Properties of Fluids for  Fluid Mechanics P M V Subbarao Associate Professor Mechanical Engineering Department IIT Delhi Basic Steps  to Design………….
Continuum Hypothesis In this course, the assumption is made that the fluid behaves as a continuum, i.e., the number of molecules within the smallest region of interest (a point) are sufficient that all fluid properties are point functions (single valued at a point). For example: Consider definition of density ρ of a fluid δV* = limiting volume below which molecular variations may be important and above which macroscopic variations may be important.
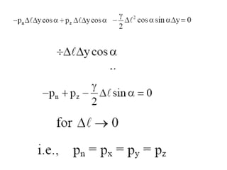
Static Fluid For a static fluid Shear Stress should be zero. For A generalized Three dimensional fluid Element, Many forms of shear stress is possible.
One dimensional Fluid Element +X +  +Y u=0 u=U
Fluid Statics Pressure : For a static fluid, the only stress is the normal stress since by definition a fluid subjected to a shear stress must deform and undergo motion.  What is the significance of Diagonal Elements? Vectorial significance : Normal stresses. Physical Significance : ? For the general case, the stress on a fluid element or at a point is a tensor X Y Z  xy  xz  yz  yx  zx  zy
Stress Tensor X Y Z  yy  zz  yz  yx  zx  zy  xx  xy  xz  xz
First Law of Pascal Proof ?
Simple Non-trivial Shape of A Fluid Element
 
 
 
 
 
 
 
Fluid Statics for Power Generation P M V Subbarao Associate Professor Mechanical Engineering Department IIT Delhi Steps for Design of Flow Devices………….
Pressure Variation with Elevation For a static fluid, pressure varies only with elevation within the fluid.  This can be shown by consideration of equilibrium of forces on a fluid element Basic Differential Equation: Newton's law (momentum principle) applied to a static fluid Σ F = ma = 0 for a static fluid i.e.,  Σ Fx =  Σ Fy =  Σ Fz = 0 1st order Taylor series estimate for pressure variation over dz
 
For a static fluid, the pressure only varies with elevation z and is constant in horizontal xy planes. The basic equation for pressure variation with elevation can be integrated depending on  whether  ρ  = constant i.e.,  the fluid is incompressible (liquid or low-speed gas)  or  ρ  =  ρ (z), or compressible (high-speed gas) since g  is  constant.
Pressure Variation for a Uniform-Density Fluid
 
 
Draft Required to Establish Air Flow   Air in   Flue as out
Natural Draft H chimney T atm T gas A B p A =  p ref +  p Z ref
 
H chimney T atm T gas A B p A =  p ref +  p Z ref, ,p ref
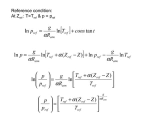
Pressure variations in Troposphere: Linear increase towards earth surface T ref  & p ref   are known at  Z ref .  Adiabatic Lapse rate : 6.5 K/km
Reference condition: At Z ref  : T=T ref  & p = p ref
Pressure at A: Pressure variation inside chimney differs from atmospheric pressure. The variation of chimney pressure depends on temperature variation along Chimney. Temperature variation along chimney depends on rate of cooling of hot gas Due to natural convection. Using principles of Heat transfer, one can calculate, T gas (Z). If this is also linear: T = T ref,gas  +    (Z ref -Z). Lapse rate of gas,   gas  is obtained from heat transfer analysis.
Natural Draft Natural Draft across the furnace,   p nat  = p A  – p B The difference in pressure will drive the exhaust. Natural draft establishes  the furnace breathing by  Continuous exhalation of flue gas Continuous inhalation of fresh air. The amount of flow is limited by the strength of the draft.
Pressure Measurement
Pressure Measurement Pressure is an important variable in fluid mechanics and many instruments have been devised for its measurement. Many devices are based on hydrostatics such as barometers and manometers, i.e., determine pressure through measurement of a column (or columns) of a liquid using the pressure variation with elevation equation for an incompressible fluid.
PRESSURE Force exerted on a unit area : Measured in kPa Atmospheric pressure at sea level is 1 atm, 76.0 mm Hg, 101 kPa In outer space the pressure is essentially zero. The pressure in a vacuum is called  absolute zero . All pressures referenced with respect to this zero pressure are termed absolute pressures.
Many pressure-measuring devices measure not absolute pressure but only difference in pressure. This type of pressure reading is called  gage pressure .  Whenever atmospheric pressure is used as a reference, the possibility exists that the pressure thus measured can be either positive or negative. Negative gage pressure are also termed as  vacuum pressures .
Manometers U Tube Inverted  U Tube Enlarged Leg Two Fluid Inclined Tube
Absolute, Gauge & Vacuum Pressures System Pressure Atmospheric Pressure Gauge Pressure Absolute Pressure Absolute zero pressure
Absolute, Gauge & Vacuum Pressures System Pressure Atmospheric Pressure Vacuum Pressure Absolute Pressure Absolute zero pressure
An important Property of A Fluid
Shear stress (  :  Tangential force on per unit area of contact    between solid & fluid
 
