IImmaaggee EEnnhhaanncceemmeenntt aanndd IInntteerrpprreettaattiioonn 
Mahesh Kumar Jat 
Mahesh Kumar Jat 
Department of Civil Engineering 
Department of Civil Engineering 
Malaviya National Institute of Technology, 
Malaviya National Institute of Technology, 
Jaipur 
Jaipur
IImmaaggee EEnnhhaanncceemmeenntt 
 Reduction 
 Magnification 
 Spatial Profiles 
 Spectral Profiles 
 Ratioing 
 Contrast Stretching 
 Frequency Filtering 
 Edge Enhancement 
 Vegetation Indices 
 Texture 
 Reduction 
 Magnification 
 Spatial Profiles 
 Spectral Profiles 
 Ratioing 
 Contrast Stretching 
 Frequency Filtering 
 Edge Enhancement 
 Vegetation Indices 
 Texture
Integer Image 
Reduction 
Integer Image 
Reduction
Integer Image 
Reduction 
Integer Image 
Reduction
Integer Image 
Magnification 
Integer Image 
Magnification
Integer Image 
Magnification 
Integer Image 
Magnification
Integer Image 
Magnification 
Integer Image 
Magnification
BBaanndd RRaattiiooiinngg 
i j k 
i j ratio BV 
, , 
i j l 
BV 
BV 
, , 
, , = 
where: 
- BVi,j,k is the original input brightness value in band k 
- BVi,j,l is the original input brightness value in band l 
- BVi,j,ratio is the ratio output brightness value 
where: 
- BVi,j,k is the original input brightness value in band k 
- BVi,j,l is the original input brightness value in band l 
- BVi,j,ratio is the ratio output brightness value
BBaanndd RRaattiiooiinngg 
Ratio values within the range 1/255 to 1 are assigned 
values between 1 and 128 by the function: 
Ratio values within the range 1/255 to 1 are assigned 
values between 1 and 128 by the function: 
[( 127) 1] , , , , = ´ + i j n i j r BV Int BV 
Ratio values from 1 to 255 are assigned values within 
the range 128 to 255 by the function: 
Ratio values from 1 to 255 are assigned values within 
the range 128 to 255 by the function: 
ö 
÷ ÷ø 
æ 
ç çè 
128 , , 
= + 
2 
, , 
i j r 
i j n 
BV 
BV Int
Band Ratioing 
of Charleston, 
SC Landsat 
Thematic 
Mapper Data 
Band Ratioing 
of Charleston, 
SC Landsat 
Thematic 
Mapper Data
BBaanndd RRaattiioo IImmaaggee 
Landsat TM 
Band 4 / Band 3 
Landsat TM 
Band 4 / Band 3
Band 
Ratio 
Band 
Ratio 
SPOT HRV 
Band 3 / Pan 
SPOT HRV 
Band 3 / Pan
Band 
Ratio 
Band 
Ratio 
Landsat TM 
Band 40 / 
Band 15 
Landsat TM 
Band 40 / 
Band 15
Spatial Profile 
-Transect- 
Spatial Profile 
-Transect- 
22000044
Spatial Profile 
-Transect- 
Spatial Profile 
-Transect- 
22000044
Spectral Profile 
of SPOT 20 x 20 m 
Multispectral Data of 
Marco Island, Florida 
Spectral Profile 
of SPOT 20 x 20 m 
Multispectral Data of 
Marco Island, Florida 
22000044
Spectral Profile 
of HYMAP 3 x 3 m 
Hyperspectral Data of 
Debordieu Colony near 
Spectral Profile 
of HYMAP 3 x 3 m 
Hyperspectral Data of 
Debordieu Colony near 
North Inlet, SC 
North Inlet, SC 
22000044
SSttaannddaarrdd DDeevviiaattiioonn CCoonnttrraasstt SSttrreettcchh
Common 
Common 
Symmetric and 
Symmetric and 
Skewed 
Skewed 
Distributions in 
Remotely Sensed 
Distributions in 
Remotely Sensed 
Data 
Data
Min-Max 
Contrast 
Stretch 
Min-Max 
Contrast 
Stretch 
+1 Standard 
Deviation 
Contrast 
Stretch 
+1 Standard 
Deviation 
Contrast 
Stretch
Linear Contrast Enhancement: 
Linear Contrast Enhancement: 
Minimum- Maximum Contrast Stretch 
Minimum- Maximum Contrast Stretch 
k 
BV = BV - 
min 
in k 
÷ø 
quant ÷ out k k 
ö 
ç çè æ 
- 
max min 
where: 
- BVin is the original input brightness value 
- quantk is the range of the brightness values that can be 
where: 
- BVin is the original input brightness value 
- quantk is the range of the brightness values that can be 
displayed on the CRT (e.g., 255), 
displayed on the CRT (e.g., 255), 
- mink is the minimum value in the image, 
- maxk is the maximum value in the image, and 
- BVout is the output brightness value 
- mink is the minimum value in the image, 
- maxk is the maximum value in the image, and 
- BVout is the output brightness value
Linear Contrast Enhancement: 
Linear Contrast Enhancement: 
Minimum- Maximum Contrast Stretch 
Minimum- Maximum Contrast Stretch 
min 
ö 
255 255 
4 4 
= - 
105 4 
ö 105 4 
çè 
255 0 
105 4 
max min 
= ÷ø 
æ 
- 
= ÷ ÷ø 
ç çè æ 
- 
= - 
in 
BV 
out 
in 
out 
BV 
All other original brightness values 
between 5 and 104 are linearly 
distributed between 0 and 255. 
All other original brightness values 
between 5 and 104 are linearly 
distributed between 0 and 255.
Min-Max 
Contrast 
Stretch 
Min-Max 
Contrast 
Stretch 
+1 Standard 
Deviation 
Contrast 
Stretch 
+1 Standard 
Deviation 
Contrast 
Stretch
Contrast Stretch of 
Charleston, SC Landsat 
Contrast Stretch of 
Charleston, SC Landsat 
Thematic Mapper Band 4 Data 
Thematic Mapper Band 4 Data 
OOrirgigininaal l 
Minimum-maximum 
Minimum-maximum 
+1 standard 
deviation 
+1 standard 
deviation
Contrast Stretching of Charleston, SC 
Landsat Thematic Mapper Band 4 Data 
Contrast Stretching of Charleston, SC 
Landsat Thematic Mapper Band 4 Data 
Specific percentage 
linear contrast stretch 
designed to highlight 
Specific percentage 
linear contrast stretch 
designed to highlight 
wetland 
wetland 
HHisistotoggraramm E Eqquuaalilzizaatitoionn
Contrast Stretching of Predawn 
Thermal Infrared Data of the 
Contrast Stretching of Predawn 
Thermal Infrared Data of the 
the Savannah River 
the Savannah River 
OOrirgigininaal l 
Minimum-maximum 
Minimum-maximum 
+1 standard 
deviation 
+1 standard 
deviation
Specific percentage 
linear contrast stretch 
designed to highlight the 
Specific percentage 
linear contrast stretch 
designed to highlight the 
thermal plume 
thermal plume 
HHisistotoggraramm E Eqquuaalilzizaatitoionn 
Contrast Stretching of Predawn Thermal 
Infrared Data of the the Savannah River 
Contrast Stretching of Predawn Thermal 
Infrared Data of the the Savannah River
NNoonn--lliinneeaarr CCoonnttrraasstt SSttrreettcchhiinngg 
PPiieecceewwiissee
Piecewise Linear 
Contrast Stretching 
Piecewise Linear 
Contrast Stretching
NNoonn--lliinneeaarr CCoonnttrraasstt SSttrreettcchhiinngg 
Logarithmic and 
Inverse Log 
Logarithmic and 
Inverse Log
Spatial Filtering to Enhance Low- and 
High-Frequency Detail and Edges 
Spatial Filtering to Enhance Low- and 
High-Frequency Detail and Edges 
A characteristics of remotely sensed 
images is a parameter called spatial 
frequency, defined as the number of 
changes in brightness value per unit 
distance for any particular part of an 
image. 
A characteristics of remotely sensed 
images is a parameter called spatial 
frequency, defined as the number of 
changes in brightness value per unit 
distance for any particular part of an 
image.
Spatial Filtering to Enhance Low- and 
High-Frequency Detail and Edges 
Spatial Filtering to Enhance Low- and 
High-Frequency Detail and Edges 
Spatial frequency in remotely sensed imagery may be 
enhanced or subdued using two different approaches: 
Spatial frequency in remotely sensed imagery may be 
enhanced or subdued using two different approaches: 
- Spatial convolution filtering based primarily on the 
use of convolution masks, and 
- Spatial convolution filtering based primarily on the 
use of convolution masks, and 
- Fourier analysis which mathematically separates an 
image into its spatial frequency components. 
- Fourier analysis which mathematically separates an 
image into its spatial frequency components.
SSppaattiiaall CCoonnvvoolluuttiioonn FFiilltteerriinngg 
A linear spatial filter is a filter for which the brightness 
value (BVi,j,out) at location i,j in the output image is a 
function of some weighted average (linear 
combination) of brightness values located in a 
particular spatial pattern around the i,j location in the 
input image. 
A linear spatial filter is a filter for which the brightness 
value (BVi,j,out) at location i,j in the output image is a 
function of some weighted average (linear 
combination) of brightness values located in a 
particular spatial pattern around the i,j location in the 
input image. 
The process of evaluating the weighted neighboring 
pixel values is called two-dimensional convolution 
filtering. 
The process of evaluating the weighted neighboring 
pixel values is called two-dimensional convolution 
filtering.
SSppaattiiaall CCoonnvvoolluuttiioonn FFiilltteerriinngg 
The size of the neighborhood convolution mask or 
kernel (n) is usually 3 x 3, 5 x 5, 7 x 7, or 9 x 9. 
The size of the neighborhood convolution mask or 
kernel (n) is usually 3 x 3, 5 x 5, 7 x 7, or 9 x 9. 
We will constrain our discussion to 3 x 3 convolution 
masks with nine coefficients, ci, defined at the 
following locations: 
We will constrain our discussion to 3 x 3 convolution 
masks with nine coefficients, ci, defined at the 
following locations: 
c1 c2 c3 
c1 c2 c3 
Mask template = c4 c5 c6 
Mask template = c4 c5 c6 
c7 c8 c9 
c7 c8 c9 
1 1 1 
1 1 1 
1 1 1
SSppaattiiaall CCoonnvvoolluuttiioonn FFiilltteerriinngg 
The coefficients, c1, in the mask are multiplied by the 
following individual brightness values (BVi) in the 
input image: 
The coefficients, c1, in the mask are multiplied by the 
following individual brightness values (BVi) in the 
input image: 
c1 x BV1 c2 x BV2 c3 x BV3 
c1 x BV1 c2 x BV2 c3 x BV3 
Mask template = c4 x BV4 c5 x BV5 c6 x BV6 
Mask template = c4 x BV4 c5 x BV5 c6 x BV6 
c7 x BV7 c8 x BV8 c9 x BV9 
c7 x BV7 c8 x BV8 c9 x BV9 
The primary input pixel under investigation at any one 
time is BV5 = BVi,j 
The primary input pixel under investigation at any one 
time is BV5 = BVi,j
Various 
Convolution 
Various 
Convolution 
Mask 
Kernels 
Mask 
Kernels
Spatial Convolution Filtering: 
Spatial Convolution Filtering: 
Low Frequency Filter 
Low Frequency Filter 
ö 
æ 
9 
1 
c x BV 
n 
ö çè= æ + + + 
÷ø 
÷ ÷ ÷ ÷ 
ø 
ç ç ç ç 
è 
= 
å= 
int ... 
9 
int 
1 2 3 9 
5, 
BV BV BV BV 
LFF 
i 
i 
i 
out 
1 
1 
1 
1 
1 
1 
1 
1 
1
LLooww PPaassss FFiilltteerr 
3 = 27 
9 
4 = 36 
9 
5 = 45 
9
Spatial 
Frequency 
Filtering 
Spatial 
Frequency 
Filtering
Spatial Convolution Filtering: 
Spatial Convolution Filtering: 
Median Filter 
Median Filter 
A median filter has certain advantages when compared 
with weighted convolution filters, including: 1) it does 
not shift boundaries, and 2) the minimal degradation to 
edges allows the median filter to be applied repeatedly 
which allows fine detail to be erased and large regions 
to take on the same brightness value (often called 
posterization). 
A median filter has certain advantages when compared 
with weighted convolution filters, including: 1) it does 
not shift boundaries, and 2) the minimal degradation to 
edges allows the median filter to be applied repeatedly 
which allows fine detail to be erased and large regions 
to take on the same brightness value (often called 
posterization).
Spatial 
Frequency 
Filtering 
Spatial 
Frequency 
Filtering
Spatial Convolution Filtering: 
Minimum or Maximum Filters 
Spatial Convolution Filtering: 
Minimum or Maximum Filters 
Operating on one pixel at a time, these filters examine 
the brightness values of adjacent pixels in a user-specified 
Operating on one pixel at a time, these filters examine 
the brightness values of adjacent pixels in a user-specified 
radius (e.g., 3 x 3 pixels) and replace the 
radius (e.g., 3 x 3 pixels) and replace the 
brightness value of the current pixel with the minimum 
or maximum brightness value encountered, respectively. 
brightness value of the current pixel with the minimum 
or maximum brightness value encountered, respectively.
Spatial 
Frequency 
Filtering 
Spatial 
Frequency 
Filtering
Spatial Convolution Filtering: 
Spatial Convolution Filtering: 
High Frequency Filter 
High Frequency Filter 
High-pass filtering is applied to imagery to remove the 
slowly varying components and enhance the high-frequency 
High-pass filtering is applied to imagery to remove the 
slowly varying components and enhance the high-frequency 
local variations. One high-frequency filter 
local variations. One high-frequency filter 
(HFF5,out) is computed by subtracting the output of the 
low-frequency filter (LFF5,out) from twice the value of 
the original central pixel value, BV5: 
(HFF5,out) is computed by subtracting the output of the 
low-frequency filter (LFF5,out) from twice the value of 
the original central pixel value, BV5: 
out out HFF x BV LFF 5, 5 5, = (2 ) -
Spatial 
Frequency 
Filtering 
Spatial 
Frequency 
Filtering
Spatial Convolution Filtering: 
Unequal-weighted smoothing Filter 
Spatial Convolution Filtering: 
Unequal-weighted smoothing Filter 
0.25 0.50 0.25 
0.50 1 0.50 
0.25 0.50 0.25 
1 1 1 
1 2 1 
1 1 1
Spatial Convolution Filtering: 
Spatial Convolution Filtering: 
Edge Enhancement 
Edge Enhancement 
For many remote sensing Earth science applications, the 
most valuable information that may be derived from an 
image is contained in the edges surrounding various 
objects of interest. Edge enhancement delineates these 
edges and makes the shapes and details comprising the 
image more conspicuous and perhaps easier to analyze. 
Edges may be enhanced using either linear or nonlinear 
edge enhancement techniques. 
For many remote sensing Earth science applications, the 
most valuable information that may be derived from an 
image is contained in the edges surrounding various 
objects of interest. Edge enhancement delineates these 
edges and makes the shapes and details comprising the 
image more conspicuous and perhaps easier to analyze. 
Edges may be enhanced using either linear or nonlinear 
edge enhancement techniques.
Spatial Convolution Filtering: Directional 
First-Difference Linear Edge Enhancement 
Spatial Convolution Filtering: Directional 
First-Difference Linear Edge Enhancement 
Vertical = BV - BV + 
K 
i j i j 
, , 1 
Horizontal = BV - BV + 
K 
i , j i 1, 
j 
NE Diagonal = BV - BV + 
K 
i j i j 
+ + 
, 1, 1 
SE Diagonal = BV - BV + 
K 
i j i j 
- + 
- 
+ 
, 1, 1 
The result of the subtraction can be either negative or 
possible, therefore a constant, K (usually 127) is added to 
make all values positive and centered between 0 and 255 
The result of the subtraction can be either negative or 
possible, therefore a constant, K (usually 127) is added to 
make all values positive and centered between 0 and 255
Spatial Convolution Filtering: High-pass 
Filters that Accentuate or Sharpen Edges 
Spatial Convolution Filtering: High-pass 
Filters that Accentuate or Sharpen Edges 
-1 -1 -1 
-1 9 -1 
-1 -1 -1 
1 -2 1 
-2 5 -2 
1 -2 1
Spatial Convolution Filtering: 
Spatial Convolution Filtering: 
Linear Edge Enhancement - Embossing 
Linear Edge Enhancement - Embossing 
0 0 0 
1 0 -1 
0 0 0 
EEmmbboossss EEaasstt 
0 0 1 
0 0 0 
-1 0 0 
EEmmbboossss NNWW
Spatial 
Frequency 
Filtering 
Spatial 
Frequency 
Filtering
Spatial Convolution Filtering: 
Spatial Convolution Filtering: 
Compass Gradient Masks 
Compass Gradient Masks 
1 1 1 
1 -2 1 
-1 -1 -1 
NNoorrtthh 
1 1 1 
-1 -2 1 
-1 -1 1 
NNoorrtthheeaasstt 
-1 1 1 
-1 -2 1 
-1 1 1 
EEaasstt
Spatial 
Frequency 
Filtering 
Spatial 
Frequency 
Filtering
Spatial Convolution Filtering: 
Spatial Convolution Filtering: 
Edge Enhancement Using 
Laplacian Convolution Masks 
Edge Enhancement Using 
Laplacian Convolution Masks 
The Laplacian is a second derivative (as opposed to the 
gradient which is a first derivative) and is invariant to 
rotation, meaning that it is insensitive to the direction in 
which the discontinuities (point, line, and edges) run. 
