INDUCTION MOTOR MODELING AND APPLICATIONS
Dept of Electrical and Electronics 1
Chapter-1
1. INTRODUCTION
In domestic application or industry, motion control is required everywhere. The systems
that are employed for this purpose are called drives. Such a system, if makes use of electric
motors is known as an electrical drive. In electrical drives, use of various sensors and control
algorithms is done to control the speed of the motor using suitable speed control methods.
The interest for motor controller has been constantly rising during the last years. The fact
that the rotor speed is not measured, but estimated has several important benefits especially
related to higher robustness, lower cost and lower sensitivity to noise. The drawbacks are lower
speed range and a higher computational effort.
Because of advances in solid state power devices and microprocessors, variable speed
AC Induction motors powered by switching power converters are becoming more and more
popular. Switching power converters offer an easy way to regulate both the frequency and
magnitude of the voltage and current applied to a motor. As a result much higher efficiency
and performance can be achieved by these motor drives with less generated noises.
The most common principle of this kind is the constant voltage/frequency (V/Hz)
principle which requires the magnitude and frequency of the voltage applied to the stator of a
motor maintain a constant ratio. By doing this, the magnitude of the magnetic field in the stator
is kept at an approximately constant level throughout the operating range. When transient
response is critical, switching power converters also allow easy control of transient voltage and
current applied to the motor to achieve faster dynamic response.
1.1 Faradays laws of electromagnetic induction
1.1.1First law:
When the magnetic flux linking a conductor or coil changes an e.m.f is induced in it.
1.1.2 Second law:
The magnitude of induced e.m.f in a coil is equal to the rate of change of magnetic flux
linkages.
1.1.3 Lenz’s law:
The induced current will flow in such a direction so as to oppose the cause that product
INDUCTION MOTOR MODELING AND APPLICATIONS
Dept of Electrical and Electronics 2
The induction machine is used in wide variety of applications as a means of
converting electric power to mechanical power. Pump steel mill, hoist drives, household
applications are few applications of induction machines. Induction motors are most
commonly used as they offer better performance than other ac motors.
In this chapter, the development of the model of a three-phase induction motor is
examined starting with how the induction motor operates. The derivation of the dynamic
equations, describing the motor is explained. The transformation theory, which simplifies the
analysis of the induction motor, is discussed. The steady state equations for the induction
motor are obtained. The basic principles of the operation of a three phase inverter are
explained, following which the operation of a three phase inverter feeding a induction
machine is explained with some simulation results.
1.2 Basic Principle of Operation of Three-Phase Induction Machine
The operating principle of the induction motor can be briefly explained as, when
balanced three phase voltages displaced in time from each other by angular intervals of 120is
applied to a stator having three phase windings displaced in space by 120electrical, a rotating
magnetic field is produced. This rotating magnetic field has a uniform strength and rotates at
the supply frequency, the rotor that was assumed to be standstill until then, has
electromagnetic forces induced in it. As the rotor windings are short circuited, currents start
circulating in them, producing a reaction. As known from Lenz’s law, the reaction is to
counter the source of the rotor currents. These currents would become zero when the rotor
starts rotating in the same direction as that of the rotating magnetic field, and with the same
strength. Thus the rotor starts rotating trying to catch up with the rotating magnetic field.
When the differential speed between these two become zeros then the rotor currents will be
zero, there will be no emf resulting in zero torque production. Depending on the shaft load
the rotor will always settle at a speed ωr , which is less than the supply frequency. This
differential speed is called the slip speed.
INDUCTION MOTOR MODELING AND APPLICATIONS
Dept of Electrical and Electronics 3
Chapter-2
2. LITERATURE REVIEW
Many papers have discussed about different modeling based on different reference
frame theories. Few discussed the application like control of speed, Torque, Flux etc. Our
goal is to detect the fault and virtual flux measurement.
The various methods of speed control of 3-ph Induction motor are as under:
1. Pole Changing
2. Variable Supply Frequency
3. Variable rotor resistance control
4. Variable supply voltage control
5. Constant V/f control
6. Slip recovery
7. Vector Control
In parameter estimation, one tries to derive a parametric description for an object, a
physical process, or an event. If the situation involves two parameters, the estimation seems
to boil down to solving two equations with two unknowns. However, the situation is more
complex because measurements always come with uncertainties. Usually, the application not
only requires an estimate of the parameters, but also an assessment of the uncertainty of that
estimate. The situation is even more complicated because some prior knowledge must be
used to resolve the ambiguity of the solution. The prior knowledge can also be used to reduce
the uncertainty of the final estimate. In order to improve the accuracy of the estimate the
engineer can increase the number of (independent) measurements to obtain an over
determined system of equations. In order to reduce the cost of the sensory system, the
engineer can also decrease the number of measurements leaving us with fewer measurements
than parameters. The system of equations is underdetermined then, but estimation is still
possible if enough prior knowledge exists, or if the parameters are related to each other. In
either case, the engineer is interested in the uncertainty of the estimate.
INDUCTION MOTOR MODELING AND APPLICATIONS
Dept of Electrical and Electronics 4
In state estimation, one tries to do either of the following – either assigning a class
label, or deriving a parametric (real-valued) description – but for processes which vary in
time or space. There is a fundamental difference between the problems of classification and
parameter estimation on the one hand, and state estimation on the other hand. This is the
ordering in time (or space) in state estimation, which is absent from classification and
parameter estimation. When no ordering in the data is assumed, the data can be processed in
any order. In time series, ordering in time is essential for the process. This results in a
fundamental difference in the treatment of the data. In the discrete case, the states have
discrete values (classes or labels) that are usually drawn from a finite set. An example of such
a set is the alarm stages in a safety system (e.g. ‘safe’, ‘pre-alarm’, ‘red alert’, etc.). Other
examples of discrete state estimation are speech recognition, printed or handwritten text
recognition and the recognition of the operating modes of a machine.
INDUCTION MOTOR MODELING AND APPLICATIONS
Dept of Electrical and Electronics 5
Chapter-3
3. METHODOLOGY
Fig 3.1 Basic Block Diagram of Induction Motor Control Mechanism
The basic block diagram as shown above assumes that all controlled system
parameters are known. However, some system parameters are generally not known a priori,
and may even be varying in normal operating conditions. In particular, the stator and the rotor
resistances are sensitive to the magnitude of the currents, and thus undergo wide variations in
the presence of speed reference and load torque changes.
To maintain the control performance at the desired level despite changing operating
conditions, the speed controller may need to be reinforced with a parameter adaptation
capability. Another limitation of the control strategy is that all state variables are assumed to
be accessible through measurements. However, reliable and cheap sensors are only available
for stator currents and voltages. Flux sensors are generally not available on machines because
of their high implementation cost and maintenance complexity. Mechanical sensors (for
speed and, more rarely, torque measurements) are common, but also entail reliability issues
and extra maintenance costs due to physical contact with rotor. Therefore, state observers are
attractive to obtain online estimates of the states based only on electric measurements. Sensor
less controllers involving online state estimation using observers are commonly referred to as
output-feedback controllers.
INDUCTION MOTOR MODELING AND APPLICATIONS
Dept of Electrical and Electronics 6
Before going to analyze any machine it is very much important to obtain the machine
in terms of equivalent mathematical equations. The dynamic model of the induction motor is
derived by using a two-phase motor in direct and quadrature axes. This approach is desirable
because of the conceptual simplicity obtained with two sets of windings, one on the stator
and the other in the rotor. The induction motor model can be developed from the fundamental
electrical and mechanical equations. Assuming ds-qs are oriented at θ angles, then the
corresponding voltages Vds and Vqs can be resolved in to as-bs-cs components and can be
represented in matrix form with reference to stationary reference frame.
INDUCTION MOTOR MODELING AND APPLICATIONS
Dept of Electrical and Electronics 7
Chapter-4
4. TRIPHASE INDUCTION MOTOR MODELING
The problem of controlling induction motors is not a simple issue due to the
multivariable and highly nonlinear nature of these machines. Besides, some of their
parameters are time varying and some of their state variables are not accessible to
measurements. These problems are generally dealt with using model-based control
approaches, that is, the controller or the observer design relies upon a given model that is
supposed to accurately describe the machine of interest.
Control-oriented modeling of induction motors has first been accomplished by
considering simplified assumptions, for example, linear magnetic characteristic and constant
(or slowly varying) rotor speed. Then, the obtained models turn out to be linear and of quite
limited use. More accurate nonlinear models, describing well the induction motor operating
at nonconstant rotor speed, have been developed later. Furthermore, these nonlinear models
proved to be tractable and thus have been widely used in control design.
4.1 Induction Motors—A Concise Description
Triphase induction motors are classified in two main categories: squirrel cage and
wound rotor. For both types of machine, a three-phase equivalent circuit is associated to the
stator and to the rotor. By Faraday’s and Lenz’s Laws, the stator carrying a sinusoidal current
of pulsation s generates a rotating magnetic field. Then, induced currents are generated in
the rotor bars. The induced currents tend to oppose the flux variation in the rotor coils
resulting in a mechanical torque applied on the rotor. Then, the rotor starts turning at a speed
m and the rotor currents oscillating at the pulsation r = s − mp . The electromagnetic
torque is proportional to the pulsation r . It vanishes whenever the rotor current pulsation is
zero. This is called synchronization. In normal operation, torque generation is necessarily
accompanied by a difference r between the stator pulsation s and the rotor speed mp .
This difference is called slip pulsation and constitutes an image of the torque.
INDUCTION MOTOR MODELING AND APPLICATIONS
Dept of Electrical and Electronics 8
4.2 Triphase Induction Motor Modeling
4.2.1 Modeling Assumptions
1. Linearity: The fluxes and the corresponding induced currents are proportional, that is, all
self- and mutual inductances are constant.
2. All iron losses are neglected.
3. The machine air gap is constant, smooth, and symmetric.
4. The stator and the rotor windings present a symmetrical structure providing the induction
machine with a three-phase equivalent circuit (equation 4.3).
The machine triphase structure entails a sinusoidal spacial distribution of
magnetomotive force (MMF) in the air gap and three-phase currents in the stator and rotor
currents whenever the stator voltage is three-phase.
4.2.2 Tri-Phase Induction Motor Modeling
The modeling process consists of applying the electromagnetic laws to the different
windings and the motion equations to the rotor carrying the load. The application of the
electromagnetic laws yields six voltage equations and six flux equations.
Voltages Equations
        . 4.1sabc s sabc sabc
d
v R i
dt
 
