click on its link. If you know of a plug-in not listed on this page
 please take a moment and tell us about it with our all new reporting system!

 Plug-ins by Category
 The Full List This is the whole list, but I gotta warn ya its getting big
 MultiMedia Multi-Media Plug-Ins, AVI, QuickTime, ShockWave...
 Graphics      Graphic Plug-Ins, PNG, CMX, DWG...
 Sound         Sound & MIDI Plug-Ins, MIDI, ReadAudio, Truespeech...
 Document Document Viewer Plug-Ins, Acrobat, Envoy, MS Word...
 Productivity Productivity Plug-Ins, Map Viewers, Spell Checkers...
 VRMU3-D VRML & QD3D Plug-Ins

 Plug-ins by platform

 Macintosh     Macintosh Plug-Ins
                                                                                          I
 032           IBM 0512 Plug-Ins
 Unix          Unix Plug-Ins
 Windows       Windows Plug-Ins

Figure   5.7b Directory of plug-ins available on a plug-in site directed to from Netscape.
152   Chapter 5    Understanding how interfaces affect users

                  to narrow down which plug-in is required, it is easy to overlook something and end
                  up with an inappropriate plug-in. Even when the right plug-in has been down-
                  loaded and placed in the appropriate system folder, it may not work. A number of
                  other things usually need to be done, like specifying mime-type and suffix. The
                  whole process can end up taking huge amounts of time, rather than the couple of
                  minutes most users would assume.
                  How to avoid or help reduce the frustration:
                      Users should not have to spend large amounts of time on housekeeping tasks.
                  Upgrading should be an effortless and largely automatic process. Designers need to
                  think carefully about the trade-offs incurred when introducing upgrades, especially
                  the amount of relearning required. Plug-ins that users have to search for, down-
                  load, and set up themselves should be phased out and replaced with more powerful
                  browsers that automatically download the right plug-ins and place them in the ap-
                  propriate desktop folder reliably, or, better still, interpret the different file types
                  themselves.

                  4. Appearance
                  Cause: When the appearance of an interface is unpleasant
                  Level of frustration:Medium
                  As mentioned earlier, the appearance of an interface can affect its usability. Users
                  get annoyed by:
                        websites that are overloaded with text and graphics, making it difficult to
                        find the information desired and slow to access
                      * flashing animations, especially banner ads, which are very distracting
                        the copious use of sound effects and Muzak, especially when selecting op-
                        tions, carrying out actions, starting up CD-ROMs, running tutorials, or
                        watching website demos
                        featuritis-an excessive number of operations, represented at the interface
                        as banks of icons or cascading menus
                        childish designs that keep popping up on the screen, such as certain kinds of
                        helper agents
                        poorly laid out keyboards, pads, control panels, and other input devices that
                        cause the user to press the wrong keys or buttons when trying to do some-
                        thing else
                  How to avoid or help reduce the frustration:
                      Interfaces should be designed to be simple, perceptually salient, and elegant
                  and to adhere to usability design principles, well-thought-out graphic design princi-
                  ples, and ergonomic guidelines (e.g. Mullet and Sano, 1996).

5.3.1 Dealing with user frustration
                  One way of coping with computer-induced frustration is to vent and take it out on
                  the computer or other users. As mentioned in Chapter 3, a typical response to see-
                  ing the cursor freeze on the screen is repeatedly to bash every key on the keyboard.
5.5 A debate: the application of anthropomorphism to interaction design   153
            Another way of venting anger is through flaming. When upset or annoyed by a
            piece of news or something in an email message, people may overreact and re-
            spond by writing things in email that they wouldn't dream of saying face to face.
            They often use keyboard symbols to emphasize their anger or frustration, e.g., ex-
            clamation marks (!!!!), capital letters (WHY DID YOU DO THAT?) and re-
            peated question marks (??????) that can be quite offensive to those on the
            receiving end. While such venting behavior can make the user feel temporarily less
            frustrated, it can be very unproductive and can annoy the recipients. Anyone who
            has received a flame knows just how unpleasant it is.
                 In the previous section, we provided some suggestions on how systems could
            be improved to help reduce commonly caused frustrations. Many of the ideas dis-
            cussed throughout the book are also concerned with designing technologies and in-
            terfaces that are usable, useful, and enjoyable. There will always be situations,
            however, in which systems do not function in the way users expect them to, or in
            which the user misunderstands something and makes a mistake. In these circum-
            stances, error messages (phrased as "how-to-fix-it"advice) should be provided that
            explain what the user needs to do.
                 Another way of providing information is through online help, such as tips,
            handy hints, and contextualized advice. Like error messages, these need to be de-
            signed to guide users on what to do next when they get stuck and it is not obvious
            from the interface what to do. The signaling used at the interface to indicate that
            such online help is available needs careful consideration. A cartoon-based agent
            with a catchy tune may seem friendly and helpful the first time round but can
            quickly become annoying. A help icon or command that is activated by the users
            themselves when they want help is often preferable.




5.5   A debate: the application of anthropomorphism
      to interaction design
            In this section we present a debate. Read through the arguments for and against
            the motion and then the evidence provided. Afterwards decide for yourself
            whether you support the motion.
154   Chapter 5    Understanding how interfaces affect users


I                     The motion
                      The use of anthropomorphism in interaction design is an effective technique and
                      should be exploited further.

                      Background
                      A controversial debate in interaction design is whether to exploit the phenomenon
                      of anthropomorphism (the propensity people have to attribute human qualities to
                      objects). It is something that people do naturally in their everyday lives and is com-
                      monly exploited in the design of technologies (e.g., the creation of humanlike ani-
                      mals and plants in cartoon films, the design of toys that have human qualities). The
                      approach is also becoming more widespread in interaction design, through the in-
                      troduction of agents in a range of domains.
                           What is anthropomorphism? It is well known that people readily attribute
                      human qualities to their pets and their cars, and, conversely, are willing to accept
                      human attributes that have been assigned by others to cartoon characters, robots,
                      toys, and other inanimate objects. Advertisers are well aware of this phenomenon
                      and often create humanlike characters out of inanimate objects to promote their
                      products. For example, breakfast cereals, butter, and fruit drinks have all been
                      transmogrified into characters with human qualities (they move, talk, have person-
                      alities, and show emotions), enticing the viewer to buy them. Children are espe-
                      cially susceptible to this kind of "magic," as witnessed in their love of cartoons,
                      where all manner of inanimate objects are brought to life with humanlike qualities.

                      Examples of its application to system design
                      The finding that people, especially children, have a propensity to accepting and en-
                      joying objects that have been given humanlike qualities has led many designers
                      into capitalizing on it, most prevalently in the design of human-computer dialogs
                      modeled on how humans talk to each other. A range of animated screen charac-
                      ters, such as agents, friends, advisors and virtual pets, have also been developed.
                           Anthropomorphism has also been used in the development of cuddly toys that
                      are embedded with computer systems. Commercial products like ~ c t i ~ a t e s ~ ~
                      have been designed to try to encourage children to learn through playing with the
                      cuddly toys. For example, Barney attempts to motivate play in children by using
                      human-based speech and movement (Strommen, 1998). The toys are programmed
                      to react to the child and make comments while watching TV together or working
                      together on a computer-based task (see Figure 1.2 in Color Plate 1). In particular,
                      Barney is programmed to congratulate the child whenever he or she gets a right an-
                      swer and also to react to the content on screen with appropriate emotions (e.g.,
                      cheering at good news and expressing concern at bad news).

                      Arguments for exploiting this behavior
                      An underlying argument in favor of the anthropomorphic approach is that furnish-
                      ing interactive systems with personalities and other humanlike attributes makes
                      them more enjoyable and fun to interact with. It is also assumed that they can moti-
5.5 A debate: the application of anthropomorphism to interaction design   155

vate people to carry out the tasks suggested (e.g., learning material, purchasing
goods) more strongly than if they are presented in cold, abstract computer lan-
guage. Being addressed in first person (e.g., "Hello Chris! Nice to see you again.
Welcome back. Now what were we doing last time? Oh yes, exercise 5. Let's start
again.") is much more endearing than being addressed in the impersonal third per-
son ("User 24, commence exercise 5'7, especially for children. It can make them
feel more at ease and reduce their anxiety. Similarly, interacting with screen char-
acters like tutors and wizards can be much pleasanter than interacting with a cold
dialog box or blinking cursor on a blank screen. Typing a question in plain English,
using a search engine like Ask Jeeves (which impersonates the well-known ficti-
tious butler), is more natural and personable than thinking up a set of keywords, as
required by other search engines. At the very least, anthropomorphic interfaces are
a harmless bit of fun.

Arguments against exploiting this behavior
There have been many criticisms of the anthropomorphic approach. Shneiderman
(1998), one of the best known critics, has written at length about the problems of
attributing human qualities to computer systems. His central argument is that an-
thropomorphic interfaces, especially those that use first-person dialog and screen
characters, are downright deceptive. An unpleasant side effect is that they can
make people feel anxious, resulting in them feeling inferior or stupid. A screen
tutor that wags its finger at the user and says, "Now, Chris, that's not right! Try
again. You can do better." is likely to feel more humiliating than a system dialog
box saying, "Incorrect. Try again."
     Anthropomorphism can also lead people into a false sense of belief, enticing
them to confide in agents called "software bots" that reside in chatrooms and other
electronic spaces, pretending to be conversant human beings. By far the most com-
mon complaint against computers pretending to have human qualities, however, is
that people find them very annoying and frustrating. Once users discover that the
system cannot really converse like a human or does not possess real human quali-
ties (like having a personality or being sincere), they become quickly disillusioned
and subsequently distrust it. E-commerce sites that pretend to be caring by present-
ing an assortment of virtual assistants, receptionists, and other such helpers are
seen for what they really are-artificial and flaky. Children and adults alike also are
quickly bored and annoyed with applications that are fronted by artificial screen
characters (e.g., tutor wizards) and simply ignore whatever they might suggest.

Evidence for the motion
A number of studies have investigated people's reactions and responses to comput-
ers that have been designed to be more humanlike. A body of work reported by
Reeves and Nass (1996) has identified several benefits of the anthropomorphic ap-
proach. They found that computers that were designed to flatter and praise users
when they did something right had a positive impact on how they felt about them-
selves. For example, an educational program was designed to say, "Your question
makes an interesting and useful distinction. Great job!" after a user had contributed
156   Chapter 5    Understanding how interfaces affect users

                  a new question to it. Students enjoyed the experience and were more willing to con-
                  tinue working with the computer than were other students who were not praised by
                  the computer for doing the same things. In another study, Walker et al. (1994) com-
                  pared people's responses to a talking-face display and an equivalent text-only one
                  and found that people spent more time with the talking-face display than the text-
                  only one. When given a questionnaire to fill in, the face-display group made fewer
                  mistakes and wrote down more comments. In a follow-up study, Sproull et al.
                  (1996) again found that users reacted quite differently to the two interfaces, with
                  users presenting themselves in a more positive light to the talking-face display and
                  generally interacting with it more.

                  Evidence against the motion
                  Sproull et al.'s studies also revealed, however, that the talking-face display made
                  some users feel somewhat disconcerted and displeased. The choice of a stern talk-
                  ing face may have been a large contributing factor. Perhaps a different kind of re-
                  sponse would have been elicited if a friendlier smiling face had been used.
                  Nevertheless, a number of other studies have shown that increasing the "human-
                  ness" of an interface is counterproductive. People can be misled into believing that
                  a computer is like a human, with human levels of intelligence. For example, one
                  study investigating user's responses to interacting with agents at the interface rep-
                  resented as human guides found that the users expected the agents to be more hu-
                  manlike than they actually were. In particular, they expected the agents to have
                  personality, emotion, and motivation-even though the guides were portrayed on
                  the screen as simple black and white static icons (see Figure 5.8). Furthermore, the
                  users became disappointed when they discovered the agents did not have any of
                  these characteristics (Oren et al., 1990). In another study comparing an anthropo-
                  morphic interface that spoke in the first person and was highly personable (HI
                  THERE, JOHN! IT'S NICE TO MEET YOU, I SEE YOU ARE READY NOW)
                  with a mechanistic one that spoke in third person (PRESS THE ENTER KEY TO




                                                                            Figure 5.8 Guides of histori-
                                                                            cal characters.
5.6 Virtual characters: agents

              BEGIN SESSION), the former was rated by college students as less honest and it
                                                                                                157
                                                                                                      I
              made them feel less responsible for their actions (Quintanar et al., 1982).

              Casting your vote: On the basis of this debate and any other articles on the topic
              (see Section 5.6 and the recommended readings at the end of this chapter) together
              with your experiences with anthropomorphic interfaces, make up your mind
              whether you are for or against the motion.

5.6   Virtual characters: agents
             As mentioned in the debate above, a whole new genre of cartoon and life-like char-
                                                                                                      ~
             acters has begun appearing on our computer screens-as agents to help us search           I

             the web, as e-commerce assistants that give us information about products, as char-
             acters in video games, as learning companions or instructors in educational pro-
             grams, and many more. The best known are videogame stars like Lara Croft and
             Super Mario. Other kinds include virtual pop stars (See Figure 5.9 on Color Plate
             6), virtual talk-show hosts, virtual bartenders, virtual shop assistants, and virtual
             newscasters. Interactive pets (e.g., Aibo) and other artificial anthropomorphized
             characters (e.g., Pokemon, Creatures) that are intended to be cared for and played
             with by their owners have also proved highly popular.

5.6.1 Kinds of agents
             Below we categorize the different kinds of agents in terms of the degree to which
             they anthropomorphize and the kind of human or animal qualities they emulate.
             These are (1) synthetic characters, (2) animated agents, (3) emotional agents, and
             (4) embodied conversational interface agents.

             1. Synthetic characters
             These are commonly designed as 3D characters in video games or other forms of
             entertainment, and can appear as a first-person avatar or a third-person agent.
             Much effort goes into designing them to be lifelike, exhibiting realistic human
             movements, like walking and running, and having distinct personalities and traits.
             The design of the characters' appearance, their facial expressions, and how their
             lips move when talking are also considered important interface design concerns.
                  Bruce Blumberg and his group at MIT are developing autonomous animated
             creatures that live in virtual 3D environments. The creatures are autonomous in
             that they decide what to do, based on what they can sense of the 3D world, and
             how they feel, based on their internal states. One of the earliest creatures to be de-
             veloped was Silas T. Dog (Blumberg, 1996). The 3D dog looks like a cartoon crea-
             ture (colored bright yellow) but is designed to behave like a real dog (see Figure
             5.10). For example, he can walk, run, sit, wag his tail, bark, cock his leg, chase
             sticks, and rub his head on people when he is happy. He navigates through his
             world by using his "nose" and synthetic vision. He also has been programmed with
             various internal goals and needs that he tries to satisfy, including wanting to play
158   Chapter 5    Understanding how interfaces affect users




                  Figure 5.1 0   User interacting with Silas the dog in (a) physical world (b) virtual world, and   1
                  (c) close-up of Silas.

                  and have company. He responds to events in the environment; for example, he be-
                  comes aggressive if a hamster enters his patch.
                       A person can interact with Silas by making various gestures that are detected by a
                  computer-vision system. For example, the person can pretend to throw a stick, which
                  is recognized as an action that Silas responds to. An image of the person is also pro-
                  jected onto a large screen so that he can be seen in relation to Silas (see Figure 5.10).
                  Depending on his mood, Silas will run after the stick and return it (e.g., when he is
                  happy and playful) or cower and refuse to fetch it (e.g., when he is hungry or sad).

                  2. Animated agents
                  These are similar to synthetic characters except they tend to be designed to play a
                  collaborating role at the interface. Typically, they appear at the side of the screen
                  as tutors, wizards and helpers intended to help users perform a task. This might be
                  designing a presentation, writing an essay or learning about a topic. Most of the
                  characters are designed to be cartoon-like rather than resemble human beings.
                       An example of an animated agent is Herman the Bug, who was developed by In-
                  tellimedia at North Carolina State University to teach children from kindergarten to
                  high school about biology (Lester et al., 1997). Herman is a talkative, quirky insect
                  that flies around the screen and dives into plant structures as it provides problem-
                  solving advice to students (See Figure 5.11 on Color Plate 7). When providing its ex-
                  planations it performs a range of activities including walking, flying, shrinking,
                  expanding, swimming, bungee jumping, acrobatics, and teleporting. Its behavior in-
                  cludes 30 animated segments,160 canned audio clips, and a number of songs. Herman
                  offers advice on how to perform tasks and also tries to motivate students to do them.

                  3. Emotional agents
                  These are designed with a predefined personality and set of emotions that are ma-
                  nipulated by users. The aim is to allow people to change the moods or emotions of
                  agents and see what effect it has on their behavior. Various mood changers are pro-
5.6 Virtual characters: agents   159

vided at the interface in the form of sliders and icons. The effect of requesting an
animated agent to become very happy, sad, or grumpy is seen through changes to
their behavior, For example, if a user moves a slider to a "scared" position on an
emotional scale, the agent starts behaving scared, hiding behind objects and mak-
ing frightened facial expressions.
    The Woggles are one of the earliest forms of emotional agents (Bates, 1994). A
group of agents was designed to appear on the screen that played games with one
another, such as hide and seek. They were designed as different colored bouncy
balls with cute facial expressions. Users could change their moods (e.g., from happy
to sad) by moving various sliders, which in turn changed their movement (e.g., they
bounced less), facial expression (e.g., they no longer smiled), and how willing they
were to play with the other Woggles (See Figure 5.12 on Color Plate 7).


4. Embodied conversational interface agents
Much of the research on embodied conversational interface agents has been con-
cerned with how to emulate human conversation. This has included modeling vari-
ous conversational mechanisms such as:
      recognizing and responding to verbal and non-verbal input
      generating verbal and non-verbal output
      coping with breakdowns, turn-taking and other conversational mechanisms
      giving signals that indicate the state of the conversation as well as contribut-
      ing new suggestions for the dialog (Cassell, 2000, p.72)
In many ways, this approach is the most anthropomorphic in its aims of all the
agent research and development.
    Rea is an embodied real-estate agent with a humanlike body that she uses in
humanlike ways during a conversation (Cassell, 2000). In particular, she uses eye
gaze, body posture, hand gestures, and facial expressions while talking (See Figure
5.13 on Color Plate 8). Although the dialog appears relatively simple, it involves a
sophisticated underlying set of conversational mechanisms and gesture-recognition
techniques. An example of an actual interaction with Rea is:
    Mike approaches the screen and Rea turns to face him and says:
    "Hello. How can I help you?"
    Mike: "I'm looking to buy a place near MIT."
    Rea nods, indicating she is following.
    Rea: "I have a house to show you" (picture of a house appears on the screen).
    "It is in Somerville."
    Mike: "Tell me about it."
    Rea looks up and away while she plans what to say.
    Rea: "It's big."
    Rea makes an expansive gesture with her hands.
160   Chapter 5    Understanding how interfaces affect users

                      Mike brings his hands up as if to speak, so Rea does not continue, waiting for
                      him to speak.
                      Mike: "Tell me more about it."
                      Rea: "Sure thing. It has a nice garden . . ."


                  Which of the various kinds of agents described above do you think are the most convincing?
                  Is it those that try to be as humanlike as possible or those that are designed to be simple, car-
                  toon-based animated characters?

Comment           We argue that the agents that are the most successful are ironically those that are least           1
                  like humans. The reasons for this include that they appear less phony and are not trying
                  to pretend they are more intelligent or human than they really are. However, others                 1
                  would argue that the more humanlike they are, the more believable they are and hence
                  the more convincing.                                                                                I




5.6.2 General design concerns
                  Believability of virtual characters
                  One of the major concerns when designing agents and virtual characters is how to
                  make them believable. By believability is meant "the extent to which users inter-
                  acting with an agent come to believe that it has its own beliefs, desires and person-
                  ality" (Lester and Stone, 1997, p 17). In other words, a virtual character that a
                  person can believe in is taken as one that allows users to suspend their disbelief. A
                  key aspect is to match the personality and mood of the character to its actions. This
                  requires deciding what are appropriate behaviors (e.g., jumping, smiling, sitting,
                  raising arms) for different kinds of emotions and moods. How should the emotion
                  "very happy" be expressed? Through a character jumping up and down with a big
                  grin on its face? What about moderately happy-through a character jumping up
                  and down with a small grin on its face? How easy is it for the user to distinguish be-
                  tween these two and other emotions that are expressed by the agents? How many
                  emotions are optimal for an agent to express?


                  Appearance
                  The appearance of an agent is very important in making it believable. Parsimony and
                  simplicity are key. Research findings suggest that people tend to prefer simple car-
                  toon-based screen characters to detailed images that try to resemble the human form
                  as much as possible (Scaife and Rogers, 2001). Other research has also found that
                  simple cartoon-like figures are preferable to real people pretending to be artificial
                  agents. A project carried out by researchers at Apple Computer Inc. in the 80s found
                  that people reacted quite differently to different representations of the same inter-
                  face agent. The agent in question, called Phil, was created as part of a promotional
5.6 Virtual characters: agents    1 61




                                                             Figure 5.14  Two versions of
                                                            Phil, the agent assistant that
                                                            appeared in Apple's promo-
                                                            tional video called the
                                                            Knowledge Navigator (a) as
                                                            a real actor pretending to be
                                                            a computer agent and (b) as
                                                            a cartoon being an agent.
                                                            Phil was created by Doris
                                                            Mitsch and the actor Phil
                                                            was Scott Freeman.

video called "The Knowledge Navigator." He was designed to respond and behave
just like a well-trained human assistant. In one version, he was played by a real actor
that appeared on a university professor's computer screen. Thus, he was portrayed as
an artificial agent but was played by a real human. The actor was a smartly dressed
assistant wearing a white shirt and bow tie. He was also extremely polite. He per-
formed a number of simple tasks at the computer interface, such as reminding the
professor of his appointments for that day and alerting him to phone calls waiting.
Many people found this version of Phil unrealistic. After viewing the promotional
video, people complained about him, saying that he seemed too stupid. In another
version, Phil was designed as a simple line-drawn cartoon with limited animation (see
Figure 5.14) and was found to be much more likeable (see Laurel, 1993).

Behavior
Another important consideration in making virtual characters believable is how
convincing their behavior is when performing actions. In particular, how good are
they at pointing out relevant objects on the screen to the user, so that the user
knows what they are referring to? One way of achieving this is for the virtual char-
acter to "lead" with its eyes. For example, Silas the dog turns to look at an object or
a person before he actually walks over to it (e.g., to pick the object up or to invite
the person to play). A character that does not lead with its eyes looks very mechan-
ical and as such not very life-like (Maes, 1995).
     As mentioned previously, an agent's actions need also to match their underly-
ing emotional state. If the agent is meant to be angry, then its body posture, move-
ments, and facial expression all need to be integrated to show this. How this can be
achieved effectively can be learned from animators, who have a long tradition in
this field. For example, one of their techniques is to greatly exaggerate expressions
162   Chapter 5    Understanding how interfaces affect users

                  and movements as a way of conveying and drawing attention to an emotional state
                  of a character.


                  Mode of interaction
                  The way the character communicates with the user is also important. One approach
                  has been towards emulating human conversations as much as possible to make the
                  character's way of talking more convincing. However, as mentioned in the debate
                  above, a drawback of this kind of masquerading is that people can get annoyed eas-
                  ily and feel cheated. Paradoxically, a more believable and acceptable dialog with a
                  virtual character may prove to be one that is based on a simple art@cial mode of in-
                  teraction, in which prerecorded speech is played at certain choice points in the in-
                  teraction and the user's responses are limited to selecting menu options. The
                  reason why this mode of interaction may ultimately prove more effective is because
                  the user is in a better position to understand what the agent is capable of doing.
                  There is no pretence of a stupid agent pretending to be a smart human.


Assignment
                  This assignment requires you to write a critique of the persuasive impact of virtual sales agents
                  on customers. Consider what it would take for a virtual sales agent to be believable, trustwor-
                  thy, and convincing, so that customers would be reassured and happy to buy something based
                  on its recommendations.
                       (a) Look at some e-commerce sites that use virtual sales agents (use a search engine to
                            find sites or start with Miss Boo at boo.com, which was working at time of printing)
                            and answer the following:
                               What do the virtual agents do?
                               What type of agent are they?
                               Do they elicit an emotional response from you? If so, what is it?
                               What kind of personality do they have?
                               How is this expressed?
                               What kinds of behavior do they exhibit?
                               What are their facial expressions like?
                               What is their appearance like? Is it realistic or cartoon-like?
                               Where do they appear on the screen?
                               How do they communicate with the user (text or speech)?
                               Is the level of discourse patronizing or at the right level?
                               Are the agents helpful in guiding the customer towards making a purchase?
                               Are they too pushy?
                               What gender are they? Do you think this makes a difference?
                               Would you trust the agents to the extent that you would be happy to buy a prod-
                               uct from them? If not, why not?
                               What else would it take to make the agents persuasive?
Further reading      163

                          (b) Next, look at an e-commerce website that does not include virtual sales agents but
                              is based on a conceptual model of browsing (e.g., Amazon.com). How does it com-
                              pare with the agent-based sites you have just looked at?
                                  Is it easy to find information about products?
                                  What kind of mechanism does the site use to make recommendations and guide
                                  the user in making a purchase?
                                  Is any kind of personalization used at the interface to make the user feel welcome
                                  or special?
                                  Would the site be improved by having an agent? Explain your reasons either
                                  way.
                          (c) Finally, discuss which site you would trust most and give your reasons for this.


Summary
                     This chapter has described the different ways interactive products can be designed (both de-
                     liberately and inadvertently) to make people respond in certain ways. The extent to which
                     users will learn, buy a product online, chat with others, and so on depends on how comfort-
                     able they feel when using a product and how well they can trust it. If the interactive product
                     is frustrating to use, annoying, or patronizing, users easily get angry and despondent, and
                     often stop using it. If, on the other hand, the system is a pleasure, enjoyable to use, and
                     makes the users feel comfortable and at ease, then they are likely to continue to use it, make
                     a purchase, return to the website, continue to learn, etc. This chapter has described various
                     interface mechanisms that can be used to elicit positive emotional responses in users and
                     ways of avoiding negative ones.

                     Key points
                         Affective aspects of interaction design are concerned with the way interactive systems
                         make people respond in emotional ways.
                         Well-designed interfaces can elicit good feelings in people.
                         Aesthetically pleasing interfaces can be a pleasure to use.
                         Expressive interfaces can provide reassuring feedback to users as well as be informative
                         and fun.
                         Badly designed interfaces often make people frustrated and angry.
                         Anthropomorphism is the attribution of human qualities to objects.
                         An increasingly popular form of anthropomorphism is to create agents and other vixtual
                         characters as part of an interface.
                         People are more accepting of believable interface agents.
                         People often prefer simple cartoon-like agents to those that attempt to be humanlike.


Further reading
TURKLE, S. (1995) Life on the Screen. New York: Simon and        puter-based applications. Sherry Turkle discusses at length
Schuster. This classic covers a range of social impact and af-   how computers, the Internet, software, and the design of in-
fective aspects of how users interact with a variety of corn-    terfaces affect our identities.
164    Chapter 5     Understanding how interfaces affect users

Two very good papers on interface agents can be found in    MAES, P. (1995) Artificial life meets entertainment: lifelike
Brenda Laurel's (ed.) The Art of Human-Computer Interface   autonomous agents. Communications of the ACM, 38. (ll),
Design (1990) Reading, MA.: Addison Wesley:                 108-114. Pattie Maes has written extensively about the role
                                                            and design of intelligent agents at the interface. This paper
          B.
LAUREL, (1990) Interface agents: metaphor with charac-      provides a good review of some of her work in this field.
ter, 355-366
                                                            Excerpts from a lively debate between Pattie Maes and Ben
      T.,
OREN. SALOMON, G., KREITMAN, AND DON. A. (1990)
                                      K.,                   Shneiderman on "Direct manipulation vs. interface agents"
Guides: characterizing the interface, 367-381               can be found ACM Interactions Magazine, 4 (6) (1997), 4241.
Chapter 6


             The process of interaction design
             6.1 Introduction
             6.2 What is interaction design about?
                 6.2.1 Four basic activities of interaction design
                 6.2.2 Three key characteristics of the interaction design process
             6.3 Some practical issues
                 6.3.1 Who are the users?
                 6.3.2 What do we mean by "needs"?
                 6.3.3 How do you generate alternative designs?
                 6.3.4 How do you choose among alternative designs?
             6.4 Lifecycle models: showing how the activities are related
                 6.4.1 A simple lifecycle model for interaction design
                 6.4.2 Lifecycle models in software engineering
                 6.4.3 Lifecycle models in HCI



6.1.   Introduction
             Design is a practical and creative activity, the ultimate intent of which is to develop
             a product that helps its users achieve their goals. In previous chapters, we looked
             at different kinds of interactive products, issues you need to take into account
             when doing interaction design and some of the theoretical basis for the field. This
             chapter is the first of four that will explore how we can design and build interactive
             products.
                  Chapter 1 defined interaction design as being concerned with "designing inter-
             active products to support people in their everyday and working lives." But how do
             you go about doing this?
                  Developing a product must begin with gaining some understanding of what is
             required of it, but where do these requirements come from? Whom do you ask
             about them? Underlying good interaction design is the philosophy of user-centered
             design, i.e., involving users throughout development, but who are the users? Will
             they know what they want or need even if we can find them to ask? For an innova-
             tive product, users are unlikely to be able to envision what is possible, so where do
             these ideas come from?
                  In this chapter, we raise and answer these kinds of questions and discuss the
             four basic activities and key characteristics of the interaction design process that
166   Chapter 6     The process of interaction design

                  were introduced in Chapter 1. We also introduce a lifecycle model of interaction
                  design that captures these activities and characteristics.
                      The main aims of this chapter are to:
                         Consider what 'doing' interaction design involves.
                         Ask and provide answers for some important questions about the interaction
                         design process.
                         Introduce the idea of a lifecycle model to represent a set of activities and
                         how they are related.
                         Describe some lifecycle models from software engineering and HCI and dis-
                         cuss how they relate to the process of interaction design.
                         Present a lifecycle model of interaction design.


6.2 What is interaction design about?
                  There are many fields of design, for example graphic design, architectural design,
                  industrial and software design. Each discipline has its own interpretation of "de-
                  signing." We are not going to debate these different interpretations here, as we are
                  focussing on interaction design, but a general definition of "design" is informative
                  in beginning to understand what it's about. The definition of design from the Ox-
                  ford English Dictionary captures the essence of design very well: "(design is) a plan
                  or scheme conceived in the mind and intended for subsequent execution." The act
                  of designing therefore involves the development of such a plan or scheme. For the
                  plan or scheme to have a hope of ultimate execution, it has to be informed with
                  knowledge about its use and the target domain, together with practical constraints
                  such as materials, cost, and feasibility. For example, if we conceived of a plan for
                  building multi-level roads in order to overcome traffic congestion, before the plan
                  could be executed we would have to consider drivers' attitudes to using such a con-
                  struction, the viability of the structure, engineering constraints affecting its feasibil-
                  ity, and cost concerns.
                       In interaction design, we investigate the artifact's use and target domain by
                  taking a user-centered ap'proach to development. This means that users' concerns
                  direct the development rather than technical concerns.
                       Design is also about trade-offs, about balancing conflicting requirements. If we
                  take the roads plan again, there may be very strong environmental arguments for
                  stacking roads higher (less countryside would be destroyed), but these must be bal-
                  anced against engineering and financial limitations that make the proposition less
                  attractive. Getting the balance right requires experience, but it also requires the de-
                  velopment and evaluation of alternative solutions. Generating alternatives is a key
                  principle in most design disciplines, and one that should be encouraged in interac-
                  tion design. As Marc Rettig suggested: "To get a good idea, get lots of ideas" (Ret-
                  tig, 1994). However, this is not necessarily easy, and unlike many design disciplines,
                  interaction designers are not generally trained to generate alternative designs.
                  However, the ability to brainstorm and contribute alternative ideas can be learned,
                  and techniques from other design disciplines can be successfully used in interaction
6.2 What is interaction design about?

          design. For example, Danis and Boies (2000) found that using techniques from
                                                                                                    167
                                                                                                            I
          graphic design that encouraged the generation of alternative designs stimulated in-
          novative interactive systems design. See also the interview with Gillian Crampton
          Smith at the end of this chapter for her views on how other aspects of traditional
          design can help produce good interaction design.
               Although possible, it is unlikely that just one person will be involved in devel-
          oping and using a system and therefore the plan must be communicated. This re-
          quires it to be captured and expressed in some suitable form that allows review,
          revision, and improvement. There are many ways of doing this, one of the simplest
          being to produce a series of sketches. Other common approaches are to write a de-
                                                                                                                ~
          scription in natural language, to draw a series of diagrams, and to build prototypes.
          A combination of these techniques is likely to be the most effective. When users
          are involved, capturing and expressing a design in a suitable format is especially
          important since they are unlikely to understand jargon or specialist notations. In
          fact, a form that users can interact with is most effective, and building prototypes of
          one form or another (see Chapter 8) is an extremely powerful approach.
               So interaction design involves developing a plan which is informed by the
          product's intended use, target domain, and relevant practical considerations. Alter-
          native designs need to be generated, captured, and evaluated by users. For the
          evaluation to be successful, the design must be expressed in a form suitable for
          users to interact with.



          Imagine that you want to design an electronic calendar or diary for yourself. You might use
          this system to plan your time, record meetings and appointments, mark down people's birth-
          days, and so on, basically the kinds of things you might do with a paper-based calendar.
          Draw a sketch of the system outlining its functionality and its general look and feel. Spend
          about five minutes on this.
             Having produced an outline, now spend five minutes reflecting on how you went about
          tackling this activity. What did you do first? Did you have any particular artifacts or experi-
          ence to base your design upon? What process did you go through?

Comment   The sketch I produced is shown in Figure 6.1. A S you can see, I was quite heavily influenced
          by the paper-based books I currently use! I had in mind that this calendar should allow me
          to record meetings and appointments, so I need a section representing the days and months.
          But I also need a section to take notes. I am a prolific note-taker, and so for me this was a
          key requirement. Then I began to wonder about how I could best use hyperlinks. I certainly
          want to keep addresses and telephone numbers in my calendar, so maybe there could be a
          link between, say, someone's name in the calendar and their entry in my address book that
          will give me their contact details when I need them? But I still want the ability to be able to
          turn page by page, for when I'm scanning or thinking about how to organize my time. A
          search facility would be useful too.
              The first thing that came into my head when I started doing this was my own paper-based
          book where I keep appointments, maps, telephone numbers, and other small notes. I also
          thought about my notebook and how convenient it would be to have the two combined.
          Then I sat and sketched different ideas about how it might look (although I'm not very good
          at sketching). The sketch in Figure 6.1 is the version I'm happiest with. Note that my sketch
168   Chapter 6        The process of interaction design


                link t o
                address book




                                                                                                  i links always
                                                                                                    available




       link t o                                                 turn t o
       notes section                                            next page

                  Figure 6.1 An outline sketch of an electronic calendar.


                  has a strong resemblance to a paper-based book, yet I've also tried to incorporate electronic
                  capabilities. Maybe once I have evaluated this design and ensured that the tasks I want to
                  perform are supported, then I will be more receptive to changing the look away from a
                  paper-based "look and feel."
                     The exact steps taken to produce a product will vary from designer to designer, from
                  product to product, and from organization to organization. In this activity, you may have
                  started by thinking about what you'd like such a system to do for you, or you may have been
                  thinking about an existing paper calendar. You may have mixed together features of differ-
                  ent systems or other record-keeping support. Having got or arrived at an idea of what you
                  wanted, maybe you then imagined what it might look like, either through sketching with
                  paper and pencil or in your mind.


6.2.1 Four basic activities of interaction design
                  Four basic activities for interaction design were introduced in Chapter 1, some of
                  which you will have engaged in when doing Activity 6.1. These are: identifying
                  needs and establishing requirements, developing alternative designs that meet
                  those requirements, building interactive versions so that they can be communicated
                  and assessed, and evaluating them, i.e., measuring their acceptability. They are
                  fairly generic activities and can be found in other designs disciplines too. For exam-
                  ple, in architectural design (RIBA, 1988) basic requirements are established in a
                  work stage called "inception", alternative design options are considered in a "feasi-
                  bility" stage and "the brief" is developed through outline proposals and scheme de-
6.2 What i s interaction design about?   169

sign. During this time, prototypes may be built or perspectives may be drawn to
give clients a better indication of the design being developed. Detail design speci-
fies all components, and working drawings are produced. Finally, the job arrives on
site and building commences.
     We will be expanding on each of the basic activities of interaction design in the
next two chapters. Here we give only a brief introduction to each.

Identifying needs and establishing requirements
In order to design something to support people, we must know who our target
users are and what kind of support an interactive product could usefully provide.
These needs form the basis of the product's requirements and underpin subsequent
design and development. This activity is fundamental to a user-centered approach,
and is very important in interaction design; it is discussed further in Chapter 7.

Developing alternative designs
This is the core activity of designing: actually suggesting ideas for meeting the re-
quirements. This activity can be broken up into two sub-activities: conceptual design
and physical design. Conceptual design involves producing the conceptual model for
the ~roduct, and a conceptual model describes what the product should do, behave
and look like. Physical design considers the detail of the product including the col-
ors, sounds, and images to use, menu design, and icon design. Alternatives are con-
sidered at every point. You met some of the ideas for conceptual design in Chapter
2; we go into more detail about conceptual and physical design in Chapter 8.

Building interactive versions of the designs
Interaction design involves designing interactive products. The most sensible way
for users to evaluate such designs, then, is to interact with them. This requires an
interactive version of the designs to be built, but that does not mean that a software
version is required. There are different techniques for achieving "interaction," not
all of which require a working piece of software. For example, paper-based proto-
types are very quick and cheap to build and are very effective for identifying prob-
lems in the early stages of design, and through role-playing users can get a real
sense of what it will be like to interact with the product. This aspect is also covered
in Chapter 8.

Evaluating designs
Evaluation is the process of determining the usability and acceptability of the prod-
uct or design that is measured in terms of a variety of criteria including the number of
errors users make using it, how appealing it is, how well it matches the requirements,
and so on. Interaction design requires a high level of user involvement throughout
development, and this enhances the chances of an acceptable product being deliv-
ered. In most design situations you will find a number of activities concerned with
170   Chapter 6    The process of interaction design

                  quality assurance and testing to make sure that the final product is "fit-for-purpose."
                                                                                                              I
                  Evaluation does not replace these activities, but complements and enhances them.
                  We devote Chapters 10 through 14 to the important subject of evaluation.
                      The activities of developing alternative designs, building interactive versions of
                  the design, and evaluation are intertwined: alternatives are evaluated through the
                  interactive versions of the designs and the results are fed back into further design.
                  This iteration is one of the key characteristics of the interaction design process,
                  which we introduced in Chapter 1.


6.2.2 Three key characteristics of the interaction design process
                  There are three characteristics that we believe should form a key part of the interac-
                                                                                                              I
                  tion design process. These are: a user focus, specific usability criteria, and iteration.
                       The need to focus on users has been emphasized throughout this book, so you
                  will not be surprised to see that it forms a central plank of our view on the interac-
                  tion design process. While a process cannot, in itself, guarantee that a development
                  will involve users, it can encourage focus on such issues and provide opportunities
                                                                                                              I
                  for evaluation and user feedback.
                       Specific usability and user experience goals should be identified, clearly docu-
                  mented, and agreed upon at the beginning of the project. They help designers to
                  choose between different alternative designs and to check on progress as the prod-
                  uct is developed.
                       Iteration allows designs to be refined based on feedback. As users and design-
                  ers engage with the domain and start to discuss requirements, needs, hopes and as-
                  pirations, then different insights into what is needed, what will help, and what is
                  feasible will emerge. This leads to a need for iteration, for the activities to inform
                  each other and to be repeated. However good the designers are and however clear
                  the users may think their vision is of the required artifact, it will be necessary to re-
                  vise ideas in light of feedback, several times. This is particularly true if you are try-
                  ing to innovate. Innovation rarely emerges whole and ready to go. It takes time,
                  evolution, trial and error, and a great deal of patience. Iteration is inevitable be-
                  cause designers never get the solution right the first time (Gould and Lewis, 1985).
                       We shall return to these issues and expand upon them in Chapter 9.


6.3   S o m e practical issues
                  Before we consider hbw the activities and key characteristics of interaction design
                  can be pulled together into a coherent process, we want to consider some questions
                  highlighted by the discussion so far. These questions must be answered if we are
                  going to be able to "do" interaction design in practice. These are:
                         Who are the users?
                         What do we mea; by needs?
                         How do you generate alternative designs?
                         How do you choose among alternatives?
6.3 Some practical issues   171

6.3.1 Who are the users?
             In Chapter 1, we said that an overarching objective of interaction design is to opti-
             mize the interactions people have with computer-based products, and that this re-
             quires us to support needs, match wants, and extend capabilities. We also stated
             above that the activity of identifying these needs and establishing requirements was
             fundamental to interaction design. However, we can't hope to get very far with this
             intent until we know who the users are and what they want to achieve. As a starting
             point, therefore, we need to know who we consult to find out the users' require-
             ments and needs.
                  Identifying the users may seem like a straightforward activity, but in fact
             there are many interpretations of "user." The most obvious definition is those
             people who interact directly with the product to achieve a task. Most people
             would agree with this definition; however, there are others who can also be
             thought of as users. For example, Holtzblatt and Jones (1993) include in their
             definition of "users" those who manage direct users, those who receive products
             from the system, those who test the system, those who make the purchasing de-
             cision, and those who use competitive products. Eason (1987) identifies three
             categories of user: primary, secondary and tertiary. Primary users are those
             likely to be frequent hands-on users of the system; secondary users are occa-
             sional users or those who use the system through an intermediary; and tertiary
             users are those affected by the introduction of the system or who will influence
             its purchase.
                  The trouble is that there is a surprisingly wide collection of people who all
             have a stake in the development of a successful product. These people are called
             stakeholders. Stakeholders are "people or organizations who will be affected by
             the system and who have a direct or indirect influence on the system require-
             ments" (Kotonya and Sommerville, 1998). Dix et al. (1993) make an observation
             that is very pertinent to a user-centered view of development, that "It will fre-
             quently be the case that the formal 'client' who orders the system falls very low
             on the list of those affected. Be very wary of changes which take power, influ-
             ence or control from some stakeholders without returning something tangible in
             its place."
                  Generally speaking, the group of stakeholders for a particular product is
             going to be larger than the group of people you'd normally think of as users, al-
             though it will of course include users. Based on the definition above, we can see
             that the group of stakeholders includes the development team itself as well as its
             managers, the direct users and their managers, recipients of the product's out-
             put, people who may lose their jobs because of the introduction of the new prod-
             uct, and so on.
                  For example, consider again the calendar system in Activity 6.1. According to
             the description we gave you, the user group for the system has just one member:
             you. However, the stakeholders for the system would also include people you
             make appointments with, people whose birthdays you remember, and even com-
             panies that produce paper-based calendars, since the introduction of an elec-
             tronic calendar may increase competition and force them to operate differently.
172   Chapter 6    The process of interaction design

                  This last point may seem a little exaggerated for just one system, but if you think
                  of others also migrating to an electronic version, and abandoning their paper cal-
                  endars, then you can see how the companies may be affected by the introduction
                  of the system.
                       The net of stakeholders is really quite wide! We do not suggest that you need
                  to involve all of the stakeholders in your user-centered approach, but it is impor-
                  tant to be aware of the wider impact of any product you are developing. Identifying
                  the stakeholders for your project means that you can make an informed decision
                  about who should be involved and to what degree.


                  Who do you think are the stakeholders for the check-out system of a large supermarket?

Comment           First, there are the check-out operators. These are the people who sit in front of the machine
                  and pass the customers' purchases over the bar code reader, receive payment, hand over re-
                  ceipts, etc. Their stake in the success and usability of the system is fairly clear and direct.
                  Then you have the customers, who want the system to work properly so that they are
                  charged the right amount for the goods, receive the correct receipt, are served quickly and
                  efficiently. Also, the customers want the check-out operators to be satisfied and happy in
                  their work so that they don't have to deal with a grumpy assistant. Outside of this group, you
                  then have supermarket managers and supermarket owners, who also want the assistants to
                  be happy and efficient and the customers to be satisfied and not complaining. They also
                  don't want to lose money because the system can't handle the payments correctly. Other
                  people who will be affected by the success of the system include other supermarket employ-
                  ees such as warehouse staff, supermarket suppliers, supermarket owners' families, and local
                  shop owners whose business would be affected by the success or failure of the system. We
                  wouldn't suggest that you should ask the local shop owner about requirements for the super-
                  market check-out system. However, you might want to talk to warehouse staff, especially if
                  the system links in with stock control or other functions.


6.3.2 What do we mean by "needs"?
                  If you had asked someone in the street in the late 1990s what she 'needed', I doubt
                  that the answer would have included interactive television, or a jacket which was
                  wired for communication, or a smart fridge. If you presented the same person with
                  these possibilities and asked whether she would buy them if they were available,
                  then the answer would have been different. When we talk about identifying needs,
                  therefore, it's not simply a question of asking people, "What do you need?" and
                  then supplying it, because people don't necessarily know what is possible (see
                  Suzanne Robertson's interview at the end of Chapter 7 for "un-dreamed-of" re-
                  quirements). Instead, we have to approach it by understanding the characteristics
                  and capabilities of the users, what they are trying to achieve, how they achieve it
                  currently, and whether they would achieve their goals more effectively if they were
                  supported differently.
                       There are many dimensions along which a user's capabilities and characteris-
                  tics may vary, and that will have an impact on the product's design. You have met
6.3 Some practical issues   173

some of these in Chapter 3. For example, a person's physical characteristics may af-
fect the design: size of hands may affect the size and positioning of input buttons,
and motor abilities may affect the suitability of certain input and output devices;
height is relevant in designing a physical kiosk, for example; and strength in design-
ing a child's toy- toy should not require too much strength to operate, but may
                    a
require strength greater than expected for the target age group to change batteries
or perform other operations suitable only for an adult. Cultural diversity and expe-
rience may affect the terminology the intended user group is used to, or how ner-
vous about technology a set of users may be.
     If a product is a new invention, then it can be difficult to identify the users and
representative tasks for them; e.g., before microwave ovens were invented, there
were no users to consult about requirements and there were no representative
tasks to identify. Those developing the oven had to imagine who might want to use
such an oven and what they might want to do with it.
     It may be tempting for designers simply to design what they would like, but
their ideas would not necessarily coincide with those of the target user group. It is
imperative that representative users from the real target group be consulted. For
example, a company called Netpliance was developing a new "Internet appli-
ance," i.e., a product that would seamlessly integrate all the services necessary for
the user to achieve a specific task on the Internet (Isensee et al., 2000). They took
a user-centered approach and employed focus group studies and surveys to under-
stand their customers' needs. The marketing department led these efforts, but de-
velopers observed the focus groups to learn more about their intended user group.
Isensee et al. (p. 60) observe that "It is always tempting for developers to create
products they would want to use or similar to what they have done before. How-
ever, in the Internet appliance space, it was essential to develop for a new audi-
ence that desires a simpler product than the computer industry has previously
provided."
     In these circumstances, a good indication of future behavior is current or
past behavior. So it is always useful to start by understanding similar behavior
that is already established. Apart from anything else, introducing something new
into people's lives, especially a new "everyday" item such as a microwave oven,
requires a culture change in the target user population, and it takes a long time
to effect a culture change. For example, before cell phones were so widely avail-
able there were no users and no representative tasks available for study, per se.
But there were standard telephones and so understanding the tasks people per-
form with, and in connection with, standard telephones was a useful place to
start. Apart from making a telephone call, users also look up people's numbers,
take messages for others not currently available, and find out the number of the
last person to ring them. These kinds of behavior have been translated into
memories for the telephone, answering machines, and messaging services for
mobiles. In order to maximize the benefit of e-commerce sites, traders have
found that referring back to customers' non-electronic habits and behaviors can
be a good basis for enhancing e-commerce activity (CHI panel, 2000; Lee et al.,
2000).
I   174   Chapter 6    The process of interaction design


    6.3.3 How do you generate alternative designs?
                      A common human tendency is to stick with something that we know works. We
                      probably recognize that a better solution may exist out there somewhere, but it's
                      very easy to accept this one because we know it works-it's "good enough." Set-
                      tling for a solution that is good enough is not, in itself, necessarily "bad," but it may
                      be undesirable because good alternatives may never be considered, and considering
                      alternative solutions is a crucial step in the process of design. But where do these
                      alternative ideas come from?
                           One answer to this question is that they come from the individual designer's
                      flair and creativity. While it is certainly true that some people are able to produce
                      wonderfully inspired designs while others struggle to come up with any ideas at all,
                      very little in this world is completely new. Normally, innovations arise through
                      cross-fertilization of ideas from different applications, the evolution of an existing
                      product through use and observation, or straightforward copying of other, similar
                      products. For example, if you think of something commonly believed to be an "in-
                      vention," such as the steam engine, this was in fact inspired by the observation that
                      the steam from a kettle boiling on the stove lifted the lid. Clearly there was an
I                     amount of creativity and engineering involved in making the jump from a boiling
I
                      kettle to a steam engine, but the kettle provided the inspiration to translate experi-
                      ence gained in one context into a set of principles that could be applied in another.
                      As an example of evolution, consider the word processor. The capabilities of suites
                      of office software have gradually increased from the time they first appeared. Ini-
                      tially, a word processor was just an electronic version of a typewriter, but gradually
                      other capabilities, including the spell-checker, thesaurus, style sheets, graphical ca-
                      pabilities, etc., were added.
6.3 Some practical issues     1 75

               So although creativity and invention are often wrapped in mystique, we do un-
          derstand something of the process and of how creativity can be enhanced or in-
          spired. We know, for instance, that browsing a collection of designs will inspire
          designers to consider alternative perspectives, and hence alternative solutions. The
          field of case-based reasoning (Maher and Pu, 1997) emerged from the observation
          that designers solve new problems by drawing on knowledge gained from solving
          previous similar problems. As Schank (1982; p. 22) puts it, "An expert is someone
          who gets reminded of just the right prior experience to help him in processing his
          current experiences." And while those experiences may be the designer's own, they
          can equally well be others'.
               A more pragmatic answer to this question, then, is that alternatives come from
          looking at other, similar designs, and the process of inspiration and creativity can
          be enhanced by prompting a designer's own experience and by looking at others'
          ideas and solutions. Deliberately seeking out suitable sources of inspiration is a
          valuable step in any design process. These sources may be very close to the in-
          tended new product, such as competitors' products, or they may be earlier versions
          of similar systems, or something completely different.



             nsider again the calendar system introduced at the beginning of the chapter. Reflecting
             the process again, what do you think inspired your outline design? See if you can identify
          any elements within it that you believe are truly innovative.

Comment   For my design, I haven't seen an electronic calendar, although I have seen plenty of other
          software-based systems. My main sources of inspiration were my current paper-based books.
             Some of the things you might have been thinking of include your existing paper-based
          calendar, and other pieces of software you commonly use and find helpful or easy to use in
          some way. Maybe you already have access to an electronic calendar, which will have given
          you some ideas, too. However, there are probably other aspects that make the design some-
          how unique to you and may be innovative to a greater or lesser degree.

          All this having been said, under some circumstances the scope to consider alterna-
          tive designs may be limited. Design is a process of balancing constraints and con-
          stantly trading off one set of requirements with another, and the constraints may be
          such that there are very few viable alternatives available. As another example, if
          you are designing a software system to run under the Windows operating system,
          then elements of the design will be prescribed because you must conform to the
          Windows "look and feel," and to other constraints intended to make Windows pro-
          grams consistent for the user. We shall return to style guides and standards in
          Chapter 8.
               If you are producing an upgrade to an existing system, then you may face other
          constraints, such as wanting to keep the familiar elements of it and retain the same
          "look and feel." However, this is not necessarily a rigid rule. Kent Sullivan reports
          that when designing the Windows 95 operating system to replace the Windows 3.1
          and Windows for Workgroups 3.11 operating systems, they initially focused too
          much on consistency with the earlier versions (Sullivan, 1996).
176   Chapter 6   The process of interaction design
1   6.3 Some ~ractical
                     issues   1 77
-   -   - --
                                              -       -   -   -   -   -   -




178   Chapter 6   The process of interaction design
6.3 Some practical issues   179




6.3.4 How do you choose among alternative designs?
             Choosing among alternatives is about making design decisions: Will the device use
             keyboard entry or a touch screen? Will the device provide an automatic memory
             function or not? These decisions will be informed by the information gathered
             about users and their tasks, and by the technical feasibility of an idea. Broadly
             speaking, though, the decisions fall into two categories: those that are about exter-
             nally visible and measurable features, and those that are about characteristics in-
             ternal to the system that cannot be observed or measured without dissecting it.
             For example, externally visible and measurable factors for a building design in-
             clude the ease of access to the building, the amount of natural light in rooms, the
             width of corridors, and the number of power outlets. In a photocopier, externally
             visible and measurable factors include the physical size of the machine, the speed
             and quality of copying, the different sizes of paper it can use, and so on. Underly-
             ing each of these factors are other considerations that cannot be observed or stud-
             ied without dissecting the building or the machine. For example, the number of
I   180   Chapter 6    The process of interaction design

                      power outlets will be dependent on how the wiring within the building is designed
                      and the capacity of the main power supply; the choice of materials used in a pho-
                      tocopier may depend on its friction rating and how much it deforms under certain
                      conditions.
                           In an interactive product there are similar factors that are externally visible
                      and measurable and those that are hidden from the users' view. For example, ex-
                      actly why the response time for a query to a database (or a web page) is, say, 4 sec-
                      onds will almost certainly depend on technical decisions made when the database
                      was constructed, but from the users' viewpoint the important observation is the fact
                      that it does take 4 seconds to respond.
                           In interaction design, the way in which the users interact with the product is
                      considered the driving force behind the design and so we concentrate on the exter-
                      nally visible and measurable behavior. Detailed internal workings are important
                      only to the extent that they affect the external behavior. This does,not mean that
                      design decisions concerning a system's internal behavior are any less important:
                      however, the tasks that the user will perform should influence design decisions no
                      less than technical issues.
                           So, one answer to the question posed above is that we choose between alterna-
                      tive designs by letting users and stakeholders interact with them and by discussing
                      their experiences, preferences and suggestions for improvement. This is fundamen-
                      tal to a user-centered approach to development. This in turn means that the de-
                      signs must be available in a form that can be reasonably evaluated with users, not
                      in technical jargon or notation that seems impenetrable to them.
                           One form traditionally used for communicating a design is documentation, e.g.,
                      a description of how something will work or a diagram showing its components.
                      The trouble is that a static description cannot capture the dynamics of behavior,
                      and for an interaction device we need to communicate to the users what it will be
                      like to actually operate it.
                           In many design disciplines, prototyping is used to overcome potential client
                      misunderstandings and to test the technical feasibility of a suggested design and its
                      production. Prototyping involves producing a limited version of the product with
                      the purpose of answering specific questions about the design's feasibility or appro-
                      priateness. Prototypes give a better impression of the user experience than simple
                      descriptions can ever do, and there are different kinds of prototyping that are suit-
                      able for different stages of development and for eliciting different kinds of infor-
                      mation. One experience illustrating the benefits of prototyping is described in Box
                      6.2. So one important aspect of choosing among alternatives is that prototypes
                      should be built and evaluated by users. We'll revisit the issue of prototyping in
                      Chapter 8.
                           Another basis on which to choose between alternatives is "quality," but this
                      requires a clear understanding of what "quality" means. People's views of what is
                      a quality product vary, and we don't always write it down. Whenever we use any-
                      thing we have some notion of the level of quality we are expecting, wanting, or
                      needing. Whether this level of quality is expressed formally or informally does not
                      matter. The point is that it exists and we use it consciously or subconsciously to
                      evaluate alternative items. For example, if you have to wait too long to download
6.3 Some practical issues   181




a web page, then you are likely to give up and try a different site-you are apply-
ing a certain measure of quality associated with the time taken to download the
web page. If one cell phone makes it easy to perform a critical function while an-
other involves several complicated key sequences, then you are likely to buy the
former rather than the latter. You are applying a quality criterion concerned with
efficiency.
     Now, if you are the only user of a product, then you don't necessarily have
to express your definition of "quality" since you don't have to communicate it to
anyone else. However, as we have seen, most projects involve many different
stakeholder groups, and you will find that each of them has a different definition
of quality and different acceptable limits for it. For example, although all stake-
holders may agree on targets such as "response time will be fast" or "the menu
structure will be easy to use," exactly what each of them means by this is likely
to vary. Disputes are inevitable when, later in development, it transpires that
"fast" to one set of stakeholders meant "under a second," while to another it
meant "between 2 and 3 seconds." Capturing these different views in clear un-
ambiguous language early in development takes you halfway to producing a
product that will be regarded as "good" by all your stakeholders. It helps to clar-
ify expectations, provides a benchmark against which products of the develop-
ment process can be measured, and gives you a basis on which to choose among
alternatives.
     The process of writing down formal, verifiable-and hence measurable-usability
criteria is a key characteristic of an approach to interaction design called usability en-
gineering that has emerged over many years and with various proponents (Whiteside
182   Chapter 6    The process of interaction design

                  et al., 1988; Nielsen, 1993). Usability engineering involves specifying quantifiable
                  measures of product performance, documenting them in a usability specification,
                  and assessing the product against them. One way in which this approach is used is to
                  make changes to subsequent versions of a system based on feedback from carefully
                  documented results of usability tests for the earlier version. We shall return to this
                  idea later when we discuss evaluation.


                  Consider the calendar system that you designed in Activity 6.1. Suggest some usability crite-
                  ria that you could use to determine the calendar's quality. You will find it helpful to think in
                  terms of the usability goals introduced in Chapter 1: effectiveness, efficiency, safety, utility,
                  learnability, and memorability. Be as specific as possible. Check your criteria by considering
                  exactly what you would measure and how you would measure its performance.
                      Having done that, try to do the same thing for the user experience goals introduced in
                  Chapter 1; these relate to whether a system is satisfying, enjoyable, motivating, rewarding,
                  and so on.

Comment           Finding measurable characteristics for some of these is not easy. Here are some suggestions,
                  but you may have found others. Note that the criteria must be measurable and very specific.
                       Effectiveness: Identifying measurable criteria for this goal is particularly difficult since
                       it is a combination of the other goals. For example, does the system support you in
                       keeping appointments, taking notes, and so on. In other words, is the calendar used?
                       EBciency: Assuming that there is a search facility in the calendar, what is the response
                       time for finding a specific day or a specific appointment?
                       Safety: How often does data get lost or does the user press the wrong button? This may
                       be measured, for example, as the number of times this happens per hour of use.
                       Utility: How many functions offered by the calendar are used every day, how many
                       every week, how many every month? How many tasks are difficult to complete in a
                       reasonable time because functionality is missing or the calendar doesn't support the
                       right subtasks?
                       Learnability: How long does it take for a novice user to be able to do a series of set
                       tasks, e.g., make an entry into the calendar for the current date, delete an entry from
                       the current date, edit an entry in the following day?
                       Memorability: If the calendar isn't used for a week, how many functions can you re-
                       member how to perform? How long does it take you to remember how to perform
                       your most frequent task?
                     Finding measurable characteristics for the user experience criteria is even harder, though.
                  How do you measure satisfaction, fun, motivation or aesthetics? What is entertaining to one
                  person may be boring to another; these kinds of criteria are subjective, and s o cannot be
                  measured objectively.


6.4   Lifecycle models: showing how the activities are related
                  Understanding what activities are involved in interaction design is the first step to
                  being able to do it, but it is also important to consider how the activities are related
6.4   Lifecycle models: showing how the activities relate       183

to one another so that the full development process can be seen. The term lifecycle
model 1 is used to represent a model that captures a set of activities and how they
are related. Sophisticated models also incorporate a description of when and how
to move from one activity to the next and a description of the deliverables for each
activity. The reason such models are popular is that they allow developers, and par-
ticularly managers, to get an overall view of the development effort so that
progress can be tracked, deliverables specified, resources allocated, targets set, and
SO on.
     Existing models have varying levels of sophistication and complexity. For pro-
jects involving only a few experienced developers, a simple process would probably
be adequate. However, for larger systems involving tens or hundreds of developers
with hundreds or thousands of users, a simple process just isn't enough to provide
the management structure and discipline necessary to engineer a usable product.
So something is needed that will provide more formality and more discipline. Note                         I
that this does not mean that innovation is lost or that creativity is stifled. It just
means that a structured process is used to provide a more stable framework for
creativity.
     However simple or complex it appears, any lifecycle model is a simplified
version of reality. It is intended as an abstraction and, as with any good ab-
straction, only the amount of detail required for the task at hand should be in-
cluded. Any organization wishing to put a lifecycle model into practice will
need to add detail specific to its particular circumstances and culture. For ex-
ample, Microsoft wanted to maintain a small-team culture while also making
possible the development of very large pieces of software. To this end, they
have evolved a process that has been called "synch and stabilize," as described
in Box 6.3.
     In the next subsection, we introduce our view of what a lifecycle model for in-
teraction design might look like that incorporates the four activities and the three
key characteristics of the interaction design process discussed above. This will form
the basis of our discussion in Chapters 7 and 8. Depending on the kind of system
being developed, it may not be possible or appropriate to follow this model for
every element of the system, and it is certainly true that more detail would be re-
quired to put the lifecycle into practice in a real project.
    Many other lifecycle models have been developed in fields related to interac-
tion design, such as software engineering and HCI, and our model is evolved from
these ideas. To put our interaction design model into context we include here a de-
scription of five lifecycle models, three from software engineering and two from
HCI, and consider how they relate to it.



'Somme~ille    (2001) uses the term process model to mean what we call a lifecycle model, and refers to
the waterfall model as the software lifecycle. Pressman (1992) talks about paradigms. In HCI the term
"lifecyclemodel" is used more widely. For this reason, and because others use "process model" to
represent something that is more detailed than a lifecycle model (e.g.,Comer, 1997) we have chosen to
use lifecycle model.
184   Chapter 6   The process of interaction design
6.4 Lifecycle models: showing how the activities relate   185
I   186   Chapter 6    The process of interaction design


I   6.4.1 A simple lifecycle model for interaction design
                      We see the activities of interaction design as being related as shown in Figure 6.7.
                      This model incorporates iteration and encourages a user focus. While the outputs
                      from each activity are not specified in the model, you will see in Chapter 7 that our
                      description of establishing requirements includes the need to identify specific us-
                      ability criteria.
                           The model is not intended to be prescriptive; that is, we are not suggesting
                      that this is how all interactive products are or should be developed. It is based on
                      our observations of interaction design and on information we have gleaned in the
                      research for this book. It has its roots in the software engineering and HCI Iifecy-
                      cle models described below, and it represents what we believe is practiced in the
                      field.
                           Most projects start with identifying needs and requirements. The project may
                      have arisen because of some evaluation that has been done, but the lifecycle of the
                      new (or modified) product can be thought of as starting at this point. From this ac-
                      tivity, some alternative designs are generated in an attempt to meet the needs and
                      requirements that have been identified. Then interactive versions of the designs
                      are developed and evaluated. Based on the feedback from the evaluations, the
                      team may need to return to identifying needs or refining requirements, or it may
                      go straight into redesigning. It may be that more than one alternative design fol-
                      lows this iterative cycle in parallel with others, or it may be that one alternative at
                      a time is considered. Implicit in this cycle is that the final product will emerge in an
                      evolutionary fashion from a rough initial idea through to the finished product. Ex-
                      actly how this evolution happens may vary from project to project, and we return
                      to this issue in Chapter 8. The only factor limiting the number of times through
                      the cycle is the resources available, but whatever the number is, development ends
                      with an evaluation activity that ensures the final product meets the prescribed us-
                      ability criteria.




                                                                                                 Final product

                      Figure 6.7 A simple interaction design model.
6.4 Lifecycle models: showing how the activities relate   187
                                                                                                              I
6.4.2 Lifecycle models in software engineering
              Software engineering has spawned many lifecycle models, including the water-
                                                                                                              I
              fall, the spiral, and rapid applications development (RAD). Before the waterfall
              was first proposed in 1970, there was no generally agreed approach to software
              development, but over the years since then, many models have been devised, re-
              flecting in part the wide variety of approaches that can be taken to developing
              software. We choose to include these specific lifecycle models for two reasons:
              First, because they are representative of the models used in industry and they
              have all proved to be successful, and second, because they show how the empha-
              sis in software development has gradually changed to include a more iterative,                  1
              user-centered view.

              The waterfall lifecycle model
              The waterfall lifecycle was the first model generally known in software engineer-
              ing and forms the basis of many lifecycles in use today. This is basically a linear
              model in which each step must be completed before the next step can be started
              (see Figure 6.8). For example, requirements analysis has to be completed before




              Figure 6.8 The waterfall lifecycle model of software development.
188   Chapter 6    The process of interaction design

                  design can begin. The names given to these steps varies, as does the precise defi-
                  nition of each one, but basically, the lifecycle starts with some requirements
                  analysis, moves into design, then coding, then implementation, testing, and fi-
                  nally maintenance. One of the main flaws with this approach is that require-
                  ments change over time, as businesses and the environment in which they
                  operate change rapidly. This means that it does not make sense to freeze re-
                  quirements for months, or maybe years, while the design and implementation
                  are completed.
                      Some feedback to earlier stages was acknowledged as desirable and indeed
                  practical soon after this lifecycle became widely used (Figure 6.8 does show some
                  limited feedback between phases). But the idea of iteration was not embedded in
                  the waterfall's philosophy. Some level of iteration is now incorporated in most ver-
                  sions of the waterfall, and review sessions among developers are commonplace.
                  However, the opportunity to review and evaluate with users was not built into this
                  model.


                  The spiral lifecycle model
                  For many years, the waterfall formed the basis of most software developments, but
                  in 1988 Barry Boehm (1988) suggested the spiral model of software development
                  (see Figure 6.9). Two features of the spiral model are immediately clear from Fig-
                  ure 6.9: risk analysis and prototyping. The spiral model incorporates them in an it-
                  erative framework that allows ideas and progress to be repeatedly checked and
                  evaluated. Each iteration around the spiral may be based on a different lifecycle
                  model and may have different activities.
                       In the spiral's case, it was not the need for user involvement that inspired the
                  introduction of iteration but the need to identify and control risks. In Boehm's ap-
                  proach, development plans and specifications that are focused on the risks involved
                  in developing the system drive development rather than the intended functionality,
                  as was the case with the waterfall. Unlike the waterfall, the spiral explicitly encour-
                  ages alternatives to be considered, and steps in which problems or potential prob-
                  lems are encountered to be re-addressed.
                       The spiral idea has been used by others for interactive devices (see Box 6.4). A
                  more recent version of the spiral, called the WinWin spiral model (Boehm et al.,
                  1998), explicitly incorporates the identification of key stakeholders and their re-
                  spective "win" conditions, i.e., what will be regarded as a satisfactory outcome for
                  each stakeholder group. A period of stakeholder negotiation to ensure a "win-win"
                  result is included.


                  Rapid Applications Development (RAD)
                  During the 1990s the drive to focus upon users became stronger and resulted in a
                  number of new approaches to development. The Rapid Applications Development
                  (RAD) approach attempts to take a user-centered view and to minimize the risk
                  caused by requirements changing during the course of the project. The ideas be-
6.4 Lifecycle models: showing how the activities relate   189


                                              Cumulative



                                              through
                                              steps




Review

                                                                                         ----___




              Plan next phases


                                                             Develop, verify
                                                             next-level product
         Figure 6.9   The spiral lifecycle model of software development.


         hind RAD began to emerge in the early 1990s, also in response to the inappropri-
         ate nature of the linear lifecycle models based on the waterfall. Two key features of
         a RAD project are:
               Time-limited cycles of approximately six months, at the end of which a sys-
               tem or partial system must be delivered. This is called time-boxing. In effect,
               this breaks down a large project into many smaller projects that can deliver
               products incrementally, and enhances flexibility in terms of the development
               techniques used and the maintainability of the final system.
190   Chapter 6    The process of interaction design

                         JAD (Joint Application Development) workshops in which users and devel-
                         opers come together to thrash out the requirements of the system (Wood
                         and Silver, 1995). These are intensive requirements-gathering sessions in
                         which difficult issues are faced and decisions are made. Representatives from
                         each identified stakeholder group should be involved in each workshop so
                         that all the relevant views can be heard.
                       A basic RAD lifecycle has five phases (see Figure 6.10): project set-up, JAD
                  workshops, iterative design and build, engineer and test final prototype, implementa-
                  tion review. The popularity of RAD has led to the emergence of an industry-
                  standard RAD-based method called DSDM (Dynamic Systems Development
                  Method) (Millington and Stapleton, 1995). This was developed by a non-profit-mak-
                  ing DSDM consortium made up of a group of companies that recognized the need for
                  some standardization in the field. The first of nine principles stated as underlying
                  DSDM is that "active user involvement is imperative." The DSDM lifecycle is more
                  complicated than the one we've shown here. It involves five phases: feasibility study,
                  business study, functional model iteration, design and build iteration, and implemen-
                  tation. This is only a generic process and must be tailored for a particular organization.      ~
                     w closely do you think the RAD lifecycle model relates to the interaction design model
                    scribed in Section 6.4.1?

Comment           RAD and DSDM explicitly incorporate user involvement, evaluation and iteration. User in-
                  volvement, however, appears to be limited to the JAD workshop, and iteration appears to
                  be limited to the design and build phase. The philosophy underlying the interaction design
                  model is present, but the flexibility appears not to be. Our interaction design process would
                  be appropriately used within the design and build stage.




                                                                          Figure 6.10 A basic RAD lifecycle
                                                                          model of software development.
6.4 Lifecycle models: showing how the activities relate   1 91
1 92      Chapter 6               The process of interaction design




       Russlan Peace hoops Head Toward Kosovo
       fRI JUN $10 W 0 7 BDT 1
                  8 63        -




6.4.3         Lifecycle models in HCI
                             Another of the traditions from which interaction design has emerged is the field of
                             HCI (human-computer interaction). Fewer lifecycle models have arisen from this
                             field than from software engineering and, as you would expect, they have a
                             stronger tradition of user focus. We describe two of these here. The first one, the
                             Star, was derived from empirical work on understanding how designers tackled
                             HCI design problems. This represents a very flexible process with evaluation at its
                             core. In contrast, the second one, the usability engineering lifecycle, shows a more
                             structured approach and hails from the usability engineering tradition.

                             The Star Lifecycle Model
                             About the same time that those involved in software engineering were looking for
                             alternatives to the waterfall lifecycle, so too were people involved in HCI looking
                             for alternative ways to support the design of interfaces. In 1989, the Star lifecycle
6.4 Lifecycle models: showing how the activities relate        193
                                                                                                               I



                                                                      Figure 6.13   The Star lifecycle
                                                                      model.

          model was proposed by Hartson and Hix (1989) (see Figure 6.13). This emerged
          from some empirical work they did looking at how interface designers went about
          their work. They identified two different modes of activity: analytic mode and syn-
          thetic mode. The former is characterized by such notions as top-down, organizing,
          judicial, and formal, working from the systems view towards the user's view; the
          latter is characterized by such notions as bottom-up, free-thinking, creative and ad
          hoc, working from the user's view towards the systems view. Interface designers
          move from one mode to another when designing. A similar behavior has been ob-
          served in software designers (Guindon, 1990).
               Unlike the lifecycle models introduced above, the Star lifecycle does not specify
          any ordering of activities. In fact, the activities are highly interconnected: you can
          move from any activity to any other, provided you first go through the evaluation
          activity. This reflects the findings of the empirical studies. Evaluation is central to
          this model, and whenever an activity is completed, its result(s) must be evaluated.
          So a project may start with requirements gathering, or it may start with evaluating
          an existing situation, or by analyzing existing tasks, and so on.


          The Star lifecycle model has not been used widely and successfully for large projects in indus-
          try. Consider the benefits of lifecycle models introduced above and suggest why this may be.

Comment   One reason may be that the Star lifecycle model is extremely flexible. This may be how de-
          signers work in practice, but as we commented above, lifecycle models are popular because
          "they allow developers, and particularly managers, to get an overall view of the develop-
          ment effort so that progress can be tracked, deliverables specified, resources allocated, tar-
          gets set, and so on." With a model as flexible as the Star lifecycle, it is difficult to control
          these issues without substantially changing the model itself.

          The Usability Engineering Lifecycle

          The Usability Engineering Lifecycle was proposed by Deborah Mayhew in 1999
          (Mayhew, 1999). Many people have written about usability engineering, and as
-   -




194   Chapter 6   The process of interaction design




                  Figure 6.14 The Usability Engineering Lifecycle.
6.4 Lifecycle models: showing how the activities relate       195


                                                                              0UETask
                                                                               T       Development Task

                                                                             ( Decision Point
                                                                              )
                                                                                       Documentation

                                                                              + Complex Applications

                                                                              -   -t   Simple Applications
                                                                                          (e.g. websites)
                                                                                                             I
          Figure 6.14 (continued).


          Mayhew herself says, "I did not invent the concept of a Usability Engineering Life-
          cycle. Nor did I invent any of the Usability Engineering tasks included in the lifecy-
          cle . . . .". However, what her lifecycle does provide is a holistic view of usability
          engineering and a detailed description of how to perform usability tasks, and it
          specifies how usability tasks can be integrated into traditional software develop-
          ment lifecycles. It is therefore particularly helpful for those with little or no exper-
          tise in usability to see how the tasks may be performed alongside more traditional
          software engineering activities. For example, Mayhew has linked the stages with a
          general development approach (rapid prototyping) and a specific method (object-
          oriented software engineering (OOSE, Jacobson et al, 1992)) that have arisen from
          software engineering.
               The lifecycle itself has essentially three tasks: requirements analysis, design1
          testingldevelopment, and installation, with the middle stage being the largest and
          involving many subtasks (see Figure 6.14). Note the production of a set of usability
          goals in the first task. Mayhew suggests that these goals be captured in a style guide
          that is then used throughout the project to help ensure that the usability goals are
          adhered to.
               This lifecycle follows a similar thread to our interaction design model but in-
          cludes considerably more detail. It includes stages of identifying requirements, de-
          signing, evaluating, and building prototypes. It also explicitly includes the style
          guide as a mechanism for capturing and disseminating the usability goals of the
          project. Recognizing that some projects will not require the level of structure pre-
          sented in the full lifecycle, Mayhew suggests that some substeps can be skipped if
          they are unnecessarily complex for the system being developed.


          Study the usability engineering lifecycle and identify how this model differs from our inter-
          action design model described in Section 6.4.1, in terms of the iterations it supports.

Comment   One of the main differences between Mayhew's model and ours is that in the former the it-
          eration between design and evaluation is contained within the second phase. Iteration be-
          tween the design/testldevelopment phase and the requirements analysis phase occurs only
          after the conceptual model and the detailed designs have been developed, prototyped, and
196   Chapter 6     T e process of interaction design
                     h

                  evaluated one at a time. Our version models a return to the activity of identifying needs and
                  establishing requirements after evaluating any element of the design.


Assignment
                  Nowadays, timepieces (such as clocks, wristwatches etc) have a variety of functions. They not
                  only tell the time and date but they can speak to you, remind you when it's time to do some-
                  thing, and provide a light in the dark, among other things. Mostly, the interface for these de-
                  vices, however, shows the time in one of two basic ways: as a digital number such as 23:40 or
                  through an analog display with two or three hands-one to represent the hour, one for the
                  minutes, and one for the seconds.
                     In thb assignment, we want you to design an innovative timepiece for your own use. This
                  could be in the form of a wristwatch, a mantelpiece clock, an electronic clock, or any other
                  kind of clock you fancy. Your goal is to be inventive and exploratory. We have broken this as-       I
                  signment down into the following steps to make it clearer:                                           I
                       (a) Think about the interactive product you are designing: what do you want it to do            I
                            for you? Find 3- potential users and ask them what they would want. Write a list
                                              5
                            of requirements for the clock, together with some usability criteria based on the de-      1
                            finition of usability used in Chapter 1.
                       (b) Look around for similar devices and seek out other sources of inspiration that you
                            might find helpful. Make a note of any findings that are interesting, useful or in-
                            sightful.
                       (c) Sketch out some initial designs for the clock. Try to develop at least two distinct al-
                            ternatives that both meet your set of requirements.
                       (d) Evaluate the two designs, using your usability criteria and by role playing an interac-
                            tion with your sketches. Involve potential users in the evaluation, if possible. Does it
                            do what you want? Is the time or other information being displayed always clear?
                            Design is iterative, so you may want to return to earlier elements of the process be-
                            fore you choose one of your alternatives.
                       Once you have a design with which you are satisfied, you can send it to us and we shall
                  post a representative sample of those we receive to our website. Details of how to format
                  your submission are available from our website.


Summary
                  In this chapter, we have looked at the process of interaction design, i.e., what activities are
                  required in order to design an interactive product, and how lifecycle models show the rela-
                  tionships between these activities. A simple interaction design model consisting of four ac-
                  tivities was introduced and issues surrounding the identification of users, generating
                  alternative designs, and evaluating designs were discussed. Some lifecycle models from soft-
                  ware engineering and HCI were introduced.

                  Key points
                     The interaction design process consists of four basic activities: identifying needs and es-
                     tablishing requirements, developing alternative designs that meet those requirements,
                     building interactive versions of the designs so that they can be communicated and as-
                     sessed, and evaluating them.
Further reading      197

                         Key characteristics of the interaction design process are explicit incorporation of user in-
                         volvement, iteration, and specific usability criteria.
                         Before you can begin to establish requirements, you must understand who the users are
                         and what their goals are in using the device.
                         Looking at others' designs provides useful inspiration and encourages designers to con-
                         sider alternative design solutions, which is key to effectivedesign.
                         Usability criteria, technical feasibility, and users' feedback on prototypes can all be used
                         to choose among alternatives.
                         Prototyping is a useful technique for facilitating user feedback on designs at all stages.
                         Lifecycle models show how development activities relate to one another.
                         The interaction design process is complementary to lifecycle models from other fields.


Further reading
RUDISILL, M., LEWIS, C., POLSON, B., AND MCKAY, D.
                                     P.                    T.     practical book about product user interface design. It ex-
(1995) (eds.) Human-Computer Interface Design: Success            plains how to perform usability tasks throughout develop-
Stories, Emerging Methods, Real-World Context. San Fran-          ment and provides useful examples along the way to
cisco: Morgan Kaufmann. This collection of papers describes       illustrate the techniques. It links in with two software devel-
the application of different approaches to interface design.      opment based methods: rapid prototyping and object-ori-
Included here is an account of the Xerox Star development,        ented software engineering.
some advice on how to choose among methods, and some              SOMMERVILLE, I AN (2001) SofnYare Engineering (6th edi-
practical examples of real-world developments.                    tion). Harlow, UK: Addison-Wesley. If you are interested in
BERGMAN, (2000) (ed.) Information Appliances and Be-
            ERIC                                                  pursuing the software engineering aspects of the lifecycle
yond. San Francisco: Morgan Kaufmann. This book is an             models section, then this book provides a useful overview of
edited collection of papers which report on the experience of     the main models and their purpose.
designing and building a variety of 'information appliances',     NIELSEN, JAKOB (1993) Usability Engineering. San Fran-
i.e., purpose-built computer-based products which perform a       cisco: Morgan Kaufmann. This is a seminal book on usability
specific task. For example, the Palm Pilot, mobile telephones,    engineering. If you want to find out more about the philoso-
a vehicle navigation system, and interactive toys for children.   phy, intent, history, or pragmatics of usability engineering,
MAYHEW, EBORAH J. (1999) The Usability Engineering
            D                                                     then this is a good place to start.
Lifecycle. San Francisco: Morgan Kaufmann. This is a very
198     Chapter 6      The process of interaction design




                                                                 could have. At the Royal College of Art we tried to
                                                                 work with users, but to be inspired by them, and not
                                                                 constrained by what they know is possible.
                                                                      The second stage is thinking, "What should this
                                                                 thing we are designing do?" You could call that con-
                                                                 ceptual design. Then a third stage is thinking how do
                                                                 you represent it, how do you give it form? And then
                                                                 the fourth stage is actually crafting the interface--ex-
                                   Department, developing a      actly what color is this pixel? Is this type the right
program to enable artist-designers to develop and apply their    size, or do you need a size bigger? How much can you
traditional skills and knowledge to the design of all kinds of   get on a screen?-all those things about the details.
interactive products and systems.                                     One of the problems companies have is that the
GC: I believe that things should work but they                   feedback they get is. "I wish it did x." Software looks
should also delight. In the past, when it was really dif-        as if it's designed, not with a basic model of how it
ficult to make things work, that was what people con-            works that is then expressed on the interface, but as a
centrated on. But now it's much easier to make                   load of different functions that are strung together.
software and much easier to make hardware. We've                 The desktop interface, although it has great advan-         I
got a load of technologies but they're still often not           tages, encourages the idea that you have a menu and
                                                                 you can just add a few more bits when people want
designed for people-and they're certainly not very
enjoyable to use. If we think about other things in our          more things. In today's word processors, for instance,
                                                                                                                             ~
life, our clothes, our furniture, the things we eat with,        there isn't a .clear conceptual model about how it          I


we choose what we use because they have a meaning                works, or an underlying theory people can use to rea-
beyond their practical use. Good design is partly                son about why it is not working in the way they expect.
about working really well, but it's also about what
something looks like, what it reminds us of, what it             HS: So in trying to put more effort into the design as-
refers to in our broader cultural environment. It's this         pect of things, do you think we need different people
side that interactive systems haven't really addressed           in the team?
yet. They're only just beginning to become part of               GC: Yes. People in the software field tend to think that
culture. They are not just a tool for professionals any          designers are people who know how to give the product
more, but an environment in which we live.                       form, which of course is one of the things they do. But a
                                                                 graphic designer, for instance, is somebody who also
HS: How do you think we can improve things?                      thinks at a more strategic level, "What is the message
GC: The parallel with architecture is quite an inter-            that these people want to get over and to whom?" and
esting one. In architecture, a great deal of time and            then, "What is the best way to give form to a message
expense is put into the initial design; I don't think            like that?" The part you see is the beautiful design, the
very much money or time is put into the initial design           lovely poster or record sleeve, or elegant book, but be-
of software. If you think of the big software engineer-          hind that is a lot of thinking about how to communicate
ing companies, how many people work in the design                ideas via a particular medium.
side rather than on the implementation side?
                                                                 HS: If you've got people from different disciplines,
HS: When you say design do you mean conceptual                   have you experienced difficulties in communication?
design, or task design, or something else?                       GC: Absolutely. I think that people from different
GC: I mean all phases of design. Firstly there's re-             disciplines have different values, so different results
search-finding out about people. This is not neces-              and different approaches are valued. People have dif-
sarily limited to finding out about what they want               ferent temperaments, too, that have led them to the
necessarily, because if we're designing new things,              different fields in the first place, and they've been
they are probably things people don't even know they             trained in different ways. In my view the big differ-
Interview   199

ence between the way engineers are trained and the         there's also the aesthetic of how it works as well. You
way designers are trained is that engineers are trained    can talk about an elegant way of doing something as
to focus in on a solution from the beginning whereas       well as an elegant look.
designers are trained to focus out to begin with and
then focus in. They focus out and try lots of different    HS: Another trait I've seen in designers is being pro-
alternatives, and they pick some and try them out to       tective of their design.                 hi
see how they go. Then they refine down. This is very       GC: I think that is both a vice and a virtue. In order
hard for both the engineers and the designers because      to keep a design coherent you need to keep a grip on
the designers are thinking the engineers are trying to     the whole and to push it through as a whole. Other-
hone in much too quickly and the engineers can't           wise it can happen that people try to make this a bit
bear the designers faffing about. They are trained to      smaller and cut bits out of that, and so on, and before
get their results in a completely different way.           you know where you are the coherence of the design
                                                           is lost. It is quite difficult for a team to hold a coher-
HS: Is your idea to make each more tolerant of the         ent vision of a design. If you think of other design
other?                                                     fields, like film-making, for instance, there is one di-
GC: Yes, my idea is not to try to make renaissance         rector and everybody accepts that it's the director's
people, as I don't think it's feasible. Very few people    vision. One of the things that's wrong with products
can do everything weU. I think the ideal team is made      like Microsoft Word, for instance, is that there's no
up of people who are really confident and good at what     coherent idea in it that makes you t nk, "Oh yes, I
they do and open-mined enough to realize there are         understand how this fits with that."
very different approaches. There's the scientific ap-           Design is always a balance between things that
proach, the engineering approach, the design approach.     work well and things that look good, and the ideal de-
All three are different and that's their value-you         sign satisfies everything, but in most designs you have
don't want everybody to be the same. The best combi-       to make trade-offs. If you're making a game it's more
nation is where you have engineers who understand          important that people enjoy it and that it looks good
design and designers who understand engineering.           than to worry if some of it's a bit difficult. If you're
     It's important that people know their limitations     making a fighter cockpit then the most important
too. If you realize that you need an ergonomist, then      thing is that pilots don't fall out of the sky, and so this
you go and find one and you hire them to consult for       informs the trade-offs you make. The question is, who
you. So you need to know what you don't know as            decides how to decide the criteria for the tradeoffs
well as what you do.                                       that inevitably need to be made. This is not a matter
                                                           of engineering: it's a matter of values--cultural, emo-
HS: What other aspects of traditional design do you        tional, aesthetic.
think help with interaction design?
G C I think the ability to visualize things. It allows     HS: 1 know this is a controversial issue for some de-
people to make quick prototypes or models or sketches      signers. D o you think users should be part of the de-
so that a group of people can talk about something         sign team?
concrete. I think that's invaluable in the process. I      GC: No, I don't. I think it's an abdication of re-
think also making things that people like is just one of   sponsibility. Users should definitely be involved as a
the things that good designers have a feel for.            source of inspiration, suggesting ideas, evaluating
                                                           proposals-saying, "Yes, we think this would be
HS: D o you mean aesthetically like or like in its         great" or "No, we think this is an appalling idea."
whole sense?                                               But in the end, if designers aren't better than the
GC: In its whole sense. Obviously there's the aes-         general public at designing things, what are they
thetic of what something looks like or feels like but      doing as designers?
Identifying needs and establishing
             requirements
             7.1 Introduction
             7.2 What, how, and why?
                 7.2.1 What are we trying to achieve in this design activity?
                 7.2.2 How can we achieve this?
                 7.2.3 Why bother? The importance of getting it right
                 7.2.4 Why establish requirements?
             7.3 What are requirements?
                 7.3.1 Different kinds of requirements
             7.4 Data gathering
                  7.4.1 Data-gathering techniques
                 7.4.2 Choosing between techniques
                 7.4.3 Some basic data-gathering guidelines
             7.5 Data interpretation and analysis
             7.6 Task description
                 7.6.1 Scenarios
                  7.6.2 Use cases
                 7.6.3 Essential use cases
             7.7 Task analysis
                 7.7.1 Hierarchical Task Analysis (HTA)



7.1   Introduction
             An interaction design project may aim to replace or update an established system,
             or it may aim to develop a totally innovative product with no obvious precedent.
             There may be an initial set of requirements, or the project may have to begin by
             producing a set of requirements from scratch. Whatever the initial situation and
             whatever the aim of the project, the users' needs, requirements, aspirations, and
             expectations have to be discussed, refined, clarified, and probably re-scoped. This
             requires an understanding of, among other things, the users and their capabilities,
             their current tasks and goals, the conditions under which the product will be used,
             and constraints on the product's performance.
202   Chapter 7     Identifying needs and establishing requirements

                       As we discussed in Chapter 6, identifying users' needs is not as straightforward
                  as it sounds. Establishing requirements is also not simply writing a wish list of fea-
                  tures. Given the iterative nature of interaction design, isolating requirements activ-
                  ities from design activities and from evaluation activities is a little artificial, since in
                  practice they are all intertwined: some design will take place while requirements
                  are being established, and the design will evolve through a series of evaluation-re-
                  design cycles. However, each of these activities can be distinguished by its own em-
                  phasis and its own techniques.
                       This chapter provides a more detailed overview of identifying needs and estab-
                  lishing requirements. We introduce different kinds of requirements and explain
                  some useful techniques.
                       The main aims of this chapter are to:
                          Describe different kinds of requirements.
                          Enable you to identify examples of different kinds of requirements from a
                          simple description.
                          Explain how different data-gathering techniques may be used, and enable
                          you to choose among them for a simple description.
                          Enable you to develop a "scenario," a "use case," and an "essential use
                          case" from a simple description.
                          Enable you to perform hierarchical task analysis on a simple description.

7.2   What, how, and why?
7.2.1 What are we trying to achieve in this design activiiy?
                  There are two aims. One aim is to understand as much as possible about the users,
                  their work, and the context of that work, so that the system under development can
                  support them in achieving their goals; this we call "identifying needs." Building on
                  this, our second aim is to produce, from the needs identified, a set of stable require-
                  ments that form a sound basis to move forward into thinking about design. This is
                  not necessarily a major document nor a set of rigid prescriptions, but you need to
                  be sure that it will not change radically in the time it takes to do some design and
                  get feedback on the ideas. Because the end goal is to produce this set of require-
                  ments, we shall sometimes refer to this as the requirements activity.

7.2.2 How can we achieve this?
                  The whole chapter is devoted to explaining how to achieve these aims, but first we
                  give an overview of where we're heading.
                       At the beginning of the requirements activity, we know that we have a lot to
                  find out and to clarify. At the end of the activity we will have a set of stable require-
                  ments that can be moved forward into the design activity. In the middle, there are
                  activities concerned with gathering data, interpreting or analyzing1 the data, and

                  'We use interpretation to mean the initial investigation of the data, while analysis is a more detailed
                  study, using a particular frame of reference and notation.
7.2 What, how, and why?     203

       capturing the findings in a form that can be expressed as requirements. Broadly
       speaking, these activities progress in a sequential manner: first gather some data,
       then interpret it, then extract some requirements from it, but it gets a lot messier
       than this, and the activities influence one another as the process iterates. One of the
       reasons for this is that once you start to analyze data, you may find that you need to
       gather some more data to clarify or confirm some ideas you have. Another reason
       is that the way in which you document your requirements may affect your analysis,
       since it will enable you to identify and express some aspects more easily than oth-
       ers. For example, using a notation which emphasizes the data-flow characteristics
       of a situation will lead the analysis to focus on this aspect rather than, for example,
       on data structure. Analysis requires some kind of framework, theory or hypothesis
       to provide a frame of reference, however informal, and this will inevitably affect
       the requirements you extract. To overcome this, it is important to use a comple-
       mentary set of data-gathering techniques and data-interpretation techniques, and
       to constantly revise and refine the requirements. As we discuss below, there are dif-
       ferent kinds of requirements, and each can be emphasized or de-emphasized by the
       different techniques.
            Identifying needs and establishing requirements is itself an iterative activity in
       which the subactivities inform and refine one another. It does not last for a set
       number of weeks or months and then finish. In practice, requirements evolve and
       develop as the stakeholders interact with designs and see what is possible and how
       certain facilities can help them. And as shown in the lifecycle model in Chapter 6,
       the activity itself will be repeatedly revisited.

Why bother?The importance of getting it right
       An article published in January 2000 (Taylor, 2000) investigated the causes of IT
       project failure. The article admits that "there is no single cause of IT project fail-
       ure," but requirements issues figured highly in the findings. The research involved
       detailed questioning of 38 IT professionals in the UK. When asked about which
       project stages caused failure, respondents mentioned "requirements definition"
       more than any other phase. When asked about cause of failure, "unclear objectives
       and requirements" was mentioned more than anything else, and for critical success
       factors, "clear, detailed requirements" was mentioned most often.
            As stressed in previous chapters, understanding what the product under de-
       velopment should do and ensuring that it supports stakeholders' needs are criti-
       cally important activities in any product development. If the requirements are
       wrong then the product will at best be ignored and at worst be despised by the
       users, and will cause grief and lost productivity. In either case, the implications
       for both producer and customer are serious: anxiety and frustration, lost revenue,
       loss of customer confidence, and so on. However we look at it, getting the re-
       quirements of the product wrong is a very bad move and something to be avoided
       at all costs.
            Taking a user-centered approach to development is one way to address this. If
       users' voices and needs are clearly heard and taken into account, then it is more
       likely that the end result will meet users' needs and expectations. Involving users
       isn't always easy, however, and we explore in more detail how to do this effectively
204   Chapter   7    Identifying needs and establishing requirements

                    in Chapter 9. Here we focus on establishing the requirements, while keeping the
                    emphasis clearly on users' needs.

7.2.4 Why establish requirements?
                    The activity of understanding what a product should do has been given various la-
                                                                                                             I
                    bels-for example, requirements gathering, requirements capture, requirements
                    elicitation, requirements analysis, and requirements engineering. The first two
                    imply that requirements exist out there and we simply need to pick them up or
                    catch them. "Elicitation" implies that "others" (presumably the clients or users)
                    know the requirements and we have to get them to tell us. Requirements, however,
                    are not that easy to identify. You might argue that, in some cases, customers must
                    know what the requirements are because they know the tasks that need to be per-
                    formed, and may have asked for a system to be built in the first place. However,
                    they may not have articulated requirements as yet, and even if they have an initial
                    set of requirements, they probably have not explored them in sufficient detail for
                    development to begin.
                         The term "requirements analysis" is normally used to describe the activity of
                    investigating and analyzing an initial set of requirements that have been gath-
                    ered, elicited, or captured. Analyzing the information gathered is an important
                    step, since it is this interpretation of the facts, rather than the facts themselves,
                    that inspires the design. Requirements engineering is a better term than the oth-
                    ers because it recognizes that developing a set of requirements is an iterative
                    process of evolution and negotiation, and one that needs to be carefully managed
                    and controlled.
                         We chose the term establishing requirements to represent the fact that require-
                    ments arise from the data-gathering and interpretation activities and have been es-
                    tablished from a sound understanding of the users' needs. This also implies that
                    requirements can be justified by and related back to the data collected.

7.3 What are requirements?
                    Before we go any further, we need to explain what we mean by a requirement. In-
                    tuitively, you probably have some understanding of what a requirement is, but we
                    should be clear. A requirement is a statement about an intended product that spec-
                    ifies what it should do or how it should perform. One of the aims of the require-
                    ments activity is to make the requirements as specific, unambiguous, and clear as
                    possible. For example, a requirement for a website might be that the time to down-
                    load any complete page is less than 5 seconds. Another less precise example might
                    be that teenage girls should find the site appealing. In the case of this latter exam-
                    ple, further investigation would be necessary to explore exactly what teenage girls
                    would find appealing. Requirements come in many different forms and at many dif-
                    ferent levels of abstraction, but we need to make sure that the requirements are as
                    clear as possible and that we understand how to tell when they have been fulfilled.
                    The example requirement shown in Figure 7.1 is expressed using a template from
                    the Volere process (Robertson and Robertson, 1999), which you'll hear more
                    about later in this chapter and in Suzanne Robertson's interview at the end of this
7.3 What are requirements?                   205

                     Requirement #: 75               Requirement Type: 9        Eventluse case #: 6

                     Description:   The product &all i s u ean alert ifa matherstation fails to Wnsmit
                     readings

                     Rationale: Failureto tmnsmit madings might i n d i i t h a t the wather stationis faulty
                     and needs maintenance,and that the data usedto predict W n g roads may be incomplete.

                     Source: Road Engineers
                     F i t Criterion: For each watbstat20n the product shall communicatetotheuser when
                     the m k number deach type dreading per hour is not within the manufactud
                             md
                     e p & d range afthe acpedeclnumber of readingsper hour.
                     Customer Satisfaction: 3                  Customer Dissatisfaction: 5
                     Dependencies: None                                      Conflicts: None
                     Supporting Materials: SpeciflcaUonaFRasa WeatherStatbn
                     History: Raised by GBS, 28 July99
                                                                                    Copyr~ght Atlantic 5ysterns Guild
                                                                                            O

               Figure 7.1 An example requirement using the Volere template.*



               chapter. This template requires quite a bit of information about the requirement it-
               self, including something called a "fit criterion," which is a way of measuring when
               the solution meets the requirement. In Chapter 6 we emphasized the need to estab-
               lish specific usability criteria for a product early on in development, and this part of
               the template encourages this.

7.3.1 Different kinds of requirements
              In software engineering, two different kinds of requirements have traditionally
              been identified: functional requirements, which say what the system should do, and
              non-functional requirements, which say what constraints there are on the system
              and its development. For example, a functional requirement for a word processor
              may be that it should support a variety of formatting styles. This requirement
              might then be decomposed into more specific requirements detailing the kind of
              formatting required such as formatting by paragraph, by character, and by docu-
              ment, down to a very specific level such as that character formatting must include
              20 typefaces, each with bold, italic, and standard options. A non-functional re-
              quirement for a word processor might be that it must be able to run on a variety of
              platforms such as PCs, Macs and Unix machines. Another might be that it must be
              able to function on a computer with 64 MB RAM. A different kind of non-func-
              tional requirement would be that it must be delivered in six months' time. This rep-
              resents a constraint on the development activity itself rather than on the product
              being developed.
                  If we consider interaction devices in general, other kinds of non-functional re-
              quirements become relevant such as physical size, weight, color, and production

              *See Figure 7.5 for an explanation of these fields.
206   Chapter   7       identifying needs and establishing requirements

                    feasibility. For example, when the PalmPilot was developed (Bergman and Haitani,
                    2000), an overriding requirement was that it should be physically as small as possible,
                    allowing for the fact that it needed to incorporate batteries and an LCD display. In
                    addition, there were extremely tight constraints on the size of the screen, and that
                    had implications for the number of pixels available to display information. For exam-
                    ple, formatting lines or certain typefaces may become infeasible to use if they take up
                    even one extra pixel. Figure 7.2 shows two screen shots from the PalmPilot develop-
                    ment. As you can see, removing the line at the left-hand side of the display in the top
                    window released sufficient pixels to display the missing "s" in the bottom window.
                          Interaction design requires us to understand the functionality required and the
                    constraints under which the product must operate or be developed. However, instead
                    of referring to all requirements that are not functional as simply "non-functional" re-
                    quirements, we prefer to refine this into further categories. The following is not an
                    exhaustive list of the different requirements we need to be looking out for (see the
                    figure in Suzanne Robertson's interview at the end of this chapter for a more detailed
                    list), nor is it a tight categorization, however, it does illustrate the variety of require-
                    ments that need to be captured.
                          Functional requirements capture what the product should do. For example, a
                    functional requirement for a smart fridge might be that it should be able to tell
                                                                                                                   ~
                    when the butter tray is empty. Understanding the functional requirements for an
                    interactive product is very important.
                          Data requirements capture the type, volatility, sizelamount, persistence, accu-
                    racy, and value of the amounts of the required data. All interactive devices have to
                    handle greater or lesser amounts of data. For example, if the system under consid-




                    /    ~ctive
                              display area
                    Inactive display border




                                                                          Figure 7.2 Every pixel counts.
7.3 What are requirements? 207

eration is to operate in the share-dealing application domain, then the data must be
up-to-date and accurate, and is likely to change many times a day. In the personal
banking domain, data must be accurate, must persist over many months and proba-
bly years, is very valuable, and there is likely to be a lot of it.
     Environmental requirements or context of use refer to the circumstances in
which the interactive product will be expected to operate. Four aspects of the envi-
ronment must be considered when establishing requirements. First is the physical
environment such as how much lighting, noise, and dust is expected in the opera-
tional environment. Will users need to wear protective clothing, such as large
gloves or headgear, that might affect the choice of interaction paradigm? How
crowded is the environment? For example, an ATM operates in a very public phys-
ical environment. Using speech to interact with the customer is therefore likely to
be problematic.
     The second aspect of the environment is the social environment. The issues
raised in Chapter 4 regarding the social aspects of interaction design, such as col-
laboration and coordination, need to be explored in the context of the current de-
velopment. For example, will data need to be shared? If so, does the sharing have
to be synchronous, e.g., does everyone need to be viewing the data at once, or asyn-
chronous, e.g., two people authoring a report take turns in editing and adding to it?
Other factors include the physical location of fellow team members, e.g., do collab-
orators have to communicate across great distances?
     The third aspect is the organizational environment, e.g., how good is user sup-
port likely to be, how easily can it be obtained, and are there facilities or resources
for training? How efficient or stable is the communications infrastructure? How hi-
erarchical is the management? and so on.
     Finally, the technical environment will need to be established: for example,
what technologies will the product run on or need to be compatible with, and what
technological limitations might be relevant?
     User requirements capture the characteristics of the intended user group. In
Chapter 6 we mentioned the relevance of a user's abilities and skills, and these are
an important aspect of user requirements. But in addition to these, a user may be a
novice, an expert, a casual, or a frequent user. This affects the ways in which inter-
action is designed. For example, a novice user will require step-by-step instructions,
probably with prompting, and a constrained interaction backed up with clear infor-
mation. An expert, on the other hand, will require a flexible interaction with more
wide-ranging powers of control. If the user is a frequent user, then it would be im-
portant to provide short cuts such as function keys rather than expecting them to
type long commands or to have to navigate through a menu structure. A casual or
infrequent user, rather like a novice, will require clear instructions and easily un-
derstood prompts and commands, such as a series of menus. The collection of at-
tributes for a "typical user" is called a user profile. Any one device may have a
number of different user profiles.
     Note that user requirements are not the same as usability requirements. We
discuss the latter below.
     Usability requirements capture the usability goals and associated measures for
a particular product. In Chapter 6 we introduced the idea of usability engineering,
208   Chapter 7     Identifying needs and establishing requirements




                  an approach in which specific measures for the usability goals of the product are es-
                  tablished and agreed upon early in the development process and are then revisited,
                  and used to track progress as development proceeds. This both ensures that usabil-
                  ity is given due priority and facilitates progress tracking. In Chapter 1 we described
                  a number of usability goals: effectiveness, efficiency, safety, utility, learnability, and
                  memorability. If we are to follow the philosophy of usability engineering and meet
                  these usability goals, then we must identify the appropriate requirements. Chapter
                  1 also described some user experience goals, such as making products that are fun,
                  enjoyable, pleasurable, aesthetically pleasing, and motivating. As we observed in
                  Chapter 6, it is harder to identify quantifiable measures that allow us to track these
                  qualities, but an understanding of how important each of these is to the current de-
                  velopment should emerge as we learn more about the intended product.
                       Usability requirements are related to other kinds of requirement we must es-
                  tablish, such as the kinds of users expected to interact with the product.
7.3 What are requirements? 209


           uggest one key functional, data, environmental, user and usability requirement for each of
          the following scenarios:
             (a) A system for use in a university's self-service cafeteria that allows users to pay for
                 their food using a credit system.
             (b) A system to control the functioning of a nuclear power plant.
             (c) A system to support distributed design teams, e.g., for car design.


Comment   You may have come up with alternative suggestions; these are indicative of the kinds of an-
          swer we might expect.
             (a) Functional: The system will calculate the total cost of purchases.
                 Data: The system must have access to the price of products in the cafeteria.
                 Environmental: Cafeteria users will be carrying a tray and will most likely be in a rea-
                 sonable rush. The physical environment will be noisy and busy, and users may be
                 talking with friends and colleagues while using the system.
                 User: The majority of users are likely to be under 25 and comfortable dealing with
                 technology.
                 Usability: The system needs to be simple so that new users can use the system imme-
                 diately, and memorable for more frequent users. Users won't want to wait around for
                 the system to finish processing, so it needs to be efficient and to be able to deal easily
                 with user errors.

             (b) Functional:The system will be able to monitor the temperature of the reactors.
                 Data: The system will need access to temperature readings.
                 Environmental: The physical environment is likely to be uncluttered and to impose
                 few restrictions on the console itself unless there is a need to wear protective clothing
                 (depending on where the console is to be located).
                 User: The user is likely to be a well-trained engineer or scientist who is competent to
                 handle technology.
                 Usability: Outputs from the system, especially warning signals and gauges, must be
                 clear and unambiguous.

             (c) Functional: The system will be able to communicate information between remote
                 sites.
                 Data: The system must have access to design information that will be captured in a
                 common file format (such as AutoCAD).
                 Environmental: Physically distributed over a wide area. Files and other electronic
                 media need to be shared. The system must comply with available communication
                 protocols and be compatible with network technologies.
                 User: Professional designers, who may be worried about technology but who are
                 likely to be prepared to spend time learning a system that will help them perform
                 their jobs better. The design team is likely to be multi-lingual.
                 Usability: Keeping transmission error rate low is likely to be of high priority.
21 0   Chapter 7    Identifying needs and establishing requirements

7.4    Data gathering
                   So how do we go about determining requirements? Data gathering is an important
                   part of the requirements activity and also of evaluation. In this chapter, we concen-
                   trate on data gathering for the requirements activity. Further information about
                   the techniques we present here and how to apply them in evaluation is in Chapters
                   12 through 14.
                       The purpose of data gathering is tr, collect sufficient, relevant, and appropriate
                   data so that a set of stable requirements can be produced. Even if a set of initial re-
                   quirements exists, data gathering will be required to expand, clarify, and confirm
                   those initial requirements. Data gathering needs to cover a wide spectrum of issues
                   because the different kinds of requirement we need to establish are quite varied, as
                   we saw above. We need to find out about the tasks that users currently perform and
                   their associated goals, the context in which the tasks arg performed, and the ratio-
                   nale for why things are the way they are.
                       There is essentially a small number of basic techniques for data gathering, but
                   they are flexible and can be combined and extended in many ways; this makes the
                                                                                                              I
                   possibilities for data gathering very varied, to give full leverage on understanding the
                   variety of requirements we seek. These techniques are questionnaires, interviews,
                   focus groups and workshops, naturalistic observation, and studying documentation.
                   Some of them, such as the interview, require active participation from stakeholders,
                   while others, such as studying documentation, require no involvement at all. In addi-
                   tion, various props can be used in data-gathering sessions, such as descriptions of
                   common tqsks and prototypes of possible new functionality. See Section 7.6 and
                   Chapter 8 for further information on how to develop these props. Box 7.2 gives an
7.4 Data gathering 21 1

              example of how different methods and props can be combined to gain maximum ad-
              vantage, while Box 7.3 describes a very different approach aimed at prompting inspi-
              ration rather than simple data gathering.

7.4.1 Data-gathering techniques                                                                          I
              In addition to the most common forms of data-gathering techniques listed above, if
             a system is currently operational then data logging may be used. This involves in-
             strumenting the software to record users' activity in a log that can be examined
             later. Each of the techniques will yield different kinds of data and are useful in dif-
             ferent circumstances. In most cases, they are also used in evaluation, and how to
             implement them is described in Chapters 12 and 13. Here we describe what each
              technique involves and explain the circumstances for which they are most suitable, in
             the context of the requirements activity. The discussion is summarized in Table 7.1
             on page 214.
                  Questionnaires. Most of us are familiar with questionnaires. They are a series         I


             of questions designed to elicit specific information from us. The questions may re-
             quire different kinds of answers: some require a simple YESINO, others ask us to
             choose from a set of pre-supplied answers, and others ask for a longer response or
             comment. Sometimes questionnaires are sent in electronic form and arrive via
              email or are posted on a website, and sometimes they are given to us on paper. In
             most cases the questionnaire is administered at a distance, i.e., no one is there to
             help you answer the questions or to explain what they mean.
                  Well-designed questionnaires are good at getting answers to specific questions
             from a large group of people, and especially if that group of people is spread across
             a wide geographical area, making it infeasible to visit them all. Questionnaires are
             often used in conjunction with other techniques. For example, information ob-
             tained through interviews might be corroborated by sending a questionnaire to a
             wider group of stakeholders to confirm the conclusions.
                  Interviews. Interviews involve asking someone a set of questions. Often inter-
             views are face-to-face, but they don't have to be. Companies spend large amounts of
             money conducting telephone interviews with their customers finding out what they
             like or don't like about their service. If interviewed in their own work or home set-
             ting, people may find it easier to talk about their activities by showing the interviewer
             what they do and what systems and other artifacts they use. The context can also trig-
             ger them to remember certain things, for example a problem they have downloading
             email, which they would not have recalled had the interview taken place elsewhere.
                  Interviews can be broadly classified as structured, unstructured or semi-
             structured, depending on how rigorously the interviewer sticks to a prepared set of
             questions.
                  In the requirements activity, interviews are good at getting people to explore
             issues and unstructured interviews are often used early on to elicit scenarios (see
             Section 7.6 below). Interacting with a human rather than a sterile, impersonal piece
             of paper or electronic questionnaire encourages people to respond, and can make the
             exercise more pleasurable. In the context of establishing requirements, it is equally
             important for development team members to meet stakeholders and for users to feel
             involved. This on its own may be sufficient motivation to arrange interviews.
21 2   Chapter 7   Identifying needs and establishing requirements
7.4 Data gathering    213




     However, interviews are time consuming and it may not be feasible to visit all
the people you'd like to see.
     Focus groups and workshops. Interviews tend to be one on one, and elicit only
one person's perspective. As an alternative or as corroboration, it can be very re-
vealing to get a group of stakeholders together to discuss issues and requirements.
These sessions can be very structured with set topics for discussion, or can be un-
structured. In this latter case, a facilitator is required who can keep the discussion
on track and can provide the necessary focus or redirection when appropriate. In
some development methods, workshops have become very formalized. For exam-
ple, the workshops used in Joint Application Development (Wood and Silver,
1995) are very structured, and their contents and participants are all prescribed.
     In the requirements activity, focus groups and workshops are good at gaining a
consensus view and/or highlighting areas of conflict and disagreement. On a social
level it also helps for stakeholders to meet designers and each other, and to express
their views in public. It is not uncommon for one set of stakeholders to be unaware
that their views are different from another's even though they are in the same orga-
nization. On the other hand, these sessions need to be structured carefully and the
participants need to be chosen carefully. It is easy for one or a few people to domi-
nate discussions, especially if they have control, higher status, or influence over the
other participants.
     Naturalistic observation. It can be very difficult for humans to explain what
they do or to even describe accurately how they achieve a task. So it is very un-
likely that a designer will get a full and true story from stakeholders by using any of
the techniques listed above. The scenarios and other props used in interviews and
workshops will help prompt people to be more accurate in their descriptions, but
observation provides a richer view. Observation involves spending some time with
the stakeholders as they go about their day-to-day tasks, observing work as it hap-
pens, in its natural setting. A member of the design team shadows a stakeholder,
making notes, asking questions (but not too many), and observing what is being
done in the natural context of the activity. This is an invaluable way to gain insights
into the tasks of the stakeholders that can complement other investigations. The
level of involvement of the observer in the work being observed is variable along a
spectrum with no involvement (outside observation) at one end and full involve-
ment (participant observation) at the other.
214     Chapter 7    Identifying needs and establishing requirements

Table 7.1 Overview of data-gathering techniques used in the requirements activity
                                         -     -     -   -


                                                                                                   Detail for
Technique           Good for          Kind of data       Advantages            Disadvantages       designing in
Questionnaires      Answering         Quantitative       Can reach many        The design is       Chapter 13
                    specific          and qualitative    people with low       crucial. Response
                    questions         data               resource              rate may be low.
                                                                               Responses may
                                                                               not be what
                                                                               you want
Interviews          Exploring         Some               Interviewer can       Time consuming.     Chapter 13
                    issues            quantitative       guide interviewee     Artificial
                                      but mostly         if necessary.         environment
                                      qualitative        Encourages            may intimidate
                                      data               contact between       interviewee
                                                         developers and
                                                         users
                                                                                                                  I
Focus groups        Collecting        Some               Highlights areas      Possibility of      Chapter 13
and                 multiple          quantitative       of consensus          dominant
workshops           viewpoints        but mostly         and conflict.         characters
                                      qualitative        Encourages contact
                                      data               between developers
                                                         and users
Na tutalistic       Understanding     Qualitative        Observing actual      Very time           Chapter 12
observation         context of user                      work gives            consuming.
                    activity                             insights that other   Huge amounts
                                                         techniques            of data
                                                         can't give
Studying            Learning about    Quantitative       No time               Day-to-day          N/A
documentation       procedures,                          commitment            working will
                    regulations                          from users            differ from
                    and standards                        required              documented
                                                                               procedures




                         Not only can naturalistic observation help fill in details and nuances that simply
                    did not come out of the other investigations, it also provides context for tasks. Con-
                    textualizing the work or behavior that a device is to support provides data that
                    other techniques cannot, and from which we can evolve requirements.
                         In the requirements activity, observation is good for understanding the nature
                    of the tasks and the context in which they are performed. However, it requires
                    more time and commitment from a member of the design team, and it can result in
                    a huge amount of data.
                         Studying documentation. Procedures and rules are often written down in manu-
                    als and these are a good source of data about the steps involved in an activity and
7.4   Data gathering   215

             any regulations governing a task. Such documentation should not be used as the
             only source, however, as everyday practices may augment them and may have been
             devised by those concerned to make the procedures work in a practical setting.
             Taking a user-centered view of development means that we are interested in the
             everyday practices rather than an idealized account.
                  Other documentation that might be studied includes diaries or job logs that are
             written by the stakeholders during the course of their work.
                 In the requirements activity, studying documentation is good for understanding
             legislation and getting some background information on the work. It also doesn't in-
             volve stakeholder time, which is a limiting factor on the other techniques.

                                                                                                            I
7.4.2 Choosing between techniques
             Table 7.1 provides some information to help you choose a set of techniques for a
             specific project. It tells you the kind of information you can get, e.g., answers to
             specific questions, and the kind of data it yields, e.g., qualitative or quantitative.
             It also includes some advantages and disadvantages for each technique. The kind
             of information you want will probably be determined by where you are in the
             cycle of iterations. For example, at the beginning of the project you may not
             have any specific questions that need answering, so it's better to spend time ex-
             ploring issues through interviews rather than sending out questionnaires.
             Whether you want qualitative or quantitative data may also be affected by the
             point in development you have reached, but is also influenced by the kind of
             analysis you need to do.
                  The resources available will influence your choice, too. For example, sending
             out questionnaires nationwide requires sufficient time, money, and people to do a
             good design, try it out (i.e., pilot it), issue it, collate the results and analyze them. If
             you only have three weeks and no one on the team has designed a survey before,
             then this is unlikely to be a success.
                  Finally, the location and accessibility of the stakeholders need to be consid-
             ered. It may be attractive to run a workshop for a large group of stakeholders, but
             if they are spread across a wide geographical area, it is unlikely to be practical.
                  Olson and Moran (1996) suggest that choosing between data-gathering tech-
             niques rests on two issues: the nature of the data gathering technique itself and the
             task to be studied.
                  Data-gathering techniques differ in two main respects:
                 1. The amount of time they take and the level of detail and risk associated
                    with the findings. For example, they claim that a naturalistic observation
                    will take two days of effort and three months of training, while interviews
                    take one day of effort and one month of training (p. 276).
                 2. The knowledge the analyst must hqye about basic cognitive processes.
                 Tasks can be classified along three scales:
                 1. Is the task a set of sequential steps or is it a rapidly overlapping series of
                    subtasks?
1   21 6   Chapter 7    Identifying needs and establishing requirements                                             I
                           2. Does the task involve high information content with complex visual displays
                              to be interpreted, or low information content where simple signals are suffi-
                              cient to alert the user?
                           3. Is the task intended to be performed by a layman without much training or
                              by a practitioner skilled in the task domain?
                       Box 7.4 summarizes two examples to show how techniques can be chosen using
                       these dimensions.
                           So, when choosing between techniques for data gathering in the requirements
                       activity, you need to consider the nature of the technique, the knowledge required
                       of the analyst, the nature of the task to be studied, the availability of stakeholders
                       and other resources, and the kind of information you need.

    7.4.3 Some basic data-gathering guidelines
                       Organizing your first data-gathering session may seem daunting, but if you plan the
                                                                                                                I
                                                                                                                I


                       sessions well, and know what your objectives are then this will increase your confi-
                       dence and make the whole exercise a lot more comfortable. Below we list some             ~
                       data-gathering guidelines to support the requirements activity.
                             Focus on identifying the stakeholders' needs. This may be achieved by study-
                             ing their existing behavior and support tools, or by looking at other products,
7 4 Data gathering
                                                      .                    217

such as a competitor's product or an earlier release of your product under
development.
Involve all the stakeholder groups. It is very important to make sure that
you get all the views of the right people. This may seem an obvious com-
ment, but it is easy to overlook certain sections of the stakeholder popula-
tion if you're not careful. We were told about one case where a large
distribution and logistics company reimplemented their software systems
and were very careful to involve all the clerical, managerial, and warehouse
staff in their development process, but on the day the system went live, the
productivity of the operation fell by 50%. On investigation it was found that
the bottleneck was not in their own company, but in the suppliers' ware-
houses that had to interact with the new system. No one had asked them
how they worked, and the new system was incompatible with their working
routines.
Involving only one representative from each stakeholder group is not
enough, especially if the group is large. Everyone you involve in data gather-
ing will have their own perspective on the situation, the task, their job and
how others interact with them. If you only involve one representative stake-
holder then you will only get a narrow view.
Use a combination of data gathering techniques. Each technique will yield a
certain kind of information, from a certain perspective. Using different tech-
niques is one way of making sure that you get different perspectives (called
triangulation, see Chapter lo), and corroboration of findings. For example,
use observation to understand the context of task performance, interviews to
target specific user groups, questionnaires to reach a wider population, and
focus groups to build a consensus view.
Support the data-gathering sessions with suitable props, such as task descrip-
tions and prototypes if available. Since the requirements activity is iterative,
prototypes or descriptions generated during one session may be reused or
revisited in another with the same or a different set of stakeholders. Using
props will help to jog people's memories and act as a focus for discussions.
Run a pilot session if possible to ensure that your data-gathering session is
likely to go as planned. This is particularly important for questionnaires
where there is no one to help the users with ambiguities or other difficulties,
but also applies to interview questions, workshop formats, and props. Any
data collected during pilot sessions cannot be treated equally with other
data, so don't mix them up. After running the pilot it is likely that some
changes will be needed before running the session "for real."
In an ideal world, you would understand what you are looking for and what
kinds of analysis you want to do, and design the data-capture exercise to col-
lect the data you want. However, data gathering is an expensive and time-
consuming activity that is often tightly constrained on resources. Sometimes
pragmatic constraints mean that you have to make compromises on the ideal
21 8   Chapter 7    Identifying needs and establishing requirements

                          situation, but before you can make sensible compromises, you need to know
                          what you'd really like.
                          How you record the data during a face-to-face data-gathering session is just
                          as important as the technique(s) you use. Video recording, audio recording,
                          and note taking are the main options. Video and audio recording provide
                          the most accurate record of the session, but they can generate huge amounts
                          of data. You also need to decide on practical issues that can have profound
                          effects on the data collected, such as where to position the camera. Note tak-
                          ing can be harder unless this is the person's only role in the session, but note
                          taking always involves an element of interpretation. Taking impartial, accu-
                          rate notes is difficult but can be improved with practice.


                   For each of the situations below, consider what kinds of data gathering would be appropri-
                   ate and how you might use the different techniques introduced above. You should assume
                   that you are at the beginning of the development and that you have sufficient time and re-
                   sources to use any of the techniques.
                      (a) You are developing a new software system to support a small accountant's office.
                          There is a system running already with which the users are reasonably happy, but it is
                          looking dated and needs upgrading.
                      (b) You are looking to develop an innovative device for diabetes sufferers to help them
                          record and monitor their blood sugar levels. There are some products already on the
                          market, but they tend to be large and unwieldy. Many diabetes sufferers rely on man-
                          ual recording and monitoring methods involving a ritual with a needle, some chemi-
                          cals, and a written scale.
                      (c) You are developing a website for a young person's fashion e-commerce site.

Comment               (a) As this is a small office, there are likely to be few stakeholders. Some period of obser-
                          vation is always important to understand the context of the new and the old system.
                          Interviewing the staff rather than giving them questionnaires is likely to be appropri-
                          ate because there aren't very many of them, and this will yield richer data and give
                          the developers a chance to meet the users. Accountancy is regulated by a variety of
                          laws and it would also pay to look at documentation to understand some of the con-
                          straints from this direction. So we would suggest a series of interviews with the main
                          users to understand the positive and negative features of the existing system, a short
                          observation session to understand the context of the system, and a study of documen-
                          tation surrounding the regulations.
                   (b)    In this case, your user group is spread about, so talking to all of them is infeasible.
                          However, it is important to interview some, possibly at a local diabetic clinic, making
                          sure that you have a representative sample. And you would need to observe the ex-
                          isting manual operation to understand what is required. A further group of stake-
                          holders would be those who use or have used the other products on the market.
                          These stakeholders can be questioned to find out the problems with the existing de-
                          vices so that the new device can improve on them. A questionnaire sent to a wider
                          group in order to back up the findings from the interviews would be appropriate, as
                          might a focus group where possible.
7.5 Data interpretation and analysis

                    (c) Again, you are not going to be able to interview all your users. In fact, the user group
                                                                                                                         219
                                                                                                                               I
                        may not be very well defined. Interviews backed up by questionnaires and focus
                        groups would be appropriate. Also, in this case, identlfy~ngsimilar or competing sites
                        and evaluating them will help provide information for producing an improved product.