The Laplacian is a second derivative (as opposed to the 
gradient which is a first derivative) and is invariant to 
rotation, meaning that it is insensitive to the direction in 
which the discontinuities (point, line, and edges) run.
Spatial Convolution Filtering: 
Laplacian Convolution Masks 
Spatial Convolution Filtering: 
Laplacian Convolution Masks 
0 -1 0 
-1 4 -1 
0 -1 0 
-1 -1 -1 
-1 8 -1 
-1 -1 -1 
1 -2 1 
-2 4 -2 
1 -2 1
Spatial 
Frequency 
Filtering 
Spatial 
Frequency 
Filtering
Spatial Convolution Filtering: Edge 
Spatial Convolution Filtering: Edge 
Enhancement Using Laplacian Convolution Masks 
Enhancement Using Laplacian Convolution Masks 
The following Laplacian operator may be used to subtract 
the Laplacian edges from the original image: 
The following Laplacian operator may be used to subtract 
the Laplacian edges from the original image: 
1 1 1 
1 -7 1 
1 1 1
Spatial Convolution Filtering: Edge 
Spatial Convolution Filtering: Edge 
Enhancement Using Laplacian Convolution Masks 
Enhancement Using Laplacian Convolution Masks 
By itself, the Laplacian image may be difficult to interpret. 
Therefore, a Laplacian edge enhancement may be added back to the 
original image using the following mask: 
By itself, the Laplacian image may be difficult to interpret. 
Therefore, a Laplacian edge enhancement may be added back to the 
original image using the following mask: 
0 -1 0 
-1 5 -1 
0 -1 0
Spatial 
Frequency 
Filtering 
Spatial 
Frequency 
Filtering
Spatial Convolution Filtering: Non-linear 
Edge Enhancement Using the Sobel Operator 
Spatial Convolution Filtering: Non-linear 
Edge Enhancement Using the Sobel Operator 
2 2 
Sobel = X + 
Y out 
( ) ( ) 
( ) ( ) 1 2 3 7 8 9 
X = BV + 2 BV + BV - BV + 2 
BV + 
BV 
3 6 9 1 4 7 
5, 
Y BV 2 BV BV BV 2 
BV BV 
where 
= + + - + + 
1 
2 
4 
7 8 
3 
6 
9 
order
The Sobel operator may also be computed by 
simultaneously applying the following 3 x 3 
The Sobel operator may also be computed by 
simultaneously applying the following 3 x 3 
templates across the image: 
templates across the image: 
-1 0 1 
-2 0 2 
-1 0 1 
1 2 1 
0 0 0 
-1 -2 -1 
XX == YY = =
Spatial 
Frequency 
Filtering 
Spatial 
Frequency 
Filtering
Spatial Convolution Filtering: Non-linear Edge 
Enhancement Using the Robert’’s Edge Detector 
Spatial Convolution Filtering: Non-linear Edge 
Enhancement Using the Robert’’s Edge Detector 
The Robert’’s edge detector is based on the 
use of only four elements of a 3 x 3 mask. 
The Robert’’s edge detector is based on the 
use of only four elements of a 3 x 3 mask. 
Roberts X Y 5, 
out 
X = BV - 
BV 
5 9 
Y BV BV 
6 8 
where 
= - 
= + 
1 
2 
4 
7 8 
3 
6 
9 
order 
5
Spatial 
Frequency 
Filtering 
Spatial 
Frequency 
Filtering
The Robert’s Edge operator may also be 
computed by simultaneously applying the 
following 3 x 3 templates across the image: 
The Robert’s Edge operator may also be 
computed by simultaneously applying the 
following 3 x 3 templates across the image: 
0 0 0 
0 1 0 
0 0 -1 
0 0 0 
0 0 1 
0 -1 0 
XX == YY = =
Spatial Convolution Filtering: Non-linear Edge 
Enhancement Using the Kirsch Edge Detector 
Spatial Convolution Filtering: Non-linear Edge 
Enhancement Using the Kirsch Edge Detector 
The Kirsch nonlinear edge enhancement 
calculates the gradient at pixel location BVi,j 
. To apply this operator, however, it is first 
necessary to designate a different 3 x 3 
window numbering scheme. 
The Kirsch nonlinear edge enhancement 
calculates the gradient at pixel location BVi,j 
. To apply this operator, however, it is first 
necessary to designate a different 3 x 3 
window numbering scheme. 
BV0 BV1 BV2 
BV0 BV1 BV2 
Kirsh window = BV7 BVi,j BV3 
Kirsh window = BV7 BVi,j BV3 
BV6 BV5 BV4 
BV6 BV5 BV4
Spatial Convolution Filtering: Non-linear Edge 
Enhancement Using the Kirsch Edge Detector 
Spatial Convolution Filtering: Non-linear Edge 
Enhancement Using the Kirsch Edge Detector 
î í ì - = 
[ ( )] 
7 
BV Abs S T 
, 0 max 1,max 5 3 
i j i = 
i i 
S = BV + BV + 
Bv 
i i i i 
+ + 
1 2 
T = BV + BV + Bv + BV + 
Bv 
þ ý ü 
i i i i i i 
+ + + + + 
3 4 5 6 7 
where 
The subscripts of BV are evaluated modulo 8, meaning that the computation moves 
around the perimeter of the mask in eight steps. The edge enhancement computes 
the maximal compass gradient magnitude about input image points although the 
input pixel value BVi,j is never used in the computation 
The subscripts of BV are evaluated modulo 8, meaning that the computation moves 
around the perimeter of the mask in eight steps. The edge enhancement computes 
the maximal compass gradient magnitude about input image points although the 
input pixel value BVi,j is never used in the computation
Spatial 
Frequency 
Filtering 
Spatial 
Frequency 
Filtering
HHiissttooggrraamm EEqquuaalliizzaattiioonn 
• eevvaalluuaatteess tthhee iinnddiivviidduuaall bbrriigghhttnneessss vvaalluueess iinn aa bbaanndd ooff 
iimmaaggeerryy aanndd aassssiiggnnss aapppprrooxxiimmaatteellyy aann eeqquuaall nnuummbbeerr ooff 
ppiixxeellss ttoo eeaacchh ooff tthhee uusseerr--ssppeecciiffiieedd oouuttppuutt ggrraayy--ssccaallee ccllaasssseess 
((ee..gg..,, 3322,, 6644,, aanndd 225566)).. 
• aapppplliieess tthhee ggrreeaatteesstt ccoonnttrraasstt eennhhaanncceemmeenntt ttoo tthhee mmoosstt 
ppooppuullaatteedd rraannggee ooff bbrriigghhttnneessss vvaalluueess iinn tthhee iimmaaggee.. 
• rreedduucceess tthhee ccoonnttrraasstt iinn tthhee vveerryy lliigghhtt oorr ddaarrkk ppaarrttss ooff tthhee 
iimmaaggee aassssoocciiaatteedd wwiitthh tthhee ttaaiillss ooff aa nnoorrmmaallllyy ddiissttrriibbuutteedd 
hhiissttooggrraamm.. 
• eevvaalluuaatteess tthhee iinnddiivviidduuaall bbrriigghhttnneessss vvaalluueess iinn aa bbaanndd ooff 
iimmaaggeerryy aanndd aassssiiggnnss aapppprrooxxiimmaatteellyy aann eeqquuaall nnuummbbeerr ooff 
ppiixxeellss ttoo eeaacchh ooff tthhee uusseerr--ssppeecciiffiieedd oouuttppuutt ggrraayy--ssccaallee ccllaasssseess 
((ee..gg..,, 3322,, 6644,, aanndd 225566)).. 
• aapppplliieess tthhee ggrreeaatteesstt ccoonnttrraasstt eennhhaanncceemmeenntt ttoo tthhee mmoosstt 
ppooppuullaatteedd rraannggee ooff bbrriigghhttnneessss vvaalluueess iinn tthhee iimmaaggee.. 
• rreedduucceess tthhee ccoonnttrraasstt iinn tthhee vveerryy lliigghhtt oorr ddaarrkk ppaarrttss ooff tthhee 
iimmaaggee aassssoocciiaatteedd wwiitthh tthhee ttaaiillss ooff aa nnoorrmmaallllyy ddiissttrriibbuutteedd 
hhiissttooggrraamm..
Statistics for a 64 x 64 Hypothetical Image 
Statistics for a 64 x 64 Hypothetical Image 
with Brightness Values from 0 to 7 
with Brightness Values from 0 to 7 
44009966 t otototatatall
HHiissttooggrraamm EEqquuaalliizzaattiioonn
Transformation Function, ki for each 
Transformation Function, ki for each 
individual brightness value 
individual brightness value 
For each brightness value level BVi in the quantk 
range of 0 to 7 of the original histogram, a new 
cumulative frequency value ki is calculated: 
For each brightness value level BVi in the quantk 
range of 0 to 7 of the original histogram, a new 
cumulative frequency value ki is calculated: 
( ) å= 
k = 
f BV 
quantk 
i 
i 
i n 
0 
where the summation counts the frequency of pixels 
in the image with brightness values equal to or less 
than BVi, and n is the total number of pixels in the 
where the summation counts the frequency of pixels 
in the image with brightness values equal to or less 
than BVi, and n is the total number of pixels in the 
entire scene (4,096 in this example). 
entire scene (4,096 in this example).
HHiissttooggrraamm EEqquuaalliizzaattiioonn
The histogram equalization process iteratively compares the 
transformation function ki with the original values of li, to determine 
which are closest in value. The closest match is reassigned to the 
appropriate brightness value. 
FFoorr eexxaammppllee,, wwee sseeee tthhaatt kk00 == 00..1199 iiss cclloosseesstt ttoo LL11 == 00..1144.. TThheerreeffoorree,, 
aallll ppiixxeellss iinn BBVV00 ((779900 ooff tthheemm)) wwiillll bbee aassssiiggnneedd ttoo BBVV11.. SSiimmiillaarrllyy,, 
tthhee 11002233 ppiixxeellss iinn BBVV11 wwiillll bbee aassssiiggnneedd ttoo BBVV33,, tthhee 885500 ppiixxeellss iinn BBVV22 
wwiillll bbee aassssiiggnneedd ttoo BBVV55,, tthhee 665566 ppiixxeellss iinn BBVV33 wwiillll bbee aassssiiggnneedd ttoo 
BBVV66,, tthhee 332299 ppiixxeellss iinn BBVV44 wwiillll aallssoo bbee aassssiiggnneedd ttoo BBVV66,, aanndd aallll 444488 
bbrriigghhttnneessss vvaalluueess iinn BBVV55––77 wwiillll bbee aassssiiggnneedd ttoo BBVV77.. TThhee nneeww iimmaaggee 
wwiillll nnoott hhaavvee aannyy ppiixxeellss wwiitthh bbrriigghhttnneessss vvaalluueess ooff 00,, 22,, oorr 44.. TThhiiss iiss 
eevviiddeenntt wwhheenn eevvaalluuaattiinngg tthhee nneeww hhiissttooggrraamm.. WWhheenn aannaallyyssttss sseeee ssuucchh 
ggaappss iinn iimmaaggee hhiissttooggrraammss,, iitt iiss uussuuaallllyy aa ggoooodd iinnddiiccaattiioonn tthhaatt 
hhiissttooggrraamm eeqquuaalliizzaattiioonn oorr ssoommee ootthheerr ooppeerraattiioonn hhaass bbeeeenn aapppplliieedd. 
pr The histogram equalization process iteratively compares the 
transformation function ki with the original values of li, to determine 
which are closest in value. The closest match is reassigned to the 
appropriate brightness value. 
FFoorr eexxaammppllee,, wwee sseeee tthhaatt kk00 == 00..1199 iiss cclloosseesstt ttoo LL11 == 00..1144.. TThheerreeffoorree,, 
aallll ppiixxeellss iinn BBVV00 ((779900 ooff tthheemm)) wwiillll bbee aassssiiggnneedd ttoo BBVV11.. SSiimmiillaarrllyy,, 
tthhee 11002233 ppiixxeellss iinn BBVV11 wwiillll bbee aassssiiggnneedd ttoo BBVV33,, tthhee 885500 ppiixxeellss iinn BBVV22 
wwiillll bbee aassssiiggnneedd ttoo BBVV55,, tthhee 665566 ppiixxeellss iinn BBVV33 wwiillll bbee aassssiiggnneedd ttoo 
BBVV66,, tthhee 332299 ppiixxeellss iinn BBVV44 wwiillll aallssoo bbee aassssiiggnneedd ttoo BBVV66,, aanndd aallll 444488 
bbrriigghhttnneessss vvaalluueess iinn BBVV55––77 wwiillll bbee aassssiiggnneedd ttoo BBVV77.. TThhee nneeww iimmaaggee 
wwiillll nnoott hhaavvee aannyy ppiixxeellss wwiitthh bbrriigghhttnneessss vvaalluueess ooff 00,, 22,, oorr 44.. TThhiiss iiss 
eevviiddeenntt wwhheenn eevvaalluuaattiinngg tthhee nneeww hhiissttooggrraamm.. WWhheenn aannaallyyssttss sseeee ssuucchh 
ggaappss iinn iimmaaggee hhiissttooggrraammss,, iitt iiss uussuuaallllyy aa ggoooodd iinnddiiccaattiioonn tthhaatt 
hhiissttooggrraamm eeqquuaalliizzaattiioonn oorr ssoommee ootthheerr ooppeerraattiioonn hhaass bbeeeenn aapppplliieedd.
Statistics of How a a 64 x 64 Hypothetical Image with 
Brightness Values from 0 to 7 is Histogram Equalized 
Statistics of How a a 64 x 64 Hypothetical Image with 
Brightness Values from 0 to 7 is Histogram Equalized
PPrriinncciippaall CCoommppoonneennttss AAnnaallyyssiiss 
• ttrraannssffoorrmmaattiioonn ooff tthhee rraaww rreemmoottee sseennssoorr ddaattaa uussiinngg PPCCAA 
ccaann rreessuulltt iinn nneeww pprriinncciippaall ccoommppoonneenntt iimmaaggeess tthhaatt mmaayy bbee 
mmoorree iinntteerrpprreettaabbllee tthhaann tthhee oorriiggiinnaall ddaattaa.. 
• mmaayy aallssoo bbee uusseedd ttoo ccoommpprreessss tthhee iinnffoorrmmaattiioonn ccoonntteenntt ooff aa 
nnuummbbeerr ooff bbaannddss ooff iimmaaggeerryy ((ee..gg..,, sseevveenn TThheemmaattiicc MMaappppeerr 
bbaannddss)) iinnttoo jjuusstt ttwwoo oorr tthhrreeee ttrraannssffoorrmmeedd pprriinncciippaall 
ccoommppoonneenntt iimmaaggeess.. TThhee aabbiilliittyy ttoo rreedduuccee tthhee ddiimmeennssiioonnaalliittyy 
((ii..ee..,, tthhee nnuummbbeerr ooff bbaannddss iinn tthhee ddaattaasseett tthhaatt mmuusstt bbee 
aannaallyyzzeedd ttoo pprroodduuccee uussaabbllee rreessuullttss)) ffrroomm nn ttoo ttwwoo oorr tthhrreeee 
bbaannddss iiss aann iimmppoorrttaanntt eeccoonnoommiicc ccoonnssiiddeerraattiioonn,, eessppeecciiaallllyy iiff 
tthhee ppootteennttiiaall iinnffoorrmmaattiioonn rreeccoovveerraabbllee ffrroomm tthhee ttrraannssffoorrmmeedd 
ddaattaa iiss jjuusstt aass ggoooodd aass tthhee oorriiggiinnaall rreemmoottee sseennssoorr ddaattaa.. 
• ttrraannssffoorrmmaattiioonn ooff tthhee rraaww rreemmoottee sseennssoorr ddaattaa uussiinngg PPCCAA 
ccaann rreessuulltt iinn nneeww pprriinncciippaall ccoommppoonneenntt iimmaaggeess tthhaatt mmaayy bbee 
mmoorree iinntteerrpprreettaabbllee tthhaann tthhee oorriiggiinnaall ddaattaa.. 
• mmaayy aallssoo bbee uusseedd ttoo ccoommpprreessss tthhee iinnffoorrmmaattiioonn ccoonntteenntt ooff aa 
nnuummbbeerr ooff bbaannddss ooff iimmaaggeerryy ((ee..gg..,, sseevveenn TThheemmaattiicc MMaappppeerr 
bbaannddss)) iinnttoo jjuusstt ttwwoo oorr tthhrreeee ttrraannssffoorrmmeedd pprriinncciippaall 
ccoommppoonneenntt iimmaaggeess.. TThhee aabbiilliittyy ttoo rreedduuccee tthhee ddiimmeennssiioonnaalliittyy 
((ii..ee..,, tthhee nnuummbbeerr ooff bbaannddss iinn tthhee ddaattaasseett tthhaatt mmuusstt bbee 
aannaallyyzzeedd ttoo pprroodduuccee uussaabbllee rreessuullttss)) ffrroomm nn ttoo ttwwoo oorr tthhrreeee 
bbaannddss iiss aann iimmppoorrttaanntt eeccoonnoommiicc ccoonnssiiddeerraattiioonn,, eessppeecciiaallllyy iiff 
tthhee ppootteennttiiaall iinnffoorrmmaattiioonn rreeccoovveerraabbllee ffrroomm tthhee ttrraannssffoorrmmeedd 
ddaattaa iiss jjuusstt aass ggoooodd aass tthhee oorriiggiinnaall rreemmoottee sseennssoorr ddaattaa..