        . 4.2rabc r rabc rabc
d
v R i
dt
 
Flux Equations
         
       
. 4.3
.
sabc os sabc osr rabc
rabc os rabc osr sabc
L i M i
L i M i


 
   4.4
In the above expressions, the following notations are used:
       
   
; ; . 4.5
;
sa sa sa
sabc sb sabc sb sabc sb
sc sc sc
ra ra
rabc rb rabc rb
rc rc
v i
v v i i
v i
v i
v v i i
v i

 

     
            
          
 
   
  
   ; . 4.6
ra
rabc rb
rc

 

   
      
      
INDUCTION MOTOR MODELING AND APPLICATIONS
Dept of Electrical and Electronics 9
That is, the tri-phase quantities            , , , , , andsabc sabc sabc rabc rabc rabcv i v i  denote the stator
and the rotor voltages, currents, and fluxes. The subscripts s and r refer to the stator and the
rotor, respectively. Similarly, the indices a, b, and c refer to the three phases.
A direct consequence of the machine perfect symmetry is that all resistance and
inductance matrices are symmetric, that is,
     
   
0 0 0 0
0 0 , 0 0 , 4.7
0 0 0 0
,
s r
s s r r
s r
os os os or or or
os os os os or or or or
os os os or or or
R R
R R R R
R R
l M M l M M
L M l M L M l M
M M l M M l
   
   
    
   
   
 
 
  
 
 
 , 4.8
 
 
 
 
 
where sR and rR are the stator and the rotor resistances, osl and orl are the self-inductances,
osM is the mutual inductance between two stator phases, and orM is the mutual inductance
between two rotor phases. Also, an immediate consequence of the working assumptions
(Section 4.2.1), is that the various mutual inductances between the rotor and the stator are
sinusoidal functions of the rotor position θ. Specifically, one has
 
 
 
 
 
2 4
cos cos cos
3 3
4 2
cos cos cos , 4.9
3 3
4 2
cos cos cos
3 3
osr o
p p p
M M p p p
p p p
 
  
 
  
 
  
    
     
    
    
      
    
    
     
    
where p designates the number of pole-pairs and oM denotes the maximal mutual inductance
between the stator phase and the rotor phase.
Mechanical Equations
The torque of the motor in qd0 space is given by:
Where P= No of poles
( )r
m l
d
J
dt

  
3
( )
2 2
em qr dr dr qr
P
T i i  
3
( )
2 2
ds qs qs ds
P
i i  
INDUCTION MOTOR MODELING AND APPLICATIONS
Dept of Electrical and Electronics 10
where = load torque
4.2.3 Park Transformations
The key idea is that the MMF, created by a physical three-phase system, can be
equivalently created by a fictive two-phase system involving two orthogonal windings
(Figure 4.2).
The three-phase current system  , ,a b ci i i traversing 1n turns and two-phase current
system  ,d qi i , traversing 2n turns are said to be equivalent if they produce the same air-gap
MMF.
The MMF created by  , ,a b ci i i has the following components:
a 1 a 1 1ε =n i , ε =n i , ε =n i .b b c c
Similarly, the components of the MMF due to  ,d qi i are the following:
2 2ε =n i , ε =n i .d d q q
Referring to Figure 2.4, the MMF due to  , ,a b ci i i is represented by the vector , which is
a vector sum of the three MMF vectors  , ,a b c   Figure 4.4 illustrates the projection of
the vector  along two orthogonal axes referred to direct axis d and quadrature axis q.
3
( )
2 2
m dr qs qr ds
P
L i i i i 
l
INDUCTION MOTOR MODELING AND APPLICATIONS
Dept of Electrical and Electronics 11
Figure 4.1 Triphase system  , ,a b ci i i and its equivalent two-phase system  ,d qi i . Both systems create
the same MMF 
The obtained components, andd q  , are given by the following expression:
 
 
2 4
cos cos cos
3 3
2 4
sin sin sin
3 3
a
d
b
q
c
 
  


  
   
    
                                   
    
(4.12)
The system (4.12) is clearly noninvertible as it involves a non-square matrix. This is
overcome by adding a third equation associated with a fictive MMF denoted o . The new
variable is defined to be proportional to the homopolar component of the triphase  , ,a b c  
Specifically, one has  o o a b cK      for some proportional constant oK to be defined
later. To the fictive MMF o is associated a fictive current, denoted oi , referred to
homopolar. Accordingly, one has 2o on i 
INDUCTION MOTOR MODELING AND APPLICATIONS
Dept of Electrical and Electronics 12
Replacing in equation (4.12) the MMFs by the corresponding currents one gets the
following relation between the three-phase current  , ,a b ci i i (traversing 1n turns) and the
equivalent two-phase current  ,d qi i (traversing 2n turns):
 
 1
2
2 4
cos cos cos
3 3
2 4
sin sin sin .
3 3
d a
q b
o c
o o o
i i
n
i i
n
i i
K K K
 
  
 
  
    
     
       
                              
 