                     The problems of choosing among data-gathering techniques for the require-
                 ments activity have been recognized in requirements engineering. For example
                 ACRE (Acquisition REquirements) is a quite extensive set of guidance to help re-
                 quirements engineers choose between a variety of techniques for data gathering,
                 including interviews and observation. The framework also includes other tech-
                 niques from software engineering, knowledge engineering, and the social sciences.                             I
                 For more information on this framework, see Maiden and Rugg (1996).

I   7.5   Data interpretation and analysis
                 Once the first data-gathering session has been conducted, interpretation and analy-
                 sis can begin. It's a good idea to start interpretation as soon after the gathering ses-
                 sion as possible. The experience will be fresh in the minds of the participants and
                 this can help overcome any bias caused by the recording approach. It is also a good
                 idea to discuss the findings with others to get a variety of perspectives on the data.
                      The aim of the interpretation is to begin structuring and recording descriptions
                 of requirements. Using a template such as the one suggested in Volere (Figure 7.5)
                 highlights the kinds of information you should be looking for and guides the data
                 interpretation and analysis. Note that many of the entries are concerned with trace-


                      Requirement #: Unique IdRequirement Type: Tempbte Eventluse case #: Origin of
                                                                 section           the requimmmt
                      Description: Aoneserrtencsstatemerrtoftheim oftherequinment

                      Rationale: W y isthe requiament coneideredimportantor necesea@
                                  h

                      Source: Who raised UIie r e q u i m d

                      F i t Critierion: A qa
                                           u-         oftherequirement ueedtodetemrine*thedut;bn
                      meek the requirement.
                      Customer Satisfaction: Meaeumthe             Customer Dissatisfaction: UnhappirwwiFitis
                               ddretoha.ethe    uhevlt                                        not implemented
                                             i   m   k
                      Dependencies: Oharequiments               a changeefkit       Conflicts: %a
                                                                                                -t
                                                                                                h
                                                                                                t
                                                                                                                ictuliione
                      Supporting Materials: &ntatoeupprtJng infwmation
                      H i s t o y : Originand changes tothe requirrsment                 Volede
                                                                                    Copyright 0 Atlantic Systems Guild


                Figure 7.5 The Volere shell for requirements.
220   Chapter   7    Identifying needs and establishing requirements

                    ability. For example, who raised the requirement and where can more information
                    about it be found. This information may be captured in documents or in diagrams
                    drawn during analysis. Providing links with raw data as captured on video or audio
                    recordings can be harder, although just as important. Haumer et al. (2000) have de-
                    veloped a tool that records concrete scenarios using video, speech, and graphic
                    media, and relates these recorded observations to elements of a corresponding de-
                    sign. This helps designers to keep track of context and usage information while an-
                    alyzing and designing for the system.
                         More focused analysis of the data will follow initial interpretation. Different
                    techniques and notations exist for investigating different aspects of the system that
                    will in turn give rise to the different requirements. For example, functional require-
                    ments have traditionally been analyzed and documented using data-flow diagrams,




          Book Flinht
          ~~
          Flight details entered
          Fare option displayed
          Fare chosen
          If new customer
                Enter details
           End If                                    I                  customer details
                                                     i
          Display customer details
          Passenger details entered
          Adcl 1 to NumberOfBookings
          Booking confirmed by email

                    Figure 7.6 (a) Class diagram and (b) sequence diagram that might be used to analyze and
                    capture static structure and dynamic behavior (respectively) if the system is being developed
                    using an object-oriented approach.
7.5 Data interpretation and analysis   221

state charts, work-flow charts, etc. (see e.g., Sommerville, 2001). Data requirements
can be expressed using entity-relationship diagrams, for example. If the develop-
ment is to take an object-oriented approach, then functional and data requirements
are combined in class diagrams, with behavior being expressed in state charts and
sequence diagrams, among others. Examples of two such diagrams representing a
portion of a holiday booking system are given in Figure 7.6. These diagrams can be
linked to the requirements through the "Eventluse case" field in the template in
Figure 7.5.
     We don't go into the detail of how diagrams such as these might be developed,
as whole books are dedicated to them. Instead, we describe four techniques that
have a user-centered focus and are used to understand users' goals and tasks: sce-
narios, use cases, essential use cases, and task analysis. All of them may be pro-
duced during data-gathering sessions, and their output used as props in subsequent
data-gathering sessions.
    The requirements activity iterates a number of times before a set of stable re-
quirements evolves. As more interpretation and analysis techniques are applied, a
deeper understanding of requirements will emerge and the requirements descrip-           I
tions will expand and clarify.                                                           I




                                                  -
"oltag,well, I think we all get the g i d of
where sev?vnj was going with the site map.'1
222   Chapter 7    Identifying needs and establishing requirements




7.6 Task description
                  Descriptions of business tasks have been used within software development for
                  many years. During the 1970s and 1980s,"business scenarios" were commonly used
                  as the basis for acceptance testing, i.e., the last testing stage before the customer
                  paid the final fee installment and "accepted" the system. In more recent years, due
                  to the emphasis on involving users earlier in the development lifecycle and the
                  large number of new interaction devices now being developed, task descriptions
                  are used throughout development, from early requirements activities through pro-
                  totyping, evaluation, and testing. Consequently, more time and effort has been put
                  into understanding how best to structure and use them.
                      There are different flavors of task descriptions, and we shall introduce three of
                  them here: scenarios, use cases, and essential use cases. Each of these may be used
                  to describe either existing tasks or envisioned tasks with a new device. They are not
                  mutually exclusive and are often used in combination to capture different perspec-
                  tives or to document different stages during the development lifecycle.
                      In this section and the next, we use two main examples to illustrate the applica-
                  tion of techniques. These are a library catalog service and a shared diary or calen-
                  dar system. The library catalog is similar to any you might find in a public or
7.6 Task description 223

             university library, and allows you to access the details of books held in the library:
             for example, to search for books by a particular author, or by subject, to identify
             the location of a book you want to borrow, and to check on a member's current
             loans and status.
                 The shared calendar application is to support a university department. Mem-
             bers of the department currently keep their own calendars and communicate their
             whereabouts to the department's administrator, who keeps the information in a
             central paper calendar. Unfortunately, the central calendar and the individuals' cal-
             endars easily become out of step as members of the department arrange their own
             engagements. It is hoped that having a shared calendar in which individuals can
             enter their own engagements will help overcome the confusion that often ensues
             due to this mismatch. Shared calendars raise some interesting aspects of collabora-
             tion and coordination, as discussed in Chapter 4, Box 4.2. In particular, people
             don't usually like to have their time filled with appointments without their consent,
             and so a mechanism is needed for people to protect some time from being booked
             by others.


7.6.1 Scenarios
             A scenario is an "informal narrative description" (Carroll, 2000). It describes
             human activities or tasks in a story that allows exploration and discussion of con-
             texts, needs, and requirements. It does not explicitly describe the use of software or
             other technological support to achieve a task. Using the vocabulary and phrasing of
             users means that the scenarios can be understood by the stakeholders, and they are
             able to participate fully in the development process. In fact, the construction of sce-
             narios by stakeholders is often the first step in establishing requirements.
                 Imagine that you have just been invited along to talk to a group of users who
             perform data entry for a university admissions office. You walk in, and are greeted
             by Sandy, the supervisor, who starts by saying something like:
                  Well, this is where the admissions forms arrive. We receive about 50 a day during the
                  peak application period. Brian here opens the forms and checks that they are complete,
                  that is, that all the documentation has been included. You see, we require copies of
                  relevant school exam results or evidence of work experience before we can process the
                  application. Depending on the result of this initial inspection, the forms getpassed t o . . . .
                 Telling stories is a natural way for people to explain what they are doing or
            how to achieve something. It is therefore something that stakeholders can easily re-
            late to. The focus of such stories is also naturally likely to be about what the users
            are trying to achieve, i.e., their goals. Understanding why people do things as they
            do and what they are trying to achieve in the process allows us to concentrate on
            the human activity rather than interaction with technology.
                This is not to say that the human activity should be preserved and reflected in
            any new device we are trying to develop, but understanding what people do now is
            a good starting point for exploring the constraints, contexts, irritations, facilitators
            and so on under which the humans operate. It also allows us to identify the stake-
            holders and the products involved in the activity. Repeated reference to a particular
224   Chapter 7    Identifying needs and establishing requirements

                  form, book, behavior, or location indicates that this is somehow central to the activ-
                  ity being performed and that we should take care to understand what it is and the
                  role it plays.
                       A scenario that might be generated by potential users of a library catalog ser-
                  vice is given below:
                       Say I want to find a book by George Jeffries. I don't remember the title but I know it was
                       published before 1995. I go to the catalog and enter m y user password. I don't
                      understand why I have to d o this, since I can't get into the library to use the catalog
                       without passing through security gates. However, once m y password has been confirmed,
                       I a m given a choice of searching b y author or b y date, but not the combination of author
                      and date. I tend to choose the author option because the date search usually identifies too
                      many entries. After about 30 seconds the catalog returns saying that there are n o entries
                       for George Jeffries and showing me the list of entries closest to the one I've sought. When
                       I see the list, I realize that in fact I got the author's first name wrong and it's Gregory, not
                      George. I choose the entry I want and the system displays the location to tell me where to
                      find the book.
                       In this limited scenario of existing system use, there are some things of note:
                  the importance of getting the author's name right, the annoyance concerning the
                  need to enter a password, the lack of flexible search possibilities, and the usefulness
                  of showing a list of similar entries when an exact match isn't clear. These are all in-
                  dicators of potential design choices for the new catalog system. The scenario also
                  tells us one (possibly common) use of the catalog system: to search for a book by an
                  author when we don't know the title.
                       The level of detail present in a scenario varies, and there is no particular guid-
                  ance about how much or how little should be included. Often scenarios are gener-
                  ated during workshop or interview sessions to help explain or discuss some aspect
                  of the user's goals. They can be used to imagine potential uses of a device as well as
                  to capture existing behavior. They are not intended to capture a full set of require-
                  ments, but are a very personalized account, offering only one perspective.
                       A simple scenario for the shared-calendar system that was elicited in an infor-
                  mal interview describes how one function of the calendar might work: to arrange a
                  meeting between several people.
                      The user types in all the names of the meeting participants together with some constraints
                      such as the length of the meeting, roughly when the meeting needs to take place, and
                      possibly where it needs to take place. The system then checks against the individuals'
                      calendars and the central departmental calendar and presents the user with a series of
                      dates o n which everyone is free all at the same time. Then the meeting could be confirmed
                      and written into peoples' calendars. Some people, though, will want to be asked before
                      the calendar entry is made. Perhaps the system could email them automatically and ask
                      that it be conjirmed before it is written in."
                      An example of a futuristic scenario, devised by Symbian, showing one vision of
                  how wireless devices might be used in the future is shown in Figure 7.7.
                      In this chapter, we refer to scenarios only in their role of helping to establish
                  requirements. They have a continuing role in the design process that we shall re-
                  turn to in Chapter 8.
7.6 Task description 225

                  A businesswoman traveling to Paris fm US
                                                       the

                   A businesswoman is traveling from San Francisco to Paris o n a business trip. O n her
                   way to the airport she narrowly misses a trafJic delay. She avoids the trafic jam because
                   her Srnartphone beeps, then sends her a text message warning her of the trafJic accident
                   on her normal route from her ofice to the airport.
                      Upon arrival at the airport, the location-sensitive Srnartphone not@es the airline that
                   she will be checking in shortly, and an airline employee immediately finds her and takes
                   her baggage. Her on-screen display shows that her flight is o n time and provides a map to
                   her gate. O n her way to the gate she downloads tourist information such as maps and
                   events occurring in Paris during her stay.
                      Once she finds her seat on the plane, she begins to review all the information she has
                   downloaded. She notices than an opera is playing in Paris that she has been wanting to
                   see, and she books her ticket. Her Srnartphone can make the booking using her credit
                   card number, which it has stored in its memory. This means that she does not need to re-
                   enter the credit card number each time she uses wcommerce (i.e., wireless commerce),
                   facilities. The security written into the sofnvare of the Smartphone protects her against
                   fraud.
                      The Srnartphone stores the opera booking along with several emails that she writes on
                   the plane. A s soon as she steps off the plane, the Smartphone makes the calls and
                   automatically sends the emails.
                      A s she leaves the airport, a map appears on her Smartphone's display, guiding her to
                   her hotel.
              Figure 7.7 A scenario showing how two technologies, a Smartphone and wcommerce
              (wireless commerce), might be used.


                   Capturing scenarios of existing behavior and goals helps in determining new
              scenarios and hence in gathering data useful for establishing the new requirements.
              The next activity is intended to help you appreciate how a scenario of existing ac-
              tivity can help identify the requirements for a future application to support the
              same user goal.

I
              Write a scenario of how you would currently go about choosing a new car. This should be a
I             brand new car, not a second-hand car. Having written it, think about the important aspects
1             of the task, your priorities and preferences. Then imagine a new interactive product that
1             supports you in your goal and takes account of these issues. Write a futuristic scenario show-
1             ing how this product would support you.

I   Comment   The following example is a fairly generic view of this process. Yours will be different, but
I             you may have identified similar concerns and priorities.
                  The first thing I would d o is to observe cars on the road and identify ones that I like the
                  look o j This may take some weeks. I would also try to identify any consumer reports that
                  will include an assessment of car performance. Hopefully, these initial activities will result
                  in m e identifying a likely car to buy. The next stage will be to visit a car showroom and
                  see at first hand what the car looks like, and how comfortable it is to sit in. If I still feel
                  positive about the car, then I'll ask for a test drive. Even a short test drive helps m e to
226   Chapter   7     Identifying needs and establishing requirements

                        understand how well the car handles, how noisy is the engine, how smooth are the gear
                        changes, and so on. Once I've driven the car myself, I can usually tell whether I would
                        like to own it or not.
                       From this scenario, it seems that there are broadly two stages involved in the task: re-
                    searching the different cars available, and gaining first-hand experience of potential pur-
                    chases. In the former, observing cars on the road and getting actual and maybe critical
                    information about them has been highlighted. In the latter, the test drive seems to be quite
                    significant.
                       For many people buying a new car, the smell and touch of the car's exterior and interior,
                    and the driving experience itself are often the most influential factors in choosing a particu-
                    lar model. Other more factual attributes such as fuel consumption, amount of room inside,
                    colors available, and price may rule out certain makes and models, but at the end of the day,
                    cars are often chosen according to how easy they are to handle and how comfortable they
                    are inside. This makes the test drive a vital part of the process of choosing a new car.
                       Taking these comments into account, we've come up with the following scenario describ-
                    ing how a new "one-stop ' shop for new cars might operate. This product makes use of im-
                                              7


                    mersive virtual reality technology that is already used for other applications such as
                    designing buildings and training bomb disposal experts.
                        I want to buy a new car, so I go down the street to the local "one-stop car shop. " The
                        shop has a number of booths in it, and when I g o in I'm directed to an empty booth.
                        Inside there's a large seat that reminds m e of a racing car seat, and in front of that a large
                        display screen, keyboard and printer. A s Isit down, the display jumps into life. It offers
                        m e the options of browsing through video clips of new cars which have been released in
                        the last two years, or of searching through video clips of cars by make, by model, or by
                        year. I can choose as many of these as I like. I also have the option of searching through
                        and reading or printing consumer reports that have been produced about the cars I'm
                        interested in. I spend about an hour looking through materials and deciding that I'd like
                        to experience a couple that look promising. I can of course go away and come back later,
                        but I'd like to have a go with some of those I've found. B y flicking a switch in m y
                        armrest, Z can call u p the options for virtual reality simulations for any of the cars I'm
                        interested in. These are really great as they allow me to take the car for a test drive,
                        simulating everything about the driving experience in this car, from road holding, to
                        windscreen display, and front pedal pressure to dash board layout. It even re-creates the
                        atmosphere of being inside the car.
                       Note that the product includes support for the two research activities mentioned in the
                    original scenario, as well as the important test drive facility. This would be only a first cut
                    scenario which would then be refined through discussion and further investigation.


7.6.2 Use cases
                    Use cases also focus on user goals, but the emphasis here is on a user-system inter-
                    action rather than the user's task itself. They were originally introduced through
                    the object-oriented community in the book Object-Oriented Sofiware Engineering
                    (Jacobson et al., 1992). Although their focus is specifically on the interaction be-
                    tween the user (called an "actor'') and a software system, the stress is still very
                    much on the user's perspective, not the system's. The term "scenario" is also used
                    in the context of use cases. In this context, it represents one path through the use
7.6 Task description 227

case, i.e,, one particular set of conditions. This meaning is consistent with the defin-
                                                                                           I
ition given above in that they both represent one specific example of behavior.
     A use case is associated with an actor, and it is the actor's goal in using the
system that the use case wants to capture. In this technique, the main use case
describes what is called the "normal course" through the use case, i.e., the set of
actions that the analyst believes to be most commonly performed. So, for exam-
ple, if through data gathering we have found that most users of the library go to
the catalog to check the location of a book before going to the shelves, then the
normal course for the use case would include this sequence of events. Other pos-
sible sequences, called alternative courses, are then listed at the bottom of the
use case.
     A use case for arranging a meeting using the shared calendar application, with
the normal course being that the meeting is written into the calendar automatically,
might be:
     1. The user chooses the option to arrange a meeting.
     2. The system prompts user for the names of attendees.
     3. The user types in a list of names.
     4. The system checks that the list is valid.
     5. The system prompts the user for meeting constraints.
     6. The user types in meeting constraints.
     7. The system searches the calendars for a date that satisfies the constraints.
     8. The system displays a list of potential dates.
     9. The user chooses one of the dates.
    10. The system writes the meeting into the calendar.
    11. The system emails all the meeting participants informing them of the ap-
        pointment.
    Alternative courses:
    5. If the list of people is invalid,
       5.1 The system displays an error message.
       5.2 The system returns to step 2.
    8. If no potential dates are found,
       8.1 The system displays a suitable message.
       8.2 The system returns to step 5.
Note that the number associated with the alternative course indicates the step in
the normal course that is replaced by this action or set of actions. Also note how
specific the use case is about how the user and the system will interact.
     Use cases may be described graphically. Figure 7.8 shows the use case diagram
for the above calendar example. The actor "Administrator" is associated with the
use case "Arrange a meeting." Another actor we might identify for the calendar
system is the "Departmental member" who updates his own calendar entries, also
shown in Figure 7.8. Actors may be associated with more than one use case, so for
228   Chapter 7     Identifying needs and establishing requirements

                                        r




                  Administrator                                                             Departmental
                                                                                              member
                                        I                                          I

                  Figure 7.8 Use case diagram for the shared calendar system showing three use cases and
                  two actors.


                  example the actor "Departmental member" can be associated with a use case
                  "Retrieve contact details" as well as the "Update calendar entry" use case. Each
                  use case may also be associated with more than one actor.
                      This kind of description has a different style and a different focus from the sce-
                  narios described above. The layout is more formal, and the structure of "good" use
                  cases has been discussed by many (e.g., Cockburn, 1995; Gough et al., 1995; Ben
                  Achour, 1999). The description also focuses on the user-system interaction rather
                  than on the user's activities; thus a use case presupposes that technology is being used.
                  This kind of detail is more useful at conceptual design stage than during requirements
                  or data gathering, but use cases have been found to help some stakeholders express
                  their views on how existing systems are used and how a new system might work.
                      To develop a use case, first identify the actors, i.e., the people or other systems
                  that will be interacting with the system under development. Then examine these
                  actors and identify their goal or goals in using the system. Each of these will be a
                  use case.




                  Library
                  member

                                       c
                  Figure 7.9 Use case diagram for the library catalog service.
7.6 Task description   229

              Consider the example of the library catalog service again. One use case is "Locate book,"
              and this would be associated with the "Library member" actor. Identify one other main
              actor and an associated use case, and draw a use case diagram.
                 Write out the use case for "Locate book" including the normal and some alterna-
              tive courses. You may assume that the normal course is for users to go to the catalog
              to find the location, and that the most common path to find this is through a search by
              author.


Comment       One other main actor is the "Librarian." A use case for the "Librarian" would be "Update
              catalog." Figure 7.9 is the associated use case diagram. There are other use cases you may
              have identified.
                 The use case for "Locate book" might be something like this:
                 1. The system prompts for user name and password.
                 2. The user enters his or her user name and password into the catalog system.
                 3. The system verifies the user's password.
                 4. The system displays a menu of choices.
                 5. The user chooses the search option.
                 6. The system displays the search menu.
                 7. The user chooses to search by author.
                8. The system displays the search author screen.
                9. The user enters the author's name.
                 10. The system displays search results.
                11. The user chooses the required book.
                 12. The system displays details of chosen book.
                 13. The user notes location.
                 14. The user quits catalog system.

                 Alternative courses:
                 4. If user password is not valid
                    4.1 The system displays error message.
                    4.2 The system returns to step 1.
                 5. If user knows the book details
                    5.1 The user chooses to enter book details.
                    5.2 The system displays book details screen.
                    5.3 The user enters book details.
                    5.4 The system goes to step 12.



7.6.3 Essential use cases
              Essential use cases were developed by Constantine and Lockwood (1999) t o com-
              bat what they see as the limitations of both scenarios and use cases as described
230   Chapter   7 Identifying needs and establishing requirements


                     USER INTENTION                                 SYSTEM RESPONSIBILITY
                     arrange a meeting
                                                                    request meeting attendees and constraints
                     identify meeting attendees and constraints
                                                                    suggest potential dates
                     choose preferred date
                  -- - -    - -
                             - -               - --   -
                                                                    book meeting
                  Figure 7.10 An essential use case for arranging a meeting in the shared calendar application.



                  above. Scenarios are concrete stories that concentrate on realistic and specific
                  activities. They therefore can obscure broader issues concerned with the wider
                  organizational view. On the other hand, traditional use cases contain certain as-
                  sumptions, including the fact that there is a piece of technology to interact with,
                  and also assumptions about the user interface and the kind of interaction to be
                  designed.
                       Essential use cases represent abstractions from scenarios, i.e., they represent a
                  more general case than a scenario embodies, and try to avoid the assumptions of a
                  traditional use case. An essential use case is a structured narrative consisting of
                  three parts: a name that expresses the overall user intention, a stepped description
                  of user actions, and a stepped description of system responsibility. This division be-
                  tween user and system responsibilities can be very helpful during conceptual design
                  when considering task allocation and system scope, i.e., what the user is responsible
                  for and what the system is to do.
                       An example essential use case based on the library example given above is
                  shown in Figure 7.10. Note that the steps are more generalized than those in the
                  use case in Section 7.6.2, while they are more structured than the scenario in Sec-
                  tion 7.6.1. For example, the first user intention does not say anything about typ-
                  ing in a list of names, it simply states that the user identifies meeting attendees.
                  This could be done by identifying roles, rather than people's names, from an or-
                  ganizational or project chart, or by choosing names from a list of people whose
                  calendars the system keeps, or by typing in the names. The point is that at the
                  time of creating this essential use case, there is no commitment to a particular in-
                  teraction design.
                       Instead of actors, essential use cases are associated with user roles. One of the
                  differences is that an actor could be another system, whereas a user role is just that:
                  not a particular person, and not another system, but a role that a number of differ-
                  ent people may play when using the system. Just as with actors, though, producing
                  an essential use case begins with identifying user roles.


                  Construct an essential use case "1ocateBook" for the user role "Library member" of the li-
                  brary catalog service discussed in Activity 7.4.
7.7 Task analysis    231

        Comment        locateBook                                                                                  I
                          USER INTENTION               SYSTEM RESPONSIBILITY
                         identify self
                                                       verify identity
                                                       request appropriate details                                 I
                         offer known details                                                                       1
                                                       offer search results                                        1
                         note search results                                                                       I
                         quit system
                                                       close

                         Note that here we don't talk about passwords, but merely state that the users need to
                      identify themselves. This could be done using fingerprinting, or retinal scanning, or any
                      other suitable technology. The essential use case does not commit us to technology at this
                      point. Neither does it specify search options or details of how to initiate the search.

I
I
        7.7 Task analysis
                      Task analysis is used mainly to investigate an existing situation, not to envision new
                      systems or devices. It is used to analyze the underlying rationale and purpose of
                      what people are doing: what are they trying to achieve, why are they trying to
                      achieve it, and how are they going about it? The information gleaned from task
                      analysis establishes a foundation of existing practices on which to build new re-
                      quirements or to design new tasks.
                           Task analysis is an umbrella term that covers techniques for investigating cog-
                      nitive processes and physical actions, at a high level of abstraction and in minute
                      detail. In practice, task analysis techniques have had a mixed reception. The most
                      widely used version is Hierarchical Task Analysis (HTA) and this is the technique
                      we introduce in this chapter. Another well-known task analysis technique called
                      GOMS (goals, operations, methods, and selection rules) that models procedural
                      knowledge (Card et al., 1983) is described in Chapter 14.
    I   7.7.1 Hierarchical task analysis
                      Hierarchical Task Analysis (HTA) was originally designed to identify training needs
                      (Annett and Duncan, 1967). It involves breaking a task down into subtasks and then
                      into sub-subtasks and so on. These are then grouped together as plans that specify
                      how the tasks might be performed in an actual situation. HTA focuses on the physi-
                      cal and observable actions that are performed, and includes looking at actions that
                      are not related to software or an interaction device at all. The starting point is a user
                      goal. This is then examined and the main tasks associated with achieving that goal
                      are identified. Where appropriate, these tasks are subdivided into subtasks.
                           Consider the library catalog service, and the task of borrowing a book. This task
                      can be decomposed into other tasks such as accessing the library catalog, searching
                      by name, title, subject, or whatever, making a note of the location of the book, going
                      to the correct shelf, taking it down off the shelf (provided it is there) and finally tak-
232   Chapter 7     Identifying needs and establishing requirements

                   0. In order to borrow a book from the library
                       1 . o to the library
                       2. f n d the required book
                           2.1 access library catalog
                           2.2 access the search screen
                           2.3 enter search criteria
                           2.4 identify required book
                           2.5 note location
                       3. go to correct shelf and retrieve book
                       4. take book to checkout counter
                    plan 0: do 1-3-4. If book isn't on the shelf expected, do 2-3-4.
                    plan 2: do 2.1 -2.4-2.5. If book not identified do 2.2-2.3-2.4-2.5.
                  Figure 7.1 1 An HTA for borrowing a book from the library.


                  it to the check-out counter. This set of tasks and subtasks might be performed in a
                  different order depending on how much is known about the book, and how familiar
                  the user might be with the library and the book's likely location. Figure 7.11 shows
                  these subtasks and some plans for different paths through those subtasks. Indenta-
                  tion shows the hierarchical relationship between tasks and subtasks.
                       Note how the numbering works for the task analysis: the number of the plan
                  corresponds to the number of the step to which the plan relates. For example, plan
                  2 shows how the subtasks in step 2 can be ordered; there is no plan 1 because step 1
                  has no subtasks associated with it.
                       An alternative expression of an HTA is a graphical box-and-line notation. Fig-
                  ure 7.12 shows the graphical version of the HTA in Figure 7.11. Here the subtasks
                  are represented by named boxes with identifying numbers. The hierarchical rela-
                  tionship between tasks is shown using a vertical line. If a task is not decomposed
                  any further then a thick horizontal line is drawn underneath the corresponding box.




                                                                     plan 0:
                                                                     do 1-3-4.
                                                                     If book isn't on the shelf expected, do 2-3-4.
                                I                    I                       I                     1


                                                         plan 2:
                                                         do 2.1-2.4-2.5.
                                                         If book not identifiedfrom information available, do 2.2-2.3-2.4-2.5.
                    I                       I                    I                      I                     I



                  Figure 7.12       A graphical representation of the task analysis for borrowing a book.
7.7 Task analysis

          Plans are also shown in this graphical form. They are written alongside the vertical
                                                                                                                233
                                                                                                                      I
          line emitting from the task being decomposed. For example, in Figure 7.12 plan 2 is
          specified next to the vertical line from box 2 "find required book."

           ook back at the scenario for arranging a meeting in the shared calendar application. Per-
            rm hierarchical task analysis for the goal of arranging a meeting. Include all plans in your
          answer. Express the task analysis textually and graphically.

Comment   The main tasks involved in this are to find out who needs to be at the meeting, find out the
          constraints on the meeting such as length of meeting, range of dates, and location, find a suit-
          able date, enter details into the calendar, and inform attendees. Finding a suitable date can
          be decomposed into other tasks such as looking in the departmental calendar, looking in in-
          dividuals' calendars, and checking potential dates against constraints. The textual version of
          the HTA is shown below. Figure 7.13 shows the corresponding graphical representation.
             0. In order to arrange a meeting
                 1. compile a list of meeting attendees
                2. compile a list of meeting constraints
                 3. find a suitable date
                    3.1 identify          dates from departmental calendar
                    3.2 identify          dates from each individual's calendar
                    3.3 compare ptential dates
                    3.4 choose one preferred date
                 4. enter meeting into calendars
                 5. inform meeting participants of calendar entry
          plan 0: do 1-2-3. If potential dates are identified, do 4-5. If no potential dates can be identi-
          fied, repeat 2-3.
          plan 3: do 3.1-3.2-3.3-3.4 or do 3.2-3.1 -3.3-3.4




                                                 plan 0:
                                                 do 1-2-3.
                                                 If potential dates are identified, do 4-5. If not repeat 2-3
                 I                   I                     I                        I                 I



                                                               plan 3:
                                                               do 3.1-3.2-3.3-3.4




                     - - - -




          Figure 7.1 3 A graphical representation of the meeting HTA.
234 Chapter 7 Identifying needs and establishing requirements

                What do you think are the main problems with using task analysis on real problems? Think
                of more complex tasks such as scheduling delivery trucks, or organizing a large conference.

Comment         Real tasks are very complex. One of the main problems with task analysis is that it does not
                scale very well. The notation soon becomes unwieldy, making it difficult to follow. Imagine
                what it would be like to produce a task analysis in which there were hundreds or even thou-
                sands of subtasks.
                    A second problem is thkt task analysis is limited in the kind of tasks it can model. For ex-
                ample, it cannot model tasks that are overlapping or parallel, nor can it model interruptions.
                Most people work through interruptions of various kinds, and many significant tasks happen
                in parallel.



Assignment
                This assignment is the first of four assignments that together take you through the complete de-
                velopment lifecycle for an interactive product. This assignment requires you to use techniques
                described in this chapter for identifying needs and establishing requirements. The further three
                assignments are at the end bf Chapters 8, 13, and 14.
                    The overall assignment is for you to design and evaluate an interactive website for booking
                tickets online for events like concerts, the theatre and the cinema. This i currently an activity that
                                                                                          s
                in many instances, can be difficult or inconvenient to achieve using traditional means (e.g., wait-
                ing for ages on the phone to get hold of an agent, queuing for hours in the rain at a ticket office).
                     For this assignment, you should:
                     (a) Identify users' needs for this website. You could do this in a number of ways. For
                          example, you could observe people using ticket agents, think about your own expe-
                          rience of purchasing tickets, look at existing websites for booking tickets, talk to
                          friends and family about their experiences, and so on. Record your data carefully.
                     (b) Based on your user requirements, choose two different user profiles and produce
                          one main scenario for each one, capturing how the user is expected to interact with
                          the system.
                     (c) Using the scenarios generated from your data gathering, perform a task analysis on
                          the main task associated with the ticket booking system, i.e., booking a ticket.
                     (d) Based on the data gathered in part (a) and your subsequent interpretation and
                          analysis, identify different kinds of requirements for the website, according to the
                          headings introduced in Section 7.3 above. Write up the requirements in the style of
                          the Volere template.


Summary
                In this chapter, we have looked in more detail at how to identify users' needs and establish
                requirements for interaction design. Various data-gathering techniques can be used to collect
                data for interpretation and analysis. The most common of these are questionnaires, inter-
                views, focus groups, workshops, naturalistic observation, and studying documentation. Each
                of these has advantages and disadvantages that must be balanced against your constraints
                when choosing which techniques to use for a particular project. They can be combined in
                many different ways, and can be supported by props such as scenarios and prototypes. How
Further reading     235

                     to carry out these techniques is covered in Chapters 12 through 14, Scenarios, use cases, and
                     essential use cases are helpful techniques for beginning to document the findings from the
                     data-gathering sessions. Task analysis is a little more structured, but does not scale well.

                     Key points
                         Getting the requirements right is crucial to the success of the interactive product.
                         There are different kinds of requirements: functional, data, environmental, user, and us-
                         ability. Every system will have requirements under each of these headings.
                         The most commonly used data-gathering techniques for this activity are: questionnaires, in-
                         terviews, workshops or focus groups, naturalistic observation, and studying documentation.
                         Descriptions of user tasks such as scenarios, use cases, and essential use cases help users to
                         articulate existing work practices. They also help to express envisioned use for new devices.
                         Task analysis techniques help to investigate existing systems and current practices.


Further reading
ROBERTSON, SUZANNE, AND ROBERTSON, JAMES (1999) Mas-              tive guide for developing object-oriented systems using use
tering the Requirements Process. Boston: Addison-Wesley.          cases and the modeling language Unified Modeling Lan-
In this book, Robertson and Robertson explain a useful            guage (UML).
framework for software requirements work (see also the in-        BRUEGGE, BERND, AND DUTOIT, LLEN H. (2000) Object-
                                                                                                    A
terview with Suzanne Robertson after this chapter).               oriented Software Engineering. Upper Saddle River, NJ:
CONSTANTINE, LARRY L., AND LOCKWOOD, LUCY A. D.                   Prentice-Hall. This book is a comprehensive treatment of
(1999) Software for Use. Boston: Addison-Wesley. This very        the whole development process using object-oriented tech-
readable book provides a concrete approach for modeling           niques such as use cases. The book is organized to help those
and analyzing software systems. The approach has a user-          involved in project work.
centered focus and contains some useful detail. It also in-       SOMMERVILLE, IAN (2001) Software Engineering (6th ed.).
cludes more information about essential use cases.                Boston: Addison-Wesley. I you are interested in pursuing
                                                                                            f
JACOBSON, I., BOOCH, G.,    AND   RUMBAUGH, J. (1992) The         notations for functional and data requirements, then this
Unified Software Development Process. Boston: Addison-            book introduces a variety of notations and techniques used
Wesley. This is not an easy book to read, but it is the defini-   in software engineering.
236    Chapter 7    Identifying needs and establishing r




                             Suzanne Roberston is a         to pay for the development, and the customer who's
                             principal of The Atlantic      making the decision about buying it. Then you've got
                             Systems Guild, an interna-     stakeholders like the project leader, the developers,
                             tional think tank producing    the requirements engineers, the designers, the quality
                             numerous books and semi-       people, and the testers. Then you've got the less obvi-
                             nars whose aim is to make
                                                            ous stakeholders like surrounding organizations, pro-
                             good ideas to do with sys-
                             tems engineering more ac-
                                                            fessional bodies, and other people in the organization
                             cessible. Suzanne is
                                                            whose work might be affected by the project you're
                             particularly well known for    doing, even if they're never going to use the product.
                             her work in systems analysis
                             and requirements gathering     HS: So do you find the stakeholders by just asking
                             activities.                    questions?
                                                            SR: Yes, partly that and partly by using the domain
HS: What are requirements?                                  model of the subject matter, which is in drawer 9, as the
SR: Well the problem is that "requirements" has             driver to ask more questions about the stakeholders.
turned into an elastic term. Requirements is an enor-       For example, for each one of the subject matter areas,
mously wide field and there are so many different           ask who have we got to represent this subject matter?
types of requirements. One person may be talking            For each one of the people that we come across, ask
about budget, somebody else may be talking about in-        what subject matter are we expecting from them?
terfacing to an existing piece of software, somebody             Drawer 3 contains the end users. I've put them in a
else may be talking about a performance require-            separate drawer because an error that a lot of people
ment, somebody else may be talking about the calcu-         make when they're looking for requirements is that the
lation of an algorithm, somebody else may be talking        only stakeholder they talk about is the end user. They
about a data definition, and I could go on for hours as     decide on the end user too quickly and they miss oppor-
to what requirement means. What we advise people            tunities. So you end up building a product that is possi-
to do to start with is to look for something we call        bly less competitive. I keep them a bit fuzzy to start
"linguistic integrity" within their own project. When       with, and as you start to fix on them then you can go
all people who are connected with the project are           into really deep analysis about them: What is their psy-
talking about requirements, what do they mean? This         chology? What are their characteristics? What's their
gets very emotional, and that's why we came up with         subject-matter knowledge? How do they feel about
our framework. We gathered together all this experi-        their work? How do they feel about technology? All of
ence of different types of requirements, tried to pick      these things help you to come up with the most compet-
the most common organization, and then wrote them           itive non-functional requirements for the product.
down in a framework.
                                                            HS: How do you resolve conflict between stake-
HS: Please would you explain your framework? (The           holders?
version discussed in this interview is shown in the fig-    SR: Well, part of it is to get the conflicts out in the
ure on page 238. The most recent version may be             open up front, so people stop blaming each other, but
downloaded from www.systemsguild.com.)                      that certainly doesn't resolve it. One of the ways is to
SR: Imagine a huge filing cabinet with 27 drawers, and      make things very visible all the way through and to
in each drawer you've got a category of knowledge that      keep reminding people that conflict is respectable,
is related to requirements. In the very first drawer for    that it's a sign of creativity, of people having ideas.
example you've got the goals, i.e., the reason for doing    The other thing that we do is that in our individual re-
the project. In the second drawer you've got the stake-     quirements (that is atomic requirements), which end
holders. These are roles because they could be played       up living in drawers 9 to 17 of this filing cabinet, we've
by more than one person, and one person may play            got a place to say "Conflict: Which other requirement
more than one role. You've got the client who's going       is this in conflict with?" and we encourage people to
Interview   237
identify them. Sometimes these conflicts resolve              lution ideas, and when you get a solution idea, pop it
themselves because they're on people's back burners,          in this drawer. This helps requirements engineers, I
and some of the conflicts are resolved by people just         think, because we are trained to think of solutions,
talking to one another. We have a point at which we           not to dig behind and find the real problem.
cross-check recluirements and look for conflicts and if
we find some that are just not sorting themselves out,        H S : How do you go about identifying requirements?
then we stop and have a serious negotiation.
                                                              S R . For too long we've been saying the stakeholders
     In essence, it's bubbling the conflicts up to the sur-
                                                              should give us their requirements: we'll ask them and
face. Keep on talking about them and keep them visi-
                                                              they'll give them to us. We've realized that this is not
ble. De-personalize it as much as you can. That helps.
                                                              practical-partly because there are many require-
                                                              ments people don't know they've got. Some require-
HS: What other things are associated with these               ments are conscious and they're usually because things
atomic requirements?                                          have gone wrong or they'd like something extra. Some
S R . Each one has a unique number and a description          requirements are unconscious because maybe people
that is as close as you can get to what you think the         are used to it, or maybe they haven't a clue because
thing means. It also has a rationale that helps you to        they don't see the overall picture. And then there are
figure out what it really is. Then the next component is      undreamed-of requirements that people just don't
the fit criterion, which is, "If somebody came up with a      dream they could ever have, because we've all got
solution to this requirement, how would you know              boundaries based on what we think technology is ca-
whether or not it satisfies the requirement?" So this         pable of doing or what we know about technology or
means making the requirement quantifiable, measur-            what our experience is. So it's not just asking people
able. And it's very powerful because it makes you             for things, it's also inventing requirements. I think
think about the requirement. One requirement quite            that's where prototyping comes in and scenario model-
often turns into several when you really try and quan-        ing and storyboarding and all of those sorts of tech-
tify it. It also provides a wonderful opportunity for in-     niques to help people to imagine what they could have.
volving testers, because at that point if you write the fit         If you're building a product for the market and
criterion you can get a tester and ask whether this can       you want to be more competitive you should be in-
be used as input to writing a cost-effective test. Now        venting requirements. Instead of constricting yourself
this is different from the way we usually use the testers,    within the product boundary, say, "Can I push myself
which is to build tests that test our solutions. Here I       out a bit further? Is there something else I could do
want to get them in much earlier, I want them to test         that isn't being done?"
whether this requirement really is a requirement.
                                                              HS: S o what kinds of techniques can people use to
HS: S o what's in drawers 18 through 27?                      push out further?
SR: Well here you can get into serious quarrels. The          SR: One of the things is to learn how to imagine what
overall category is "project issues," and people often        it's like to be somebody else, and this is why going into
say they're not really requirements, and they aren't.         other fields, for example family therapy, is helpful.
But if the project is not being managed according to          They've learned an awful lot about how to imagine
the real work that's being done, in other words the           you might be somebody else. And that's not some-
contents of the drawers, then the project goes off the        thing that software engineers are taught in college
rails. In project issues we create links so that a project    normally and this is why it's very healthy for us to be
manager can manage the project according to what's            bringing together the ideas of psychology and sociol-
happening to the requirements.                                ogy and so on with software and systems engineering.
      In the last drawer we have design ideas. People         Bringing in these human aspects-the performance,
say when you're gathering requirements you should             the usability features, the "look and feel" features-
not be concerned with how you're going to solve the           that's going to make our products more competitive. I
problem. But mostly people tell you requirements in           always tell people to read a lot of novels. If you're
the form of a solution anyway. The key thing is to            having trouble relating to some stakeholders, for ex-
learn how to separate the real requirements from so-          ample, go and read some Jane Austen and then try to
238    Chapter 7     Identifying needs and establishing requirements

imagine what it would have been like to have been the     was invented because of a very enthusiastic high-level
heroine in Pride and Prejudice. What would it have        stakeholder in a project we were doing. She was very
been like to have to change your clothes three times a    enthusiastic and keen and very involved. Wonderful!
day? I find this helps me a lot, it frees your mind and   She really gave us tremendous ideas and support. The
then you can say, "OK, what's it really like to be that   problem was she kept having ideas, and we didn't
other person?" There's a lot to learn in that area.       know what to do. We didn't want to stop her having
                                                          ideas, on the other hand we couldn't always include
HS: So what you're saying really is that it's not easy.   them because then we would never get anything built.
SR. It's not easy. I don't think there's any particular   So we invented the waiting room. All the good ideas
technique. But what we have done is we have come          we have we put in there and every so often we go into
up with a lot of different "trawling" techniques, along   the waiting room and review the ideas. Some of them
with recommendations, that can help you.                  get added to the product, some are discarded, and
                                                          some are left waiting. The psychology of it is very
HS: Do you have any other tips for gathering re-          good because the idea's in the waiting room, everyone
quirements?                                               knows it's in there, but it's not being ignored. When
SR: It's important for people to feel that they've        people feel heard, they feel better and consequently
been heard. The waiting room (drawer number 26)           they're more likely to cooperate and give you time.




   The Template


   PROJECT DRIVERS                                        NON-FUNCTIONAL REQUIREMENTS
   1. The Purpose of the                                  10. Look and Feel Requirements
      Product                                             11. Usability Requirements
   2. Client, Customer and other                          12. Performance Requirements
      Stakeholders                                        13. Operational Requirements
   3. Users of the Product                                14. Maintainability and Portability
                                                              Requirements
                                                          15. Security Requirements
   PROJECT CONSTRAINTS                                    16. Cultural and Political Requirements
   4. Mandated Constraints                                17. Legal Requirements
   5. Naming Conventions
      and Definitions                                     PROJECT ISSUES
   6. Relevant Facts and                                  18. Open Issues
      Assumptions                                         19. Off-the-shelf Solutions
                                                          20. New Problems
                                                          21. Tasks
   FUNCTIONAL REQUIREMENTS                                22. Cutover
   7. The Scope of the Work                               23. Risks
   8. The Scope of the                                    24. Costs
      Product                                             25. User Documentation and Training
   9. Functional and Data                                 26. Waiting Room
      Requirements                                        27. Ideas for Solutions
   The Volere Requirements Specification Template (0
                                                   1995-2001 Atlantic Systems Guild).
Chapter 8


             Design, prototyping and
             construction
                                                                                                    I

             8.1 Introduction
             8.2 Prototyping and construction
                 8.2.1 What is a prototype?
                  8.2.2 Why prototype?
                  8.2.3 Low-fidelity prototyping
                 8.2.4 High-fidelity prototyping
                 .8.2.5 Compromises in prototyping
                 8.2.6 Construction: from design to implementation
             8.3 Conceptual design: moving from requirements to first design
                 8.3.1 Three perspectives For developing a conceptual model
                  8.3.2 Expanding the conceptual model
                 8.3.3 Using scenarios in conceptual design
                  8.3.4 Using prototypes in conceptual design
             8.4 Physical design: getting concrete
                 8.4.1 Guidelines for physical design
                 8.4.2 Different kinds of widget
             8.5 Tool support




8.1   Introduction
             Design activities begin once a set of requirements has been established. Broadly
             speaking, there are two types of design: conceptual and physical. The former is
             concerned with developing a conceptual model that captures what the product will
             do and how it will behave, while the latter is concerned with details of the design
             such as screen and menu structures, icons, and graphics. The design emerges itera-
             tively, through repeated design-evaluation-redesign cycles involving users.
                  For users to effectively evaluate the design of an interactive product, design-
             ers must produce an interactive version of their ideas. fn the early stages of de-
             velopment, these interactive versions may be made of paper and cardboard,
             while as design progresses and ideas become more detailed, they may be polished
             pieces of software, metal, or plastic that resemble the final product. We have
240   Chapter 8    Design, prototyping and construction

                      called the activity concerned with building this interactive version prototyping
                      and construction.
                          There are two distinct circumstances for design: one where you're starting from
                      scratch and one where you're modifying an existing product. A lot of design comes
                      from the latter, and it may be tempting to think that additional features can be
                      added, or existing ones tweaked, without extensive investigation, prototyping or
                      evaluation. It is true that if changes are not significant then the prototyping and
                      evaluation activities can be scaled down, but they are still invaluable activities that
                      should not be skipped.
                           In Chapter 7, we discussed some ways to identify user needs and establish re-
                      quirements. In this chapter, we look at the activities involved in progressing a set of
                      requirements through the cycles of prototyping to construction. We begin by ex-
                      plaining the role and techniques of prototyping and then explain how prototypes
                      may be used in the design process. Tool support plays an important part in devel-
                      opment, but tool support changes so rapidly in this area that we do not attempt to
                      provide a catalog of current support. Instead, we discuss the kinds of tools that may
                      be of help and categories of tools that have been suggested.                              I

                          The main aims of this chapter are to:
                            Describe prototyping and different types of prototyping activities.
                            Enable you to produce a simple prototype.
                            Enable you to produce a conceptual model for a system and justify your
                            choices.
                            Enable you to attempt some aspects of physical design.
                            Explain the use of scenarios and prototypes in conceptual design.
                            Discuss standards, guidelines, and rules available to help interaction designers.
                            Discuss the range of tool support available for interaction design.

    8.2 Prototyping and construction
                      It is often said that users can't tell you what they want, but when they see some-
                      thing and get to use it, they soon know what they don't want. Having collected in-
                      formation about work practices and views about what a system should and
                      shouldn't do, we then need to try out our ideas by building prototypes and iterat-
                      ing through several versions. And the more iterations, the better the final product
                      will be.

I   8.2.1 What is a prototype?
                      When you hear the term prototype, you may imagine something like a scale model
                      of a building or a bridge, or maybe a piece of software that crashes every few min-
                      utes. But a prototype can also be a paper-based outline of a screen or set of
                      screens, an electronic "picture," a video simulation of a task, a three-dimensional
                      paper and cardboard mockup of a whole workstation, or a simple stack of hyper-
                      linked screen shots, among other things.
8.2 Protoiyping and construction

                 In fact, a prototype can be anything from a paper-based storyboard through to
                                                                                               241
                                                                                                      I
            a complex piece of software, and from a cardboard mockup to a molded or pressed
            piece of metal. A prototype allows stakeholders to interact with an envisioned
            product, to gain some experience of using it in a realistic setting, and to explore
            imagined uses.
                 For example, when the idea for the Palmpilot was being developed, Jeff
            Hawkin (founder of the company) carved up a piece of wood about the size and
            shape of the device he had imagined. He used to carry this piece of wood around
            with him and pretend to enter information into it, just to see what it would be like
            to own such a device (Bergman and Haitani, 2000). This is an example of a very
            simple (some might even say bizarre) prototype, but it served its purpose of simu-
            lating scenarios of use.
                 Ehn and Kyng (1991) report on the use of a cardboard box with the label
            "Desktop Laser Printer" as a mockup. It did not matter that, in their setup, the
            printer was not real. The important point was that the intended users, journalists
            and typographers, could experience and envision what it would be like to have one
            of these machines on their desks. This may seem a little extreme, but in 1982 when
            this was done, desktop laser printers were expensive items of equipment and were
            not a common sight around the office.
                 So a prototype is a limited representation of a design that allows users to inter-
            act with it and to explore its suitability.

8.2.2 Why prototype?
            Prototypes are a useful aid when discussing ideas with stakeholders; they are a
            communication device among team members, and are an effective way to test out
            ideas for yourself. The activitqof building prototypes encourages reflection in de-
            sign, as described by Schon (1983) and as recognized by designers from many disci-
            plines as an important aspect of the design process. Liddle (1996), talking about
            software design, recommends that prototyping should always precede any writing
            of code.
                 Prototypes answer questions and support designers in choosing between alter-
            natives. Hence, they serve a variety of purposes: for example, to test out the techni-
            cal feasibility of an idea, to clarify some vague requirements, to do some user
            testing and evaluation, or to check that a certain design direction is compatible
            with the rest of the system development. Which of these is your purpose will influ-
            ence the kind of prototype you build. So, for example, if you are trying to clarify
            how users might perform a set of tasks and whether your proposed device would
            support them in this, you might produce a paper-based mockup. Figure 8.1 shows a
            paper-based prototype of the design for a handheld device to help an autistic child
            communicate. This prototype shows the intended functions and buttons, their posi-
            tioning and labeling, and the overall shape of the device, but none of the buttons
            actually work. This kind of prototype is sufficient to investigate scenarios of use
            and to decide, for example, whether the buttons are appropriate and the functions
            sufficient, but not to test whether the speech is loud enough or the response fast
            enough.
242    Chapter 8       Design, prototyping and construction


                                                        4 inches
                                 4



Durable c a s e t h e
tough plastic
exterior enables
complete protection
of the device if
dropped, and the                                                                                    Communication
rubberized outer                                                                                    keys-these are
casing lessens the 1                                                                                sensitive touch-
impacts of shocks.                                                                                  panel buttons. On
In addition, the                                                                                    being triggered, a
exterior is                                                                                         recorded message
lightweight and                                                                                     related to that key
makes the design                                                                                    is output from
ideal for use in                                                                                    the speaker
virtually any
environment                                                                                         In addition, symbols
                                                                                                    and photos familiar
                                                                                                    to the user can be
                                                                                                    used on the keypads
                                                                                                    to enable usability
                                                                                                    of device to be
                                                                                                    immediate in the
                                                                                                    case of some
                                                                                                    individuals

Battery indicator
shows amount of
battery left before
recharging is
required


                                                                                          J  Amplified speaker
                                                                                             provides excellent output




                                                                         Ring attachment for
                                                                         beltltrousers.This
                                                                         enables the device to
                                                                         hang from a person's
                                                                         trousedbelt in a similar
                                                                         way to a key ring

                      Figure 8.1 A paper-based   prototype of a handheld device to support an autistic child.



                          Heather Martin and Bill Gaver (2000) describe a different kind of prototyping
                      with a different purpose. When prototyping audiophotography products, they used
                      a variety of different techniques including video scenarios similar to the scenarios
                      we introduced in Chapter 7, but filmed rather than written. At each stage, the pro-
                      totypes were minimally specified, deliberately leaving some aspects vague so as to
                      stimulate further ideas and discussion.
8.2 Prototyping and construction   243

8.2.3 Low-fidelity protoiyping
              A low-fidelity prototype is one that does not look very much like the final product.
              For example, it uses materials that are very different from the intended final ver-
              sion, such as paper and cardboard rather than electronic screens and metal. The
              lump of wood used to prototype the Palm Pilot described above is a low-fidelity
              prototype, as is the cardboard-box laser printer.
                  Low-fidelity prototypes are useful because they tend to be simple, cheap, and
              quick to produce. This also means that they are simple, cheap, and quick to modify so
              they support the exploration of alternative designs and ideas. This is particularly irn-
              portant in early stages of development, during conceptual design for example, because
              prototypes that are used for exploring ideas should be flexible and encourage rather
              than discourage exploration and modification. Low-fidelity prototypes are never in-
              tended to be kept and integrated into the final product. They are for exploration only.
                                                                                                         I
                                                                                                         I
              Storyboarding Storyboarding is one example of low-fidelity prototyping that is
              often used in conjunction with scenarios, as described in Chapter 7. A storyboard
              consists of a series of sketches showing how a user might progress through a task
              using the device being developed. It can be a series of sketched screens for a GUI-
              based software system, or a series of scene sketches showing how a user can per-
              form a task using the device. When used in conjunction with a scenario, the
              storyboard brings more detail to the written scenario and offers stakeholders a
              chance to role-play with the prototype, interacting with it by stepping through the
              scenario. The example storyboard shown in Figure 8.2 (Hartfield and Winograd,




              Figure 8.2 An example storyboard.
244   Chapter 8    Design, prototyping and construction
                                                                                                                    I

                                    People                                 Computer                   Pr~nter




                          Give                          Receive                            Transfer             I
                  Figure 8.3   Some simple sketches for low-fidelity prototyping.                               I




                  1996) depicts a person using a new system for digitizing images. This example doesn't
                  show detailed drawings of the screens involved, but it describes the steps a user
                  might go through in order to use the system.

                  Sketching Low-fidelity prototyping often relies on sketching, and many people
                  find it difficult to engage in this activity because they are inhibited about the quality
                  of their drawing. Verplank (1989) suggests that you can teach yourself to get over
                  this inhibition. He suggests that you should devise your own symbols and icons for
                  elements you might want to sketch, and practice using them. They don't have to be
                  anything more than simple boxes, stick figures, and stars. Elements you might re-
                                                                                      7
                  quire in a storyboard sketch, for example, include "things ' such as people, parts of
                  a computer, desks, books, etc., and actions such as give, find, transfer, and write. If
                  you are sketching an interface design, then you might need to draw various icons,
                  dialog boxes, and so on. Some simple examples are shown in Figure 8.3. Try copy-
                  ing these and using them. The next activity requires other sketching symbols, but
                  they can still be drawn quite simply.


                  Produce a storyboard that depicts how to fill a car with gas (petrol).

Comment           Our attempt is shown in Figure 8.4.

                  Protofyping with Index Cards Using index cards (small pieces of cardboard about
                  3 X 5 inches) is a successful and simple way to prototype an interaction, and is used
                  quite commonly when developing websites. Each card represents one screen or one
                  element of a task. In user evaluations, the user can step through the cards, pretend-
                  ing to perform the task while interacting with the cards. A more detailed example
                  of this kind of prototyping is given in Section 8.3.4.
8.2 Prototyping and construction            245




I
        Drive car t o gas pump                        Take nozzle from pump                    ... and put it ~ n t o
                                                                                                                    the
                                                                                                    car's gas tank




         Squeeze trigger on                              Replace nozzle                             Pay cash~er
           the nozzle until                              when tank is full
             tank is full

                       Figure 8.4 A storyboard depicting how to fill a car with gas.



                      Wizard of Oz Another low-fidelity prototyping method called Wizard of Oz
                      assumes that you have a software-based prototype. In this technique, the user
                      sits at a computer screen and interacts with the software as though interacting
                      with the product. In fact, however, the computer is connected to another ma-
                      chine where a human operator sits and simulates the software's response to the
                      user. The method takes its name from the classic story of the little girl who is
                      swept away in a storm and finds herself in the Land of Oz (Baum and Denslow,
                      1900).


    8.2.4 High-fidelity prototyping
                      High-fidelity prototyping uses materials that you would expect to be in the final
                      product and produces a prototype that looks much more like the final thing. For
                      example, a prototype of a software system developed in Visual Basic is higher fi-
                      delity than a paper-based mockup; a molded piece of plastic with a dummy key-
                      board is a higher-fidelity prototype of the PalmPilot than the lump of wood.
                           If you are to build a prototype in software, then clearly you need a software
                      tool to support this. Common prototyping tools include Macromedia Director, Vi-
                      sual Basic, and Smalltalk. These are also full-fledged development environments,
                      so they are powerful tools, but building prototypes using them can also be very
                      straightforward.
246   Chapter 8    Design, protowing and construction

                  Table 8.1   Relative effectiveness of low- vs. high-fidelity prototypes (Rudd et al., 1996)

                  Type                                     Advantages                       Disadvantages
                  Low-fidelity prototype          Lower development cost.             Limited error checking.
                                                  Evaluate multiple design            Poor detailed specification
                                                  concepts.                           to code to.
                                                  Useful communication device.        Facilitator-driven.
                                                  Address screen layout issues.       Limited utility after
                                             6    Useful for identifyingmarket        requirements established.
                                                  requirements.                        Limited usefulness for
                                                  Proof-of-concept.                    usability tests.
                                                                                       Navigational and flow
                                                                                       limitations.

                  High-fidelity prototype     6   Complete functionality.              More expensive to develop.
                                                  Fully interactive.                   Time-consuming to create.
                                                  User-driven.                         Inefficient for proof-of-
                                                  Clearly defines navigational         concept designs.
                                                  scheme.                              Not effective for
                                                  Use for exploration and test.        requirements gathering.
                                                  Look and feel of final product.
                                                  Serves as a living specification.
                                                  Marketing and sales tool.



                      Marc Rettig (1994) argues that more projects should use low-fidelity prototyp-
                  ing because of the inherent problems with high-fidelity prototyping. He identifies
                  these problems as:
                         They take too long to build.
                         Reviewers and testers tend to comment on superficial aspects rather than
                         content.
                         Developers are reluctant to change something they have crafted for hours.
                         A software prototype can set expectations too high.
                         Just one bug in a high-fidelity prototype can bring the testing to a halt.
                       High-fidelity prototyping is useful for selling ideas to people and for testing out
                  technical issues. However, the use of paper prototyping and other ideas should be
                  actively encouraged for exploring issues of content and structure. Further advan-
                  tages and disadvantages of the two types of prototyping are listed in Table 8.1.

8.2.5 Compromises in protoiyping
                  By their very nature, prototypes involve compromises: the intention is to produce
                  something quickly to test an aspect of the product. The kind of questions or choices
8.2 Prototyping and construction   247




that any one prototype allows the designer to answer is therefore limited, and the
prototype must be designed and built with the key issues in mind. In low-fidelity
prototyping, it is fairly clear that compromises have been made. For example, with
a paper-based prototype an obvious compromise is that the device doesn't actually
work! For software-based prototyping, some of the compromises will still be fairly
clear; for example, the response speed may be slow, or the exact icons may be
sketchy, or only a limited amount of functionality may be available.
    Two common compromises that often must be traded against each other are
breadth of functionality provided versus depth. These two kinds of prototyping
248 Chapter 8 Design, prototyping and construction
                                                                                                       I




                are called horizontal prototyping (providing a wide range of functions but with
                little detail) and vertical prototyping (providing a lot of detail for only a few
                functions).
                      Other compromises won't be obvious to a user of the system. For example, the
                internal structure of the system may not have been carefully designed, and the pro-
                totype may contain "spaghetti code" or may be badly partitioned. One of the dan-
                gers of producing running prototypes, i.e., ones that users can interact with
                automatically, is that they may believe that the prototype is the system. The danger
                for developers is that it may lead them to consider fewer alternatives because they
                have found one that works and that the users like. However, the compromises
                made in order to produce the prototype must not be ignored, particularly the ones
                that are less obvious from the outside. We still must produce a good-quality system
                and good engineering principles must be adhered to.

8.2.6 Construction: from design to implementation
                When the design has been around the iteration cycle enough times to feel confi-
                dent that it fits requirements, everything that has been learned through the iter-
                ated steps of prototyping and evaluation must be integrated to produce the final
                product.
                     Although prototypes will have undergone extensive user evaluation, they will
                not necessarily have been subjected to rigorous quality testing for other character-
                istics such as robustness and error-free operation. Constructing a product to be
                used by thousands or millions of people running on various platforms and under a
                wide range of circumstances requires a different testing regime than producing a
                quick prototype to answer specific questions.
                     The dilemma box below discusses two different development philosophies.
                One approach, called evolutionary prototyping, involves evolving a prototype
                into the final product. An alternative approach, called throwaway prototyping,
                uses the prototypes as stepping stones towards the final design. In this case, the
8.3 Conceptual design: moving from requirements to first design   249




           prototypes are thrown away and the final product is built from scratch. If an evo-
           lutionary prototyping approach is to be taken, the prototypes should be subjected
           to rigorous testing along the way; for throw-away prototyping such testing is not
           necessary.

8.3 Conceptual design: moving from
    requirements to first design
           Conceptual design is concerned with transforming the user requirements and
           needs into a conceptual model. Conceptual models were introduced in Chapter 2,
           and here we provide more detail and discuss how to go about developing one. We
           defined conceptual model as "a description of the proposed system in terms of a
           set of integrated ideas and concepts about what it should do, behave, and look
           like, that will be understandable by the users in the manner intended." The basis
           for designing this model is the set of user tasks the product will support. There is
           no easy transformation to apply to a set of requirements data that will produce
           "the best" or even a "good enough" conceptual model. Steeping yourself in the
           data and trying to empathize with the users while considering the issues raised in
           this section is one of the best ways to proceed. From the requirements and this ex-
           perience, a picture of what you want the users' experience to be when using the
           new product will emerge.
250 Chapter 8    Design, prototyping and construction
                                                                                                           I
                     Beyer and Holtzblatt (1998), in their method Contextual Design discussed in
                Chapter 9, recommend holding review meetings within the team to get different
                peoples' perspectives on the data and what they observed. This helps to deepen un-
                derstanding and to expose the whole team to different aspects. Ideas will emerge as
                this extended understanding of the requirements is established, and these can be
                tested against other data and scenarios, discussed with other design team members
                and prototyped for testing with users. Other ways to understand the users' experi-
                ence are described in Box 8.2.
                     Ideas for a conceptual model may emerge during data gathering, but remember
                what Suzanne Robertson said in her interview at the end of Chapter 7: you must
                separate the real requirements from solution ideas.
                     Key guiding principles of conceptual design are:
                      Keep an open mind but never forget the users and their context.
                      Discuss ideas with other stakeholders as much as possible.
                      Use low-fidelity prototyping to get rapid feedback.
                      Iterate, iterate, and iterate. Remember Fudd's first law of creativity: "To get
                      a good idea, get lots of ideas" (Rettig, 1994).
                    Considering alternatives and repeatedly thinking about different perspectives
                helps to expand the solution space and can help prompt insights. Prototyping (intro-
                duced in Section 8.2) and scenarios (introduced in Chapter 7) are two techniques to
                help you explore ideas and make design decisions. But before explaining how these
                can help, we need to explore in more detail how to go about envisioning the product.


8.3.1 Three perspectives for developing a conceptual model
                Chapter 2 introduced three ways of thinking about a conceptual model: Which in-
                teraction mode would best support the users' activities? Is there a suitable interface
                metaphor to help users understand the product? Which interaction paradigm will
                the product follow? In this section, we discuss each of these in more detail. In all the
                discussions that follow, we are not suggesting that one way of approaching a con-
                ceptual design is right for one situation and wrong for another; they all provide dif-
                ferent ways of thinking about the product and hence aid in generating alternatives.

                Which interaction mode? Which interaction mode is most suitable for the product
                depends on the activities the user will engage in while using it. This information is
                identified through the requirements activity. The interaction mode refers to how
                the user invokes actions when interacting with the device. In Chapter 2 we intro-
                duced two different types of interaction mode: those based on activities and those
                based on objects. For those based on activities, we introduced four general styles:
                instructing, conversing, manipulating and navigating, and exploring and browsing.
                Which is best suited to your current design depends on the application domain and
                the kind of system being developed. For example, a computer game is most likely
                to suit a manipulating and navigating style, while a drawing package has aspects of
                instructing and conversing.
8.3 Conceptual design: moving from requirements to first design   251
252   Chapter 8    Design, prototyping and construction




                       Most conceptual models will be a combination of modes, and it is necessary to
                  associate different parts of the interaction with different modes. For example, con-
                  sider the shared calendar example introduced in Chapter 7. One of the user tasks is
                  finding out what is happening on a particular day. In this instance, instructing is an
                  appropriate mode of interaction. No dialog is necessary for the system to show the
                  required information. On the other hand, the user task of trying to arrange a meet-
                  ing among a set of people may be conducted more like a conversation. We can
                  imagine that the user begins by selecting the people for the meeting and setting
                  some constraints on the arrangements such as time limit, urgency, length of meet-
                  ing, etc. Then the system might respond with a set of possible times and dates for
                  the user to select. This is much more like a conversation. (You may like to refer
                  back to the scenario of this task in Chapter 7 and consider how well it matches this
                  interaction mode.) For the task of planning, the user is likely to want to scan
                  through pages and browse the days.


                  Consider the library catalog system introduced in Chapter 7. Identify tasks associated with
                  this product that would be best supported by each of the interaction modes instructing, con-
                  versing, manipulating and navigating, and exploring and browsing.

Comment           Here are some suggestions. You may have identified others:
                     (a) Instructing: the user wants to see details of a particular book, such as publisher and
                         location.
                     (b) Conversing: the user wants to identify a book on a particular topic but doesn't know
                         exactly what is required.
8.3 Conceptual design: moving from requirements to first design    253

   (c) Manipulating and navigating: the library books could be represented as icons that
       could be interrogated for information or manipulated to represent the book being re-
       served or borrowed.
   (d) Exploring and browsing: the user is looking for interesting books, with no particular
       topic or author in mind.


     Models based on objects provide a different perspective since they are struc-
tured around real-world objects. For example, the shared calendar system can be
thought of as an electronic version of a paper calendar, which is a book kept by
each person on their desk or in their bag. Alternatively, it could be thought of as a
planner, a large flat piece of paper that is often pinned up on the wall in offices and        I
is far more public. The choice of which objects to choose as a basis for the concep-
tual model is related to the choice of interface metaphor, which we consider below.
     Mayhew (1999) identifies a similar distinction between conceptual models:
process-oriented or product-oriented. The former kind of model best fits "an appli-
cation in which there are no clearly identifiable primary work products. In these
applications the main point is to support some work process." Examples of this
might be software to control a chemical processing plant, a financial management
package, or a customer care call-center. On the other hand, a product-oriented
model "will best fit an application in which there are clear, identifiable work prod-
ucts that users individually create, modify and maintain." Examples of this are Mi-
crosoft products such as Excel, Powerpoint, Word, etc. More information about
these kinds of conceptual model is given in Box 8.3.

Is there a suitable interface metaphor? Interface metaphors are another way to
think about conceptual models. They are intended to combine familiar knowledge
with new knowledge in a way that will help the user understand the system. Choos-
ing suitable metaphors and combining new and familiar concepts requires a careful
balance and is based on a sound understanding of the users and their context. For
example, consider an educational system to teach six-year-olds mathematics. You
could use the metaphor of a classroom with a teacher standing at the blackboard.
But if you consider the users of the system and what is likely to engage them, you
will be more likely to choose a metaphor that reminds the children of something
they enjoy, such as a ball game, the circus, a playroom, etc.
     Erickson (1990) suggests a three-step process for choosing a good interface
metaphor. The first step is to understand what the system will do. Identifying func-
tional requirements was discussed in Chapter 7. Developing partial conceptual
models and trying them out may be part of the process. The second step is to un-
derstand which bits of the system are likely to cause users problems. Another way
of looking at this is to identify which tasks or subtasks cause problems, are compli-
cated, or are critical. A metaphor is only a partial mapping between the software
and the real thing upon which the metaphor is based. Understanding areas in
which users are likely to have difficulties means that the metaphor can be chosen to
support those aspects. The third step is to generate metaphors. Looking for
metaphors in the users' description of the tasks is a good starting point. Also, any
254   Chapter 8    Design, prototyping and construction




                  metaphors used in the application domain with which the users may be familiar
                  may be suitable.
                     When suitable metaphors have been generated, they need to be evaluated.
                  Again, Erickson (1990) suggests five questions to ask.
                     1. How much structure does the metaphor provide? A good metaphor will re-
                        quire structure, and preferrably familiar structure.
8.3 Conceptual design: moving From requirements to first design   255




2. How much of the metaphor is relevant to the problem? One of the difficul-
   ties of using metaphors is that users may think they understand more than
   they do and start applying inappropriate elements of the metaphor to the
   system, leading to confusion or false expectations.
3. Is the interface metaphor easy to represent? A good metaphor will be asso-
   ciated with particular visual and audio elements, as well as words.
256   Chapter 8    Design, protoiyping and construction

                      4. Will your audience understand the metaphor?
                      5. How extensible is the metaphor? Does it have extra aspects that may be
                         useful later on?
                       In the calendar system, one obvious metaphor we could use is the individual's
                  paper-based calendar. This is familiar to everyone, and we could combine that famil-
                  iarity with facilities suitable for an electronic document such as hyperlinks and search-
                  ing. Having thought of this metaphor, we need to apply the five questions listed above.
                      1. Does it supply structure? Yes, it supplies structure based on the familiar
                         paper-based calendar. However, it does not supply structure for the notion
                         of sharing information, i.e., other people looking in the calendar, because of
                         two issues: first, an individual's calendar is very personal, and second, even
                         if there is a paper-based calendar for a set of people, it can be closed and the
                         information hidden from casual observers.
                      2. How much of the metaphor is relevant i.e., how many properties of the
                         paper-based calendar are applicable to the electronic version? Well, in the
                         electronic version it isn't appropriate to think of physically turning pages,
                         but then a facility for looking at one "page" after another is required. The
                         individual's calendar can be carried around from place to place. Whether or
                         not we want to encourage that aspect of the metaphor depends on the kind
                         of interaction paradigm we might consider. Finally, this is a shared calendar,
                         and normally our personal calendars are not shared.
                      3. Is the metaphor easy to represent? Yes.
                      4. Will your audience understand the metaphor? Yes.
                      5. How extensible is the metaphor? The functionality of a paper-based calen-
                         dar is fairly limited. However, it is also a book, and we could borrow facili-
                         ties from electronic books (which are also familiar objects to most of our
                         audience), so yes, it can be extended.


                  Another possible interface metaphor for the shared calendar system is the wall planner. Ask
                  the five questions above of this metaphor.

Comment              (a) Does it supply structure? Yes, it supplies structure based on the wall-planner. This
                         metaphor embodies the notion of public access more than the paper-based calendar.
                         In particular, the wall planner is never "closed" to those who are near it.
                     (b) How much of the metaphor is relevant? Most of this metaphor is relevant. Individu-
                         als don't walk around with the wall planner, though, so the answer depends on how
                         the calendar is to be used.
                     (c) Is the metaphor easy to represent? Yes, it could be represented as a spreadsheet.
                     (d) Will your audience understand the metaphor? Yes.
                     (e) How extensible is the metaphor? The functionality of a wall planner is also fairly
                         limited. There are no obvious ways in which to extend the metaphor to help with this
                         application.
8.3 Conceptual design: moving from requirements to first design     257
                                                                                                              I
             Which interadion paradigm? Interaction paradigms are design philosophies that
             help you think about the product being developed. Interaction paradigms include
             the now traditional desktop paradigm, with WIMP interface (windows, icons,
             menus and pointers), ubiquitous computing, pervasive computing, wearable com-
             puting, tangible bits, attentive environments, and the Workaday World. Thinking
             about the user tasks with these different paradigms in mind can help provide in-
             sight both to choose the interaction paradigm and to inspire a different perspective
             on the problem.
                 Thinking about environmental requirements is particularly relevant when con-
             sidering interaction paradigms. For example, consider the shared calendar in the
             context of the following paradigms:
                    Ubiquitous computing. Combining some of our earlier discussions, we could
                    perhaps imagine the shared calendar as being like a planner on the wall, but
                    in an electronic form with which people could interact.
                    Pervasive computing. Carrying around our own copy of the shared calendar
                    builds directly upon current expectations and experience of personal calen-
                    dars. We can imagine a system that allows individuals to keep a copy of the
                    system on their own palmtop computers or PDAs, while also being linked to
                    a central server somewhere that allows access to other information that is
                    shared.
                    Wearable computing. Imagine having an earring or a tie pin telling you that
                    you have an appointment in an hour's time at a client's office and that you
                    need to book a taxi? Or maybe asking you whether it is all right to book a
                    meeting with your colleague on a particular date. What other possibilities
                    can this model conjure up?



             Consider the library catalog system and think about each of the paradigms listed above.
             Choose two of them and suggest different kinds of interaction that these paradigms imply.

Comment      We had the following thoughts, but you may have others. The library catalog is likely to be
             used only in certain places, such as the library or perhaps in an office. The idea of wearable
             computers is not as attractive in this situation as pervasive computing would be, since people
             would have to put on the wearable when they arrived at the library. Alternatively, the li-
             brary system might be designed to "cut in" on an existing wearable. Both of these solutions
             seem a little intrusive. Pervasive computing, on the other hand, would allow users to interact
             with the catalog wherever in the library they were, rather than having to go to a place where
             the PC or card catalog sits. You could possibly have digital books at the end of each library
             shelf that gave access to the catalog.


8.3.2 Expanding the conceptual model
             Considering the issues in the previous section helps the designer to envision a prod-
             uct. These ideas must be thought through in more detail before being prototyped
I   258 Chapter 8    Design, prototyping and construction

                    or tested with users. One aspect that will need to be decided is what technologies to
                    use, e.g., mutimedia, virtual reality, or web-based materials, and what input and
                    output devices best suit the situation, e.g., pen-based, touch screen, speech, key-
                    board, and so on. These decisions will depend on the constraints on the system,
                    arising from the requirements you have established. For example, input and output
                    devices will be influenced particularly by user and environmental requirements.
                         You also have to decide what concepts need to be communicated between the
                    user and the product and how they are to be structured, related, and presented.
                    This means deciding which functions the product will support, how those functions
                    are related, and what information is required to support them. Although these de-
                    cisions must be made, remember that they are made only tentatively to begin with
                    and may change after prototyping and evaluation.

                    What functions will the product perform? Understanding the tasks the product will
                    support is a fundamental aspect of developing the conceptual model, but it is also
                    important to consider more specifically what functions the product will perform,
                    i.e., how the task will be divided up between the human and the machine. For ex-
                    ample, in the shared calendar example, the system may suggest dates when a set of
                    people are able to meet, but is that as far as it should go? Should it automatically
                    book the dates, or should it email the people concerned informing them of the
                    meeting or asking if this is acceptable? Or is the human user or the meeting at-
                    tendee responsible for checking this out? Developing scenarios, essential use cases,
                    and use cases for the system will help clarify the answers to these questions. Decid-
                    ing what the system will do and what must be left for the user is sometimes called
                    task allocation. The trade-off between what to hand over to the device and what to
                    keep in the control of the user has cognitive implications (see Chapter 3), and is
                    linked to social aspects of collaboration (see Chapter 4). An example relating to
                    our shared calendar system was discussed in Box 4.2 of Chapter 4: should the sys-
                    tem allow users to book meetings in others' calendars without asking their consent
                    first? In addition, if the cognitive load is too high for the user, then the device may
                    be too stressful to use. On the other hand, if the device takes on too much and is
                    too inflexible, then it may not be used at all.
                          Another aspect concerns the functions the hardware will perform, i.e., what
                    functions will be hard-wired into the device and what will be left under software
                    control, and thereby possibly indirectly in the control of the human dser? This
                    leads to considerations of the architecture of the device, although you Would riot
                    expect necessarily to have a clear architectural design at this stage of development.

                    How are the functions related to each other? Functions may be related temporally,
                    e.g., one must be performed before another, or two can be performed in parallel.
                    They may also be related through any number of possible categorizations, e.g., all
                    functions relating to telephone memory storage in a cell phone, or all options for
                    accessing files in a word processor. The relationships between tasks may constrain
                    use or may indicate suitable task structures within the device. For example, if a task
                    is dependent on completion of another task, then you may want to restrict the user
                    to performing the tasks in strict order. An instance in which this has been put into
8.3 Conceptual design: moving from requirements to first design   259

              practice is in some CASE (Computer-Aided Software Engineering) tools designed
              to support a specific development approach. Often these tools will insist that cer-
              tain diagrams must be drawn before others. For example, in object-oriented soft-
              ware development you normally draw class diagrams before sequence diagrams,
              and some tools do not allow you to draw a sequence diagram until the relevant
              class diagram is in place. If you're working on a small project that doesn't require
              this kind of discipline, this can be very frustrating, but from the perspective of a
              manager in charge of a large project, having these restrictions in place may be
              advantageous.
                   If task analysis has been performed on relevant tasks, the breakdown will sup-
              port these kinds of decisions. For example, in the shared calendar example, the
              task analysis performed in Section 7.1 shows the subtasks involved and the order in
              which the subtasks can be performed. Thus, the system could allow meeting con-
              straints to be found before or after the list of people, and the potential dates could
              be identified in the individuals' calendars before checking with the departmental
                                                                                                         I
              calendar. It is, however, important to get both the list of attendees and meeting
              constraints before looking for potential dates.

              What information needs to be available? What data is required to perform a task?
              How is this data to be transformed by the system? Data is one of the categories of
              requirements we aim to identify and capture through the requirements activity.
              During conceptual design, we need to consider the information requirements and
              ensure that our model caters for the necessary data and that information is avail-
              able as required to perform the task. Detailed issues of structure and display, such
              as whether to use an analog display or a digital display, will more likely be dealt
              with in the later, physical design activity, but implications arising from the type of
              data to be displayed may impact conceptual design issues.
                  For example, in the task of booking a meeting among a set of people using the
              shared calendar, the system needs to be told who is to be at the meeting, how long
              the meeting is to take, what its location should be, and what is the latest date on
              which the meeting should be booked, e.g., in the next week, next two weeks, etc. In
              order to perform the function, the system must have this information and also must
              have calendar information for each of the people in the meeting, the set of loca-
              tions where the meeting may take place, and ideally some way of knowing how
              long a person would have to travel to the location.

8.3.3 Using scenarios in conceptual design
              In Chapter 7, we introduced scenarios as informal stories about user tasks and ac-
              tivities. They are a powerful mechanism for communicating among team members
              and with users. We stated in Chapter 7 that scenarios could be used and refined
              through different data-gathering sessions, and they can indeed be used to check out
              potential conceptual models.
                   Scenarios can be used to explicate existing work situations, but they are more
              commonly used for expressing proposed or imagined situations to help in concep-
              tual design. Often, stakeholders are actively involved in producing and checking
260   Chapter 8      Design, protoyping and construction

                  through scenarios for a product. B@dkeridentifies four roles that have been sug-
                  gested for scenarios (B@dker,2000, p. 63):
                           as a basis for the overall design
                           for technical implementation
                           as a means of cooperation within design teams                                       I
                           as a means of cooperation across professional boundaries, i.e., as a basis of
                           communication in a multidisciplinary team
                       In any one project, scenarios may be used for any or all of these. Box 8.4 de-
                  tails how different scenarios were used throughout the development of a speech-
                     Scenario 3: Hyper-wonderland
                     This scenario addresses the positive aspects of how a hypermedia solution will
                  work.
                     The setting is the Lindholm consuuction site sometime in the future.
                     Kurt has access to a portable PC. The portables are hooked up to the computer at the
                  site office via a wireless modem connection, through which the supervisors run the hy-
                  permedia application.
                     Action: During inspection of one of the caissons1 K r takes his portable PC,
                                                                                 ut
                  switches it on and places the cursor on the required information. He clicks the mouse
                  button and gets the master file index together with an overview of links. He chooses the
                  links of relevance for the caisson he is inspecting.
                     Kurt is pleased that he no longer needs to plan his inspections in advance. This is a
                  great help because due to the 'event-driven' nature of inspection, constructors never
                  know where and when an inspection is tajung place. Moreover, it has become much
                  easier to keep nack of personal notes, reports etc. because they can be entered directly
                  on the spot.
                     The access via the construction site interface does not force him to deal with compli-
                  cated keywords either. Instead, he can access the relevant information right away, liter-
                  ally from where he is standing.
                     A positive side effect concerns his reachability. As long as he has logged in on the
                  computer, he is within reach of the secretaries and can be contacted when guests arrive
                  or when he is needed somewhere else on the site. Moreover, he can see a a glance t
                  where his colleagues are working and get in touch with them when he needs theii help
                  or advice.
                     All in all, Kurt feels that the new computer application has put him more in control of
                  things.
                     Scenario 4: Panopticon
                     This scenario addresses the negative aspects of how a hypermedia solution will
                  work.
                     The setting is the Lindholm construction site sometime in the future.
                     Kurt has access to a portable PC. The portables are hooked up to the computer at the
                  site ofice via a wireless modem connection, through which the supwisors run the hy-
                  permedia application.
                     Action: During inspecting one of the caissons K r starts talking to one of the build-
                                                                       ut
                  e n about some reinforcement problem. They argue about the recent lab tests. and he
                  takes out h s portable PC in order to provide some data which justify his arguments. It
                  takes quite a while before he finds a spot where he can place the PC. either there is too
                  much light, or there is no level surface at a suitable height. Finally, he puts the laptop
                  on a big box and switches it on. He positions the cursor on the caisson he is currently
                  inspecting and clicks the mouse to get into the master file. The table of contents pops up
                  and from the overview of links he chooses those of relevance - but no lab test appears
                  on the screen. Obviously, the file has not been updated as planned.
                     Kurt is rather upset. This loss of prestige in front of a contractor engineer would not
                  have happened if he had planned his inspection as he had in the old days.
                     Sometimes, he feels l i e a hunted fox especially in Situatlon~where he is drifting
                  around thinking about what kind of action to take in a particular case. If he has forgot-
                  ten ro log out he suddenly has a secretary on the phone: "I see you are right a caisson
                                                                                                     t
                  39. so could you not just drop by and take a message?"
                     All in all Kurt feels that the new computer application has put him under control.

                  'Used in building to hold water back during construction.
                  Figure 8.8 Example plus and minus scenarios.
8.3 Conceptual design: moving from requirements to first design          261

          recognition system. More specifically, scenarios have been used as scripts for user
          evaluation of prototypes, providing a concrete example of a task the user will per-
          form with the product. Scenarios can also be used to build a shared understanding
          among team members of the kind of system being developed. Scenarios are good at
          selling ideas to users, managers, and potential customers. For example the scenario
          presented in Figure 7.7 was designed to sell ideas to potential customers on how a
          product might enhance their lifestyles.
               An interesting idea also proposed by Bgdker is the notion of plus and m i n u s
          scenarios. These attempt to capture the most positive and the most negative conse-
          quences of a particular proposed design solution (see Figure 8.8) thereby helping
          designers to gain a more comprehensive view of the proposal.



          Consider an in-car navigation device for planning routes, and suggest one plus and one
          minus scenario. For the plus scenario, try to think of all the possible benefits of the device.
          For the minus scenario, try to imagine everything that could go wrong.

Comment   Scenario 1 This plus scenario shows some potential positive aspects of an in-car navigation
          system.
              "Beth is in a hurry to get to her friend's house. She jumps into the car and switches on her
              in-car navigation system. The display appears quickly, showing her local area and
              indicating the current location of her car with a bright white dot. She calls up the memory
              function of the device and chooses her friend's address. A number of her frequent
              destinations are stored like this in the device, ready for her to pick the one she wants. She
              chooses the "shortest route" option and the device thinks for a few seconds before
              showing her a bird's-eye view of her route. This feature is very useful because she can get
              an overall view of where she is going.
                  Once the engine is started, the display reverts to a close-up view to show the details of
              her journey. A s she pulls away from the pavement, a calm voice tells her to "drive straight
              o n for half a mile, then turn left." After half a mile, the voice says again "turn left at the
              next junction." A s Beth has traveled this route many times before, she doesn't need to be
              told when to turn left or right, so she turns o f f the voice output and relies only on the
              display, which shows sujjicient detail for her to see the location of her car, her destination
              and the roads she needs to use."

             Scenario 2 This minus scenario shows some potential negative aspects of an in-car naviga-
          tion system.
              "Beth is in a hurry to get to her friend's house. She gets in her car and turns on the in-car
              navigation system. The car's battery is faulty so all the information she had entered into
              the device has been lost. She has to tell the device her destination by choosing from a
              long list of towns and roads. Eventually, she finds the right address and asks for the
              quickest route. The device takes ages to respond, but after a couple of minutes displays
              an overall view of the route it has found. To Beth's dismay, the route chosen includes
              one of the main roads that is being dug up over this weekend, so she cannot use the
              route. She needs to find another route, so she presses the cancel button and tries again to
              search for her friend's address through the long list oftowns and roads. By this time, she
              is very late."
262   Chapter 8    Design, protoIyping and construction




8.3.4 Using prototypes in conceptual design
                  The whole point of producing a prototype is to allow some evaluation of the
                  emerging ideas to take place. As pointed out above, prototypes are built in order to
                  answer questions. Producing anything concrete requires some consideration of the
                  details of the design. If the prototype is to be evaluated seriously by users, then
                  they must be able to see how their tasks might be supported by the product, and
                  this will require consideration of more detailed aspects.
8.3 Conceptual design: moving from requirements to first design

     Prototyping is used to get feedback on emerging designs. This feedback may
                                                                                      263
                                                                                            I
be from users, or from colleagues, or it may be feedback telling you that the idea
is not technically feasible. Different kinds of prototype are therefore used at dif-
ferent points in the development iterations and with different people. Generally
speaking, low-fidelity prototypes (such as paper-based scenarios) are used ear-
lier in design and higher-fidelity prototypes (such as limited software implemen-
tations) are used later in design. However, low-fidelity prototypes are not very
impressive to look at, so if the feedback you're looking for is approval from peo-
ple who will be basing their judgment on first impressions, then a horizontal,
high-fidelity prototype might suit the job better than one based on post-its or
cards.
     Figure 8.9 shows a card-based prototype for the shared calendar system cre-
ated for a user testing session to check that the task flow and the information re-         ,
quirements were correct for the task of arranging a meeting. The first card shows
the screen that asks the user for relevant information to find a suitable meeting
date. The second card shows the screen after the system has found some potentially
suitable dates and displays the results. Finally, the third screen depicts the situation




Figure 8.9 A card-based prototype for booking a meeting in the shared calendar system.
264   Chapter 8    Design, prototyping and construction

                  after a user has chosen one of the dates and is asked to provisionally book the cho-
                  sen option, to confirm that this should be booked, or to cancel.
                       Note that at this point we have not decided how the navigation will work, i.e.,
                  whether there will be a tool bar, menus, etc. But we have included some detailed
                  aspects of the design, in order to provide enough detail for users to interact with
                  the prototype.
                      To illustrate how these cards can be used and the kind of information they can
                  yield, we held a prototyping session with a potential user of the calendar. The ses-
                  sion was informal (a kind of "quick and dirty" evaluation that you'll learn more
                  about in Chapter 11) and lasted about 20 minutes. The user was walked through
                  the task to see if the work flow was appropriate for the task of booking a meeting.
                  Generally, the work flow agreed with the user's model of the task, but the session
                  also highlighted some further considerations that did not arise in the original data
                  gathering. Some of these had to do with work flow, but others were concerned with             I
                  more detailed design. For example, the user suggested that it should be possible to
                  state a range of dates rather than just a "before" date; he also thought that the peo-
                  ple attending the meeting should have a chance to confirm the date through the
                  system, and then when everyone had confirmed, the booking could be confirmed
                  and placed in the calendar. On the detailed design, he thought that date entry
                  through a matrix rather than a drop-down list would be more comfortable, and he
                  asked how the possible meeting dates would be ordered. There were many more
                  comments, all of which would be food for thought in the design. We considered
                  only the one task, and yet it yielded a lot of very useful information.


                    oduce a card-based prototype for the library catalog system and the task of borrowing a
                    ok as described by the scenario, use case, and HTA in Chapter 7. You may also like to ask
                  one of your peers to act as a user and step through the task using the prototype.

Comment           Our version of the prototype is shown in Figure 8.10.


      Physical design: getting concrete
                  Physical design involves considering more concrete, detailed issuer; of designing the
                  interface, such as screen or keypad design, which icons to use, how to structure
                  menus, etc.
                       There is no rigid border between conceptual design and physical design. As
                  you saw above, producing a prototype inevitably means making some detailed de-
                  cisions, albeit tentatively. Interaction design is inherently iterative, and so some de-
                  tailed issues will come up during conceptual design; similarly., during physical
                  design it will be necessary to revisit decisions made during conceptual design. Ex-
                  actly where the border lies is not relevant. What is relevant is that the conceptual
                  design should be allowed to develop freely without being tied to physical con-
                  straints too early, as this might inhibit creativity.
                       Design is about making choices and .decisions, and the designer must strive
                  to balance environmental, user, data and usability requiremen1.s with functional
8.4 Physical design: getting concrete            265




    - B y AaG-------.--..             -'y---            - - , --   - -
                                Name
                              --- - - - A ~ ~ - , . L - -- -. .
                                                            1




                                     -em--. - -

I   -    "


            .. -
        By Title
                                                  - -1
                              -Title -l~~~+---..---.-
                                                i    -iI
                                                            .-
                                                             .-    .




                            SEARCH BOCW( RESULTS
                                       --------                        -
                                          Tine -   --   -%lf_Mar_k




                                                                            I
                                                                       -1        Figure 8.10 A card-based
                                                                            ;    prototype for borrowing a
                                                                            II   book in the library catalog
                                                                                 system.



requirements. These are often in conflict. For example, a cell phone must pro-
vide a lot of functionality but is constrained by having only a small screen and a
small keyboard. This means that the display of information is limited and the
number of unique function keys is also limited, resulting in restricted views of in-
formation and the need to associate multiple functions with function keys. Figure
8.11 shows the number of words it can display.
    There are many aspects to the physical design of interactive products, and
we can't cover them all in this book. Instead, we introduce some principles of
266   Chapter 8    Design, protoiyping and construction




                                   Figure 8.1 1 An average cell phone screen can display only a short mes-
                                   sage legibly.


                  good design in the context of some common interface elements. On our website
                  (www.ID-book.com), you will find more activities and concrete examples of
                  physical design.


                                                                                                             I
                                            .



8.4.1 Guidelines for physical design
                  The way we design the physical interface of the interactive product must not conflict
                  with the user's cognitive processes involved in achieving the task. In Chapter 3, we in-
                  troduced a number of these processes, such as attention, perception, memory, and so
                  on, and we must design the physical form with these human characteristics very much
                  in mind. For example, to help avoid memory overload, the interface should list op-
                  tions for us instead of making us remember a long list of possibilities. A wide range of
                  guidelines, principles, and rules has been developed to help designers ensure that
                  their products are usable, many of which are embodied in style guides and standards
                  (see Box 8.5 for more information on this). Nielsen's set of guidelines were introduced
                  in Chapter 1 in the form of heuristics. Another well-known set intended for informing
                  design is Shneiderman's eight golden rules of interface design (Shneiderman,1998):
                      1. Strive for consistency. For example, in every screen have a 'File' menu in the
                         top left-hand corner. For every action that results in the loss of data, ask for
                         confirmation of the action to give users a chance to change their minds.
                      2. Enable frequent users to use shortcuts. For example, in most word-processing
                         packages, users may move around the functions using menus or shortcut
                         "quick keys," or function buttons.
                      3. Offer informative feedback. Instead of simply saying "Error 404," make it
                         clear what the error means: "The URL is unknown." This feedback is also
                         influenced by the kinds of users, since what is meaningful to a scientist may
                         not be meaningful to a manager or an architect.
                      4. Design dialogs to yield closure. For example, make it clear when an action
                         has completed successfully: "printing completed."
                      5. O#er errorprevention and simple error handling. I t is better for the user not
                         to make any errors, i.e., for the interface to prevent users from making mis-
                         takes. However, mistakes are inevitable and the system should be forgiving
                         about the errors made and support the user in getting back on track.
                      6. Permit easy reversal of actions. For example, provide an "undo" key where
                         possible.
                      7. Support internal locus of control. Users feel more comfortable if they feel in
                         control of the interaction rather than the device being in control.
8.4 Physical design: getting concrete   267

    8. Reduce short-term memory load. For example, wherever possible, offer
       users options rather than ask them to remember information from one
       screen to another.
Other guidelines that have been suggested include keeping the interaction simple
and clear, organizing interface elements to aid understanding and use through suit-
able groupings, and designing images to be immediate and generalizable. All of
268   Chapter 8    Design, prototyping and construction

                  these focus on making the communication between user and product as clear as
                  possible.
                       Extensive experience in the art of communication (through posters, text,
                  books, images, advertising, etc.) is relevant to interaction design. In her interview
                  at the end of Chapter 6, Gillian Crampton Smith identifies the roles that traditional
                  designers can play in interaction design; one of them she highlights is the fact that
                  designers are trained to produce a coherent design that delivers the desired mes-
                  sage to the intended audience. Including such designers on the team can bring this
                  experience to bear. Mullet and Sano (1995) identify a number of useful design prin-
                  ciples arising from the visual arts.
                       To see how these can be translated into the context of interaction design, we
                  consider their application to different widgets, i.e., screen elements, in the next
                  section.

8.4.2 Different kinds of widget
                  Interfaces are made up of widgets, elements such as dialog boxes, menus, icons,
                  toolbars, etc. Each element must be designed or chosen from a predesigned set of
                  widgets. Sometimes these decisions are made for you through the use of a style
                  guide. Style guides may be commercially produced, such as the Windows style
                  guide (called commercial style guides), or they may be internal to a company
                  (called corporate style guides). A style guide dictates the look and feel of the inter-
                  face, i.e., which widgets should be used for which purpose and what they look like.
                  For example, study your favorite Windows applications. Which menu is always on
                  the right-hand side of the toolbar? What icon is used to represent "close" or
                  "print"? Which typeface is used in menus and dialog boxes? Each Windows prod-
                  uct has the same look and feel, and this is specified in the Windows style guide. If
                  you go to a commercial website, you may find that each screen also has the same
                  look and feel to it. This kind of corporate identity can be captured in a corporate
                  style guide. More information about standards and style guides is in Box 8.5.
                       We consider here briefly three main aspects of interface design: menu design,
                  icon design, and screen layout. These are applicable to a wide range of interactive
                  products, from standard desktop interfaces for PC software, to mobile communica-
                  tor functions and microwave ovens.

                  Menu design Menus provide users with a choice that can be a choice of com-
                  mands or a choice of options related to a command. They provide the means by
                  which the user can perform actions related to the task in hand and therefore are
                  based on task structure and the information required to perform a task.
                      Menus may be designed as drop-down, pop-up or single-dialog menus. It may
                  seem obvious how to design a menu, but if you want to make the application easy
                  to use and provide user satisfaction, some important points must be taken into ac-
                  count. For example, for pull-down and pop-up menus, the most commonly used
                  functions should be at the top, to avoid frequent long scans and scrolls. The princi-
                  ple of grouping can be used to good effect in menu design. For example, the menu
                  can be divided into collections of items that are related, with each collection being
8.4 Physical design: getting concrete     269

 5.2 Grouping options in a menu
       Menu options should be grouped within a menu to reflect user expectations and facil-
       itate option search.
 5.2.1 Logical groups
                                                                     or more) and these op-
                                                                    by function or into other

       EXAMPLE: Grouping the commands in a word-processing system into such categories
       as customise, compose, edit, print.
 5.2.2 Arbitrary groups
       If 8 or more options are arranged arbitrarily in a menu panel, they should be
       arranged into equally distributed groups utilising the following equation:
           g = in
       where
            g i s the number of groups
            n is the number of options on the panel.
       EXAMPLE: Given 19 options in a menu panel, arrange them into 4 groups of about 5
       options each.

Figure 8.12 An excerpt from I S 0 9241 concerning how to group items in a menu.



separated from others. Opposite operations such as "quit" and "save" should be
clearly separated to avoid accidentally losing work instead of saving it (See Figure
1.6 in Chapter 1).
     An excerpt from I S 0 9241, a major international standard for interaction de-
sign, considers grouping in menu design, as shown in Figure 8.12.
     To show how the design of menus may proceed, we return to the shared calen-
dar. In our initial data gathering, we identified a number of possible tasks that the
user might want to perform using the calendar. These included making an entry, ar-
ranging a meeting among a number of people, entering contact details, and finding
out other people's engagements. Tied to these would also be a number of adminis-
trative and housekeeping actions such as deleting entries, moving entries, editing
entries, and so on. Suppose we stick with just this list. The first question is what to
call the menu entries. Menu names need to be short, clear, and unambiguous. The
space for listing them will be restricted, so they must be short, and you want them
to be distinguishable, i.e., not easily confused with one another so that the user
won't choose the wrong one by mistake. Our current descriptions are really too
long. For example, instead of "find out other people's engagements" we could have
Query entry as a menu option, following through to a dialog box that asks for rele-
vant details.
     We need to consider logical groupings. In this case, we could group according
to user goal, i.e., have Query entry, Add entry, Edit entry, Move entry, and Delete
entry grouped together (see Figure 8.13). Similarly, we could group Add contact,
270   Chapter 8    Design, prototyping and construction

                  Calendar Entry                Contacts            Arrange Meeting
                    Add Entry                   Add Contact
                    Edit Entry                  Edit Contact
                    Move Entry                  Delete Contact
                    Delete Entry
                  Figure 8.1 3   Possible menu groupings for the shared calendar system.



                  Edit contact and Delete contact together. Finding other people's engagements could
                  be generalized to a simple Search option that led to a dialog box in which the
                  search parameters are specified. Arranging a meeting is also an option that doesn't
                  clearly group with other commands. This and the Search option may be better rep-
                  resented as options on a toolbar than as menu items on their own.

                  Icon design Designing a good icon takes more than a few minutes. You may be
                  able to think up good icons in a matter of seconds, but such examples are unlikely
                  to be widely acceptable to your user group. When symbols for representing ladies'
                  and gents' toilets first appeared in the UK, a number of confused tourists did not
                  understand the culturally specific icons of a woman wearing a skirt and a man wear-
                  ing trousers. For example, some people protested that they thought the male icon
                  was a woman wearing a trouser suit. We are now all used to these symbols, and in-
                  deed internationally recognized symbols for how to wash clothes, fire exits, road
                  signs, etc. now exist. However, icons are cultural and context-specific. Designing a
                  good icon takes time.
                       At a simple level, designers should always draw on existing traditions or
                  standards, and certainly should not contradict them. Concrete objects or things
                  are easier to represent as an icon since they can be just a picture of the item. Ac-
                  tions are harder but can sometimes be captured. For example, using a picture of
                                                            7
                  a pair of scissors to represent "cut ' in a word-processing application provides
                  sufficient clues as long as the user understands the convention of "cut" for delet-
                  ing text.
                       In our shared calendar, if we are going to have the Search and Arrange a Meet-
                  ing commands on a tool bar, we need to identify a suitable icon for each of them. A
                  number of possible icons spring to mind for the Search option, mainly because
                  searching is a fairly common action in many interactive products: a magnifying
                  glass or a pair of binoculars are commonly used for such options. Arranging a
                  meeting is a little difficult, though. It's probably easier to focus on the meeting itself
                  than the act of arranging the meeting, but how do you capture a meeting? You
                  want the icon to be immediately recognizable, yet it must be small and simple.
                  What characteristic(s) of a meeting might you capture? One of the things that
                  comes to mind is a group of people, so maybe we could consider a collection of
                  stick people? Another element of a meeting is usually a table, but a table on its
                  own isn't enough, so maybe having a table with a number of people around it
                  would work?
8.4 Physical design: getting concrete      271




          Figure 8.14   A variety of possible icons to represent the "arrange a meeting" function.


          Sketch a simple, small icon to represent a set of people around the table, or suggest an icon
          of your own. Show it to your peers or friends, tell them that it's an icon for a shared calendar
          application, and see if they can understand what it represents.

Comment   A variety of attempts are shown in Figure 8.14. The last icon is the icon that paim.net uses
          for arranging meetings. This is a different possibility that tries to capture the fact that you're
          entering data into the planner.


               We discussed some cognitive aspects relevant to icon design in Chapter 3. For
          example, icons must be designed so that users can readily perceive their meaning
          and so that they are distinguishable one from another. Since the size of icons on the
          screen is often very small, this can be difficult to achieve, but users must be able to
          tell them apart. Look back again at Figure 3.4 and the activity associated with it.
          How easy do you think it would be to tell some of these icons apart if they were just
          a little smaller, or the screen resolution was lower?

          Screen design. There are two aspects to screen design: how the task is split across
          a number of screens, and how the individual screens are designed.
               The first aspect can be supported by reference to the task analysis, which broke
          down the user's task into subtasks and plans of action. One starting point for screen
          design is to translate the task analysis into screens, so that each task or subtask has
          its own screen. This will require redesign and adjustment, but it is a starting point.
          The interaction could be divided into simple steps, each involving a decision or
          simple data entry. However, this can become idiotic, and having too many simple
          screens can become just as frustrating as having information all crammed into one
          screen. THIS is one of the balances to be drawn in screen design. Tasks that are
          more complicated than this (and are usually unsuited to simple task analysis) may
          require a different model of interaction in which a number of screens are open at
          the same time and the user is allowed to switch among them.
272   Chapter 8    Design, prototyping and construction

                       Another issue affecting the division of a task across screens is that all pertinent
                  information must be easily available at relevant times.
                       Guidelines for the second aspect, individual screen design, draw more clearly
                  from some of the visual communication principles we mentioned above: for exam-
                  ple, designing the screen so that users' attention is drawn immediately to the salient
                  points, and using color, motion, boxing and grouping to aid understanding and clar-
                  ity. Each screen should be designed so that when users first see it, their attention is
                  focused on something that is appropriate and useful to the task at hand. Anima-
                  tions can be very distracting if they are not relevant to the task, but are effective if
                  used judiciously.
                       Good organization helps users to make sense of an interaction and to inter-
                  pret it within their own context (as discussed in Chapter 3). This is another ex-
                  ample where principles of good grouping can be applied, for example, grouping
                  similar things together or providing separation between dissimilar or unrelated
                  items. Grouping can be achieved in different ways: by placing things close to-
                  gether, using colors, boxes, or frames to segregate items, or using shapes to in-
                  dicate relationships among elements. There is a trade-off between sparsely
                  populated screens with a lot of open space and overcrowded screens with too
                  many and too complicated sets of icons. If the screen is overcrowded, then users
8.4 Physical design: getting concrete   273
274   Chapter 8    Design, prototyping and construction




                  will become confused and distracted. But too much open space and conse-
                  quently many screens can lead to frequent screen changes, and a disjointed se-
                  ries of interactions.

                  information display. Making sure that the relevant information is available for the
                  task is one aspect of information display, but another concerns the format. Differ-
8.5 Tool support    275

            ent types of information lend themselves to different kinds of display. For example,
            data that is discrete in nature, such as sales figures for the last month, could be dis-
            played graphically using a digital technique, while data that is continuous in nature,
            such as the percentage increase in sales over the last month, is better displayed
            using an analog device.
                 If data is to be transferred to the device from a paper-based medium or vice
            versa, it makes sense to have the two consistent. This reduces user confusion and
            search time in reconciling data displayed with data on the paper.
                 In the shared calendar application, there is potentially a lot of information to
            display. If you have five members of the department, each with their own calen-
            dars, and the departmental calendar too, then you need to display six sets of en-
            gagement information. When we showed the prototype system to our user, he
            suggested that dates should be chosen through a matrix of some kind rather than a
            drop-down list. Displaying information appropriately can make communication a
            lot easier.


8.5   Tool support
             The tools available to support the activities described here are wide-ranging and
             various. We mentioned development environments when talking about prototypes
             in Section 8.2, but other kinds of support are available.
                 Much research has been done into appropriate support for different kinds of
             design and software production, resulting in a huge variety of tools. Because tech-
             nology moves so quickly, any discussion of specific tools would be quickly out of
             date. Up-to-date information about support tools can be found on our website
             (www.ID-book.com).Here we report on some general observations about software
             tools.
                 Brad Myers (1995) suggests nine facilities that user interface software tools
             might provide:

                   help design the interface given a specification of the end users' tasks
                   help implement the interface given a specification of the design
                   create easy-to-use interfaces
                   allow the designer to rapidly investigate different designs
                   allow nonprogrammers to design and implement user interfaces
                   automatically evaluate the interface and propose improvements
                   allow the end user to customize the interface
                   provide portability
                   be easy to use

            In a later paper Myers et al. (2000), look at the past, present, and future of user in-
            terface tools. Box 8.8 describes some types of tool that have been successful and
            some that have been unsuccessful.
-   - -




276   Chapter 8   Design, prototyping and construction
Summary      277

Assignment
             This Assignment continues work on the web-based ticket reservation system at the end of
             Chapter 7.
                 (a) Based on the information gleaned from the assignment in Chapter 7, suggest three
                     different conceptual models for this system. YOU should consider each of the as-
                     pects of a conceptual model discussed in this chapter: interaction paradigm, interac-
                     tion mode, metaphors, activities it will support, functions, relationships between
                     functions, and information requirements. Of these, decide which one seems most
                     appropriate and articulate the reasons why.
                 (b) Produce the following prototypes for your chosen conceptual model.
                        (i) Using the scenarios generated for the ticket reservation system, produce a
                            storyboard for the task of buying a ticket for one of your conceptual models.
                            Show it to two or three potential users and get some informal feedback.
                       (ii) Now develop a prototype based on cards and post-it notes to represent the
                            structure of the ticket reservation task, incorporating the feedback from the
                            first evaluation. Show this new prototype t o a different set of potential users
                            and get some more informal feedback.
                      (iii) Using a software-based prototyping tool (e.g., Visual Basic or Director) or web
                            authoring tool (e.g., Dreamweaver), develop a software-based prototype that
                            incorporates all the feedback you've had so far. If you do not have experience
                            in using any of these, create a few HTML web pages to represent the basic
                            structure of your website.
                 (c) Consider the web page's detailed design. Sketch out the application's main screen
                     (home page or data entry). Consider the screen layout, use of colors, navigation
                     audio, animation, etc. While doing this, use the three main questions introduced in
                     Box 8.7 as guidance: Where am I? What's here? Where can I go? Write one or two
                     sentences explaining your choices, and consider whether the choice is a usability
                     consideration or a user experience consideration.

Summary
             This chapter has explored the activities of design prototyping and construction. Prototyping
             and scenarios are used throughout the design process to test out ideas for feasibility and user
             acceptance. We have looked at the different forms of prototyping, and the activities have en-
             couraged you to think about and apply prototyping techniques in the design process.
             Key points
               Prototyping may be low fidelity (such as paper-based) or high fidelity (such as software-
                based).
               High-fidelity prototypes may be vertical or horizontal.
               Low-fidelity prototypes are quick and easy to produce and modify and are used in the
                early stages of design.
               There are two aspects to the design activity: conceptual design and physical design.
               Conceptual design develops a model of what the product will do and how it will behave,
                while physical design specifies the details of the design such as screen layout and menu
               structure.
278     Chapter 8      Design, prototyping and construction

                         We have explored three perspectives to help you develop conceptual models: an interac-
                         tion paradigm point of view, an interaction mode point of view, and a metaphor point of
                         view.
                         Scenarios and prototypes can be used effectively in conceptual design to explore ideas.
                         We have discussed four areas of physical design: menu design, icon design, screen design,
                         and information display.
                         There is a wide variety of support tools available to interaction designers.


Further reading
WINOGRAD, TERRY (1996) Bringing Design to Software. Ad-          guidance for designing interactions that focus on communi-
dison-Wesley and ACM Press. This book is a collection of         cation. The ideas here come from communication-oriented
articles all based on the theme of applying ideas from other     visual designers. Mullet and Sano show how to apply these
design disciplines in software design. It has a good mixture     techniques to interaction design, and they also show some
of interviews, articles, and profiles of exemplary systems,      common errors made by interaction designers that contra-
projects or techniques. Anyone interested in software design     vene the principles.
will find it inspiring.                                          VEEN, JEFFREY (2001) The Art and Science of Web Design.
CARROLL, JOHN M. (ed.) (1995) Scenario-based Design. John        New Riders. A very bright book, providing a lot of practical
Wiley & Sons, Inc. This volume is an edited collection of pa-    information taken from the visual arts about how to design
pers arising from a three-day workshop on use-oriented de-       websites. It also includes sections on common mistakes to
sign. The book contains a variety of papers including case       help you avoid these pitfalls.
studies of scenario use within design, and techniques for        MYERS, BRAD, HUDSON, S. E., AND PAUSCH, R. (2000)
using them with object-oriented development, task models         Past, present and future of user interface software tools.
and usability engineering. This is a good place to get a broad   ACM Transactions on Computer-Human Interaction, 7(1),
understanding of this form of development.                       3-28. This paper presents an interesting description of
MULLET, KEVIN, AND SANO, DARELL (1995) Designing Vi-             user interface tools, expanding on the information given in
sual Interfaces. SunSoft Press. This book is full of practical   Box 8.8.
Chapter 9


               User-centered approaches
               to interaction
               9.1 Introduction
               9.2 Why is it important to involve users at all?
                     9.2.1 Degrees of involvement
               9.3 What is a user-centered approach?
               9.4 Understanding users' work: applying ethnography in design
                     9.4.1 Coherence
                     9.4.2 Contextual Design
               9.5 Involving users in design: participatory design
                     9.5.1 PlCTlVE
                     9.5.2 CARD



1   9.1 Introduction
               As you would expect, user-centered development involves finding out a lot about
               the users and their tasks, and using this information to inform design. In Chapter 7
               we introduced some data-gathering techniques which can be used to collect this in-
               formation, including naturalistic observation. Studying people in their "natural"
               surroundings as they go about their work can provide insights that other data-gath-
               ering techniques cannot, and so interaction designers are keen to use this approach
               where appropriate. One particular method that has been used successfully for natu-
               ralistic observation in the social sciences is ethnography. It has also been used with
               some success in product development but there have been some difficulties know-
               ing how to interpret and present the data gathered this way so that it can be trans-
               lated into practical design.
                    Another aspect of user-centered development is user involvement in the devel-
               opment process. There are different degrees of involvement, one of which is
               through evaluation studies, as discussed in Chapters 10 through 14. Another is for
               users to contribute actively to the design itself-to become co-designers. As Gillian
               Crampton Smith said in the interview at the end of Chapter 6, users are not design-
               ers, but the payoffs for allowing users to contribute to the design themselves are
               quite high in terms of user acceptance of the product. So techniques have been de-
               veloped that engage users actively and productively in design.
280   Chapter 9    User-centered approaches to interaction design

                      In this chapter, we discuss some issues surrounding user involvement, and ex-
                  pand on the principles underlying a user-centered approach. Then we describe two
                  approaches to using ethnographic data to inform design and two approaches to in-
                  volving users actively in design.
                      The main aims of this chapter are to:
                        Explain some advantages of involving users in development.
                        Explain the main principles of a user-centered approach.
                        Describe some ethnographic-based methods aimed at understanding users'
                        work.
                        Describe some participative design techniques that help users take an active
                        part in design decisions.


9.2 Why is it important to involve users at all?
                  We talked in Chapter 6 about the importance of identifying stakeholders and of          1
                  consulting the appropriate set of people;_Iqthe past, developers would often talk to    I
                  managers or to "proxy-users," i.e., people w$o role-played as users, when eliciting
                  requirements. But the best way to ensbre that development continues to take users'
                  activities into account is to involve rdal users throughout. In this way, developers
                  can gain a better understanding of their needs and their goals, leading to a more
                  appropriate, more useable product. However, two other aspects which have noth-

                                                          f
                  ing to do with functionality are equal y as important if the product is to be usable
                  and used: expectation management a d ownership.
                      Expectation management is the process of making sure that the users views7


                  and expectations of the new product are realistic. The purpose of expectation man-
                  agement is to ensure that there are no surprises for users when the product arrives.
                  If users feel they have been "cheated" by promises that have not been fulfilled,
                  then this will cause resistance and ma be rejection. Expectation management is rel-
                                                         ~i'
                  evant whether you are dealing with a organization introducing a new software sys-
                  tern or a company developing a new ifiteractive toy. In both cases, the marketing of
                  the new arrival must be careful not to misrepresent the product. How many times

                                                          i
                  have you seen an advert for somethi g you thought would be really good to have,
                  but when you see one, discover that t e marketing "hype" was a little exaggerated?
                  I expect you felt quite disappointed rjnd let down. Well, this is the kind of feeling
                  that expectation management tries to lavoid.
                      It is better to exceed users' expedtations than to fall below them. This does not
                                                                                                      7
                  mean just adding more features, how*,        but that the product supports the users
                  work more effectively than they expect. Inuolving users throughout development
                  helps with expectation management because they can see from an early stage what
                  the product's capabilities are and what they are not. They will also understand bet-
                  ter how it will affect their jobs and what 'they can expect to do with the product;
                  they are less likely to be disappointed. Users can also see the capabilities develop
                  and understand, at least to some extent, why the features are the way they are.
                       Adequate and timely training is another technique for managing expectations.
                  If you give people the chance to work with the product before it is released, either
9.2 Why is it important to involve users at all?   281   I
             by training them on the real system or by offering hands-on demonstrations of a
             prerelease version, then they will understand better what to expect when the final
             product is released.
                 A second reason for user involvement is ownership. Users who are involved
             and feel that they have contributed to a product's development, are more likely to
             feel a sense of "ownership" towards it and to be receptive to it when it finally
             emerges. Remember Suzanne Robertson's comment in her interview at the end of
             Chapter 7 about how important it is for people to feel heard? Well, this is true
             throughout development, not just at the requirements stage.

9.2.1 Degrees of involvement
             Different degrees of user involvement may be implemented in order to manage ex-              I

             pectations and to create a feeling of ownership. At one end of the spectrum, users
             may be co-opted to the design team so that they are major contributors. For any
             one user, this may be on a full-time basis or a part-time basis, and it may be for the
             duration of the project or for a limited time only. There are advantages and disad-
             vantages to each situation. If a user is co-opted full-time for the whole project, their
             input will be consistent and they will become very familiar with the system and its
             rationale. However, if the project takes many years they may lose touch with the
             rest of the user group, making their input less valuable. If a user is co-opted part-
             time for the whole project, she will offer consistent input to development while re-
             maining in touch with other users. Depending on the situation, this will need
             careful management as the user will be trying to learn new jargon and handle unfa-
             miliar material as a member of the design team, yet concurrently trying to fulfill the
             demands of their original job. This can become very stressful for the individuals. If
             a number of users from each user group are co-opted part-time for a limited pe-
             riod, input is not necessarily consistent across the whole project, but careful coordi-
             nation between users can alleviate this problem. In this case, one user may be part
             of the design team for six months, then another takes over for the next six months,
             and so on.
                  At the other end of the spectrum, users may be kept informed through regular
             newsletters or other channels of communication. Provided they are given a chance
             to feed into the development process through workshops or similar events, this can
             be an effective approach to expectation management and ownership. In a situation
             with hundreds or even thousands of users it would not be feasible to involve them
             all as members of the team, and so this might be the only viable option.
                  If you have a large number of users, then a compromise situation is probably
             the best. Representatives from each user group may be co-opted onto the team on
             a full-time basis, while other users are involved through design workshops, evalua-
             tion sessions, and other data-gathering activities.
                  The individual circumstances of the particular project affect what is realistic
             and appropriate. If your end user groups are identifiable, e.g., you are developing a
             product for a particular company, then it is easier to involve them. If, however, you
             are developing a product for the open market, it is unlikely that you will be able to
             co-opt a user to your design team. Box 9.1 explains how Microsoft involves users in
             its developments.
282   Chapter 9    User-centered approaches to interaction design

                       One of the reasons often cited for not involving users in development is the
                  amount of time it takes to organize, manage, and control such involvement. This
                  issue may appear particularly acute in developing systems to run on the Internet
                  where ever-shorter timescales are being forced on teams-in this fast-moving area,
                  projects lasting three months or less are common. You might think, therefore, that
                  it would be particularly difficult to involve users in such projects. However, Braiter-
                  man et al. (2000) report two case studies showing how to involve users successfully
                  in large-scale but very short multidisciplinary projects, belying the claim that in-
                  volving users can waste valuable development time.
                       The first case study was a three-week project to develop the interaction for a
                  new web shopping application. The team included a usability designer, an informa-
                  tion architect, a project manager, content strategists, and two graphic designers. In
                  such a short timeframe, long research and prototyping sessions were impossible, so
                  the team produced a hand-drawn paper prototype of the application that was
9.2 Why is it important to involve users at all?   283

revised daily in response to customer testing. The customers were asked to perform
tasks with the prototype, which was manipulated by one of the team in order to
simulate interaction, e.g., changing screens. After half the sessions were conducted,
the team produced a more formal version of the prototype in Adobe Illustrator.
They found that customers were enthusiastic about using the paper prototype and
were keen to offer improvements.
     The second case study involved the development of a website for a video
game publisher over three months. In order to understand what attracts people
to such gaming sites, the multidisciplinary team felt they needed to understand
the essence of gaming. To do this, they met 32 teenage gamers over a ten-day
period, during which they observed and interviewed them in groups and individ-
ually. This allowed the team to understand something of the social nature of
gaming and gave insights into the gamers themselves. During design, the team
also conducted research and testing sessions in their office lab. This led them to
develop new strategies and web designs based on the gamers' habits, likes, and
dislikes.
     Box 9.2 describes a situation in which users were asked to manage a software
development project. There were hundreds of potential users, and so in addition,
9.3 What is a user-centered approach? 285

           users became design team members on a full- and part-time basis; regular design
           workshops, debriefing, and training sessions were also held.
               How actively users should be involved is a matter for debate. Some studies
           have shown that too much user involvement can lead to problems. This issue is dis-
           cussed in the Dilemma box below.

9.3 What is a user-centered approach?
           Throughout this book, we have emphasized the need for a user-centered approach
                                                                                                  i
           to development. By this we mean that the real users and their goals, not just tech-
           nology, should be the driving force behind development of a product. As a conse-
           quence, a well-designed system should make the most of human skill and
           judgment, should be directly relevant to the work in hand, and should support
           rather than constrain the user. This is less a technique and more a philosophy.
               In 1985, Gould and Lewis (1985) laid down three principles they believed           I

           would lead to a "useful and easy to use computer system." These are very similar to
           the three key characteristics of interaction design introduced in Chapter 6.
               1. Early focus on users and tasks. This means first understanding who the users
                  will be by directly studying their cognitive, behavioral, anthropomorphic,
                  and attitudinal characteristics. This required observing users doing their
                  normal tasks, studying the nature of those tasks, and then involving users in
                  the design process.
               2. Empirical measurement. Early in development, the reactions and perfor-
                  mance of intended users to printed scenarios, manuals, etc. is observed and
                  measured. Later on, users interact with simulations and prototypes and
                  their performance and reactions are observed, recorded, and analyzed.
               3. Iterative design. When problems are found in user testing, they are fixed and
                  then more tests and observations are carried out to see the effects of the
                  fixes. This means that design and development is iterative, with cycles of
                  "design, test, measure, and redesign" being repeated as often as necessary.
                Iteration is something we have emphasized throughout these chapters on de-
           sign, and it is now widely accepted that iteration is required. When Gould and
           Lewis wrote their paper, however, the iterative nature of design was not accepted
           by most developers. In fact, they comment in their paper how "obvious" these
           principles are, and remark that when they started recommending these to design-
           ers, the designers' reactions implied that these principles were indeed obvious.
           However, when they asked designers at a human factors symposium for the major
           steps in software design, most of them did not cite most of the principles-in fact,
           only 2% mentioned all of them. So maybe they had "obvious" merit, but were not
           so easy to put into practice. The Olympic Messaging System (OMS) (Gould et al.,
           1987) was the first reported large computer-based system to be developed using
           these three principles. Here a combination of techniques was used to elicit users'
           reactions to designs, from the earliest prototypes through to the final product. In
           this case, users were mainly involved in evaluating designs. The OMS is discussed
           further in Chapter 10.
286   Chapter 9    User-centered approaches to interaction design

                      The iterative nature of design and the need to develop usability goals have
                  been discussed in Chapter 6. Here, we focus on the first principle, early focus on
                  users and tasks, and suggest five further principles that expand and clarify what this
                  means:
                      1. User's tasks and goals are the driving force behind the development. In a
                          user-centered approach to design, while technology will inform design op-
                          tions and choices, it should not be the driving force. Instead of saying,
                          "Where can we deploy this new technology?," say, "What technologies are
                          available to provide better support for users' goals?"
                      2. Users' behavior and context of use are studied and the system is designed
                          to support them. This is about more than just capturing the tasks and the
                          users' goals. How people perform their tasks is also significant. Under-
                          standing behavior highlights priorities, preferences, and implicit inten-
                          tions. One argument against studying current behavior is that we are
                          looking to improve work, not to capture bad habits in automation. The
                          implication is that exposing designers to users is likely to stifle innovation
                          and creativity, but experience tells us that the opposite is true (Beyer and
                          HoItzblatt, 1998). In addition, if something is designed to support an ac-
                          tivity with little understanding of the real work involved, it is likely to be
                          incompatible with current practice, and users don't like to deviate from
                          their learned habits if operating a new device with similar properties
                          (Norman, 1988).
                      3. Users' characteristics are captured and designed for. When things go
                          wrong with technology, we often say that it is our fault. But as humans,
                          we are prone to making errors and we have certain limitations, both cog-
                          nitive and physical. Products designed to support humans should take
                          these limitations into account and should limit the mistakes we make.
                          Cognitive aspects such as attention, memory, and perception issues were
                          introduced in Chapter 3. Physical aspects include height, mobility, and
                          strength. Some characteristics are general, such as that about one man in
                          12 has some form of color blindness, but some characteristics may be as-
                          sociated more with the job or particular task at hand. So as well as gen-
                          eral characteristics, we need to capture those specific to the intended user
                          group.
                      4 . Users are consulted throughout development from earliest phases to the latest
                          and their input is seriously taken into account. As discussed above, there are
                          different levels of user involvement and there are different ways in which to
                          consult users. However involvement is organized, it is important that users
                          are respected by designers.
                      5 . All design decisions are taken within the context of the users, their work, and
                          their environment. This does not necessarily mean that users are actively in-
                          volved in design decisions. As you read in Gillian Crampton Smith's inter-
                          view at the end of Chapter 6, not everyone believes that it is a good idea for
                          users to be designers. As long as designers remain aware of the users while
9.3 What is a user-centered approach? 287

                  making their decisions, then this principle will be upheld. Keeping this con-
                  text in mind can be difficult, but an easily accessible collection of gathered
                  data is one way t o achieve this. Some design teams set up a specific design
                  room for the project where data and informal records of brainstorming ses-
                  sions are pinned on the walls o r left on the table. (This is discussed again in
                  Section 9.4.2 on Contextual Design.)



