Pyruvate
Oxaloacetate
PEP
Glucose
G
L
U
C
O
neo
G
E
N
E
S
I
S
BUDDHI POKHREL
…& VARIOUS SOURCES
“ …& it’s not the reversal of glycolysis”
- MERTON UTTER
INTRODUCTION:
• In mammals, some tissues depend almost completely on
glucose for their metabolic energy.
• The daily requirement of glucose for brain is about
120g, which accounts for most of the 160g of glucose
needed daily by the whole body.
• Amount of glucose in body fluids is about 20g, and
amount really available from glycogen is about 190g.
• Glycogen is depleted between meals (or during vigorous
exercise)and is not enough to supply the glucose needing
cells.
• Organisms need a method for synthesizing glucose from
non-carbohydrate precursor….gluconeogenesis.
• Isotopic labeling studies determining the source of
glucose in the blood during a fast showed that
gluconeogenesis is responsible for 64% of total glucose
production over the first 22 hours of the fast and
accounts for almost all of the glucose production after 46
hours.
• It occurs in all animals, plants, fungi and
microorganisms.
• The important precursors are 3 carbon compounds like
lactate, pyruvate and glycerol.
• In mammals, takes place in liver…and to a lesser extent
in kidney (cortex) and epithelial cells that line the
inside of small intestine.
CONT’D:
• The non-carbohydrate precursors are first converted to
pyruvate or enter the pathway at later intermediates of
Krebs's cycle (finally yielding Oxaloacetate) or
intermediates like Dihydroxy Acetone phosphate.
• If we talk of amino acid precursors, only leucine and
lysine cannot be finally yield oxaloacetate (through
pyruvate or other intermediates of Kreb’s cycle) because
their breakdown yields acetyl CoA.
• In animals, there is no pathway to convert acetyl CoA to
Oxaloacetate.
• Similarly, Fatty acids also cannot serve as precursor
because their degradation also yields Acetyl CoA.
ABOUT THE PRECURSORS:
• Unlike animals, however, plants do contain a pathway
for conversion of Acetyl CoA to Oxalo Acetate , the
glyoxylate cycle.
• In microorganisms, gluconeogenesis starts from
simple 2 or 3 Carbon containing compounds like
acetate, lactate or propionate, in their growth medium.
ABOUT THE PRECURSORS Cont’d:
• For gluconeogenesis to occur, the precursors need
to be able to synthesize Oxaloacetate ( Directly, or
via pyruvate ,or via other intermediates of Kreb’s
cycle) or Dihydroxy acetone Phosphate (DHAP).
• Most amino acids (except Leucine and lysine) can
yield Oxalo Acetate and hence are good precursors.
• Lactate can be converted to Oxaloacetate via
Pyruvate.
• Glycerol can be converted to DHAP.
SUMMARIZING:
These are glucogenic amino acids:
asterisk marked are also ketogenic
Glycerol to DHAP:
It is not a simple reversal of glycolysis:
• Although they share several common steps (7 of the10 steps),
glycolysis and gluconeogenesis are not 2 pathways running in
opposite directions.
• 3 of the glycolytic reactions are essentially irreversible in vivo
and cannot be used in gluconeogenesis.
• These 3 irreversible steps have much larger negative ∆G (do
not confuse with ∆G’0 ..It’s ultimately ∆G that matters)whereas
other reactions (reversible ones)have ∆G close to 0.
• Since, we cannot reverse these three irreversible steps, they
must be somehow bypassed so that these reactions are
sufficiently exergonic to be effectively irreversible towards the
synthesis of glucose.
Thus, both glycolysis and gluconeogenesis are irreversible
processes.
The red ones are irreversible steps of glycolysis (See
their ∆G values):example is from reactions in
erythrocyte
• Now to the bypass of 3 irreversible
steps:
1) Pyruvate to PEP (via Oxaloacetate)
2) Fructose 1,6 biphosphate to Fructose-6-
Phosphate
3) Glucose-6 Phosphate to Glucose
Conversion of Pyruvate to PEP requires
2 exergonic reactions:
• This reaction, of course, cannot occur by simple reversal
as the glycolytic pathway of this reaction is highly
exergonic (∆G about -16.7 KJ/mol in erythrocytic
glycolysis).
• Instead, PEP is obtained by a roundabout sequence of
reactions that in eukaryotes requires enzyme in both
cytosol and mitochondria.
• First we shall discuss the general route to obtain PEP
and then we’ll also focus on other alternative routes.
• The first step is to convert Pyruvate to Oxalo Acetate.
• This is achieved by pyruvate carboxylase, a
mitochondrial enzyme.
• Then, this carboxylation is followed by decarboxylation
to achieve PEP, achieved by Pyruvate carboxykinase, a
cytosolic enzyme.
• The problem is there is no transport system of OAA
from mitochondria to cytosol.
• So, (in the standard route) OAA is converted to Malate,
transported to Cytosol and then again reconverted to
OAA in cytosol.
• This conversion has another benefit besides the
transport of OAA into Cytosol in Malate, which we shall
discuss.
MERTON FRANKLIN UTTER (1917-1980)
• Demonstrated that some of
the reactions of
gluconeogenesis differ from
those of glycolysis.
• Discovered Pyruvate
carboxylase and PEP
carboxykinase.
• Also showed that acetyl
CoA regulates the activity of
pyruvate carboxylase.
Pyruvate Carboxylase: the enzyme &
the mechanism
- Pyruvate carboxylase requires biotin as the prosthetic
group.
- Biotin is covalently bound to the enzyme by an amide
linkage between the carboxyl group of its valerate side
chain and the ε-amino group of Lys residue to form a
biocytin (alternatively, biotinyllysine) residue.
- Biotin functions as CO2 carrier by acquiring a carboxyl
substituent at its ureido group.
(a) - Biotin has an imidazole
ring cis-fused to
tetrahydrothiophene ring
bearing a valerate side
chain.
- positions 1,2 & 3
constitute a ureido group
(b) - In carboxybiotinyl
enzyme, N1 of biotin
ureido group is the
carboxylation site.
- Biotin is covalently
attached to Lys residue
to form biocytin.
• The reaction occurs in 2 phases.
• The 2 phases of reactions occur at 2 different
sites of the enzymes.
• We’ll call them Site-1 and Site-2 for simplicity.
• The biotin ring system is at the end of a 16 A0
long flexible arm, much like that of lipoic acid
prosthetic group in PDH Complex..and serves
similarly as a tether to move a group from one
site to another.
the carboxylation:
• Biotin is carboxylated at its N1 atom by bicarbonate ion
in a step reaction in which the hydrolysis of ATP to
ADP + Pi functions, via the intermediate formation of
carboxyphosphate, to dehydrate bicarbonate.
• This yields free CO2 , which has sufficient free energy
to carboxylate biotin.
• The resulting carboxyl group is activated relative to
bicarbonate (∆G’0 for its cleavage is -19.7 KJ/mol)and
therefore can be transferred without further free energy
input.
PHASE-I
• Occurs @ site 2.
• The activated carboxyl group is transferred from
carboxybiotin to pyruvate in a 3 step reaction to yield
Oxaloacetate.
• First, CO2 is produced at the active site via the
elimination of biotinyl enzyme, (the biotinyl-enzyme
accepts a proton from pyruvate to form pyruvte enolate
… and is then eliminated)
• The pyruvate enolate then nucleophilically attacks CO2
, yielding Oxaloacetate.
PHASE-II
• Figure shows the role of biotin in Pyruvate carboxylse
reaction.
• Similar mechanisms also occur in other biotin
dependent carboxylation reactions , such as those
catalyzed by Propionyl CoA carboxylase.
• The X-ray structure of Pyruvate carboxylase from the soil
bacterium Rhizobium etli in complex with ATPγS and
ethyl CoA (like acetyl CoA but with an ethyl group in
place of its acetyl group) was determined by Ivan
Rayment.
• The structure reveals that the enzyme is homotetrameric,
each subunit consisting of 1154-residue protein (about
130 Kda).
• Each subunit consists of 4 domains:
A Biotin Carboxylation (BC) domain, an Allosteric
domain, a Carboxyl Transferase (CT) domain and a
Biotin Carboxyl Carrier Protein (BCCP)domain.
X-ray structure of the enzyme adds
further details:
• Schematic drawing of primary structure
arrangement for multidomain PC from R etli .
• The allosteric domain, as indicated with asterisks,
include residues 471-489 and 1002 -1073.
• Same figure where BC and CT domains are each colored
from their N termini (blue) to their C termini (red).
• ATPγS is bound at active site of BC domain and Ethyl
CoA to the allosteric domain.
BC Domain:
- Carries out Phase I of the PC reaction.
Allosteric Domain:
- Binds acetyl CoA
CT Domain:
- Catalyzes Phase II of the reaction.
- α/β barrel
BCCP Domain:
- To this domain, the enzyme’s prosthetic group, biotin, is
covalently linked via Lys 1119.
Explanation of previous figure:
(B)
- Surface representation of the tetramer viewed along its 2-fold
axis with 2 active subunits closest to the viewer.
- BC-purple, allosteric- light green, CT-yellow and BCCP red.
- For clarity one of the subunits is outlined in black.
- The distance between ATPγS in the BC active site and Zn++ in
CT active site is 65 A0 .
(C)
- View relative to part (B) by a 1800 rotation about the vertical
axis.
- The top pair of subunits have undergone a conformational
change relative to the top pair in part (B) such that ATPγS -
Zn++ distance between neighboring subunits is 80A0 .
- In addition, BCCP domains in the top pair here are disordered.
• It is clear from the figure that the distance between
active sites of BC and CT domain is much large than the
approx. 16 A0 length of the carboxy-biotinyl arm.