 
(4.13)
As the fictive current oi is not physically involved in the creation of the MMF, its orientation
can be chosen arbitrarily. For convenience, the homopolar axis is let to be orthogonal to the
plane qd . To complete the transformation (4.13), it remains to assign values to 1
2
n
n
and oK .
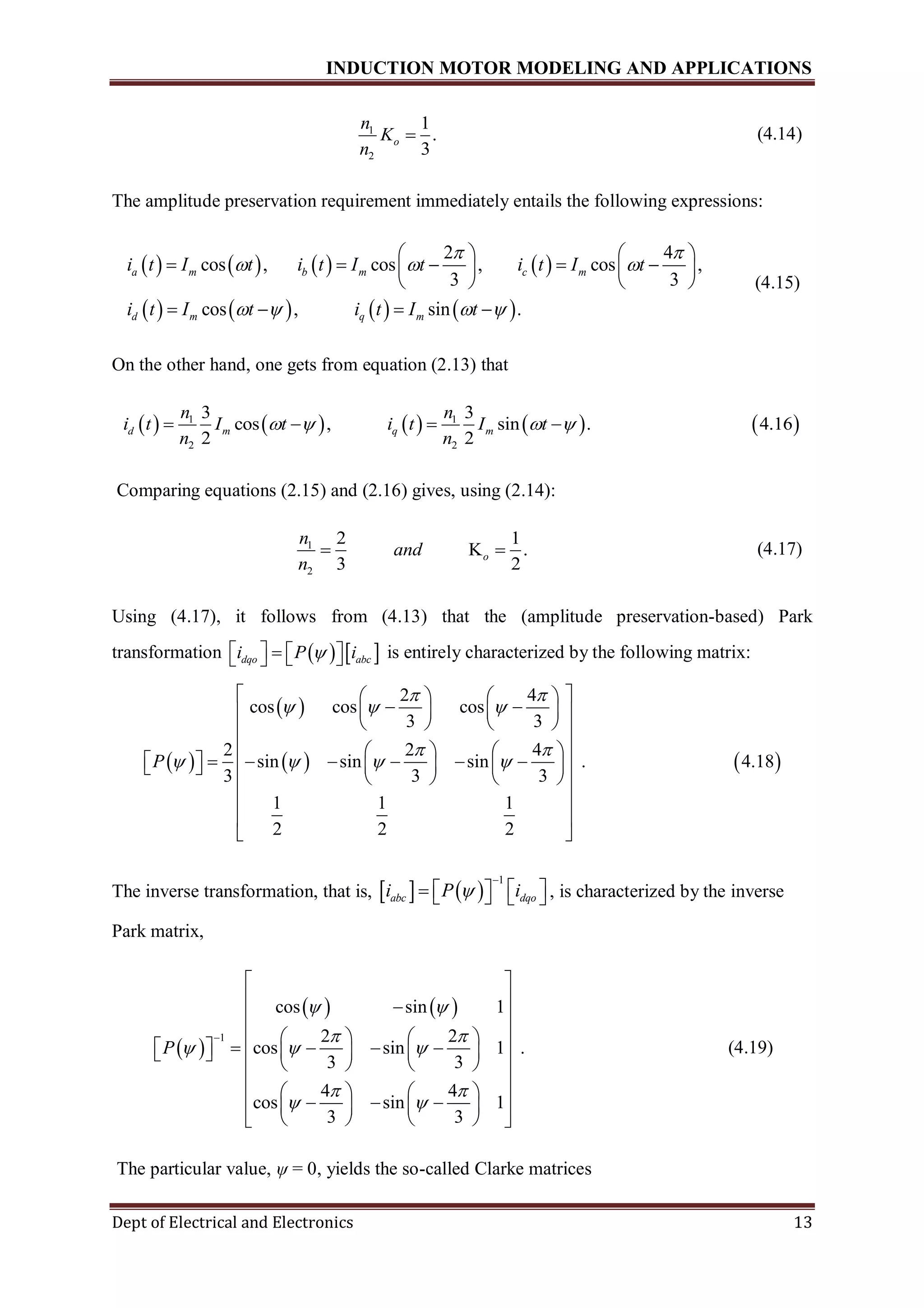
4.2.4 Park Transformation Preserving Amplitudes
The interest, Park transformation has lately regained is mainly due to the considerable
progress made in the digital computer technology and in the power electronic component
technology. The spectacular advances achieved in these fields have made it possible to
implement real-time applications involving the construction and manipulation of the Park
transformation. The original Park transformation is defined by equation (2.13) letting the free
parameters (i.e., 1
2
n
n
and oK ) be chosen to meet
The following requirements:
1. The homopolar current oi coincides with the arithmetic mean value of the currents
 , ,a b ci i i .
2. The components of the two-phase current  ,d qi i have the same amplitude as those of the
triphase current  , ,a b ci i i , that is, current amplitude is preserved by the Park transformation.
The first requirement leads to the following double equality:
   1
2
1
.
3
o a b c o a b c
n
i i i i K i i i
n
     
These yields,
INDUCTION MOTOR MODELING AND APPLICATIONS
Dept of Electrical and Electronics 13
1
2
1
.
3
o
n
K
n
 (4.14)
The amplitude preservation requirement immediately entails the following expressions:
       
       
2 4
cos , cos , cos ,
3 3
cos , sin .
a m b m c m
d m q m
i t I t i t I t i t I t
i t I t i t I t
 
  
   
   
       
   
   
(4.15)
On the other hand, one gets from equation (2.13) that
         1 1
2 2
3 3
cos , sin . 4.16
2 2
d m q m
n n
i t I t i t I t
n n
      
Comparing equations (2.15) and (2.16) gives, using (2.14):
1
2
2 1
K .
3 2
o
n
and
n
  (4.17)
Using (4.17), it follows from (4.13) that the (amplitude preservation-based) Park
transformation    dqo abci P i       is entirely characterized by the following matrix:
 
 
   
2 4
cos cos cos
3 3
2 2 4
sin sin sin . 4.18
3 3 3
1 1 1
2 2 2
P
 
  
 
   
    
     
    
    
            
    
 
 
 
The inverse transformation, that is,    
1
abc dqoi P i

       , is characterized by the inverse
Park matrix,
 
   
1
cos sin 1
2 2
cos sin 1 .
3 3
4 4
cos sin 1
3 3
P
 
 
  
 
 

 
 
 
    
          
    
    
      
    
(4.19)
The particular value, ψ = 0, yields the so-called Clarke matrices
INDUCTION MOTOR MODELING AND APPLICATIONS
Dept of Electrical and Electronics 14
     
1
1 1 1
1 1 0
2 2 2
2 3 3 2 1 3 1
0 , . 4.20
3 2 2 3 2 2 2
1 1 1 1 3 1
2 2 2 2 2 2
C C

    
   
   
    
    
   
    
   
   
4.2.5 Two-Phase Models of Induction Motors
Equations (4.1)–(4.4), and (4.10) get simplified by applying the Park transformation defined
by the matrix (4.27). Roughly, all mathematical relationships initially expressed in terms of
the triphase frame (a, b, c) are rewritten in terms of (d, q, o). The perfect symmetry of the
induction motor implies that the sum of the currents carried by the rotor and the sum of those
carried by the stator are both null. Then, the corresponding homopolar currents (i.e. the
components along the axis o) are null . It turns out that, in the new frame (d, q), the initial
electromagnetic system (4.1), and (4.2), consisting of six equations, boils down to a simpler
system, consisting of only four equations.
As mentioned earlier, the angle ψ in (4.27) is a free parameter assuming several
possible choices. This entails several variants of the two-coordinate frame (d, q). The two
most common in the literature are the following:
• The fixed reference frame (α, β), connected to the stator.
• The rotating reference frame (d, q), linked to, for example, the rotor flux or the stator
current.
The passage from the triphase frame (a, b, c) to the fixed (α, β) frame is accomplished
by choosing the transformation angle ψ, in the transformation matrix (4.25), as follows:
• Set ψ = 0, for the transformation of the stator variables.
• Set ψ = θ, for the transformation of the rotor variables.
The passage from the triphase frame (a, b, c) to the rotating frame (d, q) is
accomplished by choosing the transformation angle ψ as follows:
• Set ψ = s , for the transformation of stator variables.
• Set ψ = r = s − θ, for the transformation of the rotor variables.
INDUCTION MOTOR MODELING AND APPLICATIONS
Dept of Electrical and Electronics 15
Figure 4.2 Angles between electric frames
4.2.6 Electric Equations in d-q Coordinates
Following the above rules, the passage from the tri-phase frame (a, b, c) to the (d, q) frame
necessitates the following transformations of the electric variables (Figure 4.2):
             , , , 4.29
sd sd sd
s sabc s sabc s sabc
sq sq sq
v i
P v P i P
v i

   

     
                 
     
             , , . 4.30
rd rd rd
r rabc r rabc r rabc
rq rq rq
v i
P v P i P
v i

   

     
                 
     
Applying the transformations (4.29) and (4.30) to the induction machine equations (4.1)
and (4.2), yields the following (d, q) equations:
INDUCTION MOTOR MODELING AND APPLICATIONS
Dept of Electrical and Electronics 16
 , 4.31
,
sd
sd s sd s sq
sq
sq s sq s sd
d
v R i
dt
d
v R i
dt

 

 
  
    
 
4.32
( ) , 4.33
(
rd
rd r rd s r rq
rq
rq r rq s
d
v R i
dt
d
v R i
dt

  

 
   
     ) , 4.34r rd
Where, , .s
s m
d d
dt dt
 
  
4.2.7 Flux Equations in d-q Coordinates
Similarly, the passage from the triphase frame (a, b, c) to the (d, q) frame necessitates the
following transformations of the fluxes:
     
     
4.35
4.36
sdq s sabc
rdq r rabc
P
P
  
  
      
      
Using the flux-current expressions (4.3) and (4.4), the couple of equations (4.35) and (4.36)
develops as follows:
At the stator:
         ,sdq s s sabc s rabcP L i P Lm i            
Which implies, using (4.29)
           
1 1
.sdq s s s sdq s r rdqP L P i P Lm P i    
 
                         
At the rotor, one has
         ,rdq r r rabc r sabcP L i P Lm i            
Which implies, due to (4.30)
The obtained flux equations in the (d, q) frame can be given the more compact forms
           
1 1
.rdq r r r rdq r s sdqP L P i P Lm P i    
 
                         
INDUCTION MOTOR MODELING AND APPLICATIONS
Dept of Electrical and Electronics 17
       , ,sdq s sdq rdq rdq r rdq sdqL i Lm i L i Lm i                          
With, sL  Stator inductance;
rL Rotor inductance;
Lm Mutual inductance between the stator and rotor windings.
From above equations
4.3 d-q voltage equations
Stator winding abc voltage equations
(4.34)
Where, P
d
dt

d-q transformation matrix
( 4.35)
(4.36)
(4.37)
[ ]
[ ] [ ]
[ ]
[ ] [ ]
sabc
sabc s sabc
rabc
rabc r rabc
d
V R i
dt
d
V R i
dt