          Assume that you are involved in developing a new e-commerce site for selling garden plants.
          Suggest ways of applying the above principles in this task.

Comment   To address the first three principles, we would need to find out about potential users of the
          site. As this is a new site, there is no immediate set of users to consult. However, the tasks
          and goals, behavior, and characteristics of potential users of this site can be identified by in-
          vestigating how people shop in existing online and physical shopping situations-for exam-
          ple, shopping through interactive television, through other online sites, in a garden center, in
          the local corner shop, and so on. For each of these, you will find advantages and disadvan-
          tages to the shopping environment and you will observe different behaviors. By investigating
          behavior and patterns in a physical garden center, you can find out a lot about who might be
          interested in buying plants, how these people choose plants, what criteria are important, and
          what their buying habits are. From existing online shopping behavior, you could determine
          likely contexts of use for the new site.
              For the fourth principle, because we don't have an easily tapped set of users available, we
          could follow a similar route to the Internet company described in Section 9.2, and try to re-
          cruit people we believe to be representative of the group. These people may be involved in
          workshops or in evaluation sessions, possibly in a physical shopping environment. Valuable
          input can be gained in targeted workshops, focus groups, and evaluation sessions. The last
          principle could be supported through the creation of a design room to house all the data
          collected.




                                                     B 1986 by Randy Glaabergen.




               "We created this model to appeal to the
              youth market. The monitor is tattooed and
           the CD-ROM tray is pierced with a gold earring."
288   Chapter 9    User-centered approaches to interaction design

9.4   Understanding users' work:
      applying ethnography in design
                  Kuhn (1996) provides a good example illustrating the importance of understanding
                  users' work. She describes a case where a computer system was introduced to cut
                  down the amount of time spent on conversations between telephone-company re-
                  pair personnel. Such conversations were regarded as inefficient and "off-task."
                  What management had failed to realize was that in the conversations workers were
                  often consulting one another about problems, and were pooling their knowledge to
                  solve them. By removing the need for conversation, they removed a key mecha-
                  nism for solving problems. If only the designers had understood the work properly,
                  they would not have considered removing it.
                       Ethnography is a method that comes originally from anthropology and literally
                  means "writing the culture" (Hammersley and Atkinson, 1983). It has been used in
                  the social sciences to display the social organization of activities, and hence to un-
                  derstand work. It aims to find the order within an activity rather than impose any
                  framework of interpretation on it. It is a broad-based approach in which users are
                  observed as they go about their normal activities. The observers immerse them-
                  selves in the users' environment and participate in their day-to-day work, joining in
                  conversations, attending meetings, reading documents, and so on. The aim of an
                  ethnographic study is to make the implicit explicit. Those in the situation, the users
                  in this case, are so familiar with their surroundings and their daily tasks that they
                  often don't see the importance of familiar actions or happenings, and hence don't
                  remark upon them in interviews or other data-gathering sessions.
                       There are different ways in which this method can be associated with design.
                  Beynon-Davies (1997) has suggested that ethnography can be associated with de-
                  velopment as "ethnography oJ;" "ethnography for," and "ethnography within."
                  Ethnography of development refers to studies of developers themselves and their
                  workplace, with the aim of understanding the practices of development (e.g. But-
                  ton and Sharrock, 1994; Sharp et al., 1999). Ethnography for development yields
                  ethnographic studies that can be used as a resource for development, e.g., studies
                  of organizational work. Ethnography within software development is the most
                  common form of study (e.g., Hughes et al., 1993a); here the techniques associated
                  with ethnography are integrated into methods and approaches for development
                  (e.g., Viller and Sommerville, 1999).
                       Because of the very nature of the ethnographic experience, it is very difficult to
                  describe explicitly what data is collected through such an exercise. It is an experience
                  rather than a data-collection exercise. However, the experience must be shared with
                  other team members, and therefore needs to be documented and rationalized. Box 9.3
                  provides an example ethnographic account in the form of a description of an ethno-
                  graphic study of a new media company. In this case, the intention was not explicitly
                  concerned with designing an interactive product, but was a business-oriented ethnog-
                  raphy. The style and content of the piece, however, are typical of ethnographies.
                       Studying the context of work and watching work being done reveals informa-
                  tion that might be missed by other methods that concentrate on asking about work
                  away from its natural setting. For example, it can shed light on how people do the
                  "real" work as opposed to the formal procedures that you'd find in documentation;
9.4 Understanding users' work: applying ethnography in design   289
290   Chapter 9    User-centered approaches to interaction design




                  the nature and purposes of collaboration, awareness of other's work, and implicit
                  goals that may not even be recognized by the workers themselves. For example,            I
                  Heath et al. (1993) have been exploring the implications of ethnographic studies of
                  real-world settings for the design of cooperative systems. We described their un-
                                                                                                           1
                  derground control room study in Chapter 4, but they have also studied medical
                  centers, architects' practices, and TV and radio studios.                                I
                       In one of their studies Heath et al. (1993) looked at how dealers in a stock ex-    I
                  change work together. A main motivation was to see whether proposed technologi-
                  cal support for market trading was indeed suitable for that particular setting. One      I
                  of the tasks examined in detail was the process of writing tickets to record deals. It
                  had been commented upon earlier by others that this process of deal capture, using
                  "old-fashioned" paper and pencil technology, was currently time-consuming and
                  prone to error. Based on this finding, it had been further suggested that the existing
                  way of making deals could be improved by introducing new technologies, including
                  touch screens to input the details of transactions, and headphones to eliminate dis-
                  tracting external noise.
                       However, when Heath et al. began observing the deal capture in practice, they
                  quickly discovered that these proposals were misguided. In particular, they warned
                  that these new technologies would destroy the very means by which the traders cur-
                  rently communicate and keep informed of what others are up to. Thi: touch screens
                  would reduce the availability of information to others on how deals were progress-
                  ing, while headphones would impede the dealers' ability to inadvertently monitor
                  one another's conversations. They pointed out how this kind of peripheral monitor-
                  ing of other dealers' actions was central to the way deals are done. Moreover, if any
                  dealers failed to keep up with what the other dealers were doing by continuously
                  monitoring them, it was likely to affect their position in the market, which ulti-
                  mately could prove very costly to the bank they were working for.
                       Hence, the ethnographic study proved to be very useful in warning against at-
                  tempts to integrate new technologies into a workplace without thinking through
                  the implications for the work practice. As an alternative, Heath et al. suggested
                  pen-based mobile systems with gestural recognition that could allow deals to be
                  made efficiently while also allowing the other dealers to continue to monitor one
                  another unobtrusively.
9.4 Understanding users' work: applying ethnography in design   291

     Hughes et a1 (1993) state that "doing" ethnography is about being reasonable,
courteous and unthreatening, and interested in what's happening. This is particu-
larly important when trying to perform studies in people's homes, such as those de-
scribed in Box 9.4. There is, of course, more to it than this. Training and practice
are required to produce good ethnographies.
292   Chapter 9       User-centered approaches to interaction design

                       Collecting ethnographic data is not hard although it may seem a little bewildering
                  to those accustomed to using a frame of reference to focus the data collection rather
                  than letting the frame of reference arise from the available data. You collect what is
                  available, what is "ordinary," what it is that people do, say, how they work. The data
                  collected therefore has many forms: documents, notes of your own, pictures, room
                  layouts. Notebook notes may include snippets of conversation and descriptions of
                  rooms, meetings, what someone did, or how people reacted to a situation. It is oppor-
                  tunistic in that you collect what you can collect and make the most of opportunities
                  presented to you. You don't go in with a firm plan, and so the data you collect is not
                  specifiable in advance. You have to do it rather than read about it. What you record
                  can become more focused after being in the field for a while.


                  Look up from reading this book and observe your surroundings. Wherever you are, the
                  chances are that you can see and hear lots of things, and probably other people too. Start
                  to make a list of what you observe, and when things change or people move, write down
                  what has happened and how it happened. For example, if someone spoke, what did his
                  voice sound like? Angry, calm, whispering, happy? Spend just a few minutes observing
                  what you can see.
                      Now think about the same observations but begin to interpret them: imagine that you
                  have to place the main items or people that you can see into categories. For example, on a
                  train you might consider who might be getting off at which station, in a bedroom you might
                  think about how to tidy up the items lying around.
                     How easy is it to go from the detailed description to the more abstracted one?

Comment           As I am writing this, 1 am in a room on my own. I therefore don't have people to observe, but
                  my desk is covered with things: a pen, a boarding pass from a recent trip abroad, a rosette from
                  "
                  U                                     p a w , disks etc. If I look around then 1 can see the wall-
                  paper and the curtains, clothes hanging and in piles on the bed. In the background I can hear
                  cars moving along the road, and the television downstairs. To spend any length of time really
                  describing any one of the things 1 observe would take up a lot of words, and that's a lot of data.
                      If I now consider how to file the things I can see, then I would start to think of categories
                  such as which are books, which are research papers, what can be thrown away, and so on. It
                  becomes easier to feel like I'm making progress. The other thing to notice is that some things
                  1 can observe are blocked out of my sphere of interest, such as the cars outside.



                      In some ways, the goals of design and the goals of ethnography are at opposite
                  ends of a spectrum. Design is concerned with abstraction and rationalization.
                  Ethnography, on the other hand, is about detail. An ethnographer's account will be
                  concerned with the minutiae of observation, while a designer is looking for useful
                  abstractions that can be used to inform design. One of the difficulties faced by
                  those wishing to use this very powerful technique is how to harness the data gath-
                  ered in a form that can be used in design.
                      Below, we introduce one framework that has been developed specifically to
                  help structure the presentation of ethnographies in a way that enables designers to
                  use them (other frameworks to help orient observers and how to organize this kind
r
I                                   9.4 Understanding users' work: applying ethnography in design   293




                of study are described in Chapter 12). This framework has three main dimensions
                (Hughes et al, 1997):
                      1. The distributed co-ordination dimension focuses on the distributed nature of
                         the tasks and activities, and the means and mechanisms by which they are co-
                         ordinated. This has implications for the kind of automated support required.
                      2. The plans and procedures dimension focuses on the organizational support
                         for the work, such as workflow models and organizational charts, and how
                         these are used to support the work. Understanding this aspect impacts on
                         how the system is designed to utilize this kind of support.
                      3. The awareness of work dimension focuses on how people keep themselves
                         aware of others' work. No-one works in isolation, and it has been shown
                         that being aware of others' actions and work activities can be a crucial ele-
                         ment of doing a good job. In the stock market example described above,
                         this was one aspect that ethnographers identified. Implications here relate
                         to the sharing of information.
                Rather than taking data from ethnographers and interpreting this in design, an al-
                ternative approach is to train developers to collect ethnographic data themselves.
                This has the advantage of giving the designers first-hand experience of the situa-
                tion. Telling someone how to perform a task, or explaining what an experience is
                like, is very different from showing them or even gaining the experience them-
                selves. Finding people with the skills of ethnographers and interaction designers
                may be difficult, but it is possible to provide notational and procedural mechanisms
                to allow designers to gain some of the insights first-hand. The two methods de-
                scribed below provide such support.

    9.4.1 Coherence
                The Coherence method (Viller and Sommerville, 1999) combines experiences of
                using ethnography to inform design with developments in requirements engineer-
                ing. Specifically,it is intended to integrate social analysis with object-oriented analy-
                sis from software engineering (which includes producing use cases as described in
                Chapter 7). Coherence does not prescribe how to move from the social analysis to
                use cases, but claims that presenting the data from an ethnographic study based
                around a set of "viewpoints" and "concerns" facilitates the identification of the
                product's most important use cases.
294   Chapter 9    User-centered approaches to interaction design

                  Viewpoints and concerns
                  Coherence builds upon the framework introduced above and provides a set
                  of focus questions for each of the three dimensions, here called "viewpoints".
                  The focus questions (see Figure 9.1) are intended to guide the observer to par-
                  ticular aspects of the workplace. They can be used as a starting point to which
                  other questions may be added as experience in the domain and the method
                  increases.
                       In addition to viewpoints, Coherence has a set of concerns and associated
                  questions. Concerns are a kind of goal, and they represent criteria that guide the
                  requirements activity. These concerns are addressed within each appropriate view-
                  point. One of the first tasks is to determine whether the concern is indeed relevant
                  to the viewpoint. If it is relevant, then a set of elaboration questions is used to ex-
                  plore the concern further. The concerns, which have arisen from experience of
                  using ethnography in systems design, are:

                      1. Paperwork and computer work. These are embodiments of plans and proce-
                         dures, and at the same time are a mechanism for developing and sharing an
                         awareness of work.
                      2. Skill and the use of local knowledge. This refers to the "workarounds" that
                         a r e developed in organizations and are at the heart of how the real work
                         gets done.



                   Distributed coordination
                     How is the division of labor manifest through the work of individuals and its coordina-
                     tion with others?
                     How clear are the boundaries between one person's responsibilities and another's?
                     What appreciation do people have of the work/tasks/roles of others?
                     How is the work of individuals oriented towards the others?

                   Plans and procedures
                     How d o plans and procedures function in the workplace?
                     D O they always work?
                     How do they fail?
                     What happens when they fail?
                     How, and in what situations, are they circumvented?

                   Awareness of work
                     How does the spatial organization of the workplace facilitate interaction between
                     workers and with the objects they use?
                     How do workers organize the space around them? Which artifacts that are kept to
                     hand are likely to be important to the achievement of everyday work?
                     What are the notes and lists that the workers regularly refer to?
                     What are the location(s) of objects, who uses them, how often?

                  Figure 9.1 Focus questions for the three viewpoints.
9.4 Understanding users' work: applying ethnography in design    295

              Paperwork and computer work
                How do forms and other artifacts on paper or screen act as embodiments of the
                process?
                To what extent do the paper and computer work make it clear to others what stage
                people are at in their work?
                How flexible is the technology at supporting the work process-is a particular process
                enforced, or are alternatives permitted?

              Skill and the use of local knowledge
                What are the everyday skills employed by individuals and teams in order to get the
                work done?
                How is local knowledge used and made available, e.g., through the use of personalized
                checklists, asking experts, etc.?
                To what extent have standard procedures been adapted to take local factors into ac-
                count?

              Spatial and temporal organization
                How does the spatial organization of the workplace reflect how the work is per-
                formed?
                Which aspects of the work to be supported are time-dependent?
                Does any data have a "use-by-date"?
                How do workers make sure that they make use of the most up-to-date information?

              Organizational memory
                How do people learn and remember how to perform their work?
                How well do formal records match the reality of how work is done?

             Figure 9.2 Elaboration questions for the four concerns.



                 3. Spatial and temporal organization. This concern looks at the physical layout
                    of the workplace and areas where time is important.
                 4. Organizational memory. Formal documents are not the only way in which
                    things are remembered within an organization. Individuals may keep their
                    own records, or there may be local gurus.

             The elaboration questions associated with these concerns are listed in Figure 9.2
             and a sample social concern from the air traffic control domain, together with re-
             sultant requirements, is shown in Figure 9.3.


9.4.2 Contextual Design
             Contextual Design is another technique that was developed to handle the col-
             lection and interpretation of data from fieldwork with the intention of building a
             software-based product. It provides a structured approach to gathering and
             representing information from fieldwork such as ethnography, with the purpose
Paperwork and computer work
 Flight strips embody the process of an aircraft's progress through the sector of airspace
 controlled by a suite. As an aircraft approaches the sector, its strip is moved progressively
 to the bottom of the rack until it becomes the current strip for the controller to deal with.
 The work of the controller can therefore be viewed in terms of dealing with the flow of
 strips as aircraft enter, traverse, and leave the controller's sector.
 The collection of strips in various racks in a suite provide an 'at a glance' means of de-
 termining the current and future workload of a particular controller. The practice of
 'cocking out' strips, i.e., raising them slightly in the racks, informs the controller that
 there is something non-standard about the flight concerned. This may be done by the as-
 sistant controller when inserting the strip, or by the controller as a reminder. Glancing
 at the strips provides a controller with an indication of their current and future work-
 load, in the same way as it allows other controllers to see the relative loading on other
 sectors. This feature of the organization of the strips is used in particular at change over
 of shifts, where the incoming controller will spend up to 10 minutes looking over the
 shoulder of the out-going controller in order to 'get the picture' of the current state of
 the sector.
 Flight strips provide incredibly flexible support for the work of controllers. Different
 practices exist regarding whether strips are placed into the racks in a top to bottom se-
 quence or vice versa. All instructions given by controllers to pilots, and the pilots' ac-
 knowledgements, are recorded onto the relevant flight strip. These annotations are made
 using a standard set of symbols, and different coloured pens according to the annotator's
 role within the controlling team. In this way, flight strips constitute a record of a flight's
 progress through a sector.
 Requirement 1. The system shall support controllers 'getting the picture' by providing
 the ability to determine current and future load for a sector 'at a glance'
 Requirement 2. The system shall provide a facility to mark exceptional or non-standard
 flights requiring special attention
 Requirement 3. Annotations to flight records shall be recorded and presented in such a
 way that they identify the person who made them.

Figure 9.3 Elaboration of paperwork and computer work.



of feeding it into design. It has been used on a number of projects, e.g., see
Box 9.5.
    Contextual Design has seven parts: Contextual Inquiry, Work Modeling, Con-
solidation, Work Redesign, User Environment Design, Mockup and Test with Cus-
tomers, and Putting It into Practice. In this chapter we are focusing on
understanding users' work, and so shall discuss only the first three steps. Step 4 in-
volves changing work practices, which is outside our scope here. Step 5 produces a
prototype that is used with customers, and the final step concerns the practicality of
the working system. The activities involved in these last two steps have been dis-
cussed in general terms in Section 8.2.

Contextual inquiry
Contextual inquiry is an approach to ethnographic study used for design that fol-
lows an apprenticeship model: the designer works as an apprentice to the user. The
9.4 Understanding users' work: applying ethnography in design   297
I   298 Chapter 9 User-centered approaches to interaction design




                                         1.
                    most typical format for bontextual inquiry is a contextual interview, which is a com-
                    bination of observatfbn, discussion, and reconstruction of past events. Contextual
                    inquiry rests on four main principles: context, partnership, interpretation and focus.
                        The context principle emphasizes the importance of going to the workplace
                    and seeing what happens. The partnership principle states that the developer and
                    the user should collaborate in understanding the work; in a traditional interviewing
                    or workshop situation, !he interviewer or workshop leader is in control, but in con-
                    textual inquiry the spirit of partnership means that the understanding is developed
                    through cooperation.
9.4 Understanding users' work: applying ethnography in design         299

              The interpretation principle says that the observations must be interpreted in
          order to be used in design, and this interpretation should also be developed in coop-
          eration between the user and the developer. For example, I have a set of paper cards
          stuck on my screen at work. They are covered in notes; some list telephone numbers
          and some list commands for the software I use. Someone coming into my office might
          interpret these facts in a number of ways: that I don't have access to a telephone di-
          rectory; that I don't have a user manual for my software; that I use the software infre-
          quently; that the commands are particularly difficult to remember. The best way to
          interpret these facts is to discuss them with me. In fact, I do have a telephone direc-
          tory, but I keep the numbers on a note to save me the trouble of looking them up in
          the directory. I also have a telephone with a memory, but it isn't clear to me how to
          put the numbers in memory, so I use the notes instead. The commands are there be-
          cause I often forget them and waste time searching through menu structures.
              The fourth principle, the focus principle, was touched upon above in our dis-
          cussion of ethnography and was also addressed in Coherence: how do you know
          what to look for? In contextual inquiry, it is important that the discussion remains
          pertinent for the design being developed. To this end, a project focus is established
          to guide the interviewer, which will then be augmented by the individual's own
          focus that arises from their perspective and background. The contextual inquiry in-
          terview differs from ethnographic studies in a number of ways:
              1. It is much shorter than a typical ethnographic study. A contextual inquiry
                 interview lasts about two or three hours, while an ethnographic study tends
                 to be longer, probably weeks or months.
              2. The interview is much more intense and focused than an ethnographic
                 study, which takes in a wide view of the environment.
              3. In the interview, the designer is not taking on a role of participant observer,
                 but is inquiring about the work. The designer is observing, and is question-
                 ing behavior, but is not participating.
              4. In the interview, the intention is to design a new system, but when conduct-
                 ing an ethnography, there is no particular agenda to be followed.


          How does the contextual inquiry interview compare with the interviews introduced in
          Chapter 7?

Comment   We introduced structured, unstructured, and semi-structured interviews in Chapter 7. Con-
          textual inquiry could be viewed as an unstructured interview, but is more wide-ranging than
          this. The interviewer does not have a set list of questions to ask, and can be guided by the in-
          terviewee. Contextual inquiry, however, is to be conducted at the interviewee's place of
          work, while normal work continues. It incorporates other data-gathering techniques such as
          observation although other interviews too may be used in conjunction with other techniques.

               Normally, each team member conducts at least one contextual inquiry session.
          Data is collected in the form of notes and perhaps audio and video recording, but a
          lot of information is in the observer's head. It is important to review the experience
300   Chapter 9    User-centered approaches to interaction design

                  and to start documenting the findings as soon as possible after the session. Contextual
                  Design includes an interpretation session in which a number of models are generated
                  (see below). Figures 9.5 to 9.8 show flow, sequence, cultural, and physical models fo-
                  cused around the system manager of an organization (Holtzblatt and Beyer, 1996).

                  Work Modeling
                      For customer-centered design, the$rsf task of a design team is to shift focus from the
                      system that the team is chartered to build and redirect it to the work of potential
                      customers. Work, and understanding work becomes the primary consideration. But
                      "work" is a slippery concept. What is work? (Beyer and Holtzblatt, 1998, p. 81)
                      Contextual design identifies five aspects to modeling "work," each of which
                  guides the team to take a different perspective on what they have observed:
                        The workflow model (Figure 9.5) represents the people involved in the work
                        and the communication and coordination that takes place among them in
                        order to achieve the work.




                  Figure 9.5 An example work flow model.
9.4 Understanding users' work: applying ethnography in design   301
I


I                                       U1: Move user to larger disk
I                                    Intent: Give user more disk quota
    d
                                  Trigger: User requests higher disk quota
                                                    4
                                 Requests more quota of customer support
                                                    4
                     Customer support discovers there's no more room on the user's disk
                                                    4
                                         Customer support calls U1
                                                    P
                              Intent: Relocate user to a disk with more free
                                    space without losing any user data
                                        U1 looks for a scratch disk
                                                      P
                                     Initializes and mounts scratch disk
                                                      4 .
                                            Creates user d~rectory
                                                    8
                                      Moves user's files to the new disk
                                                    8
                                    Uses DIR to check that files are there
                                                      4
                            Call user to confirm the user agrees all files are there
                                                      4
                                         User checks and confirms
                                                      4
                                      Delete user files from the old disk
                                                      4
                       Send mail to system manager to add new disk to regular startup
                                                      4
                                       System manager adds new disk
                                                      8
                                                    Done


        Figure 9.6   An example sequence model.


               The sequence model (Figure 9.6) shows the detailed work steps necessary to
               achieve a goal. Sequences are collected during the contextual interview, as
               the user works. However, understanding the steps alone is not sufficient,
               since although you may be able to streamline the steps themselves, if you do
               not understand the goals you may create a nonsensical work sequence. The
               sequence model also states the trigger for the set of steps.
               The artifact model represents the physical things created to do the work,
               such as the sticky notes at my desk, described above. The model consists of
               an annotated picture (or drawing) of each significant physical artifact used in
               achieving the work.
               The cultural model (Figure 9.7) represents constraints on the system caused
               by organizational culture. Organizations have cultures, teams build up their
302   Chapter 9    User-centered approaches to interaction design
                                                                                                                          I
                                                                    Raise problems through
                                                                    escalation chain.




                                                                       .  I control your computer usage and disk space.
                                                                        .You should care what the system IS doing
                                                                           even if you don't want to.
                                                                        T a k e responsibilityfor your actions.
                                                                          Our services cost you.




                  Figure 9.7 An example cultural model.


                        own culture, and work is performed in a cultural context. Culture influences
                        the values and beliefs held by those taking part in the culture, and it deter-
                        mines rituals, expectations, and behavior. As a simple example, consider the
                        dress codes for different situations in which you may find yourself. If you
                        turn up at a baseball game in a three-piece suit, people will think you're a bit
                        odd. On the other hand, if you turn up at a formal dinner in jeans and T-
                        shirt, you will be refused entry. The cultural model aims to identify the main
                        influencers on work, i.e., people or groups who constrain or affect work in
                        some way.
                        The physical model (Figure 9.8) shows the physical structure of the work. It
                        may be a physical plan of the users' work environment, e.g., the office, or it
                        may be a schematic of a communications network showing how components
                        are linked together. The model captures the physical characteristics that con-
                        strain work and may make some work patterns infeasible.

                  The interpretation session
                  The work models are captured during an interpretation session. The team has to
                  build an agreed view of the customers, their work, and the system to be built. Each
                  developer therefore has to communicate to all the others on the team everything
                  learned from her own interviewing experiences. So, after a contextual inquiry in-
                  terview has been conducted, the team comes together to produce one consolidated
                  view of the users' work.
9.4 Understanding users' work: applying ethnogmphy in design      303




-   Multiple inconsisten
    tracking databases




                                                                                              Can't keep configuration
                                                                                              databases in sync if


                           Figure 9.8 An example physical model.



                                Certain roles need to be adopted by the participants of this session. The inter-
                           viewer is the person who has conducted the interviews and whose models are being
                           examined. He must describe to the team what happened and in what order. During
                           this recounting, the other members of the team can question the interviewer for clar-
                           ification and extra information. Work modelers draw the work models as they
                           emerge from the description given by the interviewer. The recorder keeps notes of
                           the interpretation session that provide a sequential record of the meeting. The rest
                           of the team (participants) listen to the description, ask questions, suggest design
                           ideas (which are noted and not discussed at this time), observe, and contribute to the
                           building of the models. The moderator stage-manages the meeting, keeps discussions
I   304   Chapter 9    User-centered approaches to interaction design

                      focused on the main issue, keeps the pace of the meeting brisk, encourages everyone
                      to take part, and notes where in the story the interviewer was in case of interrup-
                      tions. The rat-hole watcher steers the conversation away from any distractions.
                          The output from this session is a set of models associated with the particular
                      contextual inquiry interview. Each contextual inquiry interview generates its own
                      set of models that is inevitably focused on the interviewee. These sets of models
                      must be consolidated to gain a more general view of the work as described below.


                      The thick lightning marks in the flow models represent points at which breakdowns in com-
                      munication or coordination occur. Alongside each lightning bolt is a description of the cause
                      for this breakdown. Study the flow model in Figure 9.5 and identify all the breakdowns and
                      their causes.

    Cornment          There are five breakdowns:
                         (a) too many problem reports-many not real
                         (b) the flow "problem logged directly to vendor" skips the formal process.
                         (c) no status updates on ongoing problems
                         (d) formal process takes too long
                         (e) tries to sneak uncontrolled account


                      Consolidating the models
                      The affinity diagram (see Figure 9.9) aims to organize the individual notes captured in
                      the interpretation sessions into a hierarchy showing common structures and themes.
                      Notes are grouped together because they are similar in some fashion. The groups are
                      not predefined, but must emerge from the data. The process was originally introduced
                      into the software quality community from Japan, where it is regarded as one of the
                      seven quality processes. The affinity diagram is constructed after a cross-section of
                      users has been interviewed and the corresponding interpretation sessions completed.
                           The affinity diagram is built by a process of induction. One note is put up first,
                      and then the team searches for other notes that are related in some way.
                          The models produced during the interpretation session need to be consolidated
                      so as to get a more general model of the work, one that is valid across individuals.
                      The primary aim in consolidating flow models is to identify key roles. Any one indi-
                      vidual may take on more than one role, and so it is necessary to identify and com-
                      pare roles across and among individuals. F o r example, two different people may
                      take on the role of quality assessor in different departments, and one of these may
                      also be a production manager. To do this, the individuals' responsibilities are listed
                      and a group of them that all lead towards one goal is identified. This goal and its set
                      of responsibilities represents one role. Like the affinity diagram, this activity is con-
                      cerned with grouping elements together along theme lines. Sometimes individuals
                      use different names for the same role. The artifacts and communications among
                      people need to be consolidated, too, in terms of flows between roles.
9.4 understanding users' work: applying ethnography in design            305




  lndividual point
  captured during
  interpretation
                      lndividual point
                      captured during
                      interoretation     II   lndividual point
                                              captured during
                                              inter~retation
                                                                 white



  lndividual point   1 lndividual point I 1 lndividual point I
  captured during
  interpretation
                      captured during
                      interpretation     II   captured during
                                              interpretation


  lndividual point                            lndividual point
  captured during                             captured during
  interpretation                              interpretation


                                              lndividual point
                                              captured during
                                              interpretation             Figure 9.9 The structure
                                                                         of an affinity diagram.


     Consolidated sequence models show the structure of a task and common
strategies. The consolidated sequence model allows the team to identify what really
needs to happen to accomplish the work, and hence what needs to be supported.
     Artifact models show how people organize and structure their work, so a con-
solidated model shows common approaches to this across different people. The se-
quence models show the steps in the task, while the artifact model shows what is
manipulated in order to achieve the task.
     Physical space also has commonalities. For example, most companies have an
entrance lobby with a receptionist or security guard, then beyond that personal of-
fices and meeting rooms. Within one organization, even if it is distributed across
different buildings, there is commonality of physical structure and hence con-
straints under which the work must be accomplished.
     The cultural models help in identifying what matters to people who are doing
the work. The cultural model identifies the influencers, so a consolidated model
shows the set of common influencers within the organization.
I   306   Chapter 9    User-centered approaches to interaction design

                          All together, the consolidated models help designers to understand the users'
                      intent, strategy to achieve that intent, structures to support the strategy, concepts
                      to help manage and think about work, and the users' mind set.


I                     The Design Room
                      An important element of Contextual Design is the design room, where all the work
                      models are kept, pinned to the wall. The room is an environment that contains
                      everything the team knows about the customer and their work. Design discussions
                      held in the room can refer to data collected at the beginning of the project, and this
                      can be used to support design ideas and decisions. This physical space in which the
                      team is surrounded by the data is a key element of Contextual Design.
                           Contextual Design has been used successfully in a variety of situations from
                      cell phone design (see Chapter 15) to qffice products (see Box 9.5). Its strength lies
                      in the fact that it provides a clear route from observing users through to interpret-
                      ing and structuring the data, prototyping and feeding the results into product devel-
                      opment. This systematic approach mean&that, with suitable training, interaction
                      designers can perform the observations and subsequent interpretation themselves,
                      thus avoidiqg some of the misunderstandings that can happen if observations are
                      conducted by others. Contextual Design is discussed further in the interview with
                      Karen Holtzblatt at the end of this chapter.

    9.5 Involving users in design: Participatory Design
                      Another approach to involving users is Participatory Design. In contrast to Contex-
                      tual Design, users are actively involved in development. The intention is that they
                      become an equal partner in the design team, and they design the product in coop-
                      eration with the designers.
                          The idea of participatory design emerged in Scandinavia in the late 1960s and
                      early 1970q: There were two influences on this early work: the desire to be able to
                      communicate information about complex systems, and the labor union movement
                      pushing for workers to have democratic control over changes in their work. In the
                      1970s, new laws gave workers the right to have a say in how their working environ-
                      ment was changed, and such laws are still in force today. A fuller history of the
                      movement is given in Ehn (1989) and Nygaard (1990).
                          Several projects at this time attempted to involve users in design and tried to
                      focus on work rather than on simply producing a product. One of the most dis-
                      cussed is the UTOPIA project, a cooperative effort between the Nordic Graphics
                      Workers Union and research institutions in Denmark and Sweden to design com-
                      puter-based tools for text and image processing.
                          Involving users in design decisions is not simple, however. Cultural differences
                      can become acute when users and designers are asked to work tqgether to produce
                      a specification for a system. Bardker et al. (1991) recount the'following scene from
                      the UTOPIA project:
                          Late one afternoon, when the designers were almost through with a long presentation of a
                          proposal for the user interface of an integrated text and image processing system, one of
                          the typographers commented on the lack of information about typographical code-
9.5 Involving users in design: Participatory Design     307




sort ma chi^ rno~k-rrp. headline reads: "We didnotwrders&
                       The                                         cutting showing a parcel-
the blurprinrs, so we mat& our own mock-ups."                      sorting machine mockup.

    structure. He didn't think that it was a big error (he was a polite person), but he just
    wanted to point out that the computer scientists who had prepared the proposal had
    forgotten to specify how the codes were to be presented on the screen. Would it read
    "<bf/"or perhaps just 'Zb" when the text that followed was to be printed in boldface?
In fact, the system being described by the designers was a WYSIWYG (what you
see is what you get) system, and so text that needed to be in bold typeface would
appear as bold (although most typographic systems at that time did require such
codes). The typographer was unable to link his knowledge and experience with
what he was being told. In response to this kind of problem, the project started
using mockups (introduced in Chapter 8). Simulating the working situation helped
workers to draw on their experience and tacit knowledge, and designers to get a
better understanding of the actual work typographers needed to do. An example
mockup for a computer-controlled parcel-sorting system, from another project, is
shown in Figure 9.10 (Ehn and Kyng, 1991). The headline of this newspaper clip-
ping reads, "We did not understand the blueprints, so we made our own mockups".
     Mockups are one way to make effective use of the users' experience and
knowledge. Other paper-based prototyping techniques that have been developed
for participatory design are PICTIVE (Muller, 1991) and CARD (Tudor, 1993).



PICTIVE (Plastic Interface for Collaborative Technology Initiatives through
Video Exploration) uses low-fidelity office items, such as sticky notes and pens, and
a collection of design objects to investigate specific screen and window layouts for a
system. The motives for developing the techniques were to:
      empower users to act as full participants in the design process
      improve knowledge acquisition for design
I   308   Chapter 9    User-centered approaches to interaction design

                           A PICTIVE session may involve one-on-one collaboration or it may involve a
                      small group. To perform a PICTIVE session you need video recording equipment,
                      simple office supplies such as pens, pencils, paper, sticky notes, cards, etc., and
                      some design components prepared by the design team such as dialog boxes, menu
                      bars, and icons. These plastic design components may be generic or they may be
                      specific to the system being developed, based on the development so far. The
                      shared design surface is where the design will be created, jointly between the de-
                      signers and the users, by manipulating and changing the design components and
                      using the office supplies to create new elements. The video equipment records what
                      happens on the shared design surface. Sample design objects and the layout for a
                      PICTIVE session are shown in Figure 9.11 (Muller, 1991).
                           Before a session, each participant is asked to prepare a "homework assign-
                      ment." Typically, users are asked to generate scenarios of use for the system, illus-
                      trating what they would like the system to do for them (along the lines of the
                      scenarios we discussed in Chapter 7). Developers are asked to develop a set of sys-
                      tem components that they think may be relevant to the system. These may be
                      generic elements that will be used in many design exercises, they may be specifi-
                      cally for the system under discussion, or a combination of these.
                           The design session itself is divided roughly into four parts (Muller et al., 1995).
                      First of all, the stakeholders all introduce themselves, specifically describing their
                      personal and/or organizational stake in the project. Then there may be some brief
                      tutorials about the different domains represented at the meeting. The third part of
                      the meeting concentrates on brainstorming the designs, using the design objects
                      and the homework assignments. The design objects are manipulated during the ses-
                      sion to produce a synthesis of each participant's view. The scenarios developed by
                      the users may help provide concrete detail about the work flow of the design. The
                      final session is a walkthrough of the design and the decisions discussed. The role of
                      the video recording is mainly that of record-keeper, so that there is a complete and
                      informal record of the design decisions made and how they were made.



                        post-ltTM                    Plastic "Icons"
                        Notes                             I l
                                                          m B

                          Shared Design
                             Surface


    Pop-up Events        Labels (data fields)         A             A4

                                                V W ' W ' ~ "   '   ' 8 3

    Colored Pens
                      Figure 9.1 1 PICTIVE design objects and PICTIVE setting.
9.5 Involving users in design: Participatory Design   309

             Describe a set of design components you would develop for a PICTIVE session for the
             shared calendar application discussed in Chapter 8.

Comment      From our earlier design activities, we know that having dialog boxes and icons for arranging
             a meeting would be appropriate. Also, different mechanisms for specifying the people to at-
             tend the meeting and for choosing dates, e.g., drop-down lists, free text entry, or planner-
             style date display. These components could be based on our preliminary designs. We will
             also need a menu bar and associated menu lists, calendar page display, and function button
             components. It would also be important to have some blank components that could be com-
             pleted during the brainstorming session.


9.5.2 CARD
             CARD (Collaborative Analysis of Requirements and Design) is similar to PIC-
             TIVE, but uses playing cards with pictures of computers and screen dumps on
             them to explore workflow options (see Figure 9.12 for an example set of cards




             Figure 9.12 Example of CARD.
310    Chapter 9     User-centered approaches to interaction design

                   (Muller et al., 1995)). Whereas PICTIVE concentrates on detailed aspects of the
                   system, CARD takes a more macroscopic view of the task flow. CARD is a form of
                   storyboarding (see Chapter 8).
                       A CARD session could have the same format as that described for PICTIVE.
                   During the design brainstorming part of the session, the playing cards are manipu-
                   lated by the participants in order to show the work flow between computer screens
                   or task decision points. The example in Figure 9.12 shows how the task of buying
                   groceries through a computer screen such as via the Internet can be represented by


Table 9.1    A comparison of techniques introduced in this chapter
                                                                                                    Participatory
                     EthJWra~h~                  Coherence           Contextual Design                Design2
Active user      Low level                 Low level                Medium to low            Equal partners, users
involvement                                                         level                    can be very influential
Role of          Uncover findings          Collect and present      Steer discussion         Equal partners with
designer1        about work                ethnographic data                                 users
researcher                                 according to the         Interpret findings
                                           viewpoints and
                                           concerns
Length of        Typically continuous      NIA                      A series of 2-hour       A series of Zhour
study            and extensive.                                     interviews               design sessions
Benefits         Yields a good             Overcomes the            Systematic               Users' sense of
                 understanding of          problem of                                        ownership is increased
                 the work                  representing             Is designed to feed
                                           ethnographic data        into the design          User contact is
                                           for design               process                  beneficial for designers
Drawbacks        Requires expertise        Coverage limited         Involves many            Users' thinking can
                                           to presenting            diagrams and             be constrained by
                 Difficulties              ethnographic data        notations                what they know
                 translating findings
                 into design               Limited support          May be complicated       If users are involved
                                           currently for            for users to under-      too much they get
                 Requires a long           progressing to           stand the output         bored and it becomes
                 lead-in time              design                                            counter-productive
When to use      Most settings where       If an ethnographic       When a user-             Whenever users are
                 there is sufficient       study for interaction    centered focus is        available and willing
                 time and expertise        design is to be          required                 to become actively
                                           conducted (by                                     involved in design
                                           ethnographer or          Particularly useful
                                           designer)                for innovative
                                                                    product design
*Themain difference between CARD and PICTIVE lies in the level of detail at which design takes place. For the purpose of
this comparison, they can be considered under the common title of Participatory Design.
Summary      31 1

             playing cards. Note that the cards can be used to represent users' goals or inten-
             tions as well as specific computer screens or task elements. Participants can easily
             create new cards during the session as deemed appropriate.
                  CARD can be used to complement PICTIVE as it provides a different granu-
             larity of focus. Muller et al. (1995) characterized this as a bifocal view, CARD giv-
             ing a macroscopic view, and PICTIVE the microscopic.
                  At the beginning of this chapter, we explained that there are different levels of
             user involvement, from newsletters and workshops through to full-time member-
             ship of the design team. Each project will need to decide on the level of user in-
             volvement required. T o support this involvement, a project may also choose to use
             one or a combination of the techniques introduced in Sections 9.4 and 9.5. For ex-
             ample, Contextual Design could be used even if one of the users is a member of the
             design team; an ethnographic study might be running alongside a series of user
             workshops. These techniques expand the level of user involvement. However, each
             approach has advantages and disadvantages, and Table 9.1 provides a brief com-
             parison between the main techniques introduced in this chapter.


Assignment
             This assignment asks you to apply some elements of Coherence and Contextual Design to
             your own work or home circumstances.
                 (a) Using the questions for elaborating the viewpoints and concerns in Coherence, study
                     the environment of your workplace, university library or somewhere similar that you
                     know. Begin by deciding which concerns are relevant to each viewpoint, e.g., ask, "Are
                     there paper artifacts used in the workplace?" or "Is local knowledge used?" Then an-
                     swer the questions of elaboration for the three viewpoints and the four concerns.
                        Study your answers to the questions and see if you can identify priorities or con-
                     straints within the organization that you were not aware of before.
                 (b) Again using your workplace or similar location, attempt to draw the five Contextual
                     Design work models introduced in Section 9.4.3.
                         First of all, identify a key player in the workplace. This may be one of the librari-
                     ans, a clerk or secretary, or a manager. If possible, run a contextual inquiry interview
                     by sitting with her while working and asking her to tell you about one major aspect
                     of work. If this is not possible, then identify one of the main tasks that is visible to
                     you, such as the librarian issuing books, and sit and watch how the task is performed.
                        Draw the models from the information you have collected. If you find that you
                     need more data, go back and collect more. Once you feel that the models are
                     complete, take them back to the person you interviewed (if possible) and ask for
                     comments.


Summary
             This chapter has elaborated on some issues surrounding the involvement of users in the de-
             sign process. We have also introduced the method of ethnography as a useful source of in-
             formation for a user-centered design process. One of the main disadvantages to using
             ethnography is finding a way to represent the output of the study so that it can be fed into
312     Chapter 9     User-centered approaches to interaction design

                    the design process. We have described two approaches to design (Coherence and Contextual
                    Design) that were derived from ethnography and other approaches, to address this problem.
                         Users may be involved passively or they may be more actively involved in making de-
                    sign decisions. Participatory design is an approach in which users are co-designers. We have
                    described two techniques (PICTIVE and CARD) that have helped users' input to be more
                    effective.

                    Key Points
                       Involving users in the design process helps with expectation management and feelings of
                       ownership, but how and when to involve users is a matter of dispute.
                       Putting a user-centered approach into practice requires much information about the
                       users to be gathered and interpreted.
                       Ethnography is a good method for studying users in their natural surroundings.
                       Representing the information gleaned from an ethnographic study so that it can be used
                       in design has been problematic.
                       The goals of ethnography are to study the details, while the goals of system design are to
                       produce abstractions; hence they are not immediately compatible.
                       Coherence is a method that provides focus questions to help guide the ethnographer to-
                       wards issues that have proved to be important in systems development.
                       Contextual Design is a method that provides models and techniques for gathering con-
                       textual data and representing it in a form suitable for practical design.
                       PICTIVE and CARD are both participatory design techniques that empower users to
                       take an active part in design decisions.


Further reading
GREENBAUM, , AND KYNG, MORTEN
               JOAN                       (eds.) (1991) De-      in a rapidly changing world, to develop and ship products
sign at Work: Co-operative Design of Computer Systems.           that appeal to mass markets, and to continually build on and
                                                   -
Hillsdale, NJ: Lawrence Erlbaum. This book is a good col-        improve market position.
lection of papers about the co-design of software systems:
both why it is worthwhile and experience of how to do it.        WIXON, DENNIS,     A N D RAMEY, JUDITH (eds.) (1996) Field
                                                                 Methods Casebook for Software Design. New York: John
BEYER, HUGH     AND HOLTZBJ-ATT, KAREN (1998) Contextual         Wiley & Sons, Inc. This book is a collection of papers about
Design-' D&%      Cmtomer-Centered Systems. Sari Francisco:      practical use of field research methods in software design,
Morgan Kaufmann.This book will tell You more about contex-       some of which are directly mentioned in the present chapter.
tual design and the rationale behind the Steps and the models.        three main approaches that these papers cover are
                                                                                     --
CUSUMANO, AND SELBY, R. W. (1995) Microsoft Se-
              M.A.,                                              ethnography, participative design, and contextual design.
crets. London: Harper-Collins Business. This is a fascinating    There are 14 chapters describing case studies and three
book based on a two-and-a-half-year study of Microsoft and       chapters giving an overview of the main methods. For any-
how they build software. The book details findings about         one interested in the practical use of these methods in soft-
strategies to manage an innovative organization competing        ware development, it's a fascinating read!
Interview   31 3

 INTERVIEW with Karen Holtzblatt
                                   Karen Holtzblatt is the origi-   the physical environment, task, and artifact. We also
                                   nator of Contextual Inquiry,     capture individual points on post-it notes. After the
                                   a process for            field   interpretation session, every person we interviewed
                                   data on product       which      has a set of models and a set of post-its. Our next step
                                   was the p
                                             recursor to Con-
                                                                    is to consolidate all that data because you don't want
                                   textual        a complek         to be designing from one person, from yourself, or
                                   method for the designOf          from any one interview; we need to look at the struc-
                                   systems. Together with
                               :   Hugh Beyer, the codevel-         ture of the practice itself. The consolidation step
                               ' oper of~ontextual ~   ~            means that we end up with an affinity diagram and
                                                                       ~      i     ~      ~     ,
                                   Karen Holtzblatt is co-          five consolidated models showing the issues across the
                                   founder of Incontext Enter-      market.
prises, which specializes in process and product design                   At that point, we have modeled the work prac-
consulting.                                                         tice as it is and we have now six communication de-
                                                                    vices that the team can dialog with. Each one of them
HS: What is Contextual Design?                                      poses a point of view on which to have the conversa-
                                                                    tion "what matters?"
KH: If you're going to build something that people
                                                                          Now the team moves into that second piece,
want, there are basically three large steps that you
                                                                    which is "what should our corporate response be?"
have to go through. The first question that you ask as
a company is, "What in the world matters to the cus-                We have a visioning process that is a very large
                                                                    group story-telling about reinventing work practice
tomer such that if we make something, they're likely
                                                                    given technological possibility and the core compe-
to buy it?" So the question is "What matters?" Now
once you identify what the issues are, every corpora-               tency of the organization. And after that, we de-
tion will have the corporate response, or "vision."                 velop storyboards driven by the consolidated data
                                                                    and the vision. At this point we have not done a sys-
Then you have to work out the details and structure it
into a product. In any design process, whether it's for-            tems design; we want to design the work practice
malized or not, every company must do those things.                 first, seeing the technology as it will appear within
                                                                    the work.
They have to find out what matters, they have to vi-
sion their corporate response, and then they have to                      To structure the system we start by rolling the
structure it into a system.                                         storyboards into a user environment design-the
     Contextual Design gives you team and individual                structure of the system itself, independent of the user
activities that bring you through those processes in an             interface and the object model. The user environment
orderly fashion so as to bring the cross-functions of an            design operates like a software floor plan that struc-
organization together. So you could say that Contextual             tures the movement inside the product. This is used to
Design is a set of techniques to be used in a customer-             drive the user interface design, which is mocked up in
centered design process with design teams. It is also a             paper and tested and iterated with the user. When it
set of practices that help people engage in creative and            has stabilized, the User Environment design, the sto-
productive design thinking with customer data and it                ryboards, and the user interface drive development of
                                                                    the object model.
helps them co-operate and design together.
                                                                          This is the whole process of Contextual Design,
                                                                    a full front-end design process. Because it is done
HS: What are the steps of Contextual Design?                        with a cross-functional team, everyone in the organi-
KH: In the "what matters" piece, we go out into the                 zation knows what they're doing at each point: they
field, we talk with people about their work as they do              know how t o select the data, they know how to work
it: that's Contextual Inquiry and that's a one-on-one,              in groups to get all these different steps done. So not
two to two-and-a-half-hour field interview. Then we                 only do you end up with a set of design thinking
interpret that data with a cross-functional team, and               techniques that help you to design, you have an or-
we model the work with five work models: communi-                   ganizational process that helps the organization ac-
cation and coordination, the cultural environment,                  tually d o it.
314    Chapter 9    User-centered approaches to interaction design

HS: How did the idea of contextual design emerge?         day and they'll say, "We have all this qualitative
KH. Contextual Design started with the invention          stuff and nobody's using it . . . maybe we should
of Contextual Inquiry in a post-doctoral internship       have a debriefing session." So then they have de-
with John Whiteside at Digital. At the time, usabil-      briefing sessions. Then they wake up later on and
ity testing and usability issues had been around          they say, "We don't have any way of structuring this
maybe eight years or so and he was asking the ques-       information . . . models are a good idea." And basi-
tion, "Usability identifies about 10 to 20% of the        cally they reconstruct the whole process as they hit
fixes at the tail end of the process to make the frost-   the next problem.
ing on the cake look a little better to the user. What         Now it's not quite that clean, but my point is that
would it take to really infuse usability?" Contextual     organizational adoption is about people making it
Inquiry was my answer to that question. After that,       their own and taking on the parts, changing them,
I took a job with Lou Cohen's Quality group at            doing what they can. You have to get somebody to do
DEC, where I picked up the affinity diagram idea.         something and then once they do something it snow-
Also at that time, Pelle Ehn and Kim Madsen were          balls.
talking about Morten Kyng's ideas on paper mock-               What's nice about the Contextual Design way of
ups and I added paper prototyping with post-its to        doing everything on paper is that it creates a design
check out the design. Hugh and I hooked up 13             room, the design room creates a talk event, and the
years ago. He's a software and object-oriented de-        talk event pulls everyone in because they want to          I
                                                          know what you're doing. Then if they like the data,        ,
veloper. We started working with teams and we no-
ticed that they didn't know how to go from the data       they feel left out, and because they feel left out they
to the design and they didn't know how to structure       want to do a project and they want to have a room for      I
the system to think about it. So then we invented         themselves as well.
more of the work models and the user environment               The biggest complaint about Contextual Design
design.                                                   is that it takes too long. Some of that is about time,
     So the Contextual Design method came from            some of it is about thought. You have people who are
looking at the practice; we evolved every single step     used to coding and now have to think about field
of this process based on what people needed. The          data. They're not used to that.
whole process was worked out with real people doing
real design in real companies. So, where did it come
from? It came from dialog with the problem.
                                                          HS: What's the future direction of Contextual Design?
                                                          M: Every process can always be tweaked. I think
                                                          the primary parts of Contextual Design are there.
HS: What are the main problems that organizations         There are interesting directions in which it can go,
face when putting Contextual Design into practice?        but there's only so much we can get our audience to
KH: The question is, "What does organizational            buy.
change look like?" because that's what we're talking           I think that for us there are two key things that
about. The problem is that people want to change          we're doing. One is we're starting to talk about design
and they don't want to change. What we communi-           and what design is, so we can talk about the role of
cate to people is that organizational change is piece-    design in design thinking. And we are still helping
meal. In order to own a process you have to say           train everyone who wants to learn. But the other
what's wrong with it, you have to change it a little      thing we're finding is that sometimes the best way to
bit, you have to say how whoever invented the             support the client is to do the design work for them.
process is wrong and how the people in the organiza-      So we have the design wing of the business where we
tion want to fix it, you have to make it fit with your    put together the contextual design teams.
organizational culture and issues. Most people will            We're working with distributed teams, we're
adopt the field-data gathering first and that's all       working with creativity and invention, we're working
they'll do and they'll tell me that they don't have       with how it impacts with business processes and mar-
time for anything else and they don't need anything       keting, we're working with the balance of all those
else, and that's fine. And then they'll wake up one       things. But it's only going to be in the context of a
Interview    31 5
team that's actually very advanced in the standard       tual Design is a scaffolding, they can plug other
process that new process inventions will occur. Out of   processes into it. They take their usability testing and
that will come lessons that can then be put back into    they can plug it here, if they have their special creativ-
the standard contextual design. For most organiza-       ity thing they can plug it here; if they have a focus
tions looking to adopt a customer-centered design        group they can plug it here. But most people haven't
process, the standard contextual design is enough for    got a backbone for design, and Contextual Design is a
now, they have to get started. And because Contex-       good backbone to start with.
Chapter        IO

           Introducing evaluation
           10.1 Introduction
           10.2 What, why, and when to evaluate
                10.2.1 What to evaluate
                10.2.2 Why you need to evaluate
                10.2.3 When to evaluate
           10.3 Hutchworld case study
                10.3.1 How the team got started: Early design ideas
                10.3.2 How was the testing done?
                10.3.3 Was it tested again?
                10.3.4 Looking to the future
           10.4 Discussion




10.1 Introduction
           Recently I met two web designers who, proud of their newest site, looked at me in
           astonishment when I asked if they had tested it with users. "No," they said "but we
           know it's OK." So, I probed further and discovered that they had asked the "web
           whiz-kids" in their company to look at it. These guys, I was told, knew all the tricks
           of web design.
               The web's presence has heightened awareness about usability, but unfortu-
           nately this reaction is all too common. Designers assume that if they and their col-
           leagues can use the software and find it attractive, others will too. Furthermore,
           they prefer to avoid doing evaluation because it adds development time and costs
           money. So why is evaluation important? Because without evaluation, designers
           cannot be sure that their software is usable and is what users want. But what do we
           mean by evaluation? There are many definitions and many different evaluation
           techniques, some of which involve users directly, while others call indirectly on an
           understanding of users' needs and psychology. In this book we define evaluation as
           the process of systematically collecting data that informs us about what it is like for
           a particular user or group of users to use a product for a particular task in a certain
           type of environment.
               As you read in Chapter 9, the basic premise of user-centered design is that
           users' needs are taken into account throughout design and development. This is
           achieved by evaluating the design at various stages as it develops and by amending
I   31 8   Chapter I O   Introducing evaluation

                                     7
                     it to suit users needs (Gould and Lewis, 1985). The design, therefore, progresses in
                     iterative cycles of design-evaluate redesign. Being an effective interaction designer
                     requires knowing how to evaluate different kinds of systems at different stages of
                     development. Furthermore, developing systems in this way usually turns out to be
                     less expensive than fixing problems that are discovered after the systems have been
                     shipped to customers (Karat, 1993). Studies also suggest that the business case for
                     using systems with good usability is compelling (Dumas and Redish, 1999; May-
                     hew, 1999): thousands of dollars can be saved.
                          Many techniques are available for supporting design and evaluation. Chapter 9
                     discussed techniques for involving users in design and part of this involvement
                     comes through evaluation. In this and the next four chapters you will learn how dif-
                     ferent techniques are used at different stages of design to examine different aspects
                     of the design. You will also meet some of the same techniques that are used for
                     gathering user requirements, but this time used to collect data to evaluate the de-
                     sign. Another aim is to show you how to do evaluation.
                          This chapter begins by discussing what evaluation is, why evaluation is impor-
                     tant, and when to use different evaluation techniques and approaches. Then a case
                     study is presented about the evaluation techniques used by Microsoft researchers
                     and the Fred Hutchinson Cancer Research Center in developing HutchWorld
                     (Cheng et al., 2000), a virtual world to support cancer patients, their families, and
                     friends. This case study is chosen because it illustrates how a range of techniques is
                     used during the development of a new product. It introduces some of the practical
                     problems that evaluators encounter and shows how iterative product development
                     is informed by a series of evaluation studies. The HutchWorld study also lays the
                     foundation for the evaluation framework that is discussed in Chapter 11.
                          The main aims of this chapter are to:
                            Explain the key concepts and terms used to discuss evaluation.
                            Discuss and critique the HutchWorld case study.
                            Examine how different techniques are used at different stages in the devel-
                            opment of HutchWorld.
                            Show how developers cope with real-world constraints in the development
                            of HutchWorld.

    10.2 What, why, and when to evaluate
                     Users want systems that are easy to learn and to use as well as effective, efficient,
                     safe, and satisfying. Being entertaining, attractive, and challenging, etc. is also es-
                     sential for some products. So, knowing what to evaluate, why it is important, and
                     when to evaluate are key skills for interaction designers.

    10.2.1 What to evaluate
                     There is a huge variety of interactive products with a vast array of features that
                     need to be evaluated. Some features, such as the sequence of links to be followed
                     to find an item on a website, are often best evaluated in a laboratory, since such a
10.2 What, why, and when to evaluate         319

             setting allows the evaluators to control what they want to investigate. Other as-
             pects, such as whether a collaborative toy is robust and whether children enjoy in-
             teracting with it, are better evaluated in natural settings, so that evaluators can see
             what children do when left to their own devices.
                  You may remember from Chapters 2, 6 and 9 that John Gould and his col-
             leagues (Gould et al., 1990; Gould and Lewis, 1985) recommended three similar
             principles for developing the 1984 Olympic Message System:
                   focus on users and their tasks
                   observe, measure, and analyze their performance with the system
                   design iteratively
                 Box 10.1 takes up the evaluation part of the 1984 Olympic Messaging System
             story and lists the many evaluation techniques used to examine different parts of
             the OMS during its development. Each technique supported Gould et al.'s three
             principles.
                 Since the OMS study, a number of new evaluation techniques have been devel-
             oped. There has also been a growing trend towards observing how people interact
             with the system in their work, home, and other settings, the goal being to obtain a
             better understanding of how the product is (or will be) used in its intended setting.
             For example, at work people are frequently being interrupted by phone calls, oth-
             ers knocking at their door, email arriving, and so on-to the extent that many tasks
             are interrupt-driven. Only rarely does someone carry a task out from beginning to
             end without stopping to do something else. Hence the way people carry out an ac-
             tivity (e.g., preparing a report) in the real world is very different from how it may
             be observed in a laboratory. Furthermore, this observation has implications for the
             way products should be designed.


10.2.2 Why you need to evaluate
             Just as designers shouldn't assume that everyone is like them, they also shouldn't
             presume that following design guidelines guarantees good usability, Evaluation is
             needed to check that users can use the product and like it. Furthermore, nowadays
             users look for much more than just a usable system, as the Nielsen Norman Group,
             a usability consultancy company, point out (www.nngroup.com):
                 "User experience" encompasses all aspects of the end-user's interaction . . . the first
                 requirement for an exemplary user experience is to meet the exact needs of the customer,
                 without fuss or bother. Next comes simplicity and elegance that produce products that are
                 a joy to own, a joy to use."
                Bruce Tognazzini, another successful usability consultant, comments
             (www.asktog.com) that:
                 "Iterativedesign, with its repeating cycle of design and testing, is the only validated
                 methodology in existence that will consistently produce successful results. If you don't
                 have user-testing as an integral part of your design process you are going to throw
                 buckets ofmoney down the drain."
-




320   Chapter 10   Introducing evaluation
10.2 What, why, and when to evaluate     321




     Tognazzini points out that there are five good reasons for investing in user
testing:
    1.   Problems are fixed before the product is shipped, not after.
    2.   The team can concentrate on real problems, not imaginary ones.
    3.   Engineers code instead of debating.
    4.   Time to market is sharply reduced.
    5.   Finally, upon first release, your sales department has a rock-solid design it
         can sell without having to pepper their pitches with how it will all actually
         work in release 1.1 or 2.0.
    Now that there is a diversity of interactive products, it is not surprising that the
range of features to be evaluated is very broad. For example, developers of a new
web browser may want to know if users find items faster with their product. Gov-
ernment authorities may ask if a computerized system for controlling traffic lights
322   Chapter 1O   Introducing evaluation

               results in fewer accidents. Makers of a toy may ask if six-year-olds can manipulate
               the controls and whether they are engaged by its furry case and pixie face. A com-
               pany that develops the casing for cell phones may ask if the shape, size, and color
               of the case is appealing t o teenagers. A new dotcom company may want to assess
               market reaction t o its new home page design.
                    This diversity of interactive products, coupled with new user expectations,
               poses interesting challenges for evaluators, who, armed with many well tried and
               tested techniques, must now adapt them and develop new ones. As well as usabil-
               ity, user experience goals can be extremely important for a product's success, as
               discussed in Chapter 1.


               Think of examples of the following systems and write down the usability and user experience
               features that are important for the success of each:
                   (a) a word processor
                   (b) a cell phone
                   (c) a website that sells clothes
                   (d) an online patient support community

 Comment           (a) It must be as easy as possible for the intended users to learn and to use and it must be
                       satisfying. Note, that wrapped into this are characteristics such as consistency, relia-
                       bility, predictability,etc., that are necessary for ease of use.
                   (b) A cell phone must also have all the above characteristics; in addition, the physical de-
                       sign (e.g., color, shape, size, position of keys, etc.) must be usable and attractive (e.g.,
                       pleasing feel, shape, and color).
                   (c) A website that sells clothes needs to have the basic usability features too. In particu-
                       lar, navigation through the system needs to be straightforward and well supported.
                       You may have noticed, for example, that some sites always show a site map to indi-
                       cate where you are. This is an important part of being easy to use. So at a deeper
                       level you can see that the meaning of "easy to use and to learn" is different for differ-
                       ent systems. In addition, the website must be attractive, with good graphics of the
                       clothes-who would want to buy clothes they can't see or that look unattractive?
                       Trust is also a big issue in online shopping, so a well-designed procedure for taking
                       customer credit card details is essential: it must not only be clear but must take into
                       account the need to provide feedback that engenders trust.
                   (d) An online patient support group must support the exchange of factual and emotional
                       information. So as well as the standard usability features, it needs to enable patients
                       to express emotions either publicly or privately, using emoticons. Some 3D environ-
                       ments enable users to show themselves on the screen as avatars that can jump, wave,
                       look happy or sad, move close to another person, or move away. Designers have to
                       identify the types of social interactions that users want to express (i.e., sociability)
                       and then find ways to support them (Preece, 2000).
                 From this selection of examples, you can see that success of some interactive products de-
               pends on much more than just usability. Aesthetic, emotional, engaging, and motivating
               qualities are important too.
10.2 What, why, and when to evaluate         323

                 Usability testing involves measuring the performance of typical users on typical
             tasks. In addition, satisfaction can be evaluated through questionnaires and inter-
             views. As mentioned in Chapter 1, there has been a growing trend towards devel-
             oping ways of evaluating the more subjective user-experience goals, like
             emotionally satisfying, motivating, fun to use, etc.


10.2.3 When to evaluate
            The product being developed may be a brand-new product or an upgrade of an exist-
            ing product. If the product is new, then considerable time is usually invested in mar-
            ket research. Designers often support this process by developing mockups of the
            potential product that are used to elicit reactions from potential users. As well as
            helping to assess market need, this activity contributes to understanding users' needs
            and early requirements. As we said in Chapter 8, sketches, screen mockups, and other
            low-fidelity prototyping techniques are used to represent design ideas. Many of these
            same techniques are used to elicit users' opinions in evaluation (e.g., questionnaires
            and interviews), but the purpose and focus of evaluation is different. The goal of eval-
            uation is to assess how well a design fulfills users' needs and whether users like it.
                 In the case of an upgrade, there is limited scope for change and attention is fo-
            cused on improving the overall product. This type of design is well suited to usabil-
            ity engineering in which evaluations compare user performance and attitudes with
            those for previous versions. Some products, such as office systems, go through
            many versions, and successful products may reach double-digit version numbers. In
            contrast, new products do not have previous versions and there may be nothing
            comparable on the market, so more radical changes are possible if evaluation re-
            sults indicate a problem.
                 Evaluations done during design to check that the product continues to meet
            users' needs are know as formative evaluations. Evaluations that are done to assess
            the success of a finished product, such as those to satisfy a sponsoring agency or to
            check that a standard is being upheld, are know as summative evaluation. Agencies
            such as National Institute of Standards and Technology (NIST) in the USA, the In-
            ternational Standards Organization (ISO) and the British Standards Institute (BSI)
            set standards by which products produced by others are evaluated.


            Re-read the discussion of the 1984 Olympic Messaging System (OMS) in Box 10.1 and
            briefly describe some of the things that were evaluated, why it was necessary to do the evalu-
            ations, and when the evaluations were done.

Comment     Because the Olympic Games is such a high-profile event and IBM's reputation was at stake,
            the OMS was intensively evaluated throughout its development. We're told that early evalua-
            tions included obtaining feedback from Olympic officials with scenarios that used printed
            screens and tests of the user guides with Olympians, their friends, and family. Early evaluations
            of simulations were done to test the usability of the human-computer dialog. These were done
            first in the US and then with people outside of the US. Later on, more formal tests investigated
            how well 100 participants could interact with the system. The system's robustness was also
324   Chapter   10   Introducing evaluation

                     tested when used by many users simultaneously. Finally, tests were done with users from mi-
                     nority cultural groups to check that they could understand how to use the OMS.


                         So how do designers decide which evaluation techniques to use, when to use
                     them, and how to use the findings? To address these concerns, we provide a case
                     study showing how a range of evaluation techniques were used during the develop-
                     ment of a new system. Based on this, we then discuss issues surrounding the
                     "which, when, and how" questions relating to evaluation.


I   10.3 HutchWorld case study
                     HutchWorld is a distributed virtual community developed through collaboration
                     between Microsoft's Virtual Worlds Research Group and librarians and clinicians
                     at the Fred Hutchinson Cancer Research Center in Seattle, Washington. The sys-
                     tem enables cancer patients, their caregivers, family, and friends to chat with one
                     another, tell their stories, discuss their experiences and coping strategies, and gain
                     emotional and practical support from one another (Cheng et. al., 2000). The design
                     team decided to focus on this particular population because caregivers and cancer
                     patients are socially isolated: cancer patients must often avoid physical contact with
                     others because their treatments suppress their immune systems. Similarly, their
                     caregivers have to be careful not to transmit infections to patients.
                          The big question for the team was how to make HutchWorld a useful, engaging,
                     easy-to-use and emotionally satisfying environment for its users. It also had to pro-
                     vide privacy when needed and foster trust among participants. A common approach
                     to evaluation in a large project like Hutchworld is to begin by carrying out a num-
                     ber of informal studies. Typically, this involves asking a small number of users to
                     comment on early prototypes. These findings are then fed back into the iterative de-
                     velopment of the prototypes. This process is then followed by more formal usability
                     testing and field study techniques. Both aspects are illustrated in this case study. In
                     addition, you will read about how the development team managed their work while
                     dealing with the constraints of working with sick people in a hospital environment.

    10.3.1   How the design team got started: early design ideas
                     Before developing this product, the team needed to learn about the patient experi-
                     ence at the Fred Hutchinson Center. For instance, what is the typical treatment
                     process, what resources are available to the patient community, and what are the
                     needs of the different user groups within this community? They had to be particu-
                     larly careful about doing this because many patients were very sick. Cancer pa-
                     tients also typically go through bouts of low emotional and physical energy.
                     Caregivers also may have difficult emotional times, including depression, exhaus-
                     tion, and stress. Furthermore, users vary along other dimensions, such as education
                     and experience with computers, age and gender and they come from different cul-
                     tural backgrounds with different expectations.
                          It was clear from the onset that developing a virtual community for this popu-
                     lation would be challenging, and there were many questions that needed to be an-
10.3 HutchWorld case study     325

swered. For example, what kind of world should it be and what should it provide?
What exactly do users want to do there? How will people interact? What should it
look like? To get answers, the team interviewed potential users from all the stake-
holder groups-patients, caregivers, family, friends, clinicians, and social support
staff-and observed their daily activity in the clinic and hospital. They also read the
latest research literature, talked to experts and former patients, toured the Fred
Hutchinson (Hutch) research facilities, read the Hutch web pages, and visited the
Hutch school for pediatric patients and juvenile patient family members. No stone
was left unturned.
      The development team decided that HutchWorld should be available for pa-
tients any time of day or night, regardless of their geographical location. The team
knew from reading the research literature that participants in virtual communities
are often more open and uninhibited about themselves and will talk about problems
and feelings in a way that would be difficultin face-to-face situations. On the down-
side, the team also knew that the potential for misunderstanding is higher in virtual
communities when there is inadequate non-verbal feedback (e.g., facial expressions
and other body language, tone of voice, etc.). On balance, however, research indi-
cates that social support helps cancer patients both in the psychological adjustments
needed to cope and in their physical wellbeing. For example, research showed that
women with breast cancer who received group therapy lived on average twice as
long as those who did not (Spiegel, et al., 1989). The team's motivation to create
HutchWorld was therefore high. The combination of information from research lit-
erature and from observations and interviews with users convinced them that this
was a worthwhile project. But what did they do then?
      The team's informal visits to the Fred Hutchinson Center led to the develop-
ment of an early prototype. They followed a user-centered development methodol-
ogy. Having got a good feel for the users' needs, the team brainstormed different
ideas for an organizing theme to shape the conceptual design-a conceptual model
possibly based on a metaphor. After much discussion, they decided to make the de-
sign resemble the outpatient clinic lobby of the Fred Hutchinson Cancer Research
Center. By using this real-world metaphor, they hoped that the users would easily
infer what functionality was available in HutchWorld from their knowledge of the
real clinic. The next step was to decide upon the kind of communication environ-
ment to use. Should it be synchronous or asynchronous? Which would support so-
cial and affective communications best? A synchronous chat environment was
selected because the team thought that this would be more realistic and personal
than an asynchronous environment. They also decided to include 3D photographic
avatars so that users could enjoy having an identifiable online presence and could
easily recognize each other.
      Figure 10.3 shows the preliminary stages of this design with examples of the
avatars. You can also see the outpatient clinic lobby, the auditorium, the virtual
garden, and the school. Outside the world, at the top right-hand side of the screen,
is a list of commands in a palette and a list of participants. On the right-hand side at
the bottom is a picture of participants' avatars, and underneath the window is the
textual chat window. Participants can move their avatars and make them gesture to
tour the virtual environment. They can also click on objects such as pictures and in-
teract with them.
326   Chapter 1O      Introducing evaluation
                                                                                                     I



                                                                        Figure 1 0.3 Preliminary
                                                                        design showing a view of
                                                                        the entrance into Hutch-
                                                                        World.


                   The prototype was reviewed with users throughout early development and was
               later tested more rigorously in the real environment of the Hutch Center using a
               variety of techniques. A Microsoft product called V-Chat was used to develop a
               second interactive prototype with the subset of the features in the preliminary de-
               sign shown in Figure 10.3; however, only the lobby was fully developed, not the au-
               ditorium or school, as you can see in the new prototype in Figure 10.4.
                   Before testing could begin, the team had to solve some logistical issues. There
               were two key questions. Who would provide training for the testers and help for
               the patients? And how many systems were needed for testing and where should
               they be placed? As in many high-tech companies, the Microsoft team was used to
               short, market-driven production schedules, but this time they were in for a shock.
               Organizing the testing took much longer than they anticipated, but they soon




                   w n says'nowdyr
                      o
                   lSlWeilvs'Har( Lmz wur pun(ect avatar Sarahr
                    ah ewe Whymankpul'




                                                                         Figure 10.4 The Hutch
                                                                         V-Chat prototype.
10.3 HutchWorld case study    327

             learned to set realistic expectations that were in synch with hospital activity and the
             unexpected delays that occur when working with people who are unwell.

10.3.2 How was the testing done?
             The team ran two main sets of user tests. The first set of tests was informally run
             onsite at the Fred Hutchinson Center in the hospital setting. After observing the
             system in use on computers located in the hospital setting, the team redesigned the
             software and then ran formal usability tests in the usability labs at Microsoft.

             Test 1 : Early observations onsite
             In the informal test at the hospital, six computers were set up and maintained by
             Hutch staff members. A simple, scaled-back prototype of HutchWorld was built
             using the existing product, Microsoft V-Chat and was installed on the computers,
             which patients and their families from various hospital locations used. Over the
             course of several months, the team trained Hutch volunteers and hosted events in
             the V-Chat prototype. The team observed the usage of the space during unsched-
             uled times, and they also observed the general usage of the prototype.

             Test 1 : What was learned?
             This V-Chat test brought up major usability issues. First, the user community was
             relatively small, and there were never enough participants in the chat room for suc-
             cessful communication-a concept known as critical mass. In addition, many of the
             patients were not interested in or simultaneously available for chatting. Instead,
             they preferred asynchronous communication, which does not require an immediate
             response. Patients and their families used the computers for email, journals, discus-
             sion lists, and the bulletin boards largely because they could be used at any time
             and did not require others to be present at the same time. The team learned that a
             strong asynchronous base was essential for communication.
                 The team also observed that the users used the computers to play games and to
             search the web for cancer sites approved by Hutch clinicians. This information was
             not included in the virtual environment, and so users were forced to use many dif-
             ferent applications. A more "unified" place to find all of the Hutch content was de-
             sired that let users rapidly swap among a variety of communication, information,
             and entertainment tasks.

             Test 1 : The redesign
             Based on this trial, the team redesigned the software to support more asynchro-
             nous communication and to include a variety of communication, information, and
             entertainment areas. They did this by making HutchWorld function as a portal that
             provides access to information-retrieval tools, communication tools, games, and
             other types of entertainment. Other features were incorporated too, including
             email, a bulletin board, a text-chat, a web page creation tool, and a way of checking
             to see if anyone is around to chat with in the 3D world. The new portal version is
             show in Figure 10.5.
328   Chapter 1O   Introducing evaluation




                                                 ,hero  I I P I " ~ F ~ B ~ ."0" *ant, "l* th.
                                                        ,                     *~"
                                                          funawn m nnd *?an m d Hvtshlnron
                                                 cancer asrwrch crmr IS a member ot the
                                                 .dt,.na, C.m~rshcnr,"$ cancar B.tu0.k sss the
                                                 Internat Barr,-$ Navi~dtm(l e FHCLC 511e Br
                                                                              h
                                                 detulr on hew rn naulpr(. tAr Csnlris Vab SI(.
                                                 ow caner xsb rctc tar-. irss)




                                                                                                  Figure 10.5 HutchWorld
                                                                                                  portal version.




               Test 2: Usability tests
               After redesigning the software, the team then ran usability tests in the Microsoft
               usability labs. Seven participants (four male and three female) were tested. Four
               of these participants had used chat rooms before and three were regular users.
               All had browsed the web and some used other communications software. The
               participants were told that they would use a program called HutchWorld that
               was designed to provide support for patients and their families. They were then
               given five minutes to explore HutchWorld. They worked independently and
               while they explored they provided a running commentary on what they were
               looking at, what they were thinking, and what they found confusing. This com-
               mentary was recorded on video and so were the screens that they visited, so that
               the Microsoft evaluator, who watched through a one-way mirror, had a record
               of what happened for later analysis. Participants and the evaluator interacted via
               a microphone and speakers. When the five-minute exploration period ended,
               the participants were asked to complete a series of structured tasks that were de-
               signed to test particular features of the HutchWorld interface.
                   These tasks focused on how participants:
                       dealt with their virtual identity; that is, how they represented themselves and
                       were perceived by others
                       communicated with others
                       got the information they wanted
                       found entertainment
               Figure 10.6 shows some of the structured tasks. Notice that the instructions are
               short, clearly written, and specific.
Welcome to the HutchWorld Usability Study
    For this study we are interested in gaining a better understanding of the problems people have when using
    the program HutchWorld. HutchWorld is an all-purpose program created to offer information and social
    support to patients and their families at the Fred Hutchinson Cancer Research Center.
I The following pages have tasks for you to complete that will help us achieve that better understanding.
    While you are completing these tasks, it is important for us know what is going on inside your mind. There-
    fore, as you complete each task please tell us what you are looking at, what you are thinking about, what is
    confusing to you, and so forth.

I   Task #kExplore Hutchworld

        Your first task is to spend five minutes exploring HutchWorld.
        A. First, open HutchWorld.
        B.   Now, explore!
             Remember, tell us what you are looking at and what you are thinking about as you are exploring
             HutchWorld

I Task #2All about Your Identity in Hutchworld
        A. Point to the 3 dimensional (3D) view of HutchWorld.
        B. Point at yourself in the 3D view of HutchWorld.
        C. Get a map view in the 3D view of HutchWorld.
        D. Walk around in the 3D view: go forward, turn left and turn right.
        E. Change the color of your shirt.
        F.   Change some information about yourself, such as where you are from.

I   Task #3All about Communicating with Others

             Send someone an email.
             Read a message on the HutchWorld Bulletin Board.
             Post a message on the HutchWorld Bulletin Board.
             Check to see who is currently in HutchWorld.
             Find out where the other person in HutchWorld is from.
             Make the other person in HutchWorld a friend.
             Chat with the other person in HutchWorld
             Wave to the other person in HutchWorld.
             Whisper to the other person in HutchWorld.

    Task #4: All about Getting Information

        A. Imagine you have never been to Seattle before. Your task is to find something to do.
        B. Find out how to get to the Fred Hutchinson Cancer Research Center.
        C. Go to your favorite website. [Or go to Yahoo: www.yahoo.com]
I       D. Once you have found a website, resize the screen so you can see the whole web page.
Figure 10.6 A sample of the structured tasks used in the HutchWorld evaluation.
330      Chapter 10   Introducing evaluation

I Task   #5: AN about Entertainment

      A. Find a game to play.
      B. Get a gift from a Gift Cart and send yourself a gift.
      C. Go and open your gift.

Figure 10.6 (continued).


                        During the study, a member of the development team role-played being a par-
                   ticipant so that the real participants would be sure to have someone with whom to
                   interact. The evaluator also asked the participants to fill out a short questionnaire
                   after completing the tasks, with the aim of collecting their opinions about their ex-
                   periences with HutchWorld. The questionnaire asked:
                           What did you like about HutchWorld?
                           What did you not like about HutchWorld?
                           What did you find confusing or difficult to use in HutchWorld?
                           How would you suggest improving HutchWorld?

                   Test 2: What was learned from the usability tests?
                   When running the usability tests, the team collected masses of data that they had to
                   make sense of by systematical analysis. The following discussion offers a snapshot
                   of their findings. Some participants' problems started right at the beginning of the
                   five-minute exploration. The login page referred to "virtual worlds" rather than the
                   expected HutchWorld and, even though this might seem trivial, it was enough to
                   confuse some users. This isn't unusual; developers tend to overlook small things
                   like this, which is why eyaluation is so important. Even careful, highly skilled devel-
                   opers like this team tend to forget that users do not speak their language. Fortu-
                   nately, finding the "go" button was fairly straightforward. Furthermore, most
                   participants read the welcome message and used the navigation list, and over half
                   used the chat buttons, managed to move around the 3D world, and read the
                   overview. But only o n e - t h d chatted and used the navigation buttons. The five-
                   minute free-exploration data was also analyzed to determine what people thought
                   of HutchWorld and how they commented upon the 3D view, the chat area, and the
                   browse area.
                        Users' performance on the structured tasks was analyzed in detail and par-
                   ticipant ratings were tabulated. Participants rated the tasks on a scale of 1-3
                   where 1 = easy, 2 = OK, 3 = difficult, and bold = needed help. Any activity
                   that received an average rating above 1.5 across participants was deemed to
                   need detailed review by the team. Figure 10.7 shows a fragment of the summary
                   of the analysis.
                        In addition, the team analyzed all the problems that they observed during
                   the tests. They then looked at all their data and drew up a table of issues, noting
                   whether they were a priority to fix and listing recommendations for changes.
Structured Tasks




 Resize web screen                              1       3       2      2       2       3       1           2.0
 Find a game to play                            1       1       2      1       1       1       2           1.3
 Send self a gift                               1       3       3      3       3       3       3           2.7
 Open gift                                      3       1       2      3       3       3       3           2.6
 Participant Average:                           1.3     1.9     2.2     1.7     1.7    2.0     1.6

The following descriptions provide examples of some of the problems participants experience.
Get map view. People generally did not immediately know how to find the map view. However, they knew to
look in the chat buttons, and by going through the buttons they found the map view.
Walk in 3 0 view. People found the use of the mouse to move the avatar awkward, especially when they were
trying to turn around. However, once they were used to using the mouse they had no difficulty. For a couple of
people, it was not clear to them that they should click on the avatar and drag it in the desired direction. A cou-
ple of people tried to move by clicking the place they wanted to move to.
                   Figure 10.7 Participant information and ratings of difficulty in completing the structured tasks.
                   1 = easy, 2 = okay, 3 = difficult and bold = needed help.
Issue
    Issue#       Priority                      Issue                                        Recommendation
     1           high         Back button sometimes not working.                  Fix back button.

     2           high         People are not paying attention to                  Make navigation buttons more
                              navigation buttons.                                 prominent.

     3           low          Fonts too small, hard to read for some              Make it possibl&to change fonts.
                              people.                                             Make the font colors more distinct
                                                                                  from the background color.

     4           low          When navigating, people were not aware              Change the overview button to a
                              overview button would take them back to             home button, change the wording
                              the main page.                                      of the overview page accordingly.

     5           medium       "Virtual worlds" wording in login screen            Change wording to "HutchWorld".
                              confusing.
     6           high         People frequently clicking on objects in 3D         Make the 3D view have links to
                              view expecting something to happen.                 web pages. For example, when
                                                                                  people click on the help desk the
                                                                                  browser area should show the help
                                                                                  desk information.

     7           low          People do not readily find map view button.         Make the icon on the map view
                                                                                  button more map-like.

     8           medium       Moving avatar with mouse took some                  Encourage the use of the
                              getting used to.                                    keyboard. Mention clicking and
                                                                                  dragging the avatar in the
                                                                                  welcome.

     9           low          People wanted to turn around in 3D view,            Make one of the chat buttons a
                              but it was awkward to do so.                        button that lets you turn around.

    10           medium       Confusion about the real worldlvirtual              Change wording of overview
                              world distinction.                                  description, to make clear Hutch-
                                                                                  World is a "virtual" place made to
                                                                                  "resemble" the FHCRC, and is a
                                                                                  place where anybody can go.
    11           high         People do not initially recognize that other        Change wording of overview
                              real people could be in HutchWorld, that            description, to make clear Hutch-
                              they can talk to them and see them.                 World is a place to "chat" with
                                                                                  others who are "currently in" the
                                                                                  virtual HutchWorld.

    12           high         People not seeinglfinding the chat window.          Make chat window more
                              Trying to chat to people from the people list       prominent. Somehow link chat-
                              where other chat-like features are (whisper,        like features of navigation list to
                              etc.)                                               chat window. Change wording of

I            I                                                                1   chat window. Instead of type to
                                                                                  speak here. type to chat here.
                                                                                                                        I
                        Figure 10.8 A fragment of the table showing problem rankings.
10.3 Hutchworld case study        333

  13      low         Who is here list and who has been here list   Spread them apart more in the
                      confused.                                     people list.
  14      medium      Difficulty in finding who is here.            Change People button to "Who is
                                                                    On" button.
  15      low         Went to own profile to make someone a         Let people add friends at My
                      friend.                                       profile
  16      low         Not clear how to appendlreply to a            Make an append button pop up
                      discussion in the bulletin board.             when double clicking on a topic.
                                                                    Change wording from "post a
                                                                    message" to "write a message" or
                                                                    "add a message".
  17      low         Bulletin board language is inconsistent.      Change so it is either a bulletin
                                                                    board, or a discussion area.

                Figure 10.8 (continued).



                Figure 10.8 shows part of this table. Notice that issues were ranked in priority:
                low, medium, and high. There were just five high-ranking problems that ab-
                solutely had to be fixed:
                      The back button did not always work.
                      People were not paying attention to navigation buttons, so they needed to be
                      more prominent.
                      People frequently clicked on objects in the 3D view and expected something
                      to happen. A suggestion for fixing this was to provide links to a web page.
                      People did not realize that there could be other real people in the 3D world
                      with whom they could chat, so the wording in the overview description had
                      to be changed.
                      People were not noticing the chat window and instead were trying to chat to
                      people in the participant list. The team needed to clarify the instructions
                      about where to chat.
                In general, most users found the redesigned software easy to use with little instruc-
                tion. By running a variety of tests, the informal onsite test, and the formal usability
                test, key problems were identified at an early stage and various usability issues
                could be fixed before the actual deployment of the software.

10.3.3 Was it tested again?
                Following the usability testing, there were more rounds of observation and testing
                with six new participants, two males and four females. These tests followed the
                same general format as those just described but this time they tested multiple users
                at once, to ensure that the virtual world supported multiuser interactions. The tests
                were also more detailed and focused. This time the results were more positive, but
I   334   Chapter 10   Introducing evaluation




                   of course there were still usability problems to be fixed. Then the question arose:
                   what to do next? In particular, had they done enough testing (see Dilemma)?
                        After making a few more fixes, the team stopped usability testing with specific
                   tasks. But the story didn't end here. The next step was to show HutchWorld to can-
                   cer patients and caregivers in a focus-group setting at the Fred Hutchinson Cancer
                   Research Center to get their feedback on the final version. Once the team made
                   adjustments to HutchWorld in response to the focus-group feedback, the final step
                   was to see how well HutchWorld worked in a real clinical environment. It was
                   therefore taken to a residential building used for long-term patient and family stays
                   that was fully wired for Internet access. Here, the team observed what happened
                   when it was used in this natural setting. In particular, they wanted to find out how
                   HutchWorld would integrate with other aspects of patients' lives, particularly with
                   their medical care routines and their access to social support. This informal obser-
                   vation allowed them to examine patterns of use and to see who used which parts of
                   the system, when, and why.

    10.3.4 Looking to the future
                   Future studies were planned to evaluate the effects of the computers and the soft-
                   ware in the Fred Hutchinson Center. The focus of these studies will be the social
                   support and wellbeing of patients and their caregivers in two different conditions.
                   There will be a control condition in which users (i.e., patients) live in the residential
                   building without computers and an experimental condition in which users live in
                   similar conditions but with computers, Internet access, and HutchWorld. The team
                   will evaluate the user data (performance and observation) and surveys collected in
                   the study to investigate key questions, including:
                           How does the computer and software impact the social wellbeing of patients
                           and their caregivers?
                           What type of computer-based communication best supports this patient
                           community?
                           What are the general usage patterns? i.e., which features were used and at
                           what time of day were they used, etc.?
10.3 HutchWorld case study       335

                How might any medical facility use computers and software like Hutch-
                World to provide social support for its patients and caregivers?
              There is always more t o learn about the efficacy of a design and how much
          users enjoy using a product, especially when designing innovative products like
          HutchWorld for new environments. This study will provide a longer-term view of
          how HutchWorld is used in its natural environment that is not provided by the
          other evaluations. It's an ambitious plan because it involves a comparison between
          two different environmental settings, one that has computers and HutchWorld and
          one that doesn't (see Chapter 13 for more on experimental design).



            (a) The case study does not say much about early evaluation to test the conceptual de-
                sign shown in Figure 10.5. What do you think happened?
            (b) The evaluators recorded the gender of participants and noted their previous experi-
                ence with similar systems. Why is this important?
            (c) Why do you think it was important to give participants a five-minute exploration pe-
                riod?
            (d) Triangulation is a term that describes how different perspectives are used to under-
                stand a problem or situation. Often different techniques are used in triangulation.
                Which techniques were triangulated in the evaluations of the HutchWorld proto-
                type?
            (e) The evaluators collected participants' opinions. What kinds of concerns do you think
                participants might have about using HutchWorld? Hints: personal information, med-
                ical information, communicating feelings, etc.

Comment     (a) There was probably much informal discussion with representative users: patients,
                medical staff, relatives, friends, and caregivers. The team also visited the clinic and
                hospital and observed what happened there. They may also have discussed this with
                the physicians and administrators.
            (b) It is possible that our culture causes men and women to react differently in certain
                circumstances. Experience is an even more important influence than gender, so
                knowing how much previous experience users have had with various types of com-
                puter systems enables evaluators to make informed judgments about their perfor-
                mance. Experts and novices, for example, tend to behave very differently.
            (c) The evaluators wanted to see how participants reacted to the system and whether or
                not they could log on and get started. The exploration period also gave the partici-
                pants time to get used to the system before doing the set tasks.
            (d) Data was collected from the five-minute exploration, from performance on the struc-
                tured tasks, and from the user satisfaction questionnaire.
            (e) Comments and medical details are personal and people want privacy. Patients might
                be concerned about whether the medical information they get via the computer and
                from one another is accurate. Participants might be concerned about how clearly and
                accurately they are communicating because non-verbal communication is reduced
                online.
336 Chapter I O   Introducing evaluation

I   10.4 Discussion
                      In both HutchWorld and the 1984 Olympic Messaging System, a variety of
                  evaluation techniques were used at different stages of design to answer different
                  questions. "Quick and dirty" observation, in which the evaluators informally exam-
                  ine how a prototype is used in the natural environment, was very useful in early de-
                  sign. Following this with rounds of usability testing and redesign revealed
                  important usability problems. However, usability testing alone is not sufficient.
                  Field studies were needed to see how users used the system in their natural envi-
                  ronments, and sometimes the results were surprising. For example, in the OMS sys-
                  tem users from different cultures behaved differently. A key issue in the
                  HutchWorld study was how use of the system would fit with patients' medical rou-
                  tines and changes in their physical and emotional states. Users' opinions also of-
                  fered valuable insights. After all, if users don't like a system, it doesn't matter how
                  successful the usability testing is: they probably won't use it. Questionnaires and in-
                  terviews were used to collect user's opinions.
                      An interesting point concerns not only how the different techniques can be
                  used to address different issues at different stages of design, but also how these
                  techniques complement each other. Together they provide a broad picture of the
                  system's usability and reveal different perspectives. In addition, some techniques
                  are better than others for getting around practical problems. This is a large part of
                  being a successful evaluator. In the HutchWorld study, for example, there were not
                  many users, so the evaluators needed to involve them sparingly. For example, a
                  technique requiring 20 users to be available at the same time was not feasible in the
                  HutchWorld study, whereas there was no problem with such an approach in the
                  OMS study. Furthermore, the OMS study illustrated how many different tech-
                  niques, some of which were highly opportunistic, can be brought into play depend-
                  ing on circumstances. Some practical issues that evaluators routinely have to
                  address include:

                         what to do when there are not many users
                         how to observe users in their natural location (i.e., field studies) without dis-
                         turbing them
                         having appropriate equipment available
                         dealing with short schedules and low budgets
                         not disturbing users or causing them duress or doing anything unethical
                         collecting "useful" data and being able to analyze it
                         selecting techniques that match the evaluators' expertise

                       There are many evaluation techniques from which to choose and these practi-
                  cal issues play a large role in determining which are selected. Furthermore, selec-
                  tion depends strongly on the stage in the design and the particular questions to be
                  answered. In addition, each of the disciplines that contributes to interaction design
                  has preferred bodies of theory and techniques that can influence this choice. These
                  issues are discussed further in the next chapter.
Further reading      337

Assignment
                        1. Reconsider the HutchWorld design and evaluation case study and note what was
                           evaluated, why and when, and what was learned at each stage?
                        2. How was the design advanced after each round of evaluation?
                        3. What were the main constraints that influenced the evaluation?
                        4. How did the stages and choice of techniques build on and complement each other
                           (i.e., triangulate)?
                        5. Which parts of the evaluation were directed at usability goals and which at user ex-
                           perience goals? Which additional goals not mentioned in the study could the evalu-
                           ations have focused upon?


Summary
                    The aim of this chapter was to introduce basic evaluation concepts that will be revisited and
                    built on in the next four chapters. We selected the HutchWorld case study because it illus-
                    trates how a team of designers evaluated a novel system and coped with a variety of practical
                    constraints. It also shows how different techniques are needed for different purposes and
                    how techniques are used together to gain different perspectives on a product's usability. This
                    study highlights how the development team paid careful attention to usability and user expe-
                    rience goals a s they designed and evaluated their system.

                    Key points
                      Evaluation and design are very closely integrated in user-centered design.
                      Some of the same techniques are used in evaluation as in the activity of establishing re-
                       quirements and identifying users' needs, but they are used differently (e.g., interviews
                       and questionnaires, etc.).
                      Triangulation involves using combinations of techniques in concert to get different per-
                       spectives or to examine data in different ways.
                       Dealing with constraints, such as gaining access to users or accommodating users' rou-
                       tines, is an important skill for evaluators to develop.


Further reading
CHENG, L., STONE, L., FARNHAM, S., CLARK, A. M., AND          A test of behavioral principles of system design. In J. Preece
ZANER-GODSEY, M. (2000) Hutchworld: Lessons Learned. A        and L. Keller (eds.), Human-Computer Interaction (Read-
Collaborative Project: Fred Hutchinson Cancer Research        ings). Prentice Hall International Ltd., Hemel Hempstead,
Center & Microsofi Research. In the Proceedings of the Vir-   UK: 260-283. This edited paper tells the story of the design
tual Worlds Conference 2000, Paris, France. This paper de-    and evaluation of the OMS.
scribes the HutchWorld study and, as the title suggests, it   GOULD, D., BOIES, J., LEVY, S., RICHARDS, J. T., AND
                                                                    J.            S.
discusses the design lessons that were learned. It also de-   SCHOONARD, J. (1987). The 1984 Olympic Message System:
scribes the evaluation studies in more detail.                a test of behavioral principles of systems design. Communi-
GOULD, J. D., BOIES, J., LEVY, S., RICHARDS, J. T.,
                        S.                             AND    cations of the ACM, 30(9), 758-769. This is the original, full
SCHOONARD, J. (1990). The 1984 Olympic Message System:        version of the OMS paper.
Chapter II


             An evaluation framework
              1 I . 1 Introduction
              1 1.2 Evaluation pradigms and techniques
                    1 1.2.1 Evaluation paradigms
                    1 1 2 . 2 Techniques
              1 1.3 D E C I D E: A framework to guide evaluation
                    11.3.1 Determine the
                    1 1.3.2 Explore the questions
                    1 1.3.3 Choose the evaluation pradigm and techniques
                    1 1.3.4 Identify the practical issues
                    1 1.3.5 Decide how to deal with the ethical issues
                    1 1.3.6 Evaluate, interpret and present the data
              1 1.4 Pilot studies



1 1.1   Introduction
             Designing useful and attractive products requires skill and creativity. As products
             evolve from initial ideas through conceptual design and prototypes, iterative cycles
             of design and evaluation help to ensure that they meet users' needs. But how do
             evaluators decide what and when to evaluate? The Hutchworld case study in the
             previous chapter described how one team did this, but the circumstances surround-
             ing every product's development are different. Certain techniques work better for
             some than for others.
                 Identifying usability and user experience goals is essential for making every
             product successful, and this requires understanding users' needs. The role of eval-
             uation is to make sure that this understanding occurs during all the stages of the
             product's development. The skillful and sometimes tricky part of doing this is
             knowing what to focus on at different stages. Initial requirements get the design
             process started, but, as you have seen, understanding requirements tends to hap-
             pen by a process of negotiation between designers and users. As designers under-
             stand users' needs better, their designs reflect .this understanding. Similarly, as
             users see and experience design ideas, they are able to give better feedback that
             enables the designers to improve their designs further. The process is cyclical,
             with evaluation playing a key role in facilitating understanding between designers
             and users.
340   Chapter 11   An evaluation framework

                   Evaluation is driven by questions about how well the design or particular as-
               pects of it satisfy users' needs. Some of these questions provide high-level goals to
               guide the evaluation. Others are much more specific. For example, can users find a
               particular menu item? Is a graphic useful and attractive? Is the product engaging?
               Practical constraints also play a big role in shaping evaluation plans: tight sched-
               ules, low budgets, or little access to users constrain what evaluators can do. You
               read in chapter 10 how the Hutchworld team had to plan its evaluation around
               hospital routines and patients' health.
                   Experienced designers get to know what works and what doesn't, but those
               with little experience can find doing their first evaluation daunting. However, with
               careful advance planning, problems can be spotted and ways of dealing with them
               can be found. Planning evaluation studies involves thinking about key issues and
               asking questions about the process. In this chapter we propose the DECIDE
               framework to help you do this.
                   The main aims of this chapter are to:
                      Continue to explain the key concepts and terms used to discuss evaluation.
                      Describe the evaluation paradigms and techniques used in interaction design.
                      Discuss the conceptual, practical, and ethical issues to be considered when
                      planning evaluation.
                      Introduce the DECIDE framework to help you plan your own evaluation
                      studies.

1 1.2 Evaluation paradigms and techniques
               Before we describe the techniques used in evaluation studies, we shall start by
               proposing some key terms. Terminology in this field tends to be loose and often
               confusing so it is a good idea to be clear from the start what you mean. We start with
               the much-used term user studies, defined by Abigail Sellen in her interview at the
               end of Chapter 4 as follows: "user studies essentially involve looking at how people
               behave either in their natural [environments], or in the laboratory, both with old
               technologies and with new ones." Any kind of evaluation, whether it is a user study
               or not, is guided either explicitly or implicitly by a set of beliefs that may also be un-
               derpinned by theory. These beliefs and the practices (i.e., the methods or tech-
               niques) associated with them are known as an evaluation paradigm, which you
               should not confuse with the "interaction paradigms" discussed in Chapter 2. Often
               evaluation paradigms are related to a particular discipline in that they strongly influ-
               ence how people from the discipline think about evaluation. Each paradigm has par-
               ticular methods and techniques associated with it. So that you are not confused, we
               want to state explicitly that we will not be distinguishing between methods and tech-
               niques. We tend to talk about techniques, but you may find that other books call
               them methods. An example of the relationship between a paradigm and the tech-
               niques used by evaluators following that paradigm can be seen for usability testing,
               which is an applied science and engineering paradigm. The techniques associated with
               usability testing are: user testing in a controlled environment; observation of user ac-
               tivity in the controlled environment and the field; and questionnaires and interviews.
11.2 Evaluation paradigms and techniques   341

1 1.2.1 Evaluation paradigms
             In this book we identify four core evaluation paradigms: (1) "quick and dirty" eval-
             uations; (2) usability testing; (3) field studies; and (4) predictive evaluation. Other
             texts may use slightly different terms to refer to similar paradigms.


             "Quick and dirty" evaluation
             A "quick and dirty" evaluation is a common practice in which designers informally
             get feedback from users or consultants to confirm that their ideas are in line with
                                                                                                       ~
             users' needs and are liked. "Quick and dirty" evaluations can be done at any stage
             and the emphasis is on fast input rather than carefully documented findings. For
             example, early in design developers may meet informally with users to get feed-
             back on ideas for a new product (Hughes et al., 1994). At later stages similar meet-
             ings may occur to try out an idea for an icon, check whether a graphic is liked, or
             confirm that information has been appropriately categorized on a webpage. This
             approach is often called "quick and dirty" because it is meant to be done in a short
             space of time. Getting this kind of feedback is an essential ingredient of successful
             design.
                  As discussed in Chapter 9, any involvement with users will be highly informa-
             tive and you can learn a lot early in design by observing what people do and talking
             to them informally. The data collected is usually descriptive and informal and it is
             fed back into the design process as verbal or written notes, sketches and anecdotes,
             etc. Another source comes from consultants, who use their knowledge of user be-
             havior, the market place and technical know-how, to review software quickly and
             provide suggestions for improvement. It is an approach that has become particu-
             larly popular in web design where the emphasis is usually on short tirnescales.


             Usability testing
             Usability testing was the dominant approach in the 1980s (Whiteside et al., 1998),
             and remains important, although, as you will see, field studies and heuristic evalua-
             tions have grown in prominence. Usability testing involves measuring typical users'
             performance on carefully prepared tasks that are typical of those for which the sys-
             tem was designed. Users' performance is generally measured in terms of number of
             errors and time to complete the task. As the users perform these tasks, they are
             watched and recorded on video and by logging their interactions with software.
             This observational data is used to calculate performance times, identify errors, and
             help explain why the users did what they did. User satisfaction questionnaires and
             interviews are also used to elicit users' opinions.
                 The defining characteristic of usability testing is that it is strongly controlled
             by the evaluator (Mayhew, 1999). There is no mistaking that the evaluator is in
             charge! Typically tests take place in laboratory-like conditions that are controlled.
             Casual visitors are not allowed and telephone calls are stopped, and there is no
             possibility of talking to colleagues, checking email, or doing any of the other
             tasks that most of us rapidly switch among in our normal lives. Everything that
342   Chapter 1 1   An evaluation framework

                the participant does is recorded-every keypress, comment, pause, expression,
                etc., so that it can be used as data.
                     Quantifying users' performance is a dominant theme in usability testing.
                However, unlike research experiments, variables are not manipulated and the
                typical number of participants is too small for much statistical analysis. User satis-
                faction data from questionnaires tends to be categorized and average ratings are
                presented. Sometimes video or anecdotal evidence is also included to illustrate
                problems that users encounter. Some evaluators then summarize this data in a us-
                ability specification so that developers can use it to test future prototypes or ver-
                sions of the product against it. Optimal performance levels and minimal levels of
                acceptance are often specified and current levels noted. Changes in the design can
                then be agreed and engineered-hence the term "usability engineering." User
                testing is explained further in Chapter 14, how to observe users is described in
                Chapter 12, and issues concerned with interviews and questionnaires are explored
                in Chapter 13.

                Field studies
                The distinguishing feature of field studies is that they are done in natural settings
                with the aim of increasing understanding about what users do naturally and how
                technology impacts them. In product design, field studies can be used to (1) help
                identify opportunities for new technology; (2) determine requirements for design;
                (3) facilitate the introduction of technology; and (4) evaluate technology (Bly,
                1997).
                     Chapter 9 introduced qualitative techniques such as interviews, observation,
                participant observation, and ethnography that are used in field studies. The exact
                choice of techniques is often influenced by the theory used to analyze the data. The
                data takes the form of events and conversations that are recorded as notes, or by
                audio or video recording, and later analyzed using a variety of analysis techniques
                such as content, discourse, and conversational analysis. These techniques vary con-
                siderably. In content analysis, for example, the data is analyzed into content cate-
                gories, whereas in discourse analysis the use of words and phrases is examined.
                Artifacts are also collected. In fact, anything that helps to show what people do in
                their natural contexts can be regarded as data.
                      In this text we distinguish between two overall approaches to field studies. The
                first involves observing explicitly and recording what is happening, as an outsider
                looking on. Qualitative techniques are used to collect the data, which may then be
                analyzed qualitatively or quantitatively. For example, the number of times a partic-
                ular event is observed may be presented in a bar graph with means and standard
                deviations.
                      In some field studies the evaluator may be an insider or even a participant.
                Ethnography is a particular type of insider evaluation in which the aim is to explore
                the details of what happens in a particular social setting. "In the context of human-
                computer interaction, ethnography is a means of studying work (or other activities)
                in order to inform the design of information systems and understand aspects of
                their use" (Shapiro, 1995, p. 8).
1 1.2 Evaluation paradigms and techniques      343

          Predictive evaluation
          In predictive evaluations experts apply their knowledge of typical users, often guided
                                                                                                         I
          by heuristics, to predict usability problems. Another approach involves theoretically-
          based models. The key feature of predictive evaluation is that users need not be pres-
          ent, which makes the process quick, relatively inexpensive, and thus attractive to
          companies; but it has limitations.
              In recent years heuristic evaluation in which experts review the software prod-
          uct guided by tried and tested heuristics has become popular (Nielsen and Mack,
          1994). As mentioned in Chapter 1, usability guidelines (e.g., always provide clearly
          marked exits) were designed primarily for evaluating screen-based products (e.g.
          form fill-ins, library catalogs, etc.). With the advent of a range of new interactive
          products (e.g., the web, mobiles, collaborative technologies), this original set of            I
          heuristics has been found insufficient. While some are still applicable (e.g., speak
          the users' language), others are inappropriate. New sets of heuristics are also
          needed that are aimed at evaluating different classes of interactive products. In
          particular, specific heuristics are needed that are tailored to evaluating web-based
          products, mobile devices, collaborative technologies, computerized toys, etc. These
          should be based on a combination of usability and user experience goals, new re-
          search findings and market research. Care is needed in using sets of heuristics. As
          you will see in Chapter 13, designers are sometimes led astray by findings from
          heuristic evaluations that turn out not to be as accurate as they at first seemed.
              Table 11.1summarizes the key aspects of each evaluation paradigm for the fol-
          lowing issues:
                the role of users
                who controls the process and the relationship between evaluators and users
                during the evaluation
                the location of the evaluation
                when the evaluation is most useful
                the type of data collected and how it is analyzed
                how the evaluation findings are fed back into the design process
                the philosophy and theory that underlies the evaluation paradigms
          Some other terms that you may encounter in your reading are shown in Box 11.1.

          Think back to the Hutchworld case study.
            (a) Which evaluation paradigms were used in the study and which were not?
            (b) How could the missing evaluation paradigms have been used to inform the design
                and why might they not have been used?

Comment     (a) The team did some "quick and dirty" evaluation during early development but this is
                not stressed in their report. Usability testing played a strong role, with some tests
                being carried out at the Fred Hutchinson Center and later tests in Microsoft's usabil-
                ity laboratories. Field studies are not strongly featured, but the team does mention
344     Chapter 11     An evaluation framework

Table 1 1.1   Characteristics of different evaluation paradigms
                -     - -


Evaluation                                       Usability
paradigms           "Quick and dirty"             testing            Field studies       Predictive
Role of users      Natural behavior.        To carry out          Natural behavior.    Users generally not
                                            set tasks.                                 involved.

Who controls       Evaluators take          Evaluators            Evaluators try       Expert evaluators.
                   minimum control.         strongly in           to develop
                                            control.              relationships
                                                                  with users.

Location           Natural                  Laboratory.           Natural              Laboratory-oriented
                   environment or                                 environment.         but often happens
                   laboratory.                                                         on customer's
                                                                                       premises.

When used          Any time you want        With a prototype      Most often used      Expert reviews
                   to get feedback          or product.           early in design to   (often done by
                   about a design                                 check that users'    consultants) with a
                   quickly. Techniques                            needs are being      prototype, but can
                   from other                                     met or to assess     occur at any time.
                   evaluation                                     problems or design   Models are used to
                   paradigms can be                               opportunities.       assess specific
                   used-e.g., experts                                                  aspects of a
                   review software.                                                    potential design.

Type of data       Usually qualitative,     Quantitative.         Qualitative          List of problems
                   informal                 Sometimes             descriptions         from expert reviews.
                   descriptions.            statistically         often accompanied    Quantitative figures
                                            validated. Users'     with sketches,       from model, e.g.,
                                            opinions collected    scenarios,           how long it takes to
                                            by questionnaire      quotes, other        perform a task
                                            or interview.         artifacts.           using two designs.

Fed back           Sketches, quotes,        Report of             Descriptions that    Reviewers provide
into design        descriptive report.      performance           include quotes,      a list of problems,
by...                                       measures, errors      sketches,            often with
                                                                                       suggested solutions.
                                            etc. Findings         anecdotes, and
                                            provide a             sometimes time       Times calculated
                                            benchmark for         logs.                from models are
                                            future versions.                           given to designers.

Philosophy         User-centered,            Applied approach     May be objective     Practical heuristics
                   highly practical          based on             observation or       and practitioner
                   approach.                 experimentation,     ethnographic.        expertise underpin
                                             i.e., usability                           expert reviews.
                                             engineering.                              Theory underpins
                                                                                       models.
11.2 Evaluation pradigrns and techniques      345




                    observing how patients used HutchWorld in the Center. Field studies were planned
                    in which patients, who have access to HutchWorld and the web, could be systemati-
                    cally compared with another group who does not have these facilities. However, dis-
                    tinguishing between evaluation paradigms isn't always clear-cut. In practice elements
                    typically found in one may be transferred to another (e.g., the controlled approach
                    the HutchWorld team planned to use in the field). The only evaluation paradigm that
                    is not mentioned in the study is predictive evaluation.
                (b) Expert reviews could have been done any time during its development but the team
                    may have thought they were not needed, or there wasn't time, or perhaps they were
                    performed but not reported.


1 1.2.2 Techniques
             There are many evaluation techniques and they can be categorized in various ways,
             but in this text we will examine techniques for:
                     observing users
                     asking users their opinions
                     asking experts their opinions
                     testing users' performance
                     modeling users' task performance to predict the efficacy of a user interface
             The brief descriptions below offer an overview of each category, which we discuss
             in detail in the next three chapters. Be aware that some techniques are used in dif-
             ferent ways in different evaluation paradigms.

             Observing users
             Observation techniques help to identify needs leading to new types of products and
             help to evaluate prototypes. Notes, audio, video, and interaction logs are well-
             known ways of recording observations and each has benefits and drawbacks. Obvi-
             ous challenges for evaluators are how to observe without disturbing the people
             being observed and how to analyze the data, particularly when large quantities of
346   Chapter 1 1   An evaluation framework

                video data are collected or when several different types must be integrated to tell
                the story (e.g., notes, pictures, sketches from observers). You met several observa-
                tion techniques in Chapter 7 in the context of the requirements activity; in Chapter
                12 we will focus on how they are used in evaluation.

                Asking users
                Asking users what they think of a product-whether it does what they want; whether
                                                                                                              I
                they like it; whether the aesthetic design appeals; whether they had problems using
                it; whether they want to use it again- an obvious way of getting feedback. Inter-
                                                        is
                views and questionnaires are the main techniques for doing this. The questions
                asked can be unstructured or tightly structured. They can be asked of a few people
                or of hundreds. Interview and questionnaire techniques are also being developed for
                use with email and the web. We discuss these techniques in Chapter 13.

                Asking experts
                Software inspections and reviews are long established techniques for evaluating
                software code and structure. During the 1980s versions of similar techniques were
                developed for evaluating usability. Guided by heuristics, experts step through tasks
                role-playing typical users and identify problems. Developers like this approach be-
                cause it is usually relatively inexpensive and quick to perform compared with labo-
                ratory and field evaluations that involve users. In addition, experts frequently
                suggest solutions to problems. In Chapter 13 you will learn a few inspection tech-
                niques for evaluating usability.

                User testing
                Measuring user performance to compare two or more designs has been the bedrock
                of usability testing. As we said earlier when discussing usability testing, these tests are
                usually conducted in controlled settings and involve typical users performing typical,
                well-defined tasks. Data is collected so that performance can be analyzed. Generally
                the time taken to complete a task, the number of errors made, and the navigation
                path through the product are recorded. Descriptive statistical measures such as means
                and standard deviations are commonly used to report the results. In Chapter 14 you
                will learn the basics of user testing and how it differs from scientific experiments.

                Modeling users' task performance
                There have been various attempts to model human-computer interaction so as to
                predict the efficiency and problems associated with different designs at an early
                stage without building elaborate prototypes. These techniques are successful for
                systems with limited functionality such as telephone systems. GOMS and the key-
                stroke model are the best known techniques. They have already been mentioned in
                Chapter 3 and in Chapter 14 we examine their role in evaluation.
                    Table 11.2 summarizes the categories of techniques and indicates how they are
                commonly used in the four evaluation paradigms.
1 1.2 Evaluation paradigms and techniques    347

Table 1 1.2 The relationship between evaluation paradigms and techniques.
                                                    Evaluation paradigms
Techniques     "Quick and dirty"      Usability testing        Field studies             Predictive
Observing      Important for         Video and              Observation is the         N/A
users          seeing how users      interaction            central part of any
               behave in their       logging, which         field study. In
               natural               can be analyzed        ethnographic
               environments.         to identify            studies evaluators
                                     errors, investigate    immerse
                                     routes through         themselves in the
                                     the software,          environment. In
                                     or calculate           other types of
                                     performance time.      studies the
                                                            evaluator looks on
                                                            objectively.

Asking users   Discussions with      User satisfaction      The evaluator may          N/A
               users and             questionnaires         interview or
               potential users       are administered       discuss what she
               individually, in      to collect users'      sees with
               groups or focus       opinions.              participants.
               groups.               Interviews may         Ethnographic
                                     also be used to        interviews are used
                                     get more details.      in ethnographicstudies.

Asking         To provide            NIA                    NIA                        Experts use
experts        critiques                                                               heuristics early in
               (called "crit                                                           design to predict
               reports") of the                                                        the efficacy of an
               usability of a                                                          interface.
               prototype.

User           N/A                   Testing typical        N/A                        NIA
testing                              users on typical
                                     tasks in a
                                     controlled
                                     laboratory-like
                                     setting is the
                                     cornerstone of
                                     usability testing.

Modeling       N/A                   NIA                    N/A                       Models are used to
users' task                                                                           predict the efficacy
performance                                                                           of an interface
                                                                                      or compare
                                                                                      performance times
                                                                                      between versions.
I
    I
        348   Chapter 11      An evaluation framework


                           C 1969 R m d y G l . s h g e n .
                                                                     C
                                                                      -




                                 "It's the latest innovation in ofAce safety.
                             When your computer mashes, an air bag i activated
                                                                       s
                               so you won't bang your head in frustration."




I       1 1.3 DECIDE: A framework to guide evaluation
                       Well-planned evaluations are driven by clear goals and appropriate questions
                       (Basili et al., 1994). To guide our evaluations we use the D E C I D E framework,
                       which provides the following checklist to help novice evaluators:
                                1. ~ e t e r m i h e overall goals that the evaluation addresses.
                                                   the
                                 2. Explore the specific questions to be answered.
                                 3. Choose the evaluation paradigm and techniques to answer the questions.
                                 4. Identify the practical issues that must be addressed, such as selecting partici-
                                    pants.
                                 5. Decide how to deal with the ethical issues.
                                6. Evaluate, interpret, and present the data.

        1 1.3.1 Determine the goals
                       What are the high-level goals of the evaluation? Who wants it and why? An evalua-
                       tion to help clarify user needs has different goals from an evaluation to determine
                       the best metaphor for a conceptual design, or to he-tune an interface, or to exam-
                       ine how technology changes working practices, or to inform how the next version
                       of a product should be changed.
                            Goals should guide an evaluation, so determining what these goals are is the
                       first step in planning an evaluation. For example, we can restate the general goal
                       statements just mentioned more clearly as:
                                      Check that the evaluators have understood the users' needs.
                                      Identify the metaphor on which to base the design.
1 1.3 DECIDE: A framework to guide evaluation   349

                     Check to ensure that the final interface is consistent.
                    Investigate the degree to which technology influences working practices.
                    Identify how the interface of an existing product could be engineered to im-
                    prove its usability.