• However, the BCCP domain is attached to the enzyme
by a flexible polypeptide linker that is 34 A0 long, much
like that linking the lipoyl domains to each dihydrolipoyl
transacetylase (E2)of PDH Complex.
• Even then, the length is still insufficient to carry out the
tethering as the distance is about 80A0 long.
• So, it would require a dramatic movement of the BCCP
domain to transfer substrate between the 2 active sites
of a single subunit.
The question is : How does the BCCP domain translocate
its carboxybiotin group between the active sites of a
BC domain and a CT domain??
• It has been found that PC’s homotetrameric
structure is required for its enzymatic activity…
isolated subunits are catalytically inactive.
e
g
n
n
g
n
• This suggests that each BCCP domain at the top of fig
(B) shuttles CO2 in the form of carboxybiotin from the
active site of the BC domain on the same subunit to
the CT domain on the adjacent subunit.
• Meanwhile, the other 2 subunits are inactive.
• This is an unusual example of allosteric activation
coupled with negative cooperativity.
• It may permit Pyruvate carboxylase to carry out
efficient catalysis in association with other metabolic
enzymes.
- Model of the tetramer indicating how the BCCP
domain transfers a carboxyl group
between BC domain on the same subunit and the CT
domain of its neighbouring subunit.
• The foregoing model is supported by experiments
involving 2 mutant forms of pyruvate Carboxylase :
K1119Q , which eliminates biotinylation of the BC
domain
AND
K718Q , which impairs the phase II reaction.
• Tetramers of each of these mutant subunits exhibited
0.1% and 4% of the wild type enzyme activity ,
respectively.
• However, mixed tetramers exhibit 20% activity, thus
indicating the formation of neighboring pairs of
functional BC and CT domains.
• NOW, PEP Carboxykinase (PEPCK), a cytosolic
enzyme, that converts Oxaloacetate to PEP…
But first let’s transport OAA to cytosol:
• Mitochondrial membrane has no transporter for
oxaloacetate (OAA).
• Therefore, before export to cytosol, OAA must be
reduced to malate by mitochondrial malate
dehydrogenase, at the expense of NADH.
• The ∆G’0 for this reaction is quite high, but under
physiological conditions (including low [OAA]), ∆G is
approximately 0, and the reaction is readily reversible.
Mitochondrial malate dehydrogenase works for both
gluconeogenesis and TCA cycle, but the flow of
metabolites is in opposite direction.
• Malate leaves the mitochondrion through a specific
transporter in the inner mitochondrial membrane.
• In the cytosol, Malate is reoxidized to OAA, with the
production of NADH.
transport of OAA CONT’D:
• Compartmental
Cooperation.
• OAA leaves the
mitochondrion by
converting itself to
Malate…which when
reaches cytoplasm, is
reoxidized to OAA
• The [NADH] / [NAD+] ratio in the cytosol is 8 x 10-4 ,
about 105 times lower than in mitochondria.
• Because cytosolic NADH is consumed during
gluconeogenesis (during conversion of 1,3-
bisphosphoglycerate to glceraldehyde-3-P), glucose
synthesis isn’t possible unless NADH is available.
• The transport of malate, as we saw, utilizes
mitochondrial NADH and produces cytosolic NADH.
• Thus NADH is made available at the site where they
are scarce.
This path thus provides an important balance between
NADH produced and consumed in the cytosol during
gluconeogenesis.
this makes sense:
• OAA may be converted to Aspartate, and then
transported via Aspartate transporter in the
mitochondrial membrane.
• This Aspartate aminotransferase route, however,
doesn’t involve NADH.
• Under most conditions, the route is Malate
dehydrogenase route (to generate required NADH).
• But if the Precursor of glucose is Lactate, its oxidation
to Pyruvate generates NADH in cytosol, and hence may
utilize any of the transport route.
there’s another route too:
• This route makes use of lactate produced by glycolysis in
erythrocytes or anaerobic muscle contraction.
• Lactate oxidizes to Pyruvate in cytosol, generating NADH.
• Pyruvate inters mitochondria, gets converted to OAA.
• This OAA is directly converted to PEP by a mitochondrial
isozyme of PEPCK.
• PEP is transported out of mitochondria to continue
gluconeogenesis.
The mitochondrial and cytosolic PEPCK are encoded by
separate genes in nuclear chromosomes, providing another
example of 2 distinct enzymes catalyzing the same reaction
but having different cellular locations or metabolic roles.
Yet another route for lactate ( as precursor):
Phosphoenol Pyruvte Carboxykinase(PEPCK):
• Is a monomeric, about 630 residue enzyme, that
catalyzes the GTP driven decarboxylation of
Oxaloacetate to form PEP and GDP.
• The reaction is reversible under intracellular conditions;
formation of high energy PEP is balanced by hydrolysis
of GTP.
PEPCK mechanism
• Decarboxylaion of OAA (a β-keto acid) forms a resonsnce
stabilized enolate ion whose oxygen atom attacks γ-
phosphoryl group of GTP forming PEP and GDP.
• It is to be noted that the CO2 added to pyruvate
carboxylase step is the same molecule that is lost in
PEPCK mechanism.
• OAA therefore may be considered as “activated”
pyruvate, with CO2 and biotin facilitating the activation
at the expense of ATP hydrolysis.
• During fatty acid biosynthesis, we shall see similar
“activation” of Acetyl CoA through such Carboxylation-
Decarboxylation process.
PEPCK cont’d:
CARBOXYLATION- DECARBOXYLATION &
irreversability
• Addition of phosphoryl group to pyruvate is highly
unfavourable reaction (∆G’0 about +31 KJ/mol).
• But our bypass reaction generates the same
‘unfavourable’ compound, via carboxylation followed by
decarboxylation (although it uses 1 ATP and 1 GTP).
• Although, ∆G’0 of overall bypass mechanism is about 0.9
KJ/mol, the actual ∆G (calculated from measured cellular
concentrations of intermediates) is strongly negative (-25
KJ/mol).
• This results from ready consumption of PEP in other
reactions so that it’s concentration remains relatively low.
Thus both glycolysis and gluconeogenesis are effectively
irreversible in cells.
Fructose 1,6-bp to fructose 6-p: the 2nd bypass
• The irreversible glycolytic step to be bypassed is:
(∆G’0 = -14.2 and ∆G = -22.2 KJ/mol)
• The reverse reaction is catalyzed by Fructose 1,6
bisphosphatase-1(FBPase-1).
• FBPase-1 is a Mg++ dependent enzyme that promotes
the essentially irreversible hydrolysis of C-1 phosphate
(not phosphoryl group transfer to ADP).
G 6-P to Glucose : the 3rd bypass
• This is the reversible of the following hexokinase
reaction of glycolysis :
(∆G’0 =-16.7, ∆G = -33.4 KJ/mol)
• Direct reversal would require phosphoryl group transfer
to ADP (generating ATP), which would be unfavorable.
• So, the reverse reaction would be a simple hydrolysis of
a phosphate ester, and is catalyzed by Glucose 6
phosphatase.
• It is also a Mg++ activated enzyme.
• The enzyme is found in the luminal side of
Endoplasmic Reticulum of hepatocytes, renal cells and
epithelial cells of small intestine, but not in other tissues.
• This is why other tissues are unable to supply glucose
to the blood.
• One advantage of not having this enzyme in most
tissues is , unlike free glucose, G 6-P is not transported
out of the cell.
the 3rd bypass CONT’D
• Generation of glucose from G 6-P
- T1 transports Glucose 6 phosphate from cytoplasm
to ER lumen.
- Glucose 6 phosphatase catalyzes the reaction.
- T2 and T3 transport Pi and Glucose respectively to
cytoplasm.
Sequential reactions of gluconeogenesis:
THE PRICE TO BE PAID:
• Firstly, both glycolysis and gluconeogenesis are
irreversible reactions.
GLYCOLYSIS:
- Overall ∆G under cellular condition is about -63 KJ/mol.
GLUCONEOGENESIS:
- Overall ∆G is about -16 KJ/ mol (∆G ‘0 about -48)
• The overall net reaction of glycolysis and
gluconeogenesis would be:
• So, the loss of 2 ATP and 2 GTP is thermodynamically
inescapable.
• They are the price that must be paid to maintain the
independent regulation of 2 pathways.
Gluconeogenesis is energetically expensive, but essential.
Continued:
• Now , the regulation of gluconeogenesis
[ in coordination with glycolysis]
Regulation is at the level of:
1. Hexokinase/ Glucose 6 phosphatase
2. Phosphofructokinase/ Fructose
Bisphosphatase
3. Pyruvate Kinase / Pyruvate Carboxylase-
PEPCK
1) Allosteric regulation
2) Regulation by covalent modification
(phosphorylation/dephosphorylation)
3) Transcriptional regulation
3 types of regulation generally found here:
Hexokinase / Glucose 6 phosphatase:
• The predominant isoenzyme of Hexokinase in liver is
Hexokinase IV (AKA Glucokinase)…and has high KM
(& less affinity for glucose) than other isoenzymes.
• Circumstances that call for high energy demand (low
ATP, high AMP, vigorous muscle contraction) and greater
glucose consumption ( e.g. high blood glucose) cause
increased transcription of Hexokinase IV gene.
• Hexokinase IV is also subject to inhibition by reversible
binding of regulatory protein specific to liver.
• The protein inhibitor of hexokinase IV is a nuclear
binding protein that …
1) Draws the enzyme into the nucleus when Fructose 6 P
is high
2) Releases it to cytosol when glucose concentration is
high.
• Glucose 6 phosphatase is transcriptionally regulated
by the factors that call for increased production of
glucose (e.g. low blood glucose, glucagon signaling etc).