 
 
[ ] [ ]
[ ] [ ]
sdq s sdq sr rdq
rdq r rdq sr sdq
L i M i
L i M i


 
 
V Pabc abc abc abc
s s s sr i 
 
2 2
cos cos cos
3 3
2 2
Tdq sin sin sin
3 3
1 1 1
2 2 2
 
  
 
   
    
     
    
    
            
    
 
 
 
 
1
sin cos 0
2 2
sin cos 0 P
3 3
2 2
sin cos 0
3 3
dqo dqo
s dqo s
d
T
dt
 
  
    
 
 

 
 
 
    
                  
    
    
       
    
        
1 1
V Pdqo dqo abc dqo
s dqo dqo s dqo s dqo sT T T r T i    
 
                 
 
1
P dqo
dqo sT  

     
INDUCTION MOTOR MODELING AND APPLICATIONS
Dept of Electrical and Electronics 18
Substituting above equation (4.37) in (4.36) voltage equation we can get
(4.38)
Similarly, for rotor
 
0 1 0
1 0 0 P
0 0 0
dqo dqo dqo dqo dqo
r r r r r rV r i   
 
      
  
(4.39)
Where,
4.4 Voltage equation:
The stator and rotor voltage equations after d-q transformation can be given as follows.
( )
( )
sd
sd s sd s sq
sq
sq s sq s sd
rq
rd r rd s r rq
rq
rq r rq s r rd
d
V R i
dt
d
V R i
dt
d
V R i
dt
d
V R i
dt

 

 

  

  
  
  
   
   
(4.37)
Where,
4.5 Current equations
Substituting above equations (4.37) we can derive these current equations for rotor
and stator d-q axis
Stator d-q currents
(4.38)
, Synchronous Speed and , Synchronous Speeds
s m
d d
dt dt
 
  
1
[ ]
[ ]
sd sd rd s sd s
sr s sq sr rq
s s s s
sq sq s sq rqsr s
s sd sr rd
s s s s
di V di R i
M L i M i
dt L L dt L L
di V R i diM
L i M i
dt L L L dt L


    
    
0 1 0
1 0 0 P
0 0 0
dqo dqo dqo dqo dqo
s s s s sV r i  
 
     
  
1 0 0
0 1 0
0 0 1
dqo
s sr r
 
   
  
d
dt

 
INDUCTION MOTOR MODELING AND APPLICATIONS
Dept of Electrical and Electronics 19
Rotor d-q currents
( )
[ ]
( )
[ ]
rd rd sr sd s rr
rd r rq sr sq
r r r r
rq rq r rq sqsr s r
r rd sr sd
r r r r
di V M diR
i L i M i
dt L L L dt L
di V R i diM
L i M i
dt L L L dt L
 
 

    

    
(4.39)
4.6 Efficiency
The relationship between input power and output power can be derived as follows.
Shaft power output o e rP  
Mechanical power developed P ( )md o rF  
Rotor copper loss P
1
rc md
s
P
s
 
  
 
Input to motor P P P Pi md rc sc  
Hence, the expression for efficiency is given by,
% Efficiency= P
100
Pi
o
 (4.40)
4.7 Power factor
The expression for power factor for an Induction motor is given by,
Power factor
 
22
r
R
R sX


where, 2r r rX f L (4.41)
120
r
r
N P
f 
4.8 Flux equations
Similarly, the direct axis and quadrature axis flux equations are given by,
qs s qs m qr
ds s ds m dr
qr s qr m qs
dr s dr m ds
L i L i
L i L i
L i L i
L i L i




 
 
 
 
(4.42)
INDUCTION MOTOR MODELING AND APPLICATIONS
Dept of Electrical and Electronics 20
4.9 Speed and Slip
The relationship between rotor speed and torque is given by,
P
( )
2J
r e l    ( 4.43)
Hence the, slip‘s’ can be given by,
e r
e
s
 


 (4.44)
INDUCTION MOTOR MODELING AND APPLICATIONS
Dept of Electrical and Electronics 21
Chapter-5
5. Simulation
Using mathematical modeling discussed in previous chapter, the blocks are built in
Simulink software to realize the derived mathematical equations. In the following section we
briefly discuss about each block.
5.1 Park transformation
A 3- phase ac supply is converted into 2 ph d-q co-ordinates as shown.(reference eq 4.20)
Fig. 5.1 Park’s transformation blocks
5.2 Speed and slip blocks
The speed and slip can be calculated from the following blocks shown.(eq 4.43 and 4.44 )
Fig. 5.2.Speed and slip blocks
INDUCTION MOTOR MODELING AND APPLICATIONS
Dept of Electrical and Electronics 22
5.3 Current calculations
From above current stator d axis equations
1
[ ]sd sd rd s sd s
sr s sq sr rq
s s s s
di V di R i
M L i M i
dt L L dt L L

    
Similarly all the currents can be calculated using this basic block
Fig. 5.3 Current block for isd
5.4 Power factor block
From the rotor speed output and slip, the power factor can be calculated as follows, ( eq 4.41)
Fig. 5.4.1 Power Factor block
INDUCTION MOTOR MODELING AND APPLICATIONS
Dept of Electrical and Electronics 23
Fig 5.4.2 Power factor block with effect of variation of temperature
5.5 Torque block
Using d-q currents and mutual inductance, torque is calculated where load torque put
on motor which is in positive or negative quantity for sudden increase or sudden decrease of
load and some friction is also considered.
Fig. 5.5 torque block
INDUCTION MOTOR MODELING AND APPLICATIONS
Dept of Electrical and Electronics 24
5.6 Inverse parks transformation
3 ph ac quantities can be re-obtain from d-q quantities by using inverse park transformations.
Fig. 5.6 inverse parks transformation block
Motor ratings
The induction motor chosen for the simulation studies has the following parameters 20 hp,
460V, 50Hz, 3 Induction motor with the following equivalent circuit parameters
Table.1: induction motor parameter table
Parameters Values
No of poles 4
Reference speed 500 rpm
Stator resistance 0.087 Ω
Rotor resistance 0.187 Ω
Inductance of motor 0.04 H
Inductance of stator 0.0425 H
Inductance of rotor 0.043 H
Friction 10
Stator copper loss 700 W
Temperature coefficient 3.9*10-3
Ω/o
C
INDUCTION MOTOR MODELING AND APPLICATIONS
Dept of Electrical and Electronics 25
5.7 Simulation Results
Results of simulations are obtained under normal operating conditions
Fig. 5.7.1 Torque characteristics
Fig. 5.7.2 Speed characteristics
INDUCTION MOTOR MODELING AND APPLICATIONS
Dept of Electrical and Electronics 26
Fig. 5.7.3 Variation of Efficiency w.r.t Time
Fig. 5.7.4 Variation of Power Factor w.r.t Time
Fig. 5.7.5 Variation of Slip w.r.t Time
INDUCTION MOTOR MODELING AND APPLICATIONS
Dept of Electrical and Electronics 27
Fig. 5.7.6 Variation of Torque developed w.r.t Time
Fig. 5.7.7 Variation of Slip w.r.t Torque
INDUCTION MOTOR MODELING AND APPLICATIONS
Dept of Electrical and Electronics 28
Fig. 5.7.8 Variation of Speed w.r.t Torque
Fig. 5.7.9 Variation of rotor currents w.r.t time
INDUCTION MOTOR MODELING AND APPLICATIONS
Dept of Electrical and Electronics 29
Fig. 5.7.10 Variation of Flux w.r.t Time
Fig. 5.7.11 Variation of currents w.r.t Time
INDUCTION MOTOR MODELING AND APPLICATIONS
Dept of Electrical and Electronics 30
Chapter 6
6. Application
The mathematical modeling of Induction motor can be used for various control and
estimation applications. We consider the application of fault detection and analysis of effect
of temperature variation on Induction motor parameters.
1) Fault detection
Firstly, we discuss the application of fault detection in which a sudden load is applied for
very short duration of time, when Induction motor is at steady state. Then its effect on torque,
speed, current, slip, and flux are observed.
The basic principle of fault detection is to compare the Induction motor system parameters
continuously with the standard reference values for that particular operating condition.
When, any of the parameter exceeds the limit, the fault is identified.
The following simulation results show that, the load is applied for duration of 1 second. The
effect is observed in terms of a sudden change in toque and speed.
Fig. 6.1 Torque characteristics
Fig. 6.2 Speed characteristics
INDUCTION MOTOR MODELING AND APPLICATIONS
Dept of Electrical and Electronics 31
Fig. 6.3 Characteristics d-q axis currents
Fig. 6.4 Variation Rotor Current of time
Fig. 6.5 Variaton of Flux w.r.t Time
INDUCTION MOTOR MODELING AND APPLICATIONS
Dept of Electrical and Electronics 32
Fig 6.6 Variation of power factor
It can be observed that, from graph 6.1 the torque curve deviates from its stable path towards
unstable path when a sudden load is applied. Also, the speed reaches beyond the reference
value. Hence, as a consequence, the Induction motor rotor current increases rapidly. By
comparing the currents with reference (Fig 5.7.11) the fault can be identified.
2) Analysis of effect of temperature variation on Induction motor parameters.
As rotor conductors are having finite resistance, the heat is produced when current flows
continuously through windings. Thus, the effect of change in temperature can be observed
immediately on, change in resistance of the windings. This causes change in currents, fluxes,
and power factor. Analysis is carried out to investigate the effect of change in temperature on
Induction motor parameters. The resistance is made to increase along with increase in
temperature. And its consequent effect is observed on above mentioned parameters.
Fig. 6.6 Variation of Torque w.r.t Time
INDUCTION MOTOR MODELING AND APPLICATIONS
Dept of Electrical and Electronics 33
Fig. 6.7 Variation of Speed w.r.t Time
Fig. 6.8 Variation of Power Factor w.r.t Time
Fig. 6.10 Variation of Flux w.r.t Time
INDUCTION MOTOR MODELING AND APPLICATIONS
Dept of Electrical and Electronics 34
Fig. 6.11 Variation of currents w.r.t Time
From the above observations, it can be concluded that, there is a considerable change
in the rotor current and flux. Also the power factor changes significantly when there occurs a
temperature change in the system.
INDUCTION MOTOR MODELING AND APPLICATIONS
Dept of Electrical and Electronics 35
Chapter 7
7. Conclusion and Future Scope
In this approach, implementation of modular Simulink model for induction machine
simulation has been introduced. Unlike most other induction machine model
implementations, with this model, the user has access to all the internal variables for getting
an insight into the machine operation. Any machine control algorithm can be simulated in the
Simulink environment with this model, without actually using sensors. Individual parameter
equations are solved in each block. The operation of the model is to simulate dynamic model
of induction motor with torque, speed, power factor, slip, efficiency, flux with variation in
load and temperature.
A block model approach was used in the construction of the motor model that allows
all motor parameters to be easily accessed for monitoring and comparison purposes. The
model can be used to study the dynamic behavior of the induction motor, or can be used in
various motor-drive topologies with minor modifications. New subsystems can be added to
the model presented to implement various types of control schemes.
Finally, the analysis made in the project work is extremely helpful from design
prospective.
Future scope:
1) Controller can be designed to obtain desired speed automatically with changing
loading conditions.
2) Kalman Estimator can be designed for accurate estimation applications.
3) Hardware implementation can be done.