              These goals influence the e
Interaction design beyond human computer interaction
Interaction design beyond human computer interaction
Interaction design beyond human computer interaction
Interaction design beyond human computer interaction
Interaction design beyond human computer interaction
Interaction design beyond human computer interaction
Interaction design beyond human computer interaction
Interaction design beyond human computer interaction
Interaction design beyond human computer interaction
Interaction design beyond human computer interaction
Interaction design beyond human computer interaction
Interaction design beyond human computer interaction
Interaction design beyond human computer interaction
Interaction design beyond human computer interaction
Interaction design beyond human computer interaction
Interaction design beyond human computer interaction
Interaction design beyond human computer interaction
Interaction design beyond human computer interaction
Interaction design beyond human computer interaction
Interaction design beyond human computer interaction
Interaction design beyond human computer interaction
Interaction design beyond human computer interaction
Interaction design beyond human computer interaction
Interaction design beyond human computer interaction
Interaction design beyond human computer interaction
Interaction design beyond human computer interaction
Interaction design beyond human computer interaction
Interaction design beyond human computer interaction
Interaction design beyond human computer interaction
Interaction design beyond human computer interaction
Interaction design beyond human computer interaction
Interaction design beyond human computer interaction
Interaction design beyond human computer interaction
Interaction design beyond human computer interaction
Interaction design beyond human computer interaction
Interaction design beyond human computer interaction
Interaction design beyond human computer interaction
Interaction design beyond human computer interaction
Interaction design beyond human computer interaction
Interaction design beyond human computer interaction
Interaction design beyond human computer interaction
Interaction design beyond human computer interaction
Interaction design beyond human computer interaction
Interaction design beyond human computer interaction
Interaction design beyond human computer interaction
Interaction design beyond human computer interaction
Interaction design beyond human computer interaction
Interaction design beyond human computer interaction
Interaction design beyond human computer interaction
Interaction design beyond human computer interaction
Interaction design beyond human computer interaction
Interaction design beyond human computer interaction
Interaction design beyond human computer interaction
Interaction design beyond human computer interaction
Interaction design beyond human computer interaction
Interaction design beyond human computer interaction
Interaction design beyond human computer interaction
Interaction design beyond human computer interaction
Interaction design beyond human computer interaction
Interaction design beyond human computer interaction
Interaction design beyond human computer interaction
Interaction design beyond human computer interaction
Interaction design beyond human computer interaction
Interaction design beyond human computer interaction
Interaction design beyond human computer interaction
Interaction design beyond human computer interaction
Interaction design beyond human computer interaction
Interaction design beyond human computer interaction
Interaction design beyond human computer interaction
Interaction design beyond human computer interaction
Interaction design beyond human computer interaction
Interaction design beyond human computer interaction
Interaction design beyond human computer interaction
Interaction design beyond human computer interaction
Interaction design beyond human computer interaction
Interaction design beyond human computer interaction
Interaction design beyond human computer interaction
Interaction design beyond human computer interaction
Interaction design beyond human computer interaction
Interaction design beyond human computer interaction
Interaction design beyond human computer interaction
Interaction design beyond human computer interaction
Interaction design beyond human computer interaction
Interaction design beyond human computer interaction
Interaction design beyond human computer interaction
Interaction design beyond human computer interaction
Interaction design beyond human computer interaction
Interaction design beyond human computer interaction
Interaction design beyond human computer interaction
Interaction design beyond human computer interaction
Interaction design beyond human computer interaction
Interaction design beyond human computer interaction
Interaction design beyond human computer interaction
Interaction design beyond human computer interaction
Interaction design beyond human computer interaction
Interaction design beyond human computer interaction
Interaction design beyond human computer interaction
Interaction design beyond human computer interaction
Interaction design beyond human computer interaction
Interaction design beyond human computer interaction
Interaction design beyond human computer interaction
Interaction design beyond human computer interaction
Interaction design beyond human computer interaction
Interaction design beyond human computer interaction
Interaction design beyond human computer interaction
Interaction design beyond human computer interaction
Interaction design beyond human computer interaction
Interaction design beyond human computer interaction
Interaction design beyond human computer interaction
Interaction design beyond human computer interaction
Interaction design beyond human computer interaction
Interaction design beyond human computer interaction
Interaction design beyond human computer interaction
Interaction design beyond human computer interaction
Interaction design beyond human computer interaction
Interaction design beyond human computer interaction
Interaction design beyond human computer interaction
Interaction design beyond human computer interaction
Interaction design beyond human computer interaction
Interaction design beyond human computer interaction
Interaction design beyond human computer interaction
Interaction design beyond human computer interaction
Interaction design beyond human computer interaction
Interaction design beyond human computer interaction
Interaction design beyond human computer interaction
Interaction design beyond human computer interaction
Interaction design beyond human computer interaction
Interaction design beyond human computer interaction
Interaction design beyond human computer interaction
Interaction design beyond human computer interaction
Interaction design beyond human computer interaction
Interaction design beyond human computer interaction
Interaction design beyond human computer interaction
Interaction design beyond human computer interaction
Interaction design beyond human computer interaction
Interaction design beyond human computer interaction
Interaction design beyond human computer interaction
Interaction design beyond human computer interaction
Interaction design beyond human computer interaction
Interaction design beyond human computer interaction
Interaction design beyond human computer interaction
Interaction design beyond human computer interaction
Interaction design beyond human computer interaction
Interaction design beyond human computer interaction
Interaction design beyond human computer interaction
Interaction design beyond human computer interaction
Interaction design beyond human computer interaction
Interaction design beyond human computer interaction
Interaction design beyond human computer interaction
Interaction design beyond human computer interaction
Interaction design beyond human computer interaction
Interaction design beyond human computer interaction
Interaction design beyond human computer interaction
Interaction design beyond human computer interaction
Interaction design beyond human computer interaction
Interaction design beyond human computer interaction
Interaction design beyond human computer interaction
Interaction design beyond human computer interaction
Interaction design beyond human computer interaction
Interaction design beyond human computer interaction
Interaction design beyond human computer interaction
Interaction design beyond human computer interaction
Interaction design beyond human computer interaction
Interaction design beyond human computer interaction
Interaction design beyond human computer interaction
Interaction design beyond human computer interaction
Interaction design beyond human computer interaction
Interaction design beyond human computer interaction
Interaction design beyond human computer interaction
Interaction design beyond human computer interaction
Interaction design beyond human computer interaction