The mechanisms of several glycolytic & gluconeogenetic
enzymes at transcriptional level will be discussed later
Hexokinase / Glucose 6 phosphatase:
PFK-1 / FBPase-1
• ATP is not only substrate for PFK-1 but also an end
product of glycolytic pathway.
• When high cellular [ATP]signals that ATP is being
produced faster than it is being consumed, ATP inhibits
PFK-1 by binding to an allosteric site and lowering the
affinity of enzyme for its substrate Fructose 6-P.
• ADP and AMP which increase in concentration as
consumption of ATP outpaces production, act
allosterically to relieve this inhibition by ATP.
• These effects combine to produce higher enzymatic
activity when ADP and AMP accumulates AND lower the
activity when ATP accumulates.
(A)
- Surface contour image of E. coli PFK-1 showing portions of its
identical subunits…
- Each subunit has own catalytic site, producing ADP(red) and
Fructose 1,6-bp (yellow).
- ATP, the allosteric regulator is buried in the protein as
indicated.
(B)
- Allosteric regulation of muscle PFK-1 shown by substrate
activity curve.
- At low [ATP], the K0.5 (Km for regulatory enzyme) for fructose
6-P is low, enabling enzyme to perform at high rate.
(C) - Summary of the regulators
Explanation of the figure:
• Citrate (ionized citric acid) is a key intermediate in the
aerobic oxidation of pyruvate, fatty acids and amino
acids.
• It is also the allosteric regulator of PFK-1.
• High Citrate concentration increases the inhibitory
effect of ATP, further reducing the flow through
glycolysis.
• In this case, citrate serves as intracellular signal that the
cell is meeting its current needs for energy yielding
metabolism by the oxidation of fats and proteins.
PFK-1 / FBPase-1 CONT’D
• FBPase-1, on the other hand , is strongly inhibited
(allosterically)by AMP.
PFK-1 / FBPase-1 CONT’D
• In liver, glycolysis and gluconeogenesis are adjusted to
maintain blood glucose levels.
• When blood glucose level decreases, glucagon signals
liver to produce and release more glucose, and stop
consuming for its own need.
• One source is glycogen, and the other is
gluconeogenesis.
• When blood glucose level is high, insulin signals liver to
use glucose, for its own use, and for storage as glycogen
and fats.
• This rapid hormonal regulation is mediated by
Fructose2,6-bisphosphate.
PFK-1 / FBPase-1 : The role of Fructose 2,6-bP
• Fructose 2,6-bp is an allosteric effector of PFK-1 and
FBPase-1.
• When Fructose 2,6-bp binds to its allosteric site on PFK-1
, it increases its affinity for substrate Fructose 6-P, and
reduces its affinity for allosteric inhibitors of PFK-1 (like
ATP and citrate).
• At the physiological concentration of Fructose 6-P, ATP,
AMP and citrate , the enzyme PFK-1 is virtually inactive
in the absence of Fructose 2,6-bp.
The role of Fructose 2,6-bP CONT’D
• Fructose 2,6-bp has opposite effect on FBPase-1.
• It reduces its affinity for substrate, thereby slowing
gluconeogenesis.
• F2,6BP also makes FBPase-1 more sensitive to inhibition
by other allosteric regulator, AMP.
• The level of Fructose 2,6-bp is also regulated.
The role of Fructose 2,6-bP CONT’D
Explaining the figure:
(A)
- PFK1 activity in absence of F2,6BP (blue curve) is half
maximal when concentration of F6P is 2mM(i.e. K0.5
=2mM).
- When 0.13 µM F26BP is present (red curve), the K0.5 of
F6P is only 0.08 mM.
- Thus F2,6BP activates PFK1 by increasing its affinity for
F6P.
(B)
- FBPase activity is inhibited by as little as 1µM F2,6BP and
is strongly inhibited by 25µM.
- In absence of F2,6BP, the K0.5 for F1,6BP (blue curve) is
5µM but in presence (red) of 25µM F2,6BP,K0.5 is >70µM.
• The cellular concentration of F2,6BP is set by relative rates
of its formation and degradation.
• It is formed by phosphorylation of F6P, catalyzed by
Phosphofructokinase-2 (PFK2).
• It is broken down by Fructose 2,6 Bisphosphatase
(FBPase-2).
• These are obviously different enzymes than PFK-1 and
FBPase-1.
• The interesting thing is that both PFK-2 and FBPase-2 are 2
separate enzymatic activities of a single, bifunctional protein.
• The balance of these 2 activities determines cellular
concentration of F2,6BP, and is regulated by insulin and
Glucagon.
The regulation of Fructose 2,6-bP
- The kinase domain (purple)is fused to the Phosphatase domain
(red).
- Kinase domain is a P-loop NTP hydrolase domain, as indicated by
purple shading…FBPase 2 resembles phosphoglycerate mutase.
- The bar represents the amino acid sequence of the enzyme.
• When glucose is scarce (such as during a night’s fast),
Glucagon triggers a CAMP cascade leading to the
phosphorylation of this bifunctional enzyme by Protein
Kinase A.
{phosphorylation is on a single serine residue}
• This covalent modification activates FBPase 2 and
inhibits PFK-2, lowering the level of F2,6BP.
• Gluconeogenesis predominates.
{ Glucagon stimulation of Protein Kinase A also
inactivates pyruvate Kinase in the liver.}
The regulation of Fructose 2,6-bP CONT’D
• Conversely, when blood glucose level is high,
gluconeogenesis is not needed.
• Insulin is secreted and initiates a signal pathway that
activates a protein phosphatase, dephosphorylating the
bifunctional enzyme.
• This modification activates PFK2 and inhibits FBPase 2.
• F2,6BP level rises.
• Accelerates glycolysis.
• Inhibits gluconeogenesis.
Gene expression alteration by insulin & Glucagon is
discussed later
The regulation of Fructose 2,6-bP CONT’D
• It also acts by controlling the level of F2,6BP.
• In the mammalian liver, Xylulose 5 Phosphate,from Pentose
Phosphate pathway, mediates the increase in glycolysis that
follows the ingestion of high carbohydrate meal.
• Xylulose 5 P concentration rises as glucose entering liver is
converted to Glucose 6P and enters both glycolytic and
Pentose phosphate pathway.
• Xylulose 5P activates Phosphoprotein Phosphatase
2A,which dephosphorylates the bifunctional PFK-2 /FBPase2
enzyme.
• Dephosphorylation, as we know, activates kinase activity
and inhibits Phosphatase activity of the bifunctional
enzyme.
Xylulose 5 Phosphate as a key regulator:
• This results in rise in Fructose2,6BP concentration,
which then activates glycolysis and inhibits
gluconeogenesis.
• The increased glycolysis boosts up the formation of
Acetyl CoA.
• Increased flow of hexose through Pentose Phosphate
pathway also increases the synthesis of NADPH.
• And, Acetyl CoA and NADPH thus produced are the
starting material for fatty acid synthesis.
Fatty acid synthesis increases dramatically after a high
Carbohydrate meal.
Xylulose 5P also increases the synthesis of all of the
enzymes required for fatty acid synthesis.
Xylulose 5 Phosphate as a key regulator CONT’D:
Structure and function of phophoprotein Phosphatase 2A
(A)
- The catalytic subunit has 2 Mn++ ions in its active site,
positioned close to the substrate-recognition surface formed
by the interface between the catalytic subunit and regulatory
subunit.
- The catalytic and regulatory subunits rest in a scaffold ( AKA A
subunit)that positions them relative to each other & shapes
the substrate-recognition site.
- Microcystin-LR (red) is a specific inhibitor of PP2A.
(B)
- PP2A recognizes several target proteins, its specificity
provided by the regulatory subunit.
- Each of several regulatory subunits fits the scaffold
containing the catalytic subunit ,& each regulatory subunit
creates its unique substrate binding site.
Figure explanation
Pyruvate Kinase/ Pyruvate Carboxylase-PEPCK
• At least 3 isoenzymes of pyruvate kinase are found in
vertebrates, differing to their tissue distribution and their
response to modulators.
• High Concentrations of ATP, Acetyl CoA and long
Chain Fatty acids allosterically inhibit Pyruvate Kinase.
• The liver isoenzyme (L form) is subjected to regulation
by phosphorylation, but muscle isoenzyme (the M form)
isn’t.
• When blood glucose level is low, glucagon releases
cAMP- dependent protein kinase that phosphorylates the
L-isozyme of pyruvate kinase, inactivating it.
• In muscle, Epinephrine regulated cAMP activates
glycogen breakdown and glycolysis, providing the fuel
needed for fight-or-flight response.
• Pyruvate Kinase is also allosterically inhibited by
Alanine.
CONT’D
• The first control point to determine the fate of pyruvate
in the mitochondria is its conversion to Acetyl CoA (by
PDH Complex) or to Oxaloacetate (by Pyruvate
Carboxylase).
• This is where it is determined whether the pyruvate
goes to TCA cycle or Gluconeogenesis.
• When fatty acids are readily available, their breakdown
in mitochondria yields Acetyl CoA, a signal that further
oxidation of glucose is not necessary.
• Acetyl CoA positively modulates Pyruvate
Carboxylase.
• & negatively modulates PDHC through stimulation of a
protein kinase that inactivates dehydrogenase.
CONT’D
• When cell’s energy need are being met, oxidative
phosphorylation slows down, [NADH] rises relative to
[NAD+] , and Acetyl CoA accumulates.
• The increased concentration of Acetyl CoA inhibits the
PDH Complex, slowing formation of Acetyl CoA from
Pyruvate, and stimulates gluconeogenesis by activating
Pyruvate Carboxylase.