The spatial relationship between the first two principal components: (a) Scatter-plot of data points collected from 
two remotely bands labeled X1 and X2 with the means of the distribution labeled μ1 and μ2. (b) A new coordinate 
system is created by shifting the axes to an X¢ system. The values for the new data points are found by the 
relationship X1¢ = X1 – μ1 and X2¢ = X2 – μ2. (c) The X¢ axis system is then rotated about its origin (μ1, μ2) so that PC1 is 
projected through the semi-major axis of the distribution of points and the variance of PC1 is a maximum. PC2 must 
be perpendicular to PC1. The PC axes are the principal components of this two-dimensional data space. Component 
1 usually accounts for approximately 90% of the variance, with component 2 accounting for approximately 5%. 
The spatial relationship between the first two principal components: (a) Scatter-plot of data points collected from 
two remotely bands labeled X1 and X2 with the means of the distribution labeled μ1 and μ2. (b) A new coordinate 
system is created by shifting the axes to an X¢ system. The values for the new data points are found by the 
relationship X1¢ = X1 – μ1 and X2¢ = X2 – μ2. (c) The X¢ axis system is then rotated about its origin (μ1, μ2) so that PC1 is 
projected through the semi-major axis of the distribution of points and the variance of PC1 is a maximum. PC2 must 
be perpendicular to PC1. The PC axes are the principal components of this two-dimensional data space. Component 
1 usually accounts for approximately 90% of the variance, with component 2 accounting for approximately 5%.
SSttaattiissttiiccss UUsseedd iinn tthhee PPrriinncciippaall CCoommppoonneennttss AAnnaallyyssiiss
SSttaattiissttiiccss UUsseedd iinn tthhee PPrriinncciippaall CCoommppoonneennttss AAnnaallyyssiiss
1. The n ´ n covariance matrix, Cov, of 
the n-dimensional remote sensing 
data set to be transformed is 
computed. Use of the covariance 
matrix results in an unstandardized 
PCA, whereas use of the 
correlation matrix results in a 
standardized PCA. 
2. The eigenvalues, E = [l1,1, l2,2, l3,3, 
…, ln.n], and eigenvectors EV = [akp 
… for k = 1 to n bands, and p = 1 to 
n components] of the covariance 
matrix are computed such that:
E E 
where EVT is the transpose of the eigenvector matrix, EV, and E is a diagonal 
covariance matrix whose elements, li,i, called eigenvalues, are the variances 
where EVT is the transpose of the eigenvector matrix, EV, and E is a diagonal 
covariance matrix whose elements, li 
,i, called eigenvalues, are the variances 
of the pth principal components, where p = 1 to n components. 
of the pth principal components, where p = 1 to n components.
Eigenvalues Computed Eigenvalues Computed ffoorr tthhee CCoovvaarriiaannccee MMaattrriixx 
p = 1 
7 
p = 1
Eigenvectors (ap) (Factor Scores) Computed 
Eigenvectors (ap) (Factor Scores) Computed 
for the Covariance Matrix 
for the Covariance Matrix
Correlation, Rk,pCorrelation, R , Between Band k and Each Principal Component p k,p, Between Band k and Each Principal Component p 
where: 
ak,p = eigenvector for band k and component p 
lp = pth eigenvalue 
Vark = variance of band k in the 
where: 
ak,p = eigenvector for band k and component p 
lp = pth eigenvalue 
Vark = variance of band k in the 
covariance matrix 
covariance matrix
It is possible to compute a new value for pixel 1,1 (it has 7 bands) in 
principal component number 1 using the following equation: 
It is possible to compute a new value for pixel 1,1 (it has 7 bands) in 
principal component number 1 using the following equation: 
n 
å= 
newBV = 
a BV 
i , j , p kp i , j , 
k k 
1 
original 
original 
remote sensor 
data for pixel 
remote sensor 
data for pixel 
1,1 
1,1 
where akp = eigenvectors, BVi,j,k = brightness value in band k for the pixel at 
row i, column j, and n = number of bands. 
where akp = eigenvectors, BVi,j,k = brightness value in band k for the pixel at 
row i, column j, and n = number of bands.
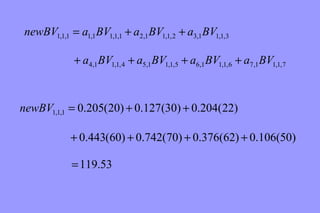
1,1,1 1,1 1,1,1 2,1 1,1,2 3,1 1,1,3 newBV = a BV + a BV + a BV 
4,1 1,1,4 5,1 1,1,5 6,1 1,1,6 7,1 1,1,7 + a BV + a BV + a BV + a BV 
0.205(20) 0.127(30) 0.204(22) 1,1,1 newBV = + + 
+ 0.443(60) + 0.742(70) + 0.376(62) + 0.106(50) 
=119.53
Principal 
Components 
Analysis (PCA) 
Principal 
Components 
Analysis (PCA)
VVeeggeettaattiioonn TTrraannssffoorrmmaattiioonn ((IInnddiicceess))
RReemmoottee SSeennssiinngg ooff VVeeggeettaattiioonn 
Spectral 
Characteristics
Dominant Factors DDoommiinnaanntt FFaaccttoorrss CCoonnttrroolllliinngg LLeeaaff RReefflleeccttaannccee 
Water 
Water 
absorption bands: 
absorption bands: 
0.97 mm 
1.19 mm 
1.45 mm 
1.94 mm 
2.70 mm 
0.97 mm 
1.19 mm 
1.45 mm 
1.94 mm 
2.70 mm 
JeJnesnesne,n ,2 0200044
Cross-section Through A 
Hypothetical and Real 
Leaf Revealing the Major 
Structural Components 
Cross-section Through A 
Hypothetical and Real 
Leaf Revealing the Major 
Structural Components 
that Determine the 
Spectral Reflectance 
that Determine the 
Spectral Reflectance 
of Vegetation 
of Vegetation 
JeJnesnesne,n 2, 0200404
JeJnesnesne,n ,2 0200044
JeJnesnesne,n ,2 0200044 
Absorption Spectra of Chlorophyll a and b, b- 
carotene, Pycoerythrin, and Phycocyanin Pigments 
Absorption Spectra of Chlorophyll a and b, b- 
carotene, Pycoerythrin, and Phycocyanin Pigments 
lack of 
absorption 
lack of 
absorption 
• Chlorophyll a peak absorption is at 0.43 and 0.66 mm. 
• Chlorophyll b peak absorption is at 0.45 and 0.65 mm. 
• Optimum chlorophyll absorption windows: 0.45 - 0.52 mm and 0.63 - 0.69 mm 
• Chlorophyll a peak absorption is at 0.43 and 0.66 mm. 
• Chlorophyll b peak absorption is at 0.45 and 0.65 mm. 
• Optimum chlorophyll absorption windows: 0.45 - 0.52 mm and 0.63 - 0.69 mm
Litton Emerge Spatial, Inc., CIR image 
(RGB = NIR,R,G) of Dunkirk, NY, at 1 x 
1 m obtained on December 12, 1998. 
Litton Emerge Spatial, Inc., CIR image 
(RGB = NIR,R,G) of Dunkirk, NY, at 1 x 
1 m obtained on December 12, 1998. 
Natural color image (RGB = RGB) of a N.Y. 
Power Authority lake at 1 x 1 ft obtained on 
Natural color image (RGB = RGB) of a N.Y. 
Power Authority lake at 1 x 1 ft obtained on 
October 13, 1997. 
October 13, 1997.
Spectral Reflectance 
Characteristics of 
Sweetgum Leaves 
Spectral Reflectance 
Characteristics of 
Sweetgum Leaves 
(Liquidambar 
styraciflua L.) 
(Liquidambar 
styraciflua L.)
1 2 
a 
3 
4 
35 
35 
30 
30 
25 
25 
20 
20 
15 
15 
10 
10 
5 
0 
Blue 
Percent Reflectance 
Percent Reflectance 
5 
(0.45 - 0.52 m m) 
Green leaf 
Yellow 
Red/orange 
Brown 
1 
2 
3 
4 
45 
40 
Green 
(0.52 - 0.60 m m) 
Red 
(0.63 - 0.69 m m) 
1 
2 
3 
Near-Infrared 
(0.70 - 0.92 m m) 
a. 
b. 
c. 
d. 
1 2 
a 
3 
4 
0 
Blue 
(0.45 - 0.52 m m) 
Green leaf 
Yellow 
Red/orange 
Brown 
4 
45 
40 
Green 
(0.52 - 0.60 m m) 
Red 
(0.63 - 0.69 m m) 
Near-Infrared 
(0.70 - 0.92 m m) 
a. 
b. 
c. 
d. 
Spectral Reflectance 
Characteristics of 
Selected Areas of 
Blackjack Oak Leaves 
Spectral Reflectance 
Characteristics of 
Selected Areas of 
Blackjack Oak Leaves
JeJnesnesne,n ,2 0200044
Hypothetical 
Example of 
Additive 
Reflectance from 
A Canopy with 
Two Leaf Layers 
Hypothetical 
Example of 
Additive 
Reflectance from 
A Canopy with 
Two Leaf Layers 
JeJnesnesne,n ,2 0200044
JeJnesnesne,n ,2 0200044
Distribution of Pixels in a Scene in 
Distribution of Pixels in a Scene in 
Red and Near-infrared Multispectral Feature Space 
Red and Near-infrared Multispectral Feature Space 
JeJnesnesne,n ,2 0200044
Reflectance Response of a Single Magnolia Leaf 
Reflectance Response of a Single Magnolia Leaf 
(Magnolia grandiflora) to Decreased Relative Water Content 
(Magnolia grandiflora) to Decreased Relative Water Content 
JeJnesnesne,n ,2 0200044
Airborne Visible 
Infrared Imaging 
Airborne Visible 
Infrared Imaging 
Spectrometer (AVIRIS) 
Datacube of Sullivan’s 
Island Obtained on 
Spectrometer (AVIRIS) 
Datacube of Sullivan’s 
Island Obtained on 
October 26, 1998 
October 26, 1998
Imaging Spectrometer Data of Healthy Green Vegetation in the San 
Luis Valley of Colorado Obtained on September 3, 1993 Using AVIRIS 
Imaging Spectrometer Data of Healthy Green Vegetation in the San 
Luis Valley of Colorado Obtained on September 3, 1993 Using AVIRIS 
JeJnesnesne,n 2, 0200000 222244 c chhaannnneelsls e eaacchh 1 100 n nmm w wididee w witihth 2 200 x x 2 200 m m p pixixeelsls
Hyperspectral Analysis 
Hyperspectral Analysis 
of AVIRIS Data 
of AVIRIS Data 
Obtained on September 
3, 1993 of San Luis 
Obtained on September 
3, 1993 of San Luis 
Valley, Colorado 
Valley, Colorado 
JeJnesnsnesne,n,n 2,2, 0202000000000
RReemmoottee SSeennssiinngg ooff VVeeggeettaattiioonn 
Temporal 
(Phenological) 
Characteristics 
Temporal 
(Phenological) 
Characteristics
Predicted Percent PPrreeddiicctteedd PPeerrcceenntt C Clloloouudd C Coovveerr i ininn F Foouurr A Arreeaass i ininn t ththhee U Unniititteteedd S Sttataatteteess 
JeJnesnesne,n ,2 0200000
Phenological Cycle PPhheennoollooggiiccaall CCyyccllee ooff HHaarrdd RReedd W Wiininntteteerr W Whheeaatt i ininn t ththhee G Grreeaatt P Pllalaaiininnss 
SEP OCT NOV DEC JAN FEB MAR APR MAY JUN JUL AUG 
crop establishment 
50 108 days 28 34 29 21 
10 14 
greening up heading mature 
50 108 days 28 34 29 21 
14 14 21 13 25 4 7 9 5 
26 
Sow Tillering 
Emergence 
Dormancy Growth 
resumes 
Heading 
Boot 
Harvest 
Dead 
ripe 
Harvest 
Soft Hard dough 
dough 
Jointing 
Maximum Coverage 
Winter Wheat 
Phenology 
snow cover 
SEP OCT NOV DEC JAN FEB MAR APR MAY JUN JUL AUG 
crop establishment 
10 14 
greening up heading mature 
14 14 21 13 25 4 7 9 5 
26 
Sow Tillering 
Emergence 
Dormancy Growth 
resumes 
Heading 
Boot 
Dead 
ripe 
Soft Hard dough 
dough 
Jointing 
Maximum Coverage 
Winter Wheat 
Phenology 
snow cover 
JeJnesnesne,n ,2 0200000
Phenological Cycles of 
Phenological Cycles of 
San Joaquin and 
Imperial Valley, 
California Crops and 
Landsat Multispectral 
Scanner Images of One 
San Joaquin and 
Imperial Valley, 
California Crops and 
Landsat Multispectral 
Scanner Images of One 
Field During A 
Growing Season 
Field During A 
Growing Season 
JeJnesnesne,n 2, 0200000
Landsat Thematic 
Mapper Imagery of 
Landsat Thematic 
Mapper Imagery of 
the Imperial 
the Imperial 
Valley, California 
Valley, California 
Obtained on 
Obtained on 
December 10, 1982 
December 10, 1982 
JeJnesnesne,n ,2 0200000 
Band 1 (blue; 0.45 – 0.52 mm) Band 2 (green; 0.52 – 0.60 mm) Band 3 (red; 0.63 – 0.69 mm) 
Band 1 (blue; 0.45 – 0.52 mm) Band 2 (green; 0.52 – 0.60 mm) Band 3 (red; 0.63 – 0.69 mm) 
Band 4 (near-infrared; 0.76 – 0.90 mm) Band 5 (mid-infrared; 1.55 – 1.75 mm) Band 7 (mid-infrared; 2.08 – 2.35 mm) 
Band 4 (near-infrared; 0.76 – 0.90 mm) Band 5 (mid-infrared; 1.55 – 1.75 mm) Band 7 (mid-infrared; 2.08 – 2.35 mm) 
Band 6 (thermal infrared; 10.4 – 12.5 mm) 
Sugarbeets 
Alfalfa 
Cotton 
Fallow 
feed 
lot 
fl 
Ground Reference 
Landsat Thematic Mapper 
Imagery of 
Imperial Valley, California, 
December 10, 1982 
Band 6 (thermal infrared; 10.4 – 12.5 mm) 
Sugarbeets 
Alfalfa 
Cotton 
Fallow 
feed 
lot 
fl 
Ground Reference 
Landsat Thematic Mapper 
Imagery of 
Imperial Valley, California, 
December 10, 1982
Landsat Thematic 
Mapper Color 
Composites and 
Classification Map of a 
Portion of the Imperial 
Valley, California 
Landsat Thematic 
Mapper Color 
Composites and 
Classification Map of a 
Portion of the Imperial 
Valley, California 
JeJnesnesne,n 2, 0200000
Phenological Cycles 
of Soybeans and 
Phenological Cycles 
of Soybeans and 
Corn in South 
Carolina 
Corn in South 
Carolina 
JeJnesnesne,n ,2 0200000 
snow cover 
snow cover 
125 
125 
100 
100 
75 
75 
50 
50 
50% 
50% 
JAN FEB MAR APR MAY JUN SEP OCT NOV DEC 
Initial growth Maturity Harvest 
25 cm height 
Dormant or multicropped 
Soybeans 
100% 
ground 
cover 
JUL AUG 
Development 
snow cover 
snow cover 
300 
300 
250 
250 
200 
200 
150 
150 
125 
125 
75 
75 
50 
50 
JAN FEB MAR APR MAY JUN SEP OCT NOV DEC 
12-14 
leaf 
12-14 
leaf 
8-leaf Tassle Dent/Harvest 
25 cm height 
Dormant or multicropped 
JUL AUG 
Dormant or multicropped 
100 
10 - 12 leaf 
Blister 
Corn 
100% 
50% 
a. 
b. 
JAN FEB MAR APR MAY JUN SEP OCT NOV DEC 
Initial growth Maturity Harvest 
25 cm height 
Dormant or multicropped 
Soybeans 
100% 
ground 
cover 
JUL AUG 
Development 
JAN FEB MAR APR MAY JUN SEP OCT NOV DEC 
8-leaf Tassle Dent/Harvest 
25 cm height 
Dormant or multicropped 
JUL AUG 
Dormant or multicropped 
100 
10 - 12 leaf 
Blister 
Corn 
100% 
50% 
a. 
b. 
SSooyybbeeaannss 
CCoornrn
Phenological Cycles 
of Winter Wheat, 
Cotton, and Tobacco 
in South Carolina 
Phenological Cycles 
of Winter Wheat, 
Cotton, and Tobacco 
in South Carolina 
JeJnesnesne,n ,2 0200000 
Winter Wheat 
Winter Wheat 
100% 
ground 
cover 
100% 
ground 
cover 
snow cover 
snow cover 
100 
100 
75 
75 
50 
50 
25 cm 
25 cm 
50% 
50% 
JAN FEB MAR APR MAY JUN JUL AUG SEP OCT NOV DEC 
Tillering Jointing Booting Head Harvest Dormant or multicropped 
Seed 
Winter Wheat 
Phenology 
Winter Wheat 
Phenology 
150 
150 
125 
125 
100 
100 
75 
75 
50 
50 
b. 
b. 
JAN FEB MAR APR MAY JUN SEP OCT NOV DEC 
Seeding Boll Maturity/harvest 
snow cover 
25 cm height 
Dormant or multicropped 
Cotton 
100% 
ground 
cover 
JUL AUG 
Fruiting 
Pre-bloom 
50% 
snow cover 
snow cover 
125 
125 
100 
100 
75 
75 
50 
50 
50% 
50% 
JAN FEB MAR APR MAY JUN SEP OCT NOV DEC 
Transplanting Development Maturity/harvest 
25 cm height 
Dormant or multicropped 
Tobacco 
100% 
JUL AUG 
Topping 
Dormant or multicropped 
a. 
c. 