Induction motor modelling and applications report

  • 1.
    INDUCTION MOTOR MODELINGAND APPLICATIONS Dept of Electrical and Electronics 1 Chapter-1 1. INTRODUCTION In domestic application or industry, motion control is required everywhere. The systems that are employed for this purpose are called drives. Such a system, if makes use of electric motors is known as an electrical drive. In electrical drives, use of various sensors and control algorithms is done to control the speed of the motor using suitable speed control methods. The interest for motor controller has been constantly rising during the last years. The fact that the rotor speed is not measured, but estimated has several important benefits especially related to higher robustness, lower cost and lower sensitivity to noise. The drawbacks are lower speed range and a higher computational effort. Because of advances in solid state power devices and microprocessors, variable speed AC Induction motors powered by switching power converters are becoming more and more popular. Switching power converters offer an easy way to regulate both the frequency and magnitude of the voltage and current applied to a motor. As a result much higher efficiency and performance can be achieved by these motor drives with less generated noises. The most common principle of this kind is the constant voltage/frequency (V/Hz) principle which requires the magnitude and frequency of the voltage applied to the stator of a motor maintain a constant ratio. By doing this, the magnitude of the magnetic field in the stator is kept at an approximately constant level throughout the operating range. When transient response is critical, switching power converters also allow easy control of transient voltage and current applied to the motor to achieve faster dynamic response. 1.1 Faradays laws of electromagnetic induction 1.1.1First law: When the magnetic flux linking a conductor or coil changes an e.m.f is induced in it. 1.1.2 Second law: The magnitude of induced e.m.f in a coil is equal to the rate of change of magnetic flux linkages. 1.1.3 Lenz’s law: The induced current will flow in such a direction so as to oppose the cause that product
  • 2.
    INDUCTION MOTOR MODELINGAND APPLICATIONS Dept of Electrical and Electronics 2 The induction machine is used in wide variety of applications as a means of converting electric power to mechanical power. Pump steel mill, hoist drives, household applications are few applications of induction machines. Induction motors are most commonly used as they offer better performance than other ac motors. In this chapter, the development of the model of a three-phase induction motor is examined starting with how the induction motor operates. The derivation of the dynamic equations, describing the motor is explained. The transformation theory, which simplifies the analysis of the induction motor, is discussed. The steady state equations for the induction motor are obtained. The basic principles of the operation of a three phase inverter are explained, following which the operation of a three phase inverter feeding a induction machine is explained with some simulation results. 1.2 Basic Principle of Operation of Three-Phase Induction Machine The operating principle of the induction motor can be briefly explained as, when balanced three phase voltages displaced in time from each other by angular intervals of 120is applied to a stator having three phase windings displaced in space by 120electrical, a rotating magnetic field is produced. This rotating magnetic field has a uniform strength and rotates at the supply frequency, the rotor that was assumed to be standstill until then, has electromagnetic forces induced in it. As the rotor windings are short circuited, currents start circulating in them, producing a reaction. As known from Lenz’s law, the reaction is to counter the source of the rotor currents. These currents would become zero when the rotor starts rotating in the same direction as that of the rotating magnetic field, and with the same strength. Thus the rotor starts rotating trying to catch up with the rotating magnetic field. When the differential speed between these two become zeros then the rotor currents will be zero, there will be no emf resulting in zero torque production. Depending on the shaft load the rotor will always settle at a speed ωr , which is less than the supply frequency. This differential speed is called the slip speed.
  • 3.
    INDUCTION MOTOR MODELINGAND APPLICATIONS Dept of Electrical and Electronics 3 Chapter-2 2. LITERATURE REVIEW Many papers have discussed about different modeling based on different reference frame theories. Few discussed the application like control of speed, Torque, Flux etc. Our goal is to detect the fault and virtual flux measurement. The various methods of speed control of 3-ph Induction motor are as under: 1. Pole Changing 2. Variable Supply Frequency 3. Variable rotor resistance control 4. Variable supply voltage control 5. Constant V/f control 6. Slip recovery 7. Vector Control In parameter estimation, one tries to derive a parametric description for an object, a physical process, or an event. If the situation involves two parameters, the estimation seems to boil down to solving two equations with two unknowns. However, the situation is more complex because measurements always come with uncertainties. Usually, the application not only requires an estimate of the parameters, but also an assessment of the uncertainty of that estimate. The situation is even more complicated because some prior knowledge must be used to resolve the ambiguity of the solution. The prior knowledge can also be used to reduce the uncertainty of the final estimate. In order to improve the accuracy of the estimate the engineer can increase the number of (independent) measurements to obtain an over determined system of equations. In order to reduce the cost of the sensory system, the engineer can also decrease the number of measurements leaving us with fewer measurements than parameters. The system of equations is underdetermined then, but estimation is still possible if enough prior knowledge exists, or if the parameters are related to each other. In either case, the engineer is interested in the uncertainty of the estimate.
  • 4.
    INDUCTION MOTOR MODELINGAND APPLICATIONS Dept of Electrical and Electronics 4 In state estimation, one tries to do either of the following – either assigning a class label, or deriving a parametric (real-valued) description – but for processes which vary in time or space. There is a fundamental difference between the problems of classification and parameter estimation on the one hand, and state estimation on the other hand. This is the ordering in time (or space) in state estimation, which is absent from classification and parameter estimation. When no ordering in the data is assumed, the data can be processed in any order. In time series, ordering in time is essential for the process. This results in a fundamental difference in the treatment of the data. In the discrete case, the states have discrete values (classes or labels) that are usually drawn from a finite set. An example of such a set is the alarm stages in a safety system (e.g. ‘safe’, ‘pre-alarm’, ‘red alert’, etc.). Other examples of discrete state estimation are speech recognition, printed or handwritten text recognition and the recognition of the operating modes of a machine.
  • 5.
    INDUCTION MOTOR MODELINGAND APPLICATIONS Dept of Electrical and Electronics 5 Chapter-3 3. METHODOLOGY Fig 3.1 Basic Block Diagram of Induction Motor Control Mechanism The basic block diagram as shown above assumes that all controlled system parameters are known. However, some system parameters are generally not known a priori, and may even be varying in normal operating conditions. In particular, the stator and the rotor resistances are sensitive to the magnitude of the currents, and thus undergo wide variations in the presence of speed reference and load torque changes. To maintain the control performance at the desired level despite changing operating conditions, the speed controller may need to be reinforced with a parameter adaptation capability. Another limitation of the control strategy is that all state variables are assumed to be accessible through measurements. However, reliable and cheap sensors are only available for stator currents and voltages. Flux sensors are generally not available on machines because of their high implementation cost and maintenance complexity. Mechanical sensors (for speed and, more rarely, torque measurements) are common, but also entail reliability issues and extra maintenance costs due to physical contact with rotor. Therefore, state observers are attractive to obtain online estimates of the states based only on electric measurements. Sensor less controllers involving online state estimation using observers are commonly referred to as output-feedback controllers.