• OAA is then converted to PEP by PEPCK.
• Regulation of PEPCK in mammals is usually at the level
of transcription.
• Fasting (high Glucagon) increases the transcription rate
through cAMP...Insulin has opposite effect.
CONT’D
Regulators of gluconeogenic enzyme
activity:
• Transcriptional Regulation of
Gluconeogenesis
[ In Coordination with Glycolysis]
• So far, we discussed regulatory mechanisms that are
fast and quickly reversible.
• There is , however, also another set of regulatory
process that involve changes in number of molecules
of an enzyme synthesis and breakdown.
• The process is fairly complex and is evolving
continuously in its complexity.
Some transcription factors in the context of
CHO metabolism:
• Insulin acts through its receptor on plasma membrane to
turn on at least 2 distinct signaling pathways:
1) MAP Kinase Cascade
2) PI 3 Kinase cascade (involves PKB)
{details during signal transduction}
- The MAP Kinase ERK , for example, phosphorylates
transcription factors SRF and Elk1,which then stimulates the
synthesis of enzymes needed for cell growth and division.
- Protein Kinase B (AKA Akt) phosphorylates another set of
transcription factors (e.g. PDX1) that stimulates enzyme
that metabolize CHO & fats formed and stored following
excess intake in the diet.
• More than 150 genes are transcriptionally regulated by
insulin.
• Humans have at least 7 types of Insulin response
element , each recognized by a subset of transcriptional
factors activated by insulin under various conditions.
• Insulin stimulates the transcription of genes that
encode hexokinase II and IV, PFK-1, pyruvatekinase and
PFK-2/FBPase-2 (glycolysis & regulation),several
enzymes of fatty acid synthesis, G6PD & 6-phosphate
dehydrogenase (HMP pathway that generates NADPH
required for FA synthesis).
• Insulin also slows expression of genes for 2 enzymes of
gluconeogenesis: PEPCK & G 6 Phosphatase.
CONT’D:
Some of the genes regulated by insulin
• Now, we shall discuss some of the important
transcription factors related to carbohydrate
metabolism…
Carbohydrate response element binding
protein (ChREBP):
• Expressed primarily in liver , adipose tissue and kidney.
• Serves to coordinate the synthesis of enzymes needed
for carbohydrate and fat synthesis.
• ChREBP in its inactive state is phosphorylated, and is
located in cytosol.
• When Phosphoprotein 2A (PP2A) removes a phosphoryl
group from ChREBP, the transcription can enter the
nucleus .
• Here, nuclear PP2A removes another phosphoryl group
,and ChREBP now joins with a partner protein , Mlx, and
turns on the synthesis of several enzymes: pyruvate
kinase, Fatty acid synthase and acetyl CoA Carboxylase.
• ChREBP in the cytosol of
hepatocyte is
phosphorylated on a Ser
and Thr residue , it
cannot enter nucleus.
• Dephosphorylation of P-
Ser byPP2A allows
ChREBP to enter nucleus.
• In nucleus, a P-Thr is
dephosphorylated ,
which activates ChREBP
so that it it can associate
with partner protein,
Mlx.
• ChREBP-Mlx binds to
Carbohydrate Response
Element (ChoRE)in the
promoter & stimulates
transcription.
• Controlling the activity of PP2A (& thus , ultimately , the
synthesis of this group of metabolic enzymes )is
Xylulose 5-Phosphate , an intermediate of Pentose
phosphate pathway.
• When blood glucose enters the liver , it is
phosphorylated by hexokinase IV .
• G6P thus formed can enter either glycolytic pathway or
the Pentose Phosphate Pathway.
• If it enters Pentose phosphate pathway, 2 initial
oxidations produce xylulose 5 Phosphate, which serves
as a signal that the glucose utilizing pathways are well
supplied with substrate.
ChREBP CONT’D: Controling PP2A
• It accomplishes this signal by allosterically activating
PP2A, which then dephosphorylates ChREBP, allowing the
transcription factor to turn on the expression of genes for
enzymes of glycolysis and fat synthesis.
• Glycolysis yields Pyruvate, and conversion of pyruvate to
acetyl CoA provides starting material for fatty acid
synthesis.
• Acetyl CoA carboxylase converts Acetyl CoA to Malonyl
CoA whose transcription is also enhanced by ChREBP.
• Fatty acid synthase complex then converts malonyl CoA
to Fatty acid, whose transcription is also enhanced by
ChREBP.
In this way excess CHO is stored as fats.
ChREBP CONT’D: Controling PP2A CONT’D
SREBP- 1c
• It is a transcription factor of the family of Sterol
regulatory element binding protein.
• This turns on the synthesis of Pyruvate kinase ,
hexokinase IV, lipoprotein lipase , acetyl CoA carboxylase
and fattyacid synthase.
• The synthesis of SREBP-1c is stimulated by insulin and
depressed by glucagon.
• SREBP-1c also suppresses the expression of several
gluconeogenetic enzymes :G6phosphatase, PEP
Carboxykinase and FBPase-1.
Cyclic AMP Response element binding
Protein(CREB)
• CREB turns on the synthesis of Glucose 6 Phosphatase and
PEPCK in response to increased cAMP triggered by glucagon.
• Richard Hanson has shown that (in case of PEPCK) occurs
because PEPCK gene promoter region contains a specific
sequence called CRE (cAMP response Element) that is bound
by transcription factor CREB, but only when CREB is also
binding cAMP.
• PEPCK gene promoter region also contains numerous other
binding sites for specific transcription factors.
• Some are TRE which is bound by thyroid hormone receptor in
complex with thyroid hormone,GRE which is bound by
glucocorticoid receptor in complex with Glucocorticoid.
Other Promoter regions for PEPCK will be discussed in a while.
Richard Hanson (1935-
2014)
- A very influential teacher of
biochemistry…
- …and an accomplished
scientist known for his
extensive research on
PEPCK.
- enjoyed playing banjo.
- This guy loved metabolism
like no others.
• It stimulates the synthesis of gluconeogenic enzymes
and suppresses the enzyme of glycolysis and pentose
phosphate pathway and TG synthesis.
• In its unphosphorylated form, FOXO1 acts as a nuclear
transcription factor.
• In response to insulin,FOXO1 leaves the nucleus and is
phosphorylated in the cytosol by Protein Kinase B.
• It is then tagged with ubiquitin and is degraded by
proteosome.
• Glucagon prevents this phosphorylation by PKB, and
FOXO1 remains active in the nucleus.
FOXO 1 (Forkhead Box Other)
• Insulin activates
signalling cascade
leading to activation
of PKB.
• FOXO1 is
phosphorylated in the
cytosol by PKB.
• It is then tagged by
ubiquitin for
degradation.
• Unphosphorylated
FOXO1 binds to a
response element
triggering
transcription of the
associated genes.
If you think it is complicated enough, you’re in
for more surprises…
• Multiple transcription factors can act on the same gene
promoter; multiple protein kinases and phosphatases can
activator inactivate these transcription factors; and a variety
of protein accessory factors modulate the action of
transcription factors.
• Transcriptional control of PEPCK have been well studied.
• Its promoter region has 15 or more transcription factors,
with more likely to be discovered.
• The transcription factors act in combination on the
promoter region , and on hundreds of gene promoters , to
fine tune the levels of hundreds of metabolic enzymes,
coordinating their activity in the metabolism of CHOs and
fats.
PEPCK promoter region , showing complexity of regulatory input
to this gene
• The critical importance of transcription
factors in metabolic regulation is made
clear by observing the effects of
mutations in their genes.
• For example: At least 5 different types of
Maturity-onset Diabetes of the Young
(MODY) are associated with mutations
in specific transcription factors.
Genetic Mutations that lead to rare forms of diabetes
• Here we consider a type of diabetes in which genetic
mutation affects a transcription factor important in
carrying the insulin signal into the nucleus , or affects an
enzyme that responds to insulin – Mature Onset
Diabetes of Young (MODY).
• In MODY 2, a mutation in the hexokinase IV
(Glucokinase) gene affects the liver and pancreas, tissues
in which this is the main isoform of hexokinase.
• The glucokinase of pancreatic β cells functions as a
glucose sensor.
• Normally when blood glucose rises, so does the glucose
level in β cells, and because glucokinase has a relatively
high KM for glucose, its activity increases with rising
glucose levels.
• Metabolism of G6P formed in this reaction raises the ATP
levels in β cells , and this triggers insulin release.
• In healthy individuals , blood glucose concentration of
apprpx. 5mM trigger this insulin release.
• But individuals with inactivating mutations in both
copies of the glucokinase gene have very high thresholds
for insulin release.
• Consequently, from birth, they have severe
hyperglycemia – permanent neonatal diabetes.
• In individuals with one mutated and one normal copy of
the glucokinase gene,the glucose threshold for insulin
release rises to about 7mM.
• As a result, they have blood glucose levels only slightly
above normal & have no symptoms.
• This condition, MODY2, is generally discovered by
accident during routine blood glucose analysis.
• There are at least 5 other types of MODY, each the result
of an inactivating mutation in one or other transcription
factors essential to the normal development and function
of pancreatic beta cells.
• Individuals with these mutations have varying degrees of
reduced insulin production and the associated defects in
blood glucose homeostasis.
• In MODY1 and MODY3, the defects are severe enough to
produce the long term complications associated with
IDDm & NIDDM :CVS problems, Kidney failure and
Blindness.
• MODY 4, 5 & 6 are less severe forms of disease.
• Altogether , MODY disorders represent a small
precentage of NIDDM cases.
• Also very rare are individuals with mutations in the
insulin gene itself ; they have defects in insulin signalling
of varying severity.