JAN FEB MAR APR MAY JUN JUL AUG SEP OCT NOV DEC 
Tillering Jointing Booting Head Harvest Dormant or multicropped 
Seed 
JAN FEB MAR APR MAY JUN SEP OCT NOV DEC 
Seeding Boll Maturity/harvest 
snow cover 
25 cm height 
Dormant or multicropped 
Cotton 
100% 
ground 
cover 
JUL AUG 
Fruiting 
Pre-bloom 
50% 
JAN FEB MAR APR MAY JUN SEP OCT NOV DEC 
Transplanting Development Maturity/harvest 
25 cm height 
Dormant or multicropped 
Tobacco 
100% 
JUL AUG 
Topping 
Dormant or multicropped 
a. 
c. 
WWininteter rW Whheeaatt 
CCootttotonn 
TToobbaaccccoo
VVeeggeettaattiioonn IInnddiicceess
Reflectance Curves Reflectance Curves ffoorr SSeelleecctteedd PPhheennoommeennaa
SSooiill LLiinnee
Infrared/R IInnffrraarreedd//RReedd RRaattiioo VVeeggeettaattiioonn IInnddeexx 
The near-infrared (NIR) to red simple ratio (SR) is the first true vegetation 
index: 
The near-infrared (NIR) to red simple ratio (SR) is the first true vegetation 
index: 
SR = NIR 
red 
It takes advantage of the inverse relationship between chlorophyll absorption of 
red radiant energy and increased reflectance of near-infrared energy for healthy 
plant canopies (Cohen, 1991) . 
It takes advantage of the inverse relationship between chlorophyll absorption of 
red radiant energy and increased reflectance of near-infrared energy for healthy 
plant canopies (Cohen, 1991) .
Normalized NNoorrmmaalliizzeedd DDiiffffeerreennccee VVeeggeettaattiioonn IInnddeexx 
The generic normalized difference vegetation index (NDVI): 
The generic normalized difference vegetation index (NDVI): 
NDVI = NIR - red 
NIR + red 
has provided a method of estimating net primary production over varying 
biome types (e.g. Lenney et al., 1996), identifying ecoregions (Ramsey et 
al., 1995), monitoring phenological patterns of the earth’’s vegetative 
surface, and of assessing the length of the growing season and dry-down 
periods (Huete and Liu, 1994). 
has provided a method of estimating net primary production over varying 
biome types (e.g. Lenney et al., 1996), identifying ecoregions (Ramsey et 
al., 1995), monitoring phenological patterns of the earth’’s vegetative 
surface, and of assessing the length of the growing season and dry-down 
periods (Huete and Liu, 1994).
Vegetation 
Indices 
Vegetation 
Indices
Time Series of 1984 and 1988 NDVI Measurements Derived from AVHRR Global 
Area Coverage (GAC) Data for the Region around El Obeid, Sudan, in Sub-Saharan 
Time Series of 1984 and 1988 NDVI Measurements Derived from AVHRR Global 
Area Coverage (GAC) Data for the Region around El Obeid, Sudan, in Sub-Saharan 
Africa 
Africa 
JeJnesnesne,n ,2 0200000
JeJnesnesne,n ,2 0200044
VVeeggeettaattiioonn IInnddiicceess 
Simple ratio red 
NIR 
NDVI = MSS - 
MSS 
6 6 5 
MSS + 
MSS 
6 5 
NDVI = MSS - 
MSS 
7 7 5 
MSS + 
MSS 
7 5 
NDVI = TM - 
TM 
4 3 
TM + 
TM TM 
4 3 
=
IInnffrraarreedd IInnddeexx 
An Infrared Index (II) that incorporates both near and middle-infrared 
bands is sensitive to changes in plant biomass and water stress in smooth 
cordgrass studies (Hardisky et al., 1983; 1986): 
An Infrared Index (II) that incorporates both near and middle-infrared 
bands is sensitive to changes in plant biomass and water stress in smooth 
cordgrass studies (Hardisky et al., 1983; 1986): 
Healthy, mono-specific stands of tidal wetland such as Spartina often 
exhibit much lower reflectance in the visible (blue, green, and red) 
wavelengths than typical terrestrial vegetation due to the saturated tidal 
flat understory. In effect, the moist soil absorbs almost all energy incident 
to it. This is why wetland often appear surprisingly dark on traditional 
infrared color composites. 
Healthy, mono-specific stands of tidal wetland such as Spartina often 
exhibit much lower reflectance in the visible (blue, green, and red) 
wavelengths than typical terrestrial vegetation due to the saturated tidal 
flat understory. In effect, the moist soil absorbs almost all energy incident 
to it. This is why wetland often appear surprisingly dark on traditional 
infrared color composites. 
JeJnesnesne,n ,2 0200000 
II = NIRTM4 - MIRTM5 
NIRTM4 + MIRTM5
Kauth-Thomas 
Transformation 
Kauth-Thomas 
Transformation
Kauth-Thomas “ Kauth-Thomas “TTaasssseelleedd CCaapp”” TTrraannssffoorrmmaattiioonn
Kauth-Thomas 
Transformation 
Kauth-Thomas 
Transformation 
Landsat Thematic Mapper 
Landsat Thematic Mapper 
November 9, 1982 
November 9, 1982
SSooiilill AAddjjujuusstteteedd V Veeggeettataattitiioioonn I Innddeexx ( (SSAAVVII)) 
Recent emphasis has been given to the development of improved vegetation indices that 
may take advantage of calibrated hyperspectral sensor systems such as the moderate 
resolution imaging spectrometer - MODIS (Running et al., 1994). The improved indices 
incorporate a soil adjustment factor and/or a blue band for atmospheric normalization. 
The soil adjusted vegetation index (SAVI) introduces a soil calibration factor, L, to the 
NDVI equation to minimize soil background influences resulting from first order soil-plant 
Recent emphasis has been given to the development of improved vegetation indices that 
may take advantage of calibrated hyperspectral sensor systems such as the moderate 
resolution imaging spectrometer - MODIS (Running et al., 1994). The improved indices 
incorporate a soil adjustment factor and/or a blue band for atmospheric normalization. 
The soil adjusted vegetation index (SAVI) introduces a soil calibration factor, L, to the 
NDVI equation to minimize soil background influences resulting from first order soil-plant 
spectral interactions (Huete et al., 1994): 
spectral interactions (Huete et al., 1994): 
SAVI = (1 + L)(NIR - red) 
NIR + red + L 
An L value of 0.5 minimizes soil brightness variations and eliminates the need for 
additional calibration for different soils (Huete and Liu, 1994). 
An L value of 0.5 minimizes soil brightness variations and eliminates the need for 
additional calibration for different soils (Huete and Liu, 1994).
Soil and Atmospherically Adjusted SSooilil l a anndd A Atmtmmoosspphheerriciccaallllylyy A Addjujuussteteedd V Veeggeetatatatititoioionn I Innddeexx ( (S(SSAARRVVII)I)) 
Huete and Liu (1994) integrated the L function from SAVI and a blue-band 
normalization to derive a soil and atmospherically resistant vegetation index 
(SARVI) that corrects for both soil and atmospheric noise: 
Huete and Liu (1994) integrated the L function from SAVI and a blue-band 
normalization to derive a soil and atmospherically resistant vegetation index 
(SARVI) that corrects for both soil and atmospheric noise: 
where 
where 
SARVI = p * nir - p * rb 
p * nir + p * rb 
p * rb = p* red -g (p * blue - p * red) 
The technique requires prior correction for molecular scattering and ozone 
absorption of the blue, red, and near-infrared remote sensor data, hence the term p*. 
The technique requires prior correction for molecular scattering and ozone 
absorption of the blue, red, and near-infrared remote sensor data, hence the term p*.
EEnnhhaanncceedd VVeeggeettaattiioonn IInnddeexx ((EEVVII)) 
The MODIS Land Discipline Group proposed the Enhanced Vegetation Index (EVI) for use 
with MODIS Data: 
The MODIS Land Discipline Group proposed the Enhanced Vegetation Index (EVI) for use 
with MODIS Data: 
EVI = p * nir - p * red 
p * nir + C1p * red - C2p * blue + L 
The EVI is a modified NDVI with a soil adjustment factor, L, and two coefficients, C1 and C2 
which describe the use of the blue band in correction of the red band for atmsoperhic aerosol 
scattering. The coefficients, C1 , C2 , and L, are empirically determined as 6.0, 7.5, and 1.0, 
respectively. This algorithm has improved sensitivity to high biomass regions and improved 
vegetation monitoring thorugh a de-coupling of the canopy background signal and a 
reduction in atmospheric influences (Huete and Justice, 1999). 
The EVI is a modified NDVI with a soil adjustment factor, L, and two coefficients, C1 and C2 
which describe the use of the blue band in correction of the red band for atmsoperhic aerosol 
scattering. The coefficients, C1 , C2 , and L, are empirically determined as 6.0, 7.5, and 1.0, 
respectively. This algorithm has improved sensitivity to high biomass regions and improved 
vegetation monitoring thorugh a de-coupling of the canopy background signal and a 
reduction in atmospheric influences (Huete and Justice, 1999).
Murrells 
Inlet 
Murrells 
Inlet 
Murrells 
Inlet 
Murrells 
Inlet 
MMuurrrreellllss IInnlleett i inn SSoouutthh CCaarroolliinnaa
Phenological Cycle of Smooth Cordgrass 
Phenological Cycle of Smooth Cordgrass 
(Spartina alterniflora) Biomass in South Carolina 
(Spartina alterniflora) Biomass in South Carolina 
Smooth Cordgrass (Spartina alterniflora) 
Smooth Cordgrass (Spartina alterniflora) 
Live Biomass 
Dead Biomass 
Live Biomass 
Dead Biomass 
J A S O N 
J A S O N JeJnesnesne,n ,2 0200000 
1500 
1500 
1250 
1250 
1000 
1000 
750 
750 
500 
500 
250 
250 
0 
DryWeightBiomass, g/m2 
F M A M J J D 
0 
DryWeightBiomass, g/m2 
F M A M J J D
Phenological Cycle of Cattails PPhheennoollooggiiccaall CCyyccllee ooff CCaattttaaiillss a anndd W Waatteteerrlliliililliliieieess i ininn P Paarr P Poonndd, ,S S.C.C.. 
JeJnesnesne,n 2, 0200000
Characteristics of the NASA Calibrated Airborne Multispectral 
Scanner (CAMS) Mission of Murrells Inlet, S.C. on August 2, 1997 
Characteristics of the NASA Calibrated Airborne Multispectral 
Scanner (CAMS) Mission of Murrells Inlet, S.C. on August 2, 1997 
Altitude CAMS 
Mission Relative above- Spatial CAMS 
Date Visibility Humidity ground-level Resolution Spectral Resolution 
8/2/97 clear 45% 4000’’ 3.08 x 3.08 Band 1 (0.42 - 0.52 mm); blue 
Band 2 (0.52 - 0.60 mm); green 
Band 3 (0.60 - 0.63 mm); red 
Band 4 (0.63 - 0.69 mm); red 
Band 5 (0.69 - 0.76 mm); near- 
IR 
Band 6 (0.76 - 0.90 mm); near- 
IR 
Band 7 (1.55 - 1.75 mm); mid-IR 
Band 8 (2.08 - 2.35 mm); mid-IR 
Band 9 (10.5 - 12.5 mm); TIR 
Altitude CAMS 
Mission Relative above- Spatial CAMS 
Date Visibility Humidity ground-level Resolution Spectral Resolution 
8/2/97 clear 45% 4000’’ 3.08 x 3.08 Band 1 (0.42 - 0.52 mm); blue 
Band 2 (0.52 - 0.60 mm); green 
Band 3 (0.60 - 0.63 mm); red 
Band 4 (0.63 - 0.69 mm); red 
Band 5 (0.69 - 0.76 mm); near- 
IR 
Band 6 (0.76 - 0.90 mm); near- 
IR 
Band 7 (1.55 - 1.75 mm); mid-IR 
Band 8 (2.08 - 2.35 mm); mid-IR 
Band 9 (10.5 - 12.5 mm); TIR
Nine Bands of 3 x 3 m 
Calibrated Airborne 
Multispectral Scanner 
(CAMS) Data of Murrells 
Inlet, SC Obtained on 
Nine Bands of 3 x 3 m 
Calibrated Airborne 
Multispectral Scanner 
(CAMS) Data of Murrells 
Inlet, SC Obtained on 
August 2, 1997 
August 2, 1997 
JeJnesnesnen, ,2 2000000 
Band 1 (blue; 0.45 – 0.52 mm) Band 2 (green; 0.52 – 0.60 mm) Band 3 (red; 0.60 – 0.63mm) 
Band 1 (blue; 0.45 – 0.52 mm) Band 2 (green; 0.52 – 0.60 mm) Band 3 (red; 0.60 – 0.63mm) 
Band 4 (red; 0.63 – 0.69 mm) Band 5 (near-infrared; 0.69 – 0.76 mm) Band 6 (near-infrared; 0.76 – 0.90 mm) 
Band 4 (red; 0.63 – 0.69 mm) Band 5 (near-infrared; 0.69 – 0.76 mm) Band 6 (near-infrared; 0.76 – 0.90 mm) 
Band 7 (mid-infrared; 1.55 – 1.75 mm) Band 8 (mid-infrared; 2.08 – 2.35 mm) Band 9 (thermal-infrared; 10.4 – 12.5 mm) 
Band 7 (mid-infrared; 1.55 – 1.75 mm) Band 8 (mid-infrared; 2.08 – 2.35 mm) Band 9 (thermal-infrared; 10.4 – 12.5 mm)
Calibrated Airborne Multispectral Scanner Data of 
Murrells Inlet, S.C. Obtained on August 2, 1997 
Calibrated Airborne Multispectral Scanner Data of 
Murrells Inlet, S.C. Obtained on August 2, 1997 
Natural Color Composite 
(Bands 3,2,1 = RGB) 
Natural Color Composite 
(Bands 3,2,1 = RGB) 
Masked and Contrast 
Stretched Color 
Masked and Contrast 
Stretched Color 
Composite 
Composite
Calibrated Airborne Multispectral Scanner Data of 
Murrells Inlet, S.C. Obtained on August 2, 1997 
Calibrated Airborne Multispectral Scanner Data of 
Murrells Inlet, S.C. Obtained on August 2, 1997 
Color Infrared Composite 
(Bands 3,2,1 = RGB) 
Color Infrared Composite 
(Bands 3,2,1 = RGB) 
Masked and Contrast 
Stretched Color 
Masked and Contrast 
Stretched Color 
Composite 
Composite
IInn SSiitittutuu CCeeppttotoommeetteteerr L Leeaaff--AArreeaa--IInnddeexx M Meeaassuurreemmeenntt 
•• LAI may be computed using a Decagon Accupar Ceptometer™ that consists of 
a linear array of 80 adjacent 1 cm2 photosynthetically active radiation (PAR) 
sensors along a bar. 
•• LAI may be computed using a Decagon Accupar Ceptometer™ that consists of 
a linear array of 80 adjacent 1 cm2 photosynthetically active radiation (PAR) 
sensors along a bar. 
•• Incident sunlight above the canopy, Qa, and the amount of direct solar energy 
incident to the ceptometer, Qb, when it was laid at the bottom of the canopy 
directly on the mud is used to compute LAI. 
•• Incident sunlight above the canopy, Qa, and the amount of direct solar energy 
incident to the ceptometer, Qb, when it was laid at the bottom of the canopy 
directly on the mud is used to compute LAI.
IInInn S Sititiututu C Ceepptototommeeteteterr L Leeaaff--A-AArrereeaa--I-IInInnddeexx M Meeaassuurrereemmeenntt
Relationship Between 
Calibrated Airborne 
Multispectral Scanner 
Relationship Between 
Calibrated Airborne 
Multispectral Scanner 
(CAMS) Band 6 Brightness 
(CAMS) Band 6 Brightness 
Values and in situ 
Values and in situ 
Measurements of Spartina 
alterniflora Total Dry 
Measurements of Spartina 
alterniflora Total Dry 
Biomass (g/m2) at 
Biomass (g/m2) at 
27 Locations in Murrells 
Inlet, SC Obtained on 
August 2 and 3, 1997 
27 Locations in Murrells 
Inlet, SC Obtained on 
August 2 and 3, 1997 
JeJnesnesne,n ,2 0200000
NASA Calibrated 
Airborne Multispectral 
Scanner Imagery 
(3 x 3 m) and Derived 
Biomass Map of a 
Portion of Murrells 
Inlet, South Carolina 
on August 2, 1997 CAMS Bands 1,2,3 (RGB) CAMS Bands 6,4,2 (RGB) 
NASA Calibrated 
Airborne Multispectral 
Scanner Imagery 
(3 x 3 m) and Derived 
Biomass Map of a 
Portion of Murrells 
Inlet, South Carolina 
on August 2, 1997 
CAMS Bands 1,2,3 (RGB) CAMS Bands 6,4,2 (RGB) 
TM Bands 5,3,2 (RGB) 
Biomass in a Portion of Murrells 
Inlet, SC Derived from 3 x 3 m 
Calibrated Airborne Multispectral 
Scanner (CAMS) Data Obtained on 
August 2, 1997 
Total Biomass (grams/m 2) 
500 - 749 
750 - 999 
1000 - 1499 
1500 - 1999 
2000 - 2499 
2500 - 2999 
TM Bands 5,3,2 (RGB) 
Biomass in a Portion of Murrells 
Inlet, SC Derived from 3 x 3 m 
Calibrated Airborne Multispectral 
Scanner (CAMS) Data Obtained on 
August 2, 1997 
Total Biomass (grams/m 2) 
500 - 749 
750 - 999 
1000 - 1499 
1500 - 1999 
2000 - 2499 
2500 - 2999 
JeJnesnesne,n 2, 0200000
Total Above-ground Biomass 
Total Above-ground Biomass 
in Murrells Inlet, S. C. 