  • 6.
    INDUCTION MOTOR MODELINGAND APPLICATIONS Dept of Electrical and Electronics 6 Before going to analyze any machine it is very much important to obtain the machine in terms of equivalent mathematical equations. The dynamic model of the induction motor is derived by using a two-phase motor in direct and quadrature axes. This approach is desirable because of the conceptual simplicity obtained with two sets of windings, one on the stator and the other in the rotor. The induction motor model can be developed from the fundamental electrical and mechanical equations. Assuming ds-qs are oriented at θ angles, then the corresponding voltages Vds and Vqs can be resolved in to as-bs-cs components and can be represented in matrix form with reference to stationary reference frame.
  • 7.
    INDUCTION MOTOR MODELINGAND APPLICATIONS Dept of Electrical and Electronics 7 Chapter-4 4. TRIPHASE INDUCTION MOTOR MODELING The problem of controlling induction motors is not a simple issue due to the multivariable and highly nonlinear nature of these machines. Besides, some of their parameters are time varying and some of their state variables are not accessible to measurements. These problems are generally dealt with using model-based control approaches, that is, the controller or the observer design relies upon a given model that is supposed to accurately describe the machine of interest. Control-oriented modeling of induction motors has first been accomplished by considering simplified assumptions, for example, linear magnetic characteristic and constant (or slowly varying) rotor speed. Then, the obtained models turn out to be linear and of quite limited use. More accurate nonlinear models, describing well the induction motor operating at nonconstant rotor speed, have been developed later. Furthermore, these nonlinear models proved to be tractable and thus have been widely used in control design. 4.1 Induction Motors—A Concise Description Triphase induction motors are classified in two main categories: squirrel cage and wound rotor. For both types of machine, a three-phase equivalent circuit is associated to the stator and to the rotor. By Faraday’s and Lenz’s Laws, the stator carrying a sinusoidal current of pulsation s generates a rotating magnetic field. Then, induced currents are generated in the rotor bars. The induced currents tend to oppose the flux variation in the rotor coils resulting in a mechanical torque applied on the rotor. Then, the rotor starts turning at a speed m and the rotor currents oscillating at the pulsation r = s − mp . The electromagnetic torque is proportional to the pulsation r . It vanishes whenever the rotor current pulsation is zero. This is called synchronization. In normal operation, torque generation is necessarily accompanied by a difference r between the stator pulsation s and the rotor speed mp . This difference is called slip pulsation and constitutes an image of the torque.
  • 8.
    INDUCTION MOTOR MODELINGAND APPLICATIONS Dept of Electrical and Electronics 8 4.2 Triphase Induction Motor Modeling 4.2.1 Modeling Assumptions 1. Linearity: The fluxes and the corresponding induced currents are proportional, that is, all self- and mutual inductances are constant. 2. All iron losses are neglected. 3. The machine air gap is constant, smooth, and symmetric. 4. The stator and the rotor windings present a symmetrical structure providing the induction machine with a three-phase equivalent circuit (equation 4.3). The machine triphase structure entails a sinusoidal spacial distribution of magnetomotive force (MMF) in the air gap and three-phase currents in the stator and rotor currents whenever the stator voltage is three-phase. 4.2.2 Tri-Phase Induction Motor Modeling The modeling process consists of applying the electromagnetic laws to the different windings and the motion equations to the rotor carrying the load. The application of the electromagnetic laws yields six voltage equations and six flux equations. Voltages Equations         . 4.1sabc s sabc sabc d v R i dt           . 4.2rabc r rabc rabc d v R i dt   Flux Equations                   . 4.3 . sabc os sabc osr rabc rabc os rabc osr sabc L i M i L i M i        4.4 In the above expressions, the following notations are used:             ; ; . 4.5 ; sa sa sa sabc sb sabc sb sabc sb sc sc sc ra ra rabc rb rabc rb rc rc v i v v i i v i v i v v i i v i                                               ; . 4.6 ra rabc rb rc                      
  • 9.
    INDUCTION MOTOR MODELINGAND APPLICATIONS Dept of Electrical and Electronics 9 That is, the tri-phase quantities            , , , , , andsabc sabc sabc rabc rabc rabcv i v i  denote the stator and the rotor voltages, currents, and fluxes. The subscripts s and r refer to the stator and the rotor, respectively. Similarly, the indices a, b, and c refer to the three phases. A direct consequence of the machine perfect symmetry is that all resistance and inductance matrices are symmetric, that is,           0 0 0 0 0 0 , 0 0 , 4.7 0 0 0 0 , s r s s r r s r os os os or or or os os os os or or or or os os os or or or R R R R R R R R l M M l M M L M l M L M l M M M l M M l                                  , 4.8           where sR and rR are the stator and the rotor resistances, osl and orl are the self-inductances, osM is the mutual inductance between two stator phases, and orM is the mutual inductance between two rotor phases. Also, an immediate consequence of the working assumptions (Section 4.2.1), is that the various mutual inductances between the rotor and the stator are sinusoidal functions of the rotor position θ. Specifically, one has           2 4 cos cos cos 3 3 4 2 cos cos cos , 4.9 3 3 4 2 cos cos cos 3 3 osr o p p p M M p p p p p p                                                                 where p designates the number of pole-pairs and oM denotes the maximal mutual inductance between the stator phase and the rotor phase. Mechanical Equations The torque of the motor in qd0 space is given by: Where P= No of poles ( )r m l d J dt     3 ( ) 2 2 em qr dr dr qr P T i i   3 ( ) 2 2 ds qs qs ds P i i  
  • 10.
    INDUCTION MOTOR MODELINGAND APPLICATIONS Dept of Electrical and Electronics 10 where = load torque 4.2.3 Park Transformations The key idea is that the MMF, created by a physical three-phase system, can be equivalently created by a fictive two-phase system involving two orthogonal windings (Figure 4.2). The three-phase current system  , ,a b ci i i traversing 1n turns and two-phase current system  ,d qi i , traversing 2n turns are said to be equivalent if they produce the same air-gap MMF. The MMF created by  , ,a b ci i i has the following components: a 1 a 1 1ε =n i , ε =n i , ε =n i .b b c c Similarly, the components of the MMF due to  ,d qi i are the following: 2 2ε =n i , ε =n i .d d q q Referring to Figure 2.4, the MMF due to  , ,a b ci i i is represented by the vector , which is a vector sum of the three MMF vectors  , ,a b c   Figure 4.4 illustrates the projection of the vector  along two orthogonal axes referred to direct axis d and quadrature axis q. 3 ( ) 2 2 m dr qs qr ds P L i i i i  l
  • 11.
    INDUCTION MOTOR MODELINGAND APPLICATIONS Dept of Electrical and Electronics 11 Figure 4.1 Triphase system  , ,a b ci i i and its equivalent two-phase system  ,d qi i . Both systems create the same MMF  The obtained components, andd q  , are given by the following expression:     2 4 cos cos cos 3 3 2 4 sin sin sin 3 3 a d b q c                                                             (4.12) The system (4.12) is clearly noninvertible as it involves a non-square matrix. This is overcome by adding a third equation associated with a fictive MMF denoted o . The new variable is defined to be proportional to the homopolar component of the triphase  , ,a b c   Specifically, one has  o o a b cK      for some proportional constant oK to be defined later. To the fictive MMF o is associated a fictive current, denoted oi , referred to homopolar. Accordingly, one has 2o on i 
  • 12.