Interaction design beyond human computer interaction

  • 1.
    A INTER, ,CTIOW DESIGN I beyond human-computer interaction
  • 2.
    Color Plate 1 Figure1.2 Novel forms of interactive products embedded with computational power (clockwise from top left): (i) Electrolux screen- fridge that provides a range of functionality, in- cluding food manage- ment where recipes are displayed, based on the food stored in the fridge. [IV)Barney, an interactive cuddly toy that makes learning enjoyable. (iii) 'geek chic', a Levi jacket equipped with a fully integrated computer network (body area network), enabling the wearer to be fully connected to the web. ENTER Figure 1.1 1 2D and 3D buttons. Which are easier to distin- guish between?
  • 3.
    Color Plate 2 Figure 2.1 An example of augmented reality. Virtual and physical worlds have been combined so that a digital image of the brain is superimposed on the person's head, providing a new form of medical visualization. Figure 2.14 The i-room project at Stanford: a graphical rendering of the Interactive Room Terry Winograd's group is researching, which is an innovative technology- rich prototype workspace, integrating a variety of dis- plays and devices. An overarching aim is to explore new possibilities for people to work together (see http://graphics.stanford.EDU/projects/iwork/). - . - I.. , .
  • 4.
    Color Plate 3 Figure2.6 Recent direct-manipulation virtual environments (a) Virtue (Daniel Reid, 1999, www-pablo.cs.uiuc.edulPro- jectNRNirtue) enables software developers to directly ma- nipulate software components and their behavior. (b), (c) Crayoland (Dave Pape, www.ncsa.uiuc.eduNis/) is an interactive virtual environment where the child in the image on the right uses a joystick to navigate through the space. The child is interacting with an avatar in the flower world.
  • 5.
    Color Plate 4 Figure3.7 Dynalinking used in the PondWorld software. In the background is a simulation of a pond ecosystem, comprising perch, stickleback, beetles, tadpoles, and weeds. In the foreground is a food web diagram representing the same ecosystem but at a more abstract level. The two are dynalinked: changes made to one representation are reflected in the other. Here the user has clicked on the arrow between the tadpole and the weed rep- resented in the diagram. This is shown in the PondWorld simulation as the tadpole eating the weed. The dynalinking is accompanied by a narrative explaining what is happening and sounds of dying organisms. Figure 3.9 A see-through handset-transparency does not mean simply showing the insides of a machine but involves providing a good system image.
  • 6.
    Color Plate 5 Figure4.1 'l'he rooftop gar- den in BowieWorld, a collab- orative virtual environment (CVE) supported by Worlds.com. The User takes part by "dressing up" as an avatar. There are hundreds of avatars to choose from, in- cluding penguins and real people. Once avatars have entered a world, they can ex- plore it and chat with other avatars.
  • 7.
    Color Plate 6 Figure5.3 Examples of aesthetically pleasing interactive products: iMac, Nokia cell phone and IDEO's digital radio for the BBC. 1 Figure 5.9 Virtual screen characters: (a) Aibo, the interactive dog.
  • 8.
    Color Plate 7 Figure5.1 1 I-lerman the bug watches as a stu- dent chooses roots for a plant in a n Alpinc meadow. Figure 5.1 2 The Woggles inter- face, with icons and slider bars repl-escnting emotions. specch and actions.
  • 9.
    Color Plate 8 Figure 7.3(b) The KordGrip being used underwater Figure 5.13 Rea the real estate agent welcoming the user to look at a condo. Figure 15.8 The first foam mod- els of a mobile communicator for children.
  • 10.
    INTERACTION' DESIGN beyond human-computer interaction John Wiley & Sons, Inc.
  • 11.
    ACQUISITIONS EDITOR Gaynor Redvers-MuttonlPaulCrockett MARKETING MANAGER Katherine Hepburn SENIOR PRODUCTION EDITOR Ken Santor COVER DESIGNER Madelyn Lesure ILLUSTRATION EDITOR Anna Melhorn ILLUSTRATIONS Tech-Graphics, Inc. COVER IMAGE "Thoughts in Passage 11" by Michael Jon March. Courtesy of Grand Image Publishing This book was set in 10112 Times Ten by UG I GGS Information Services, Inc., and printed and bound by R. R. DonnelleylCrawfordsville.The cover and the color insert were printed by Phoenix Color Corporation. This book is printed on acid free paper. m Copyright O 2002 John Wiley & Sons, Inc. All rights reserved. No part of this publication may be reproduced, stored in a retrieval system or transmitted in any form or by any means, electronic, mechanical, photocopying, recording, scanning or otherwise, except as permitted under Sections 107 or 108 of the 1976 United States Copyright Act, without either the prior written permission of the Publisher, or authorization through payment of the appropriate per-copy fee to the Copyright Clearance Center, 222 Rosewood Drive, Danvers, MA 01923, (508) 750-8400, fax (508) 750-4470. Requests to the Publisher for permission should be addressed to the Permissions Department, John Wiley & Sons, Inc., 605 Third Avenue, New York, NY 10158-0012, (212) 850-6011, fax (212) 850-6008, E-Mail: PERMREQ@WILEY.COM. To order books or for customer service please call 1(800)225-5945. Library of Congress Cataloging in Publication Data. Preece, Jennifer. Interaction design : beyond human- computer interaction1Jennifer Preece, Yvonne Rogers, Helen Sharp. p. cm. Includes bibliographicalreferences and index. ISBN 0-471-49278-7 (paper : alk. paper) 1. Human-computer interaction. I. Rogers, Yvonne. 11. Sharp, Helen. 111. Title. QA76.9.H85 P72 2002 004'.01'94c21 Printed in the United States of America 2001006730
  • 12.
    Preface Welcome to Interaction Design: Beyond Human-Computer Interaction, and our in- teractive website at ID-Book.com This textbook is for undergraduate and masters students from a range of back- grounds studying classes in human-computer interaction, interaction design, web design, etc. A broad range of professionals and technology users will also find this book useful, and so will graduate students who are moving into this area from re- lated disciplines. Our book is called Interaction Design: Beyond Human-Computer Interaction because it is concerned with a broader scope of issues, topics, and paradigms than has traditionally been the scope of human-computer interaction (HCI). This reflects the exciting times we are living in, when there has never been a greater need for in- teraction designers and usability engineers to develop current and next-generation interactive technologies. To be successful they will need a mixed set of skills from psychology, human-computer interaction, web design, computer science, informa- tion systems, marketing, entertainment, and business. What exactly do we mean by interaction design? In essence, we define interac- tion design as: "designing interactive products to support people in their everyday and working lives". This entails creating user experiences that enhance and extend the way people work, communicate, and interact. Now that it is widely accepted that HCI has moved beyond designing computer systems for one user sitting in front of one ma- chine to embrace new paradigms, we, likewise, have covered a wider range of is- sues. These include ubiquitous computing and pervasive computing that make use of wireless and collaborative technologies. We also have tried to make the book up-to-date with many examples from contemporary research. The book has 15 chapters and includes discussion of how cognitive, social, and affective issues apply to interaction design. A central theme is that design and eval- uation are interleaving, highly iterative processes, with some roots in theory but which rely strongly on good practice to create usable products. The book has a 'hands-on' orientation and explains how to carry out a variety of techniques. It also has a strong pedagogical design and includes many activities (with detailed com- ments), assignments, and the special pedagogic features discussed below. The style of writing is intended to be accessible to students, as well as profes- sionals and general readers, so it is conversational and includes anecdotes, car- toons, and case studies. Many of the examples are intended to relate to readers' own experiences. The book and the associated website encourage readers to be ac- tive when reading and to think about seminal issues. For example, one feature we have included in the book is the "dilemma," where a controversial topic is aired. The aim is for readers to understand that much of interaction design needs consid-
  • 13.
    vi Preface eration of the issues, and that they need to learn to weigh-up the pros and cons and be prepared to make trade-offs. We particularly want readers to realize that there is rarely a right or wrong answer although there are good designs and poor designs. This book is accompanied by a website, which provides a variety of resources and interactivities, The website offers a place where readers can learn how to design websites and other kinds of multimedia interfaces. Rather than just provide a list of guidelines and design principles, we have developed various interactivities, includ- ing online tutorials and step-by-step exercises, intended to support learning by doing. Special features We use both the textbook and the web to teach about interaction design. To pro- mote good pedagogical practice we include the following features: Chapter design Each chapter is designed to motivate and support learning: Aims are provided so that readers develop an accurate model of what to ex- pect in the chapter. Key points at the end of the chapter summarize what is important. Activities are included throughout the book and are considered an essential ingredient for learning. They encourage readers to extend and apply their knowledge. Comments are offered directly after the activities, because peda- gogic research suggests that turning to the back of the text annoys readers and discourages learning. An assignment is provided at the end of each chapter. This can be set as a group or individual project. The aim is for students to put into practice and consolidate knowledge and skills either from the chapter that they have just studied or from several chapters. Some of the assignments build on each other and involve developing and evaluating designs or actual products. Hints and guidance are provided on the website. Boxes provide additional and highlighted information for readers to reflect upon in more depth. Dilemmas offer honest and thought-provoking coverage of controversial or problematic issues. Further reading suggestions are provided at the end of each chapter. These refer to seminal work in the field, interesting additional material, or work that has been heavily drawn upon in the text. Interviews with nine practitioners and visionaries in the field enable readers to gain a personal perspective of the interviewees' work, their philosophies, their ideas about what is important, and their contributions to the field. Cartoons are included to make the book enjoyable.
  • 14.
    How to usethis book vii ID-Book.com website The aim of the website is to provide you with an opportunity to learn about inter- action design in ways that go "beyond the book." Additional in-depth material, hands-on interactivities, a student's corner and informal tutorials will be provided. Specific features planned include: Hands-on interactivities, including designing a questionnaire, customizing a set of heuristics, doing a usability analysis on 'real' data, and interactive tools to support physical design. Recent case studies. Student's corner where you will be able to send in your designs, thoughts, written articles which, if suitable, will be posted on the site at specified times during the year. Hints and guidance on the assignments outlined in the book. Suggestions for additional material to be used in seminars, lab classes, and lectures. Key terms and concepts (with links to where to find out more about them). Readership This book will be useful to a wide range of readers with different needs and aspirations. Students from Computer Science, Software Engineering, Information Systems, Psychology, Sociology, and related disciplines studying courses in Interaction De- sign and Human-Computer Interaction will learn the knowledge, skills, and tech- niques for designing and evaluating state-of-the-art products, and websites, as well as traditional computer systems. Web and Interaction Designers, and Usability Professionals will find plenty to satisfy their need for immediate answers to problems as well as for building skills to satisfy the demands of today's fast moving technical market. Users, who want to understand why certain products can be used with ease while others are unpredictable and frustrating, will take pleasure in discovering that there is a discipline with practices that produce usable systems. Researchers and developers who are interested in exploiting the potential of the web, wireless, and collaborative technologies will find that, as well as offering guid- ance, techniques, and much food for thought, a special effort has been made to in- clude examples of state-of-the-art systems. In the next section we recommend various routes through the text for different kinds of readers. How to use this book Interaction Design is not a linear design process but is essentially iterative and some readers and experienced instructors will want tb find their own way through the chapters. Others, and particularly those with less experience, may prefer to
  • 15.
    viii Preface work through chapter by chapter. Readers will also have different needs. For ex- ample, students in Psychology will come with different background knowledge and needs from those in Computer Science. Similarly, professionals wanting to learn the fundamentals in a one-week course have different needs. This book and the website are designed for using in various ways. The following suggestions are pro- vided to help you decide which way is best for you. From beginning to end There are fifteen chapters so students can study one chapter per week during a fifteen-week semester course. Chapter 15 contains design and evaluation case studies. Our intention is that these case studies help to draw together the contents of the rest of the book by showing how design and evaluation are done in the real world. However, some readers may prefer to dip into them along the way. Getting a quick overview For those who want to get a quick overview or just the essence of the book, we suggest you read Chapters 1, 6, and 10. These chapters are recommended for everyone. Suggestions for computer science students In addition to reading Chapters 1,6, and 10, Chapters 7 and 8 contain the material that will feel most familiar to any students who have been introduced to software development. These chapters cover the process of interaction design and the activi- ties it involves, including establishing requirements, conceptual design, and physi- cal design. The book itself does not include any coding exercises, but the website will provide tools and widgets with which to interact. For those following the ACM-IEEE Curriculum (2001)*, you will find that this text and website cover most of this curriculum. The topics listed under each of the following headings are discussed in the chapters shown: HC1 Foundations of Human-Computer Interaction (Chapters 1-5, 14, website). HC2 Building a simple graphical user interface (Chapters 1,6,8,10 and the website). HC3 Human-Centered Software Evaluation (Chapters 1,10-15, website). HC4 Human-Centered Software Design (Chapters 1,6-9,15). HC5 Graphical User-Interface Design (Chapters 2 and 8 and the website. Many relevant examples are discussed in Chapters 1-5 integrated with dis- cussion of cognitive and social issues). *ACM-IEEE Curriculum (2001) [computer.org/education/cc2001/] under development at the time of is writing this book.
  • 16.
    How to usethis book ix HC6 Graphical User-Interface Programming (touched upon only in Chap- ters 7-9 and on the website). HC7 HCI Aspects of Multimedia Information Systems and the web (inte- grated into the discussion of Chapters 1-5, and in examples throughout the text, and on the website). HC8 HCI Aspects of Group Collaboration and Communication Technology (discussed in 1-5, particularly in Chapter 4. Chapters 6- discuss design and 15 evaluation and some examples cover these systems, as does the website.) Suggestions for information systems students Information systems students will benefit from reading the whole text, but instructors may want to find additional examples of their own to illustrate how issues apply to business applications. Some students may be tempted to skip Chapters 3- but we rec- 5 ommend that they should read these chapters since they provide important founda- tional material. This book does not cover how to develop business cases or marketing. Suggestions for psychology and cognitive science students Chapters 3-5 cover how theory and research findings have been applied to interac- tion design. They discuss the relevant issues and provide a wide range of studies and systems that have been informed by cognitive, social, and affective issues. Chapters 1 and 2 also cover important conceptual knowledge, necessary for having a good grounding in interaction design. Practitioner and short course route Many people want the equivalent of a short intensive 2-5 day course. The best route for them is to read Chapters 1,6,10 and 11 and dip into the rest of the book for reference. For those who want practical skills, we recommend Chapter 8. Plan your own path For people who do not want to follow the "beginning-to-end" approach or the sug- gestions above, there are many ways to use the text. Chapters 1,6,10 and 11 provide a good overview of the topic. Chapter 1 is an introduction to key issues in the disci- pline and Chapters 6 and 10 offer introductions to design and evaluation. Then go to Chapters 2- for user issues, then on to the other design chapters, 2-9, dipping 5 into the evaluation chapters 10-14 and the case studies in 15. Another approach is to start with one or two of the evaluation chapters after first reading Chapters 1, 6, 10 and 11, then move into the design section, drawing on Chapters 2- as necessary. 5 Web designer route Web designers who have a background in technology and want to learn how to de- sign usable and effective websites are advised to read Chapters 1, 7, 8, 13 and 14.
  • 17.
    x Preface These chapters cover key issues that are important when designing and evaluating the usability of websites. A worked assignment runs through these chapters. Usability professionals' route Usability professionals who want to extend their knowledge of evaluation techniques and read about the social and psychological issues that underpin design of the web, wireless, and collaborative systems are advised to read Chapter 1 for an overview, then select from Chapters 10-14 on usability testing. Chapters 3,4, and 5 provide dis- cussion of seminal user issues (cognitive, social, and affective aspects). There is new material throughout the rest of the book, which will also be of interest for dipping into as needed. This group may also be particularly interested in Chapter 8 which, to- gether with material on the book website, provides practical design examples. Acknowledgements Many people have helped to make this book a reality. We have benefited from the advice and support of our many professional colleagues across the world, our stu- dents, friends, and families and we thank you all. We also warmly thank the following people for reviewing the manuscript and making many helpful suggestions for im- provements: Liam Bannon, Sara Bly, Penny Collings, Paul Dourish, Jean Gasen, Peter Gregor, Stella Mills, Rory O'Connor, Scott Toolson, Terry Winograd, Richard Furuta, Robert J.K. Jacob, Blair Nonnecke, William Buxton, Carol Traynor, Blaise Liffich, Jan Scott, Sten Hendrickson, Ping Zhang, Lyndsay Marshall, Gary Perlman, Andrew Dillon, Michael Harrison, Mark Crenshaw, Laurie Dingers, David Carr, Steve Howard, David Squires, George Weir, Marilyn Tremaine, Bob Fields, Frances Slack, Ian Graham, Alan O'Callaghan, Sylvia Wilbur, and several anonymous re- viewers. We also thank Geraldine Fitzpatrick, Tim and Dirk from DSTC (Australia) for their feedback on Chapters 1 and 4, Mike Scaife, Harry Brignull, Matt Davies, the HCCS Masters students at Sussex University (2000-2001), Stephanie Wilson and the students from the School of Informatics at City University and Information Systems Department at UMBC for their comments. We are particularly grateful to Sara Bly, Karen Holtzblatt, Jakob Nielsen, Abi- gail Sellen, Suzanne Robertson, Gitta Salomon, Ben Shneiderman, Gillian Cramp- ton Smith, and Terry Winograd for generously contributing in-depth interviews. Lili Cheng and her colleagues allowed us to use the Hutchworld case study. Bill Killam provided the TRZS case study. Keith Cogdill supplied the MEDLZNE- plus case study. We thank Lili, Bill, and Keith for supplying the basic reports and commenting on various drafts. Jon Lazar and Dorine Andrews contributed mater- ial for the section on questionnaires, which we thank them for. We are grateful to our Editors Paul Crockett and Gaynor Redvers-Mutton and the production team at Wiley: Maddy Lesure, Susannah Barr, Anna Melhorn, Gemma Quilter, and Ken Santor. Without their help and skill this book would not have been produced. Bill Zobrist and Simon Plumtree played a significant role in persuading us to work with Wiley and we thank them too.
  • 18.
    About the authors xi I About the authors The authors are all senior academics with a background in teaching, researching, and consulting in the UK, USA, Canada, Australia, and Europe. Having worked together on two other successful text books, they bring considerable experience in curriculum development, using a variety of media for distance learning as well as face-to-face teaching. They have considerable knowledge of creating learning texts and websites that motivate and support learning for a range of students. All three authors are specialists in interaction design and human-computer in- teraction (HCI). In addition they bring skills from other discipline~.Yvonne Rogers is a cognitive scientist, Helen Sharp is a software engineer, and Jenny Preece works in information systems. Their complementary knowledge and skills enable them to cover the breadth of concepts in interaction design and HCI to pro- duce an interdisciplinary text and website. They have collaborated closely, sup- porting and commenting upon each other's work to produce a high degree of integration of ideas with one voice. They have shared everything from initial con- cepts, through writing, design and production.
  • 20.
    Contents Chapter 1 What is interaction design? 1 1.I Introduction 1 1.2 Good and poor design 2 1.2.1 What to design 4 1.3 What is interaction design? 6 1.3.1 The makeup of interaction design 6 1.3.2 Working together as a multidisciplinary team 9 1.3.3 Interaction design in business 10 1.4 What is involved in the process of interaction design? 12 1.5 The goals of interaction design 13 1.5.1 Usability goals 1A 1.5.2 User experience goals 18 1.6 More on usability: design and usability principles 20 1.6.1 Heuristics and usability principles 26 Interview with Gitta Salomon 3 1 Chapter 2 Understanding and concep~alizing interaction 35 2.1 lntroduction 35 2.2 Understanding the problem space 36 2.3 Conceptual models 39 2.3.1 Conceptual models based on activities 41 2.3.2 Conceptual models based on objects 51 2.3.3 A case of mix and match? 54 2.4 Interface metaphors 55 2.5 Interaction paradigms 60 2.6 From conceptual models to physical design 64 Interview with Terry Winograd 70 Chapter 3 Understanding users 73 3.1 Introduction 73 3.2 What is cognition? 74 3.3 Applying knowledge from the physical world to the digital world 90 3.4 Conceptual frameworks for cognition 92 3.4.1 Mental models 92
  • 21.
    xiv Contents 3.4.2 Information processing 96 3.4.3 External cognition 98 3.5 Informing design: from theory to practice 101 Chapter 4 Designing for collaboration and communica~ion 105 4.1 Introduction 105 4.2 Social mechanisms used in communication and collaboration 106 4.2.1 Conversational mechanisms 107 4.2.2 Designing collaborative technologies to support conversation 110 4.2.3 Coordination mechanisms 118 4.2.4 Designing collaborative technologies to support coordination 122 4.2.5 Awareness mechanisms 124 4.2.6 Designing collaborative technologies to support awareness 126 4.3 Ethnographic studies of collaboration and communication 129 4.4 Conceptual frameworks 130 4.4.1 The language/action framework 130 4.4.2 Distributed cognition 133 Interview with Abigail Sellen 138 Chapter 5 Understanding how interfaces affect users 141 5.1 lntroduction 141 5.2 What are affective aspects? 142 5.3 Expressive interfaces 143 5.4 User frustration 147 5.4.1 Dealing with user frustration 152 5.5 A debate: the application of anthropomorphism to interaction design 153 5.6 Virtual characters: agents 157 5.6.1 Kinds of agents 157 5.6.2 General design concerns 160 Chapter 6 The process of interaction design 165 6.1 Introduction 165 6.2 What is interaction design about? 166 6.2.1 Four basic activities of interaction design 1 68 6.2.2 Three key characteristics of the interaction design process 170 6.3 Some practical issues 170 6.3.1 Who are the users? 171
  • 22.
    Contents xv 6.3.2 What do we mean by "needs"? 172 6.3.3 How do you generate alternative designs? 174 6.3.4 How do you choose among alternative designs? 179 6.4 Lifecycle models: showing how the activities are related I 82 6.4.1 A simple lifecycle model for interaction design 186 6.4.2 Lifecycle models in software engineering 187 6.4.3 Lifecycle models in HCI 192 Interview with Gillian Crampton Smith 198 Chapter 7 Identifying needs and establishing requirements 201 7.1 Introduction 201 7.2 What, how, and why? 202 7.2.1 What are we trying to achieve in this design activity? 202 7.2.2 How can we achieve this? 202 7.2.3 Why bother? The importance of getting it right 203 7.2.4 Why establish requirements? 204 7.3 What are requirements? 204 7.3.1 Different kinds of requirements 205 7.4 Data gathering 210 7.4.1 Data-gathering techniques 21 1 7.4.2 Choosing between techniques 215 7.4.3 Some basic datmgathering guidelines 216 7.5 Data interpretation and analysis 219 7.6 Task description 222 7.6.1 Scenarios 223 7.6.2 Use cases 226 7.6.3 Essential use cases 229 7.7 Task analysis 231 7.7.1 Hierarchical Task Analysis (HTA) 231 Interview with Suzanne Robertson 236 1 Chapter 8 Design, prototyping and construction 239 8.1 lntroduction 239 8.2 Prototyping and construction 240 8.2.1 What is a prototype? 240 8.2.2 Why prototype? 241 8.2.3 Low-fidelity prototyping 243 8.2.4 High-fidelity prototyping 245 8.2.5 Compromises in prototyping 246
  • 23.
    xvi Contents 8.2.6 Construction: from design to implementation 248 8.3 Conceptual design: moving from requirements to first design 249 8.3.1 Three perspectives for developing a conceptual model 250 8.3.2 Expanding the conceptual model 257 8.3.3 Using scenarios in conceptual design 259 8.3.4 Using prototypes in conceptual design 262 8.4 Physical design: getting concrete 264 8.4.1 Guidelines for physical design 266 8.4.2 Different kinds of widget 268 8.5 Tool support 275 Chapter 9 User-centered approaches to interaction design 279 9.1 Introduction 279 9.2 Why is it important to involve users at all? 280 9.2.1 Degrees of involvement 281 9.3 What i s a user-centered approach? 285 9.4 Understanding users' work: applying ethnography in design 288 9.4.1 Coherence 293 9.4.2 Contextual Design 295 9.5 involving users in design: Participatory Design 306 9.5.1 PICTIVE 307 9.5.2 CARD 309 Interview with Karen Holtzblatt 313 Chapter 1 0 Introducing evaluation 317 10.1 Introduction 317 10.2 What, why, and when to evaluate 318 10.2.1 What t evaluate 318 o 10.2.2 Why you need to evaluate 319 10.2.3 When to evaluate 323 10.3 Hutchworld case study 324 10.3.1 How the team got started: early design ideas 324 10.3.2 How was the testing done? 327 10.3.3 Was it tested again? 333 10.3.4 Looking to the future 334 10.4 Discussion 336 Chapter 1 1 An evaluation framework 339 1 1 .1 Introduction 339
  • 24.
    Contents xvii 11.2 Evaluation paradigms and techniques 340 11.2.1 Evaluation paradigms 341 11.2.2 Techniques 345 11.3 D E C I D E: A framework to guide evaluation 348 11.3.1 Determine the goals 348 11.3.2 Explore the questions 349 11.3.3 Choose the evaluation paradigm and techniques 349 11.3.4 identify the practical issues 350 1 1.3.5 Decide how to deal with the ethical issues 351 11.3.6 Evaluate, interpret, and present the data 355 11.4 pilot studies 356 Chapter 12 Observing users 359 12.1 Introduction 359 12.2 Goals, questions and paradigms 360 12.2.1 What and when to observe 361 12.2.2 Approaches to observation 363 1 2.3 How to observe 364 12.3.1 In controlled environments 365 12.3.2 In the field 368 12.3.3 Participant observation and ethnography 370 12.4 Data collection 373 12.4.1 Notes plus still camera 374 12.4.2 Audio recording plus still camera 374 12.4.3 Video 374 12.5 Indirect observation: tracking users' activities 377 12.5.1 Diaries 377 12.5.2 Interaction logging 377 12.6 Analyzing, interpreting and presenting data 379 12.6.1 Qualitative analysis to tell a story 380 1 2.6.2 Qualitative analysis for categorization 381 12.6.3 Quantitative data analysis 384 12.6.4 Feeding the findings back into design 384 Interview with Sara B 387 b Chapter 13 Asking users and experts 389 13.1 introduction 389 13.2 Aking users: interviews 390 13.2.1 Developing questions and planning an interview 390
  • 25.
    xviii Contents 13.2.2 Unstructured interviews 392 13.2.3 Structured interviews 394 13.2.4 Semi-structured interviews 394 13.2.5 Group interviews 396 13.2.6 Other sources of interview-like feedback 397 13.2.7 Data analysis and interpretation 398 13.3 Asking users: Questionnaires 398 13.3.1 Designing questionnaires 398 13.3.2 Question and response format 400 13.3.3 Administering questionnaires 404 13.3.4 Online questionnaires 405 13.3.5 Analyzing questionnaire data 407 13.4 Asking experts: Inspections 407 13.4.1 Heuristic evaluation 408 13.4.2 Doing heuristic evaluation 410 13.4.3 Heuristic evaluation of websites 412 13.4.4 Heuristics for other devices 419 13.5 Asking experts: walkthroughs 420 I 3.5.1 Cognitive walkthroughs 420 13.5.2 Pluralistic walkthroughs 423 Interview with Jakob Nielsen 426 Chapter 14 Testing and modeling users 429 14.1 Introduction 429 14.2 User testing 430 14.2.1 Testing MEDLINE~~us 432 14.3 Doing user testing 438 14.3.1 Determine the goals and explore the questions 439 14.3.2 Choose the paradigm and techniques 439 14.3.3 Identify the practical issues: Design typical tasks 439 14.3.4 Identify the practical issues: Select typical users 440 14.3.5 Identify the practical issues: Prepare the testing conditions 441 14.3.6 Identify the practical issues: Plan how to run the tests 442 14.3.7 Deal with ethical issues 443 14.3.8 Evaluate, analyze, and present the data 443 14.4 Experiments 443 14.4.1 Variables and conditions 444 14.4.2 Allocation of participants to conditions 445
  • 26.
    Contents xix 14.4.3 Other issues 446 14.4.4 Data collection and analysis 446 1 4.5 Predictive models 448 14.5.1 The W M S model 449 14.5.2 The Keystroke level model 450 14.5.3 Benefits and limitations of W M S 453 14.5.4 Fitts' Law 454 Interview with Ben Shneiderman 457 Chapter 15 Design and evaluation in the real world: communicators and advisory systems 461 15.1 Introduction 4 1 6 15.2 Key Issues 462 15.3 Designing mobile communicators 463 15.3.1 Background 463 15.3.2 Nokia's approach to developing a communicator 464 15.3.3 Philip's approach to designing a communicator for children 474 15.4 Redesigning part of a large interactive phone-based response system 482 15.4.1 Background 483 15.4.2 The redesign 483 Reflections from the Authors 4 1 9 References 493 Credits 503 Index 509
  • 28.
    I by Gary Perlman As predicted by many visionaries, devices everywhere are getting "smarter." My camera has a multi-modal hierarchical menu and form interface. Even my toaster has a microprocessor. Computing is not just for computers anymore. So when the authors wrote the subtitle "beyond human-computer interaction," they wanted to convey that the book generalizes the human side to people, both individuals and groups, and the computer side to desktop computers, handheld computers, phones, cameras . . . maybe even toasters. My own interest in this book is motivated by having been a software developer for 20 years, during which time I was a professor and consultant for 12. Would the book serve as a textbook for students? Would it help bring software development practice into a new age of human-centered interaction design? A textbook for students . . . More than anything, I think students need to be motivated, inspired, challenged, and I think this book, particularly Chapters 1-5, will do that. Many students will not have the motivating experience of seeing projects and products fail because of a lack of attention, understanding, and zeal for the user, but as I read the opening chapters, I imagined students thinking, "This is what I've been looking for!" The in- terviews will provide students with the wisdom of well-chosen experts: what's im- portant, what worked (or didn't), and why. I see students making career choices based on this motivating material. The rest of the book covers the art and some of the science of interaction de- sign, the basic knowledge needed by practitioners and future innovators. Chapters 6-9 give a current view of analysis, design, and prototyping, and the book's website should add motivating examples. Chapters 10-14 cover evaluation in enough depth to facilitate understanding, not just rote application. Chapter 15 brings it all to- gether, adding more depth. For each topic, there are ample pointers to further reading, which is important because interaction design is not a one-book discipline. Finally, the book itself is pedagogically well designed. Each chapter describes its aims, contains examples and subtopics, and ends with key points, assignments, and an annotated bibliography for more detail. A guide for development teams . . . When I lead or consult on software projects, I face the same problem over and over: many people in marketing and software development-these are the people who have the most input into design, but it applies to any members of multidisciplinary teams-have little knowledge or experience building systems with a user-centered
  • 29.
    xxii Foreword focus. A user-centered focus requires close work with users (not just customer-buy- ers), from analysis through design, evaluation, and maintenance. A lack of user- centered focus results in products and services that often do not meet the needs of their intended users. Don Norman's design books have convinced many that these problems are not unique to software, so this book's focus on interaction design feels right. To help software teams adopt a user-centered focus, I've searched for books with end-to-end coverage from analysis, to design, to implementation (possibly of prototypes), to evaluation (with iteration). Some books have tried to please all au- diences and have become encyclopedias of user interface development, covering topics worth knowing, but not in enough detail for readers to understand them. Some books have tried to cover theory in depth and tried to appeal to developers who have little interest in theory. Whatever the reasons for these choices, the re- sults have been lacking. This book has chosen fewer topics and covered them in more depth; enough depth, I think, to put the ideas into practice. I think the mater- ial is presented in a way that is understandable by a wide audience, which is impor- tant in order for the book to be useful to whole multidisciplinary teams. A recommended book . . . I've been waiting for this book for many years. I think it's been worth the wait. As the director of the HCI Bibliography project (www.hcibib.org), a free-ac- cess HCI portal receiving a half-million hits per year, I receive many requests for suggestions for books, particularly from students and software development man- agers. To answer that question, I maintain a list of recommended readings in ten categories (with 20,000 hits per year). Until now, it's been hard to recommend just one book from that list. I point people to some books for motivation, other books for process, and books for specific topics (e.g., task analysis, ergonomics, usability testing). This book fits well into half the categories in my list and makes it easier to recommend one book to get started and to have on hand for development. I welcome the commitment of the authors to building a website for the book. It's a practice that has been adopted by other books in the field to offer additional information and keep the book current. The site also presents interactive content to aid in tasks like conducting surveys and heuristic evaluations. I look forward to seeing the book's site present new materials, but as director of www.hcibib.org, I hope they use links to instead of re-inventing existing resources. Gary Perlman Columbus October 2001
  • 30.
    Foreword xxiii About Gary Perlman Gary Perlman is a consulting research scientist at the OCLC-Online Computer Li- brary Center (www.oclc.org) where he works on user interfaces for bibliographic and full-text retrieval. His research interests are in making information technology more useful and usable for people. He has also held research and academic positions at Bell Labs in Murray Hill, New Jersey; Wang Institute of Graduate Studies; Massachusetts Institute of Tech- nology; Carnegie-Mellon University; and The Ohio State University. Dr. Perlman's Ph.D. is in experimental psychology from the University of California, San Diego. He is the author of over 75 publications in the areas of mathematics education, sta- tistical computing, hypertext, and user interface development. He has lectured and consulted internationally since 1980. He is best known in the HCI community as the director of the HCI Bibliogra- phy (www.hcibib.org), a free-access online resource of over 20,000 records searched hundreds of thousands of times each year. A native of Montreal, Canada, Gary now lives in Columbus, Ohio with his wife and two sons.
  • 32.
    What is interactiondesign? 1 .I Introduction 1.2 Good and poor design 1.2.1 What to design 1.3 What is interaction design? 1.3.1 The makeup of interaction design 1.3.2 Working together as a multidisciplinary team 1 3.3 Interaction design in business 1.4 What is involved in the process of interaction design? 1.5 The goals of interaction design 1.5.1Usability goals 1.5.2User experience goals 1.6.More on usability: design and usability principles 1.1 Introduction How many interactive products are there in everyday use? Think for a minute about what you use in a typical day: cell phone, computer, personal organizer, re- mote control, soft drink machine, coffee machine, ATM, ticket machine, library in- formation system, the web, photocopier, watch, printer, stereo, calculator, video game.. . the list is endless. Now think for a minute about how usable they are. How many are actually easy, effortless, and enjoyable to use? All of them, several, or just one or two? This list is probably considerably shorter. Why is this so? Think about when some device caused you considerable grief-how much time did you waste trying to get it to work? Two well-known interactive devices that cause numerous people immense grief are the photocopier that doesn't copy the way they want and the VCR that records a different program from the one they thought they had set or none at all. Why do you think these things happen time and time again? Moreover, can anything be done about it? Many products that require users to interact with them to carry out their tasks (e.g., buying a ticket online from the web, photocopying an article, pre-recording a TV program) have not necessarily been designed with the users in mind. Typically, they have been engineered as systems to perform set functions. While they may work effec- tively from an engineering perspective, it is often at the expense of how the system will be used by real people. The aim of interaction design is to redress this concern by
  • 33.
    2 Chapter 1 What is interaction design? bringing usability into the design process. In essence, it is about developing interactive products1 that are easy, effective, and enjoyable to use- from the users' perspective. In this chapter we begin by examining what interaction design is. We look at the difference between good and poor design, highlighting how products can differ radically in their usability. We then describe what and who is involved in interac- tion design. In the last part of the chapter we outline core aspects of usability and how these are used to assess interactive products. An assignment is presented at the end of the chapter in which you have the opportunity to put into practice what you have read, by evaluating an interactive product using various usability criteria. The main aims of the chapter are to: Explain the difference between good and poor interaction design. Describe what interaction design is and how it relates to human-computer interaction and other fields. Explain what usability is. Describe what is involved in the process of interaction design. Outline the different forms of guidance used in interaction design. Enable you to evaluate an interactive product and explain what is good and bad about it in terms of the goals and principles of interaction design. 1.2 Good and poor design A central concern of interaction design is to develop interactive products that are usable. By this is generally meant easy to learn, effective to use, and provide an en- joyable user experience. A good place to start thinking about how to design usable interactive products is to compare examples of well and poorly designed ones. Through identifying the specific weaknesses and strengths of different interactive systems, we can begin to understand what it means for something to be usable or not. Here, we begin with an example of a poorly designed system-voice mail- that is used in many organizations (businesses, hotels, and universities). We then compare this with an answering machine that exemplifies good design. Imagine the following scenario. You're staying at a hotel for a week while on a business trip. You discover you have left your cell (mobile) phone at home so you have to rely on the hotel's facilities. The hotel has a voice-mail system for each room. To find out if you have a message, you pick up the handset and listen to the tone. If it goes "beep beep beep" there is a message. To find out how to access the message you have to read a set of instructions next to the phone. You read and follow the first step: "1. Touch 491". The system responds, "You have reached the Sunny Hotel voice message center. Please enter the room number for which you would like to leave a message." 'We use the term interactive products generically to refer to all classes of interactive systems, technologies, environments, tools, applications,and devices.
  • 34.
    1.2 Good andpoor design 3 You wait to hear how to listen to a recorded message. But there are no further instructions from the phone. You look down at the instruction sheet again and read: "2. Touch*, your room number, and #". You do so and the system replies, "You have reached the mailbox for room 106. To leave a message type in your password." You type in the room number again and the system replies, "Please enter room number again and then your password." You don't know what your password is. You thought it was the same as your room number. But clearly not. At this point you give up and call reception for help. The person at the desk explains the correct procedure for recording and listening to messages. This involves typing in, at the appropriate times, the room number and the extension number of the phone (the latter is your password, which is differ- ent from the room number). Moreover, it takes six steps to access a message and five steps to leave a message. You go out and buy a new cell phone. What is problematic with this voice-mail system? It is infuriating. It is confusing. It is inefficient, requiring you to carry out a number of steps for basic tasks. It is difficult to use. It has no means of letting you know at a glance whether any messages have been left or how many there are. You have to pick up the handset to find out and then go through a series of steps to listen to them. It is not obvious what to do: the instructions are provided partially by the system and partially by a card beside the phone. Now consider the following phone answering machine. Figure 1.1 shows two small sketches of an answering machine phone. Incoming messages are represented using physical marbles. The number of marbles that have moved into the pinball- like chute indicates the number of messages. Dropping one of these marbles into a slot in the machine causes the recorded message to play. Dropping the same mar- ble into another slot on the phone dials the caller who left the message. Figure 1 .1 Two small sketches showing answer- ing phone.
  • 35.
    4 Chapter 1 What is interaction design? How does the "marble" answering machine differ from the voice-mail system? It uses familiar physical objects that indicate visually at a glance how many messages have been left. It is aesthetically pleasing and enjoyable to use. It only requires one-step actions to perform core tasks. It is a simple but elegant design. It offers less functionality and allows anyone to listen to any of the messages. The marble answering machine was designed by Durrell Bishop while a stu- dent at the Royal College of Art in London (described by Crampton-Smith, 1995). One of his goals was to design a messaging system that represented its basic func- tionality in terms of the behavior of everyday objects. To do this, he capitalized on people's everyday knowledge of how the physical world works. In particular, he made use of the ubiquitous everyday action of picking up a physical object and putting it down in another place. This is an example of an interactive product de- signed with the users in mind. The focus is on providing them with an enjoyable ex- perience but one that also makes efficient the activity of receiving messages. However, it is important to note that although the marble answering machine is a very elegant and usable design, it would not be practical in a hotel setting. One of the main reasons is that it is not robust enough to be used in public places, for ex- ample, the marbles could easily get lost or taken as souvenirs. Also, the need to identify the user before allowing the messages to be played is essential in a hotel setting. When considering the usability of a design, therefore, it is important to take into account where it is going to be used and who is going to use it. The marble answering machine would be more suited in a home setting-provided there were no children who might be tempted to play with the marbles! 1.2.1 What to design Designing usable interactive products thus requires considering who is going to be using them and where they are going to be used. Another key concern is under- standing the kind of activities people are doing when interacting with the products. The appropriateness of different kinds of interfaces and arrangements of input and output devices depends on what kinds of activities need to be supported. For exam- ple, if the activity to be supported is to let people communicate with each other at a distance, then a system that allows easy input of messages (spoken or written) that can be readily accessed by the intended recipient is most appropriate. In addition, an interface that allows the users to interact with the messages (e.g., edit, annotate, store) would be very useful. The range of activities that can be supported is diverse. Just think for a minute what you can currently do using computer-based systems: send messages, gather information, write essays, control power plants, program, draw, plan, cal- culate, play games-to name but a few. Now think about the number of inter- faces and interactive devices that are available. They, too, are equally diverse:
  • 36.
    1.2 Good andpoor design 5 multimedia applications, virtual-reality environments, speech-based systems, per- sonal digital assistants and large displays-to name but a few. There are also many ways of designing the way users can interact with a system (e.g., via the use of menus, commands, forms, icons, etc.). Furthermore, more and more novel forms of interaction are appearing that comprise physical devices with embedded computational power, such as electronic ink, interactive toys, smart fridges, and networked clothing (See Figure 1.2 on Color Plate 1). What this all amounts to is a multitude of choices and decisions that confront designers when developing in- teractive products. A key question for interaction design is: how do you optimize the users' inter- actions with a system, environment or product, so that they match the users' activi- ties that are being supported and extended? One could use intuition and hope for the best. Alternatively, one can be more principled in deciding which choices to make by basing them on an understanding of the users. This involves: taking into account what people are good and bad at considering what might help people with the way they currently do things thinking through what might provide quality user experiences listening to what people want and getting them involved in the design using "tried and tested" user-based techniques during the design process The aim of this book is to cover these aspects with the goal of teaching you how to carry out interaction design. In particular, it focuses on how to identify users' needs, and from this understanding, move to designing usable, useful, and enjoy- able systems. How does making a phone call differ when using: a public phone box a cell phone? How have these devices been designed to take into account (a) the kind of users, (b) type of activity being supported, and (c) context of use? Comment (a) Public phones are designed to be used by the general public. Many have Braille em- bossed on the keys and speaker volume control to enable people who are blind and hard of hearing to use them. Cell phones are intended for all user groups, although they can be difficult to use for people who are blind or have limited manual dexterity. (b) Most phone boxes are designed with a simple mode of interaction: insert card or money and key in the phone number. If engaged or unable to connect the money or card is returned when the receiver is replaced. There is also the option of allowing the caller to make a follow-on call by pressing a button rather than collecting the money and reinserting it again. This function enables the making of multiple calls to be more efficient.
  • 37.
    I 6 Chapter 1 What is interaction design? Cell phones have a more complex mode of interaction. More functionality is provided, requiring the user to spend time learning how to use them. For example, users can save phone numbers in an address book and then assign these to "hotkeys," allowing them to be called simply through pressing one or two keys. (c) Phone boxes are intended to be used in public places, say on the street or in a bus sta- tion, and so have been designed to give the user a degree of privacy and noise protec- tion through the use of hoods and booths. Cell phones have have been designed to be used any place and any time. However, lit- tle consideration has been given to how such flexibility affects others who may be in the same public place (e.g.,sitting on trains and buses). I 1.3 What is interaction design? I By interaction design, we mean designing interactive products to support people in their everyday and working lives. I In particular, it is about creating user experiences that enhance and extend the way people work, communicate and interact. Winograd (1997) describes it as "the de- sign of spaces for human communication and interaction." In this sense, it is about finding ways of supporting people. This contrasts with software engineering, which focuses primarily on the production of software solutions for given applications. A simple analogy to another profession, concerned with creating buildings, may clar- ify this distinction. In his account of interaction design, Terry Winograd asks how architects and civil engineers differ when faced with the problem of building a house. Architects are concerned with the people and their interactions with each other and within the house being built. For example, is there the right mix of family and private spaces? Are the spaces for cooking and eating in close proximity? Will people live in the space being designed in the way it was intended to be used? In contrast, engineers are interested in issues to do with realizing the project. These include practical concerns like cost, durability, structural aspects, environmental aspects, fire regulations, and construction methods. Just as there is a difference between designing and building a house, so too, is there a distinction between in- teraction design and software engineering. In a nutshell, interaction design is re- lated to software engineering in the same way as architecture is related to civil engineering. 1.3.1 The makeup of interaction design It has always been acknowledged that for interaction design to succeed many disci- plines need to be involved. The importance of understanding how users act and react to events and how they communicate and interact together has led people from a variety of disciplines, such as psychologists and sociologists, to become in- volved. Likewise, the growing importance of understanding how to design different kinds of interactive media in effective and aesthetically pleasing ways has led to a
  • 38.
    1.3 What isinteraction design? 7 diversity of other practitioners becoming involved, including graphic designers, artists, animators, photographers, film experts, and product designers. Below we outline a brief history of interaction design. In the early days, engineers designed hardware systems for engineers to use. The computer interface was relatively straightforward, comprising various switch panels and dials that controlled a set of internal registers. With the advent of moni- tors (then referred to as visual display units or VDUs) and personal workstations in the late '70s and early '80s, interface design came into being (Grudin, 1990). The new concept of the user interface presented many challenges: Terror. You have to confront the documentation. You have to learn a new language. Did you ever use the word 'interface' before you started using the computer? -Advertising executive Arthur Einstein (1990) One of the biggest challenges at that time was to develop computers that could be accessible and usable by other people, besides engineers, to support tasks in- volving human cognition (e.g., doing sums, writing documents, managing accounts, drawing plans). To make this possible, computer scientists and psychologists be- came involved in designing user interfaces. Computer scientists and software engi- neers developed high-level programming languages (e.g., BASIC, Prolog), system architectures, software design methods, and command-based languages to help in such tasks, while psychologists provided information about human capabilities (e.g., memory, decision making). The scope afforded by the interactive computing technology of that time (i.e., the combined use of visual displays and interactive keyboards) brought about many new challenges. Research into and development of graphical user inter- faces (GUI for short, pronounced "goo-ee") for office-based systems took off in a big way. There was much research into the design of widgets (e.g., menus, win- dows, palettes, icons) in terms of how best to structure and present them in a GUI. In the mid '80s, the next wave of computing technologies-including speech recognition, multimedia, information visualization, and virtual reality-presented even more opportunities for designing applications to support even more people. Education and training were two areas that received much attention. Interactive learning environments, educational software, and training simulators were some of the main outcomes. To build these new kinds of interactive systems, however, re- quired a different kind of expertise from that of psychologists and computer pro- grammers. Educational technologists, developmental psychologists, and training experts joined in the enterprise. As further waves of technological development surfaced in the '90s-network- ing, mobile computing, and infrared sensing-the creation of a diversity of applica- tions for all people became a real possibility. All aspects of a person's life- at home, on the move, at school, at leisure as well as at work, alone, with family or friends-began to be seen as areas that could be enhanced and extended by design- ing and integrating various arrangements of computer technologies. New ways of learning, communicating, working, discovering, and living were envisioned.
  • 39.
    8 Chapter 1 What is interaction design? In the mid '90s, many companies realized it was necessary again to extend their existing multidisciplinary design teams to include professionals trained in media and design, including graphical design, industrial design, film, and narrative. Sociol- ogists, anthropologists, and dramaturgists were also brought on board, all having quite a different take on human interaction from psychologists. This wider set of
  • 40.
    1.3 What isinteraction design? 9 people were thought to have the right mix of skills and understanding of the differ- ent application areas necessary to design the new generation of interactive systems. For example, designing a reminder application for the family requires understand- ing how families interact; creating an interactive story kit for children requires un- derstanding how children write and understand narrative, and developing an interactive guide for art-gallery visitors requires appreciating what people do and how they move through public spaces. Now in the 'OOs, the possibilities afforded by emerging hardware capabilities- e.g., radio-frequency tags, large interactive screens, and information appliances- has led to a further realization that engineers, who know about hardware, software, and electronics are needed to configure, assemble, and program the consumer elec- tronics and other devices to be able to communicate with each other (often re- ferred to as middleware). 1.3.2 Working together as a multidisciplinary team Bringing together so many people with different backgrounds and training has meant many more ideas being generated, new methods being developed, and more creative and original designs being produced. However, the down side is the costs involved. The more people there are with different backgrounds in a design team, the more difficult it can be to communicate and progress forward the designs being generated. Why? People with different backgrounds have different perspectives and ways of seeing and talking about the world (see Figure 1.4). What one person values as important others may not even see (Kim, 1990). Similarly, a computer sci- entist's understanding of the term representation is often very different from a graphic designer's or a psychologist's. Figure 1.4 Four different team members looking at the same square, but each seeing it quite differently.
  • 41.
    10 Chapter 1 What is interaction design? What this means in practice is that confusion, misunderstanding, and com- munication breakdowns can often surface in a team. The various team members may have different ways of talking about design and may use the same terms to mean quite different things. Other problems can arise when a group of people is "thrown" together who have not worked as a team. For example, the Philips Vi- sion of the Future Project found that its multidisciplinary teams-who were re- sponsible for developing ideas and products for the future-experienced a number of difficulties, namely, that project team members did not always have a clear idea of who needed what information, when, and in what form (Lambourne et al., 1997). practice, the makeup of a given design team depends on the kind of interactive product ing built. Who do you think would need to be involved in developing: (a) a public kiosk providing information about the exhibits available in a science museum? (b) an interactive educational website to accompany a TV series? Comment Each team will need a pumber of different people with different skill sets. For example, the first interactive product would need: (a) graphic and inteiaction designers, museum curators, educational advisors, software engineers, software designers, usability engineers, ergonomists The second project would need: (b) TV producers, graphic and interaction designers, teachers, video experts, software engineers, software designers, usability engineers In addition, as both systeds are being developed for use by the general public, representa- tive users, such as school children and parents, should be involved. In practice, design teams often end up being quite large, especially if they are working on a big project to meet a fixed deadline. For example, it is common to find teams of fifteen peo- ple or more working on a website project for an extensive period of time, like six months. This means that a number of people from each area of expertise are likely to be working as part of the project team. 1.3.3 Interaction design in business Interaction design is dbw big business. In particular, website consultants, start- up companies, a n d mobile computing industries have all realized its pivotal role in successful interactive hroducts. To get noticed in the highly competitive field of web products requires standing out. Being able to say that your product is easy and effective to use is seen as central to this. Marketing departments are re- alizing how branding, the number of hits, customer return rate, and customer satisfaction are greatly affected by the usability of a website. Furthermore, the presence or absence of good interaction design can make or break a company.
  • 42.
    1.3 What isinteraction design? 11 One infamous dot.com fashion clothes company that failed to appreciate the im- portance of good interaction design paid heavily for its oversight, becoming bankrupt within a few months of going public.' Their approach had been to go for an "all singing and all dancing," glossy 3D graphical interface. One of the problems with this was that it required several minutes to download. Further- more, it often took more than 20 minutes to place an order by going through a painfully long and slow process of filling out an online form-only to discover that the order was not successful. Customers simply got frustrated with the site and never returned. In response to the growing demand for interaction design, an increasing number of consultancies are establishing themselves as interaction design ex- perts. One such company is Swim, set up by Gitta Salomon to assist clients with the design of interactive products (see the interview with her at the end of this chapter). She points out how often companies realize the importance of interac- tion design but don't know how to do it themselves. So they get in touch with companies, like Swim, with their partially developed products and ask them for help. This can come in the form of an expert "crit" in which a detailed review of the usability and design of the product is given (for more on expert evaluation, see Chapter 13). More extensively, it can involve helping clients create their products. Another established design company that practices interaction design is IDEO, which now has many branches worldwide. Drawing on over 20 years of experience in the area, they design products, services, and environments for other companies, pioneering new user experiences (Spreenberg et al., 1995). They have developed 'This happened before the dot.com crash in 2001.
  • 43.
    12 Chapter 1 What is interaction design? Figure 1.5 An innovative product developed by IDEO: Scout Modo, a wire- less handheld device deliv- ering up-to-date information about what's going on in a city. thousands of products for numerous clients, each time following their particular brand of user-centered design (see Figure 1.5). 1.4 What is involved in the process of interaction design? Essentially, the process of interaction design involves four basic activities: 1. Identifying needs and establishing requirements. 2. Developing alternative designs that meet those requirements. 3. Building interactive versions of the designs so that they can be communi- cated and assessed. 4. Evaluating what is being built throughout the process. These activities are intended to inform one another and to be repeated. For exam- ple, measuring the usability of what has been built in terms of whether it is easy to use provides feedback that certain changes must be made or that certain require- ments have not yet been met. Evaluating what has been built is very much at the heart of interaction design. Its focus is on ensuring that the product is usable. It is usually addressed through a user-centered approach to design, which, as the name suggests, seeks to involve users throughout the design process. There are many different ways of achieving this: for example, through observing users, talking to them, interviewing them, test- ing them using performance tasks, modeling their performance, asking them to fill
  • 44.
    1.5 The goalsof interaction design 13 in questionnaires, and even asking them to become co-designers. The findings from the different ways of engaging and eliciting knowledge from users are then inter- preted with respect to ongoing design activities (we give more detail about all these aspects of evaluation in Chapters 10-14). Equally important as involving users in evaluating an interactive product is un- derstanding what people currently do. This form of research should take place be- fore building any interactive product. Chapters 3,4, and 5 cover a lot of this ground by explaining in detail how people act and interact with one another, with informa- tion, and with various technologies, together with describing their strengths and weaknesses. Such knowledge can greatly help designers determine which solutions to choose from the many design alternatives available and how to develop and test these further. Chapter 7 describes how an understanding of users' needs can be translated to requirements, while Chapter 9 explains how to involve users effec- tively in the design process. A main reason for having a better understanding of users is that different users have different needs and interactive products need to be designed accord- ingly. For example, children have different expectations about how they want to learn or play from adults. They may find having interactive quizzes and cartoon characters helping them along to be highly motivating, whereas most adults find them annoying. Conversely, adults often like talking-heads discussions about top- ics, but children find them boring. Just as everyday objects like clothes, food, and games are designed differently for children, teenagers, and adults, so, too, must in- teractive products be designed to match the needs of different kinds of users. In addition to the four basic activities of design, there are three key character- istics of the interaction design process: 1. Users should be involved through the development of the project. 2. Specific usability and user experience goals should be identified, clearly doc- umented, and agreed upon at the beginning of the project. 3. Iteration through the four activities is inevitable. We have already mentioned the importance of involving users and will return to this topic throughout the book. Iterative design will also be addressed later when we talk about the various design and evaluation methods by which this can be achieved. In the next section we describe usability and user experience goals. 1.5 The goals of interaction design Part of the process of understanding users' needs, with respect to designing an in- teractive system to support them, is to be clear about your primary objective. Is it to design a very efficient system that will allow users to be highly productive in their work, or is it to design a system that will be challenging and motivating so that it supports effective learning, or is it something else? We call these top-level con- cerns usability goals and user experience goals. The two differ in terms of how they are operationalized, i.e., how they can be met and through what means. Usability
  • 45.
    14 Chapter 1 What is interaction design? goals are concerned with meeting specific usability criteria (e.g., efficiency) and user experience goals are largely concerned with explicating the quality of the user experience (e.g., to be aesthetically pleasing). 1.5.1 Usability goals To recap, usability is generally regarded as ensuring that interactive products are easy to learn, effective to use, and enjoyable from the user's perspective. It involves optimizing the interactions people have with interactive products to enable them to carry out their activities at work, school, and in their everyday life. More specifi- cally, usability is broken down into the following goals: effective to use (effectiveness) efficient to use (efficiency) safe to use (safety) have good utility (utility) easy to learn (learnability) easy to remember how to use (memorability) For each goal, we describe it in more detail and provide a key question. Effectiveness is a very general goal and refers to how good a system is at doing what it is supposed to do. Question: Is the system capable of allowing people to learn well, carry out their work efficiently, access the information they need, buy the goods they want, and so on? Efficiency refers to the way a system supports users in carrying out their tasks. The answering machine described at the beginning of the chapter was considered efficient in that it let the user carry out common tasks (e.g., listening to messages) through a minimal number of steps. In contrast, the voice-mail system was consid- ered inefficient because it required the user to carry out many steps and learn an arbitrary set of sequences for the same common task. This implies that an efficient way of supporting common tasks is to let the user use single button or key presses. An example of where this kind of efficiency mechanism has been effectively em- ployed is in e-tailing. Once users have entered all the necessary personal details on an e-commerce site to make a purchase, they can let the site save all their personal details. Then, if they want to make another purchase at that site, they don't have to re-enter all their personal details again. A clever mechanism patented by Amazon.com is the one-click option, which requires users only to click a single but- ton when they want to make another purchase. Question: Once users have learned how to use a system to carry out their tasks, can they sustain a high level of productivity? Safety involves protecting the user from dangerous conditions and undesirable situations. In relation to the first ergonomic aspect, it refers to the external condi- tions where people work. For example, where there are hazardous conditions-like X-ray machines or chemical plants--operators should be able to interact with and control computer-based systems remotely. The second aspect refers to helping any
  • 46.
    1.5 The goalsof interaction design 15 kind of user in any kind of situation avoid the dangers of carrying out unwanted ac- tions aceidentally. It also refers to the perceived fears users might have of the con- sequences of making errors and how this affects their behavior. To make computer-based systems safer in this sense involves (i) preventing the user from making serious errors by reducing the risk of wrong keyslbuttons being mistakenly activated (an example is not placing the quit or delete-file command right next to the save command on a menu) and (ii) providing users with various means of re- covery should they make errors. Safe interactive systems should engender confi- dence and allow the user the opportunity to explore the interface to try out new operations (see Figure 1.6a). Other safety mechanisms include undo facilities and Color Settings b lb) Figure 1.6 (a) A safe and an unsafe menu. Which is which and why? (b) Warning dialog message from Eudora.
  • 47.
    16 Chapter 1 What is interaction design? confirmatory dialog boxes that give users another chance to consider their inten- tions (a well-known example used in e-mail applications is the appearance of a dia- log box, after the user has highlighted messages to be deleted, saying: "Are you sure you want to delete all these messages?" See Figure 1.6(b)). Question: Does the system prevent users from making serious errors and, if they do make an error, does it permit them to recover easily? Utility refers to the extent to which the system provides the right kind of func- tionality so that users can do what they need or want to do. An example of a system with high utility is an accounting software package providing a powerful computa- tional tool that accountants can use to work out tax returns. A example of a system with low utility is a software drawing tool that does not allow users to draw free- hand but forces them to use a mouse to create their drawings, using only polygon shapes. Question: Does the system provide an appropriate set of functions that enable users to carry out all their tasks in the way they want to do them? Learnability refers to how easy a system is to learn to use. It is well known that people don't like spending a long time learning how to use a system. They want to get started straight away and become competent at carrying out tasks without too much effort. This is especially so for interactive products intended for everyday use (e.g., interactive TV, email) and those used only infrequently (e.g., videoconferenc- ing). To a certain extent, people are prepared to spend longer learning more com- plex systems that provide a wider range of functionality (e.g., web authoring tools, word processors). In these situations, CD-ROM and online tutorials can help by providing interactive step-by-step material with hands-on exercises. However, many people find these tedious and often difficult to relate to the tasks they want to
  • 48.
    1.5 The goalsof interaction design 17 accomplish. A key concern is determining how much time users are prepared to spend learning a system. There seems little point in developing a range of function- ality if the majority of users are unable or not prepared to spend time learning how to use it. Question: How easy is it and how long does it take (i) to get started using a sys- tem t o perform core tasks and (ii) to learn the range of operations to perform a wider set of tasks? Memorability refers to how easy a system is to remember how to use, once learned. This is especially important for interactive systems that are used infre- quently. If users haven't used a system or an operation for a few months or longer, they should be able to remember or at least rapidly be reminded how to use it. Users shouldn't have to keep relearning how to carry out tasks. Unfortunately, this tends to happen when the operations required to be learned are obscure, illogical, or poorly sequenced. Users need to be helped to remember how to do tasks. There are many ways of designing the interaction to support this. For example, users can be helped to remember the sequence of operations at different stages of a task through meaningful icons, command names, and menu options. Also, structuring options and icons so they are placed in relevant categories of options (e.g., placing all the drawing tools in the same place on the screen) can help the user remember where to look to find a particular tool at a given stage of a task. Question: What kinds of interface support have been provided to help users re- member how to carry out tasks, especially for systems and operations that are used infrequently? How long do you think it should take to learn how to use the following interactive products and how long does it actually take most people to learn them? How memorable are they? (a) using a VCR to play a video (b) using a VCR to pre-record two programs (c) using an authoring tool to create a website Comment (a) To play a video should be as simple as turning the radio on, should take less than 30 seconds to work out, and then should be straightforward to do subsequently. Most people are able to fathom how to play a video. However, some systems require the user to switch to the "video" channel using one or two remote control devices, select- ing from a choice of 50 or more channels. Other settings may also need to be config- ured before the video will play. Most people are able to remember how to play a video once they have used a particular VCR. (b) This is a more complex operation and should take a couple of minutes to learn how to do and to check that the programming is correct. In reality, many VCRs are so poorly designed that 80% of the population is unable to accomplish this task, despite several attempts. Very few people remember how to pre-record a program, largely because the interaction required to do this is poorly designed, with poor or no feedback, and is often illogical from the user's perspective. Of those, only a few will bother to go through the manual again.
  • 49.
    18 Chapter 1 Whpt is interaction design? (c) A well-designed authoring too1 should let the user create a basic page in about 20 min- utes. Learning the full range of operations and possibilities is likely to take much longer, possibly a few days. In reality, there are some good authoring tools that allow the user to get started straight away, providing templates that they can adapt. Most users will extend their repertoire, taking another hour or so to learn more functions. However, very few people actually learn to use the full range of functions provided by the authoring tool. Users will tend to remember frequently used operations (e.g., cut and paste, inserting images), especially if they are consistent with the way they are car- ried out in other software applications. However, less frequently used operations may need to be relearned (e.g., formatting tables). The usability goals discussed so far are well suited to the design of business systems intended to support working practices. In particular, they are highly relevant for companies and organizations who are introducing or updating applications running on desktop and networked systems-that are intended to increase productivity by improving and enhancing how work gets done. As well as couching them in terms of specific questions, usability goals are turned into usability criteria. These are specific objectives that enable the usability of a product to be assessed in terms of how it can improve (or not) a user's performance. Examples of commonly used us- ability criteria are time to complete a task (efficiency), time to learn a task (learn- ability), and the number of errors made when carrying out a given task over time (memorability). 1.5.2 User experience goals The realization that new technologies are offering increasing opportunities for sup- porting people in their everyday lives has led researchers and practitioners to con- sider further goals. The emergence of technologies (e.g., virtual reality, the web, mobile computing) in a diversity of application areas (e.g., entertainment, educa- tion, home, public areas) has brought about a much wider set of concerns. As well as focusing primarily on improving efficiency and productivity at work, interaction design is increasingly concerning itself with creating systems that are: satisfying enjoyable fun entertaining helpful motivating aesthetically pleasing supportive of creativity rewarding emotionally fulfilling
  • 50.
    1.5 The goalsof interaction design 19 The goals of designing interactive products to be fun, enjoyable, pleasurable, aesthetically pleasing and so on are concerned primarily with the user experience. By this we mean what the interaction with the system feels like to the users. This in- volves explicating the nature of the user experience in subjective terms. For exam- ple, a new software package for children to create their own music may be designed with the primary objectives of being fun and entertaining. Hence, user experience goals differ from the more objective usability goals in that they are concerned with how users experience an interactive product from their perspective, rather than as- sessing how useful or productive a system is from its own perspective. The relation- ship between the two is shown in Figure 1.7. Much of the work on enjoyment, fun, etc., has been carried out in the enter- tainment and computer games industry, which has a vested interest in understand- ing the role of pleasure in considerable detail. Aspects that have been described as contributing to pleasure include: attention, pace, play, interactivity, conscious and unconscious control, engagement, and style of narrative. It has even been suggested that in these contexts, it might be interesting to build systems that are non-easy to use, providing opportunities for quite different user experiences from those designed based on usability goals (Frohlich and Murphy, 1999). Interact- ing with a virtual representation using a physical device (e.g., banging a plastic ----, TfUn satisfying emotionally / fulfilling efficient enjoiable easy to TI effective rewarding remember to use i 1 how to use easy to safe learn to use supportive entertaining of creativity / havetgood utility helpful / aesthetically motivating Figure 1.7 Usability and user experience goals. Usability goals are central to interaction de- sign and are operationalized through specific criteria. User experience goals are shown in the outer circle and are less clearly defined.
  • 51.
    20 Chapter 1 What is interaction design? I hammer to hit a virtual nail represented on the computer screen) compared with using a more efficient way to do the same thing (e.g., selecting an option using com- mand keys) may require more effort but could, conversely, result in a more enjoy- able and fun experience. Recognizing and understanding the trade-offs between usability and user expe- rience goals is important. In particular, this enables designers to become aware of the consequences of pursuing different combinations of them in relation to fulfill- ing different users' needs. Obviously, not all of the usability goals and user experi- ence goals apply to every interactive product being developed. Some combinations will also be incompatible. For example, it may not be possible or desirable to de- sign a process control system that is both safe and fun. As stressed throughout this chapter, what is important depends on the use context, the task at hand, and who the intended users are. elow are a number of proposed interactive products. What do you think are the key usabil- y goals and user experience goals for each of them? (a) a mobile device that allows young children to communicate with each other and play collaborative games (b) a video and computer conferencing system that allows students to learn at home (c) an Internet application that allows the general public to access their medical records via interactive TV (d) a CAD system for architects and engineers (e) an online community that provides support for people who have recently been bereaved Comment (a) Such a collaborative device should be easy to use, effective, efficient, easy to learn and use, fun and entertaining. (b) Such a learning device should be easy to learn, easy to use, effective, motivating and rewarding. (c) Such a personal system needs to be safe, easy to use and remember how to use, effi- cient and effective. (d) Such a tool needs to be easy to learn, easy to remember, have good utility, be safe, ef- ficient, effective, support creativity and be aesthetically pleasing. (e) Such a system needs to be easy to learn, easy to use, motivating, emotionally satisfy- ing and rewarding. 1.6 More on usability: design and usability principles Another way of conceptualizing usability is in terms of design principles. These are generalizable abstractions intended to orient designers towards thinking about dif- ferent aspects of their designs. A well-known example is feedback: systems should be designed to provide adequate feedback to the users to ensure they know what to
  • 52.
    1.6 More onusability: design and usability principles 21 do next in their tasks. Design principles are derived from a mix of theory-based knowledge, experience, and common sense. They tend to be written in a prescrip- tive manner, suggesting to designers what to provide and what to avoid at the inter- face- you like, the do's and don'ts of interaction design. More specifically, they if are intended to help designers explain and improve the design (Thimbleby, 1990). However, they are not intended to specify how to design an actual interface (e.g., telling the designer how to design a particular icon or how to structure a web por- tal) but act more like a set of reminders to designers, ensuring that they have pro- vided certain things at the interface. A number of design principles have been promoted. The best known are con- cerned with how to determine what users should see and do when carrying out their tasks using an interactive product. Here we briefly describe the most common ones: visibility, feedback, constraints, mapping, consistency, and affordances. Each of these has been written about extensively by Don Norman (1988) in his bestseller The Design of Everyday Things. Visibility The importance of visibility is exemplified by our two contrasting exam- ples at the beginning of the chapter. The voice-mail system made the presence and number of waiting messages invisible, while the answer machine made both aspects highly visible. The more visible functions are, the more likely users will be able to know what to do next. In contrast, when functions are "out of sight," it makes them more difficult to find and know how to use. Norman (1988) describes the controls of a car to emphasize this point. The controls for different operations are clearly visible (e.g., indicators, headlights, horn, hazard warning lights), indicating what can be done. The relationship between the way the controls have been positioned in the car and what they do makes it easy for the driver to find the appropriate con- trol for the task at hand. Feedback Related to the concept of visibility is feedback. This is best illustrated by an analogy to what everyday life would be like without it. Imagine trying to play a guitar, slice bread using a knife, or write using a pen if none of the actions pro- duced any effect for several seconds. There would be an unbearable delay before the music was produced, the bread was cut, or the words appeared on the paper, making it almost impossible for the person to continue with the next strum, saw, or stroke. Feedback is about sending back information about what action has been done and what has been accomplished, allowing the person to continue with the activity. Various kinds of feedback are available for interaction design-audio, tactile, ver- bal, visual, and combinations of these. Deciding which combinations are appropri- ate for different kinds of activities and interactivities is central. Using feedback in the right way can also provide the necessary visibility for user interaction. Constraints The design concept of constraining refers to determining ways of re- stricting the kind of user interaction that can take place at a given moment. There are various ways this can be achieved. A common design practice in graphical user interfaces is to deactivate certain menu options by shading them, thereby restrict-
  • 53.
    22 Chapter 1What is interaction design? Figure 1.8 A menu illustrating restricted availability of options as an example of logical constraining. Shaded areas indicate deactivated options. ing the user to only actions permissible at that stage of the activity (see Figure 1.8). One of the advantages of this form of constraining is it prevents the user from se- lecting incorrect options and thereby reduces the chance of making a mistake. The use of different kinds of graphical representations can also constrain a person's in- terpretation of a problem or information space. For example, flow chart diagrams show which objects are related to which, thereby constraining the way the informa- tion can be perceived. Norman (1999) classifies constraints into three categories: physical, logical, and cultural. Physical constraints refer to the way physical objects restrict the move- ment of things. For example, the way an external disk can be placed into a disk drive is physically constrained by its shape and size, so that it can be inserted in only one way. Likewise, keys on a pad can usually be pressed in only one way. Logical constraints rely on people's understanding of the way the world works (cf. the marbles answering machine design). They rely on people's common-sense reasoning about actions and their consequences. Picking up a physical marble and placing it in another location on the phone would be expected by most people to
  • 54.
    1.6 More onusability: design and usability principles 23 Figure 1.9 (a) Natural mapping between rewind, play, and fast forward on a tape recorder device. (b) An alternative arbitrary mapping. trigger something else to happen. Making actions and their effects obvious enables people to logically deduce what further actions are required. Disabling menu op- tions when not appropriate for the task in hand provides logical constraining. Jt al- lows users to reason why (or why not) they have been designed this way and what options are available. Cultural constraints rely on learned conventions, like the use of red for warn- ing, the use of certain kinds of audio signals for danger, and the use of the smiley face to represent happy emotions. Most cultural constraints are arbitrary in the sense that their relationship with what is being represented is abstract, and could have equally evolved to be represented in another form (e.g., the use of yellow in- stead of red for warning). Accordingly, they have to be learned. Once learned and accepted by a cultural group, they become universally accepted conventions. Two universally accepted interface conventions are the use of windowing for display- ing information and the use of icons on the desktop to represent operations and documents. Mapping This refers to the relationship between controls and their effects in the world. Nearly all artifacts need some kind of mapping between controls and effects, whether it is a flashlight, car, power plant, or cockpit. An example of a good map- ping between control and effect is the up and down arrows used to represent the up and down movement of the cursor, respectively, on a computer keyboard. The mapping of the relative position of controls and their effects is also important. Con- sider the various musical playing devices (e.g., MP3, CD player, tape recorder). How are the controls of playing, rewinding, and fast forward mapped onto the de- sired effects? They usually follow a common convention of providing a sequence of buttons, with the play button in the middle, the rewind button on the left and the fast-forward on the right. This configuration maps directly onto the directionality of the actions (see Figure 1.9a). Imagine how difficult it would be if the mappings in Figure 1.9b were used. Look at Figure 1.10 and determine from the various map- pings which is good and which would cause problems to the person using it. Figure 1.10 Four possible combinations of arrow-key mappings. Which is the most natural mapping?
  • 55.
    24 Chapter 1 What is interaction design? Consistency This refers to designing interfaces to have similar operations and use similar elements for achieving similar tasks. In particular, a consistent interface is one that follows rules, such as using the same operation to select all objects. For example, a consistent operation is using the same input action to highlight any graphical object at the interface, such as always clicking the left mouse button. In- consistent interfaces, on the other hand, allow exceptions to a rule. An example of this is where certain graphical objects (e.g., email messages presented in a table) can be highlighted only by using the right mouse button, while all other operations are highlighted using the left button. A problem with this kind of inconsistency is that it is quite arbitrary, making it difficult for users to remember and making the users more prone to mistakes. One of the benefits of consistent interfaces, therefore, is that they are easier to learn and use. Users have to learn only a single mode of operation that is applicable to all objects. This principle works well for simple interfaces with limited operations, like a mini CD player with a small number of operations mapped onto separate but- tons. Here, all the user has to do is learn what each button represents and select ac- cordingly. However, it can be more problematic to apply the concept of consistency to more complex interfaces, especially when many different operations need to be designed for. For example, consider how to design an interface for an application that offers hundreds of operations (e.g. a word-processing application). There is simply not enough space for a thousand buttons, each of which maps onto an indi- vidual operation. Even if there were, it would be extremely difficult and time- consuming for the user to search through them all to find the desired operation. A much more effective design solution is to create categories of commands that can be mapped into subsets of operations. For the word-processing applica- tion, the hundreds of operations available are categorized into subsets of different menus. All commands that are concerned with file operations (e.g., save, open, close) are placed together in the same file menu. Likewise, all commands con- cerned with formatting text are placed in a format menu. Selecting an operation then becomes a matter of homing in on the right category (menu) of options and scanning it for the desired one, rather than scrolling through one long list. How- ever, the consistency rule of having a visible one-to-one mapping between com- mand and operation is broken. Operations are not immediately visible at the interface, but are instead hidden under different categories of menus. Furthermore, some menu items are immediately visible, when a top-level menu is first pulled down, while others remain hidden until the visible items are scrolled over. Thus, users need to learn what items are visible in each menu category and which are hid- den in submenus. The way the items are divided between the categories of menu items can also appear inconsistent to users. Various operations appear in menus where they do not belong. For example, the sorting operation (very useful for listing references or names in alphabetical order) in Microsoft Word 2001 is in the Table menu (the Mac Version). In the previous Word 98 version, it was in both the Tools and Table menus. I always thought of it as a Tool operation (like Word Count), and became very frustrated to discover that as a default for Word 2001 it is only in the Table menu. This makes it inconsistent for me in two ways: (i) with the previous version and (ii) in the category it has been placed. Of course, I can customize the new ver-
  • 56.
    1.6 More onusability: design and usability principles 25 sion so that the menus are structured in the way I think they should be, but this all takes considerable time (especially when I use different machines at work, home, and when travelling). Another problem with consistency is determining what aspect of an interface to make consistent with what else. There are often many choices, some of which can be inconsistent with other aspects of the interface or ways of carrying out ac- tions. Consider the design problem of developing a mechanism to let users lock their files on a shared server. Should the designer try to design it to be consistent with the way people lock things in the outside world (called external consistency) or with the way they lock objects in the existing system (called internal consis- tency)? However, there are many different ways of locking objects in the physical world (e.g., placing in a safe, using a padlock, using a key, using a child safety lock), just as there are different ways of locking electronically (e.g., using PIN numbers, passwords, permissions, moving the physical switches on floppy disks). The prob- lem facing designers is knowing which one to be consistent with. Ahbrdance is a term used to refer to an attribute of an object that allows people to know how to use it. For example, a mouse button invites pushing (in so doing ac- tivating clicking) by the way it is physically constrained in its plastic shell. At a very simple level, to afford means "to give a clue" (Norman, 1988). When the affor- dances of a physical object are perceptually obvious it is easy to know how to inter- act with it. For example, a door handle affords pulling, a cup handle affords grasping, and a mouse button affords pushing. Norman introduced this concept in the late '80s in his discussion of the design of everyday objects. Since then, it has been much popularized, being used to describe how interface objects should be de- signed so that they make obvious what can be done to them. For example, graphi- cal elements like buttons, icons, links, and scroll bars are talked about with respect to how to make it appear obvious how they should be used: icons should be de- signed to afford clicking, scroll bars to afford moving up and down, buttons to af- ford pushing. Unfortunately, the term affordance has become rather a catch-all phrase, los- ing much of its potency as a design principle. Norman (1999), who was largely re- sponsible for originally promoting the concept in his book The Design of Everyday Things (1988), now despairs at the way it has come to be used in common parlance: "Zput an affordance there, " a participant would say, "I wonder if the object affords clicking. . . " affordances this, affordances that. And no data, just opinion. Yikes! What had I unleashed upon the world? Norman's (1999) reaction to a recent CHI-Web discussion. He has since tried to clarify his argument about the utility of the concept by saying there are two kinds of affordance: perceived and real. Physical objects are said to have real affordances, like grasping, that are perceptually obvious and do not have to be learned. In contrast, user interfaces that are screen-based are virtual and do not have these kinds of real affordances. Using this distinction, he argues that it does not make sense to try to design for real affordances at the interface--except when design- ing physical devices, like control consoles, where affordances like pulling and press- ing are helpful in guiding the user to know what to do. Alternatively, screen-based
  • 57.
    26 Chapter 1 What is interaction design? interfaces are better conceptualized as perceived affordances, which are essentially learned conventions. In conclusion, Norman argues that other design concepts--con- ventions, feedback and cultural and logical constraints-are far more useful for help- ing designers develop graphical user interfaces. 1.6.1 Heuristics and usability principles When design principles are used in practice they are commonly referred to as heuristics. This term emphasizes that something has to be done with them when they are applied to a given problem. In particular, they need to be interpreted in the design context, drawing on past experience of, for example, how to design feed- back and what it means for something to be consistent. Another form of guidance is usability principles. An example is "speak the user's language." These are quite similar to design principles, except that they tend to be more prescriptive. In addition, whereas design principles tend to be used mainly for informing a design, usability principles are used mostly as the basis for evaluating prototypes and existing systems. In particular, they provide the framework for heuris- tic evaluation (see Chapter 13). They, too, are called heuristics when used as part of
  • 58.
    1.6 More onusability: design and usability principles 27 an evaluation. Below are the ten main usability principles, developed by Nielsen (2001) and his colleagues. Note how some of them overlap with the design principles. 1. Visibility of system status-always keep users informed about what is going on, through providing appropriate feedback within reasonable time 2. Match between system and the real world-speak the users' language, using words, phrases and concepts familiar to the user, rather than system- oriented terms 3. User control and freedom-provide ways of allowing users to easily escape from places they unexpectedly find themselves, by using clearly marked 'emergency exits' 4. Consistency and standards-avoid making users wonder whether different words, situations, or actions mean the same thing 5. Help users recognize, diagnose, and recover from errors-use plain lan- guage to describe the nature of the problem and suggest a way of solving it 6. error prevention-where possible prevent errors occurring in the first place 7. Recognition rather than recall-make objects, actions, and options visible 8. Flexibility and efficiency of use-provide accelerators that are invisible to novice users, but allow more experienced users to carry out tasks more quickly 9. Aesthetic and minimalist design-avoid using information that is irrelevant or rarely needed 10. Help and documentation-provide information that can be easily searched and provides help in a set of concrete steps that can easily be followed One of the main design principles which Nielsen has proselytized, especially for website de- sign, is simplicity. He proposes that designers go through all of their design elements and re- move them one by one. If a design works just as well without an element, then remove it. Do you think this is a good design principle? If you have your own website, try doing this and seeing what happens. At what point does the interaction break down? Comment Simplicity is certainly an important design principle. Many designers try to cram too much into a screenful of space, making it unwieldy for people to find what they are interested in. Remov- ing design elements to see what can be discarded without affecting the overall function of the website can be a salutary lesson. Unnecessary icons, buttons, boxes, lines, graphics, shading, and text can be stripped, leaving a cleaner, crisper, and easier-to-navigate website. However, a certain amount of graphics, shading, coloring, and formatting can make a site aesthetically pleasing and enjoyable to use. Plain vanilla sites with just lists of text and a few hyperlinks may not be as appealing and may put certain visitors off returning. The key is getting the right bal- ance between aesthetic appeal and the right amount and kind of information per page. Design and usability principles have also been operationalized into even more spe- cific prescriptions called rules. These are guidelines that should be followed. An ex- ample is "always place the quit or exit button at the bottom of the first menu list in an application."
  • 59.
    28 Chapter 1 What is interaction design? Assignment This assignment is intended for you to put into practice what you have read about in this chap- ter. Specifically, the objective is to enable you to define usability and user experience goals and to use design and usability principles for evaluating the usability of an interactive product. Find a handheld device (e.g. remote control, handheld computer, or cell phone) and ex- amine how it has been designed, paying particular attention to how the user is meant to in- teract with it. (a) From your first impressions, write down what first comes to mind as to what is good and bad about the way the device works. Then list (i) its functionality and (ii) the range of tasks a typical user would want to do using it. Is the functionality greater, equal, or less than what the user wants to do? (b) Based on your reading of this chapter and any other material you have come across, compile your own set of usability and user experience goals that you think will be
  • 60.
    I Summary 29 most useful in evaluating the device. Decide which are the most important ones and explain why. (c) Translate the core usability and user experience goals you have selected into two or three questions. Then use them to assess how well your device fares (e.g., Usability goals. What specific mechanisms have been used to ensure safety? How easy is it to learn? User experience goals: Is it fun to use? Does the user get frustrated easily? If so, why?). (d) Repeat (b) and (c) for design concepts and usability principles (again choose a rele- vant set). (e) Finally, discuss possible improvements to the interface based on your usability evaluation. Summary In this chapter we have looked at what interaction design is and how it has evolved. We ex- amined briefly its makeup and the various processes involved. We pointed out how the no- tion of usability is fundamental to interaction design. This was explained in some detail, describing what it is and how it is operationalized to assess the appropriateness, effective- ness, and quality of interactive products. A number of high-level design principles were also introduced that provide different forms of guidance for interaction design.
  • 61.
    30 Chapter 1 What is interaction design? Key points Interaction design is concerned with designing interactive products to support people in their everyday and working lives. Interaction design is multidisciplinary, involving many inputs from wide-reaching disci- plines and fields. Interaction design is now big business: many companies want it but don't know how to I do it. Optimizing the interaction between users and interactive products requires taking into account a number of interdependent factors, including context of use, type of task, and kind of user. Interactive products need to be designed to match usability goals like ease of use and learning. User experience goals are concerned with creating systems that enhance the user experi- ence in terms of making it enjoyable, fun, helpful, motivating, and pleasurable. Design and usability principles, like feedback and simplicity, are useful heuristics for an- alyzing and evaluating aspects of an interactive product. Further reading Here we recommend a few seminal readings. A more compre- NORMAN, D. (1999) ACM Interactions Magazine, MayIJune, hensive list of useful books, articles, websites, videos, and 38-42. Affordances, conventions and design. This is a short other material can be found at our website. and thought-provoking critique of design principles. WINOGRAD, T. (1997) From computing machinery to inter- GRUDIN, (1990) The computer reaches out: the historical J. action design. In P. Denning and R. Metcalfe (eds.) Beyond continuity of interface design. In CHZ'90 Proc. 261-268. Calculation: the Next Fifty Years of Computing. New York: GRUDIN, J. (1989) The case against user interface consistency. Springer-Verlag, 14S162. Terry Winograd provides an Communications of the ACM, 32(10), 1164-1173. overview of how interaction design has emerged as a new Jonathan Grudin is a prolific writer and many of his earlier area, explaining how it does not fit into any existing design works provide thought-provoking and well documented ac- or computing fields. He describes the new demands and counts of topical issues in HCI. The first paper talks about challenges facing the profession. how interface design has expanded to wver many more as- pects in its relatively short history. The second paper, consid- NORMAN, D. (1988) The Design of Everyday Things. New ered a classic of its time, discusses why the concept of York: Doubleday, (especially Chapter 1). Norman's writing consistency-which had been universally accepted as good in- is highly accessible and enjoyable to read. He writes exten- terface design up until then- was in fact highly problematic. sively about the design and usability of everyday objects like doors, faucets, and fridges. These examples provide much Interactions, JanuarylFebruary 2000, ACM. This special food for thought in relation to designing interfaces. The issue provides a collection of visions, critiques, and sound Voyager CD-ROM (sadly, now no longer published) of his bites on the achievements and future of HCI from a number collected works ~rovides additional videos and animations of researchers, designers, and practitioners. that illustrate in an entertaining way many of the problems, IDEO provides a well illustrated online archive of a range of design ideas and issues raised in the text. interactive products it has designed. (see www.ideo.com)
  • 62.
    Interview 31 YR: So what were the kinds of projects you were working on when you first started Swim? GS: They were less web-centric. There was more software application design and a few hardwarelsoft- ware type things. For the last year and a half the focus shifted to almost exclusively web-based applications. However, these are quite similar to software applica- tions-they just have different implementation con- straints. Right at the moment, the hardwarelsoftware products are starting to pick up again-it does seem that information appliances are going to take off. The portance of interaction de- nature of the problems we solve hasn't changed sign in ensuring their products are successful but don't know much; it's the platform and associated constraints that how to do this. Often they get in touch with Swim with partially developed products and ask for help with their interaction de- change. sign. Swim has consulted for a range of clienk, including Apple Computer, Nike, IBM, DoubleClick, Webex, and RioPort. YR: What would you say are the biggest challenges facing yourself and other consultants doing interac- YR: What is your approach to interaction design? tion design these days? GS: I've devised my own definition: interaction design GS: One of the biggest challenges is remembering is the design of products that reveal themselves over that half of what we do is the design work and the time. Users don't necessarily see all the functionality in other half is the communication of that design work. interactive products when they first look at them. For The clients almost never bridge the gap for us: we example, the first screen you see on a cell phone doesn't need to bridge it. We always have to figure out how show you everything you can do with it. As you use it, to deliver the work so it is going to have impact. We additional functionality is revealed to you. Same thing are the ones who need to ensure that the client is with a web-based application or a Window's applica- going to understand it and know what to d o with it. tion-as you use them you find yourself in different That part of the work is oftentimes the most difficult. states and suddenly you can do different things. This It means we've got to figure out what is going on in- idea of revealing over time is possible because there is ternally with the client and decide how what we de- a microprocessor behind the product and usually there liver will be effective. In some cases you just start is also a dynamic display. I believe this definition char- seeing there is no place to engage with the client. acterizes the kind of products we work on-which is a And I think that is a very difficult problem. Most very wide range, not just web products. people right now don't have a product development process. They are just going for it. And we have to YR: How would you say interaction design has figure out how to fit into what is best described as a changed in the years since you started Swim? moving train. GS: I don't think what we do has changed fundamen- tally, but the time frame for product development is YR: And what do you use when you try to communi- much shorter. And seemingly more people think they cate with them? Is it a combination of talking, meet- want interaction design assistance. That has definitely ings, and reports? changed. There are more people who don't necessar- GS: We do a number of different things. Usually ily know what interaction design is, but they are call- we will give them a written document, like a report ing us and saying "we need it." All of a sudden there or a critique of their product. Sometimes we will is a great deal of focus and money on all of these give them interactive prototypes in Director or products that are virtual and computationally based, HTML, things that simulate what the product expe- which require a different type of design thinking. rience would feel like. In the written materials, I
  • 63.
    32 Chapter 1 What is interaction design? Figure 1 Steelcase Worklife New York retail showroom. One of the projects Gitta Salomon was involved in was to develop an interactive sales showroom for the company called Steelcase, based in New York. The sales environment was developed to provide various sales tools, including an interactive device allowing salespeople to access case-study videos that can be projected onto the large screens in the background. often name the things that we all need to be talking YR. So this communication process is just as impor- about. Then at least we all have a common termi- tant as the ideas? nology to discuss things. It is a measure of our suc- GS: 1think it is, a lot of times. cess if they start using the words that we gave them, because we truly have influenced their thinking. A y ~so, how do you start with a client? , lot of times we'll give them a diagram of what their system is like, because nobody has ever visualized GS: For clients who already have something built, I find that usually the best way for us to get started, is it. We serve as the visualizers, taking a random as- to begin with the client doing a comprehensive demo sortment of vaguely defined concepts and giving of their product for us. We will usually spend a whole some shape to them. We'll make an artifact, which day collecting information. Besides the demo, they allows them to say "Yes, it is like that" or "No, it's not like that, it's like this. . . ." Without something tell us about their target market, competitors, and a to point to they couldn't even say to each other whole range of things. It then takes a longer period of time for us to use the product and observe other peo- "No, that is not what 1 mean" because they didn't know if they were talking about the same thing. ple using it to get a much broader picture. Because Many times we'll use schematic diagrams to repre- the client's own vision of their product is so narrow, sent system behavior. Once they have these dia- we really have to step back from what they initially .-- tell Ub. grams then they can say "Oh no, we need all this other stuff in there, we forgot to tell you." It seems that nobody is writing complete lists of functional- YR: So do you writenotes, and then try and put it to- ity, requirements specifications, or complete docu- gether afterwards,Orwhat? mentation anymore. This means the product ideas GS: We use all kinds of things. We use notes and stay in somebody's head until we make them tangi- video, and we sit around with tracing paper and ble through visualization. marker pens. When reviewing the materials, 1 often
  • 64.
    Interview 33 try and bring them together in some sort of thematic YR: Finally, how do you see interaction design mov- way. It's often mind-boggling to bring a software ing in the next five years? More of the same kind of product that's been thrown together into any kind of problems with new emerging technologies? Or do coherent framework. It's easy to write a shopping list you think there are going to be more challenges, es- of observations, but we want to assemble a larger pecially with the hardwarelsoftware integration? structure and framework and that takes several weeks GS: I think there will be different constraints as new to construct. We need time to reflect and stew on technologies arise. No matter what we are designing, what was done and what maybe should have been we have to understand the constraints of the imple- done. We need to highlight the issues and put them mentation. And yes, different things will happen when into some kind of larger order. If you always operate we get more into designing hardwarelsoftware prod- at a low level of detail, like worrying and critiquing ucts. There are different kinds of cost constraints and the size of a button, you end up solving only local is- different kinds of interactions you can do when there is sues. You never really get to the big interaction de- special purpose hardware involved. Whereas designing sign problems of the product, the ones that should be the interaction for applications requires visual design solved first. expertise, designing information appliances or other hardware products requires experience with product YR: If you're given a prototype or product to evalu- design. Definitely, there will be some new challenges. ate and you discover that it is redly bad, what do you Hopefully, in the next few years, people will stop do? looking for interaction design rules. There's been a bit GS: Well, I never have the guts to go in and say of a push towards making interaction design a science something is fundamentally flawed. And that's maybe lately. Maybe this has happened because so many peo- not the best strategy anyway, because it's your word ple are trying to do it and they don't know where to against theirs. Instead, I think it is always about mak- start because they don't have much experience. I'm ing the case for why something is wrong or flawed. hoping people will start understanding that interaction Sometimes I think we are like lawyers. We have to as- design is a design discipline-that there are some guide- semble the case for what's wrong with the product. lines and ways to do good practice-and creativity com- We have to make a convincing argument. A lot of bined with analytical thinking are necessary to arrive at times I think the kind of argumentation we do is very good products. And then, even more so than now, it is much like what lawyers do. going to get interesting and be a really exciting time.
  • 66.
    Chapter 2 Understanding and conceptualizing interaction 2.1 Introduction 2.2 Understanding the problem space 2.3 Conceptual models 2.3.1 Conceptual models based on activities 2.3.2 Conceptual models based on objects 2.3.3 A case of mix and match? 2.4 Interface metaphors 2.5 Interaction paradigms 2.6 From conceptual models to physical design Introduction Imagine you have been asked to design an application to let people organize, store, and retrieve their email in a fast, efficient and enjoyable way. What would you do? How would you start? Would you begin by sketching out how the inter- face might look, work out how the system architecture will be structured, or even just start coding? Alternatively, would you start by asking users about their current experiences of saving email, look at existing email tools and, based on this, begin thinking about why, what, and how you were going to design the application? Interaction designers would begin by doing the latter. It is important to real- ize that having a clear understanding of what, why, and how you are going to de- sign something, before writing any code, can save enormous amounts of time and effort later on in the design process. Ill-thought-out ideas, incompatible and un- usable designs can be ironed out while it is relatively easy and painless to do. Once ideas are committed to code (which typically takes considerable effort, time, and money), they become much harder to throw away-and much more painful. Such preliminary thinking through of ideas about user needs1 and what 'User needs here are the range of possible requirements, including user wants and experiences.
  • 67.
    36 Chapter 2 Understanding and conceptualizing interaction kinds of designs might be appropriate is, however, a skill that needs to be learned. It is not something that can be done overnight through following a checklist, but requires practice in learning to identify, understand, and examine the issues-just like learning to write an essay or to program. In this chapter we describe what is involved. In particular, we focus on what it takes to understand and conceptualize interaction. The main aims of this chapter are to: Explain what is meant by the problem space. Explain how to conceptualize interaction. Describe what a conceptual model is and explain the different kinds. Discuss the pros and cons of using interface metaphors as conceptual models. Debate the pros and cons of using realism versus abstraction at the interface. Outline the relationship between conceptual design and physical design. 2.2 Understanding the problem space In the process of creating an interactive product, it can be temping to begin at the "nuts and bolts" level of the design. By this, we mean working out how to design the physical interface and what interaction styles to use (e.g., whether to use menus, forms, speech, icons, or commands). A problem with trying to solve a de- sign problem beginning at this level is that critical usability goals and user needs may be overlooked. For example, consider the problem of providing drivers with better navigation and traffic information. How might you achieve this? One could tackle the problem by thinking straight away about a good technology or kind of interface to use. For example, one might think that augmented reality, where images are superimposed on objects in the real world (see Figure 2.1 on Color Plate 2), would be appropriate, since it can be useful for integrating additional in- formation with an ongoing activity (e.g., overlaying X-rays on a patient during an operation). In the context of driving, it could be effective for displaying informa- tion to drivers who need to find out where they are going and what to do at certain points during their journey. In particular, images of places and directions to follow could be projected inside the car, on the dashboard or rear-view mirror. However, there is a major problem with this proposal: it is likely to be very unsafe. It could easily distract drivers, luring them to switch their attention from the road to where the images were being projected. A problem in starting to solve a design problem at the physical level, therefore, is that usability goals can be easily overlooked. While it is certainly necessary at some point to decide on the design of physical aspects, it is better to make these kinds of design decisions after understanding the nature of the problem space. By this, we mean conceptualizing what you want to create and articulating why you want to do so. This requires thinking through how your design will support people in their everyday or work activities. In particular, you need to ask yourself whether the interactive product you have in mind will achieve what you hope it will. If so,
  • 68.
    2.2 Understanding theproblem space 37 how? In the above example, this involves finding out what is problematic with ex- isting forms of navigating while driving (e.g., trying to read maps while moving the steering wheel) and how to ensure that drivers can continue to drive safely without being distracted. Clarifying your usability and user experience goals is a central part of working out the problem space. This involves making explicit your implicit assumptions and claims. Assumptions that are found to be vague can highlight design ideas that need to be better formulated. The process of going through them can also help to determine relevant user needs for a given activity. In many situations, this involves identifying human activities and interactivities that are problematic and working out how they might be improved through being supported with a different form of interaction. In other situations it can be more speculative, requiring thinking through why a novel and innovative use of a new technology will be potentially useful. Below is another scenario in which the problem space focuses on solving an identified problem with an existing product. Initial assumptions are presented first, followed by a further explanation of what lies behind these (assumptions are high- lighted in italics): A large software company has decided to develop an upgrade of its web browser. They assume that there is a need for a new one, which has better and more powerful functionality. They begin by carrying out an extensive study of people's actual use of web browsers, talking to lots of different kinds of users and observing them using their browsers. One of their main findings is that many people do not use the bookmarking feature effectively. A common finding is that it is too restrictive and underused. In fathoming why this is the case, it was considered that the process of placing web addresses into hierarchical folders was an inadequate way of supporting the user activity of needing to mark hundreds and sometimes thousands of websites such that any one of them could be easily returned to or forwarded onto other people. A n implication of the study was that a new way of saving and retrieving web addresses was needed. In working out why users find the existing feature of bookmarking cumber- some to use, a further assumption was explicated: The existing way of organizing saved (favorite) web addresses into folders i s inefjicient because it takes too long and is prone to errors. A number of underlying reasons why this was assumed to be the case were fur- ther identified, including: It is easy to lose web addresses by placing them accidentally into the wrong folders. I t is not easy to move web addresses between folders. It is not obvious how .to move a number of addresses from the saved favorite list into another folder simultaneously. It is not obvious how to reorder web addresses once placed in folders.
  • 69.
    38 Chapter 2 Understanding and conceptualizing interaction Based on this analysis, a set of assumptions about the user needs for supporting this activity more effectively were then made. These included: If the bookmarking function was improved users would find it more useful and use it more to organize their web addresses. Users need a flexible way of organizing web addresses they want to keep for further reference or for sending on to other people. A framework for explicating assumptions Reasoning through your assumptions about why something might be a good idea enables you to see the strengths and weaknesses of your proposed design. In so doing, it enables you to be in a better position to commence the design process. We have shown you how to begin this, through operationalizing relevant usability goals. In addition, the following questions provide a useful framework with which to begin thinking through the problem space: Are there problems with an existing product? If so, what are they? Why do you think there are problems? Why do you think your proposed ideas might be useful? How do you envi- sion people integrating your proposed design with how they currently do things in their everyday or working lives? How will your proposed design support people in their activities? In what way does it address an identified problem or extend current ways of doing things? Will it really help? At the turn of the millennium, WAP-enabled (wireless application protocol) phones came into being, that enabled people to connect to the Internet using them. To begin with, the web-enabled services provided were very primitive, being text-based with limited graphics capabilities. Access was very restricted, with the downloaded information being displayed on a very small LCD screen (see Figure 2.2). Despite this major usability drawback, every telecommunication company saw this technological breakthrough as an opportunity to cre- ate innovative applications. A host of new services were explored, including text messaging, online booking of tickets, betting, shopping, viewing movies, stocks and shares, sports events and banking. What assumptions were made about the proposed services? How reasonable are these assumptions? Figure 2.2 An early cell phone display. Text is restricted to three or four lines at a time and scrolls line by line, making read- ing very cumbersome. Imagine trying to read a page from this book in this way! The newer 3G (third generation) phones have bigger displays, more akin to those provided with handheld computers.
  • 70.
    2.3 Conceptual models 39 Comment The problem space for this scenario was very open-ended. There was no identifiable problem that needed to be improved or fixed. Alternatively, the new WAP technology provided op- portunities to create new facilities and experiences for people. One of the main assumptions is that people want to be kept informed of up-to-the-minute news (e.g. sports, stocks and share prices) wherever they are. Other assumptions included: That people want to be able to decide what to do in an evening while on their way home from work (e.g., checking TV listings, movies, making restaurant reservations). That people want to be able to interact with information on the move (e.g., reading email on the train). That users are prepared to put up with a very small display and will be happy browsing and interacting with information using a restricted set of commands via a small number of tiny buttons. That people will be happy doing things on a mobile phone that they normally do using their PCs (e.g., reading email, surfing the web, playing video games, doing their shopping). It is reasonable to assume that people want flexibility. They like to be able to find out about news and events wherever they are (just look at the number of people who take a radio with them to a soccer match to find out the scores of other matches being played at the same time). People also like to use their time productively when traveling, as in making phone calls. Thus it is reasonable to assume they would like to read and send email on the move. The most troublesome assumption is whether people are prepared to interact with the range of services proposed using such a restricted mode of interactivity. In particular, it is questionable whether most people are prepared to give up what they have been used to (e.g. large screen estate, ability to type messages using a normal-sized keyboard) for the flexibility of having access to very restricted Internet-based information via a cell phone they can keep in their pocket. One of the benefits of working through your assumptions for a problem space before building anything is that it can highlight problematic concerns. In so doing, it can identify ideas that need to be reworked, before it becomes too late in the de- sign process to make changes. Having a good understanding of the problem space can also help greatly in formulating what it is you want to design. Another key as- pect of conceptualizing the problem space is to think about the overall structure of what will be built and how this will be conveyed to the users. In particular, this in- volves developing a conceptual model. 23 Conceptual models . "The most important thing to design is the user's conceptual model. Everything else should be subordinated to making that model clear, obvious, and substantial. That is almost exactly the opposite of how most software is designed." (David Liddle, 1996, p. 17)
  • 71.
    40 Chapter 2 Understanding and conceptualizing interaction By a conceptual model is meant: a description of the proposed system in terms of a set of integrated ideas and concepts about what it should do, behave and look like, that will be understandable by the users in the manner intended. To develop a conceptual model involves envisioning the proposed product, based on the users' needs and other requirements identified. To ensure that it is designed to be understandable in the manner intended requires doing iterative testing of the product as it is developed. A key aspect of this design process is initially to decide what the users will be doing when carrying out their tasks. For example, will they be primarily searching for information, creating documents, communicating with other users, recording events, or some other activity? At this stage, the interaction mode that would best support this needs to be considered. For example, would al- lowing the users to browse be appropriate, or would allowing them to ask questions directly to the system in their native language be more effective? Decisions about which kind of interaction style to use (e.g., whether to use a menu-based system, speech input, commands) should be made in relation to the interaction mode. Thus, decisions about which mode of interaction to support differ from those made about which style of interaction to have; the former being at a higher level of abstraction. The former are also concerned with determining the nature of the users' activities to support, while the latter are concerned with the selection of specific kinds of interface. Once a set of possible ways of interacting with an interactive system has been identified, the design of the conceptual model then needs to be thought through in terms of actual concrete solutions. This entails working out the behavior of the interface, the particular interaction styles that will be used, and the "look and feel" of the interface. At this stage of "fleshing out," it is always a good idea to explore a number of possible designs and to assess the merits and problems of each one. Another way of designing an appropriate conceptual model is to select an in- terface metaphor. This can provide a basic structure for the conceptual model that is couched in knowledge users are familiar with. Examples of well-known interface metaphors are the desktop and search engines (which we will cover in Section 2.4). Interaction paradigms can also be used to guide the formation of an appropriate conceptual metaphor. They provide particular ways of thinking about interaction design, such as designing for desktop applications or ubiquitous computing (these will also be covered in Section 2.5). As with any aspect of interaction design, the process of fleshing out conceptual models should be done iteratively, using a number of methods. These include sketching out ideas, storyboarding, describing possible scenarios, and prototyping aspects of the proposed behavior of the system. All these methods will be covered in Chapter 8, which focuses on doing conceptual design. Here, we describe the dif- ferent kinds of conceptual models, interface metaphors, and interaction paradigms to give you a good understanding of the various types prior to thinking about how to design them.
  • 72.
    2.3 Conceptual models 41 There are a number of different kinds of conceptual models. These can be bro- ken down into two main categories: those based on activities and those based on objects. 2.3.1 Conceptual models based on activities The most common types of activities that users are likely to be engaged in when in- teracting with systems are: 1. instructing 2. conversing 3. manipulating and navigating 4. exploring and browsing A first thing to note is that the various kinds of activity are not mutually exclusive, as they can be carried out together. For example, it is possible for someone to give instructions while conversing or navigate an environment while browsing. How- ever, each has different properties and suggests different ways of being developed at the interface. The first one is based on the idea of letting the user issue instruc- tions to the system when performing tasks. This can be done in various interaction styles: typing in commands, selecting options from menus in a windows environ- ment or on a touch screen, speaking aloud commands, pressing buttons, or using a combination of function keys. The second one is based on the user conversing with the system as though talking to someone else. Users speak to the system or type in questions to which the system replies via text or speech output. The third type is based on allowing users to manipulate and navigate their way through an environ- ment of virtual objects. It assumes that the virtual environment shares some of the properties of the physical world, allowing users to use their knowledge of how physical objects behave when interacting with virtual objects. The fourth kind is based on the system providing information that is structured in such a way as to allow users to find out or learn things, without having to formulate specific ques- tions to the system. A company is building a wireless information system to help tourists find their way around an unfamiliar city. What would they need to find out in order to develop a conceptual model? Comment To begin, they would need to ask: what do tourists want? Typically, they want to find out lots of things, such as how to get from A to B, where the post office is and where a good Chi- nese restaurant is. They then need to consider how best to support the activity of requesting information. Is it preferable to enable the tourists to ask questions of the system as if they were having a conversation with another human being? Or would it be more appropriate to allow them to ask questions as if giving instructions to a machine? Alternatively, would they prefer a system that structures information in the form of lists, maps, and recommendations that they could then explore at their leisure?
  • 73.
    42 Chapter 2 Understanding and conceptualizing interaction 1. Instructing This kind of conceptual model describes how users carry out their tasks through in- structing the system what to do. Examples include giving instructions to a system to perform operations like tell the time, print a file, and remind the user of an ap- pointment. A diverse r.?nge of devices has been designed based on this model, in- cluding VCRs, hi-fi systems, alarm clocks, and computers. The way in which the user issues instructions can vary from pressing buttons to typing in strings of char- acters. Many activities are readily supported by giving instructions. Operating systems like Unix and DOS have been specifically designed as com- mand-based systems, to which the user issues instructions at the prompt as a com- mand or set of commands. In Windows and other GUI-based systems, control keys or the selection of menu options via a mouse are used. Well-known applications that are command-based include word processing, email, and CAD. Typically, a wide range of functions is provided from which users choose when they want to do some- thing to the object they are working on. For example, a user writing a report using a word processor will want to format the document, count the numbers of words typed, and check the spelling. The user will need to instruct the system to do these opera- tions by issuing apprbpriate commands. Typically, commands are carried out in a se- quence, with the system responding appropriately (or not) as instructed. One of the main benefits of an instruction-based conceptual model is that it supports quick and efficient interaction. It is particularly suited to repetitive kinds of actions performed on multiple objects. Examples include the repetitive actions of saving, deleting, and organizing email messages or files. There are many different kinds of vending machines in the world. Each offers a range of goods, requiring the user initially to part with some money. Figure 2.3 shows photos of two different vending machines, one that provides soft drinks and the other a range of snacks. Both support the interaction style of issuing instructions. However, the way they do it is quite different. What instructions must be issued to obtain a can of soft drink from the first machine and a bar of chocolate from the second? Why has it been necessary to design a more complex mode of interaction for the second vending machine? What problems can arise with this mode of interaction? Comment The first vending machine has been designed on a very simple instruction-based conceptual model. There are a small number of drinks to choose from and each is represented by a large button displaying the label of each drink. The user simply has to press one button and (hopefully) this will have the effect of returning the selected drink. The second machine is more complex, offering a wider range of snacks. The trade-off for providing more choices, however, is that the user can no longer instruct the machine by using a simple one-press ac- tion but is required to use a more complex process, involving: (i) reading off the code (e.g., C12) under the item chosen, then (ii) keying this into the number pad adjacent to the dis- played items, and (iii) checking the price of the selected option and ensuring that the amount of money inserted is the same or more (depending on whether or not the machine provides change). Problems that can arise from this mode of interaction are the customer
  • 74.
    2.3 Conceptual models 43 Figure 2.3 Two vending machines, (a) one selling soft drinks, (b) the other selling a range of snacks. misreading the code and or mistyping in the code, resulting in the machine not issuing the snack or providing the wrong sort. A better way of designing an interface for a large number of choices of variable cost is to continue to use direct mapping, but use buttons that show miniature versions of the snacks placed in a large matrix (rather than showing actual versions). This would use the available space at the front of the vending machine more economically. The customer would need only to press the button of the object chosen and put in the correct amount of money. Much research has been carried out on how to optimize command-based and other instruction-giving systems with respect to usabilty goals. The form of the commands (e.g., the use of abbreviations, full names, icons, and/or labels), their syntax (how best to combine different commands), and their organization (e.g., how to structure options in different menus) are examples of some of the main areas that have been investigated (Shneiderman, 1998). In addition, various cogni- tive issues have been investigated that we will look at in the next chapter, such as the problems people have in remembering the names of a set of commands. Less
  • 75.
    44 Chapter 2 Understanding and conceptualizing interaction research has been carried out, however, on the best way to design the ordering and sequencing of button pressing for physical devices like cell phones, calculators, re- mote controls and vending machines. Another ubiquitous vending machine is the ticket machine. Typically, a number of instruc- tions have to be given in a sequence when using one of these. Consider ticket machines de- signed to issue train tickets at railway stations-how often have you (or the person in front of you) struggled to work out how to purchase a ticket and made a mistake? How many in- structions have to be given? What order are they given in? Is it logical or arbitrary? Could the interaction have been designed any differently to make it more obvious to people how to issue instructions to the machine to get the desired train ticket? Comment Ticketing machines vary enormously from country to country and from application to appli- cation. There seems to be little attempt to standardize. Therefore, a person's knowledge of the Eurostar ticketing machine will not be very useful when buying a ticket for the Sydney Monorail or cinema tickets for the Odeon. Sometimes the interaction has been designed to get you to specify the type of ticket first (e.g. adult, child), the kind of ticket (e.g. single, re- turn, special saver), then the destination, and finally to insert their money. Others require that the user insert a credit card first, before selecting the destination and the type of ticket. 2. Conversing This conceptual model is based on the idea of a person conversing with a system, where the system acts as a dialog partner. In particular, the system is designed to respond in a way another human being might when having a conversation with someone else. It differs from the previous category of instructing in being intended to reflect a more two-way communication process, where the system acts more like a partner than a machine that simply obeys orders. This kind of conceptual model has been found to be most useful for applications in which the user needs to find out specific kinds of information or wants to discuss issues. Examples include advi- sory systems, help facilities, and search engines. The proposed tourist application described earlier would fit into this category. The kinds of conversation that are supported range from simple voice-recognition menu-driven systems that are interacted with via phones to more complex natural-lan- guage-based systems that involve the system parsing and responding to user queries typed in by the user. Examples of the former include banking, ticket booking, and train time inquiries, where the user talks to the system in single-word phrases (e.g., yes, no, three) in response to prompts from the system. Examples of the latter include search engines and help systems, where the user types in a specific query (e.g., how do I change the margin widths?) to which the system responds by giving various answers. A main benefit of a conceptual model based on holding a conversation is that it allows people, especially novices, to interact with a system in a way they are already familiar with. For example, the search engine "Ask Jeeves for Kids!" allows chil- dren to ask a question in a way they would when asking their teachers or parents- rather than making them reformulate their question in terms of key words and Boolean logic. A disadvantage of this approach, however, is the misunderstandings that can arise when the search engine is unable to answer the child's question in the
  • 76.
    2.3 Conceptual models 45 You asked: How many legs does a ceyipede have? Jeeves knows these answers: Where can I find a definition for the math term leg? , . Where can I find a concise encvclo~edia article on ? centipedes? - Where can I see an image of the human appendix? Why does my leg or other limb fall asleep? Where can I find advice on controlling the garden pest ? millipedes and centipedes? Figure 2.4 The response from "Ask ources from Britannica.com on Jeevesf r K d ! s a c engine when o is" erh asked "how many l g does acen- es t p d have?" iee way the child expects. For example, a child might type in a seemingly simple question, like "How many legs does a centipede have?" which the search engine finds difficult to answer. Instead, the search engine replies by suggesting a number of possible web- sites that may be relevant but-as can be seen in Figure 2.4-can be off the mark. Another problem that can arise from a conversational-based, conceptual model is that certain kinds of tasks are transformed into cumbersome and one- sided interactions. This is especially the case for automated phone-based systems that use auditory menus to advance the conversation. Users have to listen to a voice providing several options, then make a selection, and repeat through further layers of menus before accomplishing their goal (e.g., reaching a real human, pay- ing a bill). Here is the beginning of a dialog between a user who wants to find out about car insurance and an insurance company's reception system: <user dials an insurance company> "Welcome to St. Paul's Insurance Company. Press 1 if new customer, 2 if you are an existing customer". <user presses 1> "Thank you for calling St. Paul's Insurance Company. If you require house insurance press 1, car insurance press 2, travel insurance press 3 , health insurance press 4, other press 5" <user presses 2> "You have reached the car insurance division. If you re- quire information about fully comprehensive insurance press 1, 3rd-party insurance press 2 . . " .
  • 77.
    46 Chapter 2 k Understanding and conceptualizing intera ion 81 Randy Glasberw. $ww.01asbergen.com 1 "If you'd like to press 1, press 3. If you'd like to press 3 press 8. , If you'd like to press 8, press S..." A recent development based on the conversing conceptual model is animated agents. Various kinds of characters, ranging from "real" people appearing at the interface (e.g., videoed personal assistants and guides) to cartoon characters (e.g., virtual and imaginary creatures), have been designed to act as the partners in the conversation with the system. In so doing, the dialog partner has become highly visible and tangible, appearing to both act and talk like a human being (or crea- ture). The user is able to see, hear, and even touch the partner (when it is a physi- cal toy) they are talking with, whereas with other systems based on a dialog partner (e.g., help systems) they can only hear or read what the system is saying. Many agents have also been designed to exhibit desirable human-like qualities (e.g., humorous, happy, enthusiastic, pleasant, gentle) that are conveyed through facial expressions and lifelike physical movements (head and lip movements, body movements). Others have been designed more in line with Disney-like car- toon characters, exhibiting exaggerated behaviors (funny voices, larger-than-life facial expressions). Animated agents that exhibit human-like or creature-like physical behavior as well as "talk" can be more believable. The underlying conceptual model is con- veyed much more explicitly through having the system act and talk via a visible agent. An advantage is that it can make it easier for people to work out that the in- terface agent (or physical toy) they are conversing with is not a human being, but a synthetic character that has been given certain human qualities. In contrast, when the dialog partner is hidden from view, it is more difficult to discern what is behind it and just how intelligent it is. The lack of visible cues can lead users into thinking it is more intelligent than it actually is. If the dialog partner then fails to understand their questions or comments, users are likely to lose patience with it. Moreover,
  • 78.
    2.3 Conceptual models 47 they are likely to be less forgiving of it (having been fooled into thinking the dialog partner is more intelligent than it really is) than of a dialog partner that is repre- sented as a cartoon character at the interface (having only assumed it was a simple partner). The flip side of imbuing dialog partners with a physical presence at the in- terface, however, is that they can turn out to be rather annoying (for more on this topic see Chapter 5). 3. Manipulating and navigating This conceptual model describes the activity of manipulating objects and navigat- ing through virtual spaces by exploiting users' knowledge of how they do this in the physical world. For example, virtual objects can be manipulated by moving, select- ing, opening, closing, and zooming in and out of them. Extensions to these actions can also be included, such as manipulating objects or navigating through virtual spaces, in ways not possible in the real world. For example, some virtual worlds have been designed to allow users to teleport from place to place or to transform one object into another. A well known instantidtion of this kind of conceptual model is direct manip- ulation. According to Ben Shneiderman (1983), who coined the term, direct- manipulation interfaces possess three fundamental properties: continuous representation of the objects and actions of interest rapid reversible incremental actions with immediate feedback about the object of interest physical actions and button pressing instead of issuing commands with complex syntax Benefits of direct manipulation interfaces include: helps beginners learn basic functionality rapidly experienced users can work rapidly on a wide range of tasks infrequent users can remember how to carry out operations over time no need for error messages, except very rarely users can immediately see if their actions are furthering their goals and if not do something else useis experience less anxiety users gain confidence and mastery and feel in control Apple Computer Inc. was one of the first computer companies to design an op- erating environment using direct manipulation as its central mode of interaction. The highly successful Macintosh desktop demonstrates the main principles of di- rect manipulation (see Figure 2.5). To capitalize on people's understanding of what happens to physical objects in the real world, they used a number of visual and auditory cues at the interface that were intended to emulate them. One of
  • 79.
    Chapter Figure 2.5 Original Macintosh desktop interface. their assumptions was that people expect their physical actions to have physical results, so when a drawing tool is used, a corresponding line should appear and when a file is placed in the trash can a corresponding sound or visual cue show- ing it has been successfully thrown away is used (Apple Computer Inc., 1987). A number of specific visual and auditory cues were used to provide such feedback, including various animations and sounds (e.g. shrinking and expanding icons ac- companied with 'shhhlicc' and 'crouik' sounds to represent opening and closing of files). Much of this interaction design was geared towards providing clues to the user to know what to do, to feel comfortable, and to enjoy exploring the interface. Many other kinds of direct manipulation interfaces have been developed, in- cluding video games, data visualization tools and CAD systems. Virtual environ- ments and virtual reality have similarly employed a range of interaction mechanisms that enable users to interact with and navigate through a simulated 3D physical world. For example, users can move around and explore aspects of a 3D environment (e.g., the interior of a building) while also moving objects around in the virtual environment, (e.g., rearranging the furniture in a simulated living room). Figure 2.6 on Color Plate 3 shows screen shots of some of these. While direct manipulation and virtual environments provide a very versatile mode of interaction, they do have a number of drawbacks. At a conceptual level, some people may take the underlying conceptual model too literally and expect certain things to happen at the interface in the way they would in the physical world. A well known example of this phenomenon is of new Mac users being terri-
  • 80.
    2.3 Conceptual models 49 fied of dragging the icon of their floppy disk to the trash can icon on the desktop to eject it from the computer for fear of deleting it in the same way files are when placed in the trash can. The conceptual confusion arises because the designers opted to use the same action (dropping) on the same object (trash can) for two completely different operations, deleting and ejecting. Another problem is that not all tasks can be described by objects and not all actions can be done directly. Some tasks are better achieved through issuing instructions and having textual descrip- tions rather than iconic representations. Imagine if email messages were repre- sented as small icons in your mailbox with abbreviations of who they were from and when they were sent. Moreover, you could only move them around by drag- ging them with a mouse. Very quickly they would take up your desk space and you would find it impossible to keep track of them all. 4. Exploring and browsing This conceptual model is based on the idea of allowing people to explore and browse information, exploiting their knowledge of how they do this with existing media (e.g., books, magazines, TV, radio, libraries, pamphlets, brochures). When people go to a tourist office, a bookstore, or a dentist's surgery, often they scan and flick through parts of the information displayed, hoping to find something interest- ing to read. CD-ROMs, web pages, portals and e-commerce sites are applications based on this kind of conceptual model. Much thought needs to go into structuring the information in ways that will support effective navigation, allowing people to search, browse, and find different kinds of information. What conceptual models are the following applications based on? (a) a 3D video game, say a car-racing game with a steering wheel and tactile, audio, and visual feedback (b) the Windows environment (c) a web browser Commenf (a) A 3D video game is based on a direct manipulation/virtual environment conceptual model. (b) The Windows environment is based on a hybrid form of conceptual model. It com- bines a manipulating mode of interaction where users interact with menus, scrollbars, documents, and icons, an instructing mode of interaction where users can issue com- mands through selecting menu options and combining various function keys, and a conversational model of interaction where agents (e.g. Clippy) are used to guide users in their actions. (c) A web browser is also based on a hybrid form of conceptual model, allowing users to explore and browse information via hyperlinks and also to instruct the network what to search for and what results to present and save.
  • 81.
    50 Chapter 2 Understanding and conceptualizinginteraction
  • 82.
    2.3 Conceptual models 51 Which conceptual model or combination of models do you think is most suited to supporting the following user activities? (a) downloading music off the web (b) programming Comment (a) The activity involves selecting, saving, cataloging and retrieving large files from an external source. Users need to be able to browse and listen to samples of the music and then instruct the machine to save and catalog the files in an order that they can readily access at subsequent times. A conceptual model based on instructing and navigating would seem appropriate. (b) Programming involves various activities including checking, debugging, copying li- braries, editing, testing, and annotating. An environment that supports this range of tasks needs to be flexible. A conceptual model that allows visualization and easy ma- nipulation of code plus efficient instructing of the system on how to check, debug, copy, etc., is essential. 2.3.2 Conceptual models based on objects The second category of conceptual models is based on an object or artifact, such as a tool, a book, or a vehicle. These tend to be more specific than conceptual models based on activities, focusing on the way a particular object is used in a particular context. They are often based on an analogy with something in the physical world. An example of a highly successful conceptual model based on an object is the spreadsheet (Winograd, 1996). The object this is based on is the ledger sheet. The first spreadsheet was designed by Dan Bricklin, and called VisiCalc. It en- abled people to carry out a range of tasks that previously could only be done very laboriously and with much difficulty using other software packages, a calculator, or by hand (see Figure 2.7). The main reasons why the spreadsheet has become so successful are first, that Bricklin understood what kind of tool would be useful to people in the financial world (like accountants) and second, he knew how to design it so that it could be used in the way that these people would find useful. Thus, at the outset, he understood (i) the kinds of activities involved in the financial side of business, and (ii) the problems people were having with existing tools when trying to achieve these activities. A core financial activity is forecasting. This requires projecting financial results based on assumptions about a company, such as projected and actual sales, invest- ments, infrastructure, and costs. The amount of profit or loss is calculated for different projections. For example, a company may want to determine how much loss it will incur before it will start making a profit, based on different amounts of investment, for different periods of time. Financial analysts need to see a spread of projections for dif- ferent time periods. Doing this kind of multiple projecting by hand requires much ef- fort and is subject to errors. Using a calculator can reduce the computational load of doing numerous sums, but it still requires the person to do much key pressing and writing down of partial results-again making the process vulnerable to errors. To tackle these problems, Bricklin exploited the interactivity provided by micro- computers and developed an application that was capable of interactive financial
  • 83.
    52 Chapter 2 Understanding and conceptualizing interaction Rrcalculal~oo Osdsf Memory I I dt ( m C lD Entry Type V 40' v ~ l w L HDvr mlny K memory fur tabct for ~ p a M l n 9 oR l n l i ~ ~ l I1 l IICtOSS avaUlbtt It liMhrnp M IebLIl lDVd5 /fC dQWR GQtURIRB WI 0 room 1 Currsnr Enrw 5 Cwrdkll?%es Dhad+an tndtcatw d mi^ keys wtll move e w e rag sod down I( - / Edh line Rashmg block m e n 4 wstmg wpue / Cursor Two w~ndawa when the $ ;? Jws81tw F~lma'c screen 4 BP'* (obpsr Format ( I S) Vatu. Enlty Figure 2.7 Reference card showing annotated screen dump for VisiCalc modeling. Key aspects of his conceptual model were: (i) to create a spreadsheet that was analogous to a ledger sheet in the way it looked, with columns and rows, which allowed people to capitalize on their familiarity with how to use this kind of repre- sentation, (ii) to make the spreadsheet interactive, by allowing the user to input and change data in any of the cells in the columns or rows, and (iii) to get the computer to perform a range of different calculations and recalculations in response to user input. For example, the last column can be programmed to display the sum of all the cells in the columns preceding it. With the computer doing all the calculations, to- gether with an easy-to-learn-and-use interface, users were provided with an easy-to- understand tool. Moreover, it gave them a new way of effortlessly working out any
  • 84.
    2.3 Conceptual models 53 number of forecasts-greatly extending what they could do before with existing tools. Another popular accounting tool intended for the home market, based on a con- ceptual model of an object, is Quicken. This used paper checks and registers for its basic structure. Other examples of conceptual models based on objects include most operating environments (e.g., Windows and the Mac desktop) and web portals. All provide the user with a familiar frame of reference when starting the application.
  • 85.
    54 Chapter 2 Understanding and conceptualizing interaction 2.3.3 A case of mix and match? As we have pointed out, which kind of conceptual model is optimal for a given ap- plication obviously depends on the nature of the activity to be supported. Some are clearly suited to supporting a given activity (e.g., using manipulation and naviga- tion for a flight simulator) while for others, it is less clear what might be best (e.g., writing and planning activities may be suited to both manipulation and giving in- structions). In such situations, it is often the case that some form of hybrid concep- tual model that combines different interaction styles is appropriate. For example, the tourist application in Activity 2.2 may end up being optimally designed based on a combination of conversing and exploring models. The user could ask specific questions by typing them in or alternatively browse through information. Shopping on the Internet is also often supported by a range of interaction modes. Sometimes the user may be browsing and navigating, other times communicating with an agent, at yet other times parting with credit card details via an instruction-based form fill-in. Hence, which mode of interaction is "active" depends on the stage of the activity that is being carried out.
  • 86.
    2.4 Interface metaphors 55 The down side of mixing interaction moqes is that the underlying conceptual model can end up being more complex and ambiguous, making it more difficult for the user to understand and learn. For example, some operating and word-pro- cessing systems now make it possible for the user to carry out the same activity in a number of different ways (e.g., to delete a file the user can issue a command like CtrlD, speak to the computer by saying "delete file," or drag an icon of the file to the recycle bin). Users will have to learn the different styles to decide which they prefer. Inevitably, the learning curve will be steeper, but in the long run the benefits are that it enables users to decide how they want to interact with the system. 2.4 Interface metaphors Another way of describing conceptual models is in terms of interface metaphors. By this is meant a conceptual model that has been developed to be similar in some way to aspects of a physical entity (or entities) but that also has its own be- haviors and properties. Such models can be based on an activity or an object or both. As well as being categorized as conceptual models based on objects, the desktop and the spreadsheet are also examples of interface metaphors. Another example of an interface metaphor is a "search engine." The tool has been de- signed to invite comparison with a physical object-a mechanical engine with several parts working-together with an everyday action-searching by looking through numerous files in many different places to extract relevant information. The functions supported by a search engine also include other features besides those belonging to an engine that searches, such as listing and prioritizing the re- sults of a search. It also does these actions in quite different ways from how a me- chanical engine works or how a human being might search a library for books on a given topic. The similarities alluded to by the use of the term "search engine," therefore, are at a very general conceptual level. They are meant to conjure up the essence of the process of finding relevant information, enabling the user to leverage off this "anchor" further understanding of other aspects of the function- ality provided. Interface metaphors are based on conceptual models that combine familiar knowledge with new concepts. As mentioned in Box 2.2, the Star was based on a conceptual model of the familiar knowledge of an office. Paper, folders, filing cabi- nets, and mailboxes were represented as icons on the screen and were designed to possess some of the properties of their physical counterparts. Dragging a document icon across the desktop screen was seen as equivalent to picking up a piece of paper in the physical world and moving it (but of course is a very different action). Similarly, dragging an electronic document onto an electronic folder was seen as being analogous to placing a physical document into a physical cabinet. In addition, new concepts that were incorporated as part of the desktop metaphor were opera- tions that couldn't be performed in the physical world. For example, electronic files could be placed onto an icon of a printer on the desktop, resulting in the computer printing them out.
  • 87.
    I 56 Chapter 2 Understanding and conceptualizing interaction Interface metaphors are often actually composites, i.e., they combine quite different pieces of familiar knowledge with the system functionality. We already mentioned the "search en- gine" as one such example. Can you think of any others? Comment Some other examples include: Scrollbar--combines the concept of a scroll with a bar, as in bar chart Toolbar--combines the idea of a set of tools with a bar Portal website-a gateway to a particular collection of pages of networked information Benefits of interface metaphors Interface metaphors have proven to be highly successful, providing users with a familiar orienting device and helping them understand and learn how to use a sys- tem. People find it easier to learn and talk about what they are doing at the com-
  • 88.
    2.4 Interface metaphors 57 puter interface in terms familiar to them-whether they are computer-phobic or highly experienced programmers. Metaphorically based commands used in Unix, like "lint" and "pipe," have very concrete meanings in everyday language that, when used in the context of the Unix operating system, metaphorically represent some aspect of the operations they refer to. Although their meaning may appear obscure, especially to the novice, they make sense when understood in the context of programming. For example, Unix allows the programmer to send the output of one program to another by using the pipe (1) symbol. Once explained, it is easy to imagine the output from one container going to another via a pipe. Can you think of any bizarre computing metaphors that have become common parlance whose original source of reference is (or always was) obscure? Cornrnent A couple of intriguing ones are: Java-The programing language Java originally was called Oak, but that name had already been taken. It is not clear how the developers moved from Oak to Java. Java is a name commonly associated with coffee. Other Java-based metaphors that have been spawned include Java beans (a reusable software component) and the steaming coffee-cup icon that appears in the top left-hand corner of Java applets. Bluetooth-Bluetooth is used in a computing context to describe the wireless technol- ogy that is able to unite technology, communication, and consumer electronics. The name is taken from King Harald Blue Tooth, who was a 10th century legendary Viking king responsible for uniting Scandinavia and thus getting people to talk to each other. Opposition to using interface metaphors A mistake sometimes made by designers is to try to design an interface metaphor to look and behave literally like the physical entity it is being compared with. This misses the point about the benefit of developing interface metaphors. As stressed earlier, they are meant to be used to map familiar to unfamiliar knowl- edge, enabling users to understand and learn about the new domain. Designing interface metaphors only as literal models of the thing being compared with has understandably led to heavy criticism. One of the most outspoken critics is Ted Nelson (1990) who considers metaphorical interfaces as "using old half-ideas as crutches" (p. 237). Other objections to the use of metaphors in interaction design include: Breaks the rules. Several commentators have criticized the use of interface metaphors because of the cultural and logical contradictions involved in accommo- dating the metaphor when instantiated as a GUI. A pet hate is the recycle bin (for- merly trash can) that sits on the desktop. Logically and culturally (i.e., in the real world), it should be placed under the desk. If this same rule were followed in the virtual desktop, users would not be able to see the bin because it would be oc- cluded by the desktop surface. A counter-argument to this objection is that it does
  • 89.
    58 Chapter 2 Understanding and conceptualizing interaction not matter whether rules are contravened. Once people understand why the bin is on the desktop, they readily accept that the real-world rule had to be broken. Moreover, the unexpected juxtaposition of the bin on the desktop can draw to the user's attention the additional functionality that it provides. Too constraining. Another argument against interface metaphors is that they are too constraining, restricting the kinds of computational tasks that would be useful at the interface. An example is trying to open a file that is embedded in several hundreds of files in a directory. Having to scan through hundreds of icons on a desktop or scroll through a list of files seems a very inefficient way of doing this. As discussed earlier, a better way is to allow the user to instruct the computer to open the desired file by typing in its name (assuming they can remember the name of the file). Conflicts with design principles. By trying to design the interface metaphor to fit in with the constraints of the physical world, designers are forced into making bad design solutions that conflict with basic design principles. Ted Nelson sets up the trash can again as an example of such violation: "a hideous failure of consis- tency is the garbage can on the Macintosh, which means either "destroy this" or "eject it for safekeeping" (Nelson, 1990). Not being able to understand the system functionality beyond the metaphor. It has been argued that users may get fixed in their understanding of the system based on the interface metaphor. In so doing, they may find it difficult to see what else can be done with the system beyond the actions suggested by the interface metaphor. Nelson (1990) also argues that the similarity of interface metaphors to any real objects in the world is so tenuous that it gets in the way more than it helps. We would argue the opposite: because the link is tenuous and there are only a cer- tain number of similarities, it enables the user to see both the dissimilarities and how the metaphor has been extended. Overly literal translation of existing bad designs. Sometimes designers fall into the trap of trying to create a virtual object to resemble a familiar physical object that is itself badly designed. A well-known example is the virtual calculator, which is designed to look and behave like a physical calculator. The interface of many physical calculators, however, has been poorly designed in the first place, based on poor conceptual models, with excessive use of modes, poor labeling of functions, and difficult-to-manipulate key sequences (Mullet and Sano, 1995). The design of the calculator in Figure 2.10(a) has even gone as far as replicating functions needing shift keys (e.g., deg, oct, and hex), which could have been re- designed as dedicated software buttons. Trying to use a virtual calculator that has been designed to emulate a poorly designed physical calculator is much harder than using the physical device itself. A better approach would have been for the designers to think about how to use the computational power of the computer to support the kinds of tasks people need to do when doing calculations (cf. the spreadsheet design). The calculator in Figure 2.10(b) has tried to do this to some extent, by moving the buttons closer to each other (minimizing the amount of mousing) and providing flexible display modes with one-to-one mappings with different functions.
  • 90.
    2.4 Interface metaphors 59 (b) Figure 2.10 Two virtual calculators where (a) has been designed too literally and (b) more appropriately for a computer screen. Limits the designer's imagination in conjuring up new paradigms and models. Designers may h a t e on "tired" ideas, based on well known technologies, that they know people are very familiar with. Examples include travel and books for repre- senting interaction with the web and hypermedia. One of the dangers of always looking backwards is that it restricts the designer in thinking of what new function- ality to provide. For example, Gentner and Nielsen (1996) discuss how they used a book metaphor for designing the user interface to Sun Microsystems' online docu- mentation. In hindsight they realized how it had blinkered them in organizing the online material, preventing them from introducing desirable functions such as the ability to reorder chapters according to their relevance scores after being searched. Clearly, there are pitfalls in using interface metaphors in interaction design. In- deed, this approach has led to some badly designed conceptual models, that have resulted in confusion and frustration. However, this does not have to be the case. Provided designers are aware of the dangers and try to develop interface metaphors that effectively combine familiar knowledge with new functionality in a meaningful way, then many of the above problems can be avoided. Moreover, as we have seen with the spreadsheet example, the use of analogy as a basis for a con- ceptual model can be very innovative and successful, opening up the realm of com- puters and their applications to a greater diversity of people.
  • 91.
    60 Chapter 2 Understanding and conceptualizing interaction amine a web browser interface and describe the various forms of analogy and composite erface metaphors that have been used in its design. What familiar knowledge has been combined withnew functionality? Comment Many aspects of a web browser have been combined to create a composite interface metaphor: a range of toolbars, such as a button bar, navigation bar, favorite bar, history bar tabs, menus, organizers search engines, guides bookmarks, favorites icons for familiar objects like stop lights, home These have been combined with other operations and functions, including saving, search- ing, downloading, listing, and navigating. 2.5 Interaction paradigms At a more general level, another source of inspiration for informing the design of a conceptual model is an interaction paradigm. By this it is meant a particular philos- ophy or way of thinking about interaction design. It is intended to orient designers to the kinds of questions they need to ask. For many years the prevailing paradigm in interaction design was to develop applications for the desktop-intended to be used by single users sitting in front of a CPU, monitor, keyboard and mouse. A dominant part of this approach was to design software applications that would run using a GUI or WIMP interface (windows, icons, mouse and pull-down menus, al- ternatively referred to as windows, icons, menus and pointers). As mentioned earlier, a recent trend has been to promote paradigms that move "beyond the desktop." With the advent of wireless, mobile, and handheld technolo- gies, developers started designing applications that could be used in a diversity of ways besides running only on an individual's desktop machine. For example, in September, 2000, the clothes company Levis, with the Dutch electronics company Philips, started selling the first commercial e-jacket-incorporating wires into the lining of the jacket to create a body-area network (BAN) for hooking up various devices, e.g., mobile phone, MP3, microphone, and headphone (see Figure 1.2(iii) in Color Plate 1). If the phone rings, the MP3 player cuts out the music automatically to let the wearer listen to the call. Another innovation was handheld interactive devices, like the Palmpilot, for which a range of applications were programmed. One was to program the Palmpi- lot as a multipurpose identity key, allowing guests to check in to certain hotels and enter their room without having to interact with the receptionist at the front desk. A number of alternative interaction paradigms have been proposed by re- searchers intended to guide future interaction design and system development (see Figure 2.11). These include: ubiquitous computing (technology embedded in the environment) pervasive computing (seamless integration of technologies) wearable computing (or wearables)
  • 92.
    2.5 Interaction paradigms 61 I Figure 2.1 1 Examples of new interaction paradigms: (a) Some of the original devices devel- oped as part of the ubiquitous computing paradigm. Tabs are small hand-sized wireless computers which know where they are and who they are with. Pads are paper-sized devices connected to the system via radio. They know where they are and who they are with. Live- boards are large wall sized devices. The "Dangling String" created by artist Natalie Jeremi- jenko was attached directly to the ethernet that ran overhead in the ceiling. It spun around depending on the level of digital traffic. (b) Ishii and Ulmer, MIT Lab (1997) Tangible bits: from GUIs of desktop PCs to Tangible User Interfaces. The paradigm is concerned with establishing a new type of HCI called "Tangible User Interfaces" (TUIs). TUIs augment the real physical world by coupling digi- tal information to everyday physical objects and environments. (c) Affective Computing: The project, called "BlueEyes," is creating devices with embedded technology that gather information about people. This face (with movable eyebrows, eyes and mouth) tracks your movements and facial expressions and responds accordingly.
  • 93.
    62 Chapter 2 Understanding and conceptualizing interaction tangible bits, augmented reality, and physicallvirtual integration attentive environments (computers attend to user's needs) the Workaday World (social aspects of technology use) Ubiquitous computing ("ubicomp'~. late Mark Weiser (1991), an influen- The tial visionary, proposed the interaction paradigm of ubiquitous computing (Figure 2.11). His vision was for computers to disappear into the environment so that we would be no longer aware of them and would use them without thinking about them. As part of this process, they should "invisibly" enhance the world that al- ready exists rather than create artificial ones. Existing computing technology, e.g., multimedia-based systems and virtual reality, currently do not allow us to do this. Instead, we are forced to focus our attention on the multimedia representations on the screen (e.g., buttons, menus, scrollbars) or to move around in a virtual simu- lated world, manipulating virtual objects. So, how can technologies be designed to disappear into the background? Weiser did not mean ubiquity in the sense of simply making computers portable so that they can be moved from the desk into our pockets or used on trains or in bed. He meant that technology be designed to be integrated seamlessly into the physical world in ways that extend human capabilities. One of his prototypes was a "tabs, pads, and boards" setup whereby hundreds of computer devices equivalent in size to post-it notes, sheets of paper, and blackboards would be embedded in offices. Like the spreadsheet, such devices are assumed to be easy to use, because they cap- italize on existing knowledge about how to interact and use everyday objects. Also like the spreadsheet, they provide much greater computational power. One of Weiser's ideas was that the tabs be connected to one another, enabling them to be- come multipurpose, including acting as a calendar, diary, identification card, and an interactive device to be used with a PC. Ubiquitous computing will produce nothing fundamentally new, but by making everything faster and easier to do, with less strain and fewer mental gymnastics, it will transform what i apparently possible (Weiser, 1991, p. 940). s Pervasive computing. Pervasive computing is a direct follow-on of ideas arising from ubiquitous computing. The idea is that people should be able to access and in- teract with information any place and any time, using a seamless integration of technologies. Such technologies are often referred to as smart devices or informa- tion appliances-designed to perform a particular activity. Commercial products include cell phones and handheld devices, like PalmPilots. On the domestic front, other examples currentIy being prototyped include intelligent fridges that signal the user when stocks are low, interactive microwave ovens that allow users to ac- cess information from the web while cooking, and smart pans that beep when the food is cooked. Wearable computing. Many of the ideas behind ubiquitous computing have since inspired other researchers to develop technologies that are part of the envi- ronment. The MIT Media Lab has created several such innovations. One example is wearable computing (Mann, 1996). The combination of multimedia and wireless
  • 94.
    2.5 Interaction paradigms 63 communication presented many opportunities for thinking about how to embed such technologies on people in the clothes they wear. Jewelry, head-mounted caps, glasses, shoes, and jackets have all been experimented with to provide the user with a means of interacting with digital information while on the move in the physical world. Applications that have been developed include automatic diaries that keep users up to date on what is happening and what they need to do throughout the day, and tour guides that inform users of relevant information as they walk through an exhibition and other public places (Rhodes et al., 1999). Tangible bits, augmented reality, and physicaUvirtua1 integration. Another de- velopment that has evolved from ubiquitous computing is tangible user interfaces or tangible bits (Ishii and Ullmer, 1997). The focus of this paradigm is the "integra- tion of computational augmentations into the physical environment", in other words, finding ways to combine digital information with physical objects and sur- faces (e.g., buildings) to allow people to carry out their everyday activities. Exam- ples include physical books embedded with digital information, greeting cards that play a digital animation when opened, and physical bricks attached to virtual ob- jects that when grasped have a similar effect on the virtual objects. Another illus- tration of this approach is the one described in Chapter 1 of an enjoyable interface, in which a person could use a physical hammer to hit a physical key with corre- sponding virtual representations of the action being displayed on a screen. Another part of this paradigm is augmented reality, where virtual representa- tions are superimposed on physical devices and objects (as shown in Figure 2.1 on Color Plate 2). Bridging the gulf between physical and virtual worlds is also cur- rently undergoing much research. One of the earlier precursors of this work was the Digital Desk (Wellner, 1993). Physical office tools, like books, documents and paper, were integrated with virtual representations, using projectors and video cameras. Both virtual and real documents were seamlessly combined. Attentive environments and transparent computing. This interaction paradigm proposes that the computer attend to user's needs through anticipating what the user wants to do. Instead of users being in control, deciding what they want to do and where to go, the burden should be shifted onto the computer. In this sense the mode of interaction is much more implicit: computer interfaces respond to the user's ex- pressions and gestures. Sensor-rich environments are used to detect the user's cur- rent state and needs. For example, cameras can detect where people are looking on a screen and decide what to display accordingly. The system should be able to de- termine when someone wants to make a call and which websites they want to visit at particular times. IBM's BlueEyes project is developing a range of computational devices that use non-obtrusive sensing technology, including videos and micro- phones, to track and identify users' actions. This information is then analyzed with respect to where users are looking, what they are doing, their gestures, and their fa- cial expressions. In turn, this is coded in terms of the users' physical, emotional or informational state and is then used to determine what information they would like. For example, a BlueEyes-enabled computer could become active when a user first walks into a room, firing up any new email messages that have arrived. If the user shakes his or her head, it would be interpreted by the computer as "I don't want to read them," and instead show a listing of their appointments for that day.
  • 95.
    64 Chapter 2 Understanding and conceptualizing interaction The Workaday World. In the new paradigms mentioned above, the emphasis is on exploring how technological devices can be linked with each other and digital information in novel ways that allow people to do things they could not do before. In contrast, the Workaday World paradigm is driven primarily by conceptual and mundane concerns. It was proposed by Tom Moran and Bob Anderson (1990), when working at Xerox PARC. They were particularly concerned with the need to understand the social aspects of technology use in a way that could be useful for designers. The Workaday World paradigm focuses on the essential character of the workplace in terms of people's everyday activities, relationships, knowledge, and resources. It seeks to unravel the "set of patterns that convey the richness of the settings in which technologies live-the complex, unpredictable, multiform rela- tionships that hold among the various aspects of working life" (p. 384). 2.6 From conceptual models to physical design As we emphasize throughout this book, interaction design is an iterative process. It involves cycling through various design processes at different levels of detail. Pri- marily it involves: thinking through a design problem, understanding the user's needs, coming up with possible conceptual models, prototyping them, evaluating them with respect to usability and user experience goals, thinking about the design implications of the evaluation studies, making changes to the prototypes with re- spect to these, evaluating the changed prototypes, thinking through whether the changes have improved the interface and interaction, and so on. Interaction design may also require going back to the original data to gather and check the require- ments. Throughout the iterations, it is important to think through and understand whether the conceptual model being developed is working in the way intended and to ensure that it is supporting the user's tasks. Throughout this book we describe the way you should go about doing interac- tion design. Each iteration should involve progressing through the design in more depth. A first pass through an iteration should involve essentially thinking about the problem space and identifying some initial user requirements. A second pass should involve more extensive information gathering about users' needs and the problems they experience with the way they currently carry out their activities (see Chapter 7). A third pass should continue explicating the requirements, lead- ing to thinking through possible conceptual models that would be appropriate (see Chapter 8). A fourth pass should begin "fleshing out" some of these using a vari- ety of user-centered methods. A number of user-centered methods can be used to create prototypes of the potential candidates. These include using storyboarding to show how the interaction between the users and the system will take place and the laying out of cards and post-it notes to show the possible structure of and navi- gation through a website. Throughout the process, the various prototypes of the conceptual models should be evaluated to see if they meet users' needs. Informally asking users what they think is always a good starting point (see Chapter 12). A number of other techniques can also be used at different stages of the develop- ment of the prototypes, depending on the particular information required (see Chapters 13 and 14).
  • 96.
    2.6 From conceptualmodels to physical design 65 Many issues will need to be addressed when developing and testing initial pro- totypes of conceptual models. These include: the way information is to be presented and interacted with at the interface what combinations of media to use (e.g., whether to use sound and animations) the kind of feedback that will be provided what combinations of input and output devices to use (e.g., whether to use speech, keyboard plus mouse, handwriting recognition) whether to provide agents and in what format whether to design operations to be hardwired and activated through physical buttons or to represent them on the screen as part of the software what kinds of help to provide and in what format While working through these design decisions about the nature of the interac- tion to be supported, issues concerning the actual physical design will need to be addressed. These will often fall out of the conceptual decisions about the way infor- mation is to be represented, the kind of media to be used, and so on. For example, these would typically include: information presentation -which dialogs and interaction styles to use (e.g., form fill-ins, speech input, menus) -how to structure items in graphical objects, like windows, dialog boxes and menus (e.g., how many items, where to place them in relation to each other) feedback -what navigation mechanisms to provide (e.g., forward and backward buttons) media combination -which kinds of icons to use Many of these physical design decisions will be specific to the interactive prod- uct being built. For example, designing a calendar application intended to be used by business people to run on a handheld computer will have quite different con- straints and concerns from designing a tool for scheduling trains to run over a large network, intended to be used by a team of operators via multiple large displays. The way the information will be structured, the kinds of graphical representations that will be appropriate, and the layout of the graphics on the screens will be quite different. These kinds of design decisions are very practical, needing user testing to en- sure that they meet with the usability goals. It is likely that numerous trade-offs will surface, so it is important to recognize that there is no right or wrong way to resolve these. Each decision has to be weighed with respect to the others. For example, if you decide that a good way of providing visibility for the calendar application on the handheld device is to have a set of "soft" navigation buttons permanently as
  • 97.
    66 Chapter 2 Understonding and conceptualizing interaction
  • 98.
    2.6 From conceptualmodels to physical design 67
  • 99.
    68 Chapter 2 Understanding and conceptualizing interaction part of the visual display, you then need to consider the consequences of doing this for the rest of the information that needs to be interacted with. Will it still be possi- ble to structure the display to show the calendar as days in a week or a month, all on one screen? This part of the design process is highly dependent on the context and essen- tially involves lots of juggling between design decisions. If you visit our website you can try out some of the interactivities provided, where you have to make such deci- sions when designing the physical layout for various interfaces. Here, we provide the background and rationale that can help you make appropriate choices when faced with a series of design decisions (primarily Chapters 3-5 and 8). For example, we ex- plain why you shouldn't cram a screen full of information; why certain techniques are better than others for helping users remember how to carry out their tasks at the interface; and why certain kinds of agents appear more believable than others. Assignment The aim of this assignment is for you to think about the appropriateness of different kinds of conceptual model that have been designed for similar kinds of physical and electronic artifacts. (a) Describe the conceptual model that underlie the design of: a personal pocket-sized calendarldiary (one week to a page) a wall calendar (one month to a page, usually with a picturelphoto) a wall planner (displaying the whole year) What is the main kind of activity and object they are based on? How do they differ for each of the three artifacts? What metaphors have been used in the design of their physical interface (think about the way time is conceptualized for each of them)? Do users understand the conceptual models these are based on in the ways intended (ask a few people to explain how they use them)? Do they match the dif- ferent user needs? (b) Now describe the conceptual models that underlie the design of: an electronic personal calendar found on a personal organizer or handheld computer a shared calendar found on the web How do they differ from the equivalent physical artifacts? What new functionality has been provided? What interface metaphors have been used? Are the functions and interface metaphor well integrated? What problems do users have with these interactive kinds of calendars? Why do you think this is? Summary This chapter has explained the importance of conceptualizing interaction design before try- ing to build anything. It has stressed throughout the need always to be clear and explicit about the rationale and assumptions behind any design decision made. It described a taxon- omy of conceptual models and the different properties of each. It also discussed interface metaphors and interaction paradigms as other ways of informing the design of conceptual models.
  • 100.
    References 69 Key points It is important to have a good understanding of the problem space, specifying what it is you are doing, why and how it will support users in the way intended. A fundamental aspect of interaction design is to develop a conceptual model. There are various kinds of conceptual models that are categorized according to the activ- ity or object they are based on. Interaction modes (e.g., conversing, instructing) provide a structure for thinking about which conceptual model to develop. Interaction styles (e.g., menus, form fill-ins) are specific kinds of interfaces that should be decided upon after the conceptual model has been chosen. Decisions about conceptual design also should be made before commencing any physical design (e.g., designing an icon). Interface metaphors are commonly used as part of a conceptual model. Many interactive systems are based on a hybrid conceptual model. Such models can pro- vide more flexibility, but this can make them harder to learn. 3D realism is not necessarily better than 2D or other forms of representation when in- stantiating a conceptual model: what is most effective depends on the users' activities when interacting with a system. General interaction paradigms, like WIMP and ubiquitous computing, provide a particu- lar way of thinking about how to design a conceptual model. Further reading LAUREL, B. (1990) (ed.) The Art of Human Computer De- LANIER, J. (1995) Agents of alienation, ACM Interactions, sign has a number of papers on conceptual models and inter- 2(3), 66-72. The Art of Human Computer Design also pro- face metaphors. T W that are definitely worth reading are: ~ vides several thought-provoking articles, including one Tom Erickson, "Working with interface metaphors" (pp. called "Interface agents: metaphors with character" by 65-74), which is a practical hands-on guide to designing in- Brenda Laurel (pp. 355-366) and another called "Guides: terface metaphors (covered later in this book), and Ted Nel- characterizing the interface" by Tim Oren et al. (pp. son's polemic, "The right way to think about software 367-382). design" (pp. 229-234), which is a scathing attack on the use BANNON, L. (1977) "Problems in human-machine interac- of interface metaphors. tion and communication." Proc HCI'97, San Francisco. JOHNSON, M. AND LAKOFF,G. (1980) Metaphors We L v ie Bannon presents a critical review of the agent approach to By. The University of Chicago Press. Those wanting to find interface design. out more about how metaphors are used in everyday con- MIT's Media Lab (www.media.mit.edu) is a good starting versations should take a look at this text. place to find out what is currently happening in the world of There are many good articles on the topic of interface agents, wearables, and other new interaction paradigms. agents. A classic is:
  • 101.
    70 Chapter 2 Understanding and conceptualizing interaction this I mean a human dialog not in the sense of using ordinary language, but in the sense of thinking about the sequence and the flow of interaction. So I think interaction design is about designing a space for peo- ple, where that space has to have a temporal flow. It has to have a dialog with the person. YR: Could you tell me a bit more about what you think is involved in interaction design? TW: One of the biggest influences is product design. I think that interaction design overlaps with it, be- ticles on hat topic. His book, Bringing Design to Sofhvare, cause they both take a very strong user-oriented view. brings together the perspectives of a number of leading re- Both are concerned with finding a user group, under- searchers and designers. See Color Plate 2 for an example of his latest research. standing their needs, then using that understanding to come up with new ideas. They may be ones that the YR: Tell me about your background and how you users don't even realize they need. It is then a matter moved into interaction design. of trying to translate who it is, what they are doing, and why they are doing it into possible innovations. TW: I got into interaction design through a couple of In the case of product design it is products. In the case intermediate steps. I started out doing research into of interaction design it is the way that the computer artificial intelligence. I became interested in how peo- system interacts with the person. ple interact with computers, in particular, when using ordinary language. It became clear after years of YR. What do you think are important inputs into the working on that, however, that the computer was a design process? long way off from matching human abilities. More- over, using natural language with a computer when it TW: One of the characteristics of design fields as op- doesn't really understand you can be very frustrating posed to traditional engineering fields is that there is and in fact a very bad way to interact with it. So, much more dependence on case studies and examples rather than trying to get the computer to imitate the than on formulas. Whereas an engineer knows how to person, I became interested in other ways of taking calculate something, an architect or a designer is advantage of what the computer can do well and what working in a tradition where there is a history over the person can do well. That led me into the general time of other things people have done. People have field of HCI. As I began to look at what was going on said that the secret of great design is to know what to in that field and to study it, it became clear that it was steal and to know when some element or some way of not the same as other areas of computer science. The doing things that worked before will be appropriate key issues were about how the technology fits with to your setting and then adapt it. Of course you can't what people could do and what they wanted to do. In apply it directly, so I think a big part of doing good contrast, most of computer science is really domi- design is experience and exposure. You have to have nated by how the mechanisms operate. seen a lot of things in practice and understood what is I was very attracted to thinking more in the style good and bad about them, to then use these to inform of design disciplines, like product design, urban de- your design. sign, architecture, and so on. I realized that there was an approach that you might call a design way, that YR: How do you see the relationship between study- puts the technical asspects into the background with ing interaction design and the practice of it? Is there a respect to understanding the interaction. Through good dialog between research and practice? looking at these design disciplines, I realized that TW: Academic study of interaction design is a tricky there was something unique about interaction design, area because so much of it depends on a kind of which is that it has a dialogic temporal element. By tacit knowledge that comes through experience and
  • 102.