Extracted from Calibrated 
Airborne Multispectral Scanner 
in Murrells Inlet, S. C. 
Extracted from Calibrated 
Airborne Multispectral Scanner 
Data on August 2, 1997 
Data on August 2, 1997 
Total Biomass (grams/m2) 
500 - 749 
750 - 999 
1000 - 1499 
1500 - 1999 
2000 - 2499 
2500 - 2999
Remote Remote SSeennssiinngg UUnniivvaarriiaattee SSttaattiissttiiccss -- VVaarriiaannccee 
The variance of a sample is the average squared deviation of all 
possible observations from the sample mean. The variance of a band 
of imagery, vark, is computed using the equation: 
The variance of a sample is the average squared deviation of all 
possible observations from the sample mean. The variance of a band 
of imagery, vark, is computed using the equation: 
( BV 
- 
m 
) 
ik k 
n 
n 
å= 
= i 
1 
var 
k 
2 
The numerator of the expression is the corrected sum of squares (SS). 
If the sample mean (mk) were actually the population mean, this would 
be an accurate measurement of the variance. The standard deviation is 
the positive square root of the variance. 
The numerator of the expression is the corrected sum of squares (SS). 
If the sample mean (mk) were actually the population mean, this would 
be an accurate measurement of the variance. The standard deviation is 
the positive square root of the variance.
Texture 
Texture 
Transformation 
Transformation
Second-Order Second-Order SSttaattiissttiiccss iinn tthhee SSppaattiiaall DDoommaaiinn
Second-Order Statistics Second-Order Statistics iinn tthhee SSppaattiiaall DDoommaaiinn 
Original image = 
0 1 1 2 3 
0 0 2 3 3 
0 1 2 2 3 
1 2 3 2 2 
2 2 3 3 2 
Original image = 
0 1 1 2 3 
0 0 2 3 3 
0 1 2 2 3 
1 2 3 2 2 
2 2 3 3 2 
h c = 
0 1 2 3 
0 1 2 1 0 
1 0 1 3 0 
2 0 0 3 5 
3 0 0 2 2 
h c = 
0 1 2 3 
0 1 2 1 0 
1 0 1 3 0 
2 0 0 3 5 
3 0 0 2 2 
SSppaatitaial lD Deeppeennddeennccyy M Maatrtrixix
Second-Order Statistics in the Spatial Domain 
Second-Order Statistics in the Spatial Domain 
The Angular Second Moment (ASM): 
The Angular Second Moment (ASM): 
( ) 
2 
å å , 
= = 
ASM h i j 
0 0 
= 
k quantk 
j 
quant 
i 
where, 
quantk = quantization level of band k (e.g., 28 = 0 to 255) 
hc(i, j) = the (i, j)th entry in one of the angular brightness 
value spatial-dependency matrices, 
where, 
quantk = quantization level of band k (e.g., 28 = 0 to 255) 
hc(i, j) = the (i, j)th entry in one of the angular brightness 
value spatial-dependency matrices,
TTeexxttuurree MMeeaassuurreemmeenntt
TTeexxttuurree MMeeaassuurreemmeenntt
MMooiissttuurree VVeeggeettaattiioonn IInnddeexx 
Rock et al (199) utilized a Moisture Stress Index (MSI): 
Rock et al (199) utilized a Moisture Stress Index (MSI): 
MSI = MidIRTM5 
NIRTM4 
based on the Landsat Thematic Mapper near-ifnrared and middle-infrared bands 
based on the Landsat Thematic Mapper near-ifnrared and middle-infrared bands

Image enhancement and interpretation

  • 1.
    IImmaaggee EEnnhhaanncceemmeenntt aannddIInntteerrpprreettaattiioonn Mahesh Kumar Jat Mahesh Kumar Jat Department of Civil Engineering Department of Civil Engineering Malaviya National Institute of Technology, Malaviya National Institute of Technology, Jaipur Jaipur
  • 2.
    IImmaaggee EEnnhhaanncceemmeenntt Reduction  Magnification  Spatial Profiles  Spectral Profiles  Ratioing  Contrast Stretching  Frequency Filtering  Edge Enhancement  Vegetation Indices  Texture  Reduction  Magnification  Spatial Profiles  Spectral Profiles  Ratioing  Contrast Stretching  Frequency Filtering  Edge Enhancement  Vegetation Indices  Texture
  • 3.
    Integer Image Reduction Integer Image Reduction
  • 4.
    Integer Image Reduction Integer Image Reduction
  • 6.
    Integer Image Magnification Integer Image Magnification
  • 7.
    Integer Image Magnification Integer Image Magnification
  • 8.
    Integer Image Magnification Integer Image Magnification
  • 9.
    BBaanndd RRaattiiooiinngg ij k i j ratio BV , , i j l BV BV , , , , = where: - BVi,j,k is the original input brightness value in band k - BVi,j,l is the original input brightness value in band l - BVi,j,ratio is the ratio output brightness value where: - BVi,j,k is the original input brightness value in band k - BVi,j,l is the original input brightness value in band l - BVi,j,ratio is the ratio output brightness value
  • 10.
    BBaanndd RRaattiiooiinngg Ratiovalues within the range 1/255 to 1 are assigned values between 1 and 128 by the function: Ratio values within the range 1/255 to 1 are assigned values between 1 and 128 by the function: [( 127) 1] , , , , = ´ + i j n i j r BV Int BV Ratio values from 1 to 255 are assigned values within the range 128 to 255 by the function: Ratio values from 1 to 255 are assigned values within the range 128 to 255 by the function: ö ÷ ÷ø æ ç çè 128 , , = + 2 , , i j r i j n BV BV Int
  • 11.
    Band Ratioing ofCharleston, SC Landsat Thematic Mapper Data Band Ratioing of Charleston, SC Landsat Thematic Mapper Data
  • 12.
    BBaanndd RRaattiioo IImmaaggee Landsat TM Band 4 / Band 3 Landsat TM Band 4 / Band 3
  • 13.
    Band Ratio Band Ratio SPOT HRV Band 3 / Pan SPOT HRV Band 3 / Pan
  • 14.
    Band Ratio Band Ratio Landsat TM Band 40 / Band 15 Landsat TM Band 40 / Band 15
  • 15.
    Spatial Profile -Transect- Spatial Profile -Transect- 22000044
  • 16.
    Spatial Profile -Transect- Spatial Profile -Transect- 22000044
  • 17.
    Spectral Profile ofSPOT 20 x 20 m Multispectral Data of Marco Island, Florida Spectral Profile of SPOT 20 x 20 m Multispectral Data of Marco Island, Florida 22000044
  • 18.
    Spectral Profile ofHYMAP 3 x 3 m Hyperspectral Data of Debordieu Colony near Spectral Profile of HYMAP 3 x 3 m Hyperspectral Data of Debordieu Colony near North Inlet, SC North Inlet, SC 22000044
  • 19.
  • 20.
    Common Common Symmetricand Symmetric and Skewed Skewed Distributions in Remotely Sensed Distributions in Remotely Sensed Data Data
  • 21.
    Min-Max Contrast Stretch Min-Max Contrast Stretch +1 Standard Deviation Contrast Stretch +1 Standard Deviation Contrast Stretch
  • 22.
    Linear Contrast Enhancement: Linear Contrast Enhancement: Minimum- Maximum Contrast Stretch Minimum- Maximum Contrast Stretch k BV = BV - min in k ÷ø quant ÷ out k k ö ç çè æ - max min where: - BVin is the original input brightness value - quantk is the range of the brightness values that can be where: - BVin is the original input brightness value - quantk is the range of the brightness values that can be displayed on the CRT (e.g., 255), displayed on the CRT (e.g., 255), - mink is the minimum value in the image, - maxk is the maximum value in the image, and - BVout is the output brightness value - mink is the minimum value in the image, - maxk is the maximum value in the image, and - BVout is the output brightness value
  • 23.
    Linear Contrast Enhancement: Linear Contrast Enhancement: Minimum- Maximum Contrast Stretch Minimum- Maximum Contrast Stretch min ö 255 255 4 4 = - 105 4 ö 105 4 çè 255 0 105 4 max min = ÷ø æ - = ÷ ÷ø ç çè æ - = - in BV out in out BV All other original brightness values between 5 and 104 are linearly distributed between 0 and 255. All other original brightness values between 5 and 104 are linearly distributed between 0 and 255.
  • 24.
    Min-Max Contrast Stretch Min-Max Contrast Stretch +1 Standard Deviation Contrast Stretch +1 Standard Deviation Contrast Stretch
  • 25.
    Contrast Stretch of Charleston, SC Landsat Contrast Stretch of Charleston, SC Landsat Thematic Mapper Band 4 Data Thematic Mapper Band 4 Data OOrirgigininaal l Minimum-maximum Minimum-maximum +1 standard deviation +1 standard deviation
  • 26.
    Contrast Stretching ofCharleston, SC Landsat Thematic Mapper Band 4 Data Contrast Stretching of Charleston, SC Landsat Thematic Mapper Band 4 Data Specific percentage linear contrast stretch designed to highlight Specific percentage linear contrast stretch designed to highlight wetland wetland HHisistotoggraramm E Eqquuaalilzizaatitoionn
  • 27.
    Contrast Stretching ofPredawn Thermal Infrared Data of the Contrast Stretching of Predawn Thermal Infrared Data of the the Savannah River the Savannah River OOrirgigininaal l Minimum-maximum Minimum-maximum +1 standard deviation +1 standard deviation
  • 28.
    Specific percentage linearcontrast stretch designed to highlight the Specific percentage linear contrast stretch designed to highlight the thermal plume thermal plume HHisistotoggraramm E Eqquuaalilzizaatitoionn Contrast Stretching of Predawn Thermal Infrared Data of the the Savannah River Contrast Stretching of Predawn Thermal Infrared Data of the the Savannah River
  • 29.
  • 30.
    Piecewise Linear ContrastStretching Piecewise Linear Contrast Stretching
  • 31.
    NNoonn--lliinneeaarr CCoonnttrraasstt SSttrreettcchhiinngg Logarithmic and Inverse Log Logarithmic and Inverse Log
  • 32.
    Spatial Filtering toEnhance Low- and High-Frequency Detail and Edges Spatial Filtering to Enhance Low- and High-Frequency Detail and Edges A characteristics of remotely sensed images is a parameter called spatial frequency, defined as the number of changes in brightness value per unit distance for any particular part of an image. A characteristics of remotely sensed images is a parameter called spatial frequency, defined as the number of changes in brightness value per unit distance for any particular part of an image.
  • 33.
    Spatial Filtering toEnhance Low- and High-Frequency Detail and Edges Spatial Filtering to Enhance Low- and High-Frequency Detail and Edges Spatial frequency in remotely sensed imagery may be enhanced or subdued using two different approaches: Spatial frequency in remotely sensed imagery may be enhanced or subdued using two different approaches: - Spatial convolution filtering based primarily on the use of convolution masks, and - Spatial convolution filtering based primarily on the use of convolution masks, and - Fourier analysis which mathematically separates an image into its spatial frequency components. - Fourier analysis which mathematically separates an image into its spatial frequency components.
  • 34.
    SSppaattiiaall CCoonnvvoolluuttiioonn FFiilltteerriinngg A linear spatial filter is a filter for which the brightness value (BVi,j,out) at location i,j in the output image is a function of some weighted average (linear combination) of brightness values located in a particular spatial pattern around the i,j location in the input image. A linear spatial filter is a filter for which the brightness value (BVi,j,out) at location i,j in the output image is a function of some weighted average (linear combination) of brightness values located in a particular spatial pattern around the i,j location in the input image. The process of evaluating the weighted neighboring pixel values is called two-dimensional convolution filtering. The process of evaluating the weighted neighboring pixel values is called two-dimensional convolution filtering.
  • 35.
    SSppaattiiaall CCoonnvvoolluuttiioonn FFiilltteerriinngg The size of the neighborhood convolution mask or kernel (n) is usually 3 x 3, 5 x 5, 7 x 7, or 9 x 9. The size of the neighborhood convolution mask or kernel (n) is usually 3 x 3, 5 x 5, 7 x 7, or 9 x 9. We will constrain our discussion to 3 x 3 convolution masks with nine coefficients, ci, defined at the following locations: We will constrain our discussion to 3 x 3 convolution masks with nine coefficients, ci, defined at the following locations: c1 c2 c3 c1 c2 c3 Mask template = c4 c5 c6 Mask template = c4 c5 c6 c7 c8 c9 c7 c8 c9 1 1 1 1 1 1 1 1 1
  • 36.
    SSppaattiiaall CCoonnvvoolluuttiioonn FFiilltteerriinngg The coefficients, c1, in the mask are multiplied by the following individual brightness values (BVi) in the input image: The coefficients, c1, in the mask are multiplied by the following individual brightness values (BVi) in the input image: c1 x BV1 c2 x BV2 c3 x BV3 c1 x BV1 c2 x BV2 c3 x BV3 Mask template = c4 x BV4 c5 x BV5 c6 x BV6 Mask template = c4 x BV4 c5 x BV5 c6 x BV6 c7 x BV7 c8 x BV8 c9 x BV9 c7 x BV7 c8 x BV8 c9 x BV9 The primary input pixel under investigation at any one time is BV5 = BVi,j The primary input pixel under investigation at any one time is BV5 = BVi,j
  • 37.
    Various Convolution Various Convolution Mask Kernels Mask Kernels
  • 38.
    Spatial Convolution Filtering: Spatial Convolution Filtering: Low Frequency Filter Low Frequency Filter ö æ 9 1 c x BV n ö çè= æ + + + ÷ø ÷ ÷ ÷ ÷ ø ç ç ç ç è = å= int ... 9 int 1 2 3 9 5, BV BV BV BV LFF i i i out 1 1 1 1 1 1 1 1 1
  • 39.
    LLooww PPaassss FFiilltteerr 3 = 27 9 4 = 36 9 5 = 45 9
  • 40.
    Spatial Frequency Filtering Spatial Frequency Filtering
  • 41.
    Spatial Convolution Filtering: Spatial Convolution Filtering: Median Filter Median Filter A median filter has certain advantages when compared with weighted convolution filters, including: 1) it does not shift boundaries, and 2) the minimal degradation to edges allows the median filter to be applied repeatedly which allows fine detail to be erased and large regions to take on the same brightness value (often called posterization). A median filter has certain advantages when compared with weighted convolution filters, including: 1) it does not shift boundaries, and 2) the minimal degradation to edges allows the median filter to be applied repeatedly which allows fine detail to be erased and large regions to take on the same brightness value (often called posterization).
  • 42.
    Spatial Frequency Filtering Spatial Frequency Filtering
  • 43.
    Spatial Convolution Filtering: Minimum or Maximum Filters Spatial Convolution Filtering: Minimum or Maximum Filters Operating on one pixel at a time, these filters examine the brightness values of adjacent pixels in a user-specified Operating on one pixel at a time, these filters examine the brightness values of adjacent pixels in a user-specified radius (e.g., 3 x 3 pixels) and replace the radius (e.g., 3 x 3 pixels) and replace the brightness value of the current pixel with the minimum or maximum brightness value encountered, respectively. brightness value of the current pixel with the minimum or maximum brightness value encountered, respectively.
  • 44.
    Spatial Frequency Filtering Spatial Frequency Filtering
  • 45.
    Spatial Convolution Filtering: Spatial Convolution Filtering: High Frequency Filter High Frequency Filter High-pass filtering is applied to imagery to remove the slowly varying components and enhance the high-frequency High-pass filtering is applied to imagery to remove the slowly varying components and enhance the high-frequency local variations. One high-frequency filter local variations. One high-frequency filter (HFF5,out) is computed by subtracting the output of the low-frequency filter (LFF5,out) from twice the value of the original central pixel value, BV5: (HFF5,out) is computed by subtracting the output of the low-frequency filter (LFF5,out) from twice the value of the original central pixel value, BV5: out out HFF x BV LFF 5, 5 5, = (2 ) -
  • 46.
    Spatial Frequency Filtering Spatial Frequency Filtering
  • 47.
    Spatial Convolution Filtering: Unequal-weighted smoothing Filter Spatial Convolution Filtering: Unequal-weighted smoothing Filter 0.25 0.50 0.25 0.50 1 0.50 0.25 0.50 0.25 1 1 1 1 2 1 1 1 1
  • 48.
    Spatial Convolution Filtering: Spatial Convolution Filtering: Edge Enhancement Edge Enhancement For many remote sensing Earth science applications, the most valuable information that may be derived from an image is contained in the edges surrounding various objects of interest. Edge enhancement delineates these edges and makes the shapes and details comprising the image more conspicuous and perhaps easier to analyze. Edges may be enhanced using either linear or nonlinear edge enhancement techniques. For many remote sensing Earth science applications, the most valuable information that may be derived from an image is contained in the edges surrounding various objects of interest. Edge enhancement delineates these edges and makes the shapes and details comprising the image more conspicuous and perhaps easier to analyze. Edges may be enhanced using either linear or nonlinear edge enhancement techniques.
  • 49.
    Spatial Convolution Filtering:Directional First-Difference Linear Edge Enhancement Spatial Convolution Filtering: Directional First-Difference Linear Edge Enhancement Vertical = BV - BV + K i j i j , , 1 Horizontal = BV - BV + K i , j i 1, j NE Diagonal = BV - BV + K i j i j + + , 1, 1 SE Diagonal = BV - BV + K i j i j - + - + , 1, 1 The result of the subtraction can be either negative or possible, therefore a constant, K (usually 127) is added to make all values positive and centered between 0 and 255 The result of the subtraction can be either negative or possible, therefore a constant, K (usually 127) is added to make all values positive and centered between 0 and 255
  • 50.