    INDUCTION MOTOR MODELINGAND APPLICATIONS Dept of Electrical and Electronics 12 Replacing in equation (4.12) the MMFs by the corresponding currents one gets the following relation between the three-phase current  , ,a b ci i i (traversing 1n turns) and the equivalent two-phase current  ,d qi i (traversing 2n turns):    1 2 2 4 cos cos cos 3 3 2 4 sin sin sin . 3 3 d a q b o c o o o i i n i i n i i K K K                                                                 (4.13) As the fictive current oi is not physically involved in the creation of the MMF, its orientation can be chosen arbitrarily. For convenience, the homopolar axis is let to be orthogonal to the plane qd . To complete the transformation (4.13), it remains to assign values to 1 2 n n and oK . 4.2.4 Park Transformation Preserving Amplitudes The interest, Park transformation has lately regained is mainly due to the considerable progress made in the digital computer technology and in the power electronic component technology. The spectacular advances achieved in these fields have made it possible to implement real-time applications involving the construction and manipulation of the Park transformation. The original Park transformation is defined by equation (2.13) letting the free parameters (i.e., 1 2 n n and oK ) be chosen to meet The following requirements: 1. The homopolar current oi coincides with the arithmetic mean value of the currents  , ,a b ci i i . 2. The components of the two-phase current  ,d qi i have the same amplitude as those of the triphase current  , ,a b ci i i , that is, current amplitude is preserved by the Park transformation. The first requirement leads to the following double equality:    1 2 1 . 3 o a b c o a b c n i i i i K i i i n       These yields,
  • 13.
    INDUCTION MOTOR MODELINGAND APPLICATIONS Dept of Electrical and Electronics 13 1 2 1 . 3 o n K n  (4.14) The amplitude preservation requirement immediately entails the following expressions:                 2 4 cos , cos , cos , 3 3 cos , sin . a m b m c m d m q m i t I t i t I t i t I t i t I t i t I t                              (4.15) On the other hand, one gets from equation (2.13) that          1 1 2 2 3 3 cos , sin . 4.16 2 2 d m q m n n i t I t i t I t n n        Comparing equations (2.15) and (2.16) gives, using (2.14): 1 2 2 1 K . 3 2 o n and n   (4.17) Using (4.17), it follows from (4.13) that the (amplitude preservation-based) Park transformation    dqo abci P i       is entirely characterized by the following matrix:         2 4 cos cos cos 3 3 2 2 4 sin sin sin . 4.18 3 3 3 1 1 1 2 2 2 P                                                         The inverse transformation, that is,     1 abc dqoi P i         , is characterized by the inverse Park matrix,       1 cos sin 1 2 2 cos sin 1 . 3 3 4 4 cos sin 1 3 3 P                                                         (4.19) The particular value, ψ = 0, yields the so-called Clarke matrices
  • 14.
    INDUCTION MOTOR MODELINGAND APPLICATIONS Dept of Electrical and Electronics 14       1 1 1 1 1 1 0 2 2 2 2 3 3 2 1 3 1 0 , . 4.20 3 2 2 3 2 2 2 1 1 1 1 3 1 2 2 2 2 2 2 C C                                          4.2.5 Two-Phase Models of Induction Motors Equations (4.1)–(4.4), and (4.10) get simplified by applying the Park transformation defined by the matrix (4.27). Roughly, all mathematical relationships initially expressed in terms of the triphase frame (a, b, c) are rewritten in terms of (d, q, o). The perfect symmetry of the induction motor implies that the sum of the currents carried by the rotor and the sum of those carried by the stator are both null. Then, the corresponding homopolar currents (i.e. the components along the axis o) are null . It turns out that, in the new frame (d, q), the initial electromagnetic system (4.1), and (4.2), consisting of six equations, boils down to a simpler system, consisting of only four equations. As mentioned earlier, the angle ψ in (4.27) is a free parameter assuming several possible choices. This entails several variants of the two-coordinate frame (d, q). The two most common in the literature are the following: • The fixed reference frame (α, β), connected to the stator. • The rotating reference frame (d, q), linked to, for example, the rotor flux or the stator current. The passage from the triphase frame (a, b, c) to the fixed (α, β) frame is accomplished by choosing the transformation angle ψ, in the transformation matrix (4.25), as follows: • Set ψ = 0, for the transformation of the stator variables. • Set ψ = θ, for the transformation of the rotor variables. The passage from the triphase frame (a, b, c) to the rotating frame (d, q) is accomplished by choosing the transformation angle ψ as follows: • Set ψ = s , for the transformation of stator variables. • Set ψ = r = s − θ, for the transformation of the rotor variables.
  • 15.
    INDUCTION MOTOR MODELINGAND APPLICATIONS Dept of Electrical and Electronics 15 Figure 4.2 Angles between electric frames 4.2.6 Electric Equations in d-q Coordinates Following the above rules, the passage from the tri-phase frame (a, b, c) to the (d, q) frame necessitates the following transformations of the electric variables (Figure 4.2):              , , , 4.29 sd sd sd s sabc s sabc s sabc sq sq sq v i P v P i P v i                                                  , , . 4.30 rd rd rd r rabc r rabc r rabc rq rq rq v i P v P i P v i                                     Applying the transformations (4.29) and (4.30) to the induction machine equations (4.1) and (4.2), yields the following (d, q) equations:
  • 16.
    INDUCTION MOTOR MODELINGAND APPLICATIONS Dept of Electrical and Electronics 16  , 4.31 , sd sd s sd s sq sq sq s sq s sd d v R i dt d v R i dt                 4.32 ( ) , 4.33 ( rd rd r rd s r rq rq rq r rq s d v R i dt d v R i dt                 ) , 4.34r rd Where, , .s s m d d dt dt      4.2.7 Flux Equations in d-q Coordinates Similarly, the passage from the triphase frame (a, b, c) to the (d, q) frame necessitates the following transformations of the fluxes:             4.35 4.36 sdq s sabc rdq r rabc P P                     Using the flux-current expressions (4.3) and (4.4), the couple of equations (4.35) and (4.36) develops as follows: At the stator:          ,sdq s s sabc s rabcP L i P Lm i             Which implies, using (4.29)             1 1 .sdq s s s sdq s r rdqP L P i P Lm P i                                 At the rotor, one has          ,rdq r r rabc r sabcP L i P Lm i             Which implies, due to (4.30) The obtained flux equations in the (d, q) frame can be given the more compact forms             1 1 .rdq r r r rdq r s sdqP L P i P Lm P i                                
  • 17.
    INDUCTION MOTOR MODELINGAND APPLICATIONS Dept of Electrical and Electronics 17        , ,sdq s sdq rdq rdq r rdq sdqL i Lm i L i Lm i                           With, sL  Stator inductance; rL Rotor inductance; Lm Mutual inductance between the stator and rotor windings. From above equations 4.3 d-q voltage equations Stator winding abc voltage equations (4.34) Where, P d dt  d-q transformation matrix ( 4.35) (4.36) (4.37) [ ] [ ] [ ] [ ] [ ] [ ] sabc sabc s sabc rabc rabc r rabc d V R i dt d V R i dt       [ ] [ ] [ ] [ ] sdq s sdq sr rdq rdq r rdq sr sdq L i M i L i M i       V Pabc abc abc abc s s s sr i    2 2 cos cos cos 3 3 2 2 Tdq sin sin sin 3 3 1 1 1 2 2 2                                                           1 sin cos 0 2 2 sin cos 0 P 3 3 2 2 sin cos 0 3 3 dqo dqo s dqo s d T dt                                                                              1 1 V Pdqo dqo abc dqo s dqo dqo s dqo s dqo sT T T r T i                           1 P dqo dqo sT         
  • 18.
    INDUCTION MOTOR MODELINGAND APPLICATIONS Dept of Electrical and Electronics 18 Substituting above equation (4.37) in (4.36) voltage equation we can get (4.38) Similarly, for rotor   0 1 0 1 0 0 P 0 0 0 dqo dqo dqo dqo dqo r r r r r rV r i                (4.39) Where, 4.4 Voltage equation: The stator and rotor voltage equations after d-q transformation can be given as follows. ( ) ( ) sd sd s sd s sq sq sq s sq s sd rq rd r rd s r rq rq rq r rq s r rd d V R i dt d V R i dt d V R i dt d V R i dt                             (4.37) Where, 4.5 Current equations Substituting above equations (4.37) we can derive these current equations for rotor and stator d-q axis Stator d-q currents (4.38) , Synchronous Speed and , Synchronous Speeds s m d d dt dt      1 [ ] [ ] sd sd rd s sd s sr s sq sr rq s s s s sq sq s sq rqsr s s sd sr rd s s s s di V di R i M L i M i dt L L dt L L di V R i diM L i M i dt L L L dt L             0 1 0 1 0 0 P 0 0 0 dqo dqo dqo dqo dqo s s s s sV r i              1 0 0 0 1 0 0 0 1 dqo s sr r          d dt   
  • 19.