    Interview 71 exposure. It is not the kind of thing you can set YR: Are there any classic case studies that stand out down easily as, say, you can scientific formulas. A as good exemplars of interaction design? lot of design tends to be methodological. It is not TW: You need to understand what has been impor- about the design per se but is more about how you tant in the past. I still use the Xerox Star as an exem- go about doing design, in particular, knowing what plar because so much of what we use today was there. are the appropriate steps to take and how you put When you go back to look at the Star you see it in the them together. context of when it was first created. I also think some exemplars that are very interesting are ones that never YR: How do you see the field of interaction design actually succeeded commercially. For example, I use taking on board the current explosion in new tech- the PenPoint system that was developed for pen com- nologies-for example mobile, ubiquitous, infrared, puters by Go. Again, they were thinking fresh. They and so on? Is it different, say, from 20 years ago when set out to do something different and they were much it was just about designing software applications to sit more conscious of the design issues than somebody on the desktop? who was simply adapting the next version of something TW: I think a real change in people's thinking has that already existed. Palmpilot is another good exam- been to move from interface design to interaction de- ple, because they looked at the problem in a different sign. This has been pushed by the fact that we do have way to make something work. Another interesting ex- all kinds of devices nowadays. Interface design used emplar, which other people may not agree with, is Mi- to mean graphical interfaces, which meant designing crosoft Bob--not because it was a successful program, menus and other widgets. But now when you're talk- because it wasn't, but because it was a first exploration ing about handheld devices, gesture interfaces, tele- of a certain style of interaction, using animated agents. phone interfaces and so on, it is clear that you can't You can see very clearly from these exemplars what focus just on the widgets. The widgets may be part of design trade-offs the designers were making and why any one of these devices but the design thinking as a and then you can look at the consequences. whole has to focus on the interaction. YR: Finally, what are the biggest challenges facing YR: What advice would you give to a student coming people working in this area? into the field on what they should be learning and TW: I think one of the biggest challenges is what looking for? Pelle Ehn calls the dialectic between tradition and TW: I think a student who wants to learn this field transcendence. That is, people work and live in cer- should think of it as a kind of dual process, that is tain ways already, and they understand how to adapt what Donald Schon calls "reflection in action," that within a small range, but they don't have an un- needing both the action and the reflection. It is im- derstanding or a feel for what it would mean to make portant to have experience with trying to build a radical change, for example, to change their way of things. That experience can be from outside work, doing business on the Internet before it was around, projects, and courses where you are actually en- or to change their way of writing from pen and paper gaged in making something work. At the same time when word processors weren't around. I think what you need to be able to step back and look at it not as the designer is trying to do is envision things for users "What do I need to d o next?" but from the perspec- that the users can't yet envision. The hard part is not tive of what you are doing and how that fits into the fixing little problems, but designing things that are larger picture. both innovative and that work.
  • 104.
    Chapter 3 Understanding users 3.1 Introduction 3.2 What is cognition? 3.3 Applying knowledge from the physical world to the digital world 3.4 Conceptual frameworks for cognition 3.4.1 Mental models 3.4.2 Information processing 3.4.3 External cognition 3.5 Informing design: from theory to practice Introduction Imagine trying to drive a car by using just a computer keyboard. The four arrow keys are used for steering, the space bar for braking, and the return key for acceler- ating. To indicate left you need to press the F1 key and to indicate right the F2 key. To sound your horn you need to press the F3 key. To switch the headlights on you need to use the F4 key and, to switch the windscreen wipers on, the F5 key. Now imagine as you are driving along a road a ball is suddenly kicked in front of you. What would you do? Bash the arrow keys and the space bar madly while pressing the F4 key? How would you rate your chances of missing the ball? Most of us would balk at the very idea of driving a car this way. Many early video games, however, were designed along these lines: the user had to press an ar- bitrary combination of function keys to drive or navigate through the game. There was little, if any, consideration of the user's capabilities. While some users regarded mastering an arbitrary set of keyboard controls as a challenge, many users found them very limiting, frustrating, and difficult to use. More recently, computer con- soles have been designed with the user's capabilities and the demands of the activ- ity in mind. Much better ways of controlling and interacting, such as through using joysticks and steering wheels, are provided that map much better onto the physical and cognitive aspects of driving and navigating. In this chapter we examine some of the core cognitive aspects of interaction de- sign. Specifically, we consider what humans are good and bad at and show how this knowledge can be used to inform the design of technologies that both extend human capabilities and compensate for their weaknesses. We also look at some of the influ- ential cognitively based conceptual frameworks that have been developed for ex- plaining the way humans interact with computers. (Other ways of conceptualizing
  • 105.
    74 Chapter 3 Understanding users human behavior that focus on the social and affective aspects of interaction design are presented in the following two chapters.) The main aims of this chapter are to: Explain what cognition is and why it is important for interaction design. Describe the main ways cognition has been applied to interaction design. Provide a number of examples in which cognitive research has led to the de- sign of more effective interactive products. Explain what mental models are. Give examples of conceptual frameworks that are useful for interaction design. Enable you to try to elicit a mental model and be able to understand what it means. 32 What is cognition? . Cognition is what goes on in our heads when we carry out our everyday activities. It involves cognitive processes, like thinking, remembering, learning, daydreaming, decision making, seeing, reading, writing and talking. As Figure 3.1 indicates, there are many different kinds of cognition. Norman (1993) distinguishes between two general modes: experiential and reflective cognition. The former is a state of mind in which we perceive, act, and react to events around us effectively and effortlessly. It requires reaching a certain level of expertise and engagement. Examples include driving a car, reading a book, having a conversation, and playing a video game. In contrast, reflective cognition involves thinking, comparing, and decision-making. This kind of cognition is what leads to new ideas and creativity. Examples include designing, learning, and writing a book. Norman points out that both modes are essential for everyday life but that each requires different kinds of technological support. What goes on in the mind? i1 perceiving thinking remembering understanding others talking with others making decisions Figure 3.1 What goes on in the mind?
  • 106.
    3.2 What iscognition? 75 Cognition has also been described in terms of specific kinds of processes. These include: attention perception and recognition memory learning reading, speaking, and listening problem solving, planning, reasoning, decision making It is important to note that many of these cognitive processes are interdepen- dent: several may be involved for a given activity. For example, when you try to learn material for an exam, you need to attend to the material, perceive, and recog- nize it, read it, think about it, and try to remember it. Thus, cognition typically in- volves a range of processes. It is rare for one to occur in isolation. Below we describe the various kinds in more detail, followed by a summary box highlighting core design implications for each. Most relevant (and most thoroughly researched) for interaction design is memory, which we describe in greatest detail. Attention is the process of selecting things to concentrate on, at a point in time, from the range of possibilities available. Attention involves our auditory andlor vi- sual senses. An example of auditory attention is waiting in the dentist's waiting room for our name to be called out to know when it is our time to go in. An exam- ple of attention involving the visual senses is scanning the football results in a news- paper to attend to information about how our team has done. Attention allows us to focus on information that is relevant to what we are doing. The extent to which this process is easy or difficult depends on (i) whether we have clear goals and (ii) whether the information we need is salient in the environment: (i) O u r goals If we know exactly what we want to find out, we try to match this with the information that is available. For example, if we have just landed at an air- port after a long flight and want to find out who had won the World Cup, we might scan the headlines at the newspaper stand, check the web, call a friend, or ask someone in the street. When we are not sure exactly what we are looking for we may browse through information, allowing it to guide our attention to interesting or salient items. For example, when we go to a restaurant we may have the general goal of eating a meal but only a vague idea of what we want to eat. We peruse the menu to find things that whet our appetite, letting our attention be drawn to the imaginative descrip- tions of various dishes. After scanning through the possibilities and imagining what each dish might be like (plus taking into account other factors, such as cost, who we are with, what the specials are, what the waiter recommends, whether we want a two- or three-course meal, and so on), we may then make a decision. (ii) Information presentation The way information is displayed can also greatly in- fluence how easy or difficult it is to attend to appropriate pieces of information. Look at Figure 3.2 and try the activity. Here, the information-searching tasks are very precise, requiring specific answers. The information density is identical in both
  • 107.
    76 Chapter 3 Understanding users Figure 3.2 Two different ways of struc- turing the same information at the inter- face: one makes it much easier to find information than the other. Look at the top screen and: (i) find the price for a double room at the Quality Inn in Co- lumbia; (ii) find the phone number of the Days Inn in Charleston. Then look at the bottom screen and (i) find the price of a double room at the Holiday 1nn in Bradley; (ii) find the phone number of - ,, the Quality Inn in ~ e d f o r dWhich took . longer to do? In an early study Tullis found that the two screens produced quite different results: it took an average of 3.2 seconds to search the top screen and 5.5 seconds to find the same kind of information in the bottom screen. Why is this so, considering that both displays have the same density of information (31%)? The primary reason is the way the characters are grouped in the display: in the top they are grouped into vertical categories of information (e.g., place, kind of accommodation, phone number, and rates) that have columns of space be- tween them. In the bottom screen the in- formation is bunched up together, making it much harder to search through. displays. However, it is much harder to find the information in the bottom screen than in t h e t o p screen. T h e reason for this is that t h e information is very poorly structured in the bottom, making it difficult to find the information. In the top the information has been ordered into meaningful categories with blank spacing be- tween them, making it easier to select the necessary information. Perception refers to how information is acquired from the environment, via the different sense organs (e.g., eyes, ears, fingers) and transformed into experiences of objects, events, sounds, and tastes (Roth, 1986). It is a complex process, involving other cognitive processes such as memory, attention, and language. Vision is the
  • 108.
    3.2 What iscognition? 77 most dominant sense for sighted individuals, followed by hearing and touch. With respect to interaction design, it is important to present information in a way that can be readily perceived in the manner intended. For example, there are many ways to design icons. The key is to make them easily distinguishable from one an- other and to make it simple to recognize what they are intended to represent (not like the ones in Figure 3.4). Combinations of different media need also to be designed to allow users to rec- ognize the composite information represented in them in the way intended. The use of sound and animation together needs to be coordinated so they happen in a logical sequence. An example of this is the design of lip-synch applications, where the animation of an avatar's or agent's face to make it appear to be talking, must be carefully synchronized with the speech that is emitted. A slight delay between the two can make it difficult and disturbing to perceive what is happening-as some- times happens when film dubbing gets out of synch. A general design principle is
  • 109.
    78 Chapter 3 Understanding users Figure 3.4 Poor icon set. What do you think the icons mean and why are they so bad? that information needs to be represented in an appropriate form to facilitate the perception and recognition of its underlying meaning. Memory involves recalling various kinds of knowledge that allow us to act ap- propriately. It is very versatile, enabling us to do many things. For example, it al- lows us to recognize someone's face, remember someone's name, recall when we last met them and know what we said to them last. Simply, without memory we would not be able to function. It is not possible for us to remember everything that we see, hear, taste, smell, or touch, nor would we want to, as our brains would get completely overloaded. A filtering process is used to decide what information gets further processed and memorized. This filtering process, however, is not without its problems. Often we
  • 110.
    3.2 What iscognition? 79 forget things we would dearly love to remember and conversely remember things we would love to forget. For example, we may find it difficult to remember every- day things like people's names and phone numbers or academic knowledge like mathematical formulae. On the other hand, we may effortlessly remember trivia or tunes that cycle endlessly through our heads. How does this filtering process work? Initially, encoding takes place, determin- ing which information is attended to in the environment and how it is interpreted. The extent to which it takes place affects our ability to recall that information later. The more attention that is paid to something and the more it is processed in terms of thinking about it and comparing it with other knowledge, the more likely it is to be remembered. For example, when learning about a topic it is much better to re- flect upon it, carry out exercises, have discussions with others about it, and write notes than just passively read a book or watch a video about it. Thus, how informa- tion is interpreted when it is encountered greatly affects how it is represented in memory and how it is used later. Another factor that affects the extent to which information can be subse- quently retrieved is the context in which it is encoded. One outcome is that some- times it can be difficult for people to recall information that was encoded in a different context from the one they currently are in. Consider the following sce- nario: You are on a train and someone comes up to you and says hello. You don't recognize him for a few moments but then realize it is one of your neighbors. You are only used to seeing your neighbor in the hallway of your apartment block and seeing him out of context makes him difficult to recognize initially. Another well-known memory phenomenon is that people are much better at rec- ognizing things than recalling things. Furthermore, certain kinds of information are easier to recognize than others. In particular, people are very good at recognizing thousands of pictures, even if they have only seen them briefly before. Try to remember the dates of all the members of your family's and your closest friends' birthdays. How many can you remember? Then try to describe what is on the cover of the last DVDICD or record you bought. Which is easiest and why? Comment It is likely that you remembered much better what was on the CD/DVD/record cover (the image, the colors, the title) than the birthdays of your family and friends. People are very good at remembering visual cues about things, for example the color of items, the location of objects (a book being on the top shelf), and marks on an object (e.g., a scratch on a watch, a chip on a cup). In contrast, people find other kinds of information persistently difficult to learn and remember, especially arbitrary material like birthdays and phone numbers. Instead of requiring users to recall from memory a command name from a pos- sible set of hundreds or even thousands, GUIs provide visually based options that
  • 111.
    80 Chapter 3 Understanding users users can browse through until they recognize the operation they want to perform (see Figure 3.5(a) and (b)). Likewise, web browsers provide a facility of bookmark- ing or saving favorite URLs that have been visited, providing a visual list. This means that users need only recognize a name of a site when scanning through the saved list of URLs. Figure 3.5(a) A DOS-based interface, requiring the user to type in commands.
  • 112.
    3.2 What iscognition? 81 File Folder FJe Folder File Pol& Attached are the 6les I menboned in the meehng. Have a good weekendl - HWi Figure 3.5(b)A Windows-based interface, with menus, icons, and buttons. What strategies do you use to help you remember things? Comment People often write down what they need to remember on a piece of paper. They also ask others to remind them. Another approach is to use various mental strategies, like mnemon- ics. A mnemonic involves taking the first letters of a set of words in a phrase or set of con- cepts and using them to make a more memorable phrase, often using bizarre and idiosyncratic connections. For example, some people have problems working out where east is in relation to west and vice versa (i.e., is it to the left or right). A mnemonic to help figure this out is to take the first letters of the four main points of the compass and then use them in the phrase "Never Eat Shredded Wheat" mentally recited in a clockwise sequence. A growing problem for computer users is file management. The number of documents created, images and videoclips downloaded, emails and attachments saved, URLs bookmarked, and so on increases every day. A major problem is find- ing them again. Naming is the most common means of encoding them, but trying to remember a name of a file you created some time back can be very difficult, espe- cially if there are tens of thousands of named files. How might such a process be fa- cilitated, bearing in mind people's memory abilities? Mark Lansdale, a British psychologist, has been researching this problem of information retrieval for many
  • 113.
    -- 82 Chapter 3 Understanding users
  • 114.
    3.2 What iscognition? 83 years. He suggests that it is profitable to view this process as involving two memory processes: recall-directed, followed by recognition-based scanning. The first refers to using memorized information about the required file to get as close to it as possi- ble. The more exact this is, the more success the user will have in tracking down the desired file. The second happens when recall has failed to produce what a user wants and so requires reading through directories of files. To illustrate the difference between these two processes, consider the following scenario: a user is trying to access a couple of websites visited the day before that compared the selling price of cars offered by different dealers. The user is able to re- call the name of one website: "alwaysthecheapest.com". She types this in and the website appears. This is an example of successful recall-directed memory. However, the user is unable to remember the name of the second one. She vaguely remembers it was something like 'autobargains.com'; but typing this in proves unsuccessful. In- stead, she switches to scanning her bookmarks/favorites,going to the list of most re- cent ones saved. She notices two or three URLs that could be the one desired, and on the second attempt she finds the website she is looking for. In this situation, the user initially tries recall-directed memory and when this fails, adopts the second strategy of recognition-basedscanning-which takes longer but eventually results in success. Lansdale proposes that file management systems should be designed to opti- mize both kinds of memory processes. In particular, systems should be devel- oped that let users use whatever memory they have to limit the area being searched and then represent the information in this area of the interface so as to maximally assist them in finding what they need. Based on this theory, he has developed a prototype system called MEMOIRS that aims at improving users' recall of information they had encoded so as to make it easier to recall later (Lansdale and Edmunds, 1992). The system was designed to be flexible, provid- ing the user with a range of ways of encoding documents mnemonically, includ- ing time stamping (see Figure 3.6), flagging, and attribution (e.g., color, text, icon, sound or image). More flexible ways of helping users track down the files they want are now be- ginning to be introduced as part of commercial applications. For example, various search and find tools, like Apple's Sherlock, have been designed to enable the user to type a full or partial name or phrase that the system then tries to match by listing all the files it identifies containing the requested nametphrase. This method, how- ever, is still quite limited, in that it allows users to encode and retrieve files using only alphanumericals.
  • 115.
    84 Chapter 3 Understanding users I Full-Sized Document / This is a full-sized document, an TY~ssrMI-nudd4uxol..D exact replica of the original ru,npl.rof,bon$,"d ihuhxriruuxdlltolh UEMOrnS .Ism70 """I. which was scanned into the ,Y""r,2eb,,rdourumx. MEMOIRS system using a Truvel24-bit colour scanner / u I Miniature (80 X 110 pixels) u Full-sized Document Figure 3.6 Memoirs tool.
  • 116.
    3.2 What iscognition? 85 How else might banks solve the problem of providing a secure system while making the memory load relatively easy for people wanting to use phone banking? How does phone banking compare with online banking? Comment An alternative approach is to provide the customers with a PIN number (it could be the same as that of their ATM card) and ask them to key this in on their phone keypad, followed by asking one or two questions like their zip or post code, as a backup. Online banking has similar security risks to phone banking and hence this requires a number of security mea- sures to be enforced. These include that the user sets up a nickname and a password. For ex- ample, some banks require typing in three randomly selected letters from a password each time the user logs on. This is harder to do online than when asked over the phone, mainly
  • 117.
    86 Chapter 3 Understanding users because it interferes with the normally highly automated process of typing in a password. You really have to think about what letters and numbers are in your password; for example, has it got two letter f's after the number 6, or just one? Learning can be considered in terms of (i) how to use a computer-based appli- cation or (ii) using a computer-based application to understand a given topic. Jack Carroll (1990) and his colleagues have written extensively about how to design inter- faces to help learners develop computer-based skills. A main observation is that peo- ple find it very hard to learn by following sets of instructions in a manual. Instead, they much prefer to "learn through doing." GUIs and direct manipulation interfaces are good environments for supporting this kind of learning by supporting exploratory interaction and importantly allowing users to "undo" their actions, i.e., return to a previous state if they make a mistake by clicking on the wrong option. Carroll has also suggested that another way of helping learners is by using a "training-wheels" approach. This involves restricting the possible functions that can be carried out by a novice to the basics and then extending these as the novice becomes more experi- enced. The underlying rationale is to make initial learning more tractable, helping the learner focus on simple operations before moving on to more complex ones. There have also been numerous attempts to harness the capabilities of differ- ent technologies to help learners understand topics. One of the main benefits of in- teractive technologies, such as web-based, multimedia, and virtual reality, is that they provide alternative ways of representing and interacting with information that are not possible with traditional technologies (e.g., books, video). In so doing, they have the potential of offering learners the ability to explore ideas and concepts in different ways. Ask a grandparent, child, or other person who has not used a cell phone before to make and answer a call using it. What is striking about their behavior? Comment First-time users often try to apply their understanding of a land-line phone to operating a cell phone. However, there are marked differences in the way the two phones operate, even for the simplest of tasks, like making a call. First, the power has to be switched on when using a cell phone, by pressing a button (but not so with land-line phones), then the number has to be keyed in, including at all times the area code (in the UK), even if the callee is in the same area (but not so with land-lines), and finally the "make a call" button must be pressed (but not so with land-line phones). First-time users may intuitively know how to switch the phone on but not know which key to hit, or that it has to be held down for a couple of seconds. They may also forget to key in the area code if they are in the same area as the person they are calling, and to press the "make a call" key. They may also forget to press the "end a call" button (this is achieved through putting the receiver down with a land-line phone). Likewise, when an- swering a call, the first-time user may forget to press the "accept a call" button or not know which one to press. These additional actions are quick to learn, once the user understands the need to explicitly instruct the cell phone when they want to make, accept, or end a call. Reading, speaking and listening: these three forms of language processing have both similar and different properties. One similarity is that the meaning of
  • 118.
    3.2 What iscognition? 87 sentences or phrases is the same regardless of the mode in which it is conveyed. For example, the sentence "Computers are a wonderful invention" essentially has the same meaning whether one reads it, speaks it, or hears it. However, the ease with which people can read, listen, or speak differs depending on the person, task, and context. For example, many people find listening much easier than reading. Specific differences between the three modes include: Written language is permanent while listening is transient. It is possible to reread information if not understood the first time round. This is not possi- ble with spoken information that is being broadcast.
  • 119.
    88 Chapter 3 Understanding users Reading can be quicker than speaking or listening, as written text can be rapidly scanned in ways not possible when listening to serially presented spo- ken words. Listening requires less cognitive effort than reading or speaking. Children, especially, often prefer to listen to narratives provided in multimedia or web- based learning material than to read the equivalent text online. Written language tends to be grammatical while spoken language is often ungrammatical. For example, people often start a sentence and stop in mid- sentence, letting someone else start speaking. There are marked differences between people in their ability to use lan- guage. Some people prefer reading to listening, while others prefer listening. Likewise, some people prefer speaking to writing and vice versa. Dyslexics have difficulties understanding and recognizing written words, making it hard for them to write grammatical sentences and spell correctly. People who are hard of hearing or hard of seeing are also restricted in the way they can process language. Many applications have been developed either to capitalize on people's reading, writing and listening skills, or to support or replace them where they lack or have difficulty with them. These include: interactive books and web-based material that help people to read or learn foreign languages speech-recognition systems that allow users to provide instructions via spo- ken commands (e.g., word-processing dictation, home control devices that respond to vocalized requests) speech-output systems that use artificially generated speech (e.g., written- text-to-speech systems for the blind) natural-language systems that enable users to type in questions and give text-based responses (e.g., Ask Jeeves search engine) cognitive aids that help people who find it difficult to read, write, and speak. A number of special interfaces have been developed for people who have problems with reading, writing, and speaking (e.g., see Edwards, 1992). various input and output devices that allow people with various disabili- ties to have access to the web and use word processors and other software packages Helen Petrie and her team at the Sensory Disabilities Research Lab in the UK have been developing various interaction techniques to allow blind people to ac- cess the web and other graphical representations, through the use of auditory navi- gation and tactile diagrams. Problem-solving, planning, reasoning and decision-making are all cognitive processes involving reflective cognition. They include thinking about what to do, what the options are, and what the consequences might be of carrying out a given action. They often involve conscious processes (being aware of what one is thinking
  • 120.
    3.2 What iscognition? 89 I about), discussion with others (or oneself), and the use of various kinds of artifacts, (e.g., maps, books, and pen and paper). For example, when planning the best route to get somewhere, say a foreign city, we may ask others, use a map, get instructions from the web, or a combination of these. Reasoning also involves working through different scenarios and deciding which is the best option or solution to a given problem. In the route-planning activity we may be aware of alternative routes and reason through the advantages and disadvantages of each route before deciding on the best one. Many a family argument has come about because one member thinks he or she knows the best route while another thinks otherwise. Comparing different sources of information is also common practice when seeking information on the web. For example, just as people will phone around for a range of quotes, so too, will they use different search engines to find sites that give the best deal or best information. If people have knowledge of the pros and cons of different search engines, they may also select different ones for different kinds of queries. For example, a student may use a more academically oriented one when looking for information for writing an essay, and a more commercially based one when trying to find out what's happening in town. The extent to which people engage in the various forms of reflective cognition depends on their level of experience with a domain, application, or skill. Novices tend to have limited knowledge and will often make assumptions about what to do using other knowledge about similar situations. They tend to act by trial and error, exploring and experimenting with ways of doing things. As a result they may start off being slow, making errors and generally being inefficient. They may also act ir- rationally, following their superstitions and not thinking ahead to the consequences of their actions. In contrast, experts have much more knowledge and experience and are able to select optimal strategies for carrying out their tasks. They are likely to be able to think ahead more, considering what the consequences might be of opting for a particular move or solution (as do expert chess players).
  • 121.
    90 Chapter 3Understanding users 3.3 Applying knowledge from the physical world to the digital world As well as understanding the various cognitive processes that users engage in when interacting with systems, it is also useful to understand the way people cope with the demands of everyday life. A well known approach to applying knowledge about everyday psychology to interaction design is to emulate, in the digital world, the strategies and methods people commonly use in the physical world. An as- sumption is that if these work well in the physical world, why shouldn't they also work well in the digital world? In certain situations, this approach seems like a good idea. Examples of applications that have been built following this approach include electronic post-it notes in the form of "stickies," electronic "to-do" lists, and email reminders of meetings and other events about to take place. The stickies application displays different colored notes on the desktop in which text can be in- serted, deleted, annotated, and shufffed around, enabling people to use them to re- mind themselves of what they need to do-analogous to the kinds of externalizing they do when using paper stickies. Moreover, a benefit is that electronic stickies are more durable than paper ones-they don't get lost or fall off the objects they are stuck to, but stay on the desktop until explicitly deleted. In other situations, however, the simple emulation approach can turn out to be counter-productive, forcing users to do things in bizarre, inefficient, or inappropri- ate ways. This can happen when the activity being emulated is more complex than is assumed, resulting in much of it being oversimplified and not supported effec- tively. Designers may notice something salient that people do in the physical world and then fall into the trap of trying to copy it in the electronic world without think- ing through how and whether it will work in the new context (remember the poor design of the virtual calculator based on the physical calculator described in the previous chapter). Consider the following classic study of real-world behavior. Ask yourself, first, whether it is useful to emulate at the interface, and second, how it could be ex- tended as an interactive application. Tom Malone (1983) carried out a study of the "natural history" of physical of- fices. He interviewed people and studied their offices, paying particular attention to their filing methods and how they organized their papers. One of his findings was that whether people have messy offices or tidy offices may be more significant than people realize. Messy offices were seen as being chaotic with piles of papers every- where and little organization. Tidy offices, on the other hand, were seen as being well organized with good use of a filing system. In analyzing these two types of of- fices, Malone suggested what they reveal in terms of the underlying cognitive be- haviors of the occupants. One of his observations was that messy offices may appear chaotic but in reality often reflect a coping strategy by the person: docu- ments are left lying around in obvious places to act as reminders that something has to be done with them. This observation suggests that using piles is a fundamental strategy, regardless of whether you are a chaotic or orderly person. Such observations about people's coping strategies in the physical world bring to mind an immediate design implication about how to support electronic file
  • 122.
    3.3 Applying knowledgefrom the physical world to the digital world 91 management: to capitalize on the "pile" phenomenon by trying to emulate it in the electronic world. Why not let people arrange their electronic files into piles as they do with paper files? The danger of doing this is that it could heavily constrain the way people manage their files, when in fact there may be far more effective and flexible ways of filing in the electronic world. Mark Lansdale (1988) points out how introducing unstructured piles of electronic documents on a desktop would be counterproductive, in the same way as building planes to flap their wings in the way birds do (someone seriously thought of doing this). But there may be benefits of emulating the pile phenomenon by using it as a kind of interface metaphor that is extended to offer other functionality. How might this be achieved? A group of interface designers at Apple Computer (Mandler et al., 1992) tackled this problem by adopting the philosophy that they were going to build an application that went beyond physical-world capabilities, providing new functionality that only the computer could provide and that enhanced the interface. To begin their design, they carried out a detailed study of office behavior and ana- lyzed the many ways piles are created and used. They also examined how people use the default hierarchical file-management systems that computer operating sys- tems provide. Having a detailed understanding of both enabled them to create a conceptual model for the new functionality-which was to provide various interac- tive organizational elements based around the notion of using piles. These included providing the user with the means of creating, ordering, and visualizing piles of files. Files could also be encoded using various external cues, including date and color. New functionality that could not be achieved with physical files included the provision of a scripting facility, enabling files in piles to be ordered in relation to these cues (see Figure 3.8). Emulating real-world activity at the interface can be a powerful design strat- egy, provided that new functionality is incorporated that extends or supports the users in their tasks in ways not possible in the physical world. The key is really to understand the nature of the problem being addressed in the electronic world in re- lation to the various coping and externalizing strategies people have developed to deal with the physical world. portable computer Figure 3.8 The pile metaphor as it appears at the interface.
  • 123.
    92 Chapter 3 Understanding users 3.4 Conceptual frameworks for cognition In the previous section we described the pros and cons of applying knowledge of people's coping strategies in the physical world to the digital world. Another ap- proach is to apply theories and conceptual frameworks to interaction design. In this section we examine three of these approaches, which each have a different perspec- tive on cognition: mental models information processing external cognition 3.4.1 Mental models In Chapter 2 we pointed out that a successful system is one based on a conceptual model that enables users to readily learn a system and use it effectively. What hap- pens when people are learning and using a system is that they develop knowledge of how to use the system and, to a lesser extent, how the system works. These two kinds of knowledge are often referred to as a user's mental model. Having developed a mental model of an interactive product, it is assumed that people will use it to make inferences about how to carry out tasks when using the interactive product. Mental models are also used to fathom what to do when some- thing unexpected happens with a system and when encountering unfamiliar sys- tems. The more someone learns about a system and how it functions, the more their mental model develops. For example, TV engineers have a "deep" mental model of how TVs work that allows them to work out how to fix them. In contrast.
  • 124.
    3.4 Conceptual frameworksfor cognition 93 an average citizen is likely t o have a reasonably good mental model of how to oper- ate a T V but a "shallow" mental model of how it works. Within cognitive psychology, mental models have been postulated as internal constructions of some aspect of the external world that are manipulated enabling predictions and inferences to be made (Craik, 1943). This process is thought to in- volve the "fleshing out" and the "running" of a mental model (Johnson-Laird, 1983). This can involve both unconscious and conscious mental processes, where images and analogies are activated. o illustrate how we use mental models in our everyday reasoning, imagine the following (a) You arrive home from a holiday on a cold winter's night to a cold house. You have a small baby and you need to get the house warm as quickly as possible. Your house is centrally heated. Do you set the thermostat as high as possible or turn it to the de- sired temperature (e.g. 70°F)? (b) You arrive home from being out all night, starving hungry. You look in the fridge and find all that is left is an uncooked pizza. The instructions on the packet say heat the oven to 375°F and then place the pizza in the oven for 20 minutes. Your oven is elec- tric. How do you heat it up? Do you turn it to the specified temperature or higher? Comment Most people when asked the first question imagine the scenario in terms of what they would do in their own house and choose the first option. When asked why, a typical explanation that is given is that setting the temperature to be as high as possible increases the rate at which the room warms up. While many people may believe this, it is incorrect. Thermostats work by switching on the-heat and keeping it going at a constant speed until the desired tem- perature set is reached, at which point they cut out. They cannot control the rate at which heat is given out from a heating system. Left at a given setting, thermostats will turn the heat on and off as necessary to maintain the desired temperature. When asked the second question, most people say they would turn the oven to the speci- fied temperature and put the pizza in when they think it is at the desired temperature. Some people answer that they would turn the oven to a higher temperature in order to warm it up more quickly. Electric ovens work on the same principle as central heating and so turning the heat up higher will not warm it up any quicker. There is also the problem of the pizza burning if the oven is too hot! Why do people use erroneous mental models? It seems that in the above sce- narios, they are running a mental model based on a general valve theory of the way something works (Kempton, 1986). This assumes the underlying principle of "more is more": the more you turn or push something, the more it causes the desired ef- fect. This principle holds for a range of physical devices, such as taps and radio con- trols, where the more you turn them, the more water or volume is given. However, it does not hold for thermostats, which instead function based on the principle of an on-off switch. What seems to happen is that in everyday life people develop a core set of abstractions about how things work, and apply these to a range of de- vices, irrespective of whether they are appropriate.
  • 125.
    I 94 Chapter 3 Understanding users Using incorrect mental models to guide behavior is surprisingly common. Just watch people at a pedestrian crossing or waiting for an elevator (lift). How many times do they press the button? A lot of people will press it at least twice. When asked why, a common reason given is that they think it will make the lights change faster or ensure the elevator arrives. This seems to be another example of following the "more is more" philosophy: it is believed that the more times you press the but- ton, the more likely it is to result in the desired effect. Another common example of an erroneous mental model is what people do when the cursor freezes on their computer screen. Most people will bash away at all manner of keys in the vain hope that this will make it work again. However, ask them how this will help and their explanations are rather vague. The same is true when the TV starts acting up: a typical response is to hit the top of the box repeat- edly with a bare hand or a rolled-up newspaper. Again, ask people why and their reasoning about how this behavior will help solve the problem is rather lacking. The more one observes the way people interact with and behave towards inter- active devices, the more one realizes just how strange their behavior can get- especially when the device doesn't work properly and they don't know what to do. Indeed, research has shown that people's mental models of the way interactive de- vices work is poor, often being incomplete, easily confusable, based on inappropriate analogies, and superstition (Norman, 1983). Not having appropriate mental models available to guide their behavior is what causes people to become very frustrated- often resulting in stereotypical "venting" behavior like those described above. On the other hand, if people could develop better mental models of interactive systems, they would be in a better position to know how to carry out their tasks ef- ficiently and what to do if the system started acting up. Ideally, they should be able to develop a mental model that matches the conceptual model developed by the designer. But how can you help users to accomplish this? One suggestion is to edu- cate them better. However, many people are resistant to spending much time learning about how things work, especially if it involves reading manuals and other documentation. An alternative proposal is to design systems to be more transpar- ent, so that they are easier to understand. This doesn't mean literally revealing the guts of the system (cf. the way some phone handsets-see Figure 3.9 on Color Plate 4-and iMacs are made of transparent plastic to reveal the colorful electronic circuitry inside), but requires developing an easy-to-understand system image (see Chapter 2 for explanation of this term in relation to conceptual models). Specifi- cally, this involves providing: useful feedback in response to user input easy-to-understand and intuitive ways of interacting with the system In addition, it requires providing the right kind and level of information, in the form of: clear and easy-to-follow instructions appropriate online help and tutorials context-sensitive guidance for users, set at their level of experience, explaining how to proceed when they are not sure what to do at a given stage of a task.
  • 126.
    3.4 Conceptual frameworksfor cognition 95 ucrkr. barn iAe hcias of how OocOlr s~rrch A q ' larc & the nuny sbmmts of b s l r r rewits pipw. uw P&iur mweh, wweh by eatettpwy, ml othn r w c h featunr rr rwpkkrd. fiihrinq, intmutbnrl Wlr, nd other diilw optknr. lnformatipn w S~cSIweh Whrt m ZOIOh.dup a p s m "1%0 F w l i W y * ? TMrr fwSur61bn6 o h r s expbhd. i
  • 127.
    96 Chapter 3 Understanding users 3.4.2 information processing Another approach to conceptualizing how the mind works has been to use metaphors and analogies (see also Chapter 2). A number of comparisons have been made, including conceptualizing the mind as a reservoir, a telephone net- work, and a digital computer. One prevalent metaphor from cognitive psychology is the idea that the mind is an information processor. Information is thought to enter and exit the mind through a series of ordered processing stages (see Figure 3.11). Within these stages, various processes are assumed to act upon mental rep- resentations. Processes include comparing and matching. Mental representations are assumed to comprise images, mental models, rules, and other forms of knowl- edge. The information processing model provides a basis from which to make predic- tions about human performance. Hypotheses can be made about how long some- one will take to perceive and respond to a stimulus (also known as reaction time) and what bottlenecks occur if a person is overloaded with too much information. The best known approach is the human processor model, which models the cogni- tive processes of a user interacting with a computer (Card et al., 1983). Based on the information processing model, cognition is conceptualized as a series of pro- cessing stages, where perceptual, cognitive, and motor processors are organized in relation to one another (see Figure 3.12). The model predicts which cognitive processes are involved when a user interacts with a computer, enabling calculations to be made of how long a user will take to carry out various tasks. This can be very useful when comparing different interfaces. For example, it has been used to com- pare how well different word processors support a range of editing tasks. The information processing approach is based on modeling mental activities that happen exclusively inside the head. However, most cognitive activities involve people interacting with external kinds of representations, like books, documents, and computers-not to mention one another. For example, when we go home from wherever we have been we do not need to remember the details of the route be- cause we rely on cues in the environment (e.g., we know to turn left at the red house, right when the road comes to a T-junction, and so on). Similarly, when we are at home we do not have to remember where everything is because information is "out there." We decide what to eat and drink by scanning the items in the fridge, find out whether any messages have been left by glancing at the answering machine to see if there is a flashing light, and so on. To what extent, therefore, can we say that information processing models are truly representative of everyday cognitive activities? Do they adequately account for cognition as it happens in the real world and, specifically, how people interact with computers and other interactive devices? Input output or or stimuli response Figure 3.1 1 Human information processing model.
  • 128.
    3.4 Conceptual frameworksfor cognition 97 = pw,," 7 15-91 chunks 6 , r 7 15-2261 sec Eye movement = 230 170-7001msec Figure 3.1 2 The human proces- sor model. Several researchers have argued that existing information processing ap- proaches are too impoverished: The traditional approach to the study of cognition is to look at the pure intellect, isolated from distractions and from artificial aids. Experiments are performed in closed, isolated rooms, with a minimum of distracting lights or sounds, no other people to assist with the task, and no aids to memory or thought. The tasks are arbitrary ones, invented by the researcher. Model builders build simulations and descriptions of these isolated situations. The theoretical analyses are self-contained little structures, isolated from the world, isolated from any other knowledge or abilities ofthe person. (Norman, 1990, p. 5) Instead, there has been an increasing trend to study cognitive activities in the context in which they occur, analyzing cognition as it happens "in the wild"
  • 129.
    98 Chapter 3 Understanding users (Hutchins, 1995). A central goal has been to look at how structures in the environ- ment can both aid human cognition and reduce cognitive load. A number of alter- native frameworks have been proposed, including external cognition and distributed cognition. In this chapter, we look at the ideas behind external cogni- tion-which has focused most on how to inform interaction design (distributed cognition is described in the next chapter). 3.4.3 External cognition People interact with or create information through using a variety of external rep- resentations, e.g., books, multimedia, newspapers, web pages, maps, diagrams, notes, drawings, and so on. Furthermore, an impressive range of tools has been de- veloped throughout history to aid cognition, including pens, calculators, and com- puter-based technologies. The combination of external representations and physical tools have greatly extended and supported people's ability to carry out cognitive ac- tivities (Norman, 1993). Indeed, they are such an integral part that it is difficult to imagine how we would go about much of our everyday life without them. External cognition is concerned with explaining the cognitive processes involved when we interact with different external representations (Scaife and Rogers, 1996). A main goal is to explicate the cognitive benefits of using different representations for different cognitive activities and the processes involved. The main ones include: 1. externalizing to reduce memory load 2. computational offloading 3. annotating and cognitive tracing 1 . Externalizing to reduce memory load A number of strategies have been developed for transforming knowledge into external representations to reduce memory load. One such strategy is exter- nalizing things we find difficult to remember, such as birthdays, appointments, and addresses. Diaries, personal reminders and calendars are examples of cognitive ar- tifacts that are commonly used for this purpose, acting as external reminders of what we need to do at a given time (e.g., buy a card for a relative's birthday). Other kinds of external representations that people frequently employ are notes, like "stickies," shopping lists, and to-do lists. Where these are placed in the environment can also be crucial. For example, people often place post-it notes in prominent positions, such as on walls, on the side of computer monitors, by the front door and sometimes even on their hands, in a deliberate attempt to ensure they do remind them of what needs to be done or remembered. People also place things in piles in their offices and by the front door, indicating what needs to be done urgently and what can wait for a while. Externalizing, therefore, can help reduce people's memory burden by: reminding them to do something (e.g., to get something for their mother's birthday)
  • 130.
    3.4 Conceptual frameworksfor cognition 99 reminding them of what to do (e.g., to buy a card) reminding them of when to do something (send it by a certain date) 2. Computational offloading Computational offloading occurs when we use a tool or device in conjunction with an external representation to help us carry out a computation. An example is using pen and paper to solve a math problem. (a) Multiply 2 by 3 in your head. Easy. Now try multiplying 234 by 456 in your head. Not as easy. Try doing the sum using a pen and paper. Then try again with a calcula- tor. Why is it easier to do the calculation with pen and paper and even easier with a calculator? (b) Try doing the same two sums using Roman numerals. Comment (a) Carrying out the sum using pen and the paper is easier than doing it in your head be- cause you "offload" some of the computation by writing down partial results and using them to continue with the calculation. Doing the same sum with a calculator is even easier, because it requires only eight simple key presses. Even more of the com- putation has been offloaded onto the tool. You need only follow a simple internal- ized procedure (key in first number, then the multiplier sign, then next number and finally the equals sign) and then read of the result from the external display. (b) Using roman numerals to do the same sum is much harder. 2 by 3 becomes 1 x 1 1 1 1, and 234 by 456 becomes CCXXXllll X CCCCXXXXXVI. The first calculation may be possible to do in your head or on a bit of paper, but the second is incredibly diffi- cult to do in your head or even on a piece of paper (unless you are an expert in using Roman numerals or you "cheat" and transform it into Arabic numerals). Calculators do not have Roman numerals so it would be impossible to do on a calculator. Hence, it is much harder to perform the calculations using Roman numerals than alge- braic numerals-even though the problem is equivalent in both conditions. The reason for this is the two kinds of representation transform the task into one that is easy and more diffi- cult, respectively. The kind of tool used also can change the nature of the task to being more or less easy. 3. Annotating and cognitive tracing Another way in which we externalize our cognition is by modifying representations to reflect changes that are taking place that we wish to mark. For example, people often cross things off in a to-do list to show that they have been completed. They may also reorder objects in the environment, say by creating different piles as the nature of the work to be done changes. These two kinds of modification are called annotating and cognitive tracing: Annotating involves modifying external representations, such as crossing off or underlining items.
  • 131.
    100 Chapbr 3 Understanding users Cognitive tracing invdves externally manipulating items into different orders or structures. Annotating is often used when people go shopping. People usually begin their shopping by planning what they are going to buy. This often involves looking in their cupboards and fridge to see what needs stocking up. However, many people are aware that they won't remember all this in their heads and so often externalize it as a written shopping list. The act of writing may also remind them of other items that they need to buy that they may not have noticed when looking through the cupboards. When they actually go shopping at the store, they may cross off items on the shopping list as they are placed in the shopping basket or cart. This provides them with an annotated externalization, allowing them to see at a glance what items are still left on the list that need to be bought. Cognitive tracing is useful in situations where the current state of play is in a state of flux and the person is trying to optimize their current position. This typi- cally happens when playing games, such as: in a card game, the continued rearrangement of a hand of cards into suits, as- cending order, or same numbers to help determine what cards to keep and which to play, as the game progresses and tactics change in Scrabble, where shuffling around letters in the tray helps a person work out the best word given the set of letters (Maglio et al., 1999) It is also a useful strategy for letting users know what they have studied in an online learning package. An interactive diagram can be used to highlight all the nodes vis- ited, exercises completed, and units still to study. A genera1 cognitive principle for interaction design based on the external cog- nition approach is to provide external representations at the interface that reduce memory load and facilitate computational offloading. Different kinds of informa- tion visualizations can be developed that reduce the amount of effort required to make inferences about a given topic (e.g., financial forecasting, identifying pro-
  • 132.
    3.5 Informing design: from theory to practice 101 Figure 3.13 Information visualization. Visual In- sights' site map showing web page use. Each page appears as a 3D color rod and is positioned radially, with the position showing the location of the page in the site. gramming bugs). In so doing, they can extend or amplify cognition, allowing people to perceive and do activities that they couldn't do otherwise. For example, a num- ber of information visualizations have been developed that present masses of data in a form that makes it possible to make cross comparisons between dimensions at a glance (see Figure 3.13). GUIs can also be designed to reduce memory load sig- nificantly, enabling users to rely more on external representations to guide them through their interactions. 3.5 Informing design: from theory to practice Theories, models, and conceptual frameworks provide abstractions for thinking about phenomena. In particular, they enable generalizations to be made about cog- nition across different situations. For example, the concept of mental models pro- vides a means of explaining why and how people interact with interactive products in the way they do across a range of situations. The information processing model has been used to predict the usability of a range of different interfaces. Theory in its pure form, however, can be difficult to digest. The arcane terminol- ogy and jargon used can be quite off-putting to those not familiar with it. It also re- quires much time to become familiar with it-something that designers and engineers can't afford when working to meet deadlines. Researchers have tried to help out by making theory more accessible and practical. This has included translating it into: design principles and concepts design rules analytic methods design and evaluation methods
  • 133.
    102 Chapter 3 Understanding users A main emphasis has been on transforming theoretical knowledge into tools that can be used by designers. For example, Card et al's (1983) psychological model of the human processor, mentioned earlier, was simplified into another model called GOMS (an acronym standing for goals, operators, methods, and selection rules). The four components of the GOMS model describe how a user performs a computer-based task in terms of goals (e.g., save a file) and the selection of meth- ods and operations from memory that are needed to achieve them. This model has also been transformed into the keystroke level method that essentially provides a formula for determining the amount of time each of the methods and operations takes. One of the main attractions of the GOMS approach is that it allows quantita- tive predictions to be made (see Chapter 14 for more on this). Another approach has been to produce various kinds of design principles, such as the ones we discussed in Chapter 1. More specific ones have also been proposed for designing multimedia and virtual reality applications (Rogers and Scaife, 1998). Thomas Green (1990) has also proposed a framework of cognitive dimensions. His overarching goal is to develop a set of high-level concepts that are both valuable and easy to use for evaluating the designs of informational artifacts, such as software ap- plications. An example dimension from the framework is "viscosity," which simply refers to resistance to local change. The analogy of stirring a spoon in syrup (high viscosity) versus milk (low viscosity) quickly gives the idea. Having understood the concept in a familiar context, Green then shows how the dimension can be further explored to describe the various aspects of interacting with the information structure of a software application. In a nutshell, the concept is used to examine "how much extra work you have to do if you change your mind." Different kinds of viscosity are described, such as knock-on viscosity, where performing one goal-related action makes necessary the performance of a whole train of extraneous actions. The reason for this is constraint density: the new structure that results from performing the first action violates some constraint that must be rectified by the second action, which in turn leads to a different violation, and so on. An example is editing a document using a word processor without widow control. The action of inserting a sentence at the beginning of the document means that the user must then go through the rest of the document to check that all the headers and bodies of text still lie on the same page.
  • 134.
    Summary 103 Assignment The aim of this assignment is for you to elicit mental models from people. In particular, the goal is for you to understand the nature ofpeople's knowledge about an interactive product in terms of how to use it and how it works. (a) First, elicit your own mental model. Write down how you think a cash machine (ATM) works. Then answer the following questions (abbreviated from Payne, 1991): How much money are you allowed to take out? If you took this out and then went to another machine and tried to withdraw the same amount, what would happen? What is on your card? How is the information used? What happens if you enter the wrong number? Why are there pauses between the steps of a transaction? How long are they? What happens if you type ahead during the pauses? What happens to the card in the machine? Why does it stay inside the machine? Do you count the money? Why? Next, ask two other people the same set of questions. (b) Now analyze your answers. Do you get the same or different explanations? What do the findings indicate? How accurate are people's mental models of the way ATMs work? How transparent are the ATM systems they are talking about? (c) Next, try to interpret your findings with respect to the design of the system. Are any interface features revealed as being particularly problematic? What design recom- mendations do these suggest? (d) Finally, how might you design a better conceptual model that would allow users to develop a better mental model of ATMs (assuming this is a desirable goal)? This exercise is based on an extensive study carried out by Steve Payne on people's mental models of ATMs. He found that people do have mental models of ATMs, frequently resorting to analogies to explain how they work. Moreover, he found that people's explanations were highly variable and based on ad hoc reasoning. Summary This chapter has explained the importance of understanding users, especially their cognitive aspects. It has described relevant findings and theories about how people carry out their everyday activities and how to learn from these when designing interactive products. It has provided illustrations of what happens when you design systems with the user in mind and what happens when you don't. It has also presented a number of conceptual frameworks that allow ideas about cognition to be generalized across different situations. Key points Cognition comprises many processes, including thinking, attention, learning, memory, perception, decision-making, planning, reading, speaking, and listening.
  • 135.
    104 Chapter 3 Understanding users The way an interface is designed can greatly affect how well people can perceive, attend, learn, and remember how to carry out their tasks. The main benefits of conceptual frameworks and cognitive theories are that they can ex- plain user interaction and predict user performance. T h e conceptual framework of mental models provides a way of conceptualizing the user's understanding of the system. Research findings and theories from cognitive psychology need t o b e carefully reinter- preted in the context of interaction design t o avoid oversimplification and misapplication. Further reading MULLET, K., AND SANO, (1995) Designing Visual Inter- D. man provide many key findings and observations about peo- faces. New Jersey: SunSoft Press. This is an excellent book ple's behavior and their use of artifacts. They are written in on the do's and don'ts of interactive graphical design. It in- a stimulating and thought-provoking way, using many exam- cludes many concrete examples that have followed (or not) ples from everyday life to illustrate conceptual issues. He design principles based on cognitive issues. also presents a number of psychological theories, including CARROLL, J. (1991) (ed.) Designing Interaction. Cambridge: external cognition, in an easily digestible form. Cambridge University Press. This edited volume provides a ROGERS, Y., RUTHERFORD, A,, AND BIBBY, (1992) (eds.) P. good collection of papers on cognitive aspects of interaction Models in the Mind. Orlando: Academic Press. This volume design. provides a good collection of papers on eliciting, interpret- NORMAN, D. (1988) The Psychology of Everyday Things. ing, and theorizing about mental models in HCI and other New York: Basic Books. domains. NORMAN, D. (1993) Things that Make Us Smart. Reading, For more on dynalinking and interactivity see MA: Addison-Wesley. These two early books by Don Nor- www.cogs.susx.ac.uklEC0i
  • 136.
    Chapter 4 Designing for coIIaboration and communication 4.1 Introduction 4.2 Social mechanisms in communication and collaboration 4.2.1 Conversational mechanisms 4.2.2 Designing collaborative technologies to support conversation 4.2.3 Coordination mechanisms 4.2.4 Designing collaborative technologies to support coordination 4.2.5 Awareness mechanisms 4.2.6 Designing collaborative technologies to support awareness 4.3 Ethnographic studies of collaboration and communication 4.4 Conceptual frameworks 4.4.1 The language/action framework 4.4.2 Distributed cognition 4.1 Introduction Imagine going into school or work each day and sitting in a room all by yourself with no distractions. At first, it might seem blissful. You'd be able to get on with your work. But what if you discovered you had no access to email, phones, the In- ternet and other people? On top of that there is nowhere to get coffee. How long would you last? Probably not very long. Humans are inherently social: they live to- gether, work together, learn together, play together, interact and talk with each other, and socialize. It seems only natural, therefore, to develop interactive systems that support and extend these different kinds of sociality. There are many kinds of sociality and many ways of studying it. In this chapter our focus is on how people communicate and collaborate in their working and everyday lives. We examine how collaborative technologies (also called group- ware) have been designed to support and extend communication and collabora- tion. We also look at the social factors that influence the success or failure of user adoption of such technologies. Finally, we examine the role played by ethnographic studies and theoretical frameworks for informing system design.
  • 137.
    106 Chapter 4 Design for collaboration and communication The main aims of this chapter are to: Explain what is meant by communication and collaboration. I Describe the main kinds of social mechanisms that are used by people to communicate and collaborate. Outline the range of collaborative systems that have been developed to sup- port this kind of social behavior. Consider how field studies and socially-based theories can inform the design of collaborative systems. I 4.2 Social mechanisms in communication and collaboration I l A fundamental aspect of everyday life is talking, during which we pass on knowl- edge to each other. We continuously update each other about news, changes, and developments on a given project, activity, person, or event. For example, friends and families keep each other posted on what's happening at work, school, at the pub, at the club, next door, in soap operas, and in the news. Similarly, people who work together keep each other informed about their social lives and everyday hap- penings-as well as what is happening at work, for instance when a project is about to be completed, plans for a new project, problems with meeting deadlines, rumors about closures, and so on. The kinds of knowledge that are circulated in different social circles are di- verse, varying among social groups and across cultures. The frequency with which knowledge is disseminated is also highly variable. It can happen continuously throughout the day, once a day, weekly or infrequently. The means by which com- munication happens is also flexible-it can take place via face to face conversa- tions, telephone, videophone, messaging, email, fax, and letters. Non-verbal communication also plays an important role in augmenting face to face conversa- tion, involving the use of facial expressions, back channeling (the "aha's" and "umms"), voice intonation, gesturing, and other kinds of body language. All this may appear self-evident, especially when one reflects on how we inter- act with one another. Less obvious is the range of social mechanisms and practices that have evolved in society to enable us to be social and maintain social order. Various rules, procedures, and etiquette have been established whose function is to let people know how they should behave in social groups. Below we describe three main categories of social mechanisms and explore how technological systems have been and can be designed to facilitate these: the use of conversational mechanisms to facilitate the flow of talk and help overcome breakdowns during it the use of coordination mechanisms to allow people to work and interact together the use of awareness mechanisms to find out what is happening, what others are doing and, conversely, to let others know what is happening
  • 138.
    4.2 Social mechanismsin communication and collaboration 107 4.2.1 Conversational mechanisms Talking is something that is effortless and comes naturally to most people. And yet holding a conversation is a highly skilled collaborative achievement, having many of the qualities of a musical ensemble. Below we examine what makes up a conver- sation. We begin by examining what happens at the beginning: A: Hi there. B: Hi! C: Hi. A: All right? C: Good. How's it going? A: Fine, how are you? C: Good. B: OK. How's life treating you? Such mutual greetings are typical. A dialog may then ensue in which the partic- ipants take turns asking questions, giving replies, and making statements. Then when one or more of the participants wants to draw the conversation to a close, they do so by using either implicit or explicit cues. An example of an implicit cue is when a participant looks at his watch, signaling indirectly to the other participants that he wants the conversation to draw to a close. The other participants may choose to acknowledge this cue or carry on and ignore it. Either way, the first par- ticipant may then offer an explicit signal, by saying, "Well, I must be off now. Got work to do," or, "Oh dear, look at the time. Must dash. Have to meet someone." Following the acknowledgment by the other participants of such implicit and ex- plicit signals, the conversation draws to a close, with a farewell ritual. The different participants take turns saying, "Bye," "Bye then," "See you," repeating themselves several times, until they finally separate. Such conversational mechanisms enable people to coordinate their "talk" with one another, allowing them to know how to start and stop. Throughout a conversa- tion further "turn-taking" rules are followed, enabling people to know when to lis- ten, when it is their cue to speak, and when it is time for them to stop again to allow the others to speak. Sacks, Schegloff and Jefferson (1978)-who are famous for their work on conversation analysis-describe these in terms of three basic rules: rule 1- current speaker chooses the next speaker by asking an opinion, the question, or request rule 2-another person decides to start speaking rule 3- current speaker continues talking the The rules are assumed to be applied in the above order, so that whenever there is an opportunity for a change of speaker to occur (e.g., someone comes to the end of a sentence), rule 1 is applied. If the listener to whom the question or opinion is addressed does not accept the offer to take the floor, the second rule is applied and
  • 139.
    108 Chapter 4 Design for collaboration and communication someone else taking part in the conversation may take up the opportunity and offer a view on the matter. If this does not happen then the third rule is applied and the current speaker continues talking. The rules are cycled through recursively until someone speaks again. To facilitate rule following, people use various ways of indicating how long they are going to talk and on what topic. For example, a speaker might say right at the beginning of their turn in the conversation that he has three things to say. A speaker may also explicitly request a change in speaker by saying, "OK, that's all I want to say on that matter. So, what do you think?" to a listener. More subtle cues to let others know that their turn in the conversation is coming to an end include the lowering or raising of the voice to indicate the end of a question or the use of phrases like, "You know what I mean?" or simply, "OK?" Back channeling (uh- huh, mmm), body orientation (e.g., moving away from or closer to someone), gaze (staring straight at someone or glancing away), and gesture (e.g. raising of arms) are also used in different combinations when talking, to signal to others when someone wants to hand over or take up a turn in the conversation. Another way in which conversations are coordinated and given coherence is through the use of adjacency pairs (Shegloff and Sacks, 1973). Utterances are as- sumed to come in pairs in which the first part sets up an expectation of what is to come next and directs the way in which what does come next is heard. For exam- ple, A may ask a question to which B responds appropriately: A: So shall we meet at 8:00? B: Um, can we make it a bit later, say 8:30? Sometimes adjacency pairs get embedded in each other, so it may take some time for a person to get a reply to their initial request or statement: A: So shall we meet at 8:00? B: Wow, look at him. A: Yes, what a funny hairdo! B: Um, can we make it a bit later, say 8:30? For the most part people are not aware of following conversational mechanisms, and would be hard pressed to articulate how they can carry on a conversation. Fur- thermore, people don't necessarily abide by the rules all the time. They may inter- rupt each other or talk over each other, even when the current speaker has clearly indicated a desire to hold the floor for the next two minutes to finish an argument. Alternatively, a listener may not take up a cue from a speaker to answer a question or take over the conversation, but instead continue to say nothing even though the speaker may be making it glaringly obvious it is the listener's turn to say some- thing. Many a time a teacher will try to hand over the conversation to a student in a seminar, by staring at her and asking a specific question, only to see the student look at the floor, and say nothing. The outcome is an embarrassing silence, fol- lowed by either the teacher or another student picking up the conversation again. Other kinds of breakdowns in conversation arise when someone says something that is ambiguous and the other person misinterprets it to mean something else. In
  • 140.
    4.2 Social mechanismsin communication and collaboration 109 such situations the participants will collaborate to overcome the misunderstanding by using repair mechanisms. Consider the following snippet of conversation be- tween two people: A: Can you tell me the way to get to the Multiplex Ranger cinema? B: Yes, you go down here for two blocks and then take a right (pointing to the right), go on till you get to the lights and then it is on the left. A: Oh, so I go along here for a couple of blocks and then take a right and the cinema is at the lights (pointing ahead of him)? A: No, you go on this street for a couple of blocks (gesturing more vigorously than before to the street to the right of him while emphasizing the word "this"). B: Ahhhh! I thought you meant that one: so it's this one (pointing in same di- rection as the other person). A: Uh-hum, yes that's right, this one. Detecting breakdowns in conversation requires the speaker and listener to be at- tending to what the other says (or does not say). Once they have understood the na- ture of the failure, they can then go about repairing it. As shown in the above example, when the listener misunderstands what has been communicated, the speaker repeats what she said earlier, using a stronger voice intonation and more ex- aggerated gestures. This allows the speaker to repair the mistake and be more ex- plicit to the listener, allowing her to understand and follow better what they are saying. Listeners may also signal when they don't understand something or want fur- ther clarification by using various tokens, like "Huh?", "Quoi?" or "What?" (Sche- gloff, 1982) together with giving a puzzled look (usually frowning). This is especially the case when the speaker says something that is vague. For example, they might say "I want it" to their partner, without saying what it is they want. The partner may reply using a token or, alternatively, explicitly ask, "What do you mean by it?" Taking turns also provides opportunities for the listener to initiate repair or re- quest clarification, or for the speaker to detect that there is a problem and to initi- ate repair. The listener will usually wait for the next turn in the conversation before interrupting the speaker, to give the speaker the chance to clarify what is being said by completing the utterance (Suchman, 1987). How do people repair breakdowns in conversations when using the phone or email? Comment In these settings people cannot see each other and so have to rely on other means of repair- ing their conversations. Furthermore, there are more opportunities for breakdowns to occur and fewer mechanisms available for repair. When a breakdown occurs over the phone, peo- ple will often shout louder, repeating what they said several times, and use stronger intbna- tion. When a breakdown occurs via email, people may literally spell out what they meant, making things much more explicit in a subsequent email. If the message is beyond repair they may resort to another mode of communication that allows greater flexibility of expies- sion, either telephoning or speaking to the recipient face to face.
  • 141.
    1 10 Chapter 4 Design for collaboration and communication Kinds of conversations Conversations can take a variety of forms, such as an argument, a discussion, a heated debate, a chat, a t6te-8-tete, or giving someone a "telling off." A well- known distinction in conversation types is between formal and informal communi- cation. Formal communication involves assigning certain roles to people and prescribing a priori the types of turns that people are allowed to take in a conversa- tion. For example, at a board meeting, it is decided who is allowed to speak, who speaks when, who manages the turn-taking, and what the participants are allowed to talk about. In contrast, informal communication is the chat that goes on when people so- cialize. It also commonly happens when people bump into each other and talk briefly. This can occur in corridors, at the coffee machine, when waiting in line, and walking down the street. Informal conversations include talking about impersonal things like the weather (a favorite) and the price of living, or more personal things, like how someone is getting on with a new roommate. It also provides an opportu- nity to pass on gossip, such as who is going out to dinner with whom. In office set- tings, such chance conversations have been found to serve a number of functions, including coordinating group work, transmitting knowledge about office culture, establishing trust, and general team building (Kraut et al, 1990). It is also the case that people who are in physical proximity, such as those whose offices or desks are close to one another, engage much more frequently in these kinds of informal chats than those who are in different corridors or buildings. Most companies and organi- zations are well aware of this and often try to design their office space so that peo- ple who need to work closely together are placed close to one another in the same physical space. 4.2.2 Designing collaborative technologies to support conversation As we have seen, "talk" and the way it is managed is integral to coordinating social activities. One of the challenges confronting designers is to consider how the differ- ent kinds of communication can be facilitated and supported in settings where there may be obstacles preventing it from happening "naturally." A central con- cern has been to develop systems that allow people to communicate with each other when they are in physically different locations and thus not able to communi- cate in the usual face to face manner. In particular, a key issue has been to deter- mine how to allow people to carry on communicating as if they were in the same place, even though they are geographically separated-sometimes many thousands of miles apart. Email, videoconferencing, videophones, computer conferencing, chatrooms and messaging are well-known examples of some of the collaborative technologies that have been developed to enable this to happen. Other less familiar systems are collaborative virtual environments (CVEs) and media spaces. CVEs are virtual worlds where people meet and chat. These can be 3D graphical worlds where users explore rooms and other spaces by teleporting themselves around in the guise of avatars (See Figure 4.1 on Color Plate 5), or text and graphical "spaces" (often called MUDS and MOOS) where users communicate with each other via some
  • 142.
    4.2 Social mechanismsin communication and collaboration 111 form of messaging. Media spaces are distributed systems comprising audio, video, and computer systems that "extend the world of desks, chairs, walls and ceilings" (Harrison et al., 1997), enabling people distributed over space and time to commu- nicate and interact with one another as if they were physically present. The various collaborative technologies have been designed to support different kinds of communication, from informal to formal and from one-to-one to many-to-many conversations. Collectively, such technologies are often referred to as computer- mediated communication (CMC). Do you think it is better to develop technologies that will allow people to talk at a dis- tance as if they were face to face, or to develop technologies that will support new ways of conversing? Comment On the one hand, it seems a good idea to develop technologies supporting people communi- cating at a distance that emulate the way they hold conversations in face to face situations. After all, this means of communicating is so well established and second nature to people. Phones and videoconferencing have been developed to essentially support face to face con- versations. It is important to note, however, that conversations held in this way are not the same as when face to face. People have adapted the way they hold conversations to fit in with the constraints of the respective technologies. As noted earlier, they tend to shout more when misunderstood over the phone. They also tend to speak more loudly when talking on the phone, since they can't monitor how well the person can hear them at the other end of the phone. Likewise, people tend to project themselves more when videoconferencing. Turn-taking appears to be much more explicit, and greetings and farewells more ritualized. On the other hand, it is interesting to look at how the new communication technologies have been extending the way people talk and socialize. For example, SMS text messaging has provided people with quite different ways of having a conversation at a distance. People (especially teenagers) have evolved a new form of fragmentary conversation (called "tex- ting") that they continue over long periods. The conversation comprises short phrases that are typed in, using the key pad, commenting on what each is doing or thinking, allowing the other to keep posted on current developments. These kinds of "streamlined" conversations are coordinated simply by taking turns sending and receiving messages. Online chatting has also enabled effectively hundreds and even thousands of people to take part in the same conversations, which is not possible in face to face settings. The range of systems that support computer-mediated communication is quite diverse. A summary table of the different types is shown in Table 4.1, highlighting how they support, extend and differ from face to face communication. A conven- tionally accepted classification system of CMC is to categorize them in terms of ei- ther synchronous or asynchronous communication. We have also included a third category: systems that support CMC in combination with other collaborative ac- tivities, such as meetings, decision-making, learning, and collaborative authoring of documents. Although some communication technologies are not strictly speak- ing computer-based (e.g., phones, video-conferencing) we have included these in the classification of CMC, as most now are display-based and interacted with or controlled via an interface. (For more detailed overviews of CMC, see Dix et al. (Chapter 13,1998) and Baecker et al. (Part 111 and IV, 1993).
  • 143.
    Table 4.1 Classificationof computer-mediated communication (CMC) into three types: (I) Synchronous communication, (ii) Asynchronous communication and (iii) CMC combined with other activity i. Synchronous communication Where conversations in real time are supported by letting people talk with each other either using their voices or through typing. Both modes seek to support non-verbal communication to varying degrees. Examples: Talking with voice: video phones, video conferencing (desktop or wall), media spaces. Talking via typing: text messaging (typing in messages using cell phones), instant messaging (real-time interaction via PCs) chatrooms, collaborative virtual environments (CVEs). New kinds of functionality: CVEs allow communication to take place via a combination of graphical representations of self (in the form of avatars) with a separate chatbox or overlaying speech bubbles. CVEs allow people to represent themselves as virtual characters, taking on new personas (e.g., opposite gender), and expressing themselves in ways not possible in face-to-face settings. CVEs, MUDSand chatrooms have enabled new forms of conversation mechanisms, such as multi-turn-taking, where a number of people can contribute and keep track of a multi-streaming text-based conversation. Instant messaging allows users to multitask by holding numerous conversations at once. Benefits: Not having to physically face people may increase shy people's confidence and self-esteem to converse more in "virtual" public. It allows people to keep abreast of the goings-on in an organization without having to move from their office. It enables users to send text and images instantly between people using instant messaging. In offices, instant messaging allows users to fire off quick questions and answers without the time lag of email or phone-tag. Problems: Lack of adequate bandwidth has plagued video communication, resulting in poor-quality images that frequently break up, judder, have shadows, and appear as unnatural images. It is difficult to establish eye contact (normally an integral and subconscious part of face-to-face conversations) in CVEs, video conferencing, and videophones. Having the possibility of hiding behind a persona, a name, or an avatar in a chatroom gives people the opportunity to behave differently. Sometimes this can result in people becoming aggressive or intrusive. ii. Asynchronous communication Where communication between participants takes place remotely and at different times. It relies not on time- dependent turn-taking but on participants initiating communication and responding to others when they want or are able to do so. Examples: email, bulletin boards, newsgroups, computer conferencing New kinds offunctionality: Attachments of different sorts (including annotations, images, music) for email and computer conferencing can be sent. Messages can be archived and accessed using various search facilities. Benefits: Ubiquity: Can read any place, any time. Flexibility: Greater autonomy and control of when and how to respond, so can attend to it in own time rather than having to take a turn in a conversation at a particular cue. Powerful: Can send the same message to many people. Makes some things easier to say: Do not have to interact with person so can be easier to say things than when face to face (e.g., announcing sudden death of colleague, providing feedback on someone's performance). (Continued) 112
  • 144.
    Table 4.1 (Continued) - - - - Problems: Flaming: When a user writes incensed angry email expressed in uninhibited language that is much stronger than normally used when interacting with the same person face to face. This includes the use of impolite statements, exclamation marks, capitalized sentences or words, swearing, and superlatives. Such "charged" communication can lead to misunderstandings and bad feelings among the recipients. Overload: Many people experience message overload, receiving over 30 emails or other messages a day. They find it difficult to cope and may overlook an important message while working through their ever increasing pile of email-especially if they have not read it for a few days. Various interface mechanisms have been designed to help people manage their email better, including filtering, threading, and the use of signaling to indicate the level of importance of a message (via the sender or recipient), through color coding, bold font, or exclamation marks placed beside a message. False expectations: An assumption has evolved that people will read their messages several times a day and reply to them there and then. However, many people have now reverted to treating email more like postal mail, replying when they have the time to do so. iii. CMC combined with other activity People often talk with each other while carrying out other activities. For example, designing requires people to brainstorm together in meetings, drawing on whiteboards, making notes, and using existing designs. Teaching involves talking with students as well as writing on the board and getting students to solve problems collaboratively. Various meeting- and decision- support systems have been developed to help people work or learn while talking together. Examples: Customized electronic meeting rooms have been built that support people in face-to-face meetings, via the use of networked workstations, large public displays, and shared software tools, together with various techniques to help decision-making. One of the earliest systems was the University of Arizona's Groupsystem (see Figure 4.2). -- - - - White board Wall mounted projectioiscreen White board Facilitator console and network file server Work / Figure 4.2 Schematic diagram of a group meeting room, showing relationship of work- station, whiteboards and video projector. (Continued) 113
  • 145.
    1 14 Chapter 4 Design for collaboration and communication Table 4.1 (Continued) Figure 4.3 An ACTIVBoard whiteboard developed by Promethean (U.K. company) that allows children to take control of the front-of-class display. This allows them to add comments and type in queries, rather than having to raise their hands and hope the teacher sees them. Networked classrooms: Recently schools and universities have realized the potential of using combinations of technologies to support learning. For example, wireless communication, portable devices and interactive whiteboards are being integrated in classroom settings to allow the teacher and students to learn and communicate with one another in novel interactive ways (see Figure 4.3). Argumentation tools which record the design rationale and other arguments used in a discussion that lead to decisions in a design (e.g. gIBIS, Conklin and Begeman, 1989). These are mainly designed for people working in the same physical location. Shared authoring and drawing tools that allow people to work on the same document at the same time. This can be remotely over the web (e.g., shared authoring tools like Shredit) or on the same drawing surface in the same room using multiple mouse cursors (e.g., KidPad, Benford et al., 2000). New kinds of functionality: Allows new ways of collaboratively creating and editing documents. Supports new forms of collaborative learning. Integrates different kinds of tools. Benefits: Supports talking while carrying out other activities at the same time, allowing multi-tasking-which is what happens in face-to-face settings. Speed and efficiency: allows multiple people to be working a n same document at same time. Greater awareness: allows users to see how one another are progressing in real time. Problems: WYSIWIS (what you see is what I see): It can be difficult to see what other people are referring to when in remote locations, especially if the document is large and different users have different parts of the document on their screens. Floor control: Users may want to work on the same piece of text or design, potentially resulting in file conflicts. These can be overcome by developing various social and technological floor-control policies.
  • 146.
    4.2 Social mechanismsin communication and collaboration 1 15 I e of the earliest technological innovations (besides the telephone and telegraph) devel- ed for supporting conversations at a distance was the videophone. Despite numerous at- 1 tempts by the various phone companies to introduce them over the last 50 years (see Figure 4.4), they have failed each time. Why do you think this is so? 1 Comment One of the biggest problems with commercial videophones is that the bandwidth is too low, 1 resulting in poor resolution and slow refresh rate. The net effect is the display of unaccept- able images: the person in the picture appears to move in sudden jerks; shadows are left be- hind when a speaker moves, and it is difficult to read lips or establish eye contact. There is also the social acceptability issue of whether people want to look at pocket-sized images of each other when talking. Sometimes you don't want people to see what state you are in or where you are. Another innovation has been to develop systems that allow people to com- municate and interact with each other in ways not possible in the physical world. Rather than try to imitate or facilitate face to face communication (like the above systems), designers have tried to develop new kinds of interactions. For ex- ample, ClearBoard was developed to enable facial expressions of participants to be made visible to others by using a transparent board that showed their face to the others (Ishii et al., 1993). HyperMirror was designed to provide an environ- ment in which the participants could feel they were in the same virtual place even Figure 4.4 (a) One of British Telecom's early videophones and (b) a recent mobile "visual- phone" developed in Japan.
  • 147.
    - - I 1 16 Chapter 4 Design for collaboration and communication I
  • 148.
    4.2 Social mechanismsin communication and collaboration 1 17 I
  • 149.
    1 18 Chapter4 Design for collaboration and communication Figure 4.7 Hypermirror in action, showing perception of virtual personal space. (a) A I woman is in one room (indicated by arrow on screen), (b) while a man and another woman in the other room chat to each other. They move apart when they notice they are "overlap- ping" her and (c) virtual personal space is established. though they were physically in different places (Morikawa and Maesako, 1998). Mirror reflections of people in different places were synthesized and projected onto a single screen, so that they appeared side by side in the same virtual space. In this way, the participants could see both themselves and others in the same seamless virtual space. Observations of people using the system showed how quickly they adapted to perceiving themselves and others in this way. For exam- ple, participants quickly became sensitized to the importance of virtua1,personal space, moving out of the way if they perceived they were overlapping someone else on the screen (see Figure 4.7). 4.2.3 Coordination mechanisms Coordination takes place when a group of people act or interact together to achieve something. For example, consider what is involved in playing a game of basketball. Teams have to work out how to play with each other and to plan a set of tactics that they think will outwit the other team. For the game to proceed both teams need to follow (and sometimes contravene) the rules of the game. An in- credible amount of coordination is required within a team and between the com- peting teams in order to play. In general, collaborative activities require us to coordinate with each other, whether playing a team game, moving a piano, navigating a ship, working on a large software project, taking orders and serving meals in a restaurant, constructing a bridge or playing tennis. In particular, we need to figure out how to interact with one another to progress with our various activities. To help us we use a number of coordinating mechanisms. Primarily, these include: verbal and non-verbal communication schedules, rules and conventions shared external representations
  • 150.
    4.2 Social mechanismsin communication and collaboration 1 19 1 Verbal and non-verbal communication When people are working closely together they talk to each other, issuing com- I mands and letting others know how they are progressing with their part. For exam- ple, when two or more people are collaborating together, as in moving a piano, they shout to each other commands like "Down a bit, left a bit, now straight for- ward" to coordinate their actions with each other. As in a conversation, nods, shakes, winks, glances, and hand-raising are also used in combination with such co- ordination "talk" to emphasize and sometimes replace it. In formal settings, like meetings, explicit structures such as agendas, memos, and minutes are employed to coordinate the activity. Meetings are chaired, with secretaries taking minutes to record what is said and plans of actions agreed upon. Such minutes are subsequently distributed to members to remind them of what was agreed in the meeting and for those responsible to act upon what was agreed. For time-critical and routinized collaborative activities, especially where it is difficult to hear others because of the physical conditions, gestures are fre- quently used (radio-controlled communication systems may also be used). Vari- ous kinds of hand signals have evolved, with their own set of standardized syntax and semantics. For example, the arm and baton movements of a conductor coor- dinate the different players in an orchestra, while the arm and baton movements of a ground marshal at an airport signal to a pilot how to bring the plane into its allocated gate. uch communication is non-verbal? Watch a soap opera on the TV and turn down the and look at the kinds and frequency of gestures that are used. Are you able to un- derstand what is going on? How do radio soaps compensate for not being able to use non- verbal gestures? How do people compensate when chatting online? Comment Soaps are good to watch for observing non-verbal behavior as they tend to be overcharged, with actors exaggerating their gestures and facial expressions to convey their emotions. It is often easy to work out what kind of scene is happening from their posture, body move- ment, gestures, and facial expressions. In contrast, actors on the radio use their voice a lot more, relying on intonation and surrounding sound effects to help convey emotions. When chatting online, people use emoticons and other specially evolved verbal codes. Schedules, rules, and conventions A common practice in organizations is to use various kinds of schedules to orga- nize the people who are part of it. For example, consider how a university manages to coordinate the people within it with its available resources. A core task is allo- cating the thousands of lectures and seminars that need to be run each week with the substantially smaller number of rooms available. A schedule has to be devised
  • 151.
    120 Chapter 4 Design for collaboration and communication that allows students to attend the lectures and seminars for their given courses, tak- ing into account numerous rules and constraints. These include: A student cannot attend more than one lecture at a given time. A professor cannot give more than one lecture or seminar at a given time. A room cannot be allocated to more than one seminar or lecture at a given time. Only a certain number of students can be placed in a room, depending on its size.
  • 152.
    4.2 Social mechanismsin communication and collaboration 121 I Other coordinating mechanisms that are employed by groups working together are rules and conventions. These can be formal or informal. Formal rules, like the compulsory attendance of seminars, writing monthly reports, and filling in of timesheets, enable organizations to maintain order and keep track of what its mem- bers are doing. Conventions, like keeping quiet in a library or removing meal trays after finishing eating in a cafeteria, are a form of courtesy to others. I Shared external representations I Shared external representations are commonly used to coordinate people. We have already mentioned one example, that of shared calendars that appear on user's monitors as graphical charts, email reminders, and dialog boxes. Other kinds that are commonly used include forms, checklists, and tables. These are pre- sented on public noticeboards or as part of other shared spaces. They can also be attached to documents and folders. They function by providing external informa- tion of who is working on what, when, where, when a piece of work is supposed to be finished, and who it goes to next. For example, a shared table of who has com- pleted the checking of files for a design project (see Figure 4.8), provides the nec- essary information from which other members of the group can at a glance update their model of the current progress of that project. Importantly, such external rep- resentations can be readily updated by annotating. If a project is going to take longer than planned, this can be indicated on a chart or table by extending the line representing it, allowing others to see the change when they pass by and glance up at the whiteboard. Shared externalizations allow people to make various inferences about the changes or delays with respect to their effect on their current activities. Accordingly, Figure 4.8 An external representation used to coordinate collaborative work in the form of a print-out table showing who has completed the checking of files and who is down to do what.
  • 153.
    122 Chapter 4 Design for collaboration and communication they may need to reschedule their work and annotate the shared workplan. In so doing, these kinds of coordination mechanisms are considered to be tangible, pro- viding important representations of work and responsibility that can be changed and updated as and when needed. 4.2.4 Designing collaborative technologies to support coordination Shared calendars, electronic schedulers, project management tools, and workflow tools that provide interactive forms of scheduling and planning are some of the main kinds of collaborative technologies that have been developed to support coordination. A specific mechanism that has been implemented is the use of con- ventions. For example, a shared workspace system (called POLITeam) that sup- ported email and document sharing to allow politicians to work together at different sites introduced a range of conventions. These included how folders and files should be organized in the shared workspace. Interestingly, when the system was used in practice, it was found that the conventions were often violated (Mark, et al., 1997). For example, one convention that was set up was that users should always type in the code of a file when they were using it. In practice, very few peo- ple did this, as pointed out by an administrator: "They don't type in the right code. I must correct them. I must sort the documents into the right archive. And that's annoying". The tendency of people not to follow conventions can be due to a number of reasons. If following conventions requires additional work that is extraneous to the users' ongoing work, they may find it gets in the way. They may also perceive the convention as an unnecessary burden and "forget" to follow it all the time. Such "productive laziness" (Rogers, 1993) is quite common. A simple analogy to every- day life is forgetting to put the top back on the toothpaste tube: it is a very simple convention to follow and yet we are all guilty sometimes (or even all the time) of not doing this. While such actions may only take a tiny bit of effort, people often don't do them because they perceive them as tedious and unnecessary. However, the consequence of not doing them can cause grief to others. When designing coordination mechanisms it is important to consider how so- cially acceptable they are to people. Failure to do so can result in the users not using the system in the way intended or simply abandoning it. A key part is getting the right balance between human coordination and system coordination. Too much system control and the users will rebel. Too little control and the system breaks down. Consider the example of file locking, which is a form of concurrency control. This is used by most shared applications (e.g., shared authoring tools, file-sharing systems) to prevent users from clashing when trying to work on the same part of a shared document or file at the same time. With file locking, whenever someone is working on a file or part of it, it becomes inaccessible to others. Information about who is using the file and for how long may be made available to the other users, to show why they can't work on a particular file. When file-locking mechanisms are used in this way, however, they are often considered too rigid as a form of coordi- nation, primarily because they don't let other users negotiate with the first user about when they can have access to the locked file.
  • 154.
    4.2 Social mechanismsin communication and collaboration 123 A more flexible form of coordination is to include a social policy of floor con- trol. Whenever a user wants to work on a shared document or file, he must initially request "the floor." If no one else is using the specified section or file at that time, then he is given the floor. That part of the document or file then becomes locked, preventing others from having access to it. If other users want access to the file, they likewise make a request for the floor. The current user is then notified and can then let the requester know how long the file will be in use. If not acceptable, the requester can try to negotiate a time for access to the file. This kind of coordination mechanism, therefore, provides more scope for negotiation between users on how to collaborate, rather than simply receiving a point-blank "permission denied" re- sponse from the system when a file is being used by someone else.
  • 155.
    124 Chapter 4 Design for collaboration and communication Why are whiteboards so useful for coordinating projects? How might electronic whiteboards be designed to extend this practice? I Comment Physical whiteboards are very good as coordinating tools as they display information that is external and public, making it highly visible for everyone to see. Furthermore, the informa- tion can be easily annotated to show up-to-date modifications to a schedule. Whiteboards also have a gravitational force, drawing people to them. They provide a meeting place for people to discuss and catch up with latest developments. Electronic whiteboards have the added advantage that important information can be ani- mated to make it stand out. Important information can also be displayed on multiple dis- plays throughout a building and can be extracted from existing databases and software, thereby making the project coordinator's work much easier. The boards could also be used to support on-the-fly meetings in which individuals could use electronic pens to sketch out ideas-that could then be stored electronically. In such settings they could also be interacted with via wireless handheld computers, allowing information to be "scraped" off or "squirted onto the whiteboard. I 4.2.5 Awareness mechanisms Awareness involves knowing who is around, what is happening, and who is talk- ing with whom (Dourish and Bly, 1992). For example, when we are at a party, we move around the physical space, observing what is going on and who is talking to whom, eavesdropping on others' conversations and passing on gossip to others. A specific kind of awareness is peripheral awareness. This refers to a person's abil- ity to maintain and constantly update a sense of what is going on in the physical and social context, through keeping an eye on what is happening in the periphery of their vision. This might include noting whether people are in a good or bad mood by the way they are talking, how fast the drink and food is being consumed, who has entered or left the room, how long someone has been absent, and whether the lonely guy in the corner is finally talking to someone-all while we are having a conversation with someone else. The combination of direct observa- tions and peripheral monitoring keeps people informed and updated of what is happening in the world. Similar ways of becoming aware and keeping aware take place in other con- texts, such as a place of study or work. Importantly, this requires fathoming when is an appropriate time to interact with others to get and pass information on. Seeing a professor slam the office door signals to students that this is defi- nitely not a good time to ask for an extension on an assignment deadline. Con- versely, seeing teachers with beaming faces, chatting openly to other students suggests they are in a good mood and therefore this would be a good time to ask them if it would be all right to miss next week's seminar because of an important family engagement. The knowledge that someone is amenable or not rapidly spreads through a company, school, or other institution. People are very eager to pass on both good and bad news to others and will go out of their way to gossip, loitering in corridors, hanging around at the photocopier and coffee machine "spreading the word."
  • 156.
    4.2 Social mechanismsin communication and collaboration 125 Figure 4.9 An external representation used to signal to others a person's availability. In addition to monitoring the behaviors of others, people will organize their work and physical environment to enable it to be successfully monitored by others. This ranges from the use of subtle cues to more blatant ones. An example of a sub- tle cue is when someone leaves their dorm or office door slightly ajar to indicate that they can be approached. A more blatant one is the complete closing of their door together with a "do not disturb" notice prominently on it, signaling to every- one that under no circumstances should they be disturbed (see Figure 4.9). Overhearing and overseeing People who work closely together also develop various strategies for coordinating their work, based on an up-to-date awareness of what the others are doing. This is especially so for interdependent tasks, where the outcome of one person's activity is needed for others to be able to carry out their tasks. For example, when putting on a show, the performers will constantly monitor what one another is doing in order to coordinate their performance efficiently. The metaphorical expression "closely-knit teams" exemplifies this way of col- laborating. People become highly skilled in reading and tracking what others are doing and the information they are attending to. A well-known study of this phe- nomenon is described by Christian Heath and Paul Luff (1992), who looked at how two controllers worked together in a control room in the London Underground. An overriding observation was that the actions of one controller were tied very closely to what the other was doing. One of the controllers was responsible for the movement of trains on the line (controller A), while the other was responsible for providing information to passengers about the current service (controller B). In many instances, it was found that controller B overheard what controller A was doing and saying, and acted accordingly-even though controller A had not said anything explicitly to him. For example, on overhearing controller A discussing a problem with a train driver over the in-cab intercom system, controller B inferred from the ensuing conversation that there was going to be a disruption to the service
  • 157.
    126 Chapter 4 Design for collaboration and communication and so started announcing this to the passengers on the platform before controller A had even finished talking with the train driver. At other times, the two con- trollers keep a lookout for each other, monitoring the environment for actions and events which they might have not noticed but may be important for them to know about so that they can act appropriately. hat d o you think happens when one person of a closely knit team does not see or hear ething or misunderstands what has been said, while the others in the group assume they have seen, heard, or understood what has been said? Comment In such circumstances, the person is likely to carry on as normal. In some cases this will re- sult in inappropriate behavior. Repair mechanisms will then need to be set in motion. The knowledgeable participants may notice that the other person has not acted in the manner expected. They may then use one of a number of subtle repair mechanisms, say coughing or glancing at something that needs attending to. If this doesn't work, they may then re- sort to explicitly stating aloud what had previously been signaled implicitly. Conversely, the unaware participant may wonder why the event hasn't happened and, likewise, look over at the other people, cough to get their attention or explicitly ask them a question. The kind of repair mechanism employed at a given moment will depend on a number of factors, including the relationship among the participants (e.g., whether one is more se- nior than the others-this determines who can ask what), perceived fault or responsibility for the breakdown and the severity of the outcome of not acting there and then on the new information. 4.2.6 Designing collaborative technologies to support awareness The various observations about awareness have led system developers to con- sider how best to provide awareness information for people who need to work to- gether but who are not in the same physical space. Various technologies have been employed along with the design of specific applications to convey informa- tion about what people are doing and the progress of their ongoing work. As mentioned previously, audio-video links have been developed to enable remote colleagues to keep in touch with one another. Some of these systems have also been developed to provide awareness information about remote partners, allow- ing them to find out what one another is doing. One of the earliest systems was Portholes, developed at Xerox PARC research labs (Dourish and Bly, 1992). The system presented regularly-updated digitized video images of people in their of- fices from a number of different locations (in t h e US and UK). T h e s e were shown in a matrix display on people's workstations. Clicking on one of the images had the effect of bringing up a dialog box providing further information about that in- dividual (e.g., name, phone number) together with a set of lightweight action but- tons (e.g., email the person, listen to a pre-recorded audio snippet). The system provided changing images of people throughout the day and night in their offices, letting others see at a glance whether they were in their offices, what they were working on, and who was around (see Figure 4.10). Informal evaluation of the
  • 158.
    4.2 Social mechanismsin communication and collaboration 127 Figure 4.10 A screen dump of Portholes, showing low resolution monochrome images from offices in the US and UK PARC sites. (Permission from Xerox Research Centre, Europe) set-up suggested that having access to such information led to a shared sense of community. The emphasis in the design of these early awareness systems was largely on supporting peripheral monitoring, allowing people to see each other and their progress. Dourish and Bellotti (1992) refer to this as shared feedback. More recent distributed awareness systems provide a different kind of awareness information. Rather than place the onus on participants to find out about each other, they have been designed to allow users to notify each other about specific kinds of events. Thus, there is less emphasis on monitoring and being monitored and more on ex- plicitly letting others know about things. Notification mechanisms are also used to provide information about the status of shared objects and the progress of collabo- rative tasks. Hence, there has been a shift towards supporting a collective "stream of con- sciousness" that people can attend to when they want to, and likewise provide in- formation for when they want to. An example of a distributed awareness system is Elvin, developed at the University of Queensland (Segall and Arnold, 1997), which provides a range of client services. A highly successful client is Tickertape, which is a lightweight instant messaging system, showing small color-coded messages that scroll from right to left across the screen (Fitzpatrick et a]., 1999). It has been most useful as a "chat" and local organizing tool, allowing people in different locations to effortlessly send brief messages and requests to the public tickertape display (see Figure 4.11). It has been used for a range of functions, including organizing shared
  • 159.
    128 Chapter 4 Design for collaboration and communication Figure 4.1 1 The Tickertape and Tickerchat interface for ELVIN awareness service. events (e.g. lunch dates), making announcements, and as an "always-on" communi- cation tool for people working together on projects but who are not physically co- located. It is also often used as a means of mediating help between people. For example, when I was visiting the University of Queensland, I asked for help over Tickertape. Within minutes, I was inundated with replies from people logged onto the system who did not even know me. At the time, I was having problems working out the key mappings between the PC that I was using in Australia and a Unix edi- tor I couldn't find a way of quitting from on a remote machine in the UK. The sug- gestions that appeared on Tickertape quickly led to a discussion among the participants, and within five minutes someone had come over to my desk and sorted the problem out for me! In addition to presenting awareness information as streaming text messages, more abstract forms of representation have been used. For example, a communica- tion tool called Babble, developed at IBM (Erickson et al., 1999), provides a dy- namic visualization of the participants in an ongoing chat-like conversation. A large 2D circle is depicted with colored marbles on each user's monitor. Marbles inside the circle convey those individuals active in the current conversation. Mar- bles outside the circle convey users involved in other conversations. The more ac- tive a participant is in the conversation, the more the corresponding marble is moved towards the center of the circle. Conversely, the less engaged a person is in the ongoing conversation, the more the marble moves towards the periphery of the circle (see Figure 4.12). - Figure 4.12 The Babble interface, with 0 dynamic visualization of participants in ongoing conversation.
  • 160.
    4.3 ~ th n o ~ r a ~ h i c of collaboration and communication studies 1 29 4.3 Ethnographic studies of collaboration and communication One of the main approaches to informing the design of collaborative technolo- gies that takes into account social concerns is carrying out an ethnographic study (a type of field study). Observations of the setting, be it home, work, school, pub- lic place, or other setting, are made, examining the current work and other col- laborative practices people engage in. The way existing technologies and everyday artifacts are used is also analyzed. The outcome of such studies can be very illuminating, revealing how people currently manage in their work and everyday environments. They also provide a basis from which to consider how such existing settings might be improved or enhanced through the introduction of new technologies, and can also expose problematic assumptions about how collaborative technologies will or should be used in a setting (for more on how to use ethnography to inform design, see Chapter 9; how to do ethnography is cov- ered in Chapter 12). Many studies have analyzed in detail how people carry out their work in differ- ent settings (Plowman et al., 1995). The findings of these studies are used both to inform the design of a specific system, intended for a particular workplace, and more generally, to provide input into the design of new technologies. They can also highlight problems with existing system design methods. For example, an early study by Lucy Suchman (1983) looked at the way existing office technologies were being designed in relation to how people actually worked. She observed what really happened in a number of offices and found that there was a big mismatch between the way work was actually accomplished and the way people were supposed to work using the office technology provided. She argued that designers would be much better positioned to develop systems that could match the way people be- have and use technology, if they began by considering the actual details of work practice. In her later, much-cited study of how pairs of users interacted with an interac- tive help system-intended as a facility for using with a photocopier-Suchman (1987) again stressed the point that the design of interactive systems would greatly benefit from analyses that focused on the unique details of the user's particular sit- uation-rather than being based on preconceived models of how people ought to (and will) follow instructions and procedures. Her detailed analysis of how the help system was unable to help users in many situations, highlighted the inade- quacy of basing the design of an interactive system purely on an abstract user model. Since Suchman's seminal work, a large number of ethnographic studies have examined how work gets done in a range of companies (e.g., fashion, design, multi- media, newspapers) and local government. Other settings have also recently come under scrutiny to see how technologies are used and what people do at home, in public places, in schools, and even cyberspace. Here, the objective has been to un- derstand better the social aspects of each setting and then to come up with implica- tions for the design of future technologies that will support and extend these. For more on the way user studies can inform future technologies, see the interview at the end of this chapter with Abigail Sellen.
  • 161.
    130 Chapter 4 Design for collaboration and communication 4.4 Conceptual frameworks A number of conceptual frameworks of the "social" have been adapted from other disciplines, like sociology and anthropology. As with the conceptual frameworks derived from cognitive approaches, the aim has been to provide analytic frame- works and concepts that are more amenable to design concerns. Below, we briefly describe two well known approaches, that have quite distinct origins and ways of informing interaction design. These are: Languagelaction framework Distributed cognition The first describes how a model of the way people communicate was used to in- form the design of a collaborative technology. The second describes a theory that is used primarily to analyze how people carry out their work, using a variety of technologies. 4.4.1 The language/action framework The basic premise of the language/action framework is that people act through lan- guage (Winograd and Flores, 1986). It was developed to inform the design of sys- tems to help people work more effectively through improving the way they communicate with one another. It is based on various theories of how people use language in their everyday activities, most notably speech act theory. Speech act theory is concerned with the functions utterances have in conversa- tions (Austin, 1962; Searle, 1969). A common function is a request that is asked indi- rectly (known as an indirect speech act). For example, when someone says, "It's hot in here" they may really be asking if it would be OK to open the window because they need some fresh air. Speech acts range from formalized statements (e.g., I hereby declare you man and wife) to everyday utterances (e.g., how about dinner?). There are five categories of speech acts: Assertives-commit the speaker to something being the case Commissives--committhe speaker to some future action Declarations-pronouncesomething has happened Directives-get the listener to do something Expressives-express a state of affairs, such as apologizing or praising someone Each utterance can vary in its force. For example, a command to do something has quite a different force from a polite comment about the state of affairs. The languagelaction approach was developed further into a framework called conversations for action (CfA). Essentially, this framework describes the se- quence of actions that can follow from a speaker making a request of someone else. It depicts a conversation as a kind of "dance" (see Figure 4.13) involving a se- ries of steps that are seen as following the various speech acts. Different dance steps ensue depending on the speech acts followed. The most straightforward kind of dance involves progressing from state 1 through to state 5 of the conversation,
  • 162.
    - 4.4 Conceptual frameworks A: Declare 1 31 / 1 A: Reject A: Withdraw 6 Withdraw : Figure 4.13 Conversation for action (CfA) diagram (from Winograd and Flores, 1986, p. 65). in a linear order. For example, A (state 1) may request B to do homework (state 2), B may promise to do it after she has watched a TV program (state 3), B may then report back to A that the homework is done (state 4) and A, having looked at it, declares that this is the case (state 5). In reality, conversation dances tend to be more complex. For example, A may look at the homework and see that it is very shoddy and request that B complete it properly. The conversation is thus moved back a step. B may promise to do the homework but may in fact not do it at all, thereby canceling their promise (state 7), or A may say that B doesn't need to do it any more (state 9). B may also suggest an alternative, like cooking dinner (moving to state 6). The CfA framework was used as the basis of a conceptual model for a com- mercial software product called the Coordinator. The goal was to develop a system to facilitate communication in a variety of work settings, like sales, finance, general management, and planning. The Coordinator was designed to enable electronic messages to be sent between people in the form of explicit speech acts. When send- ing someone a request, say "Could you get the report to me", the sender was also required to select the menu option "request." This was placed in the subject header of the message, thereby explicitly specifying the nature of the speech act. Other speech-act options included offer, promise, inform, and question (see Figure 4.14). The system also asked the user to fill in the dates by which the request should be completed. Another user receiving such a message had the option of responding with another labeled speech act. These included: acknowledge promise counter-offer decline free form
  • 163.
    - --- - - 132 Chapter 4 Design for collaboration and communication Table A: Menu items for initiating a new conversation. Request Sender wants receiver to do something. Offer Sender offers to do something, pending acceptance. Promise Sender promises to do something (request i s implicit). What if Opens a joint exploration of a space of possibilities. Inform Sender provides information. Question A request for information. Note A simple exchange of messages (as in ordinary E-mail). Figure 4.1 4 Menu items for initiating a conversation. Thus, the Coordinator was designed to provide a straightforward conversa- tional structure, allowing users to make clear the status of their work and, like- wise, to be clear about the status of others' work in terms of various commitments. To reiterate, a core rationale for developing this system was to try to improve people's ability to communicate more effectively. Earlier research had shown how communication could be improved if participants were able to distinguish among the kinds of commitments people make in conversation and also the time scales for achieving them. These findings suggested to Winograd and Flores that they might achieve their goal by designing a communication system that enabled users to develop a better awareness of the value of using "speech acts." Users would do this by being explicit about their intentions in their email messages to one another. Normally, the application of a theory backed up with empirical research is re- garded as a fairly innocuous and systematic way of informing system design. How- ever, in this instance it opened up a very large can of worms. Much of the research community at the time was incensed by the assumptions made by Winograd and Flores in applying speech act theory to the design of the Coordinator System. Many heated debates ensued, often politically charged. A major concern was the extent to which the system prescribed how people should communicate. It was pointed out that asking users to specify explicitly the nature of their implicit speech acts was contrary to what they normally do in conversations. Forcing people to communicate in such an artificial way was regarded as highly undesirable. While some people may be very blatant about what they want doing, when they want it done by, and what they are prepared to do, most people tend to use more subtle and indirect forms of communication to advance their collaborations with others. The problem that Winograd and Flores came up against was people's resistance to radically change their way of communicating. Indeed, many of the people who tried using the Coordinator System in their work organizations either abandoned it or resorted to using only the free-form message facility, which had no explicit demands associated with it. In these con-
  • 164.
    4.4 Conceptual frameworks 133 texts, the system failed because it was asking too much of the users to change the way they communicated and worked. However, it should be noted that the Coordi- nator was successful in other kinds of organizations, namely those that are highly structured and need a highly structured system to support them. In particular, the most successful use of the Coordinator and its successors has been in organizations, like large manufacturing divisions of companies, where there is a great need for considerable management of orders and where previous support has been mainly in the form of a hodgepodge of paper forms and inflexible task-specific data pro- cessing applications (Winograd, 1994). 1 4.4.2 Distributed cognition In the previous chapter we described how traditional approaches to modeling cog- nition have focussed on what goes on inside one person's head. We also mentioned that there has been considerable dissatisfaction with this approach, as it ignores how people interact with one another and their use of artifacts and external repre- sentations in their everyday and working activities. To redress this situation, Ed Hutchins and his colleagues developed the distributed cognition approach as a new paradigm for conceptualizing human work activities (e.g., Hutchins, 1995) (see Fig- ure 4.15). The distributed cognition approach describes what happens in a cognitive sys- tem. Typically, this involves explaining the interactions among people, the artifacts processes / Inputs (sensory) Outputs (motor behavior) representations Figure 4.15 Comparison of traditional and distributed cognition approaches.
  • 165.
    I 134 Chapter 4 Design for collaboration and communication I Air traffic controller (ATC) control center alert aob Propagation of representational states: 1 ATC gives clearance to pilot to fly to higher altitude (verbal) 2 Pilot changes altitude meter (mental and physical) 3 Captain observes pilot (visual) 4 Captain flies to higher altitude (mental and physical) Figure 4.16 A cognitive system in which information is propagated through different media. they use, and the environment they are working in. An example of a cognitive sys- tem is an airline cockpit, where a top-level goal is to fly the plane. This involves: the pilot, co-pilot and air traffic controller interacting with one another the pilot and co-pilot interacting with the instruments in the cockpit the pilot and co-pilot interacting with the environment in which the plane is flying (e.g., sky, runway). A primary objective of the distributed cognition approach is to describe these interactions in terms of how information is propagated through different media. By this is meant how information is represented and re-represented as it moves across individuals and through the array of artifacts that are used (e.g., maps, instrument readings, scribbles, spoken word) during activities. These transformations of infor- mation are referred to as changes in representational state. This way of describing and analyzing a cognitive activity contrasts with other cognitive approaches (e.g., the information processing model) in that it focuses not on what is happening inside the heads of each individual but on what is happening across individuals and artifacts. For example, in the cognitive system of the cockpit, a number of people and artifacts are involved in the activity of "flying to a higher altitude." The air traffic controller initially tells the co-pilot when it is safe to fly to a higher altitude. The co-pilot then alerts the pilot, who is flying the plane, by mov- ing a knob on the instrument panel in front of them, indicating that it is now safe to fly (see Figure 4.16). Hence, the information concerning this activity is transformed
  • 166.
    4.4 Conceptual Frameworks 135 through different media (over the radio, through the co-pilot, and via a change in the position of an instrument). A distributed cognition analysis typically involves examining: the distributed problem solving that takes place (including the way people work together to solve a problem) the role of verbal and non-verbal behavior (including what is said, what is implied by glances, winks, etc., and what is not said) the various coordinating mechanisms that are used (e.g., rules, procedures) the various communicative pathways that take place as a collaborative activ- ity progresses how knowledge is shared and accessed I I In addition, an important part of a distributed cognition analysis is to identify the problems, breakdowns, and concomitant problem-solving processes that emerge to deal with them. The analysis can be used to predict what would happen to the way information is propagated through a cognitive system, using a different arrangement of technologies and artifacts and what the consequences of this would be for the current work setting. This is especially useful when designing and evalu- ating new collaborative technologies.
  • 167.
    136 Chapter 4Design For collaboration and communication There are several other well known conceptual frameworks that are used to analyze how people collaborate and communicate, including activity theory, eth- nomethodology, situated action and common ground theory. Assignment The aim of this design activity i for you to analyze the design of a collaborative virtual envi- s ronment (CVE) with respect to how it is designed to support collaboration and communication. Visit an existing CVE (many are freely downloadable) such as V-Chat (vchat.microsoft. com), one of the many Worlds Away environments (www.worlds.net), or the Palace (www.communities.com). Try to work out how they have been designed to take into account the following: (a) General social issues What is the purpose of the CVE? What kinds of conversation mechanisms are supported? What kinds of coordination mechanisms are provided? What kinds of social protocols and conventions are used? What kinds of awareness information is provided? Does the mode of communication and interaction seem natural or awkward? (b) Specific interaction design issues What form of interaction and communication is supported (e.g., textlaudiolvideo)? What other visualizations are included? What information do they convey? How do users switch between different modes of interaction (e.g., exploring and chatting)? Is the switch seamless? Are there any social phenomena that occur specific to the context of the CVE that wouldn't happen in face to face settings (e.g., flaming)? (c) Design issues What other features might you include in the CVE to improve communication and collaboration?
  • 168.
    Further reading 137 Summary In this chapter we have looked at some core aspects of sociality, namely communication and collaboration. We examined the main social mechanisms that people use in different settings in order to collaborate. A number of collaborative technologies have been designed to sup- port and extend these mechanisms. We looked at representative examples of these, high- lighting core interaction design concerns. A particular concern is social acceptability that is critical for the success or failure of technologies intended to be used by groups of people working or communicating together. We also discussed how ethnographic studies and theo- retical frameworks can play a valuable role when designing new technologies for work and other settings. Key points Social aspects are the actions and interactions that people engage in at home, work, school, and in public. The three main kinds of social mechanism used to coordinate and facilitate social aspects are conversation, coordination, and awareness. Talk and the way it is managed is integral to coordinating social activities. Many kinds of computer-mediated communication systems have been developed to en- able people to communicate with one another when in physically different locations. External representations, rules, conventions, verbal and non-verbal communication are all used to coordinate activities among people. It is important to take into account the social protocols people use in face to face collabo- ration when designing collaborative technologies. Keeping aware of what others are doing and letting others know what you are doing are important aspects of collaborative working and socializing. Ethnographic studies and conceptual frameworks play an important role in understand- ing the social issues to be taken into account in designing collaborative systems. Getting the right level of control between users and system is critical when designing col- laborative systems. Further reading DIX, A., FINLAY, ABOWD, AND BEALE, (1998) J., G., R. BAECKER, M., GRUDIN, J., BUXTON, W. A. S., AND R. Human-Computer Interaction. Upper Saddle River, NJ: GREENBERG, S. (eds.) (1995) Readings in Human-Computer Prentice Hall. This textbook provides a comprehensive Interaction: Toward the Year 2000, (second edition) San overview of groupware systems and the field of CSCW in Francisco, Ca.: Morgan Kaufmann, 1995. Chapters 13 and 14. BAECKER, R. M. (ed.) (1993) Readings in Groupware and ENGESTROM, Y A N D MIDDLETON, D. (1996) (eds.) Cog- Computer-Supported Cooperative Work: Assisting Human- nition and Communication at Work. Cambridge: Cam- Human Collaboration, San Mateo, Ca.: Morgan Kaufmann. bridge University Press. A good collection of classic These two collections of readings include a number of repre- ethnographic studies that examine the relationship be- sentative papers from the field of CSCW, ranging from so- tween different theoretical perspectives and field studies cial to system architecture issues. of work practices. MUNRO, A.J.,HOOK, K. AND BENYON, (eds.) (1999) Social D. PREECE, (2000) Online Communities: Designing Usability, J. Navigation of Information Space. New York: Springer Ver- Supporting Sociability. New York: John Wiley and Sons. lag. Provides a number of illuminating papers that explore This book combines usability and sociability issues to do how people navigate information spaces in real and virtual with designing online communities. worlds and how people interact with one another in them.
  • 169.
    138 Chapter 4 Design for collaboration and communication Abigail Sellen is a senior re- value of a particular product for a user? Once we searcher at Hewlett Packard know this, we can then ask, for a particular situation Labs in Bristol, UK. Her or task, what features do we want to deliver and how work involves carrying out best should we deliver those features? This includes, user studies to inform the for example, what would the interface look like? Fi- development of future prod- nally, I think user studies are important to understand ucts, including appliances and web-based services. how users' lives may change and how they will be af- She has a background in fected by introducing a new technology. This has to coanitive science and take into account the social, physical, and technologi- " human factors engineering, cal context into which it will be introduced. having obtained her doctor- ate at the University of Cali- YR: So it sounds like you have a set of general fornia, Son Diego. Prior to questions you have in mind when you do a user this Abiaail worked at Xerox Research Labs in Cambridge, UK, and Apple Computer study. Could you now describe how you would do a Inc. She has also worked as an academic researcher at the user study and what kinds of things you would be Computer Systems Research Institute at the University of looking for? Toronto, Canada and the Applied Psychology Unit in Cam- AS: Well, I think there are two different classes of bridge, UK. She has written widely on the social and cognitive user studies and both are quite different in the ways aspects of paper use, video conferencing, input devices, you go about them. There are evaluation studies, human memory, and human error, ail with an eye to the de- where we take a concept, a prototype or even a devel- sign of new technologies. oped technology and look at how it is used and then try to modify or improve it based on what we find. YR: Could you tell me what you do at Hewlett The second class of user studies is more about discov- Packard Research Labs? ering what people's unmet needs may be. This means AS: Sure, I've been at HP Labs for a number of trying to develop new concepts and ideas for things years now as a member of its User Studies and Design that people may never have thought of before. This is Group. This is a smallish group consisting of five so- difficult because you can't necessarily just ask people cial scientists and three designers. Our work can best what they would like or what they would use. Instead, be described as doing three things: we do projeqts that you have to make inferences from studying people in are group-led around particular themes, likt for ex- different situations and try to understand from this ample, how people use digital music or how people what they might need or value. capture documents using scanning technology. We do consulting work for development teams at HP, and YR: In the book we mention the importance of tak- thirdly, we do a little bit of our own individual work, ing into account social aspects, such as awareness of like writing papers and books, and giving talks. others, how people communicate with each other and so on. D o you think these issues are important when YR: Right. Could you tell me about user studies, you are doing these two kinds of user studies? what they are and why you consider them important? AS: Well, yes, and in particular I think social aspects AS: OK. User studies essentially involve looking at really are playing to that second class of user study I how people behave either in their natural habitats or mentioned where you are trying to discover what in the laboratory, both with old technologies and with people's unmet needs or requirements may be. Here new ones. I think there are many different questions you are trying to get rich descriptions about what that these kinds of studies can help you answer. Let people do in the context of their everyday lives- me name a few. One question is: who is going to be whether this is in their working lives, their home lives, the potential user for a particular device or service or lives on the move. I'd say getting the social aspects that you are thinking of developing? A second ques- understood is often very important in trying to under- tion-which I think is key-is, what is the potential stand what value new products and services might
  • 170.
    Interview 139 bring to people's day-to-day activities, and also how very different depending on the kind of reading the they would fit into those existing activities. users are doing. So, for example, if they're reading by themselves, the screen size and viewing angle may not YR: And what about cognitive aspects, such as how be as important as if they're reading with others. If people carry out their tasks, what they remember, they're skim reading, the ability to quickly flick what they are bad at remembering? Is that also im- through pages is important. And if they're reading portant to look into when you are doing these kinds and writing, then this points to the need for a pen- of studies? based interface. All of these issues become important design considerations. AS: Yes, if you think about evaluation studies, then This study then led to the development of some cognitive aspects are extremely important. Looking at design concepts and ideas for new kinds of reading cognitive aspects can help you understand the nature devices. At this stage we involved designers to de- of the user interaction, in particular what processes velop different "props" to get feedback and reactions are going on in their heads. This includes issues like from potential users. A prop could be anything from learning how users perceive a device and how they a quick sketch to an animation to a styrofoam 3D form a mental model of how something works. Cogni- mockup. Once you have this initial design work, you tive issues are especially important to consider when can then begin to develop working prototypes and we want to contrast one device with another or think test them with realistic tasks in both laboratory and about new and better ways in which we might design natural settings. Some of this work we have already an interface. completed, but the project has had an impact on sev- eral different research and development efforts. YR: I wonder if you could describe to me briefly one of your recent studies where you have looked at cog- YR: Would you say that user studies are going to be- nitive and social aspects. come an increasingly important part of the interaction AS: How about a recent study we did to do with design process, especially as new technologies like building devices for reading digital documents? When ubiquitous computing and handheld devices come we first set out on this study, before we could begin to into being-and where no one really knows what ap- think about how to build such devices, we had to plications to develop? begin by asking, "What do we mean by reading?" It AS: Yes. I think the main contribution of user stud- turned out there was not a lot written about the dif- ies, say, 15 years ago was in the area of evaluation and ferent ways people read in their day-to-day lives. So usability testing. I think that role is changing now in the first thing we did was a very broad study looking that user studies researchers are not only those who at how people read in work situations. The technique evaluate devices and interfaces but also those who de- we used here was a combination of asking people to velop new concepts. Also, another important devel- fill out a diary about their reading activities during the opment is a change in the way the research is carried course of a day and interviewing them at the end of out. More and more I am finding that teams are draw- each day. The interviews were based around what was ing together people from other disciplines, such as so- written in the diaries, which turned out to be a good ciologists, marketing people, designers, and people way of unpacking more details about what people had from business and technology development. been doing. That initial study allowed us to categorize all the different ways people were reading. What we found YR: So they are essentially working as a multidisci- out is that actually you can't talk about reading in a plinary team. Finally, what is it like to work in a generic sense but that it falls into at least 10 different large organization like HP, with so many different categories. For example, sometimes people skim departments? read, sometimes they read for the purpose of writing AS: One thing about working for a large organiza- something, and sometimes they read very reflectively tion is that you get a lot of variety in what you can and deeply, marking up their documents as they go. do. You can pick and choose to some extent and, de- What quickly emerged from this first study was that if pending on the organization, don't have to be tied to you're designing a device for reading it might look a particular product. If, on the other hand, you work
  • 171.
    140 Chapter 4 Design for collaboration and communication for a smaller organization such as a start-up com- teams. They put huge pressures on you because they pany, inevitably there is lots of pressure to get things have huge pressures on them. You really have to out the door quickly. Things are often very focused. work at effectively incorporating user studies find- Whether large or small, however, I think one of the ings into the development process. This can be in- hardest things I have found in working for corporate credibly challenging, but it's also satisfying to have research is learning to work with the development an impact on real products.
  • 172.
    Understanding how interfaces affect users 5.1 Introduction 5.2 What are affective aspects? 5.3 Expressive interfaces 5.4 User frustration 5.5 A debate: the application of anthropomorphism to interaction design 5.6 Virtual characters: agents 5.6.1 Kinds of agents 5.6.2 General design concerns: believability of virtual characters 5.1 Introduction An overarching goal of interaction design is to develop interactive systems that elicit positive responses from users, such as feeling at ease, being comfortable, and enjoying the experience of using them. More recently, designers have become in- terested in how to design interactive products that elicit specific kinds of emotional responses in users, motivating them to learn, play, be creative, and be social. There is also a growing concern with how to design websites that people can trust, that make them feel comfortable about divulging personal information or making a purchase. We refer to this newly emerging area of interaction design as affective aspects. In this chapter we look at how and why the design of computer systems cause cer- tain kinds of emotional responses in users. We begin by looking in general at ex- pressive interfaces, examining the role of an interface's appearance on users and how it affects usability. We then examine how computer systems elicit negative re- sponses, e.g., user frustration. Following this, we present a debate on the controver- sial topic of anthropomorphism and its implications for designing applications to have human-like qualities. Finally, we examine the range of virtual characters de- signed to motivate people to learn, buy, listen, etc., and consider how useful and appropriate they are.
  • 173.
    142 Chapter 5 Understanding how interfaces affect users The main aims of this chapter are to: Explain what expressive interfaces are and the affects they can have on people. Outline the problems of user frustration and how to reduce them. Debate the pros and cons of applying anthropomorphism in interaction design. Assess the believability of different kinds of agents and virtual characters. Enable you to critique the persuasive impact of e-commerce agents on customers. What are affective aspects? In general, the term "affective" refers to producing an emotional response. For ex- ample, when people are happy they smile. Affective behavior can also cause an emotional response in others. So, for example, when someone smiles it can cause others to feel good and smile back. Emotional skills, especially the ability to ex- press and recognize emotions, are central to human communication. Most of us are highly skilled at detecting when someone is angry, happy, sad, or bored by recog- nizing their facial expressions, way of speaking, and other body signals. We are also very good at knowing what emotions to express in given situations. For example, when someone has just heard they have failed an exam we know it is not a good time to smile and be happy. Instead we try to empathize. It has been suggested that computers be designed to recognize and express emotions in the same way humans do (Picard, 1998). The term coined for this ap- proach is "affective computing". A long-standing area of research in artificial intel- ligence and artificial life has been to create intelligent robots and other computer-based systems that behave like humans and other creatures. One well- known project is MIT's COG, in which a number of researchers are attempting to build an artificial two-year-old. One of the offsprings of COG is Kismet (Breazeal, 1999),which has been designed to engage in meaningful social interactions with hu- mans (see Figure 5.1). Our concern in this chapter takes a different approach: how can interactive systems be designed (both deliberately and inadvertently) to make people respond in certain ways? Figure 5.1 Kismet the robot expressing surprise, anger, and happiness.
  • 174.
    5.3 Expressive interfaces 143 5.3 Expressive interfaces A well-known approach to designing affective interfaces is to use expressive icons and other graphical elements to convey emotional states. These are typically used to indicate the current state of a computer. For example, a hallmark of the Apple computer is the icon of a smiling Mac that appears on the screen when the machine is first started (see Figure 5.2(a)). The smiling icon conveys a sense of friendliness, inviting the user to feel at ease and even smile back. The appearance of the icon on the screen can also be very reassuring to users, indicating that their computer is working fine. This is especially useful when they have just rebooted the computer after it has crashed and where previous attempts to reboot have failed (usually in- dicated by a sad icon face-see Figure 5.2(b)). Other ways of conveying the status of a system are through the use of: dynamic icons, e.g., a recycle bin expanding when a file is placed into it animations, e.g., a bee flying across the screen indicating that the computer is doing something, like checking files spoken messages, using various kinds of voices, telling the user what needs to be done various sounds indicating actions and events (e.g. window closing, files being dragged, new email arriving) One of the benefits of these kinds of expressive embellishments is that they provide reassuring feedback to the user that can be both informative and fun. The style of an interface, in terms of the shapes, fonts, colors, and graphical el- ements that are used and the way they are combined, influences how pleasurable it is to interact with. The more effective the use of imagery at the interface, the more engaging and enjoyable it can be (Mullet and Sano, 1995). Conversely, if little thought is given to the appearance of an interface, it can turn out looking like a dog's dinner. Until recently, HCI has focused primarily on getting the usability right, with little attention being paid to how to design aesthetically pleasing inter- faces. Interestingly, recent research suggests that the aesthetics of an interface can Figure 5.2 (a) Smiling and (b) sad Apple Macs.
  • 175.
    144 Chapter 5 Understanding how interfaces affect users have a positive effect on people's perception of the system's usability (Tractin- sky, 1997). Moreover, when the "look and feel" of an interface is pleasing (e.g., beautiful graphics, nice feel to the way the elements have been put together, well- designed fonts, elegant use of images and color) users are likely to be more tolerant of its usability (e.g., they may be prepared to wait a few more seconds for a website to download). As we have argued before, interaction design should not just be about usability per se, but should also include aesthetic design, such as how pleasur- able an interface is to look at (or listen to). The key is to get the right balance be- tween usability and other design concerns, like aesthetics (See Figure 5.3 on Color Plate 6). A question of style or stereotype? Figure 5.4 shows two differently designed dialog boxes. Describe how they differ in terms of style. Of the two, which one do you prefer? Why? Which one do you think (i) Europeans would like the most and (ii) Americans would like the most? Comment Aaron Marcus, a graphic designer, created the two designs in an attempt to provide appealing interfaces. Dialog box A was designed for white American females while dialog box B was designed for European adult male intellectuals. The rationale behind Marcus's ideas was that European adult male intellectuals like "suave prose, a restrained treatment of information density, and a classical approach to font selection (e.g., the use of serif type in axial symmetric layouts similar to those found in elegant bronze European building identification signs)." In contrast, white American females "prefer a more detailed presentation, curvilinear shapes and the absence of some of the more-brutal terms . . . favored by male software engineers." When the different interfaces were empirically tested by Teasley et al. (1994), their re- sults did not concur with Marcus's assumptions. In particular, they found that the European dialog box was liked the best by all people and was considered most appropriate for all users. Moreover, the round dialog box designed for women was strongly disliked by every- one. The assumption that women like curvilinear features clearly was not true in this con- text. At the very least, displaying the font labels in a circular plane makes them more difficult to read than when presented in the conventionally accepted horizontal plane. Another popular kind of expressive interface is the friendly interface agent. A general assumption is that novices will feel more at ease with this kind of "compan- ion" and will be encouraged to try things out, after listening, watching, following, and interacting with them. For example, Microsoft pioneered a new class of agent- based software, called Bob, aimed at new computer users (many of whom were seen as computer-phobic). The agents were presented as friendly characters, in- cluding a friendly dog and a cute bunny. An underlying assumption was that having these kinds of agents on the screen would make the users feel more comfortable and at ease with using the software. An interface metaphor of a warm, cozy living room, replete with fire, furnishings, and furniture was provided (see Figure 5.5)- again intended to convey a comfortable feeling. Since the creation of Bob, Microsoft has developed other kinds of agents, in- cluding the infamous "Clippy" (a paper clip that has human-like qualities), as part
  • 176.
    2 lt P L E A S E S P E C I F Y T Y P E Family [V Linespace 1- Width pzEqq Weight Slant m , l , , Alignment Efects Reverse Outline Shadow a 1 Underline Helvetica 12114pt Condensed Bold Roman > f Figure 5.4 Square and round dialog boxes designed by Aaron Marcus (1993): (a) dialog box designed for white American women, and (b) dialog box designed for European adult male intellectuals.
  • 177.
    146 Chapter 5 Understanding how interfaces affect users Figure 5.5 "At home with Bob" software. of their Windows '98 operating environment.' The agents typically appear at the bottom of the screen whenever the system "thinks" the user needs help carrying out a particular task. They, too, are depicted as cartoon characters, with friendly warm personalities. As mentioned in Chapter 2, one of the problems of using agents in this more general context is that some users do not like them. More expe- rienced users who have developed a reasonably good mental model of the system often find such agent helpers very trying and quickly find them annoying intrusions, especially when they distract them from their work. (We return to anthropomor- phism and the design of interface agents later in Section 5.5). Users themselves have also been inventive in expressing their emotions at the computer interface. One well-known method is the use of emoticons. These are keyboard symbols that are combined in various ways to convey feelings and emo- tions by siqulating facial expressions like smiling, winking, and frowning on the screen. The meaning of an emoticon depends on the content of the message and where it is placed in the message. For example, a smiley face placed at the end of a message can mean that the sender is happy about a piece of news she has just writ- ten about. Alternatively, if it is placed at the end of a comment in the body of the message, it usually indicates that this comment is not intended to be taken seri- ously. Most emoticons are designed to be interpreted with the viewer's head tilted over to the left (a result of the way the symbols are represented on the screen). Some of the best known ones are presented in Table 5.1. A recently created short- hand language, used primarily by teenagers when online chatting or texting is the use of abbreviated words. These are formed by keying in various numbers and let- ' o n the Mac version of Microsoft's Office 2001, Clippy was replaced by an anthropomorphized Mac computer with big feet and a hand that conveys various gestures and moods.
  • 178.
    5.4 User frustration 147 Table 5.1 Some commonly used emoticons. Emotion Expression Emoticon Possible meanings Happy Smile :) or :D (i) Happiness, or (ii) previous comment not to be taken seriously I Sad Mouth down :( or : - Disappointed,unhappy II Cheeky Wink ) or ) Previous comment meant as tongue- in-cheek 1 Mad Brows raised >: Mad about something , Very angry Angry face >:-( Very angry, cross Embarrassed Mouth open :O Embarrassed,shocked Sick Looking sick :x Feeling ill Nai've Schoolboyish look <:-) Smiley wearing a dunce's cap to convey that the sender is about to ask a stupid question. 7 ters in place of words, e.g., "I 1 2 CU 2nite '. As well as being creative, the short- hand can convey emotional connotations. Expressive forms like emoticons, sounds, icons, and interface agents have been primarily used to (i) convey emotional states andlor (ii) elicit certain kinds of emo- tional responses in users, such as feeling at ease, comfort, and happiness. However, in many situations computer interfaces inadvertently elicit negative emotional responses. By far the most common is user frustration, to which we now turn our attention. 5.4 User frustration Everyone at some time or other gets frustrated when using a computer. The effect ranges from feeling mildly amused to extremely angry. There are myriads of rea- sons why such emotional responses occur: when an application doesn't work properly or crashes when a system doesn't do what the user wants it to do when a user's expectations are not met when a system does not provide sufficient information to let the user know what to do when error messages pop up that are vague, obtuse, or condemning when the appearance of an interface is too noisy, garish, gimmicky, or patronizing when a system requires users to carry out many steps to perform a task, only to discover a mistake was made somewhere along the line and they need to start all over again
  • 179.
    148 Chapter 5 Understanding how interfaces affect users Provide specific examples for each of the above categories from your own experience, when you have become frustrated with an interactive device (e.g., telephone, VCR, vending ma- chine, PDA, computer). In doing this, write down any further types of frustration that come to mind. Then prioritize them in terms of how annoying they are. What are the worst types? Comment In the text below we provide examples of common frustrations experienced when using computer systems. The worst include unhelpful error messages and excessive housekeeping tasks. You no doubt came up with many more. Often user frustration is caused by bad design, no design, inadvertent design, or ill-thought-out design. It is rarely caused deliberately. However, its impact on users can be quite drastic and make them abandon the application or tool. Here, we pre- sent some examples of classic user-frustration provokers that could be avoided or reduced by putting more thought into the design of the conceptual model. 1. Gimmicks Cause: When a users' expectations are not met and they are instead presented with a gimmicky display. Level of frustration: Mild This can happen when clicking on a link to a website only to discover that it is still "under construction." It can be still more annoying when the website displays a road-sign icon of "men at work" (see Figure 5.6). Although the website owner may think such signs amusing, it serves to underscore the viewer's frustration at having made the effort to go to the website only to be told that it is incomplete (or not even started in some cases). Clicking on links that don't work is also frustrating. How to avoid or help reduce the frustration: By far the best strategy is to avoid using gimmicks to cover up the real crime. In this example it is much better to put material live on the web only when it is com- plete and working properly. People very rarely return to sites when they see icons like the one in Figure 5.6. 2. Error Messages Cause: When a system or application crashes and provides an "unexpected" error message. Level of frustration: High Error messages have a long history in computer interface design, and are notorious for their incomprehensibility. For example, Nielsen (1993) describes an early system that was developed that allowed only for one line of error messages. Whenever the Figure 5.6 Men at work icon sign indicating "website under construction." Ac- cording to AltaVista, there were over 12 million websites containing the phrase "under construction" in January 2001.
  • 180.
    5.4 User frustration 149 error message was too long, the system truncated it to fit on the line, which the users would spend ages trying to decipher. The full message was available only by pressing the PF1 (help key) function key. While this may have seemed like a natural design solution to the developers, it was not at all obvious to the users. A much better design solution would have been to use the one line of the screen to indicate how to find more information about the current error ("press the PF1 key for explanation"). The use of cryptic language and developer's jargon in error messages is a major contributing factor in user frustration. It is one thing to have to cope when some- thing goes wrong but it is another to have to try to understand an obscure message that pops up by way of explanation. One of my favorites, which sometimes appears on the screen when I'm trying to do something perfectly reasonable like paste some I text into a document, using a word processor, is: "The application Word Wonder has unexpectedly quit due to a Type 2 error." It is very clear from what the system has just done (closed the application very rapidly) that it has just crashed, so such feedback is not very helpful. Letting the user know that the error is of a Type 2 kind is also not very useful. How is the aver- age user meant to understand this? Is there a list of error types ready at hand to tell the user how to solve the problem for each error? Moreover, such a reference in- vites the user to worry about how many more error types there might be. The tone of the message is also annoying. The adjective "unexpectedly" seems condescend- ing, implying almost that it is the fault of the user rather than the computer. Why include such a word at all? After all, how else could the application have quit? One could never imagine the opposite situation: an error message pops up saying, "The application has expectedly quit, due to poor coding in the operating system." How to avoid or help reduce the frustration: Ideally, error messages should be treated as how-to-fix-it messages. Instead of explicating what has happened, they should state the cause of the problem and what the user needs to do to fix it. Shneiderman (1998) has developed a detailed set of guidelines on how to develop helpful messages that are easy to read and under- stand. Box 5.1 summarizes the main recommendations.
  • 181.
    150 Chapter 5 Understanding how interfaces affect users Below are some common error messages expressed in harsh computer jargon that can be quite threatening and offensive.Rewrite them in more usable, useful, and friendly language that would help users to understand the cause of the problem and how to f x it. For each i message, imagine a specific context where such a problem might occur. SYNTAX ERROR INVALID FILENAME INVALID DATA APPLICATION ZETA HAS UNEXPECTEDLY QUIT DUE TO A TYPE 4 ERROR DRIVE ERROR: ABORT, RETRY OR FAIL? 1 Comment How specific the given advice can be will depend on the kind of system it is. Here are sugges- I tions for hypotheticalsystems. SYNTAX ERROR-There is a problem with the way you have typed the command. Check for typos. INVALID FILENAME-Choose another file name that uses only 20 characters or less and is lower case without any spaces. INVALID DATA-There is a problem with the data you have entered. Try again, checking that no decimal points are used. APPLICATION ZETA HAS UNEXPECTEDLY QUIT DUE TO A TYPE 4 ERROR-The application you were working on crashed because of an internal mem- ory problem. Try rebooting and increasing the amount of allocated memory to the application. DRIVE ERROR: ABORT, RETRY OR FAIL?-There is a problem with reading your disk. Try inserting it again. 3. Overburdening the user Cause: Upgrading software so that users are required to carry out excessive house- keeping tasks Level of frustration: Medium to high Another pervasive frustrating user experience is upgrading a piece of software. It is now common for users to'have to go through this housekeeping task on a regular basis, especially if they run a number of applications. More often than not it tends to be a real chore, being very time-consuming and requiring the user to do a whole range of things, like resetting preferences, sorting out extensions, checking other configurations, and learning new ways of doing things. Often, problems can de- velop that are not detected till some time later, when a user tries an operation that worked fine before but mysteriously now fails. A common problem is that settings get lost or do not copy over properly during the upgrade. As the number of options for customizing an application or operating system increases for each new upgrade, so, too, does the headache of having to reset all the relevant preferences. Wading through myriads of dialog boxes and menus and figuring out which checkbox to
  • 182.
    5.4 User frustration 151 "You do not have the plug-in needed to view the audiolx-pn-real-audio plug- in-type information on this page. To get plug-in now, view plug-in directory" Figure 5.7a Typical message in dialog box that appears when trying t o run an applet on a website that needs a plug-in the user does not have. click on, can be a very arduous task. To add to the frustration, users may also dis- cover that several of their well-learned procedures for carrying out tasks have been substantially changed in the upgrade. A pet frustration of mine over the years has been trying to run various websites that require me to install a new plug-in. Achieving this is never straightforward. I have spent huge amounts of time trying to install what I assume to be the correct plug-in-only to discover that it is not yet available or incompatible with the oper- ating system or machine I am using. What typically happens is I'll visit a tempting new website, only to discover that my browser is not suitably equipped to view it. When my browser fails to run the applet, a helpful dialog box will pop up saying that a plug-in of X type is re- quired. It also usually directs me to another website from where the plug-in can be downloaded (see Figure 5.7a). Websites that offer such plug-ins, however, are not organized around my specific needs but are designed more like hardware stores (a bad conceptual model), offering hundreds (maybe even thousands) of plug-ins covering all manner of applications and systems. Getting the right kind of plug-in from the vast array available requires knowing a number of things about your ma- chine and the kind of network you are using. In going through the various options WEB PLUG-IN DIRECTORY Here is where you find the links to all of the plug-ins available on the net. Simply find a plug-in you're interested in, view what platforms it currently (or will 'soon') support and click on its link. If you know of a plug-in not listed on this page please take a moment and tell us about it with our all new reporting system! Plug-ins by Category The Full List This is the whole list, but I gotta warn ya its getting big MultiMedia Multi-Media Plug-Ins, AVI, QuickTime, ShockWave... Graphics Graphic Plug-Ins, PNG, CMX, DWG... Sound Sound & MIDI Plug-Ins, MIDI, ReadAudio, Truespeech... Document Document Viewer Plug-Ins, Acrobat, Envoy, MS Word... Productivity Productivity Plug-Ins, Map Viewers, Spell Checkers... VRMU3-D VRML & QD3D Plug-Ins Plug-ins by platform Macintosh Macintosh Plug-Ins I 032 IBM 0512 Plug-Ins Unix Unix Plug-Ins Windows Windows Plug-Ins Figure 5.7b Directory of plug-ins available on a plug-in site directed to from Netscape.
  • 183.
    152 Chapter 5 Understanding how interfaces affect users to narrow down which plug-in is required, it is easy to overlook something and end up with an inappropriate plug-in. Even when the right plug-in has been down- loaded and placed in the appropriate system folder, it may not work. A number of other things usually need to be done, like specifying mime-type and suffix. The whole process can end up taking huge amounts of time, rather than the couple of minutes most users would assume. How to avoid or help reduce the frustration: Users should not have to spend large amounts of time on housekeeping tasks. Upgrading should be an effortless and largely automatic process. Designers need to think carefully about the trade-offs incurred when introducing upgrades, especially the amount of relearning required. Plug-ins that users have to search for, down- load, and set up themselves should be phased out and replaced with more powerful browsers that automatically download the right plug-ins and place them in the ap- propriate desktop folder reliably, or, better still, interpret the different file types themselves. 4. Appearance Cause: When the appearance of an interface is unpleasant Level of frustration:Medium As mentioned earlier, the appearance of an interface can affect its usability. Users get annoyed by: websites that are overloaded with text and graphics, making it difficult to find the information desired and slow to access * flashing animations, especially banner ads, which are very distracting the copious use of sound effects and Muzak, especially when selecting op- tions, carrying out actions, starting up CD-ROMs, running tutorials, or watching website demos featuritis-an excessive number of operations, represented at the interface as banks of icons or cascading menus childish designs that keep popping up on the screen, such as certain kinds of helper agents poorly laid out keyboards, pads, control panels, and other input devices that cause the user to press the wrong keys or buttons when trying to do some- thing else How to avoid or help reduce the frustration: Interfaces should be designed to be simple, perceptually salient, and elegant and to adhere to usability design principles, well-thought-out graphic design princi- ples, and ergonomic guidelines (e.g. Mullet and Sano, 1996). 5.3.1 Dealing with user frustration One way of coping with computer-induced frustration is to vent and take it out on the computer or other users. As mentioned in Chapter 3, a typical response to see- ing the cursor freeze on the screen is repeatedly to bash every key on the keyboard.
  • 184.
    5.5 A debate:the application of anthropomorphism to interaction design 153 Another way of venting anger is through flaming. When upset or annoyed by a piece of news or something in an email message, people may overreact and re- spond by writing things in email that they wouldn't dream of saying face to face. They often use keyboard symbols to emphasize their anger or frustration, e.g., ex- clamation marks (!!!!), capital letters (WHY DID YOU DO THAT?) and re- peated question marks (??????) that can be quite offensive to those on the receiving end. While such venting behavior can make the user feel temporarily less frustrated, it can be very unproductive and can annoy the recipients. Anyone who has received a flame knows just how unpleasant it is. In the previous section, we provided some suggestions on how systems could be improved to help reduce commonly caused frustrations. Many of the ideas dis- cussed throughout the book are also concerned with designing technologies and in- terfaces that are usable, useful, and enjoyable. There will always be situations, however, in which systems do not function in the way users expect them to, or in which the user misunderstands something and makes a mistake. In these circum- stances, error messages (phrased as "how-to-fix-it"advice) should be provided that explain what the user needs to do. Another way of providing information is through online help, such as tips, handy hints, and contextualized advice. Like error messages, these need to be de- signed to guide users on what to do next when they get stuck and it is not obvious from the interface what to do. The signaling used at the interface to indicate that such online help is available needs careful consideration. A cartoon-based agent with a catchy tune may seem friendly and helpful the first time round but can quickly become annoying. A help icon or command that is activated by the users themselves when they want help is often preferable. 5.5 A debate: the application of anthropomorphism to interaction design In this section we present a debate. Read through the arguments for and against the motion and then the evidence provided. Afterwards decide for yourself whether you support the motion.
  • 185.
    154 Chapter 5 Understanding how interfaces affect users I The motion The use of anthropomorphism in interaction design is an effective technique and should be exploited further. Background A controversial debate in interaction design is whether to exploit the phenomenon of anthropomorphism (the propensity people have to attribute human qualities to objects). It is something that people do naturally in their everyday lives and is com- monly exploited in the design of technologies (e.g., the creation of humanlike ani- mals and plants in cartoon films, the design of toys that have human qualities). The approach is also becoming more widespread in interaction design, through the in- troduction of agents in a range of domains. What is anthropomorphism? It is well known that people readily attribute human qualities to their pets and their cars, and, conversely, are willing to accept human attributes that have been assigned by others to cartoon characters, robots, toys, and other inanimate objects. Advertisers are well aware of this phenomenon and often create humanlike characters out of inanimate objects to promote their products. For example, breakfast cereals, butter, and fruit drinks have all been transmogrified into characters with human qualities (they move, talk, have person- alities, and show emotions), enticing the viewer to buy them. Children are espe- cially susceptible to this kind of "magic," as witnessed in their love of cartoons, where all manner of inanimate objects are brought to life with humanlike qualities. Examples of its application to system design The finding that people, especially children, have a propensity to accepting and en- joying objects that have been given humanlike qualities has led many designers into capitalizing on it, most prevalently in the design of human-computer dialogs modeled on how humans talk to each other. A range of animated screen charac- ters, such as agents, friends, advisors and virtual pets, have also been developed. Anthropomorphism has also been used in the development of cuddly toys that are embedded with computer systems. Commercial products like ~ c t i ~ a t e s ~ ~ have been designed to try to encourage children to learn through playing with the cuddly toys. For example, Barney attempts to motivate play in children by using human-based speech and movement (Strommen, 1998). The toys are programmed to react to the child and make comments while watching TV together or working together on a computer-based task (see Figure 1.2 in Color Plate 1). In particular, Barney is programmed to congratulate the child whenever he or she gets a right an- swer and also to react to the content on screen with appropriate emotions (e.g., cheering at good news and expressing concern at bad news). Arguments for exploiting this behavior An underlying argument in favor of the anthropomorphic approach is that furnish- ing interactive systems with personalities and other humanlike attributes makes them more enjoyable and fun to interact with. It is also assumed that they can moti-
  • 186.
    5.5 A debate:the application of anthropomorphism to interaction design 155 vate people to carry out the tasks suggested (e.g., learning material, purchasing goods) more strongly than if they are presented in cold, abstract computer lan- guage. Being addressed in first person (e.g., "Hello Chris! Nice to see you again. Welcome back. Now what were we doing last time? Oh yes, exercise 5. Let's start again.") is much more endearing than being addressed in the impersonal third per- son ("User 24, commence exercise 5'7, especially for children. It can make them feel more at ease and reduce their anxiety. Similarly, interacting with screen char- acters like tutors and wizards can be much pleasanter than interacting with a cold dialog box or blinking cursor on a blank screen. Typing a question in plain English, using a search engine like Ask Jeeves (which impersonates the well-known ficti- tious butler), is more natural and personable than thinking up a set of keywords, as required by other search engines. At the very least, anthropomorphic interfaces are a harmless bit of fun. Arguments against exploiting this behavior There have been many criticisms of the anthropomorphic approach. Shneiderman (1998), one of the best known critics, has written at length about the problems of attributing human qualities to computer systems. His central argument is that an- thropomorphic interfaces, especially those that use first-person dialog and screen characters, are downright deceptive. An unpleasant side effect is that they can make people feel anxious, resulting in them feeling inferior or stupid. A screen tutor that wags its finger at the user and says, "Now, Chris, that's not right! Try again. You can do better." is likely to feel more humiliating than a system dialog box saying, "Incorrect. Try again." Anthropomorphism can also lead people into a false sense of belief, enticing them to confide in agents called "software bots" that reside in chatrooms and other electronic spaces, pretending to be conversant human beings. By far the most com- mon complaint against computers pretending to have human qualities, however, is that people find them very annoying and frustrating. Once users discover that the system cannot really converse like a human or does not possess real human quali- ties (like having a personality or being sincere), they become quickly disillusioned and subsequently distrust it. E-commerce sites that pretend to be caring by present- ing an assortment of virtual assistants, receptionists, and other such helpers are seen for what they really are-artificial and flaky. Children and adults alike also are quickly bored and annoyed with applications that are fronted by artificial screen characters (e.g., tutor wizards) and simply ignore whatever they might suggest. Evidence for the motion A number of studies have investigated people's reactions and responses to comput- ers that have been designed to be more humanlike. A body of work reported by Reeves and Nass (1996) has identified several benefits of the anthropomorphic ap- proach. They found that computers that were designed to flatter and praise users when they did something right had a positive impact on how they felt about them- selves. For example, an educational program was designed to say, "Your question makes an interesting and useful distinction. Great job!" after a user had contributed
  • 187.
    156 Chapter 5 Understanding how interfaces affect users a new question to it. Students enjoyed the experience and were more willing to con- tinue working with the computer than were other students who were not praised by the computer for doing the same things. In another study, Walker et al. (1994) com- pared people's responses to a talking-face display and an equivalent text-only one and found that people spent more time with the talking-face display than the text- only one. When given a questionnaire to fill in, the face-display group made fewer mistakes and wrote down more comments. In a follow-up study, Sproull et al. (1996) again found that users reacted quite differently to the two interfaces, with users presenting themselves in a more positive light to the talking-face display and generally interacting with it more. Evidence against the motion Sproull et al.'s studies also revealed, however, that the talking-face display made some users feel somewhat disconcerted and displeased. The choice of a stern talk- ing face may have been a large contributing factor. Perhaps a different kind of re- sponse would have been elicited if a friendlier smiling face had been used. Nevertheless, a number of other studies have shown that increasing the "human- ness" of an interface is counterproductive. People can be misled into believing that a computer is like a human, with human levels of intelligence. For example, one study investigating user's responses to interacting with agents at the interface rep- resented as human guides found that the users expected the agents to be more hu- manlike than they actually were. In particular, they expected the agents to have personality, emotion, and motivation-even though the guides were portrayed on the screen as simple black and white static icons (see Figure 5.8). Furthermore, the users became disappointed when they discovered the agents did not have any of these characteristics (Oren et al., 1990). In another study comparing an anthropo- morphic interface that spoke in the first person and was highly personable (HI THERE, JOHN! IT'S NICE TO MEET YOU, I SEE YOU ARE READY NOW) with a mechanistic one that spoke in third person (PRESS THE ENTER KEY TO Figure 5.8 Guides of histori- cal characters.
  • 188.
    5.6 Virtual characters:agents BEGIN SESSION), the former was rated by college students as less honest and it 157 I made them feel less responsible for their actions (Quintanar et al., 1982). Casting your vote: On the basis of this debate and any other articles on the topic (see Section 5.6 and the recommended readings at the end of this chapter) together with your experiences with anthropomorphic interfaces, make up your mind whether you are for or against the motion. 5.6 Virtual characters: agents As mentioned in the debate above, a whole new genre of cartoon and life-like char- ~ acters has begun appearing on our computer screens-as agents to help us search I the web, as e-commerce assistants that give us information about products, as char- acters in video games, as learning companions or instructors in educational pro- grams, and many more. The best known are videogame stars like Lara Croft and Super Mario. Other kinds include virtual pop stars (See Figure 5.9 on Color Plate 6), virtual talk-show hosts, virtual bartenders, virtual shop assistants, and virtual newscasters. Interactive pets (e.g., Aibo) and other artificial anthropomorphized characters (e.g., Pokemon, Creatures) that are intended to be cared for and played with by their owners have also proved highly popular. 5.6.1 Kinds of agents Below we categorize the different kinds of agents in terms of the degree to which they anthropomorphize and the kind of human or animal qualities they emulate. These are (1) synthetic characters, (2) animated agents, (3) emotional agents, and (4) embodied conversational interface agents. 1. Synthetic characters These are commonly designed as 3D characters in video games or other forms of entertainment, and can appear as a first-person avatar or a third-person agent. Much effort goes into designing them to be lifelike, exhibiting realistic human movements, like walking and running, and having distinct personalities and traits. The design of the characters' appearance, their facial expressions, and how their lips move when talking are also considered important interface design concerns. Bruce Blumberg and his group at MIT are developing autonomous animated creatures that live in virtual 3D environments. The creatures are autonomous in that they decide what to do, based on what they can sense of the 3D world, and how they feel, based on their internal states. One of the earliest creatures to be de- veloped was Silas T. Dog (Blumberg, 1996). The 3D dog looks like a cartoon crea- ture (colored bright yellow) but is designed to behave like a real dog (see Figure 5.10). For example, he can walk, run, sit, wag his tail, bark, cock his leg, chase sticks, and rub his head on people when he is happy. He navigates through his world by using his "nose" and synthetic vision. He also has been programmed with various internal goals and needs that he tries to satisfy, including wanting to play
  • 189.
    158 Chapter 5 Understanding how interfaces affect users Figure 5.1 0 User interacting with Silas the dog in (a) physical world (b) virtual world, and 1 (c) close-up of Silas. and have company. He responds to events in the environment; for example, he be- comes aggressive if a hamster enters his patch. A person can interact with Silas by making various gestures that are detected by a computer-vision system. For example, the person can pretend to throw a stick, which is recognized as an action that Silas responds to. An image of the person is also pro- jected onto a large screen so that he can be seen in relation to Silas (see Figure 5.10). Depending on his mood, Silas will run after the stick and return it (e.g., when he is happy and playful) or cower and refuse to fetch it (e.g., when he is hungry or sad). 2. Animated agents These are similar to synthetic characters except they tend to be designed to play a collaborating role at the interface. Typically, they appear at the side of the screen as tutors, wizards and helpers intended to help users perform a task. This might be designing a presentation, writing an essay or learning about a topic. Most of the characters are designed to be cartoon-like rather than resemble human beings. An example of an animated agent is Herman the Bug, who was developed by In- tellimedia at North Carolina State University to teach children from kindergarten to high school about biology (Lester et al., 1997). Herman is a talkative, quirky insect that flies around the screen and dives into plant structures as it provides problem- solving advice to students (See Figure 5.11 on Color Plate 7). When providing its ex- planations it performs a range of activities including walking, flying, shrinking, expanding, swimming, bungee jumping, acrobatics, and teleporting. Its behavior in- cludes 30 animated segments,160 canned audio clips, and a number of songs. Herman offers advice on how to perform tasks and also tries to motivate students to do them. 3. Emotional agents These are designed with a predefined personality and set of emotions that are ma- nipulated by users. The aim is to allow people to change the moods or emotions of agents and see what effect it has on their behavior. Various mood changers are pro-
  • 190.
    5.6 Virtual characters:agents 159 vided at the interface in the form of sliders and icons. The effect of requesting an animated agent to become very happy, sad, or grumpy is seen through changes to their behavior, For example, if a user moves a slider to a "scared" position on an emotional scale, the agent starts behaving scared, hiding behind objects and mak- ing frightened facial expressions. The Woggles are one of the earliest forms of emotional agents (Bates, 1994). A group of agents was designed to appear on the screen that played games with one another, such as hide and seek. They were designed as different colored bouncy balls with cute facial expressions. Users could change their moods (e.g., from happy to sad) by moving various sliders, which in turn changed their movement (e.g., they bounced less), facial expression (e.g., they no longer smiled), and how willing they were to play with the other Woggles (See Figure 5.12 on Color Plate 7). 4. Embodied conversational interface agents Much of the research on embodied conversational interface agents has been con- cerned with how to emulate human conversation. This has included modeling vari- ous conversational mechanisms such as: recognizing and responding to verbal and non-verbal input generating verbal and non-verbal output coping with breakdowns, turn-taking and other conversational mechanisms giving signals that indicate the state of the conversation as well as contribut- ing new suggestions for the dialog (Cassell, 2000, p.72) In many ways, this approach is the most anthropomorphic in its aims of all the agent research and development. Rea is an embodied real-estate agent with a humanlike body that she uses in humanlike ways during a conversation (Cassell, 2000). In particular, she uses eye gaze, body posture, hand gestures, and facial expressions while talking (See Figure 5.13 on Color Plate 8). Although the dialog appears relatively simple, it involves a sophisticated underlying set of conversational mechanisms and gesture-recognition techniques. An example of an actual interaction with Rea is: Mike approaches the screen and Rea turns to face him and says: "Hello. How can I help you?" Mike: "I'm looking to buy a place near MIT." Rea nods, indicating she is following. Rea: "I have a house to show you" (picture of a house appears on the screen). "It is in Somerville." Mike: "Tell me about it." Rea looks up and away while she plans what to say. Rea: "It's big." Rea makes an expansive gesture with her hands.
  • 191.
    160 Chapter 5 Understanding how interfaces affect users Mike brings his hands up as if to speak, so Rea does not continue, waiting for him to speak. Mike: "Tell me more about it." Rea: "Sure thing. It has a nice garden . . ." Which of the various kinds of agents described above do you think are the most convincing? Is it those that try to be as humanlike as possible or those that are designed to be simple, car- toon-based animated characters? Comment We argue that the agents that are the most successful are ironically those that are least 1 like humans. The reasons for this include that they appear less phony and are not trying to pretend they are more intelligent or human than they really are. However, others 1 would argue that the more humanlike they are, the more believable they are and hence the more convincing. I 5.6.2 General design concerns Believability of virtual characters One of the major concerns when designing agents and virtual characters is how to make them believable. By believability is meant "the extent to which users inter- acting with an agent come to believe that it has its own beliefs, desires and person- ality" (Lester and Stone, 1997, p 17). In other words, a virtual character that a person can believe in is taken as one that allows users to suspend their disbelief. A key aspect is to match the personality and mood of the character to its actions. This requires deciding what are appropriate behaviors (e.g., jumping, smiling, sitting, raising arms) for different kinds of emotions and moods. How should the emotion "very happy" be expressed? Through a character jumping up and down with a big grin on its face? What about moderately happy-through a character jumping up and down with a small grin on its face? How easy is it for the user to distinguish be- tween these two and other emotions that are expressed by the agents? How many emotions are optimal for an agent to express? Appearance The appearance of an agent is very important in making it believable. Parsimony and simplicity are key. Research findings suggest that people tend to prefer simple car- toon-based screen characters to detailed images that try to resemble the human form as much as possible (Scaife and Rogers, 2001). Other research has also found that simple cartoon-like figures are preferable to real people pretending to be artificial agents. A project carried out by researchers at Apple Computer Inc. in the 80s found that people reacted quite differently to different representations of the same inter- face agent. The agent in question, called Phil, was created as part of a promotional
  • 192.
    5.6 Virtual characters:agents 1 61 Figure 5.14 Two versions of Phil, the agent assistant that appeared in Apple's promo- tional video called the Knowledge Navigator (a) as a real actor pretending to be a computer agent and (b) as a cartoon being an agent. Phil was created by Doris Mitsch and the actor Phil was Scott Freeman. video called "The Knowledge Navigator." He was designed to respond and behave just like a well-trained human assistant. In one version, he was played by a real actor that appeared on a university professor's computer screen. Thus, he was portrayed as an artificial agent but was played by a real human. The actor was a smartly dressed assistant wearing a white shirt and bow tie. He was also extremely polite. He per- formed a number of simple tasks at the computer interface, such as reminding the professor of his appointments for that day and alerting him to phone calls waiting. Many people found this version of Phil unrealistic. After viewing the promotional video, people complained about him, saying that he seemed too stupid. In another version, Phil was designed as a simple line-drawn cartoon with limited animation (see Figure 5.14) and was found to be much more likeable (see Laurel, 1993). Behavior Another important consideration in making virtual characters believable is how convincing their behavior is when performing actions. In particular, how good are they at pointing out relevant objects on the screen to the user, so that the user knows what they are referring to? One way of achieving this is for the virtual char- acter to "lead" with its eyes. For example, Silas the dog turns to look at an object or a person before he actually walks over to it (e.g., to pick the object up or to invite the person to play). A character that does not lead with its eyes looks very mechan- ical and as such not very life-like (Maes, 1995). As mentioned previously, an agent's actions need also to match their underly- ing emotional state. If the agent is meant to be angry, then its body posture, move- ments, and facial expression all need to be integrated to show this. How this can be achieved effectively can be learned from animators, who have a long tradition in this field. For example, one of their techniques is to greatly exaggerate expressions
  • 193.
    162 Chapter 5 Understanding how interfaces affect users and movements as a way of conveying and drawing attention to an emotional state of a character. Mode of interaction The way the character communicates with the user is also important. One approach has been towards emulating human conversations as much as possible to make the character's way of talking more convincing. However, as mentioned in the debate above, a drawback of this kind of masquerading is that people can get annoyed eas- ily and feel cheated. Paradoxically, a more believable and acceptable dialog with a virtual character may prove to be one that is based on a simple art@cial mode of in- teraction, in which prerecorded speech is played at certain choice points in the in- teraction and the user's responses are limited to selecting menu options. The reason why this mode of interaction may ultimately prove more effective is because the user is in a better position to understand what the agent is capable of doing. There is no pretence of a stupid agent pretending to be a smart human. Assignment This assignment requires you to write a critique of the persuasive impact of virtual sales agents on customers. Consider what it would take for a virtual sales agent to be believable, trustwor- thy, and convincing, so that customers would be reassured and happy to buy something based on its recommendations. (a) Look at some e-commerce sites that use virtual sales agents (use a search engine to find sites or start with Miss Boo at boo.com, which was working at time of printing) and answer the following: What do the virtual agents do? What type of agent are they? Do they elicit an emotional response from you? If so, what is it? What kind of personality do they have? How is this expressed? What kinds of behavior do they exhibit? What are their facial expressions like? What is their appearance like? Is it realistic or cartoon-like? Where do they appear on the screen? How do they communicate with the user (text or speech)? Is the level of discourse patronizing or at the right level? Are the agents helpful in guiding the customer towards making a purchase? Are they too pushy? What gender are they? Do you think this makes a difference? Would you trust the agents to the extent that you would be happy to buy a prod- uct from them? If not, why not? What else would it take to make the agents persuasive?