Gluconeogenesis

Gluconeogenesis

  • 1.
  • 2.
  • 3.
    “ …& it’snot the reversal of glycolysis” - MERTON UTTER
  • 4.
    INTRODUCTION: • In mammals,some tissues depend almost completely on glucose for their metabolic energy. • The daily requirement of glucose for brain is about 120g, which accounts for most of the 160g of glucose needed daily by the whole body. • Amount of glucose in body fluids is about 20g, and amount really available from glycogen is about 190g. • Glycogen is depleted between meals (or during vigorous exercise)and is not enough to supply the glucose needing cells. • Organisms need a method for synthesizing glucose from non-carbohydrate precursor….gluconeogenesis.
  • 5.
    • Isotopic labelingstudies determining the source of glucose in the blood during a fast showed that gluconeogenesis is responsible for 64% of total glucose production over the first 22 hours of the fast and accounts for almost all of the glucose production after 46 hours. • It occurs in all animals, plants, fungi and microorganisms. • The important precursors are 3 carbon compounds like lactate, pyruvate and glycerol. • In mammals, takes place in liver…and to a lesser extent in kidney (cortex) and epithelial cells that line the inside of small intestine. CONT’D:
  • 6.
    • The non-carbohydrateprecursors are first converted to pyruvate or enter the pathway at later intermediates of Krebs's cycle (finally yielding Oxaloacetate) or intermediates like Dihydroxy Acetone phosphate. • If we talk of amino acid precursors, only leucine and lysine cannot be finally yield oxaloacetate (through pyruvate or other intermediates of Kreb’s cycle) because their breakdown yields acetyl CoA. • In animals, there is no pathway to convert acetyl CoA to Oxaloacetate. • Similarly, Fatty acids also cannot serve as precursor because their degradation also yields Acetyl CoA. ABOUT THE PRECURSORS:
  • 7.
    • Unlike animals,however, plants do contain a pathway for conversion of Acetyl CoA to Oxalo Acetate , the glyoxylate cycle. • In microorganisms, gluconeogenesis starts from simple 2 or 3 Carbon containing compounds like acetate, lactate or propionate, in their growth medium. ABOUT THE PRECURSORS Cont’d:
  • 8.
    • For gluconeogenesisto occur, the precursors need to be able to synthesize Oxaloacetate ( Directly, or via pyruvate ,or via other intermediates of Kreb’s cycle) or Dihydroxy acetone Phosphate (DHAP). • Most amino acids (except Leucine and lysine) can yield Oxalo Acetate and hence are good precursors. • Lactate can be converted to Oxaloacetate via Pyruvate. • Glycerol can be converted to DHAP. SUMMARIZING:
  • 10.
    These are glucogenicamino acids: asterisk marked are also ketogenic
  • 12.
  • 13.
    It is nota simple reversal of glycolysis: • Although they share several common steps (7 of the10 steps), glycolysis and gluconeogenesis are not 2 pathways running in opposite directions. • 3 of the glycolytic reactions are essentially irreversible in vivo and cannot be used in gluconeogenesis. • These 3 irreversible steps have much larger negative ∆G (do not confuse with ∆G’0 ..It’s ultimately ∆G that matters)whereas other reactions (reversible ones)have ∆G close to 0. • Since, we cannot reverse these three irreversible steps, they must be somehow bypassed so that these reactions are sufficiently exergonic to be effectively irreversible towards the synthesis of glucose. Thus, both glycolysis and gluconeogenesis are irreversible processes.
  • 14.
    The red onesare irreversible steps of glycolysis (See their ∆G values):example is from reactions in erythrocyte
  • 15.
    • Now tothe bypass of 3 irreversible steps: 1) Pyruvate to PEP (via Oxaloacetate) 2) Fructose 1,6 biphosphate to Fructose-6- Phosphate 3) Glucose-6 Phosphate to Glucose
  • 16.
    Conversion of Pyruvateto PEP requires 2 exergonic reactions: • This reaction, of course, cannot occur by simple reversal as the glycolytic pathway of this reaction is highly exergonic (∆G about -16.7 KJ/mol in erythrocytic glycolysis). • Instead, PEP is obtained by a roundabout sequence of reactions that in eukaryotes requires enzyme in both cytosol and mitochondria. • First we shall discuss the general route to obtain PEP and then we’ll also focus on other alternative routes.
  • 17.
    • The firststep is to convert Pyruvate to Oxalo Acetate. • This is achieved by pyruvate carboxylase, a mitochondrial enzyme. • Then, this carboxylation is followed by decarboxylation to achieve PEP, achieved by Pyruvate carboxykinase, a cytosolic enzyme. • The problem is there is no transport system of OAA from mitochondria to cytosol. • So, (in the standard route) OAA is converted to Malate, transported to Cytosol and then again reconverted to OAA in cytosol. • This conversion has another benefit besides the transport of OAA into Cytosol in Malate, which we shall discuss.
  • 21.
    MERTON FRANKLIN UTTER(1917-1980) • Demonstrated that some of the reactions of gluconeogenesis differ from those of glycolysis. • Discovered Pyruvate carboxylase and PEP carboxykinase. • Also showed that acetyl CoA regulates the activity of pyruvate carboxylase.
  • 22.
    Pyruvate Carboxylase: theenzyme & the mechanism - Pyruvate carboxylase requires biotin as the prosthetic group. - Biotin is covalently bound to the enzyme by an amide linkage between the carboxyl group of its valerate side chain and the ε-amino group of Lys residue to form a biocytin (alternatively, biotinyllysine) residue. - Biotin functions as CO2 carrier by acquiring a carboxyl substituent at its ureido group.
  • 23.
    (a) - Biotinhas an imidazole ring cis-fused to tetrahydrothiophene ring bearing a valerate side chain. - positions 1,2 & 3 constitute a ureido group (b) - In carboxybiotinyl enzyme, N1 of biotin ureido group is the carboxylation site. - Biotin is covalently attached to Lys residue to form biocytin.
  • 24.
    • The reactionoccurs in 2 phases. • The 2 phases of reactions occur at 2 different sites of the enzymes. • We’ll call them Site-1 and Site-2 for simplicity. • The biotin ring system is at the end of a 16 A0 long flexible arm, much like that of lipoic acid prosthetic group in PDH Complex..and serves similarly as a tether to move a group from one site to another. the carboxylation:
  • 25.
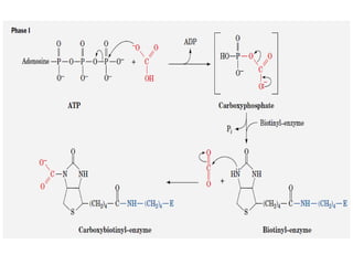
    • Biotin iscarboxylated at its N1 atom by bicarbonate ion in a step reaction in which the hydrolysis of ATP to ADP + Pi functions, via the intermediate formation of carboxyphosphate, to dehydrate bicarbonate. • This yields free CO2 , which has sufficient free energy to carboxylate biotin. • The resulting carboxyl group is activated relative to bicarbonate (∆G’0 for its cleavage is -19.7 KJ/mol)and therefore can be transferred without further free energy input. PHASE-I
  • 27.
    • Occurs @site 2. • The activated carboxyl group is transferred from carboxybiotin to pyruvate in a 3 step reaction to yield Oxaloacetate. • First, CO2 is produced at the active site via the elimination of biotinyl enzyme, (the biotinyl-enzyme accepts a proton from pyruvate to form pyruvte enolate … and is then eliminated) • The pyruvate enolate then nucleophilically attacks CO2 , yielding Oxaloacetate. PHASE-II
  • 29.
    • Figure showsthe role of biotin in Pyruvate carboxylse reaction. • Similar mechanisms also occur in other biotin dependent carboxylation reactions , such as those catalyzed by Propionyl CoA carboxylase.
  • 30.
    • The X-raystructure of Pyruvate carboxylase from the soil bacterium Rhizobium etli in complex with ATPγS and ethyl CoA (like acetyl CoA but with an ethyl group in place of its acetyl group) was determined by Ivan Rayment. • The structure reveals that the enzyme is homotetrameric, each subunit consisting of 1154-residue protein (about 130 Kda). • Each subunit consists of 4 domains: A Biotin Carboxylation (BC) domain, an Allosteric domain, a Carboxyl Transferase (CT) domain and a Biotin Carboxyl Carrier Protein (BCCP)domain. X-ray structure of the enzyme adds further details:
  • 31.
    • Schematic drawingof primary structure arrangement for multidomain PC from R etli . • The allosteric domain, as indicated with asterisks, include residues 471-489 and 1002 -1073.
  • 33.
    • Same figurewhere BC and CT domains are each colored from their N termini (blue) to their C termini (red). • ATPγS is bound at active site of BC domain and Ethyl CoA to the allosteric domain.
  • 34.
    BC Domain: - Carriesout Phase I of the PC reaction. Allosteric Domain: - Binds acetyl CoA CT Domain: - Catalyzes Phase II of the reaction. - α/β barrel BCCP Domain: - To this domain, the enzyme’s prosthetic group, biotin, is covalently linked via Lys 1119.
  • 36.
    Explanation of previousfigure: (B) - Surface representation of the tetramer viewed along its 2-fold axis with 2 active subunits closest to the viewer. - BC-purple, allosteric- light green, CT-yellow and BCCP red. - For clarity one of the subunits is outlined in black. - The distance between ATPγS in the BC active site and Zn++ in CT active site is 65 A0 . (C) - View relative to part (B) by a 1800 rotation about the vertical axis. - The top pair of subunits have undergone a conformational change relative to the top pair in part (B) such that ATPγS - Zn++ distance between neighboring subunits is 80A0 . - In addition, BCCP domains in the top pair here are disordered.