    INDUCTION MOTOR MODELINGAND APPLICATIONS Dept of Electrical and Electronics 19 Rotor d-q currents ( ) [ ] ( ) [ ] rd rd sr sd s rr rd r rq sr sq r r r r rq rq r rq sqsr s r r rd sr sd r r r r di V M diR i L i M i dt L L L dt L di V R i diM L i M i dt L L L dt L                 (4.39) 4.6 Efficiency The relationship between input power and output power can be derived as follows. Shaft power output o e rP   Mechanical power developed P ( )md o rF   Rotor copper loss P 1 rc md s P s        Input to motor P P P Pi md rc sc   Hence, the expression for efficiency is given by, % Efficiency= P 100 Pi o  (4.40) 4.7 Power factor The expression for power factor for an Induction motor is given by, Power factor   22 r R R sX   where, 2r r rX f L (4.41) 120 r r N P f  4.8 Flux equations Similarly, the direct axis and quadrature axis flux equations are given by, qs s qs m qr ds s ds m dr qr s qr m qs dr s dr m ds L i L i L i L i L i L i L i L i             (4.42)
  • 20.
    INDUCTION MOTOR MODELINGAND APPLICATIONS Dept of Electrical and Electronics 20 4.9 Speed and Slip The relationship between rotor speed and torque is given by, P ( ) 2J r e l    ( 4.43) Hence the, slip‘s’ can be given by, e r e s      (4.44)
  • 21.
    INDUCTION MOTOR MODELINGAND APPLICATIONS Dept of Electrical and Electronics 21 Chapter-5 5. Simulation Using mathematical modeling discussed in previous chapter, the blocks are built in Simulink software to realize the derived mathematical equations. In the following section we briefly discuss about each block. 5.1 Park transformation A 3- phase ac supply is converted into 2 ph d-q co-ordinates as shown.(reference eq 4.20) Fig. 5.1 Park’s transformation blocks 5.2 Speed and slip blocks The speed and slip can be calculated from the following blocks shown.(eq 4.43 and 4.44 ) Fig. 5.2.Speed and slip blocks
  • 22.
    INDUCTION MOTOR MODELINGAND APPLICATIONS Dept of Electrical and Electronics 22 5.3 Current calculations From above current stator d axis equations 1 [ ]sd sd rd s sd s sr s sq sr rq s s s s di V di R i M L i M i dt L L dt L L       Similarly all the currents can be calculated using this basic block Fig. 5.3 Current block for isd 5.4 Power factor block From the rotor speed output and slip, the power factor can be calculated as follows, ( eq 4.41) Fig. 5.4.1 Power Factor block
  • 23.
    INDUCTION MOTOR MODELINGAND APPLICATIONS Dept of Electrical and Electronics 23 Fig 5.4.2 Power factor block with effect of variation of temperature 5.5 Torque block Using d-q currents and mutual inductance, torque is calculated where load torque put on motor which is in positive or negative quantity for sudden increase or sudden decrease of load and some friction is also considered. Fig. 5.5 torque block
  • 24.
    INDUCTION MOTOR MODELINGAND APPLICATIONS Dept of Electrical and Electronics 24 5.6 Inverse parks transformation 3 ph ac quantities can be re-obtain from d-q quantities by using inverse park transformations. Fig. 5.6 inverse parks transformation block Motor ratings The induction motor chosen for the simulation studies has the following parameters 20 hp, 460V, 50Hz, 3 Induction motor with the following equivalent circuit parameters Table.1: induction motor parameter table Parameters Values No of poles 4 Reference speed 500 rpm Stator resistance 0.087 Ω Rotor resistance 0.187 Ω Inductance of motor 0.04 H Inductance of stator 0.0425 H Inductance of rotor 0.043 H Friction 10 Stator copper loss 700 W Temperature coefficient 3.9*10-3 Ω/o C
  • 25.
    INDUCTION MOTOR MODELINGAND APPLICATIONS Dept of Electrical and Electronics 25 5.7 Simulation Results Results of simulations are obtained under normal operating conditions Fig. 5.7.1 Torque characteristics Fig. 5.7.2 Speed characteristics
  • 26.
    INDUCTION MOTOR MODELINGAND APPLICATIONS Dept of Electrical and Electronics 26 Fig. 5.7.3 Variation of Efficiency w.r.t Time Fig. 5.7.4 Variation of Power Factor w.r.t Time Fig. 5.7.5 Variation of Slip w.r.t Time
  • 27.
    INDUCTION MOTOR MODELINGAND APPLICATIONS Dept of Electrical and Electronics 27 Fig. 5.7.6 Variation of Torque developed w.r.t Time Fig. 5.7.7 Variation of Slip w.r.t Torque
  • 28.
    INDUCTION MOTOR MODELINGAND APPLICATIONS Dept of Electrical and Electronics 28 Fig. 5.7.8 Variation of Speed w.r.t Torque Fig. 5.7.9 Variation of rotor currents w.r.t time
  • 29.
    INDUCTION MOTOR MODELINGAND APPLICATIONS Dept of Electrical and Electronics 29 Fig. 5.7.10 Variation of Flux w.r.t Time Fig. 5.7.11 Variation of currents w.r.t Time
  • 30.
    INDUCTION MOTOR MODELINGAND APPLICATIONS Dept of Electrical and Electronics 30 Chapter 6 6. Application The mathematical modeling of Induction motor can be used for various control and estimation applications. We consider the application of fault detection and analysis of effect of temperature variation on Induction motor parameters. 1) Fault detection Firstly, we discuss the application of fault detection in which a sudden load is applied for very short duration of time, when Induction motor is at steady state. Then its effect on torque, speed, current, slip, and flux are observed. The basic principle of fault detection is to compare the Induction motor system parameters continuously with the standard reference values for that particular operating condition. When, any of the parameter exceeds the limit, the fault is identified. The following simulation results show that, the load is applied for duration of 1 second. The effect is observed in terms of a sudden change in toque and speed. Fig. 6.1 Torque characteristics Fig. 6.2 Speed characteristics
  • 31.
    INDUCTION MOTOR MODELINGAND APPLICATIONS Dept of Electrical and Electronics 31 Fig. 6.3 Characteristics d-q axis currents Fig. 6.4 Variation Rotor Current of time Fig. 6.5 Variaton of Flux w.r.t Time
  • 32.
    INDUCTION MOTOR MODELINGAND APPLICATIONS Dept of Electrical and Electronics 32 Fig 6.6 Variation of power factor It can be observed that, from graph 6.1 the torque curve deviates from its stable path towards unstable path when a sudden load is applied. Also, the speed reaches beyond the reference value. Hence, as a consequence, the Induction motor rotor current increases rapidly. By comparing the currents with reference (Fig 5.7.11) the fault can be identified. 2) Analysis of effect of temperature variation on Induction motor parameters. As rotor conductors are having finite resistance, the heat is produced when current flows continuously through windings. Thus, the effect of change in temperature can be observed immediately on, change in resistance of the windings. This causes change in currents, fluxes, and power factor. Analysis is carried out to investigate the effect of change in temperature on Induction motor parameters. The resistance is made to increase along with increase in temperature. And its consequent effect is observed on above mentioned parameters. Fig. 6.6 Variation of Torque w.r.t Time
  • 33.
    INDUCTION MOTOR MODELINGAND APPLICATIONS Dept of Electrical and Electronics 33 Fig. 6.7 Variation of Speed w.r.t Time Fig. 6.8 Variation of Power Factor w.r.t Time Fig. 6.10 Variation of Flux w.r.t Time
  • 34.
    INDUCTION MOTOR MODELINGAND APPLICATIONS Dept of Electrical and Electronics 34 Fig. 6.11 Variation of currents w.r.t Time From the above observations, it can be concluded that, there is a considerable change in the rotor current and flux. Also the power factor changes significantly when there occurs a temperature change in the system.
  • 35.
    INDUCTION MOTOR MODELINGAND APPLICATIONS Dept of Electrical and Electronics 35 Chapter 7 7. Conclusion and Future Scope In this approach, implementation of modular Simulink model for induction machine simulation has been introduced. Unlike most other induction machine model implementations, with this model, the user has access to all the internal variables for getting an insight into the machine operation. Any machine control algorithm can be simulated in the Simulink environment with this model, without actually using sensors. Individual parameter equations are solved in each block. The operation of the model is to simulate dynamic model of induction motor with torque, speed, power factor, slip, efficiency, flux with variation in load and temperature. A block model approach was used in the construction of the motor model that allows all motor parameters to be easily accessed for monitoring and comparison purposes. The model can be used to study the dynamic behavior of the induction motor, or can be used in various motor-drive topologies with minor modifications. New subsystems can be added to the model presented to implement various types of control schemes. Finally, the analysis made in the project work is extremely helpful from design prospective. Future scope: 1) Controller can be designed to obtain desired speed automatically with changing loading conditions. 2) Kalman Estimator can be designed for accurate estimation applications. 3) Hardware implementation can be done.