  • 194.
    Further reading 163 (b) Next, look at an e-commerce website that does not include virtual sales agents but is based on a conceptual model of browsing (e.g., Amazon.com). How does it com- pare with the agent-based sites you have just looked at? Is it easy to find information about products? What kind of mechanism does the site use to make recommendations and guide the user in making a purchase? Is any kind of personalization used at the interface to make the user feel welcome or special? Would the site be improved by having an agent? Explain your reasons either way. (c) Finally, discuss which site you would trust most and give your reasons for this. Summary This chapter has described the different ways interactive products can be designed (both de- liberately and inadvertently) to make people respond in certain ways. The extent to which users will learn, buy a product online, chat with others, and so on depends on how comfort- able they feel when using a product and how well they can trust it. If the interactive product is frustrating to use, annoying, or patronizing, users easily get angry and despondent, and often stop using it. If, on the other hand, the system is a pleasure, enjoyable to use, and makes the users feel comfortable and at ease, then they are likely to continue to use it, make a purchase, return to the website, continue to learn, etc. This chapter has described various interface mechanisms that can be used to elicit positive emotional responses in users and ways of avoiding negative ones. Key points Affective aspects of interaction design are concerned with the way interactive systems make people respond in emotional ways. Well-designed interfaces can elicit good feelings in people. Aesthetically pleasing interfaces can be a pleasure to use. Expressive interfaces can provide reassuring feedback to users as well as be informative and fun. Badly designed interfaces often make people frustrated and angry. Anthropomorphism is the attribution of human qualities to objects. An increasingly popular form of anthropomorphism is to create agents and other vixtual characters as part of an interface. People are more accepting of believable interface agents. People often prefer simple cartoon-like agents to those that attempt to be humanlike. Further reading TURKLE, S. (1995) Life on the Screen. New York: Simon and puter-based applications. Sherry Turkle discusses at length Schuster. This classic covers a range of social impact and af- how computers, the Internet, software, and the design of in- fective aspects of how users interact with a variety of corn- terfaces affect our identities.
  • 195.
    164 Chapter 5 Understanding how interfaces affect users Two very good papers on interface agents can be found in MAES, P. (1995) Artificial life meets entertainment: lifelike Brenda Laurel's (ed.) The Art of Human-Computer Interface autonomous agents. Communications of the ACM, 38. (ll), Design (1990) Reading, MA.: Addison Wesley: 108-114. Pattie Maes has written extensively about the role and design of intelligent agents at the interface. This paper B. LAUREL, (1990) Interface agents: metaphor with charac- provides a good review of some of her work in this field. ter, 355-366 Excerpts from a lively debate between Pattie Maes and Ben T., OREN. SALOMON, G., KREITMAN, AND DON. A. (1990) K., Shneiderman on "Direct manipulation vs. interface agents" Guides: characterizing the interface, 367-381 can be found ACM Interactions Magazine, 4 (6) (1997), 4241.
  • 196.
    Chapter 6 The process of interaction design 6.1 Introduction 6.2 What is interaction design about? 6.2.1 Four basic activities of interaction design 6.2.2 Three key characteristics of the interaction design process 6.3 Some practical issues 6.3.1 Who are the users? 6.3.2 What do we mean by "needs"? 6.3.3 How do you generate alternative designs? 6.3.4 How do you choose among alternative designs? 6.4 Lifecycle models: showing how the activities are related 6.4.1 A simple lifecycle model for interaction design 6.4.2 Lifecycle models in software engineering 6.4.3 Lifecycle models in HCI 6.1. Introduction Design is a practical and creative activity, the ultimate intent of which is to develop a product that helps its users achieve their goals. In previous chapters, we looked at different kinds of interactive products, issues you need to take into account when doing interaction design and some of the theoretical basis for the field. This chapter is the first of four that will explore how we can design and build interactive products. Chapter 1 defined interaction design as being concerned with "designing inter- active products to support people in their everyday and working lives." But how do you go about doing this? Developing a product must begin with gaining some understanding of what is required of it, but where do these requirements come from? Whom do you ask about them? Underlying good interaction design is the philosophy of user-centered design, i.e., involving users throughout development, but who are the users? Will they know what they want or need even if we can find them to ask? For an innova- tive product, users are unlikely to be able to envision what is possible, so where do these ideas come from? In this chapter, we raise and answer these kinds of questions and discuss the four basic activities and key characteristics of the interaction design process that
  • 197.
    166 Chapter 6 The process of interaction design were introduced in Chapter 1. We also introduce a lifecycle model of interaction design that captures these activities and characteristics. The main aims of this chapter are to: Consider what 'doing' interaction design involves. Ask and provide answers for some important questions about the interaction design process. Introduce the idea of a lifecycle model to represent a set of activities and how they are related. Describe some lifecycle models from software engineering and HCI and dis- cuss how they relate to the process of interaction design. Present a lifecycle model of interaction design. 6.2 What is interaction design about? There are many fields of design, for example graphic design, architectural design, industrial and software design. Each discipline has its own interpretation of "de- signing." We are not going to debate these different interpretations here, as we are focussing on interaction design, but a general definition of "design" is informative in beginning to understand what it's about. The definition of design from the Ox- ford English Dictionary captures the essence of design very well: "(design is) a plan or scheme conceived in the mind and intended for subsequent execution." The act of designing therefore involves the development of such a plan or scheme. For the plan or scheme to have a hope of ultimate execution, it has to be informed with knowledge about its use and the target domain, together with practical constraints such as materials, cost, and feasibility. For example, if we conceived of a plan for building multi-level roads in order to overcome traffic congestion, before the plan could be executed we would have to consider drivers' attitudes to using such a con- struction, the viability of the structure, engineering constraints affecting its feasibil- ity, and cost concerns. In interaction design, we investigate the artifact's use and target domain by taking a user-centered ap'proach to development. This means that users' concerns direct the development rather than technical concerns. Design is also about trade-offs, about balancing conflicting requirements. If we take the roads plan again, there may be very strong environmental arguments for stacking roads higher (less countryside would be destroyed), but these must be bal- anced against engineering and financial limitations that make the proposition less attractive. Getting the balance right requires experience, but it also requires the de- velopment and evaluation of alternative solutions. Generating alternatives is a key principle in most design disciplines, and one that should be encouraged in interac- tion design. As Marc Rettig suggested: "To get a good idea, get lots of ideas" (Ret- tig, 1994). However, this is not necessarily easy, and unlike many design disciplines, interaction designers are not generally trained to generate alternative designs. However, the ability to brainstorm and contribute alternative ideas can be learned, and techniques from other design disciplines can be successfully used in interaction
  • 198.
    6.2 What isinteraction design about? design. For example, Danis and Boies (2000) found that using techniques from 167 I graphic design that encouraged the generation of alternative designs stimulated in- novative interactive systems design. See also the interview with Gillian Crampton Smith at the end of this chapter for her views on how other aspects of traditional design can help produce good interaction design. Although possible, it is unlikely that just one person will be involved in devel- oping and using a system and therefore the plan must be communicated. This re- quires it to be captured and expressed in some suitable form that allows review, revision, and improvement. There are many ways of doing this, one of the simplest being to produce a series of sketches. Other common approaches are to write a de- ~ scription in natural language, to draw a series of diagrams, and to build prototypes. A combination of these techniques is likely to be the most effective. When users are involved, capturing and expressing a design in a suitable format is especially important since they are unlikely to understand jargon or specialist notations. In fact, a form that users can interact with is most effective, and building prototypes of one form or another (see Chapter 8) is an extremely powerful approach. So interaction design involves developing a plan which is informed by the product's intended use, target domain, and relevant practical considerations. Alter- native designs need to be generated, captured, and evaluated by users. For the evaluation to be successful, the design must be expressed in a form suitable for users to interact with. Imagine that you want to design an electronic calendar or diary for yourself. You might use this system to plan your time, record meetings and appointments, mark down people's birth- days, and so on, basically the kinds of things you might do with a paper-based calendar. Draw a sketch of the system outlining its functionality and its general look and feel. Spend about five minutes on this. Having produced an outline, now spend five minutes reflecting on how you went about tackling this activity. What did you do first? Did you have any particular artifacts or experi- ence to base your design upon? What process did you go through? Comment The sketch I produced is shown in Figure 6.1. A S you can see, I was quite heavily influenced by the paper-based books I currently use! I had in mind that this calendar should allow me to record meetings and appointments, so I need a section representing the days and months. But I also need a section to take notes. I am a prolific note-taker, and so for me this was a key requirement. Then I began to wonder about how I could best use hyperlinks. I certainly want to keep addresses and telephone numbers in my calendar, so maybe there could be a link between, say, someone's name in the calendar and their entry in my address book that will give me their contact details when I need them? But I still want the ability to be able to turn page by page, for when I'm scanning or thinking about how to organize my time. A search facility would be useful too. The first thing that came into my head when I started doing this was my own paper-based book where I keep appointments, maps, telephone numbers, and other small notes. I also thought about my notebook and how convenient it would be to have the two combined. Then I sat and sketched different ideas about how it might look (although I'm not very good at sketching). The sketch in Figure 6.1 is the version I'm happiest with. Note that my sketch
  • 199.
    168 Chapter 6 The process of interaction design link t o address book i links always available link t o turn t o notes section next page Figure 6.1 An outline sketch of an electronic calendar. has a strong resemblance to a paper-based book, yet I've also tried to incorporate electronic capabilities. Maybe once I have evaluated this design and ensured that the tasks I want to perform are supported, then I will be more receptive to changing the look away from a paper-based "look and feel." The exact steps taken to produce a product will vary from designer to designer, from product to product, and from organization to organization. In this activity, you may have started by thinking about what you'd like such a system to do for you, or you may have been thinking about an existing paper calendar. You may have mixed together features of differ- ent systems or other record-keeping support. Having got or arrived at an idea of what you wanted, maybe you then imagined what it might look like, either through sketching with paper and pencil or in your mind. 6.2.1 Four basic activities of interaction design Four basic activities for interaction design were introduced in Chapter 1, some of which you will have engaged in when doing Activity 6.1. These are: identifying needs and establishing requirements, developing alternative designs that meet those requirements, building interactive versions so that they can be communicated and assessed, and evaluating them, i.e., measuring their acceptability. They are fairly generic activities and can be found in other designs disciplines too. For exam- ple, in architectural design (RIBA, 1988) basic requirements are established in a work stage called "inception", alternative design options are considered in a "feasi- bility" stage and "the brief" is developed through outline proposals and scheme de-
  • 200.
    6.2 What is interaction design about? 169 sign. During this time, prototypes may be built or perspectives may be drawn to give clients a better indication of the design being developed. Detail design speci- fies all components, and working drawings are produced. Finally, the job arrives on site and building commences. We will be expanding on each of the basic activities of interaction design in the next two chapters. Here we give only a brief introduction to each. Identifying needs and establishing requirements In order to design something to support people, we must know who our target users are and what kind of support an interactive product could usefully provide. These needs form the basis of the product's requirements and underpin subsequent design and development. This activity is fundamental to a user-centered approach, and is very important in interaction design; it is discussed further in Chapter 7. Developing alternative designs This is the core activity of designing: actually suggesting ideas for meeting the re- quirements. This activity can be broken up into two sub-activities: conceptual design and physical design. Conceptual design involves producing the conceptual model for the ~roduct, and a conceptual model describes what the product should do, behave and look like. Physical design considers the detail of the product including the col- ors, sounds, and images to use, menu design, and icon design. Alternatives are con- sidered at every point. You met some of the ideas for conceptual design in Chapter 2; we go into more detail about conceptual and physical design in Chapter 8. Building interactive versions of the designs Interaction design involves designing interactive products. The most sensible way for users to evaluate such designs, then, is to interact with them. This requires an interactive version of the designs to be built, but that does not mean that a software version is required. There are different techniques for achieving "interaction," not all of which require a working piece of software. For example, paper-based proto- types are very quick and cheap to build and are very effective for identifying prob- lems in the early stages of design, and through role-playing users can get a real sense of what it will be like to interact with the product. This aspect is also covered in Chapter 8. Evaluating designs Evaluation is the process of determining the usability and acceptability of the prod- uct or design that is measured in terms of a variety of criteria including the number of errors users make using it, how appealing it is, how well it matches the requirements, and so on. Interaction design requires a high level of user involvement throughout development, and this enhances the chances of an acceptable product being deliv- ered. In most design situations you will find a number of activities concerned with
  • 201.
    170 Chapter 6 The process of interaction design quality assurance and testing to make sure that the final product is "fit-for-purpose." I Evaluation does not replace these activities, but complements and enhances them. We devote Chapters 10 through 14 to the important subject of evaluation. The activities of developing alternative designs, building interactive versions of the design, and evaluation are intertwined: alternatives are evaluated through the interactive versions of the designs and the results are fed back into further design. This iteration is one of the key characteristics of the interaction design process, which we introduced in Chapter 1. 6.2.2 Three key characteristics of the interaction design process There are three characteristics that we believe should form a key part of the interac- I tion design process. These are: a user focus, specific usability criteria, and iteration. The need to focus on users has been emphasized throughout this book, so you will not be surprised to see that it forms a central plank of our view on the interac- tion design process. While a process cannot, in itself, guarantee that a development will involve users, it can encourage focus on such issues and provide opportunities I for evaluation and user feedback. Specific usability and user experience goals should be identified, clearly docu- mented, and agreed upon at the beginning of the project. They help designers to choose between different alternative designs and to check on progress as the prod- uct is developed. Iteration allows designs to be refined based on feedback. As users and design- ers engage with the domain and start to discuss requirements, needs, hopes and as- pirations, then different insights into what is needed, what will help, and what is feasible will emerge. This leads to a need for iteration, for the activities to inform each other and to be repeated. However good the designers are and however clear the users may think their vision is of the required artifact, it will be necessary to re- vise ideas in light of feedback, several times. This is particularly true if you are try- ing to innovate. Innovation rarely emerges whole and ready to go. It takes time, evolution, trial and error, and a great deal of patience. Iteration is inevitable be- cause designers never get the solution right the first time (Gould and Lewis, 1985). We shall return to these issues and expand upon them in Chapter 9. 6.3 S o m e practical issues Before we consider hbw the activities and key characteristics of interaction design can be pulled together into a coherent process, we want to consider some questions highlighted by the discussion so far. These questions must be answered if we are going to be able to "do" interaction design in practice. These are: Who are the users? What do we mea; by needs? How do you generate alternative designs? How do you choose among alternatives?
  • 202.
    6.3 Some practicalissues 171 6.3.1 Who are the users? In Chapter 1, we said that an overarching objective of interaction design is to opti- mize the interactions people have with computer-based products, and that this re- quires us to support needs, match wants, and extend capabilities. We also stated above that the activity of identifying these needs and establishing requirements was fundamental to interaction design. However, we can't hope to get very far with this intent until we know who the users are and what they want to achieve. As a starting point, therefore, we need to know who we consult to find out the users' require- ments and needs. Identifying the users may seem like a straightforward activity, but in fact there are many interpretations of "user." The most obvious definition is those people who interact directly with the product to achieve a task. Most people would agree with this definition; however, there are others who can also be thought of as users. For example, Holtzblatt and Jones (1993) include in their definition of "users" those who manage direct users, those who receive products from the system, those who test the system, those who make the purchasing de- cision, and those who use competitive products. Eason (1987) identifies three categories of user: primary, secondary and tertiary. Primary users are those likely to be frequent hands-on users of the system; secondary users are occa- sional users or those who use the system through an intermediary; and tertiary users are those affected by the introduction of the system or who will influence its purchase. The trouble is that there is a surprisingly wide collection of people who all have a stake in the development of a successful product. These people are called stakeholders. Stakeholders are "people or organizations who will be affected by the system and who have a direct or indirect influence on the system require- ments" (Kotonya and Sommerville, 1998). Dix et al. (1993) make an observation that is very pertinent to a user-centered view of development, that "It will fre- quently be the case that the formal 'client' who orders the system falls very low on the list of those affected. Be very wary of changes which take power, influ- ence or control from some stakeholders without returning something tangible in its place." Generally speaking, the group of stakeholders for a particular product is going to be larger than the group of people you'd normally think of as users, al- though it will of course include users. Based on the definition above, we can see that the group of stakeholders includes the development team itself as well as its managers, the direct users and their managers, recipients of the product's out- put, people who may lose their jobs because of the introduction of the new prod- uct, and so on. For example, consider again the calendar system in Activity 6.1. According to the description we gave you, the user group for the system has just one member: you. However, the stakeholders for the system would also include people you make appointments with, people whose birthdays you remember, and even com- panies that produce paper-based calendars, since the introduction of an elec- tronic calendar may increase competition and force them to operate differently.
  • 203.
    172 Chapter 6 The process of interaction design This last point may seem a little exaggerated for just one system, but if you think of others also migrating to an electronic version, and abandoning their paper cal- endars, then you can see how the companies may be affected by the introduction of the system. The net of stakeholders is really quite wide! We do not suggest that you need to involve all of the stakeholders in your user-centered approach, but it is impor- tant to be aware of the wider impact of any product you are developing. Identifying the stakeholders for your project means that you can make an informed decision about who should be involved and to what degree. Who do you think are the stakeholders for the check-out system of a large supermarket? Comment First, there are the check-out operators. These are the people who sit in front of the machine and pass the customers' purchases over the bar code reader, receive payment, hand over re- ceipts, etc. Their stake in the success and usability of the system is fairly clear and direct. Then you have the customers, who want the system to work properly so that they are charged the right amount for the goods, receive the correct receipt, are served quickly and efficiently. Also, the customers want the check-out operators to be satisfied and happy in their work so that they don't have to deal with a grumpy assistant. Outside of this group, you then have supermarket managers and supermarket owners, who also want the assistants to be happy and efficient and the customers to be satisfied and not complaining. They also don't want to lose money because the system can't handle the payments correctly. Other people who will be affected by the success of the system include other supermarket employ- ees such as warehouse staff, supermarket suppliers, supermarket owners' families, and local shop owners whose business would be affected by the success or failure of the system. We wouldn't suggest that you should ask the local shop owner about requirements for the super- market check-out system. However, you might want to talk to warehouse staff, especially if the system links in with stock control or other functions. 6.3.2 What do we mean by "needs"? If you had asked someone in the street in the late 1990s what she 'needed', I doubt that the answer would have included interactive television, or a jacket which was wired for communication, or a smart fridge. If you presented the same person with these possibilities and asked whether she would buy them if they were available, then the answer would have been different. When we talk about identifying needs, therefore, it's not simply a question of asking people, "What do you need?" and then supplying it, because people don't necessarily know what is possible (see Suzanne Robertson's interview at the end of Chapter 7 for "un-dreamed-of" re- quirements). Instead, we have to approach it by understanding the characteristics and capabilities of the users, what they are trying to achieve, how they achieve it currently, and whether they would achieve their goals more effectively if they were supported differently. There are many dimensions along which a user's capabilities and characteris- tics may vary, and that will have an impact on the product's design. You have met
  • 204.
    6.3 Some practicalissues 173 some of these in Chapter 3. For example, a person's physical characteristics may af- fect the design: size of hands may affect the size and positioning of input buttons, and motor abilities may affect the suitability of certain input and output devices; height is relevant in designing a physical kiosk, for example; and strength in design- ing a child's toy- toy should not require too much strength to operate, but may a require strength greater than expected for the target age group to change batteries or perform other operations suitable only for an adult. Cultural diversity and expe- rience may affect the terminology the intended user group is used to, or how ner- vous about technology a set of users may be. If a product is a new invention, then it can be difficult to identify the users and representative tasks for them; e.g., before microwave ovens were invented, there were no users to consult about requirements and there were no representative tasks to identify. Those developing the oven had to imagine who might want to use such an oven and what they might want to do with it. It may be tempting for designers simply to design what they would like, but their ideas would not necessarily coincide with those of the target user group. It is imperative that representative users from the real target group be consulted. For example, a company called Netpliance was developing a new "Internet appli- ance," i.e., a product that would seamlessly integrate all the services necessary for the user to achieve a specific task on the Internet (Isensee et al., 2000). They took a user-centered approach and employed focus group studies and surveys to under- stand their customers' needs. The marketing department led these efforts, but de- velopers observed the focus groups to learn more about their intended user group. Isensee et al. (p. 60) observe that "It is always tempting for developers to create products they would want to use or similar to what they have done before. How- ever, in the Internet appliance space, it was essential to develop for a new audi- ence that desires a simpler product than the computer industry has previously provided." In these circumstances, a good indication of future behavior is current or past behavior. So it is always useful to start by understanding similar behavior that is already established. Apart from anything else, introducing something new into people's lives, especially a new "everyday" item such as a microwave oven, requires a culture change in the target user population, and it takes a long time to effect a culture change. For example, before cell phones were so widely avail- able there were no users and no representative tasks available for study, per se. But there were standard telephones and so understanding the tasks people per- form with, and in connection with, standard telephones was a useful place to start. Apart from making a telephone call, users also look up people's numbers, take messages for others not currently available, and find out the number of the last person to ring them. These kinds of behavior have been translated into memories for the telephone, answering machines, and messaging services for mobiles. In order to maximize the benefit of e-commerce sites, traders have found that referring back to customers' non-electronic habits and behaviors can be a good basis for enhancing e-commerce activity (CHI panel, 2000; Lee et al., 2000).
  • 205.
    I 174 Chapter 6 The process of interaction design 6.3.3 How do you generate alternative designs? A common human tendency is to stick with something that we know works. We probably recognize that a better solution may exist out there somewhere, but it's very easy to accept this one because we know it works-it's "good enough." Set- tling for a solution that is good enough is not, in itself, necessarily "bad," but it may be undesirable because good alternatives may never be considered, and considering alternative solutions is a crucial step in the process of design. But where do these alternative ideas come from? One answer to this question is that they come from the individual designer's flair and creativity. While it is certainly true that some people are able to produce wonderfully inspired designs while others struggle to come up with any ideas at all, very little in this world is completely new. Normally, innovations arise through cross-fertilization of ideas from different applications, the evolution of an existing product through use and observation, or straightforward copying of other, similar products. For example, if you think of something commonly believed to be an "in- vention," such as the steam engine, this was in fact inspired by the observation that the steam from a kettle boiling on the stove lifted the lid. Clearly there was an I amount of creativity and engineering involved in making the jump from a boiling I kettle to a steam engine, but the kettle provided the inspiration to translate experi- ence gained in one context into a set of principles that could be applied in another. As an example of evolution, consider the word processor. The capabilities of suites of office software have gradually increased from the time they first appeared. Ini- tially, a word processor was just an electronic version of a typewriter, but gradually other capabilities, including the spell-checker, thesaurus, style sheets, graphical ca- pabilities, etc., were added.
  • 206.
    6.3 Some practicalissues 1 75 So although creativity and invention are often wrapped in mystique, we do un- derstand something of the process and of how creativity can be enhanced or in- spired. We know, for instance, that browsing a collection of designs will inspire designers to consider alternative perspectives, and hence alternative solutions. The field of case-based reasoning (Maher and Pu, 1997) emerged from the observation that designers solve new problems by drawing on knowledge gained from solving previous similar problems. As Schank (1982; p. 22) puts it, "An expert is someone who gets reminded of just the right prior experience to help him in processing his current experiences." And while those experiences may be the designer's own, they can equally well be others'. A more pragmatic answer to this question, then, is that alternatives come from looking at other, similar designs, and the process of inspiration and creativity can be enhanced by prompting a designer's own experience and by looking at others' ideas and solutions. Deliberately seeking out suitable sources of inspiration is a valuable step in any design process. These sources may be very close to the in- tended new product, such as competitors' products, or they may be earlier versions of similar systems, or something completely different. nsider again the calendar system introduced at the beginning of the chapter. Reflecting the process again, what do you think inspired your outline design? See if you can identify any elements within it that you believe are truly innovative. Comment For my design, I haven't seen an electronic calendar, although I have seen plenty of other software-based systems. My main sources of inspiration were my current paper-based books. Some of the things you might have been thinking of include your existing paper-based calendar, and other pieces of software you commonly use and find helpful or easy to use in some way. Maybe you already have access to an electronic calendar, which will have given you some ideas, too. However, there are probably other aspects that make the design some- how unique to you and may be innovative to a greater or lesser degree. All this having been said, under some circumstances the scope to consider alterna- tive designs may be limited. Design is a process of balancing constraints and con- stantly trading off one set of requirements with another, and the constraints may be such that there are very few viable alternatives available. As another example, if you are designing a software system to run under the Windows operating system, then elements of the design will be prescribed because you must conform to the Windows "look and feel," and to other constraints intended to make Windows pro- grams consistent for the user. We shall return to style guides and standards in Chapter 8. If you are producing an upgrade to an existing system, then you may face other constraints, such as wanting to keep the familiar elements of it and retain the same "look and feel." However, this is not necessarily a rigid rule. Kent Sullivan reports that when designing the Windows 95 operating system to replace the Windows 3.1 and Windows for Workgroups 3.11 operating systems, they initially focused too much on consistency with the earlier versions (Sullivan, 1996).
  • 207.
    176 Chapter 6 The process of interaction design
  • 208.
    1 6.3 Some ~ractical issues 1 77
  • 209.
    - - - -- - - - - - - - 178 Chapter 6 The process of interaction design
  • 210.
    6.3 Some practicalissues 179 6.3.4 How do you choose among alternative designs? Choosing among alternatives is about making design decisions: Will the device use keyboard entry or a touch screen? Will the device provide an automatic memory function or not? These decisions will be informed by the information gathered about users and their tasks, and by the technical feasibility of an idea. Broadly speaking, though, the decisions fall into two categories: those that are about exter- nally visible and measurable features, and those that are about characteristics in- ternal to the system that cannot be observed or measured without dissecting it. For example, externally visible and measurable factors for a building design in- clude the ease of access to the building, the amount of natural light in rooms, the width of corridors, and the number of power outlets. In a photocopier, externally visible and measurable factors include the physical size of the machine, the speed and quality of copying, the different sizes of paper it can use, and so on. Underly- ing each of these factors are other considerations that cannot be observed or stud- ied without dissecting the building or the machine. For example, the number of
  • 211.
    I 180 Chapter 6 The process of interaction design power outlets will be dependent on how the wiring within the building is designed and the capacity of the main power supply; the choice of materials used in a pho- tocopier may depend on its friction rating and how much it deforms under certain conditions. In an interactive product there are similar factors that are externally visible and measurable and those that are hidden from the users' view. For example, ex- actly why the response time for a query to a database (or a web page) is, say, 4 sec- onds will almost certainly depend on technical decisions made when the database was constructed, but from the users' viewpoint the important observation is the fact that it does take 4 seconds to respond. In interaction design, the way in which the users interact with the product is considered the driving force behind the design and so we concentrate on the exter- nally visible and measurable behavior. Detailed internal workings are important only to the extent that they affect the external behavior. This does,not mean that design decisions concerning a system's internal behavior are any less important: however, the tasks that the user will perform should influence design decisions no less than technical issues. So, one answer to the question posed above is that we choose between alterna- tive designs by letting users and stakeholders interact with them and by discussing their experiences, preferences and suggestions for improvement. This is fundamen- tal to a user-centered approach to development. This in turn means that the de- signs must be available in a form that can be reasonably evaluated with users, not in technical jargon or notation that seems impenetrable to them. One form traditionally used for communicating a design is documentation, e.g., a description of how something will work or a diagram showing its components. The trouble is that a static description cannot capture the dynamics of behavior, and for an interaction device we need to communicate to the users what it will be like to actually operate it. In many design disciplines, prototyping is used to overcome potential client misunderstandings and to test the technical feasibility of a suggested design and its production. Prototyping involves producing a limited version of the product with the purpose of answering specific questions about the design's feasibility or appro- priateness. Prototypes give a better impression of the user experience than simple descriptions can ever do, and there are different kinds of prototyping that are suit- able for different stages of development and for eliciting different kinds of infor- mation. One experience illustrating the benefits of prototyping is described in Box 6.2. So one important aspect of choosing among alternatives is that prototypes should be built and evaluated by users. We'll revisit the issue of prototyping in Chapter 8. Another basis on which to choose between alternatives is "quality," but this requires a clear understanding of what "quality" means. People's views of what is a quality product vary, and we don't always write it down. Whenever we use any- thing we have some notion of the level of quality we are expecting, wanting, or needing. Whether this level of quality is expressed formally or informally does not matter. The point is that it exists and we use it consciously or subconsciously to evaluate alternative items. For example, if you have to wait too long to download
  • 212.
    6.3 Some practicalissues 181 a web page, then you are likely to give up and try a different site-you are apply- ing a certain measure of quality associated with the time taken to download the web page. If one cell phone makes it easy to perform a critical function while an- other involves several complicated key sequences, then you are likely to buy the former rather than the latter. You are applying a quality criterion concerned with efficiency. Now, if you are the only user of a product, then you don't necessarily have to express your definition of "quality" since you don't have to communicate it to anyone else. However, as we have seen, most projects involve many different stakeholder groups, and you will find that each of them has a different definition of quality and different acceptable limits for it. For example, although all stake- holders may agree on targets such as "response time will be fast" or "the menu structure will be easy to use," exactly what each of them means by this is likely to vary. Disputes are inevitable when, later in development, it transpires that "fast" to one set of stakeholders meant "under a second," while to another it meant "between 2 and 3 seconds." Capturing these different views in clear un- ambiguous language early in development takes you halfway to producing a product that will be regarded as "good" by all your stakeholders. It helps to clar- ify expectations, provides a benchmark against which products of the develop- ment process can be measured, and gives you a basis on which to choose among alternatives. The process of writing down formal, verifiable-and hence measurable-usability criteria is a key characteristic of an approach to interaction design called usability en- gineering that has emerged over many years and with various proponents (Whiteside
  • 213.
    182 Chapter 6 The process of interaction design et al., 1988; Nielsen, 1993). Usability engineering involves specifying quantifiable measures of product performance, documenting them in a usability specification, and assessing the product against them. One way in which this approach is used is to make changes to subsequent versions of a system based on feedback from carefully documented results of usability tests for the earlier version. We shall return to this idea later when we discuss evaluation. Consider the calendar system that you designed in Activity 6.1. Suggest some usability crite- ria that you could use to determine the calendar's quality. You will find it helpful to think in terms of the usability goals introduced in Chapter 1: effectiveness, efficiency, safety, utility, learnability, and memorability. Be as specific as possible. Check your criteria by considering exactly what you would measure and how you would measure its performance. Having done that, try to do the same thing for the user experience goals introduced in Chapter 1; these relate to whether a system is satisfying, enjoyable, motivating, rewarding, and so on. Comment Finding measurable characteristics for some of these is not easy. Here are some suggestions, but you may have found others. Note that the criteria must be measurable and very specific. Effectiveness: Identifying measurable criteria for this goal is particularly difficult since it is a combination of the other goals. For example, does the system support you in keeping appointments, taking notes, and so on. In other words, is the calendar used? EBciency: Assuming that there is a search facility in the calendar, what is the response time for finding a specific day or a specific appointment? Safety: How often does data get lost or does the user press the wrong button? This may be measured, for example, as the number of times this happens per hour of use. Utility: How many functions offered by the calendar are used every day, how many every week, how many every month? How many tasks are difficult to complete in a reasonable time because functionality is missing or the calendar doesn't support the right subtasks? Learnability: How long does it take for a novice user to be able to do a series of set tasks, e.g., make an entry into the calendar for the current date, delete an entry from the current date, edit an entry in the following day? Memorability: If the calendar isn't used for a week, how many functions can you re- member how to perform? How long does it take you to remember how to perform your most frequent task? Finding measurable characteristics for the user experience criteria is even harder, though. How do you measure satisfaction, fun, motivation or aesthetics? What is entertaining to one person may be boring to another; these kinds of criteria are subjective, and s o cannot be measured objectively. 6.4 Lifecycle models: showing how the activities are related Understanding what activities are involved in interaction design is the first step to being able to do it, but it is also important to consider how the activities are related
  • 214.
    6.4 Lifecycle models: showing how the activities relate 183 to one another so that the full development process can be seen. The term lifecycle model 1 is used to represent a model that captures a set of activities and how they are related. Sophisticated models also incorporate a description of when and how to move from one activity to the next and a description of the deliverables for each activity. The reason such models are popular is that they allow developers, and par- ticularly managers, to get an overall view of the development effort so that progress can be tracked, deliverables specified, resources allocated, targets set, and SO on. Existing models have varying levels of sophistication and complexity. For pro- jects involving only a few experienced developers, a simple process would probably be adequate. However, for larger systems involving tens or hundreds of developers with hundreds or thousands of users, a simple process just isn't enough to provide the management structure and discipline necessary to engineer a usable product. So something is needed that will provide more formality and more discipline. Note I that this does not mean that innovation is lost or that creativity is stifled. It just means that a structured process is used to provide a more stable framework for creativity. However simple or complex it appears, any lifecycle model is a simplified version of reality. It is intended as an abstraction and, as with any good ab- straction, only the amount of detail required for the task at hand should be in- cluded. Any organization wishing to put a lifecycle model into practice will need to add detail specific to its particular circumstances and culture. For ex- ample, Microsoft wanted to maintain a small-team culture while also making possible the development of very large pieces of software. To this end, they have evolved a process that has been called "synch and stabilize," as described in Box 6.3. In the next subsection, we introduce our view of what a lifecycle model for in- teraction design might look like that incorporates the four activities and the three key characteristics of the interaction design process discussed above. This will form the basis of our discussion in Chapters 7 and 8. Depending on the kind of system being developed, it may not be possible or appropriate to follow this model for every element of the system, and it is certainly true that more detail would be re- quired to put the lifecycle into practice in a real project. Many other lifecycle models have been developed in fields related to interac- tion design, such as software engineering and HCI, and our model is evolved from these ideas. To put our interaction design model into context we include here a de- scription of five lifecycle models, three from software engineering and two from HCI, and consider how they relate to it. 'Somme~ille (2001) uses the term process model to mean what we call a lifecycle model, and refers to the waterfall model as the software lifecycle. Pressman (1992) talks about paradigms. In HCI the term "lifecyclemodel" is used more widely. For this reason, and because others use "process model" to represent something that is more detailed than a lifecycle model (e.g.,Comer, 1997) we have chosen to use lifecycle model.
  • 215.
    184 Chapter 6 The process of interaction design
  • 216.
    6.4 Lifecycle models:showing how the activities relate 185
  • 217.
    I 186 Chapter 6 The process of interaction design I 6.4.1 A simple lifecycle model for interaction design We see the activities of interaction design as being related as shown in Figure 6.7. This model incorporates iteration and encourages a user focus. While the outputs from each activity are not specified in the model, you will see in Chapter 7 that our description of establishing requirements includes the need to identify specific us- ability criteria. The model is not intended to be prescriptive; that is, we are not suggesting that this is how all interactive products are or should be developed. It is based on our observations of interaction design and on information we have gleaned in the research for this book. It has its roots in the software engineering and HCI Iifecy- cle models described below, and it represents what we believe is practiced in the field. Most projects start with identifying needs and requirements. The project may have arisen because of some evaluation that has been done, but the lifecycle of the new (or modified) product can be thought of as starting at this point. From this ac- tivity, some alternative designs are generated in an attempt to meet the needs and requirements that have been identified. Then interactive versions of the designs are developed and evaluated. Based on the feedback from the evaluations, the team may need to return to identifying needs or refining requirements, or it may go straight into redesigning. It may be that more than one alternative design fol- lows this iterative cycle in parallel with others, or it may be that one alternative at a time is considered. Implicit in this cycle is that the final product will emerge in an evolutionary fashion from a rough initial idea through to the finished product. Ex- actly how this evolution happens may vary from project to project, and we return to this issue in Chapter 8. The only factor limiting the number of times through the cycle is the resources available, but whatever the number is, development ends with an evaluation activity that ensures the final product meets the prescribed us- ability criteria. Final product Figure 6.7 A simple interaction design model.
  • 218.
    6.4 Lifecycle models:showing how the activities relate 187 I 6.4.2 Lifecycle models in software engineering Software engineering has spawned many lifecycle models, including the water- I fall, the spiral, and rapid applications development (RAD). Before the waterfall was first proposed in 1970, there was no generally agreed approach to software development, but over the years since then, many models have been devised, re- flecting in part the wide variety of approaches that can be taken to developing software. We choose to include these specific lifecycle models for two reasons: First, because they are representative of the models used in industry and they have all proved to be successful, and second, because they show how the empha- sis in software development has gradually changed to include a more iterative, 1 user-centered view. The waterfall lifecycle model The waterfall lifecycle was the first model generally known in software engineer- ing and forms the basis of many lifecycles in use today. This is basically a linear model in which each step must be completed before the next step can be started (see Figure 6.8). For example, requirements analysis has to be completed before Figure 6.8 The waterfall lifecycle model of software development.
  • 219.
    188 Chapter 6 The process of interaction design design can begin. The names given to these steps varies, as does the precise defi- nition of each one, but basically, the lifecycle starts with some requirements analysis, moves into design, then coding, then implementation, testing, and fi- nally maintenance. One of the main flaws with this approach is that require- ments change over time, as businesses and the environment in which they operate change rapidly. This means that it does not make sense to freeze re- quirements for months, or maybe years, while the design and implementation are completed. Some feedback to earlier stages was acknowledged as desirable and indeed practical soon after this lifecycle became widely used (Figure 6.8 does show some limited feedback between phases). But the idea of iteration was not embedded in the waterfall's philosophy. Some level of iteration is now incorporated in most ver- sions of the waterfall, and review sessions among developers are commonplace. However, the opportunity to review and evaluate with users was not built into this model. The spiral lifecycle model For many years, the waterfall formed the basis of most software developments, but in 1988 Barry Boehm (1988) suggested the spiral model of software development (see Figure 6.9). Two features of the spiral model are immediately clear from Fig- ure 6.9: risk analysis and prototyping. The spiral model incorporates them in an it- erative framework that allows ideas and progress to be repeatedly checked and evaluated. Each iteration around the spiral may be based on a different lifecycle model and may have different activities. In the spiral's case, it was not the need for user involvement that inspired the introduction of iteration but the need to identify and control risks. In Boehm's ap- proach, development plans and specifications that are focused on the risks involved in developing the system drive development rather than the intended functionality, as was the case with the waterfall. Unlike the waterfall, the spiral explicitly encour- ages alternatives to be considered, and steps in which problems or potential prob- lems are encountered to be re-addressed. The spiral idea has been used by others for interactive devices (see Box 6.4). A more recent version of the spiral, called the WinWin spiral model (Boehm et al., 1998), explicitly incorporates the identification of key stakeholders and their re- spective "win" conditions, i.e., what will be regarded as a satisfactory outcome for each stakeholder group. A period of stakeholder negotiation to ensure a "win-win" result is included. Rapid Applications Development (RAD) During the 1990s the drive to focus upon users became stronger and resulted in a number of new approaches to development. The Rapid Applications Development (RAD) approach attempts to take a user-centered view and to minimize the risk caused by requirements changing during the course of the project. The ideas be-
  • 220.
    6.4 Lifecycle models:showing how the activities relate 189 Cumulative through steps Review ----___ Plan next phases Develop, verify next-level product Figure 6.9 The spiral lifecycle model of software development. hind RAD began to emerge in the early 1990s, also in response to the inappropri- ate nature of the linear lifecycle models based on the waterfall. Two key features of a RAD project are: Time-limited cycles of approximately six months, at the end of which a sys- tem or partial system must be delivered. This is called time-boxing. In effect, this breaks down a large project into many smaller projects that can deliver products incrementally, and enhances flexibility in terms of the development techniques used and the maintainability of the final system.
  • 221.
    190 Chapter 6 The process of interaction design JAD (Joint Application Development) workshops in which users and devel- opers come together to thrash out the requirements of the system (Wood and Silver, 1995). These are intensive requirements-gathering sessions in which difficult issues are faced and decisions are made. Representatives from each identified stakeholder group should be involved in each workshop so that all the relevant views can be heard. A basic RAD lifecycle has five phases (see Figure 6.10): project set-up, JAD workshops, iterative design and build, engineer and test final prototype, implementa- tion review. The popularity of RAD has led to the emergence of an industry- standard RAD-based method called DSDM (Dynamic Systems Development Method) (Millington and Stapleton, 1995). This was developed by a non-profit-mak- ing DSDM consortium made up of a group of companies that recognized the need for some standardization in the field. The first of nine principles stated as underlying DSDM is that "active user involvement is imperative." The DSDM lifecycle is more complicated than the one we've shown here. It involves five phases: feasibility study, business study, functional model iteration, design and build iteration, and implemen- tation. This is only a generic process and must be tailored for a particular organization. ~ w closely do you think the RAD lifecycle model relates to the interaction design model scribed in Section 6.4.1? Comment RAD and DSDM explicitly incorporate user involvement, evaluation and iteration. User in- volvement, however, appears to be limited to the JAD workshop, and iteration appears to be limited to the design and build phase. The philosophy underlying the interaction design model is present, but the flexibility appears not to be. Our interaction design process would be appropriately used within the design and build stage. Figure 6.10 A basic RAD lifecycle model of software development.
  • 222.
    6.4 Lifecycle models:showing how the activities relate 1 91
  • 223.
    1 92 Chapter 6 The process of interaction design Russlan Peace hoops Head Toward Kosovo fRI JUN $10 W 0 7 BDT 1 8 63 - 6.4.3 Lifecycle models in HCI Another of the traditions from which interaction design has emerged is the field of HCI (human-computer interaction). Fewer lifecycle models have arisen from this field than from software engineering and, as you would expect, they have a stronger tradition of user focus. We describe two of these here. The first one, the Star, was derived from empirical work on understanding how designers tackled HCI design problems. This represents a very flexible process with evaluation at its core. In contrast, the second one, the usability engineering lifecycle, shows a more structured approach and hails from the usability engineering tradition. The Star Lifecycle Model About the same time that those involved in software engineering were looking for alternatives to the waterfall lifecycle, so too were people involved in HCI looking for alternative ways to support the design of interfaces. In 1989, the Star lifecycle
  • 224.
    6.4 Lifecycle models:showing how the activities relate 193 I Figure 6.13 The Star lifecycle model. model was proposed by Hartson and Hix (1989) (see Figure 6.13). This emerged from some empirical work they did looking at how interface designers went about their work. They identified two different modes of activity: analytic mode and syn- thetic mode. The former is characterized by such notions as top-down, organizing, judicial, and formal, working from the systems view towards the user's view; the latter is characterized by such notions as bottom-up, free-thinking, creative and ad hoc, working from the user's view towards the systems view. Interface designers move from one mode to another when designing. A similar behavior has been ob- served in software designers (Guindon, 1990). Unlike the lifecycle models introduced above, the Star lifecycle does not specify any ordering of activities. In fact, the activities are highly interconnected: you can move from any activity to any other, provided you first go through the evaluation activity. This reflects the findings of the empirical studies. Evaluation is central to this model, and whenever an activity is completed, its result(s) must be evaluated. So a project may start with requirements gathering, or it may start with evaluating an existing situation, or by analyzing existing tasks, and so on. The Star lifecycle model has not been used widely and successfully for large projects in indus- try. Consider the benefits of lifecycle models introduced above and suggest why this may be. Comment One reason may be that the Star lifecycle model is extremely flexible. This may be how de- signers work in practice, but as we commented above, lifecycle models are popular because "they allow developers, and particularly managers, to get an overall view of the develop- ment effort so that progress can be tracked, deliverables specified, resources allocated, tar- gets set, and so on." With a model as flexible as the Star lifecycle, it is difficult to control these issues without substantially changing the model itself. The Usability Engineering Lifecycle The Usability Engineering Lifecycle was proposed by Deborah Mayhew in 1999 (Mayhew, 1999). Many people have written about usability engineering, and as
  • 225.
    - - 194 Chapter 6 The process of interaction design Figure 6.14 The Usability Engineering Lifecycle.
  • 226.
    6.4 Lifecycle models:showing how the activities relate 195 0UETask T Development Task ( Decision Point ) Documentation + Complex Applications - -t Simple Applications (e.g. websites) I Figure 6.14 (continued). Mayhew herself says, "I did not invent the concept of a Usability Engineering Life- cycle. Nor did I invent any of the Usability Engineering tasks included in the lifecy- cle . . . .". However, what her lifecycle does provide is a holistic view of usability engineering and a detailed description of how to perform usability tasks, and it specifies how usability tasks can be integrated into traditional software develop- ment lifecycles. It is therefore particularly helpful for those with little or no exper- tise in usability to see how the tasks may be performed alongside more traditional software engineering activities. For example, Mayhew has linked the stages with a general development approach (rapid prototyping) and a specific method (object- oriented software engineering (OOSE, Jacobson et al, 1992)) that have arisen from software engineering. The lifecycle itself has essentially three tasks: requirements analysis, design1 testingldevelopment, and installation, with the middle stage being the largest and involving many subtasks (see Figure 6.14). Note the production of a set of usability goals in the first task. Mayhew suggests that these goals be captured in a style guide that is then used throughout the project to help ensure that the usability goals are adhered to. This lifecycle follows a similar thread to our interaction design model but in- cludes considerably more detail. It includes stages of identifying requirements, de- signing, evaluating, and building prototypes. It also explicitly includes the style guide as a mechanism for capturing and disseminating the usability goals of the project. Recognizing that some projects will not require the level of structure pre- sented in the full lifecycle, Mayhew suggests that some substeps can be skipped if they are unnecessarily complex for the system being developed. Study the usability engineering lifecycle and identify how this model differs from our inter- action design model described in Section 6.4.1, in terms of the iterations it supports. Comment One of the main differences between Mayhew's model and ours is that in the former the it- eration between design and evaluation is contained within the second phase. Iteration be- tween the design/testldevelopment phase and the requirements analysis phase occurs only after the conceptual model and the detailed designs have been developed, prototyped, and
  • 227.
    196 Chapter 6 T e process of interaction design h evaluated one at a time. Our version models a return to the activity of identifying needs and establishing requirements after evaluating any element of the design. Assignment Nowadays, timepieces (such as clocks, wristwatches etc) have a variety of functions. They not only tell the time and date but they can speak to you, remind you when it's time to do some- thing, and provide a light in the dark, among other things. Mostly, the interface for these de- vices, however, shows the time in one of two basic ways: as a digital number such as 23:40 or through an analog display with two or three hands-one to represent the hour, one for the minutes, and one for the seconds. In thb assignment, we want you to design an innovative timepiece for your own use. This could be in the form of a wristwatch, a mantelpiece clock, an electronic clock, or any other kind of clock you fancy. Your goal is to be inventive and exploratory. We have broken this as- I signment down into the following steps to make it clearer: I (a) Think about the interactive product you are designing: what do you want it to do I for you? Find 3- potential users and ask them what they would want. Write a list 5 of requirements for the clock, together with some usability criteria based on the de- 1 finition of usability used in Chapter 1. (b) Look around for similar devices and seek out other sources of inspiration that you might find helpful. Make a note of any findings that are interesting, useful or in- sightful. (c) Sketch out some initial designs for the clock. Try to develop at least two distinct al- ternatives that both meet your set of requirements. (d) Evaluate the two designs, using your usability criteria and by role playing an interac- tion with your sketches. Involve potential users in the evaluation, if possible. Does it do what you want? Is the time or other information being displayed always clear? Design is iterative, so you may want to return to earlier elements of the process be- fore you choose one of your alternatives. Once you have a design with which you are satisfied, you can send it to us and we shall post a representative sample of those we receive to our website. Details of how to format your submission are available from our website. Summary In this chapter, we have looked at the process of interaction design, i.e., what activities are required in order to design an interactive product, and how lifecycle models show the rela- tionships between these activities. A simple interaction design model consisting of four ac- tivities was introduced and issues surrounding the identification of users, generating alternative designs, and evaluating designs were discussed. Some lifecycle models from soft- ware engineering and HCI were introduced. Key points The interaction design process consists of four basic activities: identifying needs and es- tablishing requirements, developing alternative designs that meet those requirements, building interactive versions of the designs so that they can be communicated and as- sessed, and evaluating them.
  • 228.
    Further reading 197 Key characteristics of the interaction design process are explicit incorporation of user in- volvement, iteration, and specific usability criteria. Before you can begin to establish requirements, you must understand who the users are and what their goals are in using the device. Looking at others' designs provides useful inspiration and encourages designers to con- sider alternative design solutions, which is key to effectivedesign. Usability criteria, technical feasibility, and users' feedback on prototypes can all be used to choose among alternatives. Prototyping is a useful technique for facilitating user feedback on designs at all stages. Lifecycle models show how development activities relate to one another. The interaction design process is complementary to lifecycle models from other fields. Further reading RUDISILL, M., LEWIS, C., POLSON, B., AND MCKAY, D. P. T. practical book about product user interface design. It ex- (1995) (eds.) Human-Computer Interface Design: Success plains how to perform usability tasks throughout develop- Stories, Emerging Methods, Real-World Context. San Fran- ment and provides useful examples along the way to cisco: Morgan Kaufmann. This collection of papers describes illustrate the techniques. It links in with two software devel- the application of different approaches to interface design. opment based methods: rapid prototyping and object-ori- Included here is an account of the Xerox Star development, ented software engineering. some advice on how to choose among methods, and some SOMMERVILLE, I AN (2001) SofnYare Engineering (6th edi- practical examples of real-world developments. tion). Harlow, UK: Addison-Wesley. If you are interested in BERGMAN, (2000) (ed.) Information Appliances and Be- ERIC pursuing the software engineering aspects of the lifecycle yond. San Francisco: Morgan Kaufmann. This book is an models section, then this book provides a useful overview of edited collection of papers which report on the experience of the main models and their purpose. designing and building a variety of 'information appliances', NIELSEN, JAKOB (1993) Usability Engineering. San Fran- i.e., purpose-built computer-based products which perform a cisco: Morgan Kaufmann. This is a seminal book on usability specific task. For example, the Palm Pilot, mobile telephones, engineering. If you want to find out more about the philoso- a vehicle navigation system, and interactive toys for children. phy, intent, history, or pragmatics of usability engineering, MAYHEW, EBORAH J. (1999) The Usability Engineering D then this is a good place to start. Lifecycle. San Francisco: Morgan Kaufmann. This is a very
  • 229.
    198 Chapter 6 The process of interaction design could have. At the Royal College of Art we tried to work with users, but to be inspired by them, and not constrained by what they know is possible. The second stage is thinking, "What should this thing we are designing do?" You could call that con- ceptual design. Then a third stage is thinking how do you represent it, how do you give it form? And then the fourth stage is actually crafting the interface--ex- Department, developing a actly what color is this pixel? Is this type the right program to enable artist-designers to develop and apply their size, or do you need a size bigger? How much can you traditional skills and knowledge to the design of all kinds of get on a screen?-all those things about the details. interactive products and systems. One of the problems companies have is that the GC: I believe that things should work but they feedback they get is. "I wish it did x." Software looks should also delight. In the past, when it was really dif- as if it's designed, not with a basic model of how it ficult to make things work, that was what people con- works that is then expressed on the interface, but as a centrated on. But now it's much easier to make load of different functions that are strung together. software and much easier to make hardware. We've The desktop interface, although it has great advan- I got a load of technologies but they're still often not tages, encourages the idea that you have a menu and you can just add a few more bits when people want designed for people-and they're certainly not very enjoyable to use. If we think about other things in our more things. In today's word processors, for instance, ~ life, our clothes, our furniture, the things we eat with, there isn't a .clear conceptual model about how it I we choose what we use because they have a meaning works, or an underlying theory people can use to rea- beyond their practical use. Good design is partly son about why it is not working in the way they expect. about working really well, but it's also about what something looks like, what it reminds us of, what it HS: So in trying to put more effort into the design as- refers to in our broader cultural environment. It's this pect of things, do you think we need different people side that interactive systems haven't really addressed in the team? yet. They're only just beginning to become part of GC: Yes. People in the software field tend to think that culture. They are not just a tool for professionals any designers are people who know how to give the product more, but an environment in which we live. form, which of course is one of the things they do. But a graphic designer, for instance, is somebody who also HS: How do you think we can improve things? thinks at a more strategic level, "What is the message GC: The parallel with architecture is quite an inter- that these people want to get over and to whom?" and esting one. In architecture, a great deal of time and then, "What is the best way to give form to a message expense is put into the initial design; I don't think like that?" The part you see is the beautiful design, the very much money or time is put into the initial design lovely poster or record sleeve, or elegant book, but be- of software. If you think of the big software engineer- hind that is a lot of thinking about how to communicate ing companies, how many people work in the design ideas via a particular medium. side rather than on the implementation side? HS: If you've got people from different disciplines, HS: When you say design do you mean conceptual have you experienced difficulties in communication? design, or task design, or something else? GC: Absolutely. I think that people from different GC: I mean all phases of design. Firstly there's re- disciplines have different values, so different results search-finding out about people. This is not neces- and different approaches are valued. People have dif- sarily limited to finding out about what they want ferent temperaments, too, that have led them to the necessarily, because if we're designing new things, different fields in the first place, and they've been they are probably things people don't even know they trained in different ways. In my view the big differ-
  • 230.
    Interview 199 ence between the way engineers are trained and the there's also the aesthetic of how it works as well. You way designers are trained is that engineers are trained can talk about an elegant way of doing something as to focus in on a solution from the beginning whereas well as an elegant look. designers are trained to focus out to begin with and then focus in. They focus out and try lots of different HS: Another trait I've seen in designers is being pro- alternatives, and they pick some and try them out to tective of their design. hi see how they go. Then they refine down. This is very GC: I think that is both a vice and a virtue. In order hard for both the engineers and the designers because to keep a design coherent you need to keep a grip on the designers are thinking the engineers are trying to the whole and to push it through as a whole. Other- hone in much too quickly and the engineers can't wise it can happen that people try to make this a bit bear the designers faffing about. They are trained to smaller and cut bits out of that, and so on, and before get their results in a completely different way. you know where you are the coherence of the design is lost. It is quite difficult for a team to hold a coher- HS: Is your idea to make each more tolerant of the ent vision of a design. If you think of other design other? fields, like film-making, for instance, there is one di- GC: Yes, my idea is not to try to make renaissance rector and everybody accepts that it's the director's people, as I don't think it's feasible. Very few people vision. One of the things that's wrong with products can do everything weU. I think the ideal team is made like Microsoft Word, for instance, is that there's no up of people who are really confident and good at what coherent idea in it that makes you t nk, "Oh yes, I they do and open-mined enough to realize there are understand how this fits with that." very different approaches. There's the scientific ap- Design is always a balance between things that proach, the engineering approach, the design approach. work well and things that look good, and the ideal de- All three are different and that's their value-you sign satisfies everything, but in most designs you have don't want everybody to be the same. The best combi- to make trade-offs. If you're making a game it's more nation is where you have engineers who understand important that people enjoy it and that it looks good design and designers who understand engineering. than to worry if some of it's a bit difficult. If you're It's important that people know their limitations making a fighter cockpit then the most important too. If you realize that you need an ergonomist, then thing is that pilots don't fall out of the sky, and so this you go and find one and you hire them to consult for informs the trade-offs you make. The question is, who you. So you need to know what you don't know as decides how to decide the criteria for the tradeoffs well as what you do. that inevitably need to be made. This is not a matter of engineering: it's a matter of values--cultural, emo- HS: What other aspects of traditional design do you tional, aesthetic. think help with interaction design? G C I think the ability to visualize things. It allows HS: 1 know this is a controversial issue for some de- people to make quick prototypes or models or sketches signers. D o you think users should be part of the de- so that a group of people can talk about something sign team? concrete. I think that's invaluable in the process. I GC: No, I don't. I think it's an abdication of re- think also making things that people like is just one of sponsibility. Users should definitely be involved as a the things that good designers have a feel for. source of inspiration, suggesting ideas, evaluating proposals-saying, "Yes, we think this would be HS: D o you mean aesthetically like or like in its great" or "No, we think this is an appalling idea." whole sense? But in the end, if designers aren't better than the GC: In its whole sense. Obviously there's the aes- general public at designing things, what are they thetic of what something looks like or feels like but doing as designers?
  • 232.
    Identifying needs andestablishing requirements 7.1 Introduction 7.2 What, how, and why? 7.2.1 What are we trying to achieve in this design activity? 7.2.2 How can we achieve this? 7.2.3 Why bother? The importance of getting it right 7.2.4 Why establish requirements? 7.3 What are requirements? 7.3.1 Different kinds of requirements 7.4 Data gathering 7.4.1 Data-gathering techniques 7.4.2 Choosing between techniques 7.4.3 Some basic data-gathering guidelines 7.5 Data interpretation and analysis 7.6 Task description 7.6.1 Scenarios 7.6.2 Use cases 7.6.3 Essential use cases 7.7 Task analysis 7.7.1 Hierarchical Task Analysis (HTA) 7.1 Introduction An interaction design project may aim to replace or update an established system, or it may aim to develop a totally innovative product with no obvious precedent. There may be an initial set of requirements, or the project may have to begin by producing a set of requirements from scratch. Whatever the initial situation and whatever the aim of the project, the users' needs, requirements, aspirations, and expectations have to be discussed, refined, clarified, and probably re-scoped. This requires an understanding of, among other things, the users and their capabilities, their current tasks and goals, the conditions under which the product will be used, and constraints on the product's performance.
  • 233.
    202 Chapter 7 Identifying needs and establishing requirements As we discussed in Chapter 6, identifying users' needs is not as straightforward as it sounds. Establishing requirements is also not simply writing a wish list of fea- tures. Given the iterative nature of interaction design, isolating requirements activ- ities from design activities and from evaluation activities is a little artificial, since in practice they are all intertwined: some design will take place while requirements are being established, and the design will evolve through a series of evaluation-re- design cycles. However, each of these activities can be distinguished by its own em- phasis and its own techniques. This chapter provides a more detailed overview of identifying needs and estab- lishing requirements. We introduce different kinds of requirements and explain some useful techniques. The main aims of this chapter are to: Describe different kinds of requirements. Enable you to identify examples of different kinds of requirements from a simple description. Explain how different data-gathering techniques may be used, and enable you to choose among them for a simple description. Enable you to develop a "scenario," a "use case," and an "essential use case" from a simple description. Enable you to perform hierarchical task analysis on a simple description. 7.2 What, how, and why? 7.2.1 What are we trying to achieve in this design activiiy? There are two aims. One aim is to understand as much as possible about the users, their work, and the context of that work, so that the system under development can support them in achieving their goals; this we call "identifying needs." Building on this, our second aim is to produce, from the needs identified, a set of stable require- ments that form a sound basis to move forward into thinking about design. This is not necessarily a major document nor a set of rigid prescriptions, but you need to be sure that it will not change radically in the time it takes to do some design and get feedback on the ideas. Because the end goal is to produce this set of require- ments, we shall sometimes refer to this as the requirements activity. 7.2.2 How can we achieve this? The whole chapter is devoted to explaining how to achieve these aims, but first we give an overview of where we're heading. At the beginning of the requirements activity, we know that we have a lot to find out and to clarify. At the end of the activity we will have a set of stable require- ments that can be moved forward into the design activity. In the middle, there are activities concerned with gathering data, interpreting or analyzing1 the data, and 'We use interpretation to mean the initial investigation of the data, while analysis is a more detailed study, using a particular frame of reference and notation.
  • 234.
    7.2 What, how,and why? 203 capturing the findings in a form that can be expressed as requirements. Broadly speaking, these activities progress in a sequential manner: first gather some data, then interpret it, then extract some requirements from it, but it gets a lot messier than this, and the activities influence one another as the process iterates. One of the reasons for this is that once you start to analyze data, you may find that you need to gather some more data to clarify or confirm some ideas you have. Another reason is that the way in which you document your requirements may affect your analysis, since it will enable you to identify and express some aspects more easily than oth- ers. For example, using a notation which emphasizes the data-flow characteristics of a situation will lead the analysis to focus on this aspect rather than, for example, on data structure. Analysis requires some kind of framework, theory or hypothesis to provide a frame of reference, however informal, and this will inevitably affect the requirements you extract. To overcome this, it is important to use a comple- mentary set of data-gathering techniques and data-interpretation techniques, and to constantly revise and refine the requirements. As we discuss below, there are dif- ferent kinds of requirements, and each can be emphasized or de-emphasized by the different techniques. Identifying needs and establishing requirements is itself an iterative activity in which the subactivities inform and refine one another. It does not last for a set number of weeks or months and then finish. In practice, requirements evolve and develop as the stakeholders interact with designs and see what is possible and how certain facilities can help them. And as shown in the lifecycle model in Chapter 6, the activity itself will be repeatedly revisited. Why bother?The importance of getting it right An article published in January 2000 (Taylor, 2000) investigated the causes of IT project failure. The article admits that "there is no single cause of IT project fail- ure," but requirements issues figured highly in the findings. The research involved detailed questioning of 38 IT professionals in the UK. When asked about which project stages caused failure, respondents mentioned "requirements definition" more than any other phase. When asked about cause of failure, "unclear objectives and requirements" was mentioned more than anything else, and for critical success factors, "clear, detailed requirements" was mentioned most often. As stressed in previous chapters, understanding what the product under de- velopment should do and ensuring that it supports stakeholders' needs are criti- cally important activities in any product development. If the requirements are wrong then the product will at best be ignored and at worst be despised by the users, and will cause grief and lost productivity. In either case, the implications for both producer and customer are serious: anxiety and frustration, lost revenue, loss of customer confidence, and so on. However we look at it, getting the re- quirements of the product wrong is a very bad move and something to be avoided at all costs. Taking a user-centered approach to development is one way to address this. If users' voices and needs are clearly heard and taken into account, then it is more likely that the end result will meet users' needs and expectations. Involving users isn't always easy, however, and we explore in more detail how to do this effectively
  • 235.
    204 Chapter 7 Identifying needs and establishing requirements in Chapter 9. Here we focus on establishing the requirements, while keeping the emphasis clearly on users' needs. 7.2.4 Why establish requirements? The activity of understanding what a product should do has been given various la- I bels-for example, requirements gathering, requirements capture, requirements elicitation, requirements analysis, and requirements engineering. The first two imply that requirements exist out there and we simply need to pick them up or catch them. "Elicitation" implies that "others" (presumably the clients or users) know the requirements and we have to get them to tell us. Requirements, however, are not that easy to identify. You might argue that, in some cases, customers must know what the requirements are because they know the tasks that need to be per- formed, and may have asked for a system to be built in the first place. However, they may not have articulated requirements as yet, and even if they have an initial set of requirements, they probably have not explored them in sufficient detail for development to begin. The term "requirements analysis" is normally used to describe the activity of investigating and analyzing an initial set of requirements that have been gath- ered, elicited, or captured. Analyzing the information gathered is an important step, since it is this interpretation of the facts, rather than the facts themselves, that inspires the design. Requirements engineering is a better term than the oth- ers because it recognizes that developing a set of requirements is an iterative process of evolution and negotiation, and one that needs to be carefully managed and controlled. We chose the term establishing requirements to represent the fact that require- ments arise from the data-gathering and interpretation activities and have been es- tablished from a sound understanding of the users' needs. This also implies that requirements can be justified by and related back to the data collected. 7.3 What are requirements? Before we go any further, we need to explain what we mean by a requirement. In- tuitively, you probably have some understanding of what a requirement is, but we should be clear. A requirement is a statement about an intended product that spec- ifies what it should do or how it should perform. One of the aims of the require- ments activity is to make the requirements as specific, unambiguous, and clear as possible. For example, a requirement for a website might be that the time to down- load any complete page is less than 5 seconds. Another less precise example might be that teenage girls should find the site appealing. In the case of this latter exam- ple, further investigation would be necessary to explore exactly what teenage girls would find appealing. Requirements come in many different forms and at many dif- ferent levels of abstraction, but we need to make sure that the requirements are as clear as possible and that we understand how to tell when they have been fulfilled. The example requirement shown in Figure 7.1 is expressed using a template from the Volere process (Robertson and Robertson, 1999), which you'll hear more about later in this chapter and in Suzanne Robertson's interview at the end of this
  • 236.
    7.3 What arerequirements? 205 Requirement #: 75 Requirement Type: 9 Eventluse case #: 6 Description: The product &all i s u ean alert ifa matherstation fails to Wnsmit readings Rationale: Failureto tmnsmit madings might i n d i i t h a t the wather stationis faulty and needs maintenance,and that the data usedto predict W n g roads may be incomplete. Source: Road Engineers F i t Criterion: For each watbstat20n the product shall communicatetotheuser when the m k number deach type dreading per hour is not within the manufactud md e p & d range afthe acpedeclnumber of readingsper hour. Customer Satisfaction: 3 Customer Dissatisfaction: 5 Dependencies: None Conflicts: None Supporting Materials: SpeciflcaUonaFRasa WeatherStatbn History: Raised by GBS, 28 July99 Copyr~ght Atlantic 5ysterns Guild O Figure 7.1 An example requirement using the Volere template.* chapter. This template requires quite a bit of information about the requirement it- self, including something called a "fit criterion," which is a way of measuring when the solution meets the requirement. In Chapter 6 we emphasized the need to estab- lish specific usability criteria for a product early on in development, and this part of the template encourages this. 7.3.1 Different kinds of requirements In software engineering, two different kinds of requirements have traditionally been identified: functional requirements, which say what the system should do, and non-functional requirements, which say what constraints there are on the system and its development. For example, a functional requirement for a word processor may be that it should support a variety of formatting styles. This requirement might then be decomposed into more specific requirements detailing the kind of formatting required such as formatting by paragraph, by character, and by docu- ment, down to a very specific level such as that character formatting must include 20 typefaces, each with bold, italic, and standard options. A non-functional re- quirement for a word processor might be that it must be able to run on a variety of platforms such as PCs, Macs and Unix machines. Another might be that it must be able to function on a computer with 64 MB RAM. A different kind of non-func- tional requirement would be that it must be delivered in six months' time. This rep- resents a constraint on the development activity itself rather than on the product being developed. If we consider interaction devices in general, other kinds of non-functional re- quirements become relevant such as physical size, weight, color, and production *See Figure 7.5 for an explanation of these fields.
  • 237.
    206 Chapter 7 identifying needs and establishing requirements feasibility. For example, when the PalmPilot was developed (Bergman and Haitani, 2000), an overriding requirement was that it should be physically as small as possible, allowing for the fact that it needed to incorporate batteries and an LCD display. In addition, there were extremely tight constraints on the size of the screen, and that had implications for the number of pixels available to display information. For exam- ple, formatting lines or certain typefaces may become infeasible to use if they take up even one extra pixel. Figure 7.2 shows two screen shots from the PalmPilot develop- ment. As you can see, removing the line at the left-hand side of the display in the top window released sufficient pixels to display the missing "s" in the bottom window. Interaction design requires us to understand the functionality required and the constraints under which the product must operate or be developed. However, instead of referring to all requirements that are not functional as simply "non-functional" re- quirements, we prefer to refine this into further categories. The following is not an exhaustive list of the different requirements we need to be looking out for (see the figure in Suzanne Robertson's interview at the end of this chapter for a more detailed list), nor is it a tight categorization, however, it does illustrate the variety of require- ments that need to be captured. Functional requirements capture what the product should do. For example, a functional requirement for a smart fridge might be that it should be able to tell ~ when the butter tray is empty. Understanding the functional requirements for an interactive product is very important. Data requirements capture the type, volatility, sizelamount, persistence, accu- racy, and value of the amounts of the required data. All interactive devices have to handle greater or lesser amounts of data. For example, if the system under consid- / ~ctive display area Inactive display border Figure 7.2 Every pixel counts.
  • 238.
    7.3 What arerequirements? 207 eration is to operate in the share-dealing application domain, then the data must be up-to-date and accurate, and is likely to change many times a day. In the personal banking domain, data must be accurate, must persist over many months and proba- bly years, is very valuable, and there is likely to be a lot of it. Environmental requirements or context of use refer to the circumstances in which the interactive product will be expected to operate. Four aspects of the envi- ronment must be considered when establishing requirements. First is the physical environment such as how much lighting, noise, and dust is expected in the opera- tional environment. Will users need to wear protective clothing, such as large gloves or headgear, that might affect the choice of interaction paradigm? How crowded is the environment? For example, an ATM operates in a very public phys- ical environment. Using speech to interact with the customer is therefore likely to be problematic. The second aspect of the environment is the social environment. The issues raised in Chapter 4 regarding the social aspects of interaction design, such as col- laboration and coordination, need to be explored in the context of the current de- velopment. For example, will data need to be shared? If so, does the sharing have to be synchronous, e.g., does everyone need to be viewing the data at once, or asyn- chronous, e.g., two people authoring a report take turns in editing and adding to it? Other factors include the physical location of fellow team members, e.g., do collab- orators have to communicate across great distances? The third aspect is the organizational environment, e.g., how good is user sup- port likely to be, how easily can it be obtained, and are there facilities or resources for training? How efficient or stable is the communications infrastructure? How hi- erarchical is the management? and so on. Finally, the technical environment will need to be established: for example, what technologies will the product run on or need to be compatible with, and what technological limitations might be relevant? User requirements capture the characteristics of the intended user group. In Chapter 6 we mentioned the relevance of a user's abilities and skills, and these are an important aspect of user requirements. But in addition to these, a user may be a novice, an expert, a casual, or a frequent user. This affects the ways in which inter- action is designed. For example, a novice user will require step-by-step instructions, probably with prompting, and a constrained interaction backed up with clear infor- mation. An expert, on the other hand, will require a flexible interaction with more wide-ranging powers of control. If the user is a frequent user, then it would be im- portant to provide short cuts such as function keys rather than expecting them to type long commands or to have to navigate through a menu structure. A casual or infrequent user, rather like a novice, will require clear instructions and easily un- derstood prompts and commands, such as a series of menus. The collection of at- tributes for a "typical user" is called a user profile. Any one device may have a number of different user profiles. Note that user requirements are not the same as usability requirements. We discuss the latter below. Usability requirements capture the usability goals and associated measures for a particular product. In Chapter 6 we introduced the idea of usability engineering,
  • 239.
    208 Chapter 7 Identifying needs and establishing requirements an approach in which specific measures for the usability goals of the product are es- tablished and agreed upon early in the development process and are then revisited, and used to track progress as development proceeds. This both ensures that usabil- ity is given due priority and facilitates progress tracking. In Chapter 1 we described a number of usability goals: effectiveness, efficiency, safety, utility, learnability, and memorability. If we are to follow the philosophy of usability engineering and meet these usability goals, then we must identify the appropriate requirements. Chapter 1 also described some user experience goals, such as making products that are fun, enjoyable, pleasurable, aesthetically pleasing, and motivating. As we observed in Chapter 6, it is harder to identify quantifiable measures that allow us to track these qualities, but an understanding of how important each of these is to the current de- velopment should emerge as we learn more about the intended product. Usability requirements are related to other kinds of requirement we must es- tablish, such as the kinds of users expected to interact with the product.
  • 240.
    7.3 What arerequirements? 209 uggest one key functional, data, environmental, user and usability requirement for each of the following scenarios: (a) A system for use in a university's self-service cafeteria that allows users to pay for their food using a credit system. (b) A system to control the functioning of a nuclear power plant. (c) A system to support distributed design teams, e.g., for car design. Comment You may have come up with alternative suggestions; these are indicative of the kinds of an- swer we might expect. (a) Functional: The system will calculate the total cost of purchases. Data: The system must have access to the price of products in the cafeteria. Environmental: Cafeteria users will be carrying a tray and will most likely be in a rea- sonable rush. The physical environment will be noisy and busy, and users may be talking with friends and colleagues while using the system. User: The majority of users are likely to be under 25 and comfortable dealing with technology. Usability: The system needs to be simple so that new users can use the system imme- diately, and memorable for more frequent users. Users won't want to wait around for the system to finish processing, so it needs to be efficient and to be able to deal easily with user errors. (b) Functional:The system will be able to monitor the temperature of the reactors. Data: The system will need access to temperature readings. Environmental: The physical environment is likely to be uncluttered and to impose few restrictions on the console itself unless there is a need to wear protective clothing (depending on where the console is to be located). User: The user is likely to be a well-trained engineer or scientist who is competent to handle technology. Usability: Outputs from the system, especially warning signals and gauges, must be clear and unambiguous. (c) Functional: The system will be able to communicate information between remote sites. Data: The system must have access to design information that will be captured in a common file format (such as AutoCAD). Environmental: Physically distributed over a wide area. Files and other electronic media need to be shared. The system must comply with available communication protocols and be compatible with network technologies. User: Professional designers, who may be worried about technology but who are likely to be prepared to spend time learning a system that will help them perform their jobs better. The design team is likely to be multi-lingual. Usability: Keeping transmission error rate low is likely to be of high priority.
  • 241.
    21 0 Chapter 7 Identifying needs and establishing requirements 7.4 Data gathering So how do we go about determining requirements? Data gathering is an important part of the requirements activity and also of evaluation. In this chapter, we concen- trate on data gathering for the requirements activity. Further information about the techniques we present here and how to apply them in evaluation is in Chapters 12 through 14. The purpose of data gathering is tr, collect sufficient, relevant, and appropriate data so that a set of stable requirements can be produced. Even if a set of initial re- quirements exists, data gathering will be required to expand, clarify, and confirm those initial requirements. Data gathering needs to cover a wide spectrum of issues because the different kinds of requirement we need to establish are quite varied, as we saw above. We need to find out about the tasks that users currently perform and their associated goals, the context in which the tasks arg performed, and the ratio- nale for why things are the way they are. There is essentially a small number of basic techniques for data gathering, but they are flexible and can be combined and extended in many ways; this makes the I possibilities for data gathering very varied, to give full leverage on understanding the variety of requirements we seek. These techniques are questionnaires, interviews, focus groups and workshops, naturalistic observation, and studying documentation. Some of them, such as the interview, require active participation from stakeholders, while others, such as studying documentation, require no involvement at all. In addi- tion, various props can be used in data-gathering sessions, such as descriptions of common tqsks and prototypes of possible new functionality. See Section 7.6 and Chapter 8 for further information on how to develop these props. Box 7.2 gives an
  • 242.
    7.4 Data gathering21 1 example of how different methods and props can be combined to gain maximum ad- vantage, while Box 7.3 describes a very different approach aimed at prompting inspi- ration rather than simple data gathering. 7.4.1 Data-gathering techniques I In addition to the most common forms of data-gathering techniques listed above, if a system is currently operational then data logging may be used. This involves in- strumenting the software to record users' activity in a log that can be examined later. Each of the techniques will yield different kinds of data and are useful in dif- ferent circumstances. In most cases, they are also used in evaluation, and how to implement them is described in Chapters 12 and 13. Here we describe what each technique involves and explain the circumstances for which they are most suitable, in the context of the requirements activity. The discussion is summarized in Table 7.1 on page 214. Questionnaires. Most of us are familiar with questionnaires. They are a series I of questions designed to elicit specific information from us. The questions may re- quire different kinds of answers: some require a simple YESINO, others ask us to choose from a set of pre-supplied answers, and others ask for a longer response or comment. Sometimes questionnaires are sent in electronic form and arrive via email or are posted on a website, and sometimes they are given to us on paper. In most cases the questionnaire is administered at a distance, i.e., no one is there to help you answer the questions or to explain what they mean. Well-designed questionnaires are good at getting answers to specific questions from a large group of people, and especially if that group of people is spread across a wide geographical area, making it infeasible to visit them all. Questionnaires are often used in conjunction with other techniques. For example, information ob- tained through interviews might be corroborated by sending a questionnaire to a wider group of stakeholders to confirm the conclusions. Interviews. Interviews involve asking someone a set of questions. Often inter- views are face-to-face, but they don't have to be. Companies spend large amounts of money conducting telephone interviews with their customers finding out what they like or don't like about their service. If interviewed in their own work or home set- ting, people may find it easier to talk about their activities by showing the interviewer what they do and what systems and other artifacts they use. The context can also trig- ger them to remember certain things, for example a problem they have downloading email, which they would not have recalled had the interview taken place elsewhere. Interviews can be broadly classified as structured, unstructured or semi- structured, depending on how rigorously the interviewer sticks to a prepared set of questions. In the requirements activity, interviews are good at getting people to explore issues and unstructured interviews are often used early on to elicit scenarios (see Section 7.6 below). Interacting with a human rather than a sterile, impersonal piece of paper or electronic questionnaire encourages people to respond, and can make the exercise more pleasurable. In the context of establishing requirements, it is equally important for development team members to meet stakeholders and for users to feel involved. This on its own may be sufficient motivation to arrange interviews.
  • 243.
    21 2 Chapter 7 Identifying needs and establishing requirements
  • 244.
    7.4 Data gathering 213 However, interviews are time consuming and it may not be feasible to visit all the people you'd like to see. Focus groups and workshops. Interviews tend to be one on one, and elicit only one person's perspective. As an alternative or as corroboration, it can be very re- vealing to get a group of stakeholders together to discuss issues and requirements. These sessions can be very structured with set topics for discussion, or can be un- structured. In this latter case, a facilitator is required who can keep the discussion on track and can provide the necessary focus or redirection when appropriate. In some development methods, workshops have become very formalized. For exam- ple, the workshops used in Joint Application Development (Wood and Silver, 1995) are very structured, and their contents and participants are all prescribed. In the requirements activity, focus groups and workshops are good at gaining a consensus view and/or highlighting areas of conflict and disagreement. On a social level it also helps for stakeholders to meet designers and each other, and to express their views in public. It is not uncommon for one set of stakeholders to be unaware that their views are different from another's even though they are in the same orga- nization. On the other hand, these sessions need to be structured carefully and the participants need to be chosen carefully. It is easy for one or a few people to domi- nate discussions, especially if they have control, higher status, or influence over the other participants. Naturalistic observation. It can be very difficult for humans to explain what they do or to even describe accurately how they achieve a task. So it is very un- likely that a designer will get a full and true story from stakeholders by using any of the techniques listed above. The scenarios and other props used in interviews and workshops will help prompt people to be more accurate in their descriptions, but observation provides a richer view. Observation involves spending some time with the stakeholders as they go about their day-to-day tasks, observing work as it hap- pens, in its natural setting. A member of the design team shadows a stakeholder, making notes, asking questions (but not too many), and observing what is being done in the natural context of the activity. This is an invaluable way to gain insights into the tasks of the stakeholders that can complement other investigations. The level of involvement of the observer in the work being observed is variable along a spectrum with no involvement (outside observation) at one end and full involve- ment (participant observation) at the other.
  • 245.
    214 Chapter 7 Identifying needs and establishing requirements Table 7.1 Overview of data-gathering techniques used in the requirements activity - - - - Detail for Technique Good for Kind of data Advantages Disadvantages designing in Questionnaires Answering Quantitative Can reach many The design is Chapter 13 specific and qualitative people with low crucial. Response questions data resource rate may be low. Responses may not be what you want Interviews Exploring Some Interviewer can Time consuming. Chapter 13 issues quantitative guide interviewee Artificial but mostly if necessary. environment qualitative Encourages may intimidate data contact between interviewee developers and users I Focus groups Collecting Some Highlights areas Possibility of Chapter 13 and multiple quantitative of consensus dominant workshops viewpoints but mostly and conflict. characters qualitative Encourages contact data between developers and users Na tutalistic Understanding Qualitative Observing actual Very time Chapter 12 observation context of user work gives consuming. activity insights that other Huge amounts techniques of data can't give Studying Learning about Quantitative No time Day-to-day N/A documentation procedures, commitment working will regulations from users differ from and standards required documented procedures Not only can naturalistic observation help fill in details and nuances that simply did not come out of the other investigations, it also provides context for tasks. Con- textualizing the work or behavior that a device is to support provides data that other techniques cannot, and from which we can evolve requirements. In the requirements activity, observation is good for understanding the nature of the tasks and the context in which they are performed. However, it requires more time and commitment from a member of the design team, and it can result in a huge amount of data. Studying documentation. Procedures and rules are often written down in manu- als and these are a good source of data about the steps involved in an activity and
  • 246.
    7.4 Data gathering 215 any regulations governing a task. Such documentation should not be used as the only source, however, as everyday practices may augment them and may have been devised by those concerned to make the procedures work in a practical setting. Taking a user-centered view of development means that we are interested in the everyday practices rather than an idealized account. Other documentation that might be studied includes diaries or job logs that are written by the stakeholders during the course of their work. In the requirements activity, studying documentation is good for understanding legislation and getting some background information on the work. It also doesn't in- volve stakeholder time, which is a limiting factor on the other techniques. I 7.4.2 Choosing between techniques Table 7.1 provides some information to help you choose a set of techniques for a specific project. It tells you the kind of information you can get, e.g., answers to specific questions, and the kind of data it yields, e.g., qualitative or quantitative. It also includes some advantages and disadvantages for each technique. The kind of information you want will probably be determined by where you are in the cycle of iterations. For example, at the beginning of the project you may not have any specific questions that need answering, so it's better to spend time ex- ploring issues through interviews rather than sending out questionnaires. Whether you want qualitative or quantitative data may also be affected by the point in development you have reached, but is also influenced by the kind of analysis you need to do. The resources available will influence your choice, too. For example, sending out questionnaires nationwide requires sufficient time, money, and people to do a good design, try it out (i.e., pilot it), issue it, collate the results and analyze them. If you only have three weeks and no one on the team has designed a survey before, then this is unlikely to be a success. Finally, the location and accessibility of the stakeholders need to be consid- ered. It may be attractive to run a workshop for a large group of stakeholders, but if they are spread across a wide geographical area, it is unlikely to be practical. Olson and Moran (1996) suggest that choosing between data-gathering tech- niques rests on two issues: the nature of the data gathering technique itself and the task to be studied. Data-gathering techniques differ in two main respects: 1. The amount of time they take and the level of detail and risk associated with the findings. For example, they claim that a naturalistic observation will take two days of effort and three months of training, while interviews take one day of effort and one month of training (p. 276). 2. The knowledge the analyst must hqye about basic cognitive processes. Tasks can be classified along three scales: 1. Is the task a set of sequential steps or is it a rapidly overlapping series of subtasks?
  • 247.
    1 21 6 Chapter 7 Identifying needs and establishing requirements I 2. Does the task involve high information content with complex visual displays to be interpreted, or low information content where simple signals are suffi- cient to alert the user? 3. Is the task intended to be performed by a layman without much training or by a practitioner skilled in the task domain? Box 7.4 summarizes two examples to show how techniques can be chosen using these dimensions. So, when choosing between techniques for data gathering in the requirements activity, you need to consider the nature of the technique, the knowledge required of the analyst, the nature of the task to be studied, the availability of stakeholders and other resources, and the kind of information you need. 7.4.3 Some basic data-gathering guidelines Organizing your first data-gathering session may seem daunting, but if you plan the I I sessions well, and know what your objectives are then this will increase your confi- dence and make the whole exercise a lot more comfortable. Below we list some ~ data-gathering guidelines to support the requirements activity. Focus on identifying the stakeholders' needs. This may be achieved by study- ing their existing behavior and support tools, or by looking at other products,
  • 248.
    7 4 Datagathering . 217 such as a competitor's product or an earlier release of your product under development. Involve all the stakeholder groups. It is very important to make sure that you get all the views of the right people. This may seem an obvious com- ment, but it is easy to overlook certain sections of the stakeholder popula- tion if you're not careful. We were told about one case where a large distribution and logistics company reimplemented their software systems and were very careful to involve all the clerical, managerial, and warehouse staff in their development process, but on the day the system went live, the productivity of the operation fell by 50%. On investigation it was found that the bottleneck was not in their own company, but in the suppliers' ware- houses that had to interact with the new system. No one had asked them how they worked, and the new system was incompatible with their working routines. Involving only one representative from each stakeholder group is not enough, especially if the group is large. Everyone you involve in data gather- ing will have their own perspective on the situation, the task, their job and how others interact with them. If you only involve one representative stake- holder then you will only get a narrow view. Use a combination of data gathering techniques. Each technique will yield a certain kind of information, from a certain perspective. Using different tech- niques is one way of making sure that you get different perspectives (called triangulation, see Chapter lo), and corroboration of findings. For example, use observation to understand the context of task performance, interviews to target specific user groups, questionnaires to reach a wider population, and focus groups to build a consensus view. Support the data-gathering sessions with suitable props, such as task descrip- tions and prototypes if available. Since the requirements activity is iterative, prototypes or descriptions generated during one session may be reused or revisited in another with the same or a different set of stakeholders. Using props will help to jog people's memories and act as a focus for discussions. Run a pilot session if possible to ensure that your data-gathering session is likely to go as planned. This is particularly important for questionnaires where there is no one to help the users with ambiguities or other difficulties, but also applies to interview questions, workshop formats, and props. Any data collected during pilot sessions cannot be treated equally with other data, so don't mix them up. After running the pilot it is likely that some changes will be needed before running the session "for real." In an ideal world, you would understand what you are looking for and what kinds of analysis you want to do, and design the data-capture exercise to col- lect the data you want. However, data gathering is an expensive and time- consuming activity that is often tightly constrained on resources. Sometimes pragmatic constraints mean that you have to make compromises on the ideal
  • 249.
    21 8 Chapter 7 Identifying needs and establishing requirements situation, but before you can make sensible compromises, you need to know what you'd really like. How you record the data during a face-to-face data-gathering session is just as important as the technique(s) you use. Video recording, audio recording, and note taking are the main options. Video and audio recording provide the most accurate record of the session, but they can generate huge amounts of data. You also need to decide on practical issues that can have profound effects on the data collected, such as where to position the camera. Note tak- ing can be harder unless this is the person's only role in the session, but note taking always involves an element of interpretation. Taking impartial, accu- rate notes is difficult but can be improved with practice. For each of the situations below, consider what kinds of data gathering would be appropri- ate and how you might use the different techniques introduced above. You should assume that you are at the beginning of the development and that you have sufficient time and re- sources to use any of the techniques. (a) You are developing a new software system to support a small accountant's office. There is a system running already with which the users are reasonably happy, but it is looking dated and needs upgrading. (b) You are looking to develop an innovative device for diabetes sufferers to help them record and monitor their blood sugar levels. There are some products already on the market, but they tend to be large and unwieldy. Many diabetes sufferers rely on man- ual recording and monitoring methods involving a ritual with a needle, some chemi- cals, and a written scale. (c) You are developing a website for a young person's fashion e-commerce site. Comment (a) As this is a small office, there are likely to be few stakeholders. Some period of obser- vation is always important to understand the context of the new and the old system. Interviewing the staff rather than giving them questionnaires is likely to be appropri- ate because there aren't very many of them, and this will yield richer data and give the developers a chance to meet the users. Accountancy is regulated by a variety of laws and it would also pay to look at documentation to understand some of the con- straints from this direction. So we would suggest a series of interviews with the main users to understand the positive and negative features of the existing system, a short observation session to understand the context of the system, and a study of documen- tation surrounding the regulations. (b) In this case, your user group is spread about, so talking to all of them is infeasible. However, it is important to interview some, possibly at a local diabetic clinic, making sure that you have a representative sample. And you would need to observe the ex- isting manual operation to understand what is required. A further group of stake- holders would be those who use or have used the other products on the market. These stakeholders can be questioned to find out the problems with the existing de- vices so that the new device can improve on them. A questionnaire sent to a wider group in order to back up the findings from the interviews would be appropriate, as might a focus group where possible.
  • 250.
    7.5 Data interpretationand analysis (c) Again, you are not going to be able to interview all your users. In fact, the user group 219 I may not be very well defined. Interviews backed up by questionnaires and focus groups would be appropriate. Also, in this case, identlfy~ngsimilar or competing sites and evaluating them will help provide information for producing an improved product. The problems of choosing among data-gathering techniques for the require- ments activity have been recognized in requirements engineering. For example ACRE (Acquisition REquirements) is a quite extensive set of guidance to help re- quirements engineers choose between a variety of techniques for data gathering, including interviews and observation. The framework also includes other tech- niques from software engineering, knowledge engineering, and the social sciences. I For more information on this framework, see Maiden and Rugg (1996). I 7.5 Data interpretation and analysis Once the first data-gathering session has been conducted, interpretation and analy- sis can begin. It's a good idea to start interpretation as soon after the gathering ses- sion as possible. The experience will be fresh in the minds of the participants and this can help overcome any bias caused by the recording approach. It is also a good idea to discuss the findings with others to get a variety of perspectives on the data. The aim of the interpretation is to begin structuring and recording descriptions of requirements. Using a template such as the one suggested in Volere (Figure 7.5) highlights the kinds of information you should be looking for and guides the data interpretation and analysis. Note that many of the entries are concerned with trace- Requirement #: Unique IdRequirement Type: Tempbte Eventluse case #: Origin of section the requimmmt Description: Aoneserrtencsstatemerrtoftheim oftherequinment Rationale: W y isthe requiament coneideredimportantor necesea@ h Source: Who raised UIie r e q u i m d F i t Critierion: A qa u- oftherequirement ueedtodetemrine*thedut;bn meek the requirement. Customer Satisfaction: Meaeumthe Customer Dissatisfaction: UnhappirwwiFitis ddretoha.ethe uhevlt not implemented i m k Dependencies: Oharequiments a changeefkit Conflicts: %a -t h t ictuliione Supporting Materials: &ntatoeupprtJng infwmation H i s t o y : Originand changes tothe requirrsment Volede Copyright 0 Atlantic Systems Guild Figure 7.5 The Volere shell for requirements.
  • 251.
    220 Chapter 7 Identifying needs and establishing requirements ability. For example, who raised the requirement and where can more information about it be found. This information may be captured in documents or in diagrams drawn during analysis. Providing links with raw data as captured on video or audio recordings can be harder, although just as important. Haumer et al. (2000) have de- veloped a tool that records concrete scenarios using video, speech, and graphic media, and relates these recorded observations to elements of a corresponding de- sign. This helps designers to keep track of context and usage information while an- alyzing and designing for the system. More focused analysis of the data will follow initial interpretation. Different techniques and notations exist for investigating different aspects of the system that will in turn give rise to the different requirements. For example, functional require- ments have traditionally been analyzed and documented using data-flow diagrams, Book Flinht ~~ Flight details entered Fare option displayed Fare chosen If new customer Enter details End If I customer details i Display customer details Passenger details entered Adcl 1 to NumberOfBookings Booking confirmed by email Figure 7.6 (a) Class diagram and (b) sequence diagram that might be used to analyze and capture static structure and dynamic behavior (respectively) if the system is being developed using an object-oriented approach.
  • 252.
    7.5 Data interpretationand analysis 221 state charts, work-flow charts, etc. (see e.g., Sommerville, 2001). Data requirements can be expressed using entity-relationship diagrams, for example. If the develop- ment is to take an object-oriented approach, then functional and data requirements are combined in class diagrams, with behavior being expressed in state charts and sequence diagrams, among others. Examples of two such diagrams representing a portion of a holiday booking system are given in Figure 7.6. These diagrams can be linked to the requirements through the "Eventluse case" field in the template in Figure 7.5. We don't go into the detail of how diagrams such as these might be developed, as whole books are dedicated to them. Instead, we describe four techniques that have a user-centered focus and are used to understand users' goals and tasks: sce- narios, use cases, essential use cases, and task analysis. All of them may be pro- duced during data-gathering sessions, and their output used as props in subsequent data-gathering sessions. The requirements activity iterates a number of times before a set of stable re- quirements evolves. As more interpretation and analysis techniques are applied, a deeper understanding of requirements will emerge and the requirements descrip- I tions will expand and clarify. I - "oltag,well, I think we all get the g i d of where sev?vnj was going with the site map.'1
  • 253.
    222 Chapter 7 Identifying needs and establishing requirements 7.6 Task description Descriptions of business tasks have been used within software development for many years. During the 1970s and 1980s,"business scenarios" were commonly used as the basis for acceptance testing, i.e., the last testing stage before the customer paid the final fee installment and "accepted" the system. In more recent years, due to the emphasis on involving users earlier in the development lifecycle and the large number of new interaction devices now being developed, task descriptions are used throughout development, from early requirements activities through pro- totyping, evaluation, and testing. Consequently, more time and effort has been put into understanding how best to structure and use them. There are different flavors of task descriptions, and we shall introduce three of them here: scenarios, use cases, and essential use cases. Each of these may be used to describe either existing tasks or envisioned tasks with a new device. They are not mutually exclusive and are often used in combination to capture different perspec- tives or to document different stages during the development lifecycle. In this section and the next, we use two main examples to illustrate the applica- tion of techniques. These are a library catalog service and a shared diary or calen- dar system. The library catalog is similar to any you might find in a public or
  • 254.
    7.6 Task description223 university library, and allows you to access the details of books held in the library: for example, to search for books by a particular author, or by subject, to identify the location of a book you want to borrow, and to check on a member's current loans and status. The shared calendar application is to support a university department. Mem- bers of the department currently keep their own calendars and communicate their whereabouts to the department's administrator, who keeps the information in a central paper calendar. Unfortunately, the central calendar and the individuals' cal- endars easily become out of step as members of the department arrange their own engagements. It is hoped that having a shared calendar in which individuals can enter their own engagements will help overcome the confusion that often ensues due to this mismatch. Shared calendars raise some interesting aspects of collabora- tion and coordination, as discussed in Chapter 4, Box 4.2. In particular, people don't usually like to have their time filled with appointments without their consent, and so a mechanism is needed for people to protect some time from being booked by others. 7.6.1 Scenarios A scenario is an "informal narrative description" (Carroll, 2000). It describes human activities or tasks in a story that allows exploration and discussion of con- texts, needs, and requirements. It does not explicitly describe the use of software or other technological support to achieve a task. Using the vocabulary and phrasing of users means that the scenarios can be understood by the stakeholders, and they are able to participate fully in the development process. In fact, the construction of sce- narios by stakeholders is often the first step in establishing requirements. Imagine that you have just been invited along to talk to a group of users who perform data entry for a university admissions office. You walk in, and are greeted by Sandy, the supervisor, who starts by saying something like: Well, this is where the admissions forms arrive. We receive about 50 a day during the peak application period. Brian here opens the forms and checks that they are complete, that is, that all the documentation has been included. You see, we require copies of relevant school exam results or evidence of work experience before we can process the application. Depending on the result of this initial inspection, the forms getpassed t o . . . . Telling stories is a natural way for people to explain what they are doing or how to achieve something. It is therefore something that stakeholders can easily re- late to. The focus of such stories is also naturally likely to be about what the users are trying to achieve, i.e., their goals. Understanding why people do things as they do and what they are trying to achieve in the process allows us to concentrate on the human activity rather than interaction with technology. This is not to say that the human activity should be preserved and reflected in any new device we are trying to develop, but understanding what people do now is a good starting point for exploring the constraints, contexts, irritations, facilitators and so on under which the humans operate. It also allows us to identify the stake- holders and the products involved in the activity. Repeated reference to a particular
  • 255.
    224 Chapter 7 Identifying needs and establishing requirements form, book, behavior, or location indicates that this is somehow central to the activ- ity being performed and that we should take care to understand what it is and the role it plays. A scenario that might be generated by potential users of a library catalog ser- vice is given below: Say I want to find a book by George Jeffries. I don't remember the title but I know it was published before 1995. I go to the catalog and enter m y user password. I don't understand why I have to d o this, since I can't get into the library to use the catalog without passing through security gates. However, once m y password has been confirmed, I a m given a choice of searching b y author or b y date, but not the combination of author and date. I tend to choose the author option because the date search usually identifies too many entries. After about 30 seconds the catalog returns saying that there are n o entries for George Jeffries and showing me the list of entries closest to the one I've sought. When I see the list, I realize that in fact I got the author's first name wrong and it's Gregory, not George. I choose the entry I want and the system displays the location to tell me where to find the book. In this limited scenario of existing system use, there are some things of note: the importance of getting the author's name right, the annoyance concerning the need to enter a password, the lack of flexible search possibilities, and the usefulness of showing a list of similar entries when an exact match isn't clear. These are all in- dicators of potential design choices for the new catalog system. The scenario also tells us one (possibly common) use of the catalog system: to search for a book by an author when we don't know the title. The level of detail present in a scenario varies, and there is no particular guid- ance about how much or how little should be included. Often scenarios are gener- ated during workshop or interview sessions to help explain or discuss some aspect of the user's goals. They can be used to imagine potential uses of a device as well as to capture existing behavior. They are not intended to capture a full set of require- ments, but are a very personalized account, offering only one perspective. A simple scenario for the shared-calendar system that was elicited in an infor- mal interview describes how one function of the calendar might work: to arrange a meeting between several people. The user types in all the names of the meeting participants together with some constraints such as the length of the meeting, roughly when the meeting needs to take place, and possibly where it needs to take place. The system then checks against the individuals' calendars and the central departmental calendar and presents the user with a series of dates o n which everyone is free all at the same time. Then the meeting could be confirmed and written into peoples' calendars. Some people, though, will want to be asked before the calendar entry is made. Perhaps the system could email them automatically and ask that it be conjirmed before it is written in." An example of a futuristic scenario, devised by Symbian, showing one vision of how wireless devices might be used in the future is shown in Figure 7.7. In this chapter, we refer to scenarios only in their role of helping to establish requirements. They have a continuing role in the design process that we shall re- turn to in Chapter 8.
  • 256.
    7.6 Task description225 A businesswoman traveling to Paris fm US the A businesswoman is traveling from San Francisco to Paris o n a business trip. O n her way to the airport she narrowly misses a trafJic delay. She avoids the trafic jam because her Srnartphone beeps, then sends her a text message warning her of the trafJic accident on her normal route from her ofice to the airport. Upon arrival at the airport, the location-sensitive Srnartphone not@es the airline that she will be checking in shortly, and an airline employee immediately finds her and takes her baggage. Her on-screen display shows that her flight is o n time and provides a map to her gate. O n her way to the gate she downloads tourist information such as maps and events occurring in Paris during her stay. Once she finds her seat on the plane, she begins to review all the information she has downloaded. She notices than an opera is playing in Paris that she has been wanting to see, and she books her ticket. Her Srnartphone can make the booking using her credit card number, which it has stored in its memory. This means that she does not need to re- enter the credit card number each time she uses wcommerce (i.e., wireless commerce), facilities. The security written into the sofnvare of the Smartphone protects her against fraud. The Srnartphone stores the opera booking along with several emails that she writes on the plane. A s soon as she steps off the plane, the Smartphone makes the calls and automatically sends the emails. A s she leaves the airport, a map appears on her Smartphone's display, guiding her to her hotel. Figure 7.7 A scenario showing how two technologies, a Smartphone and wcommerce (wireless commerce), might be used. Capturing scenarios of existing behavior and goals helps in determining new scenarios and hence in gathering data useful for establishing the new requirements. The next activity is intended to help you appreciate how a scenario of existing ac- tivity can help identify the requirements for a future application to support the same user goal. I Write a scenario of how you would currently go about choosing a new car. This should be a I brand new car, not a second-hand car. Having written it, think about the important aspects 1 of the task, your priorities and preferences. Then imagine a new interactive product that 1 supports you in your goal and takes account of these issues. Write a futuristic scenario show- 1 ing how this product would support you. I Comment The following example is a fairly generic view of this process. Yours will be different, but I you may have identified similar concerns and priorities. The first thing I would d o is to observe cars on the road and identify ones that I like the look o j This may take some weeks. I would also try to identify any consumer reports that will include an assessment of car performance. Hopefully, these initial activities will result in m e identifying a likely car to buy. The next stage will be to visit a car showroom and see at first hand what the car looks like, and how comfortable it is to sit in. If I still feel positive about the car, then I'll ask for a test drive. Even a short test drive helps m e to
  • 257.
    226 Chapter 7 Identifying needs and establishing requirements understand how well the car handles, how noisy is the engine, how smooth are the gear changes, and so on. Once I've driven the car myself, I can usually tell whether I would like to own it or not. From this scenario, it seems that there are broadly two stages involved in the task: re- searching the different cars available, and gaining first-hand experience of potential pur- chases. In the former, observing cars on the road and getting actual and maybe critical information about them has been highlighted. In the latter, the test drive seems to be quite significant. For many people buying a new car, the smell and touch of the car's exterior and interior, and the driving experience itself are often the most influential factors in choosing a particu- lar model. Other more factual attributes such as fuel consumption, amount of room inside, colors available, and price may rule out certain makes and models, but at the end of the day, cars are often chosen according to how easy they are to handle and how comfortable they are inside. This makes the test drive a vital part of the process of choosing a new car. Taking these comments into account, we've come up with the following scenario describ- ing how a new "one-stop ' shop for new cars might operate. This product makes use of im- 7 mersive virtual reality technology that is already used for other applications such as designing buildings and training bomb disposal experts. I want to buy a new car, so I go down the street to the local "one-stop car shop. " The shop has a number of booths in it, and when I g o in I'm directed to an empty booth. Inside there's a large seat that reminds m e of a racing car seat, and in front of that a large display screen, keyboard and printer. A s Isit down, the display jumps into life. It offers m e the options of browsing through video clips of new cars which have been released in the last two years, or of searching through video clips of cars by make, by model, or by year. I can choose as many of these as I like. I also have the option of searching through and reading or printing consumer reports that have been produced about the cars I'm interested in. I spend about an hour looking through materials and deciding that I'd like to experience a couple that look promising. I can of course go away and come back later, but I'd like to have a go with some of those I've found. B y flicking a switch in m y armrest, Z can call u p the options for virtual reality simulations for any of the cars I'm interested in. These are really great as they allow me to take the car for a test drive, simulating everything about the driving experience in this car, from road holding, to windscreen display, and front pedal pressure to dash board layout. It even re-creates the atmosphere of being inside the car. Note that the product includes support for the two research activities mentioned in the original scenario, as well as the important test drive facility. This would be only a first cut scenario which would then be refined through discussion and further investigation. 7.6.2 Use cases Use cases also focus on user goals, but the emphasis here is on a user-system inter- action rather than the user's task itself. They were originally introduced through the object-oriented community in the book Object-Oriented Sofiware Engineering (Jacobson et al., 1992). Although their focus is specifically on the interaction be- tween the user (called an "actor'') and a software system, the stress is still very much on the user's perspective, not the system's. The term "scenario" is also used in the context of use cases. In this context, it represents one path through the use
  • 258.
    7.6 Task description227 case, i.e,, one particular set of conditions. This meaning is consistent with the defin- I ition given above in that they both represent one specific example of behavior. A use case is associated with an actor, and it is the actor's goal in using the system that the use case wants to capture. In this technique, the main use case describes what is called the "normal course" through the use case, i.e., the set of actions that the analyst believes to be most commonly performed. So, for exam- ple, if through data gathering we have found that most users of the library go to the catalog to check the location of a book before going to the shelves, then the normal course for the use case would include this sequence of events. Other pos- sible sequences, called alternative courses, are then listed at the bottom of the use case. A use case for arranging a meeting using the shared calendar application, with the normal course being that the meeting is written into the calendar automatically, might be: 1. The user chooses the option to arrange a meeting. 2. The system prompts user for the names of attendees. 3. The user types in a list of names. 4. The system checks that the list is valid. 5. The system prompts the user for meeting constraints. 6. The user types in meeting constraints. 7. The system searches the calendars for a date that satisfies the constraints. 8. The system displays a list of potential dates. 9. The user chooses one of the dates. 10. The system writes the meeting into the calendar. 11. The system emails all the meeting participants informing them of the ap- pointment. Alternative courses: 5. If the list of people is invalid, 5.1 The system displays an error message. 5.2 The system returns to step 2. 8. If no potential dates are found, 8.1 The system displays a suitable message. 8.2 The system returns to step 5. Note that the number associated with the alternative course indicates the step in the normal course that is replaced by this action or set of actions. Also note how specific the use case is about how the user and the system will interact. Use cases may be described graphically. Figure 7.8 shows the use case diagram for the above calendar example. The actor "Administrator" is associated with the use case "Arrange a meeting." Another actor we might identify for the calendar system is the "Departmental member" who updates his own calendar entries, also shown in Figure 7.8. Actors may be associated with more than one use case, so for
  • 259.
    228 Chapter 7 Identifying needs and establishing requirements r Administrator Departmental member I I Figure 7.8 Use case diagram for the shared calendar system showing three use cases and two actors. example the actor "Departmental member" can be associated with a use case "Retrieve contact details" as well as the "Update calendar entry" use case. Each use case may also be associated with more than one actor. This kind of description has a different style and a different focus from the sce- narios described above. The layout is more formal, and the structure of "good" use cases has been discussed by many (e.g., Cockburn, 1995; Gough et al., 1995; Ben Achour, 1999). The description also focuses on the user-system interaction rather than on the user's activities; thus a use case presupposes that technology is being used. This kind of detail is more useful at conceptual design stage than during requirements or data gathering, but use cases have been found to help some stakeholders express their views on how existing systems are used and how a new system might work. To develop a use case, first identify the actors, i.e., the people or other systems that will be interacting with the system under development. Then examine these actors and identify their goal or goals in using the system. Each of these will be a use case. Library member c Figure 7.9 Use case diagram for the library catalog service.
  • 260.
    7.6 Task description 229 Consider the example of the library catalog service again. One use case is "Locate book," and this would be associated with the "Library member" actor. Identify one other main actor and an associated use case, and draw a use case diagram. Write out the use case for "Locate book" including the normal and some alterna- tive courses. You may assume that the normal course is for users to go to the catalog to find the location, and that the most common path to find this is through a search by author. Comment One other main actor is the "Librarian." A use case for the "Librarian" would be "Update catalog." Figure 7.9 is the associated use case diagram. There are other use cases you may have identified. The use case for "Locate book" might be something like this: 1. The system prompts for user name and password. 2. The user enters his or her user name and password into the catalog system. 3. The system verifies the user's password. 4. The system displays a menu of choices. 5. The user chooses the search option. 6. The system displays the search menu. 7. The user chooses to search by author. 8. The system displays the search author screen. 9. The user enters the author's name. 10. The system displays search results. 11. The user chooses the required book. 12. The system displays details of chosen book. 13. The user notes location. 14. The user quits catalog system. Alternative courses: 4. If user password is not valid 4.1 The system displays error message. 4.2 The system returns to step 1. 5. If user knows the book details 5.1 The user chooses to enter book details. 5.2 The system displays book details screen. 5.3 The user enters book details. 5.4 The system goes to step 12. 7.6.3 Essential use cases Essential use cases were developed by Constantine and Lockwood (1999) t o com- bat what they see as the limitations of both scenarios and use cases as described
  • 261.
    230 Chapter 7 Identifying needs and establishing requirements USER INTENTION SYSTEM RESPONSIBILITY arrange a meeting request meeting attendees and constraints identify meeting attendees and constraints suggest potential dates choose preferred date -- - - - - - - - -- - book meeting Figure 7.10 An essential use case for arranging a meeting in the shared calendar application. above. Scenarios are concrete stories that concentrate on realistic and specific activities. They therefore can obscure broader issues concerned with the wider organizational view. On the other hand, traditional use cases contain certain as- sumptions, including the fact that there is a piece of technology to interact with, and also assumptions about the user interface and the kind of interaction to be designed. Essential use cases represent abstractions from scenarios, i.e., they represent a more general case than a scenario embodies, and try to avoid the assumptions of a traditional use case. An essential use case is a structured narrative consisting of three parts: a name that expresses the overall user intention, a stepped description of user actions, and a stepped description of system responsibility. This division be- tween user and system responsibilities can be very helpful during conceptual design when considering task allocation and system scope, i.e., what the user is responsible for and what the system is to do. An example essential use case based on the library example given above is shown in Figure 7.10. Note that the steps are more generalized than those in the use case in Section 7.6.2, while they are more structured than the scenario in Sec- tion 7.6.1. For example, the first user intention does not say anything about typ- ing in a list of names, it simply states that the user identifies meeting attendees. This could be done by identifying roles, rather than people's names, from an or- ganizational or project chart, or by choosing names from a list of people whose calendars the system keeps, or by typing in the names. The point is that at the time of creating this essential use case, there is no commitment to a particular in- teraction design. Instead of actors, essential use cases are associated with user roles. One of the differences is that an actor could be another system, whereas a user role is just that: not a particular person, and not another system, but a role that a number of differ- ent people may play when using the system. Just as with actors, though, producing an essential use case begins with identifying user roles. Construct an essential use case "1ocateBook" for the user role "Library member" of the li- brary catalog service discussed in Activity 7.4.
  • 262.
    7.7 Task analysis 231 Comment locateBook I USER INTENTION SYSTEM RESPONSIBILITY identify self verify identity request appropriate details I offer known details 1 offer search results 1 note search results I quit system close Note that here we don't talk about passwords, but merely state that the users need to identify themselves. This could be done using fingerprinting, or retinal scanning, or any other suitable technology. The essential use case does not commit us to technology at this point. Neither does it specify search options or details of how to initiate the search. I I 7.7 Task analysis Task analysis is used mainly to investigate an existing situation, not to envision new systems or devices. It is used to analyze the underlying rationale and purpose of what people are doing: what are they trying to achieve, why are they trying to achieve it, and how are they going about it? The information gleaned from task analysis establishes a foundation of existing practices on which to build new re- quirements or to design new tasks. Task analysis is an umbrella term that covers techniques for investigating cog- nitive processes and physical actions, at a high level of abstraction and in minute detail. In practice, task analysis techniques have had a mixed reception. The most widely used version is Hierarchical Task Analysis (HTA) and this is the technique we introduce in this chapter. Another well-known task analysis technique called GOMS (goals, operations, methods, and selection rules) that models procedural knowledge (Card et al., 1983) is described in Chapter 14. I 7.7.1 Hierarchical task analysis Hierarchical Task Analysis (HTA) was originally designed to identify training needs (Annett and Duncan, 1967). It involves breaking a task down into subtasks and then into sub-subtasks and so on. These are then grouped together as plans that specify how the tasks might be performed in an actual situation. HTA focuses on the physi- cal and observable actions that are performed, and includes looking at actions that are not related to software or an interaction device at all. The starting point is a user goal. This is then examined and the main tasks associated with achieving that goal are identified. Where appropriate, these tasks are subdivided into subtasks. Consider the library catalog service, and the task of borrowing a book. This task can be decomposed into other tasks such as accessing the library catalog, searching by name, title, subject, or whatever, making a note of the location of the book, going to the correct shelf, taking it down off the shelf (provided it is there) and finally tak-
  • 263.
    232 Chapter 7 Identifying needs and establishing requirements 0. In order to borrow a book from the library 1 . o to the library 2. f n d the required book 2.1 access library catalog 2.2 access the search screen 2.3 enter search criteria 2.4 identify required book 2.5 note location 3. go to correct shelf and retrieve book 4. take book to checkout counter plan 0: do 1-3-4. If book isn't on the shelf expected, do 2-3-4. plan 2: do 2.1 -2.4-2.5. If book not identified do 2.2-2.3-2.4-2.5. Figure 7.1 1 An HTA for borrowing a book from the library. it to the check-out counter. This set of tasks and subtasks might be performed in a different order depending on how much is known about the book, and how familiar the user might be with the library and the book's likely location. Figure 7.11 shows these subtasks and some plans for different paths through those subtasks. Indenta- tion shows the hierarchical relationship between tasks and subtasks. Note how the numbering works for the task analysis: the number of the plan corresponds to the number of the step to which the plan relates. For example, plan 2 shows how the subtasks in step 2 can be ordered; there is no plan 1 because step 1 has no subtasks associated with it. An alternative expression of an HTA is a graphical box-and-line notation. Fig- ure 7.12 shows the graphical version of the HTA in Figure 7.11. Here the subtasks are represented by named boxes with identifying numbers. The hierarchical rela- tionship between tasks is shown using a vertical line. If a task is not decomposed any further then a thick horizontal line is drawn underneath the corresponding box. plan 0: do 1-3-4. If book isn't on the shelf expected, do 2-3-4. I I I 1 plan 2: do 2.1-2.4-2.5. If book not identifiedfrom information available, do 2.2-2.3-2.4-2.5. I I I I I Figure 7.12 A graphical representation of the task analysis for borrowing a book.
  • 264.
    7.7 Task analysis Plans are also shown in this graphical form. They are written alongside the vertical 233 I line emitting from the task being decomposed. For example, in Figure 7.12 plan 2 is specified next to the vertical line from box 2 "find required book." ook back at the scenario for arranging a meeting in the shared calendar application. Per- rm hierarchical task analysis for the goal of arranging a meeting. Include all plans in your answer. Express the task analysis textually and graphically. Comment The main tasks involved in this are to find out who needs to be at the meeting, find out the constraints on the meeting such as length of meeting, range of dates, and location, find a suit- able date, enter details into the calendar, and inform attendees. Finding a suitable date can be decomposed into other tasks such as looking in the departmental calendar, looking in in- dividuals' calendars, and checking potential dates against constraints. The textual version of the HTA is shown below. Figure 7.13 shows the corresponding graphical representation. 0. In order to arrange a meeting 1. compile a list of meeting attendees 2. compile a list of meeting constraints 3. find a suitable date 3.1 identify dates from departmental calendar 3.2 identify dates from each individual's calendar 3.3 compare ptential dates 3.4 choose one preferred date 4. enter meeting into calendars 5. inform meeting participants of calendar entry plan 0: do 1-2-3. If potential dates are identified, do 4-5. If no potential dates can be identi- fied, repeat 2-3. plan 3: do 3.1-3.2-3.3-3.4 or do 3.2-3.1 -3.3-3.4 plan 0: do 1-2-3. If potential dates are identified, do 4-5. If not repeat 2-3 I I I I I plan 3: do 3.1-3.2-3.3-3.4 - - - - Figure 7.1 3 A graphical representation of the meeting HTA.
  • 265.
    234 Chapter 7Identifying needs and establishing requirements What do you think are the main problems with using task analysis on real problems? Think of more complex tasks such as scheduling delivery trucks, or organizing a large conference. Comment Real tasks are very complex. One of the main problems with task analysis is that it does not scale very well. The notation soon becomes unwieldy, making it difficult to follow. Imagine what it would be like to produce a task analysis in which there were hundreds or even thou- sands of subtasks. A second problem is thkt task analysis is limited in the kind of tasks it can model. For ex- ample, it cannot model tasks that are overlapping or parallel, nor can it model interruptions. Most people work through interruptions of various kinds, and many significant tasks happen in parallel. Assignment This assignment is the first of four assignments that together take you through the complete de- velopment lifecycle for an interactive product. This assignment requires you to use techniques described in this chapter for identifying needs and establishing requirements. The further three assignments are at the end bf Chapters 8, 13, and 14. The overall assignment is for you to design and evaluate an interactive website for booking tickets online for events like concerts, the theatre and the cinema. This i currently an activity that s in many instances, can be difficult or inconvenient to achieve using traditional means (e.g., wait- ing for ages on the phone to get hold of an agent, queuing for hours in the rain at a ticket office). For this assignment, you should: (a) Identify users' needs for this website. You could do this in a number of ways. For example, you could observe people using ticket agents, think about your own expe- rience of purchasing tickets, look at existing websites for booking tickets, talk to friends and family about their experiences, and so on. Record your data carefully. (b) Based on your user requirements, choose two different user profiles and produce one main scenario for each one, capturing how the user is expected to interact with the system. (c) Using the scenarios generated from your data gathering, perform a task analysis on the main task associated with the ticket booking system, i.e., booking a ticket. (d) Based on the data gathered in part (a) and your subsequent interpretation and analysis, identify different kinds of requirements for the website, according to the headings introduced in Section 7.3 above. Write up the requirements in the style of the Volere template. Summary In this chapter, we have looked in more detail at how to identify users' needs and establish requirements for interaction design. Various data-gathering techniques can be used to collect data for interpretation and analysis. The most common of these are questionnaires, inter- views, focus groups, workshops, naturalistic observation, and studying documentation. Each of these has advantages and disadvantages that must be balanced against your constraints when choosing which techniques to use for a particular project. They can be combined in many different ways, and can be supported by props such as scenarios and prototypes. How
  • 266.
    Further reading 235 to carry out these techniques is covered in Chapters 12 through 14, Scenarios, use cases, and essential use cases are helpful techniques for beginning to document the findings from the data-gathering sessions. Task analysis is a little more structured, but does not scale well. Key points Getting the requirements right is crucial to the success of the interactive product. There are different kinds of requirements: functional, data, environmental, user, and us- ability. Every system will have requirements under each of these headings. The most commonly used data-gathering techniques for this activity are: questionnaires, in- terviews, workshops or focus groups, naturalistic observation, and studying documentation. Descriptions of user tasks such as scenarios, use cases, and essential use cases help users to articulate existing work practices. They also help to express envisioned use for new devices. Task analysis techniques help to investigate existing systems and current practices. Further reading ROBERTSON, SUZANNE, AND ROBERTSON, JAMES (1999) Mas- tive guide for developing object-oriented systems using use tering the Requirements Process. Boston: Addison-Wesley. cases and the modeling language Unified Modeling Lan- In this book, Robertson and Robertson explain a useful guage (UML). framework for software requirements work (see also the in- BRUEGGE, BERND, AND DUTOIT, LLEN H. (2000) Object- A terview with Suzanne Robertson after this chapter). oriented Software Engineering. Upper Saddle River, NJ: CONSTANTINE, LARRY L., AND LOCKWOOD, LUCY A. D. Prentice-Hall. This book is a comprehensive treatment of (1999) Software for Use. Boston: Addison-Wesley. This very the whole development process using object-oriented tech- readable book provides a concrete approach for modeling niques such as use cases. The book is organized to help those and analyzing software systems. The approach has a user- involved in project work. centered focus and contains some useful detail. It also in- SOMMERVILLE, IAN (2001) Software Engineering (6th ed.). cludes more information about essential use cases. Boston: Addison-Wesley. I you are interested in pursuing f JACOBSON, I., BOOCH, G., AND RUMBAUGH, J. (1992) The notations for functional and data requirements, then this Unified Software Development Process. Boston: Addison- book introduces a variety of notations and techniques used Wesley. This is not an easy book to read, but it is the defini- in software engineering.
  • 267.
    236 Chapter 7 Identifying needs and establishing r Suzanne Roberston is a to pay for the development, and the customer who's principal of The Atlantic making the decision about buying it. Then you've got Systems Guild, an interna- stakeholders like the project leader, the developers, tional think tank producing the requirements engineers, the designers, the quality numerous books and semi- people, and the testers. Then you've got the less obvi- nars whose aim is to make ous stakeholders like surrounding organizations, pro- good ideas to do with sys- tems engineering more ac- fessional bodies, and other people in the organization cessible. Suzanne is whose work might be affected by the project you're particularly well known for doing, even if they're never going to use the product. her work in systems analysis and requirements gathering HS: So do you find the stakeholders by just asking activities. questions? SR: Yes, partly that and partly by using the domain HS: What are requirements? model of the subject matter, which is in drawer 9, as the SR: Well the problem is that "requirements" has driver to ask more questions about the stakeholders. turned into an elastic term. Requirements is an enor- For example, for each one of the subject matter areas, mously wide field and there are so many different ask who have we got to represent this subject matter? types of requirements. One person may be talking For each one of the people that we come across, ask about budget, somebody else may be talking about in- what subject matter are we expecting from them? terfacing to an existing piece of software, somebody Drawer 3 contains the end users. I've put them in a else may be talking about a performance require- separate drawer because an error that a lot of people ment, somebody else may be talking about the calcu- make when they're looking for requirements is that the lation of an algorithm, somebody else may be talking only stakeholder they talk about is the end user. They about a data definition, and I could go on for hours as decide on the end user too quickly and they miss oppor- to what requirement means. What we advise people tunities. So you end up building a product that is possi- to do to start with is to look for something we call bly less competitive. I keep them a bit fuzzy to start "linguistic integrity" within their own project. When with, and as you start to fix on them then you can go all people who are connected with the project are into really deep analysis about them: What is their psy- talking about requirements, what do they mean? This chology? What are their characteristics? What's their gets very emotional, and that's why we came up with subject-matter knowledge? How do they feel about our framework. We gathered together all this experi- their work? How do they feel about technology? All of ence of different types of requirements, tried to pick these things help you to come up with the most compet- the most common organization, and then wrote them itive non-functional requirements for the product. down in a framework. HS: How do you resolve conflict between stake- HS: Please would you explain your framework? (The holders? version discussed in this interview is shown in the fig- SR: Well, part of it is to get the conflicts out in the ure on page 238. The most recent version may be open up front, so people stop blaming each other, but downloaded from www.systemsguild.com.) that certainly doesn't resolve it. One of the ways is to SR: Imagine a huge filing cabinet with 27 drawers, and make things very visible all the way through and to in each drawer you've got a category of knowledge that keep reminding people that conflict is respectable, is related to requirements. In the very first drawer for that it's a sign of creativity, of people having ideas. example you've got the goals, i.e., the reason for doing The other thing that we do is that in our individual re- the project. In the second drawer you've got the stake- quirements (that is atomic requirements), which end holders. These are roles because they could be played up living in drawers 9 to 17 of this filing cabinet, we've by more than one person, and one person may play got a place to say "Conflict: Which other requirement more than one role. You've got the client who's going is this in conflict with?" and we encourage people to
  • 268.
    Interview 237 identify them. Sometimes these conflicts resolve lution ideas, and when you get a solution idea, pop it themselves because they're on people's back burners, in this drawer. This helps requirements engineers, I and some of the conflicts are resolved by people just think, because we are trained to think of solutions, talking to one another. We have a point at which we not to dig behind and find the real problem. cross-check recluirements and look for conflicts and if we find some that are just not sorting themselves out, H S : How do you go about identifying requirements? then we stop and have a serious negotiation. S R . For too long we've been saying the stakeholders In essence, it's bubbling the conflicts up to the sur- should give us their requirements: we'll ask them and face. Keep on talking about them and keep them visi- they'll give them to us. We've realized that this is not ble. De-personalize it as much as you can. That helps. practical-partly because there are many require- ments people don't know they've got. Some require- HS: What other things are associated with these ments are conscious and they're usually because things atomic requirements? have gone wrong or they'd like something extra. Some S R . Each one has a unique number and a description requirements are unconscious because maybe people that is as close as you can get to what you think the are used to it, or maybe they haven't a clue because thing means. It also has a rationale that helps you to they don't see the overall picture. And then there are figure out what it really is. Then the next component is undreamed-of requirements that people just don't the fit criterion, which is, "If somebody came up with a dream they could ever have, because we've all got solution to this requirement, how would you know boundaries based on what we think technology is ca- whether or not it satisfies the requirement?" So this pable of doing or what we know about technology or means making the requirement quantifiable, measur- what our experience is. So it's not just asking people able. And it's very powerful because it makes you for things, it's also inventing requirements. I think think about the requirement. One requirement quite that's where prototyping comes in and scenario model- often turns into several when you really try and quan- ing and storyboarding and all of those sorts of tech- tify it. It also provides a wonderful opportunity for in- niques to help people to imagine what they could have. volving testers, because at that point if you write the fit If you're building a product for the market and criterion you can get a tester and ask whether this can you want to be more competitive you should be in- be used as input to writing a cost-effective test. Now venting requirements. Instead of constricting yourself this is different from the way we usually use the testers, within the product boundary, say, "Can I push myself which is to build tests that test our solutions. Here I out a bit further? Is there something else I could do want to get them in much earlier, I want them to test that isn't being done?" whether this requirement really is a requirement. HS: S o what kinds of techniques can people use to HS: S o what's in drawers 18 through 27? push out further? SR: Well here you can get into serious quarrels. The SR: One of the things is to learn how to imagine what overall category is "project issues," and people often it's like to be somebody else, and this is why going into say they're not really requirements, and they aren't. other fields, for example family therapy, is helpful. But if the project is not being managed according to They've learned an awful lot about how to imagine the real work that's being done, in other words the you might be somebody else. And that's not some- contents of the drawers, then the project goes off the thing that software engineers are taught in college rails. In project issues we create links so that a project normally and this is why it's very healthy for us to be manager can manage the project according to what's bringing together the ideas of psychology and sociol- happening to the requirements. ogy and so on with software and systems engineering. In the last drawer we have design ideas. People Bringing in these human aspects-the performance, say when you're gathering requirements you should the usability features, the "look and feel" features- not be concerned with how you're going to solve the that's going to make our products more competitive. I problem. But mostly people tell you requirements in always tell people to read a lot of novels. If you're the form of a solution anyway. The key thing is to having trouble relating to some stakeholders, for ex- learn how to separate the real requirements from so- ample, go and read some Jane Austen and then try to
  • 269.
    238 Chapter 7 Identifying needs and establishing requirements imagine what it would have been like to have been the was invented because of a very enthusiastic high-level heroine in Pride and Prejudice. What would it have stakeholder in a project we were doing. She was very been like to have to change your clothes three times a enthusiastic and keen and very involved. Wonderful! day? I find this helps me a lot, it frees your mind and She really gave us tremendous ideas and support. The then you can say, "OK, what's it really like to be that problem was she kept having ideas, and we didn't other person?" There's a lot to learn in that area. know what to do. We didn't want to stop her having ideas, on the other hand we couldn't always include HS: So what you're saying really is that it's not easy. them because then we would never get anything built. SR. It's not easy. I don't think there's any particular So we invented the waiting room. All the good ideas technique. But what we have done is we have come we have we put in there and every so often we go into up with a lot of different "trawling" techniques, along the waiting room and review the ideas. Some of them with recommendations, that can help you. get added to the product, some are discarded, and some are left waiting. The psychology of it is very HS: Do you have any other tips for gathering re- good because the idea's in the waiting room, everyone quirements? knows it's in there, but it's not being ignored. When SR: It's important for people to feel that they've people feel heard, they feel better and consequently been heard. The waiting room (drawer number 26) they're more likely to cooperate and give you time. The Template PROJECT DRIVERS NON-FUNCTIONAL REQUIREMENTS 1. The Purpose of the 10. Look and Feel Requirements Product 11. Usability Requirements 2. Client, Customer and other 12. Performance Requirements Stakeholders 13. Operational Requirements 3. Users of the Product 14. Maintainability and Portability Requirements 15. Security Requirements PROJECT CONSTRAINTS 16. Cultural and Political Requirements 4. Mandated Constraints 17. Legal Requirements 5. Naming Conventions and Definitions PROJECT ISSUES 6. Relevant Facts and 18. Open Issues Assumptions 19. Off-the-shelf Solutions 20. New Problems 21. Tasks FUNCTIONAL REQUIREMENTS 22. Cutover 7. The Scope of the Work 23. Risks 8. The Scope of the 24. Costs Product 25. User Documentation and Training 9. Functional and Data 26. Waiting Room Requirements 27. Ideas for Solutions The Volere Requirements Specification Template (0 1995-2001 Atlantic Systems Guild).
  • 270.
    Chapter 8 Design, prototyping and construction I 8.1 Introduction 8.2 Prototyping and construction 8.2.1 What is a prototype? 8.2.2 Why prototype? 8.2.3 Low-fidelity prototyping 8.2.4 High-fidelity prototyping .8.2.5 Compromises in prototyping 8.2.6 Construction: from design to implementation 8.3 Conceptual design: moving from requirements to first design 8.3.1 Three perspectives For developing a conceptual model 8.3.2 Expanding the conceptual model 8.3.3 Using scenarios in conceptual design 8.3.4 Using prototypes in conceptual design 8.4 Physical design: getting concrete 8.4.1 Guidelines for physical design 8.4.2 Different kinds of widget 8.5 Tool support 8.1 Introduction Design activities begin once a set of requirements has been established. Broadly speaking, there are two types of design: conceptual and physical. The former is concerned with developing a conceptual model that captures what the product will do and how it will behave, while the latter is concerned with details of the design such as screen and menu structures, icons, and graphics. The design emerges itera- tively, through repeated design-evaluation-redesign cycles involving users. For users to effectively evaluate the design of an interactive product, design- ers must produce an interactive version of their ideas. fn the early stages of de- velopment, these interactive versions may be made of paper and cardboard, while as design progresses and ideas become more detailed, they may be polished pieces of software, metal, or plastic that resemble the final product. We have
  • 271.
    240 Chapter 8 Design, prototyping and construction called the activity concerned with building this interactive version prototyping and construction. There are two distinct circumstances for design: one where you're starting from scratch and one where you're modifying an existing product. A lot of design comes from the latter, and it may be tempting to think that additional features can be added, or existing ones tweaked, without extensive investigation, prototyping or evaluation. It is true that if changes are not significant then the prototyping and evaluation activities can be scaled down, but they are still invaluable activities that should not be skipped. In Chapter 7, we discussed some ways to identify user needs and establish re- quirements. In this chapter, we look at the activities involved in progressing a set of requirements through the cycles of prototyping to construction. We begin by ex- plaining the role and techniques of prototyping and then explain how prototypes may be used in the design process. Tool support plays an important part in devel- opment, but tool support changes so rapidly in this area that we do not attempt to provide a catalog of current support. Instead, we discuss the kinds of tools that may be of help and categories of tools that have been suggested. I The main aims of this chapter are to: Describe prototyping and different types of prototyping activities. Enable you to produce a simple prototype. Enable you to produce a conceptual model for a system and justify your choices. Enable you to attempt some aspects of physical design. Explain the use of scenarios and prototypes in conceptual design. Discuss standards, guidelines, and rules available to help interaction designers. Discuss the range of tool support available for interaction design. 8.2 Prototyping and construction It is often said that users can't tell you what they want, but when they see some- thing and get to use it, they soon know what they don't want. Having collected in- formation about work practices and views about what a system should and shouldn't do, we then need to try out our ideas by building prototypes and iterat- ing through several versions. And the more iterations, the better the final product will be. I 8.2.1 What is a prototype? When you hear the term prototype, you may imagine something like a scale model of a building or a bridge, or maybe a piece of software that crashes every few min- utes. But a prototype can also be a paper-based outline of a screen or set of screens, an electronic "picture," a video simulation of a task, a three-dimensional paper and cardboard mockup of a whole workstation, or a simple stack of hyper- linked screen shots, among other things.
  • 272.
    8.2 Protoiyping andconstruction In fact, a prototype can be anything from a paper-based storyboard through to 241 I a complex piece of software, and from a cardboard mockup to a molded or pressed piece of metal. A prototype allows stakeholders to interact with an envisioned product, to gain some experience of using it in a realistic setting, and to explore imagined uses. For example, when the idea for the Palmpilot was being developed, Jeff Hawkin (founder of the company) carved up a piece of wood about the size and shape of the device he had imagined. He used to carry this piece of wood around with him and pretend to enter information into it, just to see what it would be like to own such a device (Bergman and Haitani, 2000). This is an example of a very simple (some might even say bizarre) prototype, but it served its purpose of simu- lating scenarios of use. Ehn and Kyng (1991) report on the use of a cardboard box with the label "Desktop Laser Printer" as a mockup. It did not matter that, in their setup, the printer was not real. The important point was that the intended users, journalists and typographers, could experience and envision what it would be like to have one of these machines on their desks. This may seem a little extreme, but in 1982 when this was done, desktop laser printers were expensive items of equipment and were not a common sight around the office. So a prototype is a limited representation of a design that allows users to inter- act with it and to explore its suitability. 8.2.2 Why prototype? Prototypes are a useful aid when discussing ideas with stakeholders; they are a communication device among team members, and are an effective way to test out ideas for yourself. The activitqof building prototypes encourages reflection in de- sign, as described by Schon (1983) and as recognized by designers from many disci- plines as an important aspect of the design process. Liddle (1996), talking about software design, recommends that prototyping should always precede any writing of code. Prototypes answer questions and support designers in choosing between alter- natives. Hence, they serve a variety of purposes: for example, to test out the techni- cal feasibility of an idea, to clarify some vague requirements, to do some user testing and evaluation, or to check that a certain design direction is compatible with the rest of the system development. Which of these is your purpose will influ- ence the kind of prototype you build. So, for example, if you are trying to clarify how users might perform a set of tasks and whether your proposed device would support them in this, you might produce a paper-based mockup. Figure 8.1 shows a paper-based prototype of the design for a handheld device to help an autistic child communicate. This prototype shows the intended functions and buttons, their posi- tioning and labeling, and the overall shape of the device, but none of the buttons actually work. This kind of prototype is sufficient to investigate scenarios of use and to decide, for example, whether the buttons are appropriate and the functions sufficient, but not to test whether the speech is loud enough or the response fast enough.
  • 273.
    242 Chapter 8 Design, prototyping and construction 4 inches 4 Durable c a s e t h e tough plastic exterior enables complete protection of the device if dropped, and the Communication rubberized outer keys-these are casing lessens the 1 sensitive touch- impacts of shocks. panel buttons. On In addition, the being triggered, a exterior is recorded message lightweight and related to that key makes the design is output from ideal for use in the speaker virtually any environment In addition, symbols and photos familiar to the user can be used on the keypads to enable usability of device to be immediate in the case of some individuals Battery indicator shows amount of battery left before recharging is required J Amplified speaker provides excellent output Ring attachment for beltltrousers.This enables the device to hang from a person's trousedbelt in a similar way to a key ring Figure 8.1 A paper-based prototype of a handheld device to support an autistic child. Heather Martin and Bill Gaver (2000) describe a different kind of prototyping with a different purpose. When prototyping audiophotography products, they used a variety of different techniques including video scenarios similar to the scenarios we introduced in Chapter 7, but filmed rather than written. At each stage, the pro- totypes were minimally specified, deliberately leaving some aspects vague so as to stimulate further ideas and discussion.
  • 274.
    8.2 Prototyping andconstruction 243 8.2.3 Low-fidelity protoiyping A low-fidelity prototype is one that does not look very much like the final product. For example, it uses materials that are very different from the intended final ver- sion, such as paper and cardboard rather than electronic screens and metal. The lump of wood used to prototype the Palm Pilot described above is a low-fidelity prototype, as is the cardboard-box laser printer. Low-fidelity prototypes are useful because they tend to be simple, cheap, and quick to produce. This also means that they are simple, cheap, and quick to modify so they support the exploration of alternative designs and ideas. This is particularly irn- portant in early stages of development, during conceptual design for example, because prototypes that are used for exploring ideas should be flexible and encourage rather than discourage exploration and modification. Low-fidelity prototypes are never in- tended to be kept and integrated into the final product. They are for exploration only. I I Storyboarding Storyboarding is one example of low-fidelity prototyping that is often used in conjunction with scenarios, as described in Chapter 7. A storyboard consists of a series of sketches showing how a user might progress through a task using the device being developed. It can be a series of sketched screens for a GUI- based software system, or a series of scene sketches showing how a user can per- form a task using the device. When used in conjunction with a scenario, the storyboard brings more detail to the written scenario and offers stakeholders a chance to role-play with the prototype, interacting with it by stepping through the scenario. The example storyboard shown in Figure 8.2 (Hartfield and Winograd, Figure 8.2 An example storyboard.
  • 275.
    244 Chapter 8 Design, prototyping and construction I People Computer Pr~nter Give Receive Transfer I Figure 8.3 Some simple sketches for low-fidelity prototyping. I 1996) depicts a person using a new system for digitizing images. This example doesn't show detailed drawings of the screens involved, but it describes the steps a user might go through in order to use the system. Sketching Low-fidelity prototyping often relies on sketching, and many people find it difficult to engage in this activity because they are inhibited about the quality of their drawing. Verplank (1989) suggests that you can teach yourself to get over this inhibition. He suggests that you should devise your own symbols and icons for elements you might want to sketch, and practice using them. They don't have to be anything more than simple boxes, stick figures, and stars. Elements you might re- 7 quire in a storyboard sketch, for example, include "things ' such as people, parts of a computer, desks, books, etc., and actions such as give, find, transfer, and write. If you are sketching an interface design, then you might need to draw various icons, dialog boxes, and so on. Some simple examples are shown in Figure 8.3. Try copy- ing these and using them. The next activity requires other sketching symbols, but they can still be drawn quite simply. Produce a storyboard that depicts how to fill a car with gas (petrol). Comment Our attempt is shown in Figure 8.4. Protofyping with Index Cards Using index cards (small pieces of cardboard about 3 X 5 inches) is a successful and simple way to prototype an interaction, and is used quite commonly when developing websites. Each card represents one screen or one element of a task. In user evaluations, the user can step through the cards, pretend- ing to perform the task while interacting with the cards. A more detailed example of this kind of prototyping is given in Section 8.3.4.
  • 276.
    8.2 Prototyping andconstruction 245 I Drive car t o gas pump Take nozzle from pump ... and put it ~ n t o the car's gas tank Squeeze trigger on Replace nozzle Pay cash~er the nozzle until when tank is full tank is full Figure 8.4 A storyboard depicting how to fill a car with gas. Wizard of Oz Another low-fidelity prototyping method called Wizard of Oz assumes that you have a software-based prototype. In this technique, the user sits at a computer screen and interacts with the software as though interacting with the product. In fact, however, the computer is connected to another ma- chine where a human operator sits and simulates the software's response to the user. The method takes its name from the classic story of the little girl who is swept away in a storm and finds herself in the Land of Oz (Baum and Denslow, 1900). 8.2.4 High-fidelity prototyping High-fidelity prototyping uses materials that you would expect to be in the final product and produces a prototype that looks much more like the final thing. For example, a prototype of a software system developed in Visual Basic is higher fi- delity than a paper-based mockup; a molded piece of plastic with a dummy key- board is a higher-fidelity prototype of the PalmPilot than the lump of wood. If you are to build a prototype in software, then clearly you need a software tool to support this. Common prototyping tools include Macromedia Director, Vi- sual Basic, and Smalltalk. These are also full-fledged development environments, so they are powerful tools, but building prototypes using them can also be very straightforward.
  • 277.
    246 Chapter 8 Design, protowing and construction Table 8.1 Relative effectiveness of low- vs. high-fidelity prototypes (Rudd et al., 1996) Type Advantages Disadvantages Low-fidelity prototype Lower development cost. Limited error checking. Evaluate multiple design Poor detailed specification concepts. to code to. Useful communication device. Facilitator-driven. Address screen layout issues. Limited utility after 6 Useful for identifyingmarket requirements established. requirements. Limited usefulness for Proof-of-concept. usability tests. Navigational and flow limitations. High-fidelity prototype 6 Complete functionality. More expensive to develop. Fully interactive. Time-consuming to create. User-driven. Inefficient for proof-of- Clearly defines navigational concept designs. scheme. Not effective for Use for exploration and test. requirements gathering. Look and feel of final product. Serves as a living specification. Marketing and sales tool. Marc Rettig (1994) argues that more projects should use low-fidelity prototyp- ing because of the inherent problems with high-fidelity prototyping. He identifies these problems as: They take too long to build. Reviewers and testers tend to comment on superficial aspects rather than content. Developers are reluctant to change something they have crafted for hours. A software prototype can set expectations too high. Just one bug in a high-fidelity prototype can bring the testing to a halt. High-fidelity prototyping is useful for selling ideas to people and for testing out technical issues. However, the use of paper prototyping and other ideas should be actively encouraged for exploring issues of content and structure. Further advan- tages and disadvantages of the two types of prototyping are listed in Table 8.1. 8.2.5 Compromises in protoiyping By their very nature, prototypes involve compromises: the intention is to produce something quickly to test an aspect of the product. The kind of questions or choices
  • 278.
    8.2 Prototyping andconstruction 247 that any one prototype allows the designer to answer is therefore limited, and the prototype must be designed and built with the key issues in mind. In low-fidelity prototyping, it is fairly clear that compromises have been made. For example, with a paper-based prototype an obvious compromise is that the device doesn't actually work! For software-based prototyping, some of the compromises will still be fairly clear; for example, the response speed may be slow, or the exact icons may be sketchy, or only a limited amount of functionality may be available. Two common compromises that often must be traded against each other are breadth of functionality provided versus depth. These two kinds of prototyping
  • 279.
    248 Chapter 8Design, prototyping and construction I are called horizontal prototyping (providing a wide range of functions but with little detail) and vertical prototyping (providing a lot of detail for only a few functions). Other compromises won't be obvious to a user of the system. For example, the internal structure of the system may not have been carefully designed, and the pro- totype may contain "spaghetti code" or may be badly partitioned. One of the dan- gers of producing running prototypes, i.e., ones that users can interact with automatically, is that they may believe that the prototype is the system. The danger for developers is that it may lead them to consider fewer alternatives because they have found one that works and that the users like. However, the compromises made in order to produce the prototype must not be ignored, particularly the ones that are less obvious from the outside. We still must produce a good-quality system and good engineering principles must be adhered to. 8.2.6 Construction: from design to implementation When the design has been around the iteration cycle enough times to feel confi- dent that it fits requirements, everything that has been learned through the iter- ated steps of prototyping and evaluation must be integrated to produce the final product. Although prototypes will have undergone extensive user evaluation, they will not necessarily have been subjected to rigorous quality testing for other character- istics such as robustness and error-free operation. Constructing a product to be used by thousands or millions of people running on various platforms and under a wide range of circumstances requires a different testing regime than producing a quick prototype to answer specific questions. The dilemma box below discusses two different development philosophies. One approach, called evolutionary prototyping, involves evolving a prototype into the final product. An alternative approach, called throwaway prototyping, uses the prototypes as stepping stones towards the final design. In this case, the
  • 280.
    8.3 Conceptual design:moving from requirements to first design 249 prototypes are thrown away and the final product is built from scratch. If an evo- lutionary prototyping approach is to be taken, the prototypes should be subjected to rigorous testing along the way; for throw-away prototyping such testing is not necessary. 8.3 Conceptual design: moving from requirements to first design Conceptual design is concerned with transforming the user requirements and needs into a conceptual model. Conceptual models were introduced in Chapter 2, and here we provide more detail and discuss how to go about developing one. We defined conceptual model as "a description of the proposed system in terms of a set of integrated ideas and concepts about what it should do, behave, and look like, that will be understandable by the users in the manner intended." The basis for designing this model is the set of user tasks the product will support. There is no easy transformation to apply to a set of requirements data that will produce "the best" or even a "good enough" conceptual model. Steeping yourself in the data and trying to empathize with the users while considering the issues raised in this section is one of the best ways to proceed. From the requirements and this ex- perience, a picture of what you want the users' experience to be when using the new product will emerge.
  • 281.
    250 Chapter 8 Design, prototyping and construction I Beyer and Holtzblatt (1998), in their method Contextual Design discussed in Chapter 9, recommend holding review meetings within the team to get different peoples' perspectives on the data and what they observed. This helps to deepen un- derstanding and to expose the whole team to different aspects. Ideas will emerge as this extended understanding of the requirements is established, and these can be tested against other data and scenarios, discussed with other design team members and prototyped for testing with users. Other ways to understand the users' experi- ence are described in Box 8.2. Ideas for a conceptual model may emerge during data gathering, but remember what Suzanne Robertson said in her interview at the end of Chapter 7: you must separate the real requirements from solution ideas. Key guiding principles of conceptual design are: Keep an open mind but never forget the users and their context. Discuss ideas with other stakeholders as much as possible. Use low-fidelity prototyping to get rapid feedback. Iterate, iterate, and iterate. Remember Fudd's first law of creativity: "To get a good idea, get lots of ideas" (Rettig, 1994). Considering alternatives and repeatedly thinking about different perspectives helps to expand the solution space and can help prompt insights. Prototyping (intro- duced in Section 8.2) and scenarios (introduced in Chapter 7) are two techniques to help you explore ideas and make design decisions. But before explaining how these can help, we need to explore in more detail how to go about envisioning the product. 8.3.1 Three perspectives for developing a conceptual model Chapter 2 introduced three ways of thinking about a conceptual model: Which in- teraction mode would best support the users' activities? Is there a suitable interface metaphor to help users understand the product? Which interaction paradigm will the product follow? In this section, we discuss each of these in more detail. In all the discussions that follow, we are not suggesting that one way of approaching a con- ceptual design is right for one situation and wrong for another; they all provide dif- ferent ways of thinking about the product and hence aid in generating alternatives. Which interaction mode? Which interaction mode is most suitable for the product depends on the activities the user will engage in while using it. This information is identified through the requirements activity. The interaction mode refers to how the user invokes actions when interacting with the device. In Chapter 2 we intro- duced two different types of interaction mode: those based on activities and those based on objects. For those based on activities, we introduced four general styles: instructing, conversing, manipulating and navigating, and exploring and browsing. Which is best suited to your current design depends on the application domain and the kind of system being developed. For example, a computer game is most likely to suit a manipulating and navigating style, while a drawing package has aspects of instructing and conversing.
  • 282.
    8.3 Conceptual design:moving from requirements to first design 251
  • 283.
    252 Chapter 8 Design, prototyping and construction Most conceptual models will be a combination of modes, and it is necessary to associate different parts of the interaction with different modes. For example, con- sider the shared calendar example introduced in Chapter 7. One of the user tasks is finding out what is happening on a particular day. In this instance, instructing is an appropriate mode of interaction. No dialog is necessary for the system to show the required information. On the other hand, the user task of trying to arrange a meet- ing among a set of people may be conducted more like a conversation. We can imagine that the user begins by selecting the people for the meeting and setting some constraints on the arrangements such as time limit, urgency, length of meet- ing, etc. Then the system might respond with a set of possible times and dates for the user to select. This is much more like a conversation. (You may like to refer back to the scenario of this task in Chapter 7 and consider how well it matches this interaction mode.) For the task of planning, the user is likely to want to scan through pages and browse the days. Consider the library catalog system introduced in Chapter 7. Identify tasks associated with this product that would be best supported by each of the interaction modes instructing, con- versing, manipulating and navigating, and exploring and browsing. Comment Here are some suggestions. You may have identified others: (a) Instructing: the user wants to see details of a particular book, such as publisher and location. (b) Conversing: the user wants to identify a book on a particular topic but doesn't know exactly what is required.
  • 284.
    8.3 Conceptual design:moving from requirements to first design 253 (c) Manipulating and navigating: the library books could be represented as icons that could be interrogated for information or manipulated to represent the book being re- served or borrowed. (d) Exploring and browsing: the user is looking for interesting books, with no particular topic or author in mind. Models based on objects provide a different perspective since they are struc- tured around real-world objects. For example, the shared calendar system can be thought of as an electronic version of a paper calendar, which is a book kept by each person on their desk or in their bag. Alternatively, it could be thought of as a planner, a large flat piece of paper that is often pinned up on the wall in offices and I is far more public. The choice of which objects to choose as a basis for the concep- tual model is related to the choice of interface metaphor, which we consider below. Mayhew (1999) identifies a similar distinction between conceptual models: process-oriented or product-oriented. The former kind of model best fits "an appli- cation in which there are no clearly identifiable primary work products. In these applications the main point is to support some work process." Examples of this might be software to control a chemical processing plant, a financial management package, or a customer care call-center. On the other hand, a product-oriented model "will best fit an application in which there are clear, identifiable work prod- ucts that users individually create, modify and maintain." Examples of this are Mi- crosoft products such as Excel, Powerpoint, Word, etc. More information about these kinds of conceptual model is given in Box 8.3. Is there a suitable interface metaphor? Interface metaphors are another way to think about conceptual models. They are intended to combine familiar knowledge with new knowledge in a way that will help the user understand the system. Choos- ing suitable metaphors and combining new and familiar concepts requires a careful balance and is based on a sound understanding of the users and their context. For example, consider an educational system to teach six-year-olds mathematics. You could use the metaphor of a classroom with a teacher standing at the blackboard. But if you consider the users of the system and what is likely to engage them, you will be more likely to choose a metaphor that reminds the children of something they enjoy, such as a ball game, the circus, a playroom, etc. Erickson (1990) suggests a three-step process for choosing a good interface metaphor. The first step is to understand what the system will do. Identifying func- tional requirements was discussed in Chapter 7. Developing partial conceptual models and trying them out may be part of the process. The second step is to un- derstand which bits of the system are likely to cause users problems. Another way of looking at this is to identify which tasks or subtasks cause problems, are compli- cated, or are critical. A metaphor is only a partial mapping between the software and the real thing upon which the metaphor is based. Understanding areas in which users are likely to have difficulties means that the metaphor can be chosen to support those aspects. The third step is to generate metaphors. Looking for metaphors in the users' description of the tasks is a good starting point. Also, any
  • 285.
    254 Chapter 8 Design, prototyping and construction metaphors used in the application domain with which the users may be familiar may be suitable. When suitable metaphors have been generated, they need to be evaluated. Again, Erickson (1990) suggests five questions to ask. 1. How much structure does the metaphor provide? A good metaphor will re- quire structure, and preferrably familiar structure.
  • 286.
    8.3 Conceptual design:moving From requirements to first design 255 2. How much of the metaphor is relevant to the problem? One of the difficul- ties of using metaphors is that users may think they understand more than they do and start applying inappropriate elements of the metaphor to the system, leading to confusion or false expectations. 3. Is the interface metaphor easy to represent? A good metaphor will be asso- ciated with particular visual and audio elements, as well as words.