    Spatial Convolution Filtering:High-pass Filters that Accentuate or Sharpen Edges Spatial Convolution Filtering: High-pass Filters that Accentuate or Sharpen Edges -1 -1 -1 -1 9 -1 -1 -1 -1 1 -2 1 -2 5 -2 1 -2 1
  • 51.
    Spatial Convolution Filtering: Spatial Convolution Filtering: Linear Edge Enhancement - Embossing Linear Edge Enhancement - Embossing 0 0 0 1 0 -1 0 0 0 EEmmbboossss EEaasstt 0 0 1 0 0 0 -1 0 0 EEmmbboossss NNWW
  • 52.
    Spatial Frequency Filtering Spatial Frequency Filtering
  • 53.
    Spatial Convolution Filtering: Spatial Convolution Filtering: Compass Gradient Masks Compass Gradient Masks 1 1 1 1 -2 1 -1 -1 -1 NNoorrtthh 1 1 1 -1 -2 1 -1 -1 1 NNoorrtthheeaasstt -1 1 1 -1 -2 1 -1 1 1 EEaasstt
  • 54.
    Spatial Frequency Filtering Spatial Frequency Filtering
  • 55.
    Spatial Convolution Filtering: Spatial Convolution Filtering: Edge Enhancement Using Laplacian Convolution Masks Edge Enhancement Using Laplacian Convolution Masks The Laplacian is a second derivative (as opposed to the gradient which is a first derivative) and is invariant to rotation, meaning that it is insensitive to the direction in which the discontinuities (point, line, and edges) run. The Laplacian is a second derivative (as opposed to the gradient which is a first derivative) and is invariant to rotation, meaning that it is insensitive to the direction in which the discontinuities (point, line, and edges) run.
  • 56.
    Spatial Convolution Filtering: Laplacian Convolution Masks Spatial Convolution Filtering: Laplacian Convolution Masks 0 -1 0 -1 4 -1 0 -1 0 -1 -1 -1 -1 8 -1 -1 -1 -1 1 -2 1 -2 4 -2 1 -2 1
  • 57.
    Spatial Frequency Filtering Spatial Frequency Filtering
  • 58.
    Spatial Convolution Filtering:Edge Spatial Convolution Filtering: Edge Enhancement Using Laplacian Convolution Masks Enhancement Using Laplacian Convolution Masks The following Laplacian operator may be used to subtract the Laplacian edges from the original image: The following Laplacian operator may be used to subtract the Laplacian edges from the original image: 1 1 1 1 -7 1 1 1 1
  • 59.
    Spatial Convolution Filtering:Edge Spatial Convolution Filtering: Edge Enhancement Using Laplacian Convolution Masks Enhancement Using Laplacian Convolution Masks By itself, the Laplacian image may be difficult to interpret. Therefore, a Laplacian edge enhancement may be added back to the original image using the following mask: By itself, the Laplacian image may be difficult to interpret. Therefore, a Laplacian edge enhancement may be added back to the original image using the following mask: 0 -1 0 -1 5 -1 0 -1 0
  • 60.
    Spatial Frequency Filtering Spatial Frequency Filtering
  • 61.
    Spatial Convolution Filtering:Non-linear Edge Enhancement Using the Sobel Operator Spatial Convolution Filtering: Non-linear Edge Enhancement Using the Sobel Operator 2 2 Sobel = X + Y out ( ) ( ) ( ) ( ) 1 2 3 7 8 9 X = BV + 2 BV + BV - BV + 2 BV + BV 3 6 9 1 4 7 5, Y BV 2 BV BV BV 2 BV BV where = + + - + + 1 2 4 7 8 3 6 9 order
  • 62.
    The Sobel operatormay also be computed by simultaneously applying the following 3 x 3 The Sobel operator may also be computed by simultaneously applying the following 3 x 3 templates across the image: templates across the image: -1 0 1 -2 0 2 -1 0 1 1 2 1 0 0 0 -1 -2 -1 XX == YY = =
  • 63.
    Spatial Frequency Filtering Spatial Frequency Filtering
  • 64.
    Spatial Convolution Filtering:Non-linear Edge Enhancement Using the Robert’’s Edge Detector Spatial Convolution Filtering: Non-linear Edge Enhancement Using the Robert’’s Edge Detector The Robert’’s edge detector is based on the use of only four elements of a 3 x 3 mask. The Robert’’s edge detector is based on the use of only four elements of a 3 x 3 mask. Roberts X Y 5, out X = BV - BV 5 9 Y BV BV 6 8 where = - = + 1 2 4 7 8 3 6 9 order 5
  • 65.
    Spatial Frequency Filtering Spatial Frequency Filtering
  • 66.
    The Robert’s Edgeoperator may also be computed by simultaneously applying the following 3 x 3 templates across the image: The Robert’s Edge operator may also be computed by simultaneously applying the following 3 x 3 templates across the image: 0 0 0 0 1 0 0 0 -1 0 0 0 0 0 1 0 -1 0 XX == YY = =
  • 67.
    Spatial Convolution Filtering:Non-linear Edge Enhancement Using the Kirsch Edge Detector Spatial Convolution Filtering: Non-linear Edge Enhancement Using the Kirsch Edge Detector The Kirsch nonlinear edge enhancement calculates the gradient at pixel location BVi,j . To apply this operator, however, it is first necessary to designate a different 3 x 3 window numbering scheme. The Kirsch nonlinear edge enhancement calculates the gradient at pixel location BVi,j . To apply this operator, however, it is first necessary to designate a different 3 x 3 window numbering scheme. BV0 BV1 BV2 BV0 BV1 BV2 Kirsh window = BV7 BVi,j BV3 Kirsh window = BV7 BVi,j BV3 BV6 BV5 BV4 BV6 BV5 BV4
  • 68.
    Spatial Convolution Filtering:Non-linear Edge Enhancement Using the Kirsch Edge Detector Spatial Convolution Filtering: Non-linear Edge Enhancement Using the Kirsch Edge Detector î í ì - = [ ( )] 7 BV Abs S T , 0 max 1,max 5 3 i j i = i i S = BV + BV + Bv i i i i + + 1 2 T = BV + BV + Bv + BV + Bv þ ý ü i i i i i i + + + + + 3 4 5 6 7 where The subscripts of BV are evaluated modulo 8, meaning that the computation moves around the perimeter of the mask in eight steps. The edge enhancement computes the maximal compass gradient magnitude about input image points although the input pixel value BVi,j is never used in the computation The subscripts of BV are evaluated modulo 8, meaning that the computation moves around the perimeter of the mask in eight steps. The edge enhancement computes the maximal compass gradient magnitude about input image points although the input pixel value BVi,j is never used in the computation
  • 69.
    Spatial Frequency Filtering Spatial Frequency Filtering
  • 70.
    HHiissttooggrraamm EEqquuaalliizzaattiioonn •eevvaalluuaatteess tthhee iinnddiivviidduuaall bbrriigghhttnneessss vvaalluueess iinn aa bbaanndd ooff iimmaaggeerryy aanndd aassssiiggnnss aapppprrooxxiimmaatteellyy aann eeqquuaall nnuummbbeerr ooff ppiixxeellss ttoo eeaacchh ooff tthhee uusseerr--ssppeecciiffiieedd oouuttppuutt ggrraayy--ssccaallee ccllaasssseess ((ee..gg..,, 3322,, 6644,, aanndd 225566)).. • aapppplliieess tthhee ggrreeaatteesstt ccoonnttrraasstt eennhhaanncceemmeenntt ttoo tthhee mmoosstt ppooppuullaatteedd rraannggee ooff bbrriigghhttnneessss vvaalluueess iinn tthhee iimmaaggee.. • rreedduucceess tthhee ccoonnttrraasstt iinn tthhee vveerryy lliigghhtt oorr ddaarrkk ppaarrttss ooff tthhee iimmaaggee aassssoocciiaatteedd wwiitthh tthhee ttaaiillss ooff aa nnoorrmmaallllyy ddiissttrriibbuutteedd hhiissttooggrraamm.. • eevvaalluuaatteess tthhee iinnddiivviidduuaall bbrriigghhttnneessss vvaalluueess iinn aa bbaanndd ooff iimmaaggeerryy aanndd aassssiiggnnss aapppprrooxxiimmaatteellyy aann eeqquuaall nnuummbbeerr ooff ppiixxeellss ttoo eeaacchh ooff tthhee uusseerr--ssppeecciiffiieedd oouuttppuutt ggrraayy--ssccaallee ccllaasssseess ((ee..gg..,, 3322,, 6644,, aanndd 225566)).. • aapppplliieess tthhee ggrreeaatteesstt ccoonnttrraasstt eennhhaanncceemmeenntt ttoo tthhee mmoosstt ppooppuullaatteedd rraannggee ooff bbrriigghhttnneessss vvaalluueess iinn tthhee iimmaaggee.. • rreedduucceess tthhee ccoonnttrraasstt iinn tthhee vveerryy lliigghhtt oorr ddaarrkk ppaarrttss ooff tthhee iimmaaggee aassssoocciiaatteedd wwiitthh tthhee ttaaiillss ooff aa nnoorrmmaallllyy ddiissttrriibbuutteedd hhiissttooggrraamm..
  • 71.
    Statistics for a64 x 64 Hypothetical Image Statistics for a 64 x 64 Hypothetical Image with Brightness Values from 0 to 7 with Brightness Values from 0 to 7 44009966 t otototatatall
  • 72.
  • 73.
    Transformation Function, kifor each Transformation Function, ki for each individual brightness value individual brightness value For each brightness value level BVi in the quantk range of 0 to 7 of the original histogram, a new cumulative frequency value ki is calculated: For each brightness value level BVi in the quantk range of 0 to 7 of the original histogram, a new cumulative frequency value ki is calculated: ( ) å= k = f BV quantk i i i n 0 where the summation counts the frequency of pixels in the image with brightness values equal to or less than BVi, and n is the total number of pixels in the where the summation counts the frequency of pixels in the image with brightness values equal to or less than BVi, and n is the total number of pixels in the entire scene (4,096 in this example). entire scene (4,096 in this example).
  • 74.
  • 75.
    The histogram equalizationprocess iteratively compares the transformation function ki with the original values of li, to determine which are closest in value. The closest match is reassigned to the appropriate brightness value. FFoorr eexxaammppllee,, wwee sseeee tthhaatt kk00 == 00..1199 iiss cclloosseesstt ttoo LL11 == 00..1144.. TThheerreeffoorree,, aallll ppiixxeellss iinn BBVV00 ((779900 ooff tthheemm)) wwiillll bbee aassssiiggnneedd ttoo BBVV11.. SSiimmiillaarrllyy,, tthhee 11002233 ppiixxeellss iinn BBVV11 wwiillll bbee aassssiiggnneedd ttoo BBVV33,, tthhee 885500 ppiixxeellss iinn BBVV22 wwiillll bbee aassssiiggnneedd ttoo BBVV55,, tthhee 665566 ppiixxeellss iinn BBVV33 wwiillll bbee aassssiiggnneedd ttoo BBVV66,, tthhee 332299 ppiixxeellss iinn BBVV44 wwiillll aallssoo bbee aassssiiggnneedd ttoo BBVV66,, aanndd aallll 444488 bbrriigghhttnneessss vvaalluueess iinn BBVV55––77 wwiillll bbee aassssiiggnneedd ttoo BBVV77.. TThhee nneeww iimmaaggee wwiillll nnoott hhaavvee aannyy ppiixxeellss wwiitthh bbrriigghhttnneessss vvaalluueess ooff 00,, 22,, oorr 44.. TThhiiss iiss eevviiddeenntt wwhheenn eevvaalluuaattiinngg tthhee nneeww hhiissttooggrraamm.. WWhheenn aannaallyyssttss sseeee ssuucchh ggaappss iinn iimmaaggee hhiissttooggrraammss,, iitt iiss uussuuaallllyy aa ggoooodd iinnddiiccaattiioonn tthhaatt hhiissttooggrraamm eeqquuaalliizzaattiioonn oorr ssoommee ootthheerr ooppeerraattiioonn hhaass bbeeeenn aapppplliieedd. pr The histogram equalization process iteratively compares the transformation function ki with the original values of li, to determine which are closest in value. The closest match is reassigned to the appropriate brightness value. FFoorr eexxaammppllee,, wwee sseeee tthhaatt kk00 == 00..1199 iiss cclloosseesstt ttoo LL11 == 00..1144.. TThheerreeffoorree,, aallll ppiixxeellss iinn BBVV00 ((779900 ooff tthheemm)) wwiillll bbee aassssiiggnneedd ttoo BBVV11.. SSiimmiillaarrllyy,, tthhee 11002233 ppiixxeellss iinn BBVV11 wwiillll bbee aassssiiggnneedd ttoo BBVV33,, tthhee 885500 ppiixxeellss iinn BBVV22 wwiillll bbee aassssiiggnneedd ttoo BBVV55,, tthhee 665566 ppiixxeellss iinn BBVV33 wwiillll bbee aassssiiggnneedd ttoo BBVV66,, tthhee 332299 ppiixxeellss iinn BBVV44 wwiillll aallssoo bbee aassssiiggnneedd ttoo BBVV66,, aanndd aallll 444488 bbrriigghhttnneessss vvaalluueess iinn BBVV55––77 wwiillll bbee aassssiiggnneedd ttoo BBVV77.. TThhee nneeww iimmaaggee wwiillll nnoott hhaavvee aannyy ppiixxeellss wwiitthh bbrriigghhttnneessss vvaalluueess ooff 00,, 22,, oorr 44.. TThhiiss iiss eevviiddeenntt wwhheenn eevvaalluuaattiinngg tthhee nneeww hhiissttooggrraamm.. WWhheenn aannaallyyssttss sseeee ssuucchh ggaappss iinn iimmaaggee hhiissttooggrraammss,, iitt iiss uussuuaallllyy aa ggoooodd iinnddiiccaattiioonn tthhaatt hhiissttooggrraamm eeqquuaalliizzaattiioonn oorr ssoommee ootthheerr ooppeerraattiioonn hhaass bbeeeenn aapppplliieedd.
  • 77.
    Statistics of Howa a 64 x 64 Hypothetical Image with Brightness Values from 0 to 7 is Histogram Equalized Statistics of How a a 64 x 64 Hypothetical Image with Brightness Values from 0 to 7 is Histogram Equalized
  • 79.
    PPrriinncciippaall CCoommppoonneennttss AAnnaallyyssiiss • ttrraannssffoorrmmaattiioonn ooff tthhee rraaww rreemmoottee sseennssoorr ddaattaa uussiinngg PPCCAA ccaann rreessuulltt iinn nneeww pprriinncciippaall ccoommppoonneenntt iimmaaggeess tthhaatt mmaayy bbee mmoorree iinntteerrpprreettaabbllee tthhaann tthhee oorriiggiinnaall ddaattaa.. • mmaayy aallssoo bbee uusseedd ttoo ccoommpprreessss tthhee iinnffoorrmmaattiioonn ccoonntteenntt ooff aa nnuummbbeerr ooff bbaannddss ooff iimmaaggeerryy ((ee..gg..,, sseevveenn TThheemmaattiicc MMaappppeerr bbaannddss)) iinnttoo jjuusstt ttwwoo oorr tthhrreeee ttrraannssffoorrmmeedd pprriinncciippaall ccoommppoonneenntt iimmaaggeess.. TThhee aabbiilliittyy ttoo rreedduuccee tthhee ddiimmeennssiioonnaalliittyy ((ii..ee..,, tthhee nnuummbbeerr ooff bbaannddss iinn tthhee ddaattaasseett tthhaatt mmuusstt bbee aannaallyyzzeedd ttoo pprroodduuccee uussaabbllee rreessuullttss)) ffrroomm nn ttoo ttwwoo oorr tthhrreeee bbaannddss iiss aann iimmppoorrttaanntt eeccoonnoommiicc ccoonnssiiddeerraattiioonn,, eessppeecciiaallllyy iiff tthhee ppootteennttiiaall iinnffoorrmmaattiioonn rreeccoovveerraabbllee ffrroomm tthhee ttrraannssffoorrmmeedd ddaattaa iiss jjuusstt aass ggoooodd aass tthhee oorriiggiinnaall rreemmoottee sseennssoorr ddaattaa.. • ttrraannssffoorrmmaattiioonn ooff tthhee rraaww rreemmoottee sseennssoorr ddaattaa uussiinngg PPCCAA ccaann rreessuulltt iinn nneeww pprriinncciippaall ccoommppoonneenntt iimmaaggeess tthhaatt mmaayy bbee mmoorree iinntteerrpprreettaabbllee tthhaann tthhee oorriiggiinnaall ddaattaa.. • mmaayy aallssoo bbee uusseedd ttoo ccoommpprreessss tthhee iinnffoorrmmaattiioonn ccoonntteenntt ooff aa nnuummbbeerr ooff bbaannddss ooff iimmaaggeerryy ((ee..gg..,, sseevveenn TThheemmaattiicc MMaappppeerr bbaannddss)) iinnttoo jjuusstt ttwwoo oorr tthhrreeee ttrraannssffoorrmmeedd pprriinncciippaall ccoommppoonneenntt iimmaaggeess.. TThhee aabbiilliittyy ttoo rreedduuccee tthhee ddiimmeennssiioonnaalliittyy ((ii..ee..,, tthhee nnuummbbeerr ooff bbaannddss iinn tthhee ddaattaasseett tthhaatt mmuusstt bbee aannaallyyzzeedd ttoo pprroodduuccee uussaabbllee rreessuullttss)) ffrroomm nn ttoo ttwwoo oorr tthhrreeee bbaannddss iiss aann iimmppoorrttaanntt eeccoonnoommiicc ccoonnssiiddeerraattiioonn,, eessppeecciiaallllyy iiff tthhee ppootteennttiiaall iinnffoorrmmaattiioonn rreeccoovveerraabbllee ffrroomm tthhee ttrraannssffoorrmmeedd ddaattaa iiss jjuusstt aass ggoooodd aass tthhee oorriiggiinnaall rreemmoottee sseennssoorr ddaattaa..