 
 
Elasticity (Compressibility) Increasing/decreasing pressure corresponds to contraction/expansion of a fluid.  The amount of deformation is called elasticity.
 
Surface Tension Two non-mixing fluids (e.g., a liquid and a gas) will form an interface.  The molecules below the interface act on each other with forces equal in all directions, whereas the molecules near the surface act on each other with increased forces due to the absence of neighbors.  That is, the interface acts like a stretched membrane, e.g.
 
Vapour Pressure When the pressure of a liquid falls below the vapor pressure it evaporates, i.e., changes to a gas.  If the pressure drop is due to temperature effects alone, the process is called boiling.  If the pressure drop is due to fluid velocity, the process is called cavitation.  Cavitation is common in regions of high velocity, i.e., low p such as on turbine blades and marine propellers.
 

Fm 2

  • 1.
    Properties of Fluidsfor Fluid Mechanics P M V Subbarao Associate Professor Mechanical Engineering Department IIT Delhi Basic Steps to Design………….
  • 2.
    Continuum Hypothesis Inthis course, the assumption is made that the fluid behaves as a continuum, i.e., the number of molecules within the smallest region of interest (a point) are sufficient that all fluid properties are point functions (single valued at a point). For example: Consider definition of density ρ of a fluid δV* = limiting volume below which molecular variations may be important and above which macroscopic variations may be important.
  • 3.
    Static Fluid Fora static fluid Shear Stress should be zero. For A generalized Three dimensional fluid Element, Many forms of shear stress is possible.
  • 4.
    One dimensional FluidElement +X +  +Y u=0 u=U
  • 5.
    Fluid Statics Pressure: For a static fluid, the only stress is the normal stress since by definition a fluid subjected to a shear stress must deform and undergo motion. What is the significance of Diagonal Elements? Vectorial significance : Normal stresses. Physical Significance : ? For the general case, the stress on a fluid element or at a point is a tensor X Y Z  xy  xz  yz  yx  zx  zy
  • 6.
    Stress Tensor XY Z  yy  zz  yz  yx  zx  zy  xx  xy  xz  xz
  • 7.
    First Law ofPascal Proof ?
  • 8.
    Simple Non-trivial Shapeof A Fluid Element
  • 9.
  • 10.
  • 11.
  • 12.
  • 13.
  • 14.
  • 15.
  • 16.
    Fluid Statics forPower Generation P M V Subbarao Associate Professor Mechanical Engineering Department IIT Delhi Steps for Design of Flow Devices………….
  • 17.
    Pressure Variation withElevation For a static fluid, pressure varies only with elevation within the fluid. This can be shown by consideration of equilibrium of forces on a fluid element Basic Differential Equation: Newton's law (momentum principle) applied to a static fluid Σ F = ma = 0 for a static fluid i.e., Σ Fx = Σ Fy = Σ Fz = 0 1st order Taylor series estimate for pressure variation over dz
  • 18.
  • 19.
    For a staticfluid, the pressure only varies with elevation z and is constant in horizontal xy planes. The basic equation for pressure variation with elevation can be integrated depending on whether ρ = constant i.e., the fluid is incompressible (liquid or low-speed gas) or ρ = ρ (z), or compressible (high-speed gas) since g is constant.
  • 20.
    Pressure Variation fora Uniform-Density Fluid
  • 21.
  • 22.
  • 23.
    Draft Required toEstablish Air Flow Air in Flue as out
  • 24.
    Natural Draft Hchimney T atm T gas A B p A = p ref +  p Z ref
  • 25.
  • 26.
    H chimney Tatm T gas A B p A = p ref +  p Z ref, ,p ref