  • 37.
    • It isclear from the figure that the distance between active sites of BC and CT domain is much large than the approx. 16 A0 length of the carboxy-biotinyl arm. • However, the BCCP domain is attached to the enzyme by a flexible polypeptide linker that is 34 A0 long, much like that linking the lipoyl domains to each dihydrolipoyl transacetylase (E2)of PDH Complex. • Even then, the length is still insufficient to carry out the tethering as the distance is about 80A0 long. • So, it would require a dramatic movement of the BCCP domain to transfer substrate between the 2 active sites of a single subunit. The question is : How does the BCCP domain translocate its carboxybiotin group between the active sites of a BC domain and a CT domain??
  • 38.
    • It hasbeen found that PC’s homotetrameric structure is required for its enzymatic activity… isolated subunits are catalytically inactive. e g n n g n
  • 39.
    • This suggeststhat each BCCP domain at the top of fig (B) shuttles CO2 in the form of carboxybiotin from the active site of the BC domain on the same subunit to the CT domain on the adjacent subunit. • Meanwhile, the other 2 subunits are inactive. • This is an unusual example of allosteric activation coupled with negative cooperativity. • It may permit Pyruvate carboxylase to carry out efficient catalysis in association with other metabolic enzymes.
  • 40.
    - Model ofthe tetramer indicating how the BCCP domain transfers a carboxyl group between BC domain on the same subunit and the CT domain of its neighbouring subunit.
  • 41.
    • The foregoingmodel is supported by experiments involving 2 mutant forms of pyruvate Carboxylase : K1119Q , which eliminates biotinylation of the BC domain AND K718Q , which impairs the phase II reaction. • Tetramers of each of these mutant subunits exhibited 0.1% and 4% of the wild type enzyme activity , respectively. • However, mixed tetramers exhibit 20% activity, thus indicating the formation of neighboring pairs of functional BC and CT domains.
  • 42.
    • NOW, PEPCarboxykinase (PEPCK), a cytosolic enzyme, that converts Oxaloacetate to PEP…
  • 43.
    But first let’stransport OAA to cytosol: • Mitochondrial membrane has no transporter for oxaloacetate (OAA). • Therefore, before export to cytosol, OAA must be reduced to malate by mitochondrial malate dehydrogenase, at the expense of NADH. • The ∆G’0 for this reaction is quite high, but under physiological conditions (including low [OAA]), ∆G is approximately 0, and the reaction is readily reversible. Mitochondrial malate dehydrogenase works for both gluconeogenesis and TCA cycle, but the flow of metabolites is in opposite direction.
  • 44.
    • Malate leavesthe mitochondrion through a specific transporter in the inner mitochondrial membrane. • In the cytosol, Malate is reoxidized to OAA, with the production of NADH. transport of OAA CONT’D:
  • 45.
    • Compartmental Cooperation. • OAAleaves the mitochondrion by converting itself to Malate…which when reaches cytoplasm, is reoxidized to OAA
  • 46.
    • The [NADH]/ [NAD+] ratio in the cytosol is 8 x 10-4 , about 105 times lower than in mitochondria. • Because cytosolic NADH is consumed during gluconeogenesis (during conversion of 1,3- bisphosphoglycerate to glceraldehyde-3-P), glucose synthesis isn’t possible unless NADH is available. • The transport of malate, as we saw, utilizes mitochondrial NADH and produces cytosolic NADH. • Thus NADH is made available at the site where they are scarce. This path thus provides an important balance between NADH produced and consumed in the cytosol during gluconeogenesis. this makes sense:
  • 47.
    • OAA maybe converted to Aspartate, and then transported via Aspartate transporter in the mitochondrial membrane. • This Aspartate aminotransferase route, however, doesn’t involve NADH. • Under most conditions, the route is Malate dehydrogenase route (to generate required NADH). • But if the Precursor of glucose is Lactate, its oxidation to Pyruvate generates NADH in cytosol, and hence may utilize any of the transport route. there’s another route too:
  • 49.
    • This routemakes use of lactate produced by glycolysis in erythrocytes or anaerobic muscle contraction. • Lactate oxidizes to Pyruvate in cytosol, generating NADH. • Pyruvate inters mitochondria, gets converted to OAA. • This OAA is directly converted to PEP by a mitochondrial isozyme of PEPCK. • PEP is transported out of mitochondria to continue gluconeogenesis. The mitochondrial and cytosolic PEPCK are encoded by separate genes in nuclear chromosomes, providing another example of 2 distinct enzymes catalyzing the same reaction but having different cellular locations or metabolic roles. Yet another route for lactate ( as precursor):
  • 51.
    Phosphoenol Pyruvte Carboxykinase(PEPCK): •Is a monomeric, about 630 residue enzyme, that catalyzes the GTP driven decarboxylation of Oxaloacetate to form PEP and GDP. • The reaction is reversible under intracellular conditions; formation of high energy PEP is balanced by hydrolysis of GTP.
  • 52.
    PEPCK mechanism • Decarboxylaionof OAA (a β-keto acid) forms a resonsnce stabilized enolate ion whose oxygen atom attacks γ- phosphoryl group of GTP forming PEP and GDP.
  • 53.
    • It isto be noted that the CO2 added to pyruvate carboxylase step is the same molecule that is lost in PEPCK mechanism. • OAA therefore may be considered as “activated” pyruvate, with CO2 and biotin facilitating the activation at the expense of ATP hydrolysis. • During fatty acid biosynthesis, we shall see similar “activation” of Acetyl CoA through such Carboxylation- Decarboxylation process. PEPCK cont’d:
  • 54.
    CARBOXYLATION- DECARBOXYLATION & irreversability •Addition of phosphoryl group to pyruvate is highly unfavourable reaction (∆G’0 about +31 KJ/mol). • But our bypass reaction generates the same ‘unfavourable’ compound, via carboxylation followed by decarboxylation (although it uses 1 ATP and 1 GTP). • Although, ∆G’0 of overall bypass mechanism is about 0.9 KJ/mol, the actual ∆G (calculated from measured cellular concentrations of intermediates) is strongly negative (-25 KJ/mol). • This results from ready consumption of PEP in other reactions so that it’s concentration remains relatively low. Thus both glycolysis and gluconeogenesis are effectively irreversible in cells.
  • 55.
    Fructose 1,6-bp tofructose 6-p: the 2nd bypass • The irreversible glycolytic step to be bypassed is: (∆G’0 = -14.2 and ∆G = -22.2 KJ/mol) • The reverse reaction is catalyzed by Fructose 1,6 bisphosphatase-1(FBPase-1). • FBPase-1 is a Mg++ dependent enzyme that promotes the essentially irreversible hydrolysis of C-1 phosphate (not phosphoryl group transfer to ADP).
  • 56.
    G 6-P toGlucose : the 3rd bypass • This is the reversible of the following hexokinase reaction of glycolysis : (∆G’0 =-16.7, ∆G = -33.4 KJ/mol) • Direct reversal would require phosphoryl group transfer to ADP (generating ATP), which would be unfavorable. • So, the reverse reaction would be a simple hydrolysis of a phosphate ester, and is catalyzed by Glucose 6 phosphatase. • It is also a Mg++ activated enzyme.
  • 57.
    • The enzymeis found in the luminal side of Endoplasmic Reticulum of hepatocytes, renal cells and epithelial cells of small intestine, but not in other tissues. • This is why other tissues are unable to supply glucose to the blood. • One advantage of not having this enzyme in most tissues is , unlike free glucose, G 6-P is not transported out of the cell. the 3rd bypass CONT’D
  • 58.
    • Generation ofglucose from G 6-P - T1 transports Glucose 6 phosphate from cytoplasm to ER lumen. - Glucose 6 phosphatase catalyzes the reaction. - T2 and T3 transport Pi and Glucose respectively to cytoplasm.
  • 59.
    Sequential reactions ofgluconeogenesis:
  • 60.
    THE PRICE TOBE PAID: • Firstly, both glycolysis and gluconeogenesis are irreversible reactions. GLYCOLYSIS: - Overall ∆G under cellular condition is about -63 KJ/mol. GLUCONEOGENESIS: - Overall ∆G is about -16 KJ/ mol (∆G ‘0 about -48)
  • 61.
    • The overallnet reaction of glycolysis and gluconeogenesis would be: • So, the loss of 2 ATP and 2 GTP is thermodynamically inescapable. • They are the price that must be paid to maintain the independent regulation of 2 pathways. Gluconeogenesis is energetically expensive, but essential. Continued:
  • 62.
    • Now ,the regulation of gluconeogenesis [ in coordination with glycolysis]
  • 63.
    Regulation is atthe level of: 1. Hexokinase/ Glucose 6 phosphatase 2. Phosphofructokinase/ Fructose Bisphosphatase 3. Pyruvate Kinase / Pyruvate Carboxylase- PEPCK
  • 64.
    1) Allosteric regulation 2)Regulation by covalent modification (phosphorylation/dephosphorylation) 3) Transcriptional regulation 3 types of regulation generally found here:
  • 65.
    Hexokinase / Glucose6 phosphatase: • The predominant isoenzyme of Hexokinase in liver is Hexokinase IV (AKA Glucokinase)…and has high KM (& less affinity for glucose) than other isoenzymes. • Circumstances that call for high energy demand (low ATP, high AMP, vigorous muscle contraction) and greater glucose consumption ( e.g. high blood glucose) cause increased transcription of Hexokinase IV gene. • Hexokinase IV is also subject to inhibition by reversible binding of regulatory protein specific to liver.
  • 66.