  • 80.
    The spatial relationshipbetween the first two principal components: (a) Scatter-plot of data points collected from two remotely bands labeled X1 and X2 with the means of the distribution labeled μ1 and μ2. (b) A new coordinate system is created by shifting the axes to an X¢ system. The values for the new data points are found by the relationship X1¢ = X1 – μ1 and X2¢ = X2 – μ2. (c) The X¢ axis system is then rotated about its origin (μ1, μ2) so that PC1 is projected through the semi-major axis of the distribution of points and the variance of PC1 is a maximum. PC2 must be perpendicular to PC1. The PC axes are the principal components of this two-dimensional data space. Component 1 usually accounts for approximately 90% of the variance, with component 2 accounting for approximately 5%. The spatial relationship between the first two principal components: (a) Scatter-plot of data points collected from two remotely bands labeled X1 and X2 with the means of the distribution labeled μ1 and μ2. (b) A new coordinate system is created by shifting the axes to an X¢ system. The values for the new data points are found by the relationship X1¢ = X1 – μ1 and X2¢ = X2 – μ2. (c) The X¢ axis system is then rotated about its origin (μ1, μ2) so that PC1 is projected through the semi-major axis of the distribution of points and the variance of PC1 is a maximum. PC2 must be perpendicular to PC1. The PC axes are the principal components of this two-dimensional data space. Component 1 usually accounts for approximately 90% of the variance, with component 2 accounting for approximately 5%.
  • 81.
    SSttaattiissttiiccss UUsseedd iinntthhee PPrriinncciippaall CCoommppoonneennttss AAnnaallyyssiiss
  • 82.
    SSttaattiissttiiccss UUsseedd iinntthhee PPrriinncciippaall CCoommppoonneennttss AAnnaallyyssiiss
  • 83.
    1. The n´ n covariance matrix, Cov, of the n-dimensional remote sensing data set to be transformed is computed. Use of the covariance matrix results in an unstandardized PCA, whereas use of the correlation matrix results in a standardized PCA. 2. The eigenvalues, E = [l1,1, l2,2, l3,3, …, ln.n], and eigenvectors EV = [akp … for k = 1 to n bands, and p = 1 to n components] of the covariance matrix are computed such that:
  • 84.
    E E whereEVT is the transpose of the eigenvector matrix, EV, and E is a diagonal covariance matrix whose elements, li,i, called eigenvalues, are the variances where EVT is the transpose of the eigenvector matrix, EV, and E is a diagonal covariance matrix whose elements, li ,i, called eigenvalues, are the variances of the pth principal components, where p = 1 to n components. of the pth principal components, where p = 1 to n components.
  • 85.
    Eigenvalues Computed EigenvaluesComputed ffoorr tthhee CCoovvaarriiaannccee MMaattrriixx p = 1 7 p = 1
  • 86.
    Eigenvectors (ap) (FactorScores) Computed Eigenvectors (ap) (Factor Scores) Computed for the Covariance Matrix for the Covariance Matrix
  • 87.
    Correlation, Rk,pCorrelation, R, Between Band k and Each Principal Component p k,p, Between Band k and Each Principal Component p where: ak,p = eigenvector for band k and component p lp = pth eigenvalue Vark = variance of band k in the where: ak,p = eigenvector for band k and component p lp = pth eigenvalue Vark = variance of band k in the covariance matrix covariance matrix
  • 88.
    It is possibleto compute a new value for pixel 1,1 (it has 7 bands) in principal component number 1 using the following equation: It is possible to compute a new value for pixel 1,1 (it has 7 bands) in principal component number 1 using the following equation: n å= newBV = a BV i , j , p kp i , j , k k 1 original original remote sensor data for pixel remote sensor data for pixel 1,1 1,1 where akp = eigenvectors, BVi,j,k = brightness value in band k for the pixel at row i, column j, and n = number of bands. where akp = eigenvectors, BVi,j,k = brightness value in band k for the pixel at row i, column j, and n = number of bands.
  • 89.
    1,1,1 1,1 1,1,12,1 1,1,2 3,1 1,1,3 newBV = a BV + a BV + a BV 4,1 1,1,4 5,1 1,1,5 6,1 1,1,6 7,1 1,1,7 + a BV + a BV + a BV + a BV 0.205(20) 0.127(30) 0.204(22) 1,1,1 newBV = + + + 0.443(60) + 0.742(70) + 0.376(62) + 0.106(50) =119.53
  • 90.
    Principal Components Analysis(PCA) Principal Components Analysis (PCA)
  • 91.
  • 92.
    RReemmoottee SSeennssiinngg ooffVVeeggeettaattiioonn Spectral Characteristics
  • 93.
    Dominant Factors DDoommiinnaannttFFaaccttoorrss CCoonnttrroolllliinngg LLeeaaff RReefflleeccttaannccee Water Water absorption bands: absorption bands: 0.97 mm 1.19 mm 1.45 mm 1.94 mm 2.70 mm 0.97 mm 1.19 mm 1.45 mm 1.94 mm 2.70 mm JeJnesnesne,n ,2 0200044
  • 94.
    Cross-section Through A Hypothetical and Real Leaf Revealing the Major Structural Components Cross-section Through A Hypothetical and Real Leaf Revealing the Major Structural Components that Determine the Spectral Reflectance that Determine the Spectral Reflectance of Vegetation of Vegetation JeJnesnesne,n 2, 0200404
  • 95.
  • 96.
    JeJnesnesne,n ,2 0200044 Absorption Spectra of Chlorophyll a and b, b- carotene, Pycoerythrin, and Phycocyanin Pigments Absorption Spectra of Chlorophyll a and b, b- carotene, Pycoerythrin, and Phycocyanin Pigments lack of absorption lack of absorption • Chlorophyll a peak absorption is at 0.43 and 0.66 mm. • Chlorophyll b peak absorption is at 0.45 and 0.65 mm. • Optimum chlorophyll absorption windows: 0.45 - 0.52 mm and 0.63 - 0.69 mm • Chlorophyll a peak absorption is at 0.43 and 0.66 mm. • Chlorophyll b peak absorption is at 0.45 and 0.65 mm. • Optimum chlorophyll absorption windows: 0.45 - 0.52 mm and 0.63 - 0.69 mm
  • 97.
    Litton Emerge Spatial,Inc., CIR image (RGB = NIR,R,G) of Dunkirk, NY, at 1 x 1 m obtained on December 12, 1998. Litton Emerge Spatial, Inc., CIR image (RGB = NIR,R,G) of Dunkirk, NY, at 1 x 1 m obtained on December 12, 1998. Natural color image (RGB = RGB) of a N.Y. Power Authority lake at 1 x 1 ft obtained on Natural color image (RGB = RGB) of a N.Y. Power Authority lake at 1 x 1 ft obtained on October 13, 1997. October 13, 1997.
  • 98.
    Spectral Reflectance Characteristicsof Sweetgum Leaves Spectral Reflectance Characteristics of Sweetgum Leaves (Liquidambar styraciflua L.) (Liquidambar styraciflua L.)
  • 99.
    1 2 a 3 4 35 35 30 30 25 25 20 20 15 15 10 10 5 0 Blue Percent Reflectance Percent Reflectance 5 (0.45 - 0.52 m m) Green leaf Yellow Red/orange Brown 1 2 3 4 45 40 Green (0.52 - 0.60 m m) Red (0.63 - 0.69 m m) 1 2 3 Near-Infrared (0.70 - 0.92 m m) a. b. c. d. 1 2 a 3 4 0 Blue (0.45 - 0.52 m m) Green leaf Yellow Red/orange Brown 4 45 40 Green (0.52 - 0.60 m m) Red (0.63 - 0.69 m m) Near-Infrared (0.70 - 0.92 m m) a. b. c. d. Spectral Reflectance Characteristics of Selected Areas of Blackjack Oak Leaves Spectral Reflectance Characteristics of Selected Areas of Blackjack Oak Leaves
  • 100.
  • 101.
    Hypothetical Example of Additive Reflectance from A Canopy with Two Leaf Layers Hypothetical Example of Additive Reflectance from A Canopy with Two Leaf Layers JeJnesnesne,n ,2 0200044
  • 102.
  • 103.
    Distribution of Pixelsin a Scene in Distribution of Pixels in a Scene in Red and Near-infrared Multispectral Feature Space Red and Near-infrared Multispectral Feature Space JeJnesnesne,n ,2 0200044
  • 104.
    Reflectance Response ofa Single Magnolia Leaf Reflectance Response of a Single Magnolia Leaf (Magnolia grandiflora) to Decreased Relative Water Content (Magnolia grandiflora) to Decreased Relative Water Content JeJnesnesne,n ,2 0200044
  • 105.
    Airborne Visible InfraredImaging Airborne Visible Infrared Imaging Spectrometer (AVIRIS) Datacube of Sullivan’s Island Obtained on Spectrometer (AVIRIS) Datacube of Sullivan’s Island Obtained on October 26, 1998 October 26, 1998
  • 106.
    Imaging Spectrometer Dataof Healthy Green Vegetation in the San Luis Valley of Colorado Obtained on September 3, 1993 Using AVIRIS Imaging Spectrometer Data of Healthy Green Vegetation in the San Luis Valley of Colorado Obtained on September 3, 1993 Using AVIRIS JeJnesnesne,n 2, 0200000 222244 c chhaannnneelsls e eaacchh 1 100 n nmm w wididee w witihth 2 200 x x 2 200 m m p pixixeelsls
  • 107.
    Hyperspectral Analysis HyperspectralAnalysis of AVIRIS Data of AVIRIS Data Obtained on September 3, 1993 of San Luis Obtained on September 3, 1993 of San Luis Valley, Colorado Valley, Colorado JeJnesnsnesne,n,n 2,2, 0202000000000
  • 108.
    RReemmoottee SSeennssiinngg ooffVVeeggeettaattiioonn Temporal (Phenological) Characteristics Temporal (Phenological) Characteristics
  • 109.
    Predicted Percent PPrreeddiicctteeddPPeerrcceenntt C Clloloouudd C Coovveerr i ininn F Foouurr A Arreeaass i ininn t ththhee U Unniititteteedd S Sttataatteteess JeJnesnesne,n ,2 0200000
  • 110.
    Phenological Cycle PPhheennoollooggiiccaallCCyyccllee ooff HHaarrdd RReedd W Wiininntteteerr W Whheeaatt i ininn t ththhee G Grreeaatt P Pllalaaiininnss SEP OCT NOV DEC JAN FEB MAR APR MAY JUN JUL AUG crop establishment 50 108 days 28 34 29 21 10 14 greening up heading mature 50 108 days 28 34 29 21 14 14 21 13 25 4 7 9 5 26 Sow Tillering Emergence Dormancy Growth resumes Heading Boot Harvest Dead ripe Harvest Soft Hard dough dough Jointing Maximum Coverage Winter Wheat Phenology snow cover SEP OCT NOV DEC JAN FEB MAR APR MAY JUN JUL AUG crop establishment 10 14 greening up heading mature 14 14 21 13 25 4 7 9 5 26 Sow Tillering Emergence Dormancy Growth resumes Heading Boot Dead ripe Soft Hard dough dough Jointing Maximum Coverage Winter Wheat Phenology snow cover JeJnesnesne,n ,2 0200000
  • 111.
    Phenological Cycles of Phenological Cycles of San Joaquin and Imperial Valley, California Crops and Landsat Multispectral Scanner Images of One San Joaquin and Imperial Valley, California Crops and Landsat Multispectral Scanner Images of One Field During A Growing Season Field During A Growing Season JeJnesnesne,n 2, 0200000
  • 112.
    Landsat Thematic MapperImagery of Landsat Thematic Mapper Imagery of the Imperial the Imperial Valley, California Valley, California Obtained on Obtained on December 10, 1982 December 10, 1982 JeJnesnesne,n ,2 0200000 Band 1 (blue; 0.45 – 0.52 mm) Band 2 (green; 0.52 – 0.60 mm) Band 3 (red; 0.63 – 0.69 mm) Band 1 (blue; 0.45 – 0.52 mm) Band 2 (green; 0.52 – 0.60 mm) Band 3 (red; 0.63 – 0.69 mm) Band 4 (near-infrared; 0.76 – 0.90 mm) Band 5 (mid-infrared; 1.55 – 1.75 mm) Band 7 (mid-infrared; 2.08 – 2.35 mm) Band 4 (near-infrared; 0.76 – 0.90 mm) Band 5 (mid-infrared; 1.55 – 1.75 mm) Band 7 (mid-infrared; 2.08 – 2.35 mm) Band 6 (thermal infrared; 10.4 – 12.5 mm) Sugarbeets Alfalfa Cotton Fallow feed lot fl Ground Reference Landsat Thematic Mapper Imagery of Imperial Valley, California, December 10, 1982 Band 6 (thermal infrared; 10.4 – 12.5 mm) Sugarbeets Alfalfa Cotton Fallow feed lot fl Ground Reference Landsat Thematic Mapper Imagery of Imperial Valley, California, December 10, 1982
  • 113.
    Landsat Thematic MapperColor Composites and Classification Map of a Portion of the Imperial Valley, California Landsat Thematic Mapper Color Composites and Classification Map of a Portion of the Imperial Valley, California JeJnesnesne,n 2, 0200000
  • 114.
    Phenological Cycles ofSoybeans and Phenological Cycles of Soybeans and Corn in South Carolina Corn in South Carolina JeJnesnesne,n ,2 0200000 snow cover snow cover 125 125 100 100 75 75 50 50 50% 50% JAN FEB MAR APR MAY JUN SEP OCT NOV DEC Initial growth Maturity Harvest 25 cm height Dormant or multicropped Soybeans 100% ground cover JUL AUG Development snow cover snow cover 300 300 250 250 200 200 150 150 125 125 75 75 50 50 JAN FEB MAR APR MAY JUN SEP OCT NOV DEC 12-14 leaf 12-14 leaf 8-leaf Tassle Dent/Harvest 25 cm height Dormant or multicropped JUL AUG Dormant or multicropped 100 10 - 12 leaf Blister Corn 100% 50% a. b. JAN FEB MAR APR MAY JUN SEP OCT NOV DEC Initial growth Maturity Harvest 25 cm height Dormant or multicropped Soybeans 100% ground cover JUL AUG Development JAN FEB MAR APR MAY JUN SEP OCT NOV DEC 8-leaf Tassle Dent/Harvest 25 cm height Dormant or multicropped JUL AUG Dormant or multicropped 100 10 - 12 leaf Blister Corn 100% 50% a. b. SSooyybbeeaannss CCoornrn
  • 115.
    Phenological Cycles ofWinter Wheat, Cotton, and Tobacco in South Carolina Phenological Cycles of Winter Wheat, Cotton, and Tobacco in South Carolina JeJnesnesne,n ,2 0200000 Winter Wheat Winter Wheat 100% ground cover 100% ground cover snow cover snow cover 100 100 75 75 50 50 25 cm 25 cm 50% 50% JAN FEB MAR APR MAY JUN JUL AUG SEP OCT NOV DEC Tillering Jointing Booting Head Harvest Dormant or multicropped Seed Winter Wheat Phenology Winter Wheat Phenology 150 150 125 125 100 100 75 75 50 50 b. b. JAN FEB MAR APR MAY JUN SEP OCT NOV DEC Seeding Boll Maturity/harvest snow cover 25 cm height Dormant or multicropped Cotton 100% ground cover JUL AUG Fruiting Pre-bloom 50% snow cover snow cover 125 125 100 100 75 75 50 50 50% 50% JAN FEB MAR APR MAY JUN SEP OCT NOV DEC Transplanting Development Maturity/harvest 25 cm height Dormant or multicropped Tobacco 100% JUL AUG Topping Dormant or multicropped a. c. JAN FEB MAR APR MAY JUN JUL AUG SEP OCT NOV DEC Tillering Jointing Booting Head Harvest Dormant or multicropped Seed JAN FEB MAR APR MAY JUN SEP OCT NOV DEC Seeding Boll Maturity/harvest snow cover 25 cm height Dormant or multicropped Cotton 100% ground cover JUL AUG Fruiting Pre-bloom 50% JAN FEB MAR APR MAY JUN SEP OCT NOV DEC Transplanting Development Maturity/harvest 25 cm height Dormant or multicropped Tobacco 100% JUL AUG Topping Dormant or multicropped a. c. WWininteter rW Whheeaatt CCootttotonn TToobbaaccccoo
  • 116.
  • 117.
    Reflectance Curves ReflectanceCurves ffoorr SSeelleecctteedd PPhheennoommeennaa
  • 118.
  • 119.
    Infrared/R IInnffrraarreedd//RReedd RRaattiiooVVeeggeettaattiioonn IInnddeexx The near-infrared (NIR) to red simple ratio (SR) is the first true vegetation index: The near-infrared (NIR) to red simple ratio (SR) is the first true vegetation index: SR = NIR red It takes advantage of the inverse relationship between chlorophyll absorption of red radiant energy and increased reflectance of near-infrared energy for healthy plant canopies (Cohen, 1991) . It takes advantage of the inverse relationship between chlorophyll absorption of red radiant energy and increased reflectance of near-infrared energy for healthy plant canopies (Cohen, 1991) .
  • 120.