  • 27.
    Pressure variations inTroposphere: Linear increase towards earth surface T ref & p ref are known at Z ref .  Adiabatic Lapse rate : 6.5 K/km
  • 28.
    Reference condition: AtZ ref : T=T ref & p = p ref
  • 29.
    Pressure at A:Pressure variation inside chimney differs from atmospheric pressure. The variation of chimney pressure depends on temperature variation along Chimney. Temperature variation along chimney depends on rate of cooling of hot gas Due to natural convection. Using principles of Heat transfer, one can calculate, T gas (Z). If this is also linear: T = T ref,gas +   (Z ref -Z). Lapse rate of gas,  gas is obtained from heat transfer analysis.
  • 30.
    Natural Draft NaturalDraft across the furnace,  p nat = p A – p B The difference in pressure will drive the exhaust. Natural draft establishes the furnace breathing by Continuous exhalation of flue gas Continuous inhalation of fresh air. The amount of flow is limited by the strength of the draft.
  • 31.
  • 32.
    Pressure Measurement Pressureis an important variable in fluid mechanics and many instruments have been devised for its measurement. Many devices are based on hydrostatics such as barometers and manometers, i.e., determine pressure through measurement of a column (or columns) of a liquid using the pressure variation with elevation equation for an incompressible fluid.
  • 33.
    PRESSURE Force exertedon a unit area : Measured in kPa Atmospheric pressure at sea level is 1 atm, 76.0 mm Hg, 101 kPa In outer space the pressure is essentially zero. The pressure in a vacuum is called absolute zero . All pressures referenced with respect to this zero pressure are termed absolute pressures.
  • 34.
    Many pressure-measuring devicesmeasure not absolute pressure but only difference in pressure. This type of pressure reading is called gage pressure . Whenever atmospheric pressure is used as a reference, the possibility exists that the pressure thus measured can be either positive or negative. Negative gage pressure are also termed as vacuum pressures .
  • 35.
    Manometers U TubeInverted U Tube Enlarged Leg Two Fluid Inclined Tube
  • 36.
    Absolute, Gauge &Vacuum Pressures System Pressure Atmospheric Pressure Gauge Pressure Absolute Pressure Absolute zero pressure
  • 37.
    Absolute, Gauge &Vacuum Pressures System Pressure Atmospheric Pressure Vacuum Pressure Absolute Pressure Absolute zero pressure
  • 38.
  • 39.
    Shear stress ( : Tangential force on per unit area of contact between solid & fluid
  • 40.
  • 41.
  • 42.
  • 43.
    Elasticity (Compressibility) Increasing/decreasingpressure corresponds to contraction/expansion of a fluid. The amount of deformation is called elasticity.
  • 44.
  • 45.
    Surface Tension Twonon-mixing fluids (e.g., a liquid and a gas) will form an interface. The molecules below the interface act on each other with forces equal in all directions, whereas the molecules near the surface act on each other with increased forces due to the absence of neighbors. That is, the interface acts like a stretched membrane, e.g.
  • 46.
  • 47.
    Vapour Pressure Whenthe pressure of a liquid falls below the vapor pressure it evaporates, i.e., changes to a gas. If the pressure drop is due to temperature effects alone, the process is called boiling. If the pressure drop is due to fluid velocity, the process is called cavitation. Cavitation is common in regions of high velocity, i.e., low p such as on turbine blades and marine propellers.
  • 48.

Editor's Notes

  • #34 Barometric pressure is actual atmospheric pressure