    • The proteininhibitor of hexokinase IV is a nuclear binding protein that … 1) Draws the enzyme into the nucleus when Fructose 6 P is high 2) Releases it to cytosol when glucose concentration is high.
  • 67.
    • Glucose 6phosphatase is transcriptionally regulated by the factors that call for increased production of glucose (e.g. low blood glucose, glucagon signaling etc). The mechanisms of several glycolytic & gluconeogenetic enzymes at transcriptional level will be discussed later Hexokinase / Glucose 6 phosphatase:
  • 68.
    PFK-1 / FBPase-1 •ATP is not only substrate for PFK-1 but also an end product of glycolytic pathway. • When high cellular [ATP]signals that ATP is being produced faster than it is being consumed, ATP inhibits PFK-1 by binding to an allosteric site and lowering the affinity of enzyme for its substrate Fructose 6-P. • ADP and AMP which increase in concentration as consumption of ATP outpaces production, act allosterically to relieve this inhibition by ATP. • These effects combine to produce higher enzymatic activity when ADP and AMP accumulates AND lower the activity when ATP accumulates.
  • 70.
    (A) - Surface contourimage of E. coli PFK-1 showing portions of its identical subunits… - Each subunit has own catalytic site, producing ADP(red) and Fructose 1,6-bp (yellow). - ATP, the allosteric regulator is buried in the protein as indicated. (B) - Allosteric regulation of muscle PFK-1 shown by substrate activity curve. - At low [ATP], the K0.5 (Km for regulatory enzyme) for fructose 6-P is low, enabling enzyme to perform at high rate. (C) - Summary of the regulators Explanation of the figure:
  • 71.
    • Citrate (ionizedcitric acid) is a key intermediate in the aerobic oxidation of pyruvate, fatty acids and amino acids. • It is also the allosteric regulator of PFK-1. • High Citrate concentration increases the inhibitory effect of ATP, further reducing the flow through glycolysis. • In this case, citrate serves as intracellular signal that the cell is meeting its current needs for energy yielding metabolism by the oxidation of fats and proteins. PFK-1 / FBPase-1 CONT’D
  • 72.
    • FBPase-1, onthe other hand , is strongly inhibited (allosterically)by AMP. PFK-1 / FBPase-1 CONT’D
  • 73.
    • In liver,glycolysis and gluconeogenesis are adjusted to maintain blood glucose levels. • When blood glucose level decreases, glucagon signals liver to produce and release more glucose, and stop consuming for its own need. • One source is glycogen, and the other is gluconeogenesis. • When blood glucose level is high, insulin signals liver to use glucose, for its own use, and for storage as glycogen and fats. • This rapid hormonal regulation is mediated by Fructose2,6-bisphosphate. PFK-1 / FBPase-1 : The role of Fructose 2,6-bP
  • 74.
    • Fructose 2,6-bpis an allosteric effector of PFK-1 and FBPase-1. • When Fructose 2,6-bp binds to its allosteric site on PFK-1 , it increases its affinity for substrate Fructose 6-P, and reduces its affinity for allosteric inhibitors of PFK-1 (like ATP and citrate). • At the physiological concentration of Fructose 6-P, ATP, AMP and citrate , the enzyme PFK-1 is virtually inactive in the absence of Fructose 2,6-bp. The role of Fructose 2,6-bP CONT’D
  • 75.
    • Fructose 2,6-bphas opposite effect on FBPase-1. • It reduces its affinity for substrate, thereby slowing gluconeogenesis. • F2,6BP also makes FBPase-1 more sensitive to inhibition by other allosteric regulator, AMP. • The level of Fructose 2,6-bp is also regulated. The role of Fructose 2,6-bP CONT’D
  • 77.
    Explaining the figure: (A) -PFK1 activity in absence of F2,6BP (blue curve) is half maximal when concentration of F6P is 2mM(i.e. K0.5 =2mM). - When 0.13 µM F26BP is present (red curve), the K0.5 of F6P is only 0.08 mM. - Thus F2,6BP activates PFK1 by increasing its affinity for F6P. (B) - FBPase activity is inhibited by as little as 1µM F2,6BP and is strongly inhibited by 25µM. - In absence of F2,6BP, the K0.5 for F1,6BP (blue curve) is 5µM but in presence (red) of 25µM F2,6BP,K0.5 is >70µM.
  • 78.
    • The cellularconcentration of F2,6BP is set by relative rates of its formation and degradation. • It is formed by phosphorylation of F6P, catalyzed by Phosphofructokinase-2 (PFK2). • It is broken down by Fructose 2,6 Bisphosphatase (FBPase-2). • These are obviously different enzymes than PFK-1 and FBPase-1. • The interesting thing is that both PFK-2 and FBPase-2 are 2 separate enzymatic activities of a single, bifunctional protein. • The balance of these 2 activities determines cellular concentration of F2,6BP, and is regulated by insulin and Glucagon. The regulation of Fructose 2,6-bP
  • 79.
    - The kinasedomain (purple)is fused to the Phosphatase domain (red). - Kinase domain is a P-loop NTP hydrolase domain, as indicated by purple shading…FBPase 2 resembles phosphoglycerate mutase. - The bar represents the amino acid sequence of the enzyme.
  • 80.
    • When glucoseis scarce (such as during a night’s fast), Glucagon triggers a CAMP cascade leading to the phosphorylation of this bifunctional enzyme by Protein Kinase A. {phosphorylation is on a single serine residue} • This covalent modification activates FBPase 2 and inhibits PFK-2, lowering the level of F2,6BP. • Gluconeogenesis predominates. { Glucagon stimulation of Protein Kinase A also inactivates pyruvate Kinase in the liver.} The regulation of Fructose 2,6-bP CONT’D
  • 82.
    • Conversely, whenblood glucose level is high, gluconeogenesis is not needed. • Insulin is secreted and initiates a signal pathway that activates a protein phosphatase, dephosphorylating the bifunctional enzyme. • This modification activates PFK2 and inhibits FBPase 2. • F2,6BP level rises. • Accelerates glycolysis. • Inhibits gluconeogenesis. Gene expression alteration by insulin & Glucagon is discussed later The regulation of Fructose 2,6-bP CONT’D
  • 85.
    • It alsoacts by controlling the level of F2,6BP. • In the mammalian liver, Xylulose 5 Phosphate,from Pentose Phosphate pathway, mediates the increase in glycolysis that follows the ingestion of high carbohydrate meal. • Xylulose 5 P concentration rises as glucose entering liver is converted to Glucose 6P and enters both glycolytic and Pentose phosphate pathway. • Xylulose 5P activates Phosphoprotein Phosphatase 2A,which dephosphorylates the bifunctional PFK-2 /FBPase2 enzyme. • Dephosphorylation, as we know, activates kinase activity and inhibits Phosphatase activity of the bifunctional enzyme. Xylulose 5 Phosphate as a key regulator:
  • 86.
    • This resultsin rise in Fructose2,6BP concentration, which then activates glycolysis and inhibits gluconeogenesis. • The increased glycolysis boosts up the formation of Acetyl CoA. • Increased flow of hexose through Pentose Phosphate pathway also increases the synthesis of NADPH. • And, Acetyl CoA and NADPH thus produced are the starting material for fatty acid synthesis. Fatty acid synthesis increases dramatically after a high Carbohydrate meal. Xylulose 5P also increases the synthesis of all of the enzymes required for fatty acid synthesis. Xylulose 5 Phosphate as a key regulator CONT’D:
  • 87.
    Structure and functionof phophoprotein Phosphatase 2A
  • 88.
    (A) - The catalyticsubunit has 2 Mn++ ions in its active site, positioned close to the substrate-recognition surface formed by the interface between the catalytic subunit and regulatory subunit. - The catalytic and regulatory subunits rest in a scaffold ( AKA A subunit)that positions them relative to each other & shapes the substrate-recognition site. - Microcystin-LR (red) is a specific inhibitor of PP2A. (B) - PP2A recognizes several target proteins, its specificity provided by the regulatory subunit. - Each of several regulatory subunits fits the scaffold containing the catalytic subunit ,& each regulatory subunit creates its unique substrate binding site. Figure explanation
  • 89.
    Pyruvate Kinase/ PyruvateCarboxylase-PEPCK • At least 3 isoenzymes of pyruvate kinase are found in vertebrates, differing to their tissue distribution and their response to modulators. • High Concentrations of ATP, Acetyl CoA and long Chain Fatty acids allosterically inhibit Pyruvate Kinase. • The liver isoenzyme (L form) is subjected to regulation by phosphorylation, but muscle isoenzyme (the M form) isn’t. • When blood glucose level is low, glucagon releases cAMP- dependent protein kinase that phosphorylates the L-isozyme of pyruvate kinase, inactivating it.
  • 90.
    • In muscle,Epinephrine regulated cAMP activates glycogen breakdown and glycolysis, providing the fuel needed for fight-or-flight response. • Pyruvate Kinase is also allosterically inhibited by Alanine. CONT’D
  • 92.
    • The firstcontrol point to determine the fate of pyruvate in the mitochondria is its conversion to Acetyl CoA (by PDH Complex) or to Oxaloacetate (by Pyruvate Carboxylase). • This is where it is determined whether the pyruvate goes to TCA cycle or Gluconeogenesis. • When fatty acids are readily available, their breakdown in mitochondria yields Acetyl CoA, a signal that further oxidation of glucose is not necessary. • Acetyl CoA positively modulates Pyruvate Carboxylase. • & negatively modulates PDHC through stimulation of a protein kinase that inactivates dehydrogenase. CONT’D
  • 94.