    Normalized NNoorrmmaalliizzeedd DDiiffffeerreenncceeVVeeggeettaattiioonn IInnddeexx The generic normalized difference vegetation index (NDVI): The generic normalized difference vegetation index (NDVI): NDVI = NIR - red NIR + red has provided a method of estimating net primary production over varying biome types (e.g. Lenney et al., 1996), identifying ecoregions (Ramsey et al., 1995), monitoring phenological patterns of the earth’’s vegetative surface, and of assessing the length of the growing season and dry-down periods (Huete and Liu, 1994). has provided a method of estimating net primary production over varying biome types (e.g. Lenney et al., 1996), identifying ecoregions (Ramsey et al., 1995), monitoring phenological patterns of the earth’’s vegetative surface, and of assessing the length of the growing season and dry-down periods (Huete and Liu, 1994).
  • 121.
  • 122.
    Time Series of1984 and 1988 NDVI Measurements Derived from AVHRR Global Area Coverage (GAC) Data for the Region around El Obeid, Sudan, in Sub-Saharan Time Series of 1984 and 1988 NDVI Measurements Derived from AVHRR Global Area Coverage (GAC) Data for the Region around El Obeid, Sudan, in Sub-Saharan Africa Africa JeJnesnesne,n ,2 0200000
  • 123.
  • 124.
    VVeeggeettaattiioonn IInnddiicceess Simpleratio red NIR NDVI = MSS - MSS 6 6 5 MSS + MSS 6 5 NDVI = MSS - MSS 7 7 5 MSS + MSS 7 5 NDVI = TM - TM 4 3 TM + TM TM 4 3 =
  • 125.
    IInnffrraarreedd IInnddeexx AnInfrared Index (II) that incorporates both near and middle-infrared bands is sensitive to changes in plant biomass and water stress in smooth cordgrass studies (Hardisky et al., 1983; 1986): An Infrared Index (II) that incorporates both near and middle-infrared bands is sensitive to changes in plant biomass and water stress in smooth cordgrass studies (Hardisky et al., 1983; 1986): Healthy, mono-specific stands of tidal wetland such as Spartina often exhibit much lower reflectance in the visible (blue, green, and red) wavelengths than typical terrestrial vegetation due to the saturated tidal flat understory. In effect, the moist soil absorbs almost all energy incident to it. This is why wetland often appear surprisingly dark on traditional infrared color composites. Healthy, mono-specific stands of tidal wetland such as Spartina often exhibit much lower reflectance in the visible (blue, green, and red) wavelengths than typical terrestrial vegetation due to the saturated tidal flat understory. In effect, the moist soil absorbs almost all energy incident to it. This is why wetland often appear surprisingly dark on traditional infrared color composites. JeJnesnesne,n ,2 0200000 II = NIRTM4 - MIRTM5 NIRTM4 + MIRTM5
  • 126.
  • 127.
    Kauth-Thomas “ Kauth-Thomas“TTaasssseelleedd CCaapp”” TTrraannssffoorrmmaattiioonn
  • 128.
    Kauth-Thomas Transformation Kauth-Thomas Transformation Landsat Thematic Mapper Landsat Thematic Mapper November 9, 1982 November 9, 1982
  • 129.
    SSooiilill AAddjjujuusstteteedd VVeeggeettataattitiioioonn I Innddeexx ( (SSAAVVII)) Recent emphasis has been given to the development of improved vegetation indices that may take advantage of calibrated hyperspectral sensor systems such as the moderate resolution imaging spectrometer - MODIS (Running et al., 1994). The improved indices incorporate a soil adjustment factor and/or a blue band for atmospheric normalization. The soil adjusted vegetation index (SAVI) introduces a soil calibration factor, L, to the NDVI equation to minimize soil background influences resulting from first order soil-plant Recent emphasis has been given to the development of improved vegetation indices that may take advantage of calibrated hyperspectral sensor systems such as the moderate resolution imaging spectrometer - MODIS (Running et al., 1994). The improved indices incorporate a soil adjustment factor and/or a blue band for atmospheric normalization. The soil adjusted vegetation index (SAVI) introduces a soil calibration factor, L, to the NDVI equation to minimize soil background influences resulting from first order soil-plant spectral interactions (Huete et al., 1994): spectral interactions (Huete et al., 1994): SAVI = (1 + L)(NIR - red) NIR + red + L An L value of 0.5 minimizes soil brightness variations and eliminates the need for additional calibration for different soils (Huete and Liu, 1994). An L value of 0.5 minimizes soil brightness variations and eliminates the need for additional calibration for different soils (Huete and Liu, 1994).
  • 130.
    Soil and AtmosphericallyAdjusted SSooilil l a anndd A Atmtmmoosspphheerriciccaallllylyy A Addjujuussteteedd V Veeggeetatatatititoioionn I Innddeexx ( (S(SSAARRVVII)I)) Huete and Liu (1994) integrated the L function from SAVI and a blue-band normalization to derive a soil and atmospherically resistant vegetation index (SARVI) that corrects for both soil and atmospheric noise: Huete and Liu (1994) integrated the L function from SAVI and a blue-band normalization to derive a soil and atmospherically resistant vegetation index (SARVI) that corrects for both soil and atmospheric noise: where where SARVI = p * nir - p * rb p * nir + p * rb p * rb = p* red -g (p * blue - p * red) The technique requires prior correction for molecular scattering and ozone absorption of the blue, red, and near-infrared remote sensor data, hence the term p*. The technique requires prior correction for molecular scattering and ozone absorption of the blue, red, and near-infrared remote sensor data, hence the term p*.
  • 131.
    EEnnhhaanncceedd VVeeggeettaattiioonn IInnddeexx((EEVVII)) The MODIS Land Discipline Group proposed the Enhanced Vegetation Index (EVI) for use with MODIS Data: The MODIS Land Discipline Group proposed the Enhanced Vegetation Index (EVI) for use with MODIS Data: EVI = p * nir - p * red p * nir + C1p * red - C2p * blue + L The EVI is a modified NDVI with a soil adjustment factor, L, and two coefficients, C1 and C2 which describe the use of the blue band in correction of the red band for atmsoperhic aerosol scattering. The coefficients, C1 , C2 , and L, are empirically determined as 6.0, 7.5, and 1.0, respectively. This algorithm has improved sensitivity to high biomass regions and improved vegetation monitoring thorugh a de-coupling of the canopy background signal and a reduction in atmospheric influences (Huete and Justice, 1999). The EVI is a modified NDVI with a soil adjustment factor, L, and two coefficients, C1 and C2 which describe the use of the blue band in correction of the red band for atmsoperhic aerosol scattering. The coefficients, C1 , C2 , and L, are empirically determined as 6.0, 7.5, and 1.0, respectively. This algorithm has improved sensitivity to high biomass regions and improved vegetation monitoring thorugh a de-coupling of the canopy background signal and a reduction in atmospheric influences (Huete and Justice, 1999).
  • 133.
    Murrells Inlet Murrells Inlet Murrells Inlet Murrells Inlet MMuurrrreellllss IInnlleett i inn SSoouutthh CCaarroolliinnaa
  • 134.
    Phenological Cycle ofSmooth Cordgrass Phenological Cycle of Smooth Cordgrass (Spartina alterniflora) Biomass in South Carolina (Spartina alterniflora) Biomass in South Carolina Smooth Cordgrass (Spartina alterniflora) Smooth Cordgrass (Spartina alterniflora) Live Biomass Dead Biomass Live Biomass Dead Biomass J A S O N J A S O N JeJnesnesne,n ,2 0200000 1500 1500 1250 1250 1000 1000 750 750 500 500 250 250 0 DryWeightBiomass, g/m2 F M A M J J D 0 DryWeightBiomass, g/m2 F M A M J J D
  • 135.
    Phenological Cycle ofCattails PPhheennoollooggiiccaall CCyyccllee ooff CCaattttaaiillss a anndd W Waatteteerrlliliililliliieieess i ininn P Paarr P Poonndd, ,S S.C.C.. JeJnesnesne,n 2, 0200000
  • 136.
    Characteristics of theNASA Calibrated Airborne Multispectral Scanner (CAMS) Mission of Murrells Inlet, S.C. on August 2, 1997 Characteristics of the NASA Calibrated Airborne Multispectral Scanner (CAMS) Mission of Murrells Inlet, S.C. on August 2, 1997 Altitude CAMS Mission Relative above- Spatial CAMS Date Visibility Humidity ground-level Resolution Spectral Resolution 8/2/97 clear 45% 4000’’ 3.08 x 3.08 Band 1 (0.42 - 0.52 mm); blue Band 2 (0.52 - 0.60 mm); green Band 3 (0.60 - 0.63 mm); red Band 4 (0.63 - 0.69 mm); red Band 5 (0.69 - 0.76 mm); near- IR Band 6 (0.76 - 0.90 mm); near- IR Band 7 (1.55 - 1.75 mm); mid-IR Band 8 (2.08 - 2.35 mm); mid-IR Band 9 (10.5 - 12.5 mm); TIR Altitude CAMS Mission Relative above- Spatial CAMS Date Visibility Humidity ground-level Resolution Spectral Resolution 8/2/97 clear 45% 4000’’ 3.08 x 3.08 Band 1 (0.42 - 0.52 mm); blue Band 2 (0.52 - 0.60 mm); green Band 3 (0.60 - 0.63 mm); red Band 4 (0.63 - 0.69 mm); red Band 5 (0.69 - 0.76 mm); near- IR Band 6 (0.76 - 0.90 mm); near- IR Band 7 (1.55 - 1.75 mm); mid-IR Band 8 (2.08 - 2.35 mm); mid-IR Band 9 (10.5 - 12.5 mm); TIR
  • 137.
    Nine Bands of3 x 3 m Calibrated Airborne Multispectral Scanner (CAMS) Data of Murrells Inlet, SC Obtained on Nine Bands of 3 x 3 m Calibrated Airborne Multispectral Scanner (CAMS) Data of Murrells Inlet, SC Obtained on August 2, 1997 August 2, 1997 JeJnesnesnen, ,2 2000000 Band 1 (blue; 0.45 – 0.52 mm) Band 2 (green; 0.52 – 0.60 mm) Band 3 (red; 0.60 – 0.63mm) Band 1 (blue; 0.45 – 0.52 mm) Band 2 (green; 0.52 – 0.60 mm) Band 3 (red; 0.60 – 0.63mm) Band 4 (red; 0.63 – 0.69 mm) Band 5 (near-infrared; 0.69 – 0.76 mm) Band 6 (near-infrared; 0.76 – 0.90 mm) Band 4 (red; 0.63 – 0.69 mm) Band 5 (near-infrared; 0.69 – 0.76 mm) Band 6 (near-infrared; 0.76 – 0.90 mm) Band 7 (mid-infrared; 1.55 – 1.75 mm) Band 8 (mid-infrared; 2.08 – 2.35 mm) Band 9 (thermal-infrared; 10.4 – 12.5 mm) Band 7 (mid-infrared; 1.55 – 1.75 mm) Band 8 (mid-infrared; 2.08 – 2.35 mm) Band 9 (thermal-infrared; 10.4 – 12.5 mm)
  • 138.
    Calibrated Airborne MultispectralScanner Data of Murrells Inlet, S.C. Obtained on August 2, 1997 Calibrated Airborne Multispectral Scanner Data of Murrells Inlet, S.C. Obtained on August 2, 1997 Natural Color Composite (Bands 3,2,1 = RGB) Natural Color Composite (Bands 3,2,1 = RGB) Masked and Contrast Stretched Color Masked and Contrast Stretched Color Composite Composite
  • 139.
    Calibrated Airborne MultispectralScanner Data of Murrells Inlet, S.C. Obtained on August 2, 1997 Calibrated Airborne Multispectral Scanner Data of Murrells Inlet, S.C. Obtained on August 2, 1997 Color Infrared Composite (Bands 3,2,1 = RGB) Color Infrared Composite (Bands 3,2,1 = RGB) Masked and Contrast Stretched Color Masked and Contrast Stretched Color Composite Composite
  • 140.
    IInn SSiitittutuu CCeeppttotoommeetteteerrL Leeaaff--AArreeaa--IInnddeexx M Meeaassuurreemmeenntt •• LAI may be computed using a Decagon Accupar Ceptometer™ that consists of a linear array of 80 adjacent 1 cm2 photosynthetically active radiation (PAR) sensors along a bar. •• LAI may be computed using a Decagon Accupar Ceptometer™ that consists of a linear array of 80 adjacent 1 cm2 photosynthetically active radiation (PAR) sensors along a bar. •• Incident sunlight above the canopy, Qa, and the amount of direct solar energy incident to the ceptometer, Qb, when it was laid at the bottom of the canopy directly on the mud is used to compute LAI. •• Incident sunlight above the canopy, Qa, and the amount of direct solar energy incident to the ceptometer, Qb, when it was laid at the bottom of the canopy directly on the mud is used to compute LAI.
  • 141.
    IInInn S SititiututuC Ceepptototommeeteteterr L Leeaaff--A-AArrereeaa--I-IInInnddeexx M Meeaassuurrereemmeenntt
  • 142.
    Relationship Between CalibratedAirborne Multispectral Scanner Relationship Between Calibrated Airborne Multispectral Scanner (CAMS) Band 6 Brightness (CAMS) Band 6 Brightness Values and in situ Values and in situ Measurements of Spartina alterniflora Total Dry Measurements of Spartina alterniflora Total Dry Biomass (g/m2) at Biomass (g/m2) at 27 Locations in Murrells Inlet, SC Obtained on August 2 and 3, 1997 27 Locations in Murrells Inlet, SC Obtained on August 2 and 3, 1997 JeJnesnesne,n ,2 0200000
  • 143.
    NASA Calibrated AirborneMultispectral Scanner Imagery (3 x 3 m) and Derived Biomass Map of a Portion of Murrells Inlet, South Carolina on August 2, 1997 CAMS Bands 1,2,3 (RGB) CAMS Bands 6,4,2 (RGB) NASA Calibrated Airborne Multispectral Scanner Imagery (3 x 3 m) and Derived Biomass Map of a Portion of Murrells Inlet, South Carolina on August 2, 1997 CAMS Bands 1,2,3 (RGB) CAMS Bands 6,4,2 (RGB) TM Bands 5,3,2 (RGB) Biomass in a Portion of Murrells Inlet, SC Derived from 3 x 3 m Calibrated Airborne Multispectral Scanner (CAMS) Data Obtained on August 2, 1997 Total Biomass (grams/m 2) 500 - 749 750 - 999 1000 - 1499 1500 - 1999 2000 - 2499 2500 - 2999 TM Bands 5,3,2 (RGB) Biomass in a Portion of Murrells Inlet, SC Derived from 3 x 3 m Calibrated Airborne Multispectral Scanner (CAMS) Data Obtained on August 2, 1997 Total Biomass (grams/m 2) 500 - 749 750 - 999 1000 - 1499 1500 - 1999 2000 - 2499 2500 - 2999 JeJnesnesne,n 2, 0200000
  • 144.
    Total Above-ground Biomass Total Above-ground Biomass in Murrells Inlet, S. C. Extracted from Calibrated Airborne Multispectral Scanner in Murrells Inlet, S. C. Extracted from Calibrated Airborne Multispectral Scanner Data on August 2, 1997 Data on August 2, 1997 Total Biomass (grams/m2) 500 - 749 750 - 999 1000 - 1499 1500 - 1999 2000 - 2499 2500 - 2999
  • 145.
    Remote Remote SSeennssiinnggUUnniivvaarriiaattee SSttaattiissttiiccss -- VVaarriiaannccee The variance of a sample is the average squared deviation of all possible observations from the sample mean. The variance of a band of imagery, vark, is computed using the equation: The variance of a sample is the average squared deviation of all possible observations from the sample mean. The variance of a band of imagery, vark, is computed using the equation: ( BV - m ) ik k n n å= = i 1 var k 2 The numerator of the expression is the corrected sum of squares (SS). If the sample mean (mk) were actually the population mean, this would be an accurate measurement of the variance. The standard deviation is the positive square root of the variance. The numerator of the expression is the corrected sum of squares (SS). If the sample mean (mk) were actually the population mean, this would be an accurate measurement of the variance. The standard deviation is the positive square root of the variance.
  • 146.
  • 147.
    Second-Order Second-Order SSttaattiissttiiccssiinn tthhee SSppaattiiaall DDoommaaiinn
  • 148.
    Second-Order Statistics Second-OrderStatistics iinn tthhee SSppaattiiaall DDoommaaiinn Original image = 0 1 1 2 3 0 0 2 3 3 0 1 2 2 3 1 2 3 2 2 2 2 3 3 2 Original image = 0 1 1 2 3 0 0 2 3 3 0 1 2 2 3 1 2 3 2 2 2 2 3 3 2 h c = 0 1 2 3 0 1 2 1 0 1 0 1 3 0 2 0 0 3 5 3 0 0 2 2 h c = 0 1 2 3 0 1 2 1 0 1 0 1 3 0 2 0 0 3 5 3 0 0 2 2 SSppaatitaial lD Deeppeennddeennccyy M Maatrtrixix
  • 149.
    Second-Order Statistics inthe Spatial Domain Second-Order Statistics in the Spatial Domain The Angular Second Moment (ASM): The Angular Second Moment (ASM): ( ) 2 å å , = = ASM h i j 0 0 = k quantk j quant i where, quantk = quantization level of band k (e.g., 28 = 0 to 255) hc(i, j) = the (i, j)th entry in one of the angular brightness value spatial-dependency matrices, where, quantk = quantization level of band k (e.g., 28 = 0 to 255) hc(i, j) = the (i, j)th entry in one of the angular brightness value spatial-dependency matrices,
  • 150.
  • 151.
  • 152.
    MMooiissttuurree VVeeggeettaattiioonn IInnddeexx Rock et al (199) utilized a Moisture Stress Index (MSI): Rock et al (199) utilized a Moisture Stress Index (MSI): MSI = MidIRTM5 NIRTM4 based on the Landsat Thematic Mapper near-ifnrared and middle-infrared bands based on the Landsat Thematic Mapper near-ifnrared and middle-infrared bands