  • 287.
    256 Chapter 8 Design, protoiyping and construction 4. Will your audience understand the metaphor? 5. How extensible is the metaphor? Does it have extra aspects that may be useful later on? In the calendar system, one obvious metaphor we could use is the individual's paper-based calendar. This is familiar to everyone, and we could combine that famil- iarity with facilities suitable for an electronic document such as hyperlinks and search- ing. Having thought of this metaphor, we need to apply the five questions listed above. 1. Does it supply structure? Yes, it supplies structure based on the familiar paper-based calendar. However, it does not supply structure for the notion of sharing information, i.e., other people looking in the calendar, because of two issues: first, an individual's calendar is very personal, and second, even if there is a paper-based calendar for a set of people, it can be closed and the information hidden from casual observers. 2. How much of the metaphor is relevant i.e., how many properties of the paper-based calendar are applicable to the electronic version? Well, in the electronic version it isn't appropriate to think of physically turning pages, but then a facility for looking at one "page" after another is required. The individual's calendar can be carried around from place to place. Whether or not we want to encourage that aspect of the metaphor depends on the kind of interaction paradigm we might consider. Finally, this is a shared calendar, and normally our personal calendars are not shared. 3. Is the metaphor easy to represent? Yes. 4. Will your audience understand the metaphor? Yes. 5. How extensible is the metaphor? The functionality of a paper-based calen- dar is fairly limited. However, it is also a book, and we could borrow facili- ties from electronic books (which are also familiar objects to most of our audience), so yes, it can be extended. Another possible interface metaphor for the shared calendar system is the wall planner. Ask the five questions above of this metaphor. Comment (a) Does it supply structure? Yes, it supplies structure based on the wall-planner. This metaphor embodies the notion of public access more than the paper-based calendar. In particular, the wall planner is never "closed" to those who are near it. (b) How much of the metaphor is relevant? Most of this metaphor is relevant. Individu- als don't walk around with the wall planner, though, so the answer depends on how the calendar is to be used. (c) Is the metaphor easy to represent? Yes, it could be represented as a spreadsheet. (d) Will your audience understand the metaphor? Yes. (e) How extensible is the metaphor? The functionality of a wall planner is also fairly limited. There are no obvious ways in which to extend the metaphor to help with this application.
  • 288.
    8.3 Conceptual design:moving from requirements to first design 257 I Which interadion paradigm? Interaction paradigms are design philosophies that help you think about the product being developed. Interaction paradigms include the now traditional desktop paradigm, with WIMP interface (windows, icons, menus and pointers), ubiquitous computing, pervasive computing, wearable com- puting, tangible bits, attentive environments, and the Workaday World. Thinking about the user tasks with these different paradigms in mind can help provide in- sight both to choose the interaction paradigm and to inspire a different perspective on the problem. Thinking about environmental requirements is particularly relevant when con- sidering interaction paradigms. For example, consider the shared calendar in the context of the following paradigms: Ubiquitous computing. Combining some of our earlier discussions, we could perhaps imagine the shared calendar as being like a planner on the wall, but in an electronic form with which people could interact. Pervasive computing. Carrying around our own copy of the shared calendar builds directly upon current expectations and experience of personal calen- dars. We can imagine a system that allows individuals to keep a copy of the system on their own palmtop computers or PDAs, while also being linked to a central server somewhere that allows access to other information that is shared. Wearable computing. Imagine having an earring or a tie pin telling you that you have an appointment in an hour's time at a client's office and that you need to book a taxi? Or maybe asking you whether it is all right to book a meeting with your colleague on a particular date. What other possibilities can this model conjure up? Consider the library catalog system and think about each of the paradigms listed above. Choose two of them and suggest different kinds of interaction that these paradigms imply. Comment We had the following thoughts, but you may have others. The library catalog is likely to be used only in certain places, such as the library or perhaps in an office. The idea of wearable computers is not as attractive in this situation as pervasive computing would be, since people would have to put on the wearable when they arrived at the library. Alternatively, the li- brary system might be designed to "cut in" on an existing wearable. Both of these solutions seem a little intrusive. Pervasive computing, on the other hand, would allow users to interact with the catalog wherever in the library they were, rather than having to go to a place where the PC or card catalog sits. You could possibly have digital books at the end of each library shelf that gave access to the catalog. 8.3.2 Expanding the conceptual model Considering the issues in the previous section helps the designer to envision a prod- uct. These ideas must be thought through in more detail before being prototyped
  • 289.
    I 258 Chapter 8 Design, prototyping and construction or tested with users. One aspect that will need to be decided is what technologies to use, e.g., mutimedia, virtual reality, or web-based materials, and what input and output devices best suit the situation, e.g., pen-based, touch screen, speech, key- board, and so on. These decisions will depend on the constraints on the system, arising from the requirements you have established. For example, input and output devices will be influenced particularly by user and environmental requirements. You also have to decide what concepts need to be communicated between the user and the product and how they are to be structured, related, and presented. This means deciding which functions the product will support, how those functions are related, and what information is required to support them. Although these de- cisions must be made, remember that they are made only tentatively to begin with and may change after prototyping and evaluation. What functions will the product perform? Understanding the tasks the product will support is a fundamental aspect of developing the conceptual model, but it is also important to consider more specifically what functions the product will perform, i.e., how the task will be divided up between the human and the machine. For ex- ample, in the shared calendar example, the system may suggest dates when a set of people are able to meet, but is that as far as it should go? Should it automatically book the dates, or should it email the people concerned informing them of the meeting or asking if this is acceptable? Or is the human user or the meeting at- tendee responsible for checking this out? Developing scenarios, essential use cases, and use cases for the system will help clarify the answers to these questions. Decid- ing what the system will do and what must be left for the user is sometimes called task allocation. The trade-off between what to hand over to the device and what to keep in the control of the user has cognitive implications (see Chapter 3), and is linked to social aspects of collaboration (see Chapter 4). An example relating to our shared calendar system was discussed in Box 4.2 of Chapter 4: should the sys- tem allow users to book meetings in others' calendars without asking their consent first? In addition, if the cognitive load is too high for the user, then the device may be too stressful to use. On the other hand, if the device takes on too much and is too inflexible, then it may not be used at all. Another aspect concerns the functions the hardware will perform, i.e., what functions will be hard-wired into the device and what will be left under software control, and thereby possibly indirectly in the control of the human dser? This leads to considerations of the architecture of the device, although you Would riot expect necessarily to have a clear architectural design at this stage of development. How are the functions related to each other? Functions may be related temporally, e.g., one must be performed before another, or two can be performed in parallel. They may also be related through any number of possible categorizations, e.g., all functions relating to telephone memory storage in a cell phone, or all options for accessing files in a word processor. The relationships between tasks may constrain use or may indicate suitable task structures within the device. For example, if a task is dependent on completion of another task, then you may want to restrict the user to performing the tasks in strict order. An instance in which this has been put into
  • 290.
    8.3 Conceptual design:moving from requirements to first design 259 practice is in some CASE (Computer-Aided Software Engineering) tools designed to support a specific development approach. Often these tools will insist that cer- tain diagrams must be drawn before others. For example, in object-oriented soft- ware development you normally draw class diagrams before sequence diagrams, and some tools do not allow you to draw a sequence diagram until the relevant class diagram is in place. If you're working on a small project that doesn't require this kind of discipline, this can be very frustrating, but from the perspective of a manager in charge of a large project, having these restrictions in place may be advantageous. If task analysis has been performed on relevant tasks, the breakdown will sup- port these kinds of decisions. For example, in the shared calendar example, the task analysis performed in Section 7.1 shows the subtasks involved and the order in which the subtasks can be performed. Thus, the system could allow meeting con- straints to be found before or after the list of people, and the potential dates could be identified in the individuals' calendars before checking with the departmental I calendar. It is, however, important to get both the list of attendees and meeting constraints before looking for potential dates. What information needs to be available? What data is required to perform a task? How is this data to be transformed by the system? Data is one of the categories of requirements we aim to identify and capture through the requirements activity. During conceptual design, we need to consider the information requirements and ensure that our model caters for the necessary data and that information is avail- able as required to perform the task. Detailed issues of structure and display, such as whether to use an analog display or a digital display, will more likely be dealt with in the later, physical design activity, but implications arising from the type of data to be displayed may impact conceptual design issues. For example, in the task of booking a meeting among a set of people using the shared calendar, the system needs to be told who is to be at the meeting, how long the meeting is to take, what its location should be, and what is the latest date on which the meeting should be booked, e.g., in the next week, next two weeks, etc. In order to perform the function, the system must have this information and also must have calendar information for each of the people in the meeting, the set of loca- tions where the meeting may take place, and ideally some way of knowing how long a person would have to travel to the location. 8.3.3 Using scenarios in conceptual design In Chapter 7, we introduced scenarios as informal stories about user tasks and ac- tivities. They are a powerful mechanism for communicating among team members and with users. We stated in Chapter 7 that scenarios could be used and refined through different data-gathering sessions, and they can indeed be used to check out potential conceptual models. Scenarios can be used to explicate existing work situations, but they are more commonly used for expressing proposed or imagined situations to help in concep- tual design. Often, stakeholders are actively involved in producing and checking
  • 291.
    260 Chapter 8 Design, protoyping and construction through scenarios for a product. B@dkeridentifies four roles that have been sug- gested for scenarios (B@dker,2000, p. 63): as a basis for the overall design for technical implementation as a means of cooperation within design teams I as a means of cooperation across professional boundaries, i.e., as a basis of communication in a multidisciplinary team In any one project, scenarios may be used for any or all of these. Box 8.4 de- tails how different scenarios were used throughout the development of a speech- Scenario 3: Hyper-wonderland This scenario addresses the positive aspects of how a hypermedia solution will work. The setting is the Lindholm consuuction site sometime in the future. Kurt has access to a portable PC. The portables are hooked up to the computer at the site office via a wireless modem connection, through which the supervisors run the hy- permedia application. Action: During inspection of one of the caissons1 K r takes his portable PC, ut switches it on and places the cursor on the required information. He clicks the mouse button and gets the master file index together with an overview of links. He chooses the links of relevance for the caisson he is inspecting. Kurt is pleased that he no longer needs to plan his inspections in advance. This is a great help because due to the 'event-driven' nature of inspection, constructors never know where and when an inspection is tajung place. Moreover, it has become much easier to keep nack of personal notes, reports etc. because they can be entered directly on the spot. The access via the construction site interface does not force him to deal with compli- cated keywords either. Instead, he can access the relevant information right away, liter- ally from where he is standing. A positive side effect concerns his reachability. As long as he has logged in on the computer, he is within reach of the secretaries and can be contacted when guests arrive or when he is needed somewhere else on the site. Moreover, he can see a a glance t where his colleagues are working and get in touch with them when he needs theii help or advice. All in all, Kurt feels that the new computer application has put him more in control of things. Scenario 4: Panopticon This scenario addresses the negative aspects of how a hypermedia solution will work. The setting is the Lindholm construction site sometime in the future. Kurt has access to a portable PC. The portables are hooked up to the computer at the site ofice via a wireless modem connection, through which the supwisors run the hy- permedia application. Action: During inspecting one of the caissons K r starts talking to one of the build- ut e n about some reinforcement problem. They argue about the recent lab tests. and he takes out h s portable PC in order to provide some data which justify his arguments. It takes quite a while before he finds a spot where he can place the PC. either there is too much light, or there is no level surface at a suitable height. Finally, he puts the laptop on a big box and switches it on. He positions the cursor on the caisson he is currently inspecting and clicks the mouse to get into the master file. The table of contents pops up and from the overview of links he chooses those of relevance - but no lab test appears on the screen. Obviously, the file has not been updated as planned. Kurt is rather upset. This loss of prestige in front of a contractor engineer would not have happened if he had planned his inspection as he had in the old days. Sometimes, he feels l i e a hunted fox especially in Situatlon~where he is drifting around thinking about what kind of action to take in a particular case. If he has forgot- ten ro log out he suddenly has a secretary on the phone: "I see you are right a caisson t 39. so could you not just drop by and take a message?" All in all Kurt feels that the new computer application has put him under control. 'Used in building to hold water back during construction. Figure 8.8 Example plus and minus scenarios.
  • 292.
    8.3 Conceptual design:moving from requirements to first design 261 recognition system. More specifically, scenarios have been used as scripts for user evaluation of prototypes, providing a concrete example of a task the user will per- form with the product. Scenarios can also be used to build a shared understanding among team members of the kind of system being developed. Scenarios are good at selling ideas to users, managers, and potential customers. For example the scenario presented in Figure 7.7 was designed to sell ideas to potential customers on how a product might enhance their lifestyles. An interesting idea also proposed by Bgdker is the notion of plus and m i n u s scenarios. These attempt to capture the most positive and the most negative conse- quences of a particular proposed design solution (see Figure 8.8) thereby helping designers to gain a more comprehensive view of the proposal. Consider an in-car navigation device for planning routes, and suggest one plus and one minus scenario. For the plus scenario, try to think of all the possible benefits of the device. For the minus scenario, try to imagine everything that could go wrong. Comment Scenario 1 This plus scenario shows some potential positive aspects of an in-car navigation system. "Beth is in a hurry to get to her friend's house. She jumps into the car and switches on her in-car navigation system. The display appears quickly, showing her local area and indicating the current location of her car with a bright white dot. She calls up the memory function of the device and chooses her friend's address. A number of her frequent destinations are stored like this in the device, ready for her to pick the one she wants. She chooses the "shortest route" option and the device thinks for a few seconds before showing her a bird's-eye view of her route. This feature is very useful because she can get an overall view of where she is going. Once the engine is started, the display reverts to a close-up view to show the details of her journey. A s she pulls away from the pavement, a calm voice tells her to "drive straight o n for half a mile, then turn left." After half a mile, the voice says again "turn left at the next junction." A s Beth has traveled this route many times before, she doesn't need to be told when to turn left or right, so she turns o f f the voice output and relies only on the display, which shows sujjicient detail for her to see the location of her car, her destination and the roads she needs to use." Scenario 2 This minus scenario shows some potential negative aspects of an in-car naviga- tion system. "Beth is in a hurry to get to her friend's house. She gets in her car and turns on the in-car navigation system. The car's battery is faulty so all the information she had entered into the device has been lost. She has to tell the device her destination by choosing from a long list of towns and roads. Eventually, she finds the right address and asks for the quickest route. The device takes ages to respond, but after a couple of minutes displays an overall view of the route it has found. To Beth's dismay, the route chosen includes one of the main roads that is being dug up over this weekend, so she cannot use the route. She needs to find another route, so she presses the cancel button and tries again to search for her friend's address through the long list oftowns and roads. By this time, she is very late."
  • 293.
    262 Chapter 8 Design, protoIyping and construction 8.3.4 Using prototypes in conceptual design The whole point of producing a prototype is to allow some evaluation of the emerging ideas to take place. As pointed out above, prototypes are built in order to answer questions. Producing anything concrete requires some consideration of the details of the design. If the prototype is to be evaluated seriously by users, then they must be able to see how their tasks might be supported by the product, and this will require consideration of more detailed aspects.
  • 294.
    8.3 Conceptual design:moving from requirements to first design Prototyping is used to get feedback on emerging designs. This feedback may 263 I be from users, or from colleagues, or it may be feedback telling you that the idea is not technically feasible. Different kinds of prototype are therefore used at dif- ferent points in the development iterations and with different people. Generally speaking, low-fidelity prototypes (such as paper-based scenarios) are used ear- lier in design and higher-fidelity prototypes (such as limited software implemen- tations) are used later in design. However, low-fidelity prototypes are not very impressive to look at, so if the feedback you're looking for is approval from peo- ple who will be basing their judgment on first impressions, then a horizontal, high-fidelity prototype might suit the job better than one based on post-its or cards. Figure 8.9 shows a card-based prototype for the shared calendar system cre- ated for a user testing session to check that the task flow and the information re- , quirements were correct for the task of arranging a meeting. The first card shows the screen that asks the user for relevant information to find a suitable meeting date. The second card shows the screen after the system has found some potentially suitable dates and displays the results. Finally, the third screen depicts the situation Figure 8.9 A card-based prototype for booking a meeting in the shared calendar system.
  • 295.
    264 Chapter 8 Design, prototyping and construction after a user has chosen one of the dates and is asked to provisionally book the cho- sen option, to confirm that this should be booked, or to cancel. Note that at this point we have not decided how the navigation will work, i.e., whether there will be a tool bar, menus, etc. But we have included some detailed aspects of the design, in order to provide enough detail for users to interact with the prototype. To illustrate how these cards can be used and the kind of information they can yield, we held a prototyping session with a potential user of the calendar. The ses- sion was informal (a kind of "quick and dirty" evaluation that you'll learn more about in Chapter 11) and lasted about 20 minutes. The user was walked through the task to see if the work flow was appropriate for the task of booking a meeting. Generally, the work flow agreed with the user's model of the task, but the session also highlighted some further considerations that did not arise in the original data gathering. Some of these had to do with work flow, but others were concerned with I more detailed design. For example, the user suggested that it should be possible to state a range of dates rather than just a "before" date; he also thought that the peo- ple attending the meeting should have a chance to confirm the date through the system, and then when everyone had confirmed, the booking could be confirmed and placed in the calendar. On the detailed design, he thought that date entry through a matrix rather than a drop-down list would be more comfortable, and he asked how the possible meeting dates would be ordered. There were many more comments, all of which would be food for thought in the design. We considered only the one task, and yet it yielded a lot of very useful information. oduce a card-based prototype for the library catalog system and the task of borrowing a ok as described by the scenario, use case, and HTA in Chapter 7. You may also like to ask one of your peers to act as a user and step through the task using the prototype. Comment Our version of the prototype is shown in Figure 8.10. Physical design: getting concrete Physical design involves considering more concrete, detailed issuer; of designing the interface, such as screen or keypad design, which icons to use, how to structure menus, etc. There is no rigid border between conceptual design and physical design. As you saw above, producing a prototype inevitably means making some detailed de- cisions, albeit tentatively. Interaction design is inherently iterative, and so some de- tailed issues will come up during conceptual design; similarly., during physical design it will be necessary to revisit decisions made during conceptual design. Ex- actly where the border lies is not relevant. What is relevant is that the conceptual design should be allowed to develop freely without being tied to physical con- straints too early, as this might inhibit creativity. Design is about making choices and .decisions, and the designer must strive to balance environmental, user, data and usability requiremen1.s with functional
  • 296.
    8.4 Physical design:getting concrete 265 - B y AaG-------.--.. -'y--- - - , -- - - Name --- - - - A ~ ~ - , . L - -- -. . 1 -em--. - - I - " .. - By Title - -1 -Title -l~~~+---..---.- i -iI .- .- . SEARCH BOCW( RESULTS -------- - Tine - -- -%lf_Mar_k I -1 Figure 8.10 A card-based ; prototype for borrowing a II book in the library catalog system. requirements. These are often in conflict. For example, a cell phone must pro- vide a lot of functionality but is constrained by having only a small screen and a small keyboard. This means that the display of information is limited and the number of unique function keys is also limited, resulting in restricted views of in- formation and the need to associate multiple functions with function keys. Figure 8.11 shows the number of words it can display. There are many aspects to the physical design of interactive products, and we can't cover them all in this book. Instead, we introduce some principles of
  • 297.
    266 Chapter 8 Design, protoiyping and construction Figure 8.1 1 An average cell phone screen can display only a short mes- sage legibly. good design in the context of some common interface elements. On our website (www.ID-book.com), you will find more activities and concrete examples of physical design. I . 8.4.1 Guidelines for physical design The way we design the physical interface of the interactive product must not conflict with the user's cognitive processes involved in achieving the task. In Chapter 3, we in- troduced a number of these processes, such as attention, perception, memory, and so on, and we must design the physical form with these human characteristics very much in mind. For example, to help avoid memory overload, the interface should list op- tions for us instead of making us remember a long list of possibilities. A wide range of guidelines, principles, and rules has been developed to help designers ensure that their products are usable, many of which are embodied in style guides and standards (see Box 8.5 for more information on this). Nielsen's set of guidelines were introduced in Chapter 1 in the form of heuristics. Another well-known set intended for informing design is Shneiderman's eight golden rules of interface design (Shneiderman,1998): 1. Strive for consistency. For example, in every screen have a 'File' menu in the top left-hand corner. For every action that results in the loss of data, ask for confirmation of the action to give users a chance to change their minds. 2. Enable frequent users to use shortcuts. For example, in most word-processing packages, users may move around the functions using menus or shortcut "quick keys," or function buttons. 3. Offer informative feedback. Instead of simply saying "Error 404," make it clear what the error means: "The URL is unknown." This feedback is also influenced by the kinds of users, since what is meaningful to a scientist may not be meaningful to a manager or an architect. 4. Design dialogs to yield closure. For example, make it clear when an action has completed successfully: "printing completed." 5. O#er errorprevention and simple error handling. I t is better for the user not to make any errors, i.e., for the interface to prevent users from making mis- takes. However, mistakes are inevitable and the system should be forgiving about the errors made and support the user in getting back on track. 6. Permit easy reversal of actions. For example, provide an "undo" key where possible. 7. Support internal locus of control. Users feel more comfortable if they feel in control of the interaction rather than the device being in control.
  • 298.
    8.4 Physical design:getting concrete 267 8. Reduce short-term memory load. For example, wherever possible, offer users options rather than ask them to remember information from one screen to another. Other guidelines that have been suggested include keeping the interaction simple and clear, organizing interface elements to aid understanding and use through suit- able groupings, and designing images to be immediate and generalizable. All of
  • 299.
    268 Chapter 8 Design, prototyping and construction these focus on making the communication between user and product as clear as possible. Extensive experience in the art of communication (through posters, text, books, images, advertising, etc.) is relevant to interaction design. In her interview at the end of Chapter 6, Gillian Crampton Smith identifies the roles that traditional designers can play in interaction design; one of them she highlights is the fact that designers are trained to produce a coherent design that delivers the desired mes- sage to the intended audience. Including such designers on the team can bring this experience to bear. Mullet and Sano (1995) identify a number of useful design prin- ciples arising from the visual arts. To see how these can be translated into the context of interaction design, we consider their application to different widgets, i.e., screen elements, in the next section. 8.4.2 Different kinds of widget Interfaces are made up of widgets, elements such as dialog boxes, menus, icons, toolbars, etc. Each element must be designed or chosen from a predesigned set of widgets. Sometimes these decisions are made for you through the use of a style guide. Style guides may be commercially produced, such as the Windows style guide (called commercial style guides), or they may be internal to a company (called corporate style guides). A style guide dictates the look and feel of the inter- face, i.e., which widgets should be used for which purpose and what they look like. For example, study your favorite Windows applications. Which menu is always on the right-hand side of the toolbar? What icon is used to represent "close" or "print"? Which typeface is used in menus and dialog boxes? Each Windows prod- uct has the same look and feel, and this is specified in the Windows style guide. If you go to a commercial website, you may find that each screen also has the same look and feel to it. This kind of corporate identity can be captured in a corporate style guide. More information about standards and style guides is in Box 8.5. We consider here briefly three main aspects of interface design: menu design, icon design, and screen layout. These are applicable to a wide range of interactive products, from standard desktop interfaces for PC software, to mobile communica- tor functions and microwave ovens. Menu design Menus provide users with a choice that can be a choice of com- mands or a choice of options related to a command. They provide the means by which the user can perform actions related to the task in hand and therefore are based on task structure and the information required to perform a task. Menus may be designed as drop-down, pop-up or single-dialog menus. It may seem obvious how to design a menu, but if you want to make the application easy to use and provide user satisfaction, some important points must be taken into ac- count. For example, for pull-down and pop-up menus, the most commonly used functions should be at the top, to avoid frequent long scans and scrolls. The princi- ple of grouping can be used to good effect in menu design. For example, the menu can be divided into collections of items that are related, with each collection being
  • 300.
    8.4 Physical design:getting concrete 269 5.2 Grouping options in a menu Menu options should be grouped within a menu to reflect user expectations and facil- itate option search. 5.2.1 Logical groups or more) and these op- by function or into other EXAMPLE: Grouping the commands in a word-processing system into such categories as customise, compose, edit, print. 5.2.2 Arbitrary groups If 8 or more options are arranged arbitrarily in a menu panel, they should be arranged into equally distributed groups utilising the following equation: g = in where g i s the number of groups n is the number of options on the panel. EXAMPLE: Given 19 options in a menu panel, arrange them into 4 groups of about 5 options each. Figure 8.12 An excerpt from I S 0 9241 concerning how to group items in a menu. separated from others. Opposite operations such as "quit" and "save" should be clearly separated to avoid accidentally losing work instead of saving it (See Figure 1.6 in Chapter 1). An excerpt from I S 0 9241, a major international standard for interaction de- sign, considers grouping in menu design, as shown in Figure 8.12. To show how the design of menus may proceed, we return to the shared calen- dar. In our initial data gathering, we identified a number of possible tasks that the user might want to perform using the calendar. These included making an entry, ar- ranging a meeting among a number of people, entering contact details, and finding out other people's engagements. Tied to these would also be a number of adminis- trative and housekeeping actions such as deleting entries, moving entries, editing entries, and so on. Suppose we stick with just this list. The first question is what to call the menu entries. Menu names need to be short, clear, and unambiguous. The space for listing them will be restricted, so they must be short, and you want them to be distinguishable, i.e., not easily confused with one another so that the user won't choose the wrong one by mistake. Our current descriptions are really too long. For example, instead of "find out other people's engagements" we could have Query entry as a menu option, following through to a dialog box that asks for rele- vant details. We need to consider logical groupings. In this case, we could group according to user goal, i.e., have Query entry, Add entry, Edit entry, Move entry, and Delete entry grouped together (see Figure 8.13). Similarly, we could group Add contact,
  • 301.
    270 Chapter 8 Design, prototyping and construction Calendar Entry Contacts Arrange Meeting Add Entry Add Contact Edit Entry Edit Contact Move Entry Delete Contact Delete Entry Figure 8.1 3 Possible menu groupings for the shared calendar system. Edit contact and Delete contact together. Finding other people's engagements could be generalized to a simple Search option that led to a dialog box in which the search parameters are specified. Arranging a meeting is also an option that doesn't clearly group with other commands. This and the Search option may be better rep- resented as options on a toolbar than as menu items on their own. Icon design Designing a good icon takes more than a few minutes. You may be able to think up good icons in a matter of seconds, but such examples are unlikely to be widely acceptable to your user group. When symbols for representing ladies' and gents' toilets first appeared in the UK, a number of confused tourists did not understand the culturally specific icons of a woman wearing a skirt and a man wear- ing trousers. For example, some people protested that they thought the male icon was a woman wearing a trouser suit. We are now all used to these symbols, and in- deed internationally recognized symbols for how to wash clothes, fire exits, road signs, etc. now exist. However, icons are cultural and context-specific. Designing a good icon takes time. At a simple level, designers should always draw on existing traditions or standards, and certainly should not contradict them. Concrete objects or things are easier to represent as an icon since they can be just a picture of the item. Ac- tions are harder but can sometimes be captured. For example, using a picture of 7 a pair of scissors to represent "cut ' in a word-processing application provides sufficient clues as long as the user understands the convention of "cut" for delet- ing text. In our shared calendar, if we are going to have the Search and Arrange a Meet- ing commands on a tool bar, we need to identify a suitable icon for each of them. A number of possible icons spring to mind for the Search option, mainly because searching is a fairly common action in many interactive products: a magnifying glass or a pair of binoculars are commonly used for such options. Arranging a meeting is a little difficult, though. It's probably easier to focus on the meeting itself than the act of arranging the meeting, but how do you capture a meeting? You want the icon to be immediately recognizable, yet it must be small and simple. What characteristic(s) of a meeting might you capture? One of the things that comes to mind is a group of people, so maybe we could consider a collection of stick people? Another element of a meeting is usually a table, but a table on its own isn't enough, so maybe having a table with a number of people around it would work?
  • 302.
    8.4 Physical design:getting concrete 271 Figure 8.14 A variety of possible icons to represent the "arrange a meeting" function. Sketch a simple, small icon to represent a set of people around the table, or suggest an icon of your own. Show it to your peers or friends, tell them that it's an icon for a shared calendar application, and see if they can understand what it represents. Comment A variety of attempts are shown in Figure 8.14. The last icon is the icon that paim.net uses for arranging meetings. This is a different possibility that tries to capture the fact that you're entering data into the planner. We discussed some cognitive aspects relevant to icon design in Chapter 3. For example, icons must be designed so that users can readily perceive their meaning and so that they are distinguishable one from another. Since the size of icons on the screen is often very small, this can be difficult to achieve, but users must be able to tell them apart. Look back again at Figure 3.4 and the activity associated with it. How easy do you think it would be to tell some of these icons apart if they were just a little smaller, or the screen resolution was lower? Screen design. There are two aspects to screen design: how the task is split across a number of screens, and how the individual screens are designed. The first aspect can be supported by reference to the task analysis, which broke down the user's task into subtasks and plans of action. One starting point for screen design is to translate the task analysis into screens, so that each task or subtask has its own screen. This will require redesign and adjustment, but it is a starting point. The interaction could be divided into simple steps, each involving a decision or simple data entry. However, this can become idiotic, and having too many simple screens can become just as frustrating as having information all crammed into one screen. THIS is one of the balances to be drawn in screen design. Tasks that are more complicated than this (and are usually unsuited to simple task analysis) may require a different model of interaction in which a number of screens are open at the same time and the user is allowed to switch among them.
  • 303.
    272 Chapter 8 Design, prototyping and construction Another issue affecting the division of a task across screens is that all pertinent information must be easily available at relevant times. Guidelines for the second aspect, individual screen design, draw more clearly from some of the visual communication principles we mentioned above: for exam- ple, designing the screen so that users' attention is drawn immediately to the salient points, and using color, motion, boxing and grouping to aid understanding and clar- ity. Each screen should be designed so that when users first see it, their attention is focused on something that is appropriate and useful to the task at hand. Anima- tions can be very distracting if they are not relevant to the task, but are effective if used judiciously. Good organization helps users to make sense of an interaction and to inter- pret it within their own context (as discussed in Chapter 3). This is another ex- ample where principles of good grouping can be applied, for example, grouping similar things together or providing separation between dissimilar or unrelated items. Grouping can be achieved in different ways: by placing things close to- gether, using colors, boxes, or frames to segregate items, or using shapes to in- dicate relationships among elements. There is a trade-off between sparsely populated screens with a lot of open space and overcrowded screens with too many and too complicated sets of icons. If the screen is overcrowded, then users
  • 304.
    8.4 Physical design:getting concrete 273
  • 305.
    274 Chapter 8 Design, prototyping and construction will become confused and distracted. But too much open space and conse- quently many screens can lead to frequent screen changes, and a disjointed se- ries of interactions. information display. Making sure that the relevant information is available for the task is one aspect of information display, but another concerns the format. Differ-
  • 306.
    8.5 Tool support 275 ent types of information lend themselves to different kinds of display. For example, data that is discrete in nature, such as sales figures for the last month, could be dis- played graphically using a digital technique, while data that is continuous in nature, such as the percentage increase in sales over the last month, is better displayed using an analog device. If data is to be transferred to the device from a paper-based medium or vice versa, it makes sense to have the two consistent. This reduces user confusion and search time in reconciling data displayed with data on the paper. In the shared calendar application, there is potentially a lot of information to display. If you have five members of the department, each with their own calen- dars, and the departmental calendar too, then you need to display six sets of en- gagement information. When we showed the prototype system to our user, he suggested that dates should be chosen through a matrix of some kind rather than a drop-down list. Displaying information appropriately can make communication a lot easier. 8.5 Tool support The tools available to support the activities described here are wide-ranging and various. We mentioned development environments when talking about prototypes in Section 8.2, but other kinds of support are available. Much research has been done into appropriate support for different kinds of design and software production, resulting in a huge variety of tools. Because tech- nology moves so quickly, any discussion of specific tools would be quickly out of date. Up-to-date information about support tools can be found on our website (www.ID-book.com).Here we report on some general observations about software tools. Brad Myers (1995) suggests nine facilities that user interface software tools might provide: help design the interface given a specification of the end users' tasks help implement the interface given a specification of the design create easy-to-use interfaces allow the designer to rapidly investigate different designs allow nonprogrammers to design and implement user interfaces automatically evaluate the interface and propose improvements allow the end user to customize the interface provide portability be easy to use In a later paper Myers et al. (2000), look at the past, present, and future of user in- terface tools. Box 8.8 describes some types of tool that have been successful and some that have been unsuccessful.
  • 307.
    - - - 276 Chapter 8 Design, prototyping and construction
  • 308.
    Summary 277 Assignment This Assignment continues work on the web-based ticket reservation system at the end of Chapter 7. (a) Based on the information gleaned from the assignment in Chapter 7, suggest three different conceptual models for this system. YOU should consider each of the as- pects of a conceptual model discussed in this chapter: interaction paradigm, interac- tion mode, metaphors, activities it will support, functions, relationships between functions, and information requirements. Of these, decide which one seems most appropriate and articulate the reasons why. (b) Produce the following prototypes for your chosen conceptual model. (i) Using the scenarios generated for the ticket reservation system, produce a storyboard for the task of buying a ticket for one of your conceptual models. Show it to two or three potential users and get some informal feedback. (ii) Now develop a prototype based on cards and post-it notes to represent the structure of the ticket reservation task, incorporating the feedback from the first evaluation. Show this new prototype t o a different set of potential users and get some more informal feedback. (iii) Using a software-based prototyping tool (e.g., Visual Basic or Director) or web authoring tool (e.g., Dreamweaver), develop a software-based prototype that incorporates all the feedback you've had so far. If you do not have experience in using any of these, create a few HTML web pages to represent the basic structure of your website. (c) Consider the web page's detailed design. Sketch out the application's main screen (home page or data entry). Consider the screen layout, use of colors, navigation audio, animation, etc. While doing this, use the three main questions introduced in Box 8.7 as guidance: Where am I? What's here? Where can I go? Write one or two sentences explaining your choices, and consider whether the choice is a usability consideration or a user experience consideration. Summary This chapter has explored the activities of design prototyping and construction. Prototyping and scenarios are used throughout the design process to test out ideas for feasibility and user acceptance. We have looked at the different forms of prototyping, and the activities have en- couraged you to think about and apply prototyping techniques in the design process. Key points Prototyping may be low fidelity (such as paper-based) or high fidelity (such as software- based). High-fidelity prototypes may be vertical or horizontal. Low-fidelity prototypes are quick and easy to produce and modify and are used in the early stages of design. There are two aspects to the design activity: conceptual design and physical design. Conceptual design develops a model of what the product will do and how it will behave, while physical design specifies the details of the design such as screen layout and menu structure.
  • 309.
    278 Chapter 8 Design, prototyping and construction We have explored three perspectives to help you develop conceptual models: an interac- tion paradigm point of view, an interaction mode point of view, and a metaphor point of view. Scenarios and prototypes can be used effectively in conceptual design to explore ideas. We have discussed four areas of physical design: menu design, icon design, screen design, and information display. There is a wide variety of support tools available to interaction designers. Further reading WINOGRAD, TERRY (1996) Bringing Design to Software. Ad- guidance for designing interactions that focus on communi- dison-Wesley and ACM Press. This book is a collection of cation. The ideas here come from communication-oriented articles all based on the theme of applying ideas from other visual designers. Mullet and Sano show how to apply these design disciplines in software design. It has a good mixture techniques to interaction design, and they also show some of interviews, articles, and profiles of exemplary systems, common errors made by interaction designers that contra- projects or techniques. Anyone interested in software design vene the principles. will find it inspiring. VEEN, JEFFREY (2001) The Art and Science of Web Design. CARROLL, JOHN M. (ed.) (1995) Scenario-based Design. John New Riders. A very bright book, providing a lot of practical Wiley & Sons, Inc. This volume is an edited collection of pa- information taken from the visual arts about how to design pers arising from a three-day workshop on use-oriented de- websites. It also includes sections on common mistakes to sign. The book contains a variety of papers including case help you avoid these pitfalls. studies of scenario use within design, and techniques for MYERS, BRAD, HUDSON, S. E., AND PAUSCH, R. (2000) using them with object-oriented development, task models Past, present and future of user interface software tools. and usability engineering. This is a good place to get a broad ACM Transactions on Computer-Human Interaction, 7(1), understanding of this form of development. 3-28. This paper presents an interesting description of MULLET, KEVIN, AND SANO, DARELL (1995) Designing Vi- user interface tools, expanding on the information given in sual Interfaces. SunSoft Press. This book is full of practical Box 8.8.
  • 310.
    Chapter 9 User-centered approaches to interaction 9.1 Introduction 9.2 Why is it important to involve users at all? 9.2.1 Degrees of involvement 9.3 What is a user-centered approach? 9.4 Understanding users' work: applying ethnography in design 9.4.1 Coherence 9.4.2 Contextual Design 9.5 Involving users in design: participatory design 9.5.1 PlCTlVE 9.5.2 CARD 1 9.1 Introduction As you would expect, user-centered development involves finding out a lot about the users and their tasks, and using this information to inform design. In Chapter 7 we introduced some data-gathering techniques which can be used to collect this in- formation, including naturalistic observation. Studying people in their "natural" surroundings as they go about their work can provide insights that other data-gath- ering techniques cannot, and so interaction designers are keen to use this approach where appropriate. One particular method that has been used successfully for natu- ralistic observation in the social sciences is ethnography. It has also been used with some success in product development but there have been some difficulties know- ing how to interpret and present the data gathered this way so that it can be trans- lated into practical design. Another aspect of user-centered development is user involvement in the devel- opment process. There are different degrees of involvement, one of which is through evaluation studies, as discussed in Chapters 10 through 14. Another is for users to contribute actively to the design itself-to become co-designers. As Gillian Crampton Smith said in the interview at the end of Chapter 6, users are not design- ers, but the payoffs for allowing users to contribute to the design themselves are quite high in terms of user acceptance of the product. So techniques have been de- veloped that engage users actively and productively in design.
  • 311.
    280 Chapter 9 User-centered approaches to interaction design In this chapter, we discuss some issues surrounding user involvement, and ex- pand on the principles underlying a user-centered approach. Then we describe two approaches to using ethnographic data to inform design and two approaches to in- volving users actively in design. The main aims of this chapter are to: Explain some advantages of involving users in development. Explain the main principles of a user-centered approach. Describe some ethnographic-based methods aimed at understanding users' work. Describe some participative design techniques that help users take an active part in design decisions. 9.2 Why is it important to involve users at all? We talked in Chapter 6 about the importance of identifying stakeholders and of 1 consulting the appropriate set of people;_Iqthe past, developers would often talk to I managers or to "proxy-users," i.e., people w$o role-played as users, when eliciting requirements. But the best way to ensbre that development continues to take users' activities into account is to involve rdal users throughout. In this way, developers can gain a better understanding of their needs and their goals, leading to a more appropriate, more useable product. However, two other aspects which have noth- f ing to do with functionality are equal y as important if the product is to be usable and used: expectation management a d ownership. Expectation management is the process of making sure that the users views7 and expectations of the new product are realistic. The purpose of expectation man- agement is to ensure that there are no surprises for users when the product arrives. If users feel they have been "cheated" by promises that have not been fulfilled, then this will cause resistance and ma be rejection. Expectation management is rel- ~i' evant whether you are dealing with a organization introducing a new software sys- tern or a company developing a new ifiteractive toy. In both cases, the marketing of the new arrival must be careful not to misrepresent the product. How many times i have you seen an advert for somethi g you thought would be really good to have, but when you see one, discover that t e marketing "hype" was a little exaggerated? I expect you felt quite disappointed rjnd let down. Well, this is the kind of feeling that expectation management tries to lavoid. It is better to exceed users' expedtations than to fall below them. This does not 7 mean just adding more features, how*, but that the product supports the users work more effectively than they expect. Inuolving users throughout development helps with expectation management because they can see from an early stage what the product's capabilities are and what they are not. They will also understand bet- ter how it will affect their jobs and what 'they can expect to do with the product; they are less likely to be disappointed. Users can also see the capabilities develop and understand, at least to some extent, why the features are the way they are. Adequate and timely training is another technique for managing expectations. If you give people the chance to work with the product before it is released, either
  • 312.
    9.2 Why isit important to involve users at all? 281 I by training them on the real system or by offering hands-on demonstrations of a prerelease version, then they will understand better what to expect when the final product is released. A second reason for user involvement is ownership. Users who are involved and feel that they have contributed to a product's development, are more likely to feel a sense of "ownership" towards it and to be receptive to it when it finally emerges. Remember Suzanne Robertson's comment in her interview at the end of Chapter 7 about how important it is for people to feel heard? Well, this is true throughout development, not just at the requirements stage. 9.2.1 Degrees of involvement Different degrees of user involvement may be implemented in order to manage ex- I pectations and to create a feeling of ownership. At one end of the spectrum, users may be co-opted to the design team so that they are major contributors. For any one user, this may be on a full-time basis or a part-time basis, and it may be for the duration of the project or for a limited time only. There are advantages and disad- vantages to each situation. If a user is co-opted full-time for the whole project, their input will be consistent and they will become very familiar with the system and its rationale. However, if the project takes many years they may lose touch with the rest of the user group, making their input less valuable. If a user is co-opted part- time for the whole project, she will offer consistent input to development while re- maining in touch with other users. Depending on the situation, this will need careful management as the user will be trying to learn new jargon and handle unfa- miliar material as a member of the design team, yet concurrently trying to fulfill the demands of their original job. This can become very stressful for the individuals. If a number of users from each user group are co-opted part-time for a limited pe- riod, input is not necessarily consistent across the whole project, but careful coordi- nation between users can alleviate this problem. In this case, one user may be part of the design team for six months, then another takes over for the next six months, and so on. At the other end of the spectrum, users may be kept informed through regular newsletters or other channels of communication. Provided they are given a chance to feed into the development process through workshops or similar events, this can be an effective approach to expectation management and ownership. In a situation with hundreds or even thousands of users it would not be feasible to involve them all as members of the team, and so this might be the only viable option. If you have a large number of users, then a compromise situation is probably the best. Representatives from each user group may be co-opted onto the team on a full-time basis, while other users are involved through design workshops, evalua- tion sessions, and other data-gathering activities. The individual circumstances of the particular project affect what is realistic and appropriate. If your end user groups are identifiable, e.g., you are developing a product for a particular company, then it is easier to involve them. If, however, you are developing a product for the open market, it is unlikely that you will be able to co-opt a user to your design team. Box 9.1 explains how Microsoft involves users in its developments.
  • 313.
    282 Chapter 9 User-centered approaches to interaction design One of the reasons often cited for not involving users in development is the amount of time it takes to organize, manage, and control such involvement. This issue may appear particularly acute in developing systems to run on the Internet where ever-shorter timescales are being forced on teams-in this fast-moving area, projects lasting three months or less are common. You might think, therefore, that it would be particularly difficult to involve users in such projects. However, Braiter- man et al. (2000) report two case studies showing how to involve users successfully in large-scale but very short multidisciplinary projects, belying the claim that in- volving users can waste valuable development time. The first case study was a three-week project to develop the interaction for a new web shopping application. The team included a usability designer, an informa- tion architect, a project manager, content strategists, and two graphic designers. In such a short timeframe, long research and prototyping sessions were impossible, so the team produced a hand-drawn paper prototype of the application that was
  • 314.
    9.2 Why isit important to involve users at all? 283 revised daily in response to customer testing. The customers were asked to perform tasks with the prototype, which was manipulated by one of the team in order to simulate interaction, e.g., changing screens. After half the sessions were conducted, the team produced a more formal version of the prototype in Adobe Illustrator. They found that customers were enthusiastic about using the paper prototype and were keen to offer improvements. The second case study involved the development of a website for a video game publisher over three months. In order to understand what attracts people to such gaming sites, the multidisciplinary team felt they needed to understand the essence of gaming. To do this, they met 32 teenage gamers over a ten-day period, during which they observed and interviewed them in groups and individ- ually. This allowed the team to understand something of the social nature of gaming and gave insights into the gamers themselves. During design, the team also conducted research and testing sessions in their office lab. This led them to develop new strategies and web designs based on the gamers' habits, likes, and dislikes. Box 9.2 describes a situation in which users were asked to manage a software development project. There were hundreds of potential users, and so in addition,
  • 316.
    9.3 What isa user-centered approach? 285 users became design team members on a full- and part-time basis; regular design workshops, debriefing, and training sessions were also held. How actively users should be involved is a matter for debate. Some studies have shown that too much user involvement can lead to problems. This issue is dis- cussed in the Dilemma box below. 9.3 What is a user-centered approach? Throughout this book, we have emphasized the need for a user-centered approach i to development. By this we mean that the real users and their goals, not just tech- nology, should be the driving force behind development of a product. As a conse- quence, a well-designed system should make the most of human skill and judgment, should be directly relevant to the work in hand, and should support rather than constrain the user. This is less a technique and more a philosophy. In 1985, Gould and Lewis (1985) laid down three principles they believed I would lead to a "useful and easy to use computer system." These are very similar to the three key characteristics of interaction design introduced in Chapter 6. 1. Early focus on users and tasks. This means first understanding who the users will be by directly studying their cognitive, behavioral, anthropomorphic, and attitudinal characteristics. This required observing users doing their normal tasks, studying the nature of those tasks, and then involving users in the design process. 2. Empirical measurement. Early in development, the reactions and perfor- mance of intended users to printed scenarios, manuals, etc. is observed and measured. Later on, users interact with simulations and prototypes and their performance and reactions are observed, recorded, and analyzed. 3. Iterative design. When problems are found in user testing, they are fixed and then more tests and observations are carried out to see the effects of the fixes. This means that design and development is iterative, with cycles of "design, test, measure, and redesign" being repeated as often as necessary. Iteration is something we have emphasized throughout these chapters on de- sign, and it is now widely accepted that iteration is required. When Gould and Lewis wrote their paper, however, the iterative nature of design was not accepted by most developers. In fact, they comment in their paper how "obvious" these principles are, and remark that when they started recommending these to design- ers, the designers' reactions implied that these principles were indeed obvious. However, when they asked designers at a human factors symposium for the major steps in software design, most of them did not cite most of the principles-in fact, only 2% mentioned all of them. So maybe they had "obvious" merit, but were not so easy to put into practice. The Olympic Messaging System (OMS) (Gould et al., 1987) was the first reported large computer-based system to be developed using these three principles. Here a combination of techniques was used to elicit users' reactions to designs, from the earliest prototypes through to the final product. In this case, users were mainly involved in evaluating designs. The OMS is discussed further in Chapter 10.
  • 317.
    286 Chapter 9 User-centered approaches to interaction design The iterative nature of design and the need to develop usability goals have been discussed in Chapter 6. Here, we focus on the first principle, early focus on users and tasks, and suggest five further principles that expand and clarify what this means: 1. User's tasks and goals are the driving force behind the development. In a user-centered approach to design, while technology will inform design op- tions and choices, it should not be the driving force. Instead of saying, "Where can we deploy this new technology?," say, "What technologies are available to provide better support for users' goals?" 2. Users' behavior and context of use are studied and the system is designed to support them. This is about more than just capturing the tasks and the users' goals. How people perform their tasks is also significant. Under- standing behavior highlights priorities, preferences, and implicit inten- tions. One argument against studying current behavior is that we are looking to improve work, not to capture bad habits in automation. The implication is that exposing designers to users is likely to stifle innovation and creativity, but experience tells us that the opposite is true (Beyer and HoItzblatt, 1998). In addition, if something is designed to support an ac- tivity with little understanding of the real work involved, it is likely to be incompatible with current practice, and users don't like to deviate from their learned habits if operating a new device with similar properties (Norman, 1988). 3. Users' characteristics are captured and designed for. When things go wrong with technology, we often say that it is our fault. But as humans, we are prone to making errors and we have certain limitations, both cog- nitive and physical. Products designed to support humans should take these limitations into account and should limit the mistakes we make. Cognitive aspects such as attention, memory, and perception issues were introduced in Chapter 3. Physical aspects include height, mobility, and strength. Some characteristics are general, such as that about one man in 12 has some form of color blindness, but some characteristics may be as- sociated more with the job or particular task at hand. So as well as gen- eral characteristics, we need to capture those specific to the intended user group. 4 . Users are consulted throughout development from earliest phases to the latest and their input is seriously taken into account. As discussed above, there are different levels of user involvement and there are different ways in which to consult users. However involvement is organized, it is important that users are respected by designers. 5 . All design decisions are taken within the context of the users, their work, and their environment. This does not necessarily mean that users are actively in- volved in design decisions. As you read in Gillian Crampton Smith's inter- view at the end of Chapter 6, not everyone believes that it is a good idea for users to be designers. As long as designers remain aware of the users while
  • 318.
    9.3 What isa user-centered approach? 287 making their decisions, then this principle will be upheld. Keeping this con- text in mind can be difficult, but an easily accessible collection of gathered data is one way t o achieve this. Some design teams set up a specific design room for the project where data and informal records of brainstorming ses- sions are pinned on the walls o r left on the table. (This is discussed again in Section 9.4.2 on Contextual Design.) Assume that you are involved in developing a new e-commerce site for selling garden plants. Suggest ways of applying the above principles in this task. Comment To address the first three principles, we would need to find out about potential users of the site. As this is a new site, there is no immediate set of users to consult. However, the tasks and goals, behavior, and characteristics of potential users of this site can be identified by in- vestigating how people shop in existing online and physical shopping situations-for exam- ple, shopping through interactive television, through other online sites, in a garden center, in the local corner shop, and so on. For each of these, you will find advantages and disadvan- tages to the shopping environment and you will observe different behaviors. By investigating behavior and patterns in a physical garden center, you can find out a lot about who might be interested in buying plants, how these people choose plants, what criteria are important, and what their buying habits are. From existing online shopping behavior, you could determine likely contexts of use for the new site. For the fourth principle, because we don't have an easily tapped set of users available, we could follow a similar route to the Internet company described in Section 9.2, and try to re- cruit people we believe to be representative of the group. These people may be involved in workshops or in evaluation sessions, possibly in a physical shopping environment. Valuable input can be gained in targeted workshops, focus groups, and evaluation sessions. The last principle could be supported through the creation of a design room to house all the data collected. B 1986 by Randy Glaabergen. "We created this model to appeal to the youth market. The monitor is tattooed and the CD-ROM tray is pierced with a gold earring."
  • 319.
    288 Chapter 9 User-centered approaches to interaction design 9.4 Understanding users' work: applying ethnography in design Kuhn (1996) provides a good example illustrating the importance of understanding users' work. She describes a case where a computer system was introduced to cut down the amount of time spent on conversations between telephone-company re- pair personnel. Such conversations were regarded as inefficient and "off-task." What management had failed to realize was that in the conversations workers were often consulting one another about problems, and were pooling their knowledge to solve them. By removing the need for conversation, they removed a key mecha- nism for solving problems. If only the designers had understood the work properly, they would not have considered removing it. Ethnography is a method that comes originally from anthropology and literally means "writing the culture" (Hammersley and Atkinson, 1983). It has been used in the social sciences to display the social organization of activities, and hence to un- derstand work. It aims to find the order within an activity rather than impose any framework of interpretation on it. It is a broad-based approach in which users are observed as they go about their normal activities. The observers immerse them- selves in the users' environment and participate in their day-to-day work, joining in conversations, attending meetings, reading documents, and so on. The aim of an ethnographic study is to make the implicit explicit. Those in the situation, the users in this case, are so familiar with their surroundings and their daily tasks that they often don't see the importance of familiar actions or happenings, and hence don't remark upon them in interviews or other data-gathering sessions. There are different ways in which this method can be associated with design. Beynon-Davies (1997) has suggested that ethnography can be associated with de- velopment as "ethnography oJ;" "ethnography for," and "ethnography within." Ethnography of development refers to studies of developers themselves and their workplace, with the aim of understanding the practices of development (e.g. But- ton and Sharrock, 1994; Sharp et al., 1999). Ethnography for development yields ethnographic studies that can be used as a resource for development, e.g., studies of organizational work. Ethnography within software development is the most common form of study (e.g., Hughes et al., 1993a); here the techniques associated with ethnography are integrated into methods and approaches for development (e.g., Viller and Sommerville, 1999). Because of the very nature of the ethnographic experience, it is very difficult to describe explicitly what data is collected through such an exercise. It is an experience rather than a data-collection exercise. However, the experience must be shared with other team members, and therefore needs to be documented and rationalized. Box 9.3 provides an example ethnographic account in the form of a description of an ethno- graphic study of a new media company. In this case, the intention was not explicitly concerned with designing an interactive product, but was a business-oriented ethnog- raphy. The style and content of the piece, however, are typical of ethnographies. Studying the context of work and watching work being done reveals informa- tion that might be missed by other methods that concentrate on asking about work away from its natural setting. For example, it can shed light on how people do the "real" work as opposed to the formal procedures that you'd find in documentation;
  • 320.
    9.4 Understanding users'work: applying ethnography in design 289
  • 321.
    290 Chapter 9 User-centered approaches to interaction design the nature and purposes of collaboration, awareness of other's work, and implicit goals that may not even be recognized by the workers themselves. For example, I Heath et al. (1993) have been exploring the implications of ethnographic studies of real-world settings for the design of cooperative systems. We described their un- 1 derground control room study in Chapter 4, but they have also studied medical centers, architects' practices, and TV and radio studios. I In one of their studies Heath et al. (1993) looked at how dealers in a stock ex- I change work together. A main motivation was to see whether proposed technologi- cal support for market trading was indeed suitable for that particular setting. One I of the tasks examined in detail was the process of writing tickets to record deals. It had been commented upon earlier by others that this process of deal capture, using "old-fashioned" paper and pencil technology, was currently time-consuming and prone to error. Based on this finding, it had been further suggested that the existing way of making deals could be improved by introducing new technologies, including touch screens to input the details of transactions, and headphones to eliminate dis- tracting external noise. However, when Heath et al. began observing the deal capture in practice, they quickly discovered that these proposals were misguided. In particular, they warned that these new technologies would destroy the very means by which the traders cur- rently communicate and keep informed of what others are up to. Thi: touch screens would reduce the availability of information to others on how deals were progress- ing, while headphones would impede the dealers' ability to inadvertently monitor one another's conversations. They pointed out how this kind of peripheral monitor- ing of other dealers' actions was central to the way deals are done. Moreover, if any dealers failed to keep up with what the other dealers were doing by continuously monitoring them, it was likely to affect their position in the market, which ulti- mately could prove very costly to the bank they were working for. Hence, the ethnographic study proved to be very useful in warning against at- tempts to integrate new technologies into a workplace without thinking through the implications for the work practice. As an alternative, Heath et al. suggested pen-based mobile systems with gestural recognition that could allow deals to be made efficiently while also allowing the other dealers to continue to monitor one another unobtrusively.
  • 322.
    9.4 Understanding users'work: applying ethnography in design 291 Hughes et a1 (1993) state that "doing" ethnography is about being reasonable, courteous and unthreatening, and interested in what's happening. This is particu- larly important when trying to perform studies in people's homes, such as those de- scribed in Box 9.4. There is, of course, more to it than this. Training and practice are required to produce good ethnographies.
  • 323.
    292 Chapter 9 User-centered approaches to interaction design Collecting ethnographic data is not hard although it may seem a little bewildering to those accustomed to using a frame of reference to focus the data collection rather than letting the frame of reference arise from the available data. You collect what is available, what is "ordinary," what it is that people do, say, how they work. The data collected therefore has many forms: documents, notes of your own, pictures, room layouts. Notebook notes may include snippets of conversation and descriptions of rooms, meetings, what someone did, or how people reacted to a situation. It is oppor- tunistic in that you collect what you can collect and make the most of opportunities presented to you. You don't go in with a firm plan, and so the data you collect is not specifiable in advance. You have to do it rather than read about it. What you record can become more focused after being in the field for a while. Look up from reading this book and observe your surroundings. Wherever you are, the chances are that you can see and hear lots of things, and probably other people too. Start to make a list of what you observe, and when things change or people move, write down what has happened and how it happened. For example, if someone spoke, what did his voice sound like? Angry, calm, whispering, happy? Spend just a few minutes observing what you can see. Now think about the same observations but begin to interpret them: imagine that you have to place the main items or people that you can see into categories. For example, on a train you might consider who might be getting off at which station, in a bedroom you might think about how to tidy up the items lying around. How easy is it to go from the detailed description to the more abstracted one? Comment As I am writing this, 1 am in a room on my own. I therefore don't have people to observe, but my desk is covered with things: a pen, a boarding pass from a recent trip abroad, a rosette from " U p a w , disks etc. If I look around then 1 can see the wall- paper and the curtains, clothes hanging and in piles on the bed. In the background I can hear cars moving along the road, and the television downstairs. To spend any length of time really describing any one of the things 1 observe would take up a lot of words, and that's a lot of data. If I now consider how to file the things I can see, then I would start to think of categories such as which are books, which are research papers, what can be thrown away, and so on. It becomes easier to feel like I'm making progress. The other thing to notice is that some things 1 can observe are blocked out of my sphere of interest, such as the cars outside. In some ways, the goals of design and the goals of ethnography are at opposite ends of a spectrum. Design is concerned with abstraction and rationalization. Ethnography, on the other hand, is about detail. An ethnographer's account will be concerned with the minutiae of observation, while a designer is looking for useful abstractions that can be used to inform design. One of the difficulties faced by those wishing to use this very powerful technique is how to harness the data gath- ered in a form that can be used in design. Below, we introduce one framework that has been developed specifically to help structure the presentation of ethnographies in a way that enables designers to use them (other frameworks to help orient observers and how to organize this kind
  • 324.
    r I 9.4 Understanding users' work: applying ethnography in design 293 of study are described in Chapter 12). This framework has three main dimensions (Hughes et al, 1997): 1. The distributed co-ordination dimension focuses on the distributed nature of the tasks and activities, and the means and mechanisms by which they are co- ordinated. This has implications for the kind of automated support required. 2. The plans and procedures dimension focuses on the organizational support for the work, such as workflow models and organizational charts, and how these are used to support the work. Understanding this aspect impacts on how the system is designed to utilize this kind of support. 3. The awareness of work dimension focuses on how people keep themselves aware of others' work. No-one works in isolation, and it has been shown that being aware of others' actions and work activities can be a crucial ele- ment of doing a good job. In the stock market example described above, this was one aspect that ethnographers identified. Implications here relate to the sharing of information. Rather than taking data from ethnographers and interpreting this in design, an al- ternative approach is to train developers to collect ethnographic data themselves. This has the advantage of giving the designers first-hand experience of the situa- tion. Telling someone how to perform a task, or explaining what an experience is like, is very different from showing them or even gaining the experience them- selves. Finding people with the skills of ethnographers and interaction designers may be difficult, but it is possible to provide notational and procedural mechanisms to allow designers to gain some of the insights first-hand. The two methods de- scribed below provide such support. 9.4.1 Coherence The Coherence method (Viller and Sommerville, 1999) combines experiences of using ethnography to inform design with developments in requirements engineer- ing. Specifically,it is intended to integrate social analysis with object-oriented analy- sis from software engineering (which includes producing use cases as described in Chapter 7). Coherence does not prescribe how to move from the social analysis to use cases, but claims that presenting the data from an ethnographic study based around a set of "viewpoints" and "concerns" facilitates the identification of the product's most important use cases.
  • 325.
    294 Chapter 9 User-centered approaches to interaction design Viewpoints and concerns Coherence builds upon the framework introduced above and provides a set of focus questions for each of the three dimensions, here called "viewpoints". The focus questions (see Figure 9.1) are intended to guide the observer to par- ticular aspects of the workplace. They can be used as a starting point to which other questions may be added as experience in the domain and the method increases. In addition to viewpoints, Coherence has a set of concerns and associated questions. Concerns are a kind of goal, and they represent criteria that guide the requirements activity. These concerns are addressed within each appropriate view- point. One of the first tasks is to determine whether the concern is indeed relevant to the viewpoint. If it is relevant, then a set of elaboration questions is used to ex- plore the concern further. The concerns, which have arisen from experience of using ethnography in systems design, are: 1. Paperwork and computer work. These are embodiments of plans and proce- dures, and at the same time are a mechanism for developing and sharing an awareness of work. 2. Skill and the use of local knowledge. This refers to the "workarounds" that a r e developed in organizations and are at the heart of how the real work gets done. Distributed coordination How is the division of labor manifest through the work of individuals and its coordina- tion with others? How clear are the boundaries between one person's responsibilities and another's? What appreciation do people have of the work/tasks/roles of others? How is the work of individuals oriented towards the others? Plans and procedures How d o plans and procedures function in the workplace? D O they always work? How do they fail? What happens when they fail? How, and in what situations, are they circumvented? Awareness of work How does the spatial organization of the workplace facilitate interaction between workers and with the objects they use? How do workers organize the space around them? Which artifacts that are kept to hand are likely to be important to the achievement of everyday work? What are the notes and lists that the workers regularly refer to? What are the location(s) of objects, who uses them, how often? Figure 9.1 Focus questions for the three viewpoints.
  • 326.
    9.4 Understanding users'work: applying ethnography in design 295 Paperwork and computer work How do forms and other artifacts on paper or screen act as embodiments of the process? To what extent do the paper and computer work make it clear to others what stage people are at in their work? How flexible is the technology at supporting the work process-is a particular process enforced, or are alternatives permitted? Skill and the use of local knowledge What are the everyday skills employed by individuals and teams in order to get the work done? How is local knowledge used and made available, e.g., through the use of personalized checklists, asking experts, etc.? To what extent have standard procedures been adapted to take local factors into ac- count? Spatial and temporal organization How does the spatial organization of the workplace reflect how the work is per- formed? Which aspects of the work to be supported are time-dependent? Does any data have a "use-by-date"? How do workers make sure that they make use of the most up-to-date information? Organizational memory How do people learn and remember how to perform their work? How well do formal records match the reality of how work is done? Figure 9.2 Elaboration questions for the four concerns. 3. Spatial and temporal organization. This concern looks at the physical layout of the workplace and areas where time is important. 4. Organizational memory. Formal documents are not the only way in which things are remembered within an organization. Individuals may keep their own records, or there may be local gurus. The elaboration questions associated with these concerns are listed in Figure 9.2 and a sample social concern from the air traffic control domain, together with re- sultant requirements, is shown in Figure 9.3. 9.4.2 Contextual Design Contextual Design is another technique that was developed to handle the col- lection and interpretation of data from fieldwork with the intention of building a software-based product. It provides a structured approach to gathering and representing information from fieldwork such as ethnography, with the purpose
  • 327.
    Paperwork and computerwork Flight strips embody the process of an aircraft's progress through the sector of airspace controlled by a suite. As an aircraft approaches the sector, its strip is moved progressively to the bottom of the rack until it becomes the current strip for the controller to deal with. The work of the controller can therefore be viewed in terms of dealing with the flow of strips as aircraft enter, traverse, and leave the controller's sector. The collection of strips in various racks in a suite provide an 'at a glance' means of de- termining the current and future workload of a particular controller. The practice of 'cocking out' strips, i.e., raising them slightly in the racks, informs the controller that there is something non-standard about the flight concerned. This may be done by the as- sistant controller when inserting the strip, or by the controller as a reminder. Glancing at the strips provides a controller with an indication of their current and future work- load, in the same way as it allows other controllers to see the relative loading on other sectors. This feature of the organization of the strips is used in particular at change over of shifts, where the incoming controller will spend up to 10 minutes looking over the shoulder of the out-going controller in order to 'get the picture' of the current state of the sector. Flight strips provide incredibly flexible support for the work of controllers. Different practices exist regarding whether strips are placed into the racks in a top to bottom se- quence or vice versa. All instructions given by controllers to pilots, and the pilots' ac- knowledgements, are recorded onto the relevant flight strip. These annotations are made using a standard set of symbols, and different coloured pens according to the annotator's role within the controlling team. In this way, flight strips constitute a record of a flight's progress through a sector. Requirement 1. The system shall support controllers 'getting the picture' by providing the ability to determine current and future load for a sector 'at a glance' Requirement 2. The system shall provide a facility to mark exceptional or non-standard flights requiring special attention Requirement 3. Annotations to flight records shall be recorded and presented in such a way that they identify the person who made them. Figure 9.3 Elaboration of paperwork and computer work. of feeding it into design. It has been used on a number of projects, e.g., see Box 9.5. Contextual Design has seven parts: Contextual Inquiry, Work Modeling, Con- solidation, Work Redesign, User Environment Design, Mockup and Test with Cus- tomers, and Putting It into Practice. In this chapter we are focusing on understanding users' work, and so shall discuss only the first three steps. Step 4 in- volves changing work practices, which is outside our scope here. Step 5 produces a prototype that is used with customers, and the final step concerns the practicality of the working system. The activities involved in these last two steps have been dis- cussed in general terms in Section 8.2. Contextual inquiry Contextual inquiry is an approach to ethnographic study used for design that fol- lows an apprenticeship model: the designer works as an apprentice to the user. The
  • 328.
    9.4 Understanding users'work: applying ethnography in design 297
  • 329.
    I 298 Chapter 9 User-centered approaches to interaction design 1. most typical format for bontextual inquiry is a contextual interview, which is a com- bination of observatfbn, discussion, and reconstruction of past events. Contextual inquiry rests on four main principles: context, partnership, interpretation and focus. The context principle emphasizes the importance of going to the workplace and seeing what happens. The partnership principle states that the developer and the user should collaborate in understanding the work; in a traditional interviewing or workshop situation, !he interviewer or workshop leader is in control, but in con- textual inquiry the spirit of partnership means that the understanding is developed through cooperation.
  • 330.
    9.4 Understanding users'work: applying ethnography in design 299 The interpretation principle says that the observations must be interpreted in order to be used in design, and this interpretation should also be developed in coop- eration between the user and the developer. For example, I have a set of paper cards stuck on my screen at work. They are covered in notes; some list telephone numbers and some list commands for the software I use. Someone coming into my office might interpret these facts in a number of ways: that I don't have access to a telephone di- rectory; that I don't have a user manual for my software; that I use the software infre- quently; that the commands are particularly difficult to remember. The best way to interpret these facts is to discuss them with me. In fact, I do have a telephone direc- tory, but I keep the numbers on a note to save me the trouble of looking them up in the directory. I also have a telephone with a memory, but it isn't clear to me how to put the numbers in memory, so I use the notes instead. The commands are there be- cause I often forget them and waste time searching through menu structures. The fourth principle, the focus principle, was touched upon above in our dis- cussion of ethnography and was also addressed in Coherence: how do you know what to look for? In contextual inquiry, it is important that the discussion remains pertinent for the design being developed. To this end, a project focus is established to guide the interviewer, which will then be augmented by the individual's own focus that arises from their perspective and background. The contextual inquiry in- terview differs from ethnographic studies in a number of ways: 1. It is much shorter than a typical ethnographic study. A contextual inquiry interview lasts about two or three hours, while an ethnographic study tends to be longer, probably weeks or months. 2. The interview is much more intense and focused than an ethnographic study, which takes in a wide view of the environment. 3. In the interview, the designer is not taking on a role of participant observer, but is inquiring about the work. The designer is observing, and is question- ing behavior, but is not participating. 4. In the interview, the intention is to design a new system, but when conduct- ing an ethnography, there is no particular agenda to be followed. How does the contextual inquiry interview compare with the interviews introduced in Chapter 7? Comment We introduced structured, unstructured, and semi-structured interviews in Chapter 7. Con- textual inquiry could be viewed as an unstructured interview, but is more wide-ranging than this. The interviewer does not have a set list of questions to ask, and can be guided by the in- terviewee. Contextual inquiry, however, is to be conducted at the interviewee's place of work, while normal work continues. It incorporates other data-gathering techniques such as observation although other interviews too may be used in conjunction with other techniques. Normally, each team member conducts at least one contextual inquiry session. Data is collected in the form of notes and perhaps audio and video recording, but a lot of information is in the observer's head. It is important to review the experience
  • 331.
    300 Chapter 9 User-centered approaches to interaction design and to start documenting the findings as soon as possible after the session. Contextual Design includes an interpretation session in which a number of models are generated (see below). Figures 9.5 to 9.8 show flow, sequence, cultural, and physical models fo- cused around the system manager of an organization (Holtzblatt and Beyer, 1996). Work Modeling For customer-centered design, the$rsf task of a design team is to shift focus from the system that the team is chartered to build and redirect it to the work of potential customers. Work, and understanding work becomes the primary consideration. But "work" is a slippery concept. What is work? (Beyer and Holtzblatt, 1998, p. 81) Contextual design identifies five aspects to modeling "work," each of which guides the team to take a different perspective on what they have observed: The workflow model (Figure 9.5) represents the people involved in the work and the communication and coordination that takes place among them in order to achieve the work. Figure 9.5 An example work flow model.
  • 332.
    9.4 Understanding users'work: applying ethnography in design 301 I I U1: Move user to larger disk I Intent: Give user more disk quota d Trigger: User requests higher disk quota 4 Requests more quota of customer support 4 Customer support discovers there's no more room on the user's disk 4 Customer support calls U1 P Intent: Relocate user to a disk with more free space without losing any user data U1 looks for a scratch disk P Initializes and mounts scratch disk 4 . Creates user d~rectory 8 Moves user's files to the new disk 8 Uses DIR to check that files are there 4 Call user to confirm the user agrees all files are there 4 User checks and confirms 4 Delete user files from the old disk 4 Send mail to system manager to add new disk to regular startup 4 System manager adds new disk 8 Done Figure 9.6 An example sequence model. The sequence model (Figure 9.6) shows the detailed work steps necessary to achieve a goal. Sequences are collected during the contextual interview, as the user works. However, understanding the steps alone is not sufficient, since although you may be able to streamline the steps themselves, if you do not understand the goals you may create a nonsensical work sequence. The sequence model also states the trigger for the set of steps. The artifact model represents the physical things created to do the work, such as the sticky notes at my desk, described above. The model consists of an annotated picture (or drawing) of each significant physical artifact used in achieving the work. The cultural model (Figure 9.7) represents constraints on the system caused by organizational culture. Organizations have cultures, teams build up their
  • 333.
    302 Chapter 9 User-centered approaches to interaction design I Raise problems through escalation chain. . I control your computer usage and disk space. .You should care what the system IS doing even if you don't want to. T a k e responsibilityfor your actions. Our services cost you. Figure 9.7 An example cultural model. own culture, and work is performed in a cultural context. Culture influences the values and beliefs held by those taking part in the culture, and it deter- mines rituals, expectations, and behavior. As a simple example, consider the dress codes for different situations in which you may find yourself. If you turn up at a baseball game in a three-piece suit, people will think you're a bit odd. On the other hand, if you turn up at a formal dinner in jeans and T- shirt, you will be refused entry. The cultural model aims to identify the main influencers on work, i.e., people or groups who constrain or affect work in some way. The physical model (Figure 9.8) shows the physical structure of the work. It may be a physical plan of the users' work environment, e.g., the office, or it may be a schematic of a communications network showing how components are linked together. The model captures the physical characteristics that con- strain work and may make some work patterns infeasible. The interpretation session The work models are captured during an interpretation session. The team has to build an agreed view of the customers, their work, and the system to be built. Each developer therefore has to communicate to all the others on the team everything learned from her own interviewing experiences. So, after a contextual inquiry in- terview has been conducted, the team comes together to produce one consolidated view of the users' work.
  • 334.
    9.4 Understanding users'work: applying ethnogmphy in design 303 - Multiple inconsisten tracking databases Can't keep configuration databases in sync if Figure 9.8 An example physical model. Certain roles need to be adopted by the participants of this session. The inter- viewer is the person who has conducted the interviews and whose models are being examined. He must describe to the team what happened and in what order. During this recounting, the other members of the team can question the interviewer for clar- ification and extra information. Work modelers draw the work models as they emerge from the description given by the interviewer. The recorder keeps notes of the interpretation session that provide a sequential record of the meeting. The rest of the team (participants) listen to the description, ask questions, suggest design ideas (which are noted and not discussed at this time), observe, and contribute to the building of the models. The moderator stage-manages the meeting, keeps discussions
  • 335.
    I 304 Chapter 9 User-centered approaches to interaction design focused on the main issue, keeps the pace of the meeting brisk, encourages everyone to take part, and notes where in the story the interviewer was in case of interrup- tions. The rat-hole watcher steers the conversation away from any distractions. The output from this session is a set of models associated with the particular contextual inquiry interview. Each contextual inquiry interview generates its own set of models that is inevitably focused on the interviewee. These sets of models must be consolidated to gain a more general view of the work as described below. The thick lightning marks in the flow models represent points at which breakdowns in com- munication or coordination occur. Alongside each lightning bolt is a description of the cause for this breakdown. Study the flow model in Figure 9.5 and identify all the breakdowns and their causes. Cornment There are five breakdowns: (a) too many problem reports-many not real (b) the flow "problem logged directly to vendor" skips the formal process. (c) no status updates on ongoing problems (d) formal process takes too long (e) tries to sneak uncontrolled account Consolidating the models The affinity diagram (see Figure 9.9) aims to organize the individual notes captured in the interpretation sessions into a hierarchy showing common structures and themes. Notes are grouped together because they are similar in some fashion. The groups are not predefined, but must emerge from the data. The process was originally introduced into the software quality community from Japan, where it is regarded as one of the seven quality processes. The affinity diagram is constructed after a cross-section of users has been interviewed and the corresponding interpretation sessions completed. The affinity diagram is built by a process of induction. One note is put up first, and then the team searches for other notes that are related in some way. The models produced during the interpretation session need to be consolidated so as to get a more general model of the work, one that is valid across individuals. The primary aim in consolidating flow models is to identify key roles. Any one indi- vidual may take on more than one role, and so it is necessary to identify and com- pare roles across and among individuals. F o r example, two different people may take on the role of quality assessor in different departments, and one of these may also be a production manager. To do this, the individuals' responsibilities are listed and a group of them that all lead towards one goal is identified. This goal and its set of responsibilities represents one role. Like the affinity diagram, this activity is con- cerned with grouping elements together along theme lines. Sometimes individuals use different names for the same role. The artifacts and communications among people need to be consolidated, too, in terms of flows between roles.
  • 336.
    9.4 understanding users'work: applying ethnography in design 305 lndividual point captured during interpretation lndividual point captured during interoretation II lndividual point captured during inter~retation white lndividual point 1 lndividual point I 1 lndividual point I captured during interpretation captured during interpretation II captured during interpretation lndividual point lndividual point captured during captured during interpretation interpretation lndividual point captured during interpretation Figure 9.9 The structure of an affinity diagram. Consolidated sequence models show the structure of a task and common strategies. The consolidated sequence model allows the team to identify what really needs to happen to accomplish the work, and hence what needs to be supported. Artifact models show how people organize and structure their work, so a con- solidated model shows common approaches to this across different people. The se- quence models show the steps in the task, while the artifact model shows what is manipulated in order to achieve the task. Physical space also has commonalities. For example, most companies have an entrance lobby with a receptionist or security guard, then beyond that personal of- fices and meeting rooms. Within one organization, even if it is distributed across different buildings, there is commonality of physical structure and hence con- straints under which the work must be accomplished. The cultural models help in identifying what matters to people who are doing the work. The cultural model identifies the influencers, so a consolidated model shows the set of common influencers within the organization.
  • 337.
    I 306 Chapter 9 User-centered approaches to interaction design All together, the consolidated models help designers to understand the users' intent, strategy to achieve that intent, structures to support the strategy, concepts to help manage and think about work, and the users' mind set. I The Design Room An important element of Contextual Design is the design room, where all the work models are kept, pinned to the wall. The room is an environment that contains everything the team knows about the customer and their work. Design discussions held in the room can refer to data collected at the beginning of the project, and this can be used to support design ideas and decisions. This physical space in which the team is surrounded by the data is a key element of Contextual Design. Contextual Design has been used successfully in a variety of situations from cell phone design (see Chapter 15) to qffice products (see Box 9.5). Its strength lies in the fact that it provides a clear route from observing users through to interpret- ing and structuring the data, prototyping and feeding the results into product devel- opment. This systematic approach mean&that, with suitable training, interaction designers can perform the observations and subsequent interpretation themselves, thus avoidiqg some of the misunderstandings that can happen if observations are conducted by others. Contextual Design is discussed further in the interview with Karen Holtzblatt at the end of this chapter. 9.5 Involving users in design: Participatory Design Another approach to involving users is Participatory Design. In contrast to Contex- tual Design, users are actively involved in development. The intention is that they become an equal partner in the design team, and they design the product in coop- eration with the designers. The idea of participatory design emerged in Scandinavia in the late 1960s and early 1970q: There were two influences on this early work: the desire to be able to communicate information about complex systems, and the labor union movement pushing for workers to have democratic control over changes in their work. In the 1970s, new laws gave workers the right to have a say in how their working environ- ment was changed, and such laws are still in force today. A fuller history of the movement is given in Ehn (1989) and Nygaard (1990). Several projects at this time attempted to involve users in design and tried to focus on work rather than on simply producing a product. One of the most dis- cussed is the UTOPIA project, a cooperative effort between the Nordic Graphics Workers Union and research institutions in Denmark and Sweden to design com- puter-based tools for text and image processing. Involving users in design decisions is not simple, however. Cultural differences can become acute when users and designers are asked to work tqgether to produce a specification for a system. Bardker et al. (1991) recount the'following scene from the UTOPIA project: Late one afternoon, when the designers were almost through with a long presentation of a proposal for the user interface of an integrated text and image processing system, one of the typographers commented on the lack of information about typographical code-
  • 338.
    9.5 Involving usersin design: Participatory Design 307 sort ma chi^ rno~k-rrp. headline reads: "We didnotwrders& The cutting showing a parcel- the blurprinrs, so we mat& our own mock-ups." sorting machine mockup. structure. He didn't think that it was a big error (he was a polite person), but he just wanted to point out that the computer scientists who had prepared the proposal had forgotten to specify how the codes were to be presented on the screen. Would it read "<bf/"or perhaps just 'Zb" when the text that followed was to be printed in boldface? In fact, the system being described by the designers was a WYSIWYG (what you see is what you get) system, and so text that needed to be in bold typeface would appear as bold (although most typographic systems at that time did require such codes). The typographer was unable to link his knowledge and experience with what he was being told. In response to this kind of problem, the project started using mockups (introduced in Chapter 8). Simulating the working situation helped workers to draw on their experience and tacit knowledge, and designers to get a better understanding of the actual work typographers needed to do. An example mockup for a computer-controlled parcel-sorting system, from another project, is shown in Figure 9.10 (Ehn and Kyng, 1991). The headline of this newspaper clip- ping reads, "We did not understand the blueprints, so we made our own mockups". Mockups are one way to make effective use of the users' experience and knowledge. Other paper-based prototyping techniques that have been developed for participatory design are PICTIVE (Muller, 1991) and CARD (Tudor, 1993). PICTIVE (Plastic Interface for Collaborative Technology Initiatives through Video Exploration) uses low-fidelity office items, such as sticky notes and pens, and a collection of design objects to investigate specific screen and window layouts for a system. The motives for developing the techniques were to: empower users to act as full participants in the design process improve knowledge acquisition for design
  • 339.
    I 308 Chapter 9 User-centered approaches to interaction design A PICTIVE session may involve one-on-one collaboration or it may involve a small group. To perform a PICTIVE session you need video recording equipment, simple office supplies such as pens, pencils, paper, sticky notes, cards, etc., and some design components prepared by the design team such as dialog boxes, menu bars, and icons. These plastic design components may be generic or they may be specific to the system being developed, based on the development so far. The shared design surface is where the design will be created, jointly between the de- signers and the users, by manipulating and changing the design components and using the office supplies to create new elements. The video equipment records what happens on the shared design surface. Sample design objects and the layout for a PICTIVE session are shown in Figure 9.11 (Muller, 1991). Before a session, each participant is asked to prepare a "homework assign- ment." Typically, users are asked to generate scenarios of use for the system, illus- trating what they would like the system to do for them (along the lines of the scenarios we discussed in Chapter 7). Developers are asked to develop a set of sys- tem components that they think may be relevant to the system. These may be generic elements that will be used in many design exercises, they may be specifi- cally for the system under discussion, or a combination of these. The design session itself is divided roughly into four parts (Muller et al., 1995). First of all, the stakeholders all introduce themselves, specifically describing their personal and/or organizational stake in the project. Then there may be some brief tutorials about the different domains represented at the meeting. The third part of the meeting concentrates on brainstorming the designs, using the design objects and the homework assignments. The design objects are manipulated during the ses- sion to produce a synthesis of each participant's view. The scenarios developed by the users may help provide concrete detail about the work flow of the design. The final session is a walkthrough of the design and the decisions discussed. The role of the video recording is mainly that of record-keeper, so that there is a complete and informal record of the design decisions made and how they were made. post-ltTM Plastic "Icons" Notes I l m B Shared Design Surface Pop-up Events Labels (data fields) A A4 V W ' W ' ~ " ' ' 8 3 Colored Pens Figure 9.1 1 PICTIVE design objects and PICTIVE setting.
  • 340.
    9.5 Involving usersin design: Participatory Design 309 Describe a set of design components you would develop for a PICTIVE session for the shared calendar application discussed in Chapter 8. Comment From our earlier design activities, we know that having dialog boxes and icons for arranging a meeting would be appropriate. Also, different mechanisms for specifying the people to at- tend the meeting and for choosing dates, e.g., drop-down lists, free text entry, or planner- style date display. These components could be based on our preliminary designs. We will also need a menu bar and associated menu lists, calendar page display, and function button components. It would also be important to have some blank components that could be com- pleted during the brainstorming session. 9.5.2 CARD CARD (Collaborative Analysis of Requirements and Design) is similar to PIC- TIVE, but uses playing cards with pictures of computers and screen dumps on them to explore workflow options (see Figure 9.12 for an example set of cards Figure 9.12 Example of CARD.
  • 341.
    310 Chapter 9 User-centered approaches to interaction design (Muller et al., 1995)). Whereas PICTIVE concentrates on detailed aspects of the system, CARD takes a more macroscopic view of the task flow. CARD is a form of storyboarding (see Chapter 8). A CARD session could have the same format as that described for PICTIVE. During the design brainstorming part of the session, the playing cards are manipu- lated by the participants in order to show the work flow between computer screens or task decision points. The example in Figure 9.12 shows how the task of buying groceries through a computer screen such as via the Internet can be represented by Table 9.1 A comparison of techniques introduced in this chapter Participatory EthJWra~h~ Coherence Contextual Design Design2 Active user Low level Low level Medium to low Equal partners, users involvement level can be very influential Role of Uncover findings Collect and present Steer discussion Equal partners with designer1 about work ethnographic data users researcher according to the Interpret findings viewpoints and concerns Length of Typically continuous NIA A series of 2-hour A series of Zhour study and extensive. interviews design sessions Benefits Yields a good Overcomes the Systematic Users' sense of understanding of problem of ownership is increased the work representing Is designed to feed ethnographic data into the design User contact is for design process beneficial for designers Drawbacks Requires expertise Coverage limited Involves many Users' thinking can to presenting diagrams and be constrained by Difficulties ethnographic data notations what they know translating findings into design Limited support May be complicated If users are involved currently for for users to under- too much they get Requires a long progressing to stand the output bored and it becomes lead-in time design counter-productive When to use Most settings where If an ethnographic When a user- Whenever users are there is sufficient study for interaction centered focus is available and willing time and expertise design is to be required to become actively conducted (by involved in design ethnographer or Particularly useful designer) for innovative product design *Themain difference between CARD and PICTIVE lies in the level of detail at which design takes place. For the purpose of this comparison, they can be considered under the common title of Participatory Design.
  • 342.
    Summary 31 1 playing cards. Note that the cards can be used to represent users' goals or inten- tions as well as specific computer screens or task elements. Participants can easily create new cards during the session as deemed appropriate. CARD can be used to complement PICTIVE as it provides a different granu- larity of focus. Muller et al. (1995) characterized this as a bifocal view, CARD giv- ing a macroscopic view, and PICTIVE the microscopic. At the beginning of this chapter, we explained that there are different levels of user involvement, from newsletters and workshops through to full-time member- ship of the design team. Each project will need to decide on the level of user in- volvement required. T o support this involvement, a project may also choose to use one or a combination of the techniques introduced in Sections 9.4 and 9.5. For ex- ample, Contextual Design could be used even if one of the users is a member of the design team; an ethnographic study might be running alongside a series of user workshops. These techniques expand the level of user involvement. However, each approach has advantages and disadvantages, and Table 9.1 provides a brief com- parison between the main techniques introduced in this chapter. Assignment This assignment asks you to apply some elements of Coherence and Contextual Design to your own work or home circumstances. (a) Using the questions for elaborating the viewpoints and concerns in Coherence, study the environment of your workplace, university library or somewhere similar that you know. Begin by deciding which concerns are relevant to each viewpoint, e.g., ask, "Are there paper artifacts used in the workplace?" or "Is local knowledge used?" Then an- swer the questions of elaboration for the three viewpoints and the four concerns. Study your answers to the questions and see if you can identify priorities or con- straints within the organization that you were not aware of before. (b) Again using your workplace or similar location, attempt to draw the five Contextual Design work models introduced in Section 9.4.3. First of all, identify a key player in the workplace. This may be one of the librari- ans, a clerk or secretary, or a manager. If possible, run a contextual inquiry interview by sitting with her while working and asking her to tell you about one major aspect of work. If this is not possible, then identify one of the main tasks that is visible to you, such as the librarian issuing books, and sit and watch how the task is performed. Draw the models from the information you have collected. If you find that you need more data, go back and collect more. Once you feel that the models are complete, take them back to the person you interviewed (if possible) and ask for comments. Summary This chapter has elaborated on some issues surrounding the involvement of users in the de- sign process. We have also introduced the method of ethnography as a useful source of in- formation for a user-centered design process. One of the main disadvantages to using ethnography is finding a way to represent the output of the study so that it can be fed into
  • 343.
    312 Chapter 9 User-centered approaches to interaction design the design process. We have described two approaches to design (Coherence and Contextual Design) that were derived from ethnography and other approaches, to address this problem. Users may be involved passively or they may be more actively involved in making de- sign decisions. Participatory design is an approach in which users are co-designers. We have described two techniques (PICTIVE and CARD) that have helped users' input to be more effective. Key Points Involving users in the design process helps with expectation management and feelings of ownership, but how and when to involve users is a matter of dispute. Putting a user-centered approach into practice requires much information about the users to be gathered and interpreted. Ethnography is a good method for studying users in their natural surroundings. Representing the information gleaned from an ethnographic study so that it can be used in design has been problematic. The goals of ethnography are to study the details, while the goals of system design are to produce abstractions; hence they are not immediately compatible. Coherence is a method that provides focus questions to help guide the ethnographer to- wards issues that have proved to be important in systems development. Contextual Design is a method that provides models and techniques for gathering con- textual data and representing it in a form suitable for practical design. PICTIVE and CARD are both participatory design techniques that empower users to take an active part in design decisions. Further reading GREENBAUM, , AND KYNG, MORTEN JOAN (eds.) (1991) De- in a rapidly changing world, to develop and ship products sign at Work: Co-operative Design of Computer Systems. that appeal to mass markets, and to continually build on and - Hillsdale, NJ: Lawrence Erlbaum. This book is a good col- improve market position. lection of papers about the co-design of software systems: both why it is worthwhile and experience of how to do it. WIXON, DENNIS, A N D RAMEY, JUDITH (eds.) (1996) Field Methods Casebook for Software Design. New York: John BEYER, HUGH AND HOLTZBJ-ATT, KAREN (1998) Contextual Wiley & Sons, Inc. This book is a collection of papers about Design-' D&% Cmtomer-Centered Systems. Sari Francisco: practical use of field research methods in software design, Morgan Kaufmann.This book will tell You more about contex- some of which are directly mentioned in the present chapter. tual design and the rationale behind the Steps and the models. three main approaches that these papers cover are -- CUSUMANO, AND SELBY, R. W. (1995) Microsoft Se- M.A., ethnography, participative design, and contextual design. crets. London: Harper-Collins Business. This is a fascinating There are 14 chapters describing case studies and three book based on a two-and-a-half-year study of Microsoft and chapters giving an overview of the main methods. For any- how they build software. The book details findings about one interested in the practical use of these methods in soft- strategies to manage an innovative organization competing ware development, it's a fascinating read!
  • 344.
    Interview 31 3 INTERVIEW with Karen Holtzblatt Karen Holtzblatt is the origi- the physical environment, task, and artifact. We also nator of Contextual Inquiry, capture individual points on post-it notes. After the a process for field interpretation session, every person we interviewed data on product which has a set of models and a set of post-its. Our next step was the p recursor to Con- is to consolidate all that data because you don't want textual a complek to be designing from one person, from yourself, or method for the designOf from any one interview; we need to look at the struc- systems. Together with : Hugh Beyer, the codevel- ture of the practice itself. The consolidation step ' oper of~ontextual ~ ~ means that we end up with an affinity diagram and ~ i ~ ~ , Karen Holtzblatt is co- five consolidated models showing the issues across the founder of Incontext Enter- market. prises, which specializes in process and product design At that point, we have modeled the work prac- consulting. tice as it is and we have now six communication de- vices that the team can dialog with. Each one of them HS: What is Contextual Design? poses a point of view on which to have the conversa- tion "what matters?" KH: If you're going to build something that people Now the team moves into that second piece, want, there are basically three large steps that you which is "what should our corporate response be?" have to go through. The first question that you ask as a company is, "What in the world matters to the cus- We have a visioning process that is a very large group story-telling about reinventing work practice tomer such that if we make something, they're likely given technological possibility and the core compe- to buy it?" So the question is "What matters?" Now once you identify what the issues are, every corpora- tency of the organization. And after that, we de- tion will have the corporate response, or "vision." velop storyboards driven by the consolidated data and the vision. At this point we have not done a sys- Then you have to work out the details and structure it into a product. In any design process, whether it's for- tems design; we want to design the work practice malized or not, every company must do those things. first, seeing the technology as it will appear within the work. They have to find out what matters, they have to vi- sion their corporate response, and then they have to To structure the system we start by rolling the structure it into a system. storyboards into a user environment design-the Contextual Design gives you team and individual structure of the system itself, independent of the user activities that bring you through those processes in an interface and the object model. The user environment orderly fashion so as to bring the cross-functions of an design operates like a software floor plan that struc- organization together. So you could say that Contextual tures the movement inside the product. This is used to Design is a set of techniques to be used in a customer- drive the user interface design, which is mocked up in centered design process with design teams. It is also a paper and tested and iterated with the user. When it set of practices that help people engage in creative and has stabilized, the User Environment design, the sto- productive design thinking with customer data and it ryboards, and the user interface drive development of the object model. helps them co-operate and design together. This is the whole process of Contextual Design, a full front-end design process. Because it is done HS: What are the steps of Contextual Design? with a cross-functional team, everyone in the organi- KH: In the "what matters" piece, we go out into the zation knows what they're doing at each point: they field, we talk with people about their work as they do know how t o select the data, they know how to work it: that's Contextual Inquiry and that's a one-on-one, in groups to get all these different steps done. So not two to two-and-a-half-hour field interview. Then we only do you end up with a set of design thinking interpret that data with a cross-functional team, and techniques that help you to design, you have an or- we model the work with five work models: communi- ganizational process that helps the organization ac- cation and coordination, the cultural environment, tually d o it.
  • 345.
    314 Chapter 9 User-centered approaches to interaction design HS: How did the idea of contextual design emerge? day and they'll say, "We have all this qualitative KH. Contextual Design started with the invention stuff and nobody's using it . . . maybe we should of Contextual Inquiry in a post-doctoral internship have a debriefing session." So then they have de- with John Whiteside at Digital. At the time, usabil- briefing sessions. Then they wake up later on and ity testing and usability issues had been around they say, "We don't have any way of structuring this maybe eight years or so and he was asking the ques- information . . . models are a good idea." And basi- tion, "Usability identifies about 10 to 20% of the cally they reconstruct the whole process as they hit fixes at the tail end of the process to make the frost- the next problem. ing on the cake look a little better to the user. What Now it's not quite that clean, but my point is that would it take to really infuse usability?" Contextual organizational adoption is about people making it Inquiry was my answer to that question. After that, their own and taking on the parts, changing them, I took a job with Lou Cohen's Quality group at doing what they can. You have to get somebody to do DEC, where I picked up the affinity diagram idea. something and then once they do something it snow- Also at that time, Pelle Ehn and Kim Madsen were balls. talking about Morten Kyng's ideas on paper mock- What's nice about the Contextual Design way of ups and I added paper prototyping with post-its to doing everything on paper is that it creates a design check out the design. Hugh and I hooked up 13 room, the design room creates a talk event, and the years ago. He's a software and object-oriented de- talk event pulls everyone in because they want to I know what you're doing. Then if they like the data, , veloper. We started working with teams and we no- ticed that they didn't know how to go from the data they feel left out, and because they feel left out they to the design and they didn't know how to structure want to do a project and they want to have a room for I the system to think about it. So then we invented themselves as well. more of the work models and the user environment The biggest complaint about Contextual Design design. is that it takes too long. Some of that is about time, So the Contextual Design method came from some of it is about thought. You have people who are looking at the practice; we evolved every single step used to coding and now have to think about field of this process based on what people needed. The data. They're not used to that. whole process was worked out with real people doing real design in real companies. So, where did it come from? It came from dialog with the problem. HS: What's the future direction of Contextual Design? M: Every process can always be tweaked. I think the primary parts of Contextual Design are there. HS: What are the main problems that organizations There are interesting directions in which it can go, face when putting Contextual Design into practice? but there's only so much we can get our audience to KH: The question is, "What does organizational buy. change look like?" because that's what we're talking I think that for us there are two key things that about. The problem is that people want to change we're doing. One is we're starting to talk about design and they don't want to change. What we communi- and what design is, so we can talk about the role of cate to people is that organizational change is piece- design in design thinking. And we are still helping meal. In order to own a process you have to say train everyone who wants to learn. But the other what's wrong with it, you have to change it a little thing we're finding is that sometimes the best way to bit, you have to say how whoever invented the support the client is to do the design work for them. process is wrong and how the people in the organiza- So we have the design wing of the business where we tion want to fix it, you have to make it fit with your put together the contextual design teams. organizational culture and issues. Most people will We're working with distributed teams, we're adopt the field-data gathering first and that's all working with creativity and invention, we're working they'll do and they'll tell me that they don't have with how it impacts with business processes and mar- time for anything else and they don't need anything keting, we're working with the balance of all those else, and that's fine. And then they'll wake up one things. But it's only going to be in the context of a
  • 346.
    Interview 31 5 team that's actually very advanced in the standard tual Design is a scaffolding, they can plug other process that new process inventions will occur. Out of processes into it. They take their usability testing and that will come lessons that can then be put back into they can plug it here, if they have their special creativ- the standard contextual design. For most organiza- ity thing they can plug it here; if they have a focus tions looking to adopt a customer-centered design group they can plug it here. But most people haven't process, the standard contextual design is enough for got a backbone for design, and Contextual Design is a now, they have to get started. And because Contex- good backbone to start with.
  • 348.
    Chapter IO Introducing evaluation 10.1 Introduction 10.2 What, why, and when to evaluate 10.2.1 What to evaluate 10.2.2 Why you need to evaluate 10.2.3 When to evaluate 10.3 Hutchworld case study 10.3.1 How the team got started: Early design ideas 10.3.2 How was the testing done? 10.3.3 Was it tested again? 10.3.4 Looking to the future 10.4 Discussion 10.1 Introduction Recently I met two web designers who, proud of their newest site, looked at me in astonishment when I asked if they had tested it with users. "No," they said "but we know it's OK." So, I probed further and discovered that they had asked the "web whiz-kids" in their company to look at it. These guys, I was told, knew all the tricks of web design. The web's presence has heightened awareness about usability, but unfortu- nately this reaction is all too common. Designers assume that if they and their col- leagues can use the software and find it attractive, others will too. Furthermore, they prefer to avoid doing evaluation because it adds development time and costs money. So why is evaluation important? Because without evaluation, designers cannot be sure that their software is usable and is what users want. But what do we mean by evaluation? There are many definitions and many different evaluation techniques, some of which involve users directly, while others call indirectly on an understanding of users' needs and psychology. In this book we define evaluation as the process of systematically collecting data that informs us about what it is like for a particular user or group of users to use a product for a particular task in a certain type of environment. As you read in Chapter 9, the basic premise of user-centered design is that users' needs are taken into account throughout design and development. This is achieved by evaluating the design at various stages as it develops and by amending
  • 349.
    I 31 8 Chapter I O Introducing evaluation 7 it to suit users needs (Gould and Lewis, 1985). The design, therefore, progresses in iterative cycles of design-evaluate redesign. Being an effective interaction designer requires knowing how to evaluate different kinds of systems at different stages of development. Furthermore, developing systems in this way usually turns out to be less expensive than fixing problems that are discovered after the systems have been shipped to customers (Karat, 1993). Studies also suggest that the business case for using systems with good usability is compelling (Dumas and Redish, 1999; May- hew, 1999): thousands of dollars can be saved. Many techniques are available for supporting design and evaluation. Chapter 9 discussed techniques for involving users in design and part of this involvement comes through evaluation. In this and the next four chapters you will learn how dif- ferent techniques are used at different stages of design to examine different aspects of the design. You will also meet some of the same techniques that are used for gathering user requirements, but this time used to collect data to evaluate the de- sign. Another aim is to show you how to do evaluation. This chapter begins by discussing what evaluation is, why evaluation is impor- tant, and when to use different evaluation techniques and approaches. Then a case study is presented about the evaluation techniques used by Microsoft researchers and the Fred Hutchinson Cancer Research Center in developing HutchWorld (Cheng et al., 2000), a virtual world to support cancer patients, their families, and friends. This case study is chosen because it illustrates how a range of techniques is used during the development of a new product. It introduces some of the practical problems that evaluators encounter and shows how iterative product development is informed by a series of evaluation studies. The HutchWorld study also lays the foundation for the evaluation framework that is discussed in Chapter 11. The main aims of this chapter are to: Explain the key concepts and terms used to discuss evaluation. Discuss and critique the HutchWorld case study. Examine how different techniques are used at different stages in the devel- opment of HutchWorld. Show how developers cope with real-world constraints in the development of HutchWorld. 10.2 What, why, and when to evaluate Users want systems that are easy to learn and to use as well as effective, efficient, safe, and satisfying. Being entertaining, attractive, and challenging, etc. is also es- sential for some products. So, knowing what to evaluate, why it is important, and when to evaluate are key skills for interaction designers. 10.2.1 What to evaluate There is a huge variety of interactive products with a vast array of features that need to be evaluated. Some features, such as the sequence of links to be followed to find an item on a website, are often best evaluated in a laboratory, since such a
  • 350.
    10.2 What, why,and when to evaluate 319 setting allows the evaluators to control what they want to investigate. Other as- pects, such as whether a collaborative toy is robust and whether children enjoy in- teracting with it, are better evaluated in natural settings, so that evaluators can see what children do when left to their own devices. You may remember from Chapters 2, 6 and 9 that John Gould and his col- leagues (Gould et al., 1990; Gould and Lewis, 1985) recommended three similar principles for developing the 1984 Olympic Message System: focus on users and their tasks observe, measure, and analyze their performance with the system design iteratively Box 10.1 takes up the evaluation part of the 1984 Olympic Messaging System story and lists the many evaluation techniques used to examine different parts of the OMS during its development. Each technique supported Gould et al.'s three principles. Since the OMS study, a number of new evaluation techniques have been devel- oped. There has also been a growing trend towards observing how people interact with the system in their work, home, and other settings, the goal being to obtain a better understanding of how the product is (or will be) used in its intended setting. For example, at work people are frequently being interrupted by phone calls, oth- ers knocking at their door, email arriving, and so on-to the extent that many tasks are interrupt-driven. Only rarely does someone carry a task out from beginning to end without stopping to do something else. Hence the way people carry out an ac- tivity (e.g., preparing a report) in the real world is very different from how it may be observed in a laboratory. Furthermore, this observation has implications for the way products should be designed. 10.2.2 Why you need to evaluate Just as designers shouldn't assume that everyone is like them, they also shouldn't presume that following design guidelines guarantees good usability, Evaluation is needed to check that users can use the product and like it. Furthermore, nowadays users look for much more than just a usable system, as the Nielsen Norman Group, a usability consultancy company, point out (www.nngroup.com): "User experience" encompasses all aspects of the end-user's interaction . . . the first requirement for an exemplary user experience is to meet the exact needs of the customer, without fuss or bother. Next comes simplicity and elegance that produce products that are a joy to own, a joy to use." Bruce Tognazzini, another successful usability consultant, comments (www.asktog.com) that: "Iterativedesign, with its repeating cycle of design and testing, is the only validated methodology in existence that will consistently produce successful results. If you don't have user-testing as an integral part of your design process you are going to throw buckets ofmoney down the drain."
  • 351.
    - 320 Chapter 10 Introducing evaluation
  • 352.
    10.2 What, why,and when to evaluate 321 Tognazzini points out that there are five good reasons for investing in user testing: 1. Problems are fixed before the product is shipped, not after. 2. The team can concentrate on real problems, not imaginary ones. 3. Engineers code instead of debating. 4. Time to market is sharply reduced. 5. Finally, upon first release, your sales department has a rock-solid design it can sell without having to pepper their pitches with how it will all actually work in release 1.1 or 2.0. Now that there is a diversity of interactive products, it is not surprising that the range of features to be evaluated is very broad. For example, developers of a new web browser may want to know if users find items faster with their product. Gov- ernment authorities may ask if a computerized system for controlling traffic lights
  • 353.
    322 Chapter 1O Introducing evaluation results in fewer accidents. Makers of a toy may ask if six-year-olds can manipulate the controls and whether they are engaged by its furry case and pixie face. A com- pany that develops the casing for cell phones may ask if the shape, size, and color of the case is appealing t o teenagers. A new dotcom company may want to assess market reaction t o its new home page design. This diversity of interactive products, coupled with new user expectations, poses interesting challenges for evaluators, who, armed with many well tried and tested techniques, must now adapt them and develop new ones. As well as usabil- ity, user experience goals can be extremely important for a product's success, as discussed in Chapter 1. Think of examples of the following systems and write down the usability and user experience features that are important for the success of each: (a) a word processor (b) a cell phone (c) a website that sells clothes (d) an online patient support community Comment (a) It must be as easy as possible for the intended users to learn and to use and it must be satisfying. Note, that wrapped into this are characteristics such as consistency, relia- bility, predictability,etc., that are necessary for ease of use. (b) A cell phone must also have all the above characteristics; in addition, the physical de- sign (e.g., color, shape, size, position of keys, etc.) must be usable and attractive (e.g., pleasing feel, shape, and color). (c) A website that sells clothes needs to have the basic usability features too. In particu- lar, navigation through the system needs to be straightforward and well supported. You may have noticed, for example, that some sites always show a site map to indi- cate where you are. This is an important part of being easy to use. So at a deeper level you can see that the meaning of "easy to use and to learn" is different for differ- ent systems. In addition, the website must be attractive, with good graphics of the clothes-who would want to buy clothes they can't see or that look unattractive? Trust is also a big issue in online shopping, so a well-designed procedure for taking customer credit card details is essential: it must not only be clear but must take into account the need to provide feedback that engenders trust. (d) An online patient support group must support the exchange of factual and emotional information. So as well as the standard usability features, it needs to enable patients to express emotions either publicly or privately, using emoticons. Some 3D environ- ments enable users to show themselves on the screen as avatars that can jump, wave, look happy or sad, move close to another person, or move away. Designers have to identify the types of social interactions that users want to express (i.e., sociability) and then find ways to support them (Preece, 2000). From this selection of examples, you can see that success of some interactive products de- pends on much more than just usability. Aesthetic, emotional, engaging, and motivating qualities are important too.
  • 354.
    10.2 What, why,and when to evaluate 323 Usability testing involves measuring the performance of typical users on typical tasks. In addition, satisfaction can be evaluated through questionnaires and inter- views. As mentioned in Chapter 1, there has been a growing trend towards devel- oping ways of evaluating the more subjective user-experience goals, like emotionally satisfying, motivating, fun to use, etc. 10.2.3 When to evaluate The product being developed may be a brand-new product or an upgrade of an exist- ing product. If the product is new, then considerable time is usually invested in mar- ket research. Designers often support this process by developing mockups of the potential product that are used to elicit reactions from potential users. As well as helping to assess market need, this activity contributes to understanding users' needs and early requirements. As we said in Chapter 8, sketches, screen mockups, and other low-fidelity prototyping techniques are used to represent design ideas. Many of these same techniques are used to elicit users' opinions in evaluation (e.g., questionnaires and interviews), but the purpose and focus of evaluation is different. The goal of eval- uation is to assess how well a design fulfills users' needs and whether users like it. In the case of an upgrade, there is limited scope for change and attention is fo- cused on improving the overall product. This type of design is well suited to usabil- ity engineering in which evaluations compare user performance and attitudes with those for previous versions. Some products, such as office systems, go through many versions, and successful products may reach double-digit version numbers. In contrast, new products do not have previous versions and there may be nothing comparable on the market, so more radical changes are possible if evaluation re- sults indicate a problem. Evaluations done during design to check that the product continues to meet users' needs are know as formative evaluations. Evaluations that are done to assess the success of a finished product, such as those to satisfy a sponsoring agency or to check that a standard is being upheld, are know as summative evaluation. Agencies such as National Institute of Standards and Technology (NIST) in the USA, the In- ternational Standards Organization (ISO) and the British Standards Institute (BSI) set standards by which products produced by others are evaluated. Re-read the discussion of the 1984 Olympic Messaging System (OMS) in Box 10.1 and briefly describe some of the things that were evaluated, why it was necessary to do the evalu- ations, and when the evaluations were done. Comment Because the Olympic Games is such a high-profile event and IBM's reputation was at stake, the OMS was intensively evaluated throughout its development. We're told that early evalua- tions included obtaining feedback from Olympic officials with scenarios that used printed screens and tests of the user guides with Olympians, their friends, and family. Early evaluations of simulations were done to test the usability of the human-computer dialog. These were done first in the US and then with people outside of the US. Later on, more formal tests investigated how well 100 participants could interact with the system. The system's robustness was also
  • 355.
    324 Chapter 10 Introducing evaluation tested when used by many users simultaneously. Finally, tests were done with users from mi- nority cultural groups to check that they could understand how to use the OMS. So how do designers decide which evaluation techniques to use, when to use them, and how to use the findings? To address these concerns, we provide a case study showing how a range of evaluation techniques were used during the develop- ment of a new system. Based on this, we then discuss issues surrounding the "which, when, and how" questions relating to evaluation. I 10.3 HutchWorld case study HutchWorld is a distributed virtual community developed through collaboration between Microsoft's Virtual Worlds Research Group and librarians and clinicians at the Fred Hutchinson Cancer Research Center in Seattle, Washington. The sys- tem enables cancer patients, their caregivers, family, and friends to chat with one another, tell their stories, discuss their experiences and coping strategies, and gain emotional and practical support from one another (Cheng et. al., 2000). The design team decided to focus on this particular population because caregivers and cancer patients are socially isolated: cancer patients must often avoid physical contact with others because their treatments suppress their immune systems. Similarly, their caregivers have to be careful not to transmit infections to patients. The big question for the team was how to make HutchWorld a useful, engaging, easy-to-use and emotionally satisfying environment for its users. It also had to pro- vide privacy when needed and foster trust among participants. A common approach to evaluation in a large project like Hutchworld is to begin by carrying out a num- ber of informal studies. Typically, this involves asking a small number of users to comment on early prototypes. These findings are then fed back into the iterative de- velopment of the prototypes. This process is then followed by more formal usability testing and field study techniques. Both aspects are illustrated in this case study. In addition, you will read about how the development team managed their work while dealing with the constraints of working with sick people in a hospital environment. 10.3.1 How the design team got started: early design ideas Before developing this product, the team needed to learn about the patient experi- ence at the Fred Hutchinson Center. For instance, what is the typical treatment process, what resources are available to the patient community, and what are the needs of the different user groups within this community? They had to be particu- larly careful about doing this because many patients were very sick. Cancer pa- tients also typically go through bouts of low emotional and physical energy. Caregivers also may have difficult emotional times, including depression, exhaus- tion, and stress. Furthermore, users vary along other dimensions, such as education and experience with computers, age and gender and they come from different cul- tural backgrounds with different expectations. It was clear from the onset that developing a virtual community for this popu- lation would be challenging, and there were many questions that needed to be an-
  • 356.
    10.3 HutchWorld casestudy 325 swered. For example, what kind of world should it be and what should it provide? What exactly do users want to do there? How will people interact? What should it look like? To get answers, the team interviewed potential users from all the stake- holder groups-patients, caregivers, family, friends, clinicians, and social support staff-and observed their daily activity in the clinic and hospital. They also read the latest research literature, talked to experts and former patients, toured the Fred Hutchinson (Hutch) research facilities, read the Hutch web pages, and visited the Hutch school for pediatric patients and juvenile patient family members. No stone was left unturned. The development team decided that HutchWorld should be available for pa- tients any time of day or night, regardless of their geographical location. The team knew from reading the research literature that participants in virtual communities are often more open and uninhibited about themselves and will talk about problems and feelings in a way that would be difficultin face-to-face situations. On the down- side, the team also knew that the potential for misunderstanding is higher in virtual communities when there is inadequate non-verbal feedback (e.g., facial expressions and other body language, tone of voice, etc.). On balance, however, research indi- cates that social support helps cancer patients both in the psychological adjustments needed to cope and in their physical wellbeing. For example, research showed that women with breast cancer who received group therapy lived on average twice as long as those who did not (Spiegel, et al., 1989). The team's motivation to create HutchWorld was therefore high. The combination of information from research lit- erature and from observations and interviews with users convinced them that this was a worthwhile project. But what did they do then? The team's informal visits to the Fred Hutchinson Center led to the develop- ment of an early prototype. They followed a user-centered development methodol- ogy. Having got a good feel for the users' needs, the team brainstormed different ideas for an organizing theme to shape the conceptual design-a conceptual model possibly based on a metaphor. After much discussion, they decided to make the de- sign resemble the outpatient clinic lobby of the Fred Hutchinson Cancer Research Center. By using this real-world metaphor, they hoped that the users would easily infer what functionality was available in HutchWorld from their knowledge of the real clinic. The next step was to decide upon the kind of communication environ- ment to use. Should it be synchronous or asynchronous? Which would support so- cial and affective communications best? A synchronous chat environment was selected because the team thought that this would be more realistic and personal than an asynchronous environment. They also decided to include 3D photographic avatars so that users could enjoy having an identifiable online presence and could easily recognize each other. Figure 10.3 shows the preliminary stages of this design with examples of the avatars. You can also see the outpatient clinic lobby, the auditorium, the virtual garden, and the school. Outside the world, at the top right-hand side of the screen, is a list of commands in a palette and a list of participants. On the right-hand side at the bottom is a picture of participants' avatars, and underneath the window is the textual chat window. Participants can move their avatars and make them gesture to tour the virtual environment. They can also click on objects such as pictures and in- teract with them.
  • 357.
    326 Chapter 1O Introducing evaluation I Figure 1 0.3 Preliminary design showing a view of the entrance into Hutch- World. The prototype was reviewed with users throughout early development and was later tested more rigorously in the real environment of the Hutch Center using a variety of techniques. A Microsoft product called V-Chat was used to develop a second interactive prototype with the subset of the features in the preliminary de- sign shown in Figure 10.3; however, only the lobby was fully developed, not the au- ditorium or school, as you can see in the new prototype in Figure 10.4. Before testing could begin, the team had to solve some logistical issues. There were two key questions. Who would provide training for the testers and help for the patients? And how many systems were needed for testing and where should they be placed? As in many high-tech companies, the Microsoft team was used to short, market-driven production schedules, but this time they were in for a shock. Organizing the testing took much longer than they anticipated, but they soon w n says'nowdyr o lSlWeilvs'Har( Lmz wur pun(ect avatar Sarahr ah ewe Whymankpul' Figure 10.4 The Hutch V-Chat prototype.
  • 358.
    10.3 HutchWorld casestudy 327 learned to set realistic expectations that were in synch with hospital activity and the unexpected delays that occur when working with people who are unwell. 10.3.2 How was the testing done? The team ran two main sets of user tests. The first set of tests was informally run onsite at the Fred Hutchinson Center in the hospital setting. After observing the system in use on computers located in the hospital setting, the team redesigned the software and then ran formal usability tests in the usability labs at Microsoft. Test 1 : Early observations onsite In the informal test at the hospital, six computers were set up and maintained by Hutch staff members. A simple, scaled-back prototype of HutchWorld was built using the existing product, Microsoft V-Chat and was installed on the computers, which patients and their families from various hospital locations used. Over the course of several months, the team trained Hutch volunteers and hosted events in the V-Chat prototype. The team observed the usage of the space during unsched- uled times, and they also observed the general usage of the prototype. Test 1 : What was learned? This V-Chat test brought up major usability issues. First, the user community was relatively small, and there were never enough participants in the chat room for suc- cessful communication-a concept known as critical mass. In addition, many of the patients were not interested in or simultaneously available for chatting. Instead, they preferred asynchronous communication, which does not require an immediate response. Patients and their families used the computers for email, journals, discus- sion lists, and the bulletin boards largely because they could be used at any time and did not require others to be present at the same time. The team learned that a strong asynchronous base was essential for communication. The team also observed that the users used the computers to play games and to search the web for cancer sites approved by Hutch clinicians. This information was not included in the virtual environment, and so users were forced to use many dif- ferent applications. A more "unified" place to find all of the Hutch content was de- sired that let users rapidly swap among a variety of communication, information, and entertainment tasks. Test 1 : The redesign Based on this trial, the team redesigned the software to support more asynchro- nous communication and to include a variety of communication, information, and entertainment areas. They did this by making HutchWorld function as a portal that provides access to information-retrieval tools, communication tools, games, and other types of entertainment. Other features were incorporated too, including email, a bulletin board, a text-chat, a web page creation tool, and a way of checking to see if anyone is around to chat with in the 3D world. The new portal version is show in Figure 10.5.
  • 359.
    328 Chapter 1O Introducing evaluation ,hero I I P I " ~ F ~ B ~ ."0" *ant, "l* th. , *~" funawn m nnd *?an m d Hvtshlnron cancer asrwrch crmr IS a member ot the .dt,.na, C.m~rshcnr,"$ cancar B.tu0.k sss the Internat Barr,-$ Navi~dtm(l e FHCLC 511e Br h detulr on hew rn naulpr(. tAr Csnlris Vab SI(. ow caner xsb rctc tar-. irss) Figure 10.5 HutchWorld portal version. Test 2: Usability tests After redesigning the software, the team then ran usability tests in the Microsoft usability labs. Seven participants (four male and three female) were tested. Four of these participants had used chat rooms before and three were regular users. All had browsed the web and some used other communications software. The participants were told that they would use a program called HutchWorld that was designed to provide support for patients and their families. They were then given five minutes to explore HutchWorld. They worked independently and while they explored they provided a running commentary on what they were looking at, what they were thinking, and what they found confusing. This com- mentary was recorded on video and so were the screens that they visited, so that the Microsoft evaluator, who watched through a one-way mirror, had a record of what happened for later analysis. Participants and the evaluator interacted via a microphone and speakers. When the five-minute exploration period ended, the participants were asked to complete a series of structured tasks that were de- signed to test particular features of the HutchWorld interface. These tasks focused on how participants: dealt with their virtual identity; that is, how they represented themselves and were perceived by others communicated with others got the information they wanted found entertainment Figure 10.6 shows some of the structured tasks. Notice that the instructions are short, clearly written, and specific.
  • 360.
    Welcome to theHutchWorld Usability Study For this study we are interested in gaining a better understanding of the problems people have when using the program HutchWorld. HutchWorld is an all-purpose program created to offer information and social support to patients and their families at the Fred Hutchinson Cancer Research Center. I The following pages have tasks for you to complete that will help us achieve that better understanding. While you are completing these tasks, it is important for us know what is going on inside your mind. There- fore, as you complete each task please tell us what you are looking at, what you are thinking about, what is confusing to you, and so forth. I Task #kExplore Hutchworld Your first task is to spend five minutes exploring HutchWorld. A. First, open HutchWorld. B. Now, explore! Remember, tell us what you are looking at and what you are thinking about as you are exploring HutchWorld I Task #2All about Your Identity in Hutchworld A. Point to the 3 dimensional (3D) view of HutchWorld. B. Point at yourself in the 3D view of HutchWorld. C. Get a map view in the 3D view of HutchWorld. D. Walk around in the 3D view: go forward, turn left and turn right. E. Change the color of your shirt. F. Change some information about yourself, such as where you are from. I Task #3All about Communicating with Others Send someone an email. Read a message on the HutchWorld Bulletin Board. Post a message on the HutchWorld Bulletin Board. Check to see who is currently in HutchWorld. Find out where the other person in HutchWorld is from. Make the other person in HutchWorld a friend. Chat with the other person in HutchWorld Wave to the other person in HutchWorld. Whisper to the other person in HutchWorld. Task #4: All about Getting Information A. Imagine you have never been to Seattle before. Your task is to find something to do. B. Find out how to get to the Fred Hutchinson Cancer Research Center. C. Go to your favorite website. [Or go to Yahoo: www.yahoo.com] I D. Once you have found a website, resize the screen so you can see the whole web page. Figure 10.6 A sample of the structured tasks used in the HutchWorld evaluation.
  • 361.
    330 Chapter 10 Introducing evaluation I Task #5: AN about Entertainment A. Find a game to play. B. Get a gift from a Gift Cart and send yourself a gift. C. Go and open your gift. Figure 10.6 (continued). During the study, a member of the development team role-played being a par- ticipant so that the real participants would be sure to have someone with whom to interact. The evaluator also asked the participants to fill out a short questionnaire after completing the tasks, with the aim of collecting their opinions about their ex- periences with HutchWorld. The questionnaire asked: What did you like about HutchWorld? What did you not like about HutchWorld? What did you find confusing or difficult to use in HutchWorld? How would you suggest improving HutchWorld? Test 2: What was learned from the usability tests? When running the usability tests, the team collected masses of data that they had to make sense of by systematical analysis. The following discussion offers a snapshot of their findings. Some participants' problems started right at the beginning of the five-minute exploration. The login page referred to "virtual worlds" rather than the expected HutchWorld and, even though this might seem trivial, it was enough to confuse some users. This isn't unusual; developers tend to overlook small things like this, which is why eyaluation is so important. Even careful, highly skilled devel- opers like this team tend to forget that users do not speak their language. Fortu- nately, finding the "go" button was fairly straightforward. Furthermore, most participants read the welcome message and used the navigation list, and over half used the chat buttons, managed to move around the 3D world, and read the overview. But only o n e - t h d chatted and used the navigation buttons. The five- minute free-exploration data was also analyzed to determine what people thought of HutchWorld and how they commented upon the 3D view, the chat area, and the browse area. Users' performance on the structured tasks was analyzed in detail and par- ticipant ratings were tabulated. Participants rated the tasks on a scale of 1-3 where 1 = easy, 2 = OK, 3 = difficult, and bold = needed help. Any activity that received an average rating above 1.5 across participants was deemed to need detailed review by the team. Figure 10.7 shows a fragment of the summary of the analysis. In addition, the team analyzed all the problems that they observed during the tests. They then looked at all their data and drew up a table of issues, noting whether they were a priority to fix and listing recommendations for changes.
  • 362.
    Structured Tasks Resizeweb screen 1 3 2 2 2 3 1 2.0 Find a game to play 1 1 2 1 1 1 2 1.3 Send self a gift 1 3 3 3 3 3 3 2.7 Open gift 3 1 2 3 3 3 3 2.6 Participant Average: 1.3 1.9 2.2 1.7 1.7 2.0 1.6 The following descriptions provide examples of some of the problems participants experience. Get map view. People generally did not immediately know how to find the map view. However, they knew to look in the chat buttons, and by going through the buttons they found the map view. Walk in 3 0 view. People found the use of the mouse to move the avatar awkward, especially when they were trying to turn around. However, once they were used to using the mouse they had no difficulty. For a couple of people, it was not clear to them that they should click on the avatar and drag it in the desired direction. A cou- ple of people tried to move by clicking the place they wanted to move to. Figure 10.7 Participant information and ratings of difficulty in completing the structured tasks. 1 = easy, 2 = okay, 3 = difficult and bold = needed help.
  • 363.
    Issue Issue# Priority Issue Recommendation 1 high Back button sometimes not working. Fix back button. 2 high People are not paying attention to Make navigation buttons more navigation buttons. prominent. 3 low Fonts too small, hard to read for some Make it possibl&to change fonts. people. Make the font colors more distinct from the background color. 4 low When navigating, people were not aware Change the overview button to a overview button would take them back to home button, change the wording the main page. of the overview page accordingly. 5 medium "Virtual worlds" wording in login screen Change wording to "HutchWorld". confusing. 6 high People frequently clicking on objects in 3D Make the 3D view have links to view expecting something to happen. web pages. For example, when people click on the help desk the browser area should show the help desk information. 7 low People do not readily find map view button. Make the icon on the map view button more map-like. 8 medium Moving avatar with mouse took some Encourage the use of the getting used to. keyboard. Mention clicking and dragging the avatar in the welcome. 9 low People wanted to turn around in 3D view, Make one of the chat buttons a but it was awkward to do so. button that lets you turn around. 10 medium Confusion about the real worldlvirtual Change wording of overview world distinction. description, to make clear Hutch- World is a "virtual" place made to "resemble" the FHCRC, and is a place where anybody can go. 11 high People do not initially recognize that other Change wording of overview real people could be in HutchWorld, that description, to make clear Hutch- they can talk to them and see them. World is a place to "chat" with others who are "currently in" the virtual HutchWorld. 12 high People not seeinglfinding the chat window. Make chat window more Trying to chat to people from the people list prominent. Somehow link chat- where other chat-like features are (whisper, like features of navigation list to etc.) chat window. Change wording of I I 1 chat window. Instead of type to speak here. type to chat here. I Figure 10.8 A fragment of the table showing problem rankings.
  • 364.
    10.3 Hutchworld casestudy 333 13 low Who is here list and who has been here list Spread them apart more in the confused. people list. 14 medium Difficulty in finding who is here. Change People button to "Who is On" button. 15 low Went to own profile to make someone a Let people add friends at My friend. profile 16 low Not clear how to appendlreply to a Make an append button pop up discussion in the bulletin board. when double clicking on a topic. Change wording from "post a message" to "write a message" or "add a message". 17 low Bulletin board language is inconsistent. Change so it is either a bulletin board, or a discussion area. Figure 10.8 (continued). Figure 10.8 shows part of this table. Notice that issues were ranked in priority: low, medium, and high. There were just five high-ranking problems that ab- solutely had to be fixed: The back button did not always work. People were not paying attention to navigation buttons, so they needed to be more prominent. People frequently clicked on objects in the 3D view and expected something to happen. A suggestion for fixing this was to provide links to a web page. People did not realize that there could be other real people in the 3D world with whom they could chat, so the wording in the overview description had to be changed. People were not noticing the chat window and instead were trying to chat to people in the participant list. The team needed to clarify the instructions about where to chat. In general, most users found the redesigned software easy to use with little instruc- tion. By running a variety of tests, the informal onsite test, and the formal usability test, key problems were identified at an early stage and various usability issues could be fixed before the actual deployment of the software. 10.3.3 Was it tested again? Following the usability testing, there were more rounds of observation and testing with six new participants, two males and four females. These tests followed the same general format as those just described but this time they tested multiple users at once, to ensure that the virtual world supported multiuser interactions. The tests were also more detailed and focused. This time the results were more positive, but
  • 365.
    I 334 Chapter 10 Introducing evaluation of course there were still usability problems to be fixed. Then the question arose: what to do next? In particular, had they done enough testing (see Dilemma)? After making a few more fixes, the team stopped usability testing with specific tasks. But the story didn't end here. The next step was to show HutchWorld to can- cer patients and caregivers in a focus-group setting at the Fred Hutchinson Cancer Research Center to get their feedback on the final version. Once the team made adjustments to HutchWorld in response to the focus-group feedback, the final step was to see how well HutchWorld worked in a real clinical environment. It was therefore taken to a residential building used for long-term patient and family stays that was fully wired for Internet access. Here, the team observed what happened when it was used in this natural setting. In particular, they wanted to find out how HutchWorld would integrate with other aspects of patients' lives, particularly with their medical care routines and their access to social support. This informal obser- vation allowed them to examine patterns of use and to see who used which parts of the system, when, and why. 10.3.4 Looking to the future Future studies were planned to evaluate the effects of the computers and the soft- ware in the Fred Hutchinson Center. The focus of these studies will be the social support and wellbeing of patients and their caregivers in two different conditions. There will be a control condition in which users (i.e., patients) live in the residential building without computers and an experimental condition in which users live in similar conditions but with computers, Internet access, and HutchWorld. The team will evaluate the user data (performance and observation) and surveys collected in the study to investigate key questions, including: How does the computer and software impact the social wellbeing of patients and their caregivers? What type of computer-based communication best supports this patient community? What are the general usage patterns? i.e., which features were used and at what time of day were they used, etc.?
  • 366.
    10.3 HutchWorld casestudy 335 How might any medical facility use computers and software like Hutch- World to provide social support for its patients and caregivers? There is always more t o learn about the efficacy of a design and how much users enjoy using a product, especially when designing innovative products like HutchWorld for new environments. This study will provide a longer-term view of how HutchWorld is used in its natural environment that is not provided by the other evaluations. It's an ambitious plan because it involves a comparison between two different environmental settings, one that has computers and HutchWorld and one that doesn't (see Chapter 13 for more on experimental design). (a) The case study does not say much about early evaluation to test the conceptual de- sign shown in Figure 10.5. What do you think happened? (b) The evaluators recorded the gender of participants and noted their previous experi- ence with similar systems. Why is this important? (c) Why do you think it was important to give participants a five-minute exploration pe- riod? (d) Triangulation is a term that describes how different perspectives are used to under- stand a problem or situation. Often different techniques are used in triangulation. Which techniques were triangulated in the evaluations of the HutchWorld proto- type? (e) The evaluators collected participants' opinions. What kinds of concerns do you think participants might have about using HutchWorld? Hints: personal information, med- ical information, communicating feelings, etc. Comment (a) There was probably much informal discussion with representative users: patients, medical staff, relatives, friends, and caregivers. The team also visited the clinic and hospital and observed what happened there. They may also have discussed this with the physicians and administrators. (b) It is possible that our culture causes men and women to react differently in certain circumstances. Experience is an even more important influence than gender, so knowing how much previous experience users have had with various types of com- puter systems enables evaluators to make informed judgments about their perfor- mance. Experts and novices, for example, tend to behave very differently. (c) The evaluators wanted to see how participants reacted to the system and whether or not they could log on and get started. The exploration period also gave the partici- pants time to get used to the system before doing the set tasks. (d) Data was collected from the five-minute exploration, from performance on the struc- tured tasks, and from the user satisfaction questionnaire. (e) Comments and medical details are personal and people want privacy. Patients might be concerned about whether the medical information they get via the computer and from one another is accurate. Participants might be concerned about how clearly and accurately they are communicating because non-verbal communication is reduced online.
  • 367.
    336 Chapter IO Introducing evaluation I 10.4 Discussion In both HutchWorld and the 1984 Olympic Messaging System, a variety of evaluation techniques were used at different stages of design to answer different questions. "Quick and dirty" observation, in which the evaluators informally exam- ine how a prototype is used in the natural environment, was very useful in early de- sign. Following this with rounds of usability testing and redesign revealed important usability problems. However, usability testing alone is not sufficient. Field studies were needed to see how users used the system in their natural envi- ronments, and sometimes the results were surprising. For example, in the OMS sys- tem users from different cultures behaved differently. A key issue in the HutchWorld study was how use of the system would fit with patients' medical rou- tines and changes in their physical and emotional states. Users' opinions also of- fered valuable insights. After all, if users don't like a system, it doesn't matter how successful the usability testing is: they probably won't use it. Questionnaires and in- terviews were used to collect user's opinions. An interesting point concerns not only how the different techniques can be used to address different issues at different stages of design, but also how these techniques complement each other. Together they provide a broad picture of the system's usability and reveal different perspectives. In addition, some techniques are better than others for getting around practical problems. This is a large part of being a successful evaluator. In the HutchWorld study, for example, there were not many users, so the evaluators needed to involve them sparingly. For example, a technique requiring 20 users to be available at the same time was not feasible in the HutchWorld study, whereas there was no problem with such an approach in the OMS study. Furthermore, the OMS study illustrated how many different tech- niques, some of which were highly opportunistic, can be brought into play depend- ing on circumstances. Some practical issues that evaluators routinely have to address include: what to do when there are not many users how to observe users in their natural location (i.e., field studies) without dis- turbing them having appropriate equipment available dealing with short schedules and low budgets not disturbing users or causing them duress or doing anything unethical collecting "useful" data and being able to analyze it selecting techniques that match the evaluators' expertise There are many evaluation techniques from which to choose and these practi- cal issues play a large role in determining which are selected. Furthermore, selec- tion depends strongly on the stage in the design and the particular questions to be answered. In addition, each of the disciplines that contributes to interaction design has preferred bodies of theory and techniques that can influence this choice. These issues are discussed further in the next chapter.
  • 368.
    Further reading 337 Assignment 1. Reconsider the HutchWorld design and evaluation case study and note what was evaluated, why and when, and what was learned at each stage? 2. How was the design advanced after each round of evaluation? 3. What were the main constraints that influenced the evaluation? 4. How did the stages and choice of techniques build on and complement each other (i.e., triangulate)? 5. Which parts of the evaluation were directed at usability goals and which at user ex- perience goals? Which additional goals not mentioned in the study could the evalu- ations have focused upon? Summary The aim of this chapter was to introduce basic evaluation concepts that will be revisited and built on in the next four chapters. We selected the HutchWorld case study because it illus- trates how a team of designers evaluated a novel system and coped with a variety of practical constraints. It also shows how different techniques are needed for different purposes and how techniques are used together to gain different perspectives on a product's usability. This study highlights how the development team paid careful attention to usability and user expe- rience goals a s they designed and evaluated their system. Key points Evaluation and design are very closely integrated in user-centered design. Some of the same techniques are used in evaluation as in the activity of establishing re- quirements and identifying users' needs, but they are used differently (e.g., interviews and questionnaires, etc.). Triangulation involves using combinations of techniques in concert to get different per- spectives or to examine data in different ways. Dealing with constraints, such as gaining access to users or accommodating users' rou- tines, is an important skill for evaluators to develop. Further reading CHENG, L., STONE, L., FARNHAM, S., CLARK, A. M., AND A test of behavioral principles of system design. In J. Preece ZANER-GODSEY, M. (2000) Hutchworld: Lessons Learned. A and L. Keller (eds.), Human-Computer Interaction (Read- Collaborative Project: Fred Hutchinson Cancer Research ings). Prentice Hall International Ltd., Hemel Hempstead, Center & Microsofi Research. In the Proceedings of the Vir- UK: 260-283. This edited paper tells the story of the design tual Worlds Conference 2000, Paris, France. This paper de- and evaluation of the OMS. scribes the HutchWorld study and, as the title suggests, it GOULD, D., BOIES, J., LEVY, S., RICHARDS, J. T., AND J. S. discusses the design lessons that were learned. It also de- SCHOONARD, J. (1987). The 1984 Olympic Message System: scribes the evaluation studies in more detail. a test of behavioral principles of systems design. Communi- GOULD, J. D., BOIES, J., LEVY, S., RICHARDS, J. T., S. AND cations of the ACM, 30(9), 758-769. This is the original, full SCHOONARD, J. (1990). The 1984 Olympic Message System: version of the OMS paper.
  • 370.
    Chapter II An evaluation framework 1 I . 1 Introduction 1 1.2 Evaluation pradigms and techniques 1 1.2.1 Evaluation paradigms 1 1 2 . 2 Techniques 1 1.3 D E C I D E: A framework to guide evaluation 11.3.1 Determine the 1 1.3.2 Explore the questions 1 1.3.3 Choose the evaluation pradigm and techniques 1 1.3.4 Identify the practical issues 1 1.3.5 Decide how to deal with the ethical issues 1 1.3.6 Evaluate, interpret and present the data 1 1.4 Pilot studies 1 1.1 Introduction Designing useful and attractive products requires skill and creativity. As products evolve from initial ideas through conceptual design and prototypes, iterative cycles of design and evaluation help to ensure that they meet users' needs. But how do evaluators decide what and when to evaluate? The Hutchworld case study in the previous chapter described how one team did this, but the circumstances surround- ing every product's development are different. Certain techniques work better for some than for others. Identifying usability and user experience goals is essential for making every product successful, and this requires understanding users' needs. The role of eval- uation is to make sure that this understanding occurs during all the stages of the product's development. The skillful and sometimes tricky part of doing this is knowing what to focus on at different stages. Initial requirements get the design process started, but, as you have seen, understanding requirements tends to hap- pen by a process of negotiation between designers and users. As designers under- stand users' needs better, their designs reflect .this understanding. Similarly, as users see and experience design ideas, they are able to give better feedback that enables the designers to improve their designs further. The process is cyclical, with evaluation playing a key role in facilitating understanding between designers and users.
  • 371.
    340 Chapter 11 An evaluation framework Evaluation is driven by questions about how well the design or particular as- pects of it satisfy users' needs. Some of these questions provide high-level goals to guide the evaluation. Others are much more specific. For example, can users find a particular menu item? Is a graphic useful and attractive? Is the product engaging? Practical constraints also play a big role in shaping evaluation plans: tight sched- ules, low budgets, or little access to users constrain what evaluators can do. You read in chapter 10 how the Hutchworld team had to plan its evaluation around hospital routines and patients' health. Experienced designers get to know what works and what doesn't, but those with little experience can find doing their first evaluation daunting. However, with careful advance planning, problems can be spotted and ways of dealing with them can be found. Planning evaluation studies involves thinking about key issues and asking questions about the process. In this chapter we propose the DECIDE framework to help you do this. The main aims of this chapter are to: Continue to explain the key concepts and terms used to discuss evaluation. Describe the evaluation paradigms and techniques used in interaction design. Discuss the conceptual, practical, and ethical issues to be considered when planning evaluation. Introduce the DECIDE framework to help you plan your own evaluation studies. 1 1.2 Evaluation paradigms and techniques Before we describe the techniques used in evaluation studies, we shall start by proposing some key terms. Terminology in this field tends to be loose and often confusing so it is a good idea to be clear from the start what you mean. We start with the much-used term user studies, defined by Abigail Sellen in her interview at the end of Chapter 4 as follows: "user studies essentially involve looking at how people behave either in their natural [environments], or in the laboratory, both with old technologies and with new ones." Any kind of evaluation, whether it is a user study or not, is guided either explicitly or implicitly by a set of beliefs that may also be un- derpinned by theory. These beliefs and the practices (i.e., the methods or tech- niques) associated with them are known as an evaluation paradigm, which you should not confuse with the "interaction paradigms" discussed in Chapter 2. Often evaluation paradigms are related to a particular discipline in that they strongly influ- ence how people from the discipline think about evaluation. Each paradigm has par- ticular methods and techniques associated with it. So that you are not confused, we want to state explicitly that we will not be distinguishing between methods and tech- niques. We tend to talk about techniques, but you may find that other books call them methods. An example of the relationship between a paradigm and the tech- niques used by evaluators following that paradigm can be seen for usability testing, which is an applied science and engineering paradigm. The techniques associated with usability testing are: user testing in a controlled environment; observation of user ac- tivity in the controlled environment and the field; and questionnaires and interviews.
  • 372.
    11.2 Evaluation paradigmsand techniques 341 1 1.2.1 Evaluation paradigms In this book we identify four core evaluation paradigms: (1) "quick and dirty" eval- uations; (2) usability testing; (3) field studies; and (4) predictive evaluation. Other texts may use slightly different terms to refer to similar paradigms. "Quick and dirty" evaluation A "quick and dirty" evaluation is a common practice in which designers informally get feedback from users or consultants to confirm that their ideas are in line with ~ users' needs and are liked. "Quick and dirty" evaluations can be done at any stage and the emphasis is on fast input rather than carefully documented findings. For example, early in design developers may meet informally with users to get feed- back on ideas for a new product (Hughes et al., 1994). At later stages similar meet- ings may occur to try out an idea for an icon, check whether a graphic is liked, or confirm that information has been appropriately categorized on a webpage. This approach is often called "quick and dirty" because it is meant to be done in a short space of time. Getting this kind of feedback is an essential ingredient of successful design. As discussed in Chapter 9, any involvement with users will be highly informa- tive and you can learn a lot early in design by observing what people do and talking to them informally. The data collected is usually descriptive and informal and it is fed back into the design process as verbal or written notes, sketches and anecdotes, etc. Another source comes from consultants, who use their knowledge of user be- havior, the market place and technical know-how, to review software quickly and provide suggestions for improvement. It is an approach that has become particu- larly popular in web design where the emphasis is usually on short tirnescales. Usability testing Usability testing was the dominant approach in the 1980s (Whiteside et al., 1998), and remains important, although, as you will see, field studies and heuristic evalua- tions have grown in prominence. Usability testing involves measuring typical users' performance on carefully prepared tasks that are typical of those for which the sys- tem was designed. Users' performance is generally measured in terms of number of errors and time to complete the task. As the users perform these tasks, they are watched and recorded on video and by logging their interactions with software. This observational data is used to calculate performance times, identify errors, and help explain why the users did what they did. User satisfaction questionnaires and interviews are also used to elicit users' opinions. The defining characteristic of usability testing is that it is strongly controlled by the evaluator (Mayhew, 1999). There is no mistaking that the evaluator is in charge! Typically tests take place in laboratory-like conditions that are controlled. Casual visitors are not allowed and telephone calls are stopped, and there is no possibility of talking to colleagues, checking email, or doing any of the other tasks that most of us rapidly switch among in our normal lives. Everything that
  • 373.
    342 Chapter 1 1 An evaluation framework the participant does is recorded-every keypress, comment, pause, expression, etc., so that it can be used as data. Quantifying users' performance is a dominant theme in usability testing. However, unlike research experiments, variables are not manipulated and the typical number of participants is too small for much statistical analysis. User satis- faction data from questionnaires tends to be categorized and average ratings are presented. Sometimes video or anecdotal evidence is also included to illustrate problems that users encounter. Some evaluators then summarize this data in a us- ability specification so that developers can use it to test future prototypes or ver- sions of the product against it. Optimal performance levels and minimal levels of acceptance are often specified and current levels noted. Changes in the design can then be agreed and engineered-hence the term "usability engineering." User testing is explained further in Chapter 14, how to observe users is described in Chapter 12, and issues concerned with interviews and questionnaires are explored in Chapter 13. Field studies The distinguishing feature of field studies is that they are done in natural settings with the aim of increasing understanding about what users do naturally and how technology impacts them. In product design, field studies can be used to (1) help identify opportunities for new technology; (2) determine requirements for design; (3) facilitate the introduction of technology; and (4) evaluate technology (Bly, 1997). Chapter 9 introduced qualitative techniques such as interviews, observation, participant observation, and ethnography that are used in field studies. The exact choice of techniques is often influenced by the theory used to analyze the data. The data takes the form of events and conversations that are recorded as notes, or by audio or video recording, and later analyzed using a variety of analysis techniques such as content, discourse, and conversational analysis. These techniques vary con- siderably. In content analysis, for example, the data is analyzed into content cate- gories, whereas in discourse analysis the use of words and phrases is examined. Artifacts are also collected. In fact, anything that helps to show what people do in their natural contexts can be regarded as data. In this text we distinguish between two overall approaches to field studies. The first involves observing explicitly and recording what is happening, as an outsider looking on. Qualitative techniques are used to collect the data, which may then be analyzed qualitatively or quantitatively. For example, the number of times a partic- ular event is observed may be presented in a bar graph with means and standard deviations. In some field studies the evaluator may be an insider or even a participant. Ethnography is a particular type of insider evaluation in which the aim is to explore the details of what happens in a particular social setting. "In the context of human- computer interaction, ethnography is a means of studying work (or other activities) in order to inform the design of information systems and understand aspects of their use" (Shapiro, 1995, p. 8).
  • 374.
    1 1.2 Evaluationparadigms and techniques 343 Predictive evaluation In predictive evaluations experts apply their knowledge of typical users, often guided I by heuristics, to predict usability problems. Another approach involves theoretically- based models. The key feature of predictive evaluation is that users need not be pres- ent, which makes the process quick, relatively inexpensive, and thus attractive to companies; but it has limitations. In recent years heuristic evaluation in which experts review the software prod- uct guided by tried and tested heuristics has become popular (Nielsen and Mack, 1994). As mentioned in Chapter 1, usability guidelines (e.g., always provide clearly marked exits) were designed primarily for evaluating screen-based products (e.g. form fill-ins, library catalogs, etc.). With the advent of a range of new interactive products (e.g., the web, mobiles, collaborative technologies), this original set of I heuristics has been found insufficient. While some are still applicable (e.g., speak the users' language), others are inappropriate. New sets of heuristics are also needed that are aimed at evaluating different classes of interactive products. In particular, specific heuristics are needed that are tailored to evaluating web-based products, mobile devices, collaborative technologies, computerized toys, etc. These should be based on a combination of usability and user experience goals, new re- search findings and market research. Care is needed in using sets of heuristics. As you will see in Chapter 13, designers are sometimes led astray by findings from heuristic evaluations that turn out not to be as accurate as they at first seemed. Table 11.1summarizes the key aspects of each evaluation paradigm for the fol- lowing issues: the role of users who controls the process and the relationship between evaluators and users during the evaluation the location of the evaluation when the evaluation is most useful the type of data collected and how it is analyzed how the evaluation findings are fed back into the design process the philosophy and theory that underlies the evaluation paradigms Some other terms that you may encounter in your reading are shown in Box 11.1. Think back to the Hutchworld case study. (a) Which evaluation paradigms were used in the study and which were not? (b) How could the missing evaluation paradigms have been used to inform the design and why might they not have been used? Comment (a) The team did some "quick and dirty" evaluation during early development but this is not stressed in their report. Usability testing played a strong role, with some tests being carried out at the Fred Hutchinson Center and later tests in Microsoft's usabil- ity laboratories. Field studies are not strongly featured, but the team does mention
  • 375.
    344 Chapter 11 An evaluation framework Table 1 1.1 Characteristics of different evaluation paradigms - - - Evaluation Usability paradigms "Quick and dirty" testing Field studies Predictive Role of users Natural behavior. To carry out Natural behavior. Users generally not set tasks. involved. Who controls Evaluators take Evaluators Evaluators try Expert evaluators. minimum control. strongly in to develop control. relationships with users. Location Natural Laboratory. Natural Laboratory-oriented environment or environment. but often happens laboratory. on customer's premises. When used Any time you want With a prototype Most often used Expert reviews to get feedback or product. early in design to (often done by about a design check that users' consultants) with a quickly. Techniques needs are being prototype, but can from other met or to assess occur at any time. evaluation problems or design Models are used to paradigms can be opportunities. assess specific used-e.g., experts aspects of a review software. potential design. Type of data Usually qualitative, Quantitative. Qualitative List of problems informal Sometimes descriptions from expert reviews. descriptions. statistically often accompanied Quantitative figures validated. Users' with sketches, from model, e.g., opinions collected scenarios, how long it takes to by questionnaire quotes, other perform a task or interview. artifacts. using two designs. Fed back Sketches, quotes, Report of Descriptions that Reviewers provide into design descriptive report. performance include quotes, a list of problems, by... measures, errors sketches, often with suggested solutions. etc. Findings anecdotes, and provide a sometimes time Times calculated benchmark for logs. from models are future versions. given to designers. Philosophy User-centered, Applied approach May be objective Practical heuristics highly practical based on observation or and practitioner approach. experimentation, ethnographic. expertise underpin i.e., usability expert reviews. engineering. Theory underpins models.
  • 376.
    11.2 Evaluation pradigrnsand techniques 345 observing how patients used HutchWorld in the Center. Field studies were planned in which patients, who have access to HutchWorld and the web, could be systemati- cally compared with another group who does not have these facilities. However, dis- tinguishing between evaluation paradigms isn't always clear-cut. In practice elements typically found in one may be transferred to another (e.g., the controlled approach the HutchWorld team planned to use in the field). The only evaluation paradigm that is not mentioned in the study is predictive evaluation. (b) Expert reviews could have been done any time during its development but the team may have thought they were not needed, or there wasn't time, or perhaps they were performed but not reported. 1 1.2.2 Techniques There are many evaluation techniques and they can be categorized in various ways, but in this text we will examine techniques for: observing users asking users their opinions asking experts their opinions testing users' performance modeling users' task performance to predict the efficacy of a user interface The brief descriptions below offer an overview of each category, which we discuss in detail in the next three chapters. Be aware that some techniques are used in dif- ferent ways in different evaluation paradigms. Observing users Observation techniques help to identify needs leading to new types of products and help to evaluate prototypes. Notes, audio, video, and interaction logs are well- known ways of recording observations and each has benefits and drawbacks. Obvi- ous challenges for evaluators are how to observe without disturbing the people being observed and how to analyze the data, particularly when large quantities of
  • 377.
    346 Chapter 1 1 An evaluation framework video data are collected or when several different types must be integrated to tell the story (e.g., notes, pictures, sketches from observers). You met several observa- tion techniques in Chapter 7 in the context of the requirements activity; in Chapter 12 we will focus on how they are used in evaluation. Asking users Asking users what they think of a product-whether it does what they want; whether I they like it; whether the aesthetic design appeals; whether they had problems using it; whether they want to use it again- an obvious way of getting feedback. Inter- is views and questionnaires are the main techniques for doing this. The questions asked can be unstructured or tightly structured. They can be asked of a few people or of hundreds. Interview and questionnaire techniques are also being developed for use with email and the web. We discuss these techniques in Chapter 13. Asking experts Software inspections and reviews are long established techniques for evaluating software code and structure. During the 1980s versions of similar techniques were developed for evaluating usability. Guided by heuristics, experts step through tasks role-playing typical users and identify problems. Developers like this approach be- cause it is usually relatively inexpensive and quick to perform compared with labo- ratory and field evaluations that involve users. In addition, experts frequently suggest solutions to problems. In Chapter 13 you will learn a few inspection tech- niques for evaluating usability. User testing Measuring user performance to compare two or more designs has been the bedrock of usability testing. As we said earlier when discussing usability testing, these tests are usually conducted in controlled settings and involve typical users performing typical, well-defined tasks. Data is collected so that performance can be analyzed. Generally the time taken to complete a task, the number of errors made, and the navigation path through the product are recorded. Descriptive statistical measures such as means and standard deviations are commonly used to report the results. In Chapter 14 you will learn the basics of user testing and how it differs from scientific experiments. Modeling users' task performance There have been various attempts to model human-computer interaction so as to predict the efficiency and problems associated with different designs at an early stage without building elaborate prototypes. These techniques are successful for systems with limited functionality such as telephone systems. GOMS and the key- stroke model are the best known techniques. They have already been mentioned in Chapter 3 and in Chapter 14 we examine their role in evaluation. Table 11.2 summarizes the categories of techniques and indicates how they are commonly used in the four evaluation paradigms.
  • 378.
    1 1.2 Evaluationparadigms and techniques 347 Table 1 1.2 The relationship between evaluation paradigms and techniques. Evaluation paradigms Techniques "Quick and dirty" Usability testing Field studies Predictive Observing Important for Video and Observation is the N/A users seeing how users interaction central part of any behave in their logging, which field study. In natural can be analyzed ethnographic environments. to identify studies evaluators errors, investigate immerse routes through themselves in the the software, environment. In or calculate other types of performance time. studies the evaluator looks on objectively. Asking users Discussions with User satisfaction The evaluator may N/A users and questionnaires interview or potential users are administered discuss what she individually, in to collect users' sees with groups or focus opinions. participants. groups. Interviews may Ethnographic also be used to interviews are used get more details. in ethnographicstudies. Asking To provide NIA NIA Experts use experts critiques heuristics early in (called "crit design to predict reports") of the the efficacy of an usability of a interface. prototype. User N/A Testing typical N/A NIA testing users on typical tasks in a controlled laboratory-like setting is the cornerstone of usability testing. Modeling N/A NIA N/A Models are used to users' task predict the efficacy performance of an interface or compare performance times between versions.
  • 379.
    I I 348 Chapter 11 An evaluation framework C 1969 R m d y G l . s h g e n . C - "It's the latest innovation in ofAce safety. When your computer mashes, an air bag i activated s so you won't bang your head in frustration." I 1 1.3 DECIDE: A framework to guide evaluation Well-planned evaluations are driven by clear goals and appropriate questions (Basili et al., 1994). To guide our evaluations we use the D E C I D E framework, which provides the following checklist to help novice evaluators: 1. ~ e t e r m i h e overall goals that the evaluation addresses. the 2. Explore the specific questions to be answered. 3. Choose the evaluation paradigm and techniques to answer the questions. 4. Identify the practical issues that must be addressed, such as selecting partici- pants. 5. Decide how to deal with the ethical issues. 6. Evaluate, interpret, and present the data. 1 1.3.1 Determine the goals What are the high-level goals of the evaluation? Who wants it and why? An evalua- tion to help clarify user needs has different goals from an evaluation to determine the best metaphor for a conceptual design, or to he-tune an interface, or to exam- ine how technology changes working practices, or to inform how the next version of a product should be changed. Goals should guide an evaluation, so determining what these goals are is the first step in planning an evaluation. For example, we can restate the general goal statements just mentioned more clearly as: Check that the evaluators have understood the users' needs. Identify the metaphor on which to base the design.
  • 380.
    1 1.3 DECIDE:A framework to guide evaluation 349 Check to ensure that the final interface is consistent. Investigate the degree to which technology influences working practices. Identify how the interface of an existing product could be engineered to im- prove its usability. These goals influence the e