    • When cell’senergy need are being met, oxidative phosphorylation slows down, [NADH] rises relative to [NAD+] , and Acetyl CoA accumulates. • The increased concentration of Acetyl CoA inhibits the PDH Complex, slowing formation of Acetyl CoA from Pyruvate, and stimulates gluconeogenesis by activating Pyruvate Carboxylase. • OAA is then converted to PEP by PEPCK. • Regulation of PEPCK in mammals is usually at the level of transcription. • Fasting (high Glucagon) increases the transcription rate through cAMP...Insulin has opposite effect. CONT’D
  • 95.
  • 96.
    • Transcriptional Regulationof Gluconeogenesis [ In Coordination with Glycolysis]
  • 97.
    • So far,we discussed regulatory mechanisms that are fast and quickly reversible. • There is , however, also another set of regulatory process that involve changes in number of molecules of an enzyme synthesis and breakdown. • The process is fairly complex and is evolving continuously in its complexity.
  • 98.
    Some transcription factorsin the context of CHO metabolism: • Insulin acts through its receptor on plasma membrane to turn on at least 2 distinct signaling pathways: 1) MAP Kinase Cascade 2) PI 3 Kinase cascade (involves PKB) {details during signal transduction} - The MAP Kinase ERK , for example, phosphorylates transcription factors SRF and Elk1,which then stimulates the synthesis of enzymes needed for cell growth and division. - Protein Kinase B (AKA Akt) phosphorylates another set of transcription factors (e.g. PDX1) that stimulates enzyme that metabolize CHO & fats formed and stored following excess intake in the diet.
  • 99.
    • More than150 genes are transcriptionally regulated by insulin. • Humans have at least 7 types of Insulin response element , each recognized by a subset of transcriptional factors activated by insulin under various conditions. • Insulin stimulates the transcription of genes that encode hexokinase II and IV, PFK-1, pyruvatekinase and PFK-2/FBPase-2 (glycolysis & regulation),several enzymes of fatty acid synthesis, G6PD & 6-phosphate dehydrogenase (HMP pathway that generates NADPH required for FA synthesis). • Insulin also slows expression of genes for 2 enzymes of gluconeogenesis: PEPCK & G 6 Phosphatase. CONT’D:
  • 100.
    Some of thegenes regulated by insulin
  • 101.
    • Now, weshall discuss some of the important transcription factors related to carbohydrate metabolism…
  • 102.
    Carbohydrate response elementbinding protein (ChREBP): • Expressed primarily in liver , adipose tissue and kidney. • Serves to coordinate the synthesis of enzymes needed for carbohydrate and fat synthesis. • ChREBP in its inactive state is phosphorylated, and is located in cytosol. • When Phosphoprotein 2A (PP2A) removes a phosphoryl group from ChREBP, the transcription can enter the nucleus . • Here, nuclear PP2A removes another phosphoryl group ,and ChREBP now joins with a partner protein , Mlx, and turns on the synthesis of several enzymes: pyruvate kinase, Fatty acid synthase and acetyl CoA Carboxylase.
  • 103.
    • ChREBP inthe cytosol of hepatocyte is phosphorylated on a Ser and Thr residue , it cannot enter nucleus. • Dephosphorylation of P- Ser byPP2A allows ChREBP to enter nucleus. • In nucleus, a P-Thr is dephosphorylated , which activates ChREBP so that it it can associate with partner protein, Mlx. • ChREBP-Mlx binds to Carbohydrate Response Element (ChoRE)in the promoter & stimulates transcription.
  • 104.
    • Controlling theactivity of PP2A (& thus , ultimately , the synthesis of this group of metabolic enzymes )is Xylulose 5-Phosphate , an intermediate of Pentose phosphate pathway. • When blood glucose enters the liver , it is phosphorylated by hexokinase IV . • G6P thus formed can enter either glycolytic pathway or the Pentose Phosphate Pathway. • If it enters Pentose phosphate pathway, 2 initial oxidations produce xylulose 5 Phosphate, which serves as a signal that the glucose utilizing pathways are well supplied with substrate. ChREBP CONT’D: Controling PP2A
  • 105.
    • It accomplishesthis signal by allosterically activating PP2A, which then dephosphorylates ChREBP, allowing the transcription factor to turn on the expression of genes for enzymes of glycolysis and fat synthesis. • Glycolysis yields Pyruvate, and conversion of pyruvate to acetyl CoA provides starting material for fatty acid synthesis. • Acetyl CoA carboxylase converts Acetyl CoA to Malonyl CoA whose transcription is also enhanced by ChREBP. • Fatty acid synthase complex then converts malonyl CoA to Fatty acid, whose transcription is also enhanced by ChREBP. In this way excess CHO is stored as fats. ChREBP CONT’D: Controling PP2A CONT’D
  • 106.
    SREBP- 1c • Itis a transcription factor of the family of Sterol regulatory element binding protein. • This turns on the synthesis of Pyruvate kinase , hexokinase IV, lipoprotein lipase , acetyl CoA carboxylase and fattyacid synthase. • The synthesis of SREBP-1c is stimulated by insulin and depressed by glucagon. • SREBP-1c also suppresses the expression of several gluconeogenetic enzymes :G6phosphatase, PEP Carboxykinase and FBPase-1.
  • 107.
    Cyclic AMP Responseelement binding Protein(CREB) • CREB turns on the synthesis of Glucose 6 Phosphatase and PEPCK in response to increased cAMP triggered by glucagon. • Richard Hanson has shown that (in case of PEPCK) occurs because PEPCK gene promoter region contains a specific sequence called CRE (cAMP response Element) that is bound by transcription factor CREB, but only when CREB is also binding cAMP. • PEPCK gene promoter region also contains numerous other binding sites for specific transcription factors. • Some are TRE which is bound by thyroid hormone receptor in complex with thyroid hormone,GRE which is bound by glucocorticoid receptor in complex with Glucocorticoid. Other Promoter regions for PEPCK will be discussed in a while.
  • 108.
    Richard Hanson (1935- 2014) -A very influential teacher of biochemistry… - …and an accomplished scientist known for his extensive research on PEPCK. - enjoyed playing banjo. - This guy loved metabolism like no others.
  • 109.
    • It stimulatesthe synthesis of gluconeogenic enzymes and suppresses the enzyme of glycolysis and pentose phosphate pathway and TG synthesis. • In its unphosphorylated form, FOXO1 acts as a nuclear transcription factor. • In response to insulin,FOXO1 leaves the nucleus and is phosphorylated in the cytosol by Protein Kinase B. • It is then tagged with ubiquitin and is degraded by proteosome. • Glucagon prevents this phosphorylation by PKB, and FOXO1 remains active in the nucleus. FOXO 1 (Forkhead Box Other)
  • 110.
    • Insulin activates signallingcascade leading to activation of PKB. • FOXO1 is phosphorylated in the cytosol by PKB. • It is then tagged by ubiquitin for degradation. • Unphosphorylated FOXO1 binds to a response element triggering transcription of the associated genes.
  • 111.
    If you thinkit is complicated enough, you’re in for more surprises… • Multiple transcription factors can act on the same gene promoter; multiple protein kinases and phosphatases can activator inactivate these transcription factors; and a variety of protein accessory factors modulate the action of transcription factors. • Transcriptional control of PEPCK have been well studied. • Its promoter region has 15 or more transcription factors, with more likely to be discovered. • The transcription factors act in combination on the promoter region , and on hundreds of gene promoters , to fine tune the levels of hundreds of metabolic enzymes, coordinating their activity in the metabolism of CHOs and fats.
  • 112.
    PEPCK promoter region, showing complexity of regulatory input to this gene
  • 113.
    • The criticalimportance of transcription factors in metabolic regulation is made clear by observing the effects of mutations in their genes. • For example: At least 5 different types of Maturity-onset Diabetes of the Young (MODY) are associated with mutations in specific transcription factors.
  • 114.
    Genetic Mutations thatlead to rare forms of diabetes • Here we consider a type of diabetes in which genetic mutation affects a transcription factor important in carrying the insulin signal into the nucleus , or affects an enzyme that responds to insulin – Mature Onset Diabetes of Young (MODY). • In MODY 2, a mutation in the hexokinase IV (Glucokinase) gene affects the liver and pancreas, tissues in which this is the main isoform of hexokinase. • The glucokinase of pancreatic β cells functions as a glucose sensor. • Normally when blood glucose rises, so does the glucose level in β cells, and because glucokinase has a relatively high KM for glucose, its activity increases with rising glucose levels.
  • 115.
    • Metabolism ofG6P formed in this reaction raises the ATP levels in β cells , and this triggers insulin release. • In healthy individuals , blood glucose concentration of apprpx. 5mM trigger this insulin release. • But individuals with inactivating mutations in both copies of the glucokinase gene have very high thresholds for insulin release. • Consequently, from birth, they have severe hyperglycemia – permanent neonatal diabetes. • In individuals with one mutated and one normal copy of the glucokinase gene,the glucose threshold for insulin release rises to about 7mM. • As a result, they have blood glucose levels only slightly above normal & have no symptoms.
  • 116.
    • This condition,MODY2, is generally discovered by accident during routine blood glucose analysis. • There are at least 5 other types of MODY, each the result of an inactivating mutation in one or other transcription factors essential to the normal development and function of pancreatic beta cells. • Individuals with these mutations have varying degrees of reduced insulin production and the associated defects in blood glucose homeostasis. • In MODY1 and MODY3, the defects are severe enough to produce the long term complications associated with IDDm & NIDDM :CVS problems, Kidney failure and Blindness. • MODY 4, 5 & 6 are less severe forms of disease.
  • 117.
    • Altogether ,MODY disorders represent a small precentage of NIDDM cases. • Also very rare are individuals with mutations in the insulin gene itself ; they have defects in insulin signalling of varying severity.