Chapter 2
Pressure & Fluid Statics
2
Pressure
Pressure: A normal force exerted by a fluid per unit area
The normal stress (or “pressure”) on
the feet of a chubby person is much
greater than on the feet of a slim
person.
3
Atmospheric pressure: Pressure exerted by the atmosphere
Absolute pressure: The actual pressure at a given position. It is measured relative
to absolute vacuum (i.e., absolute zero pressure).
Gage pressure: The difference between the absolute pressure and the local
atmospheric pressure.
Most pressure-measuring devices are calibrated to read zero in the atmosphere, and
so they indicate gage pressure.
Vacuum pressures: Pressures below atmospheric pressure.
4
Problem:
5
Pressure at a Point
How the pressure at a point varies with the orientation of the plane passing
through the point ?
Consider the free-body diagram within a fluid mass.
Since the fluid is at rest, there will be no shearing forces on the faces of the element
and the element will not be accelerating. The only external forces acting on the
wedge are due to the pressure and the weight.
6
𝐹𝑦 = 0 Py δx. δz − Ps δx. δs sinθ = 0
Fz = 0 Pz δx. δy − Ps δx. δs cosθ − W = 0
7
𝐹𝑦 = 0 Py δx. δz − Ps δx. δs sinθ = 0
From fig sinθ =
δz
δs
Py δx. δz − Ps δx. δs
𝛿𝑧
𝛿𝑠
= 0
Therefore,
Py − Ps = 0
Py = Ps
8
Since we are really interested in what is happening at a point, we take the
limit as δx, δy and δz approach zero, we get,
Pz = Ps
or Py = Pz = Ps
Pressure at a pt. in a fluid at rest, or in motion, is independent of direction
as long as there are no shearing stresses present. (Pascal’s law)
Fz = 0
Pz δx. δy − Ps δx. δs cosθ − W = 0
Pz δx. δy − Ps δx. δs
𝛿𝑦
𝛿𝑠
− ρg
𝛿𝑥. 𝛿𝑦. 𝛿𝑧
2
= 0
Pz − Ps −
1
2
ρgδz = 0
9
Pressure is the compressive force per unit area but it is not a vector.
Pressure at any point in a fluid is the same in all directions.
Pressure has magnitude but not a specific direction, and thus it is a scalar
quantity.
Pressure is a scalar quantity, not a vector; the pressure at a point in a
fluid is the same in all directions.
10
Basic Equation for pressure Field
 How does the pressure in a fluid in which there are no shearing stresses vary
from point to point?
Consider a small rectangular element of fluid removed from some arbitrary
position within the mass of the fluid.
11
Two types forces act on the fluid element
Body forces such as gravity that act throughout the entire body of the
element and are proportional to the volume of the body (and also
electrical and magnetic forces, which will not be considered in this
course),
and
Surface forces such as the pressure forces that act on the surface of the
element and are proportional to the surface area (shear stresses are also
surface forces, but they do not apply in this case).
12
Suppose the dimension of the fluid element is dx, dy and dz.
Let pressure at the center of the element be designated as P.
Assume that the density „ρ‟ of the fluid element is constant.
The average pressure on the various faces can be expressed in terms of P and its
derivative.
We are actually using a Taylor series expansion of the pressure at the element
center to approximate the pressure a short distance away and neglecting the
higher order terms that vanish as dx, dy and dz approach zero.
Taylor Series Expansion
𝑓 𝑥 + 𝑕 = 𝑓 𝑥 + 𝑕𝑓´
𝑥 +
𝑕2
2!
𝑓´´
𝑥 +
𝑕3
3!
𝑓´´´
𝑥 + −− −
For small value of h, the higher order terms may be neglected.
𝑓 𝑥 + 𝑕 = 𝑓 𝑥 + 𝑕𝑓´ 𝑥
13
For simplicity the surface forces in x direction are not shown in the figure.
The resultant surface force in y direction is:
Similarly for x and z direction the resultant surface forces are:
14
The resultant surface force in vector form will be:
=
The weight of the element is another force acting vertically downward in z direction. That is:
-ve sign is due to sign convention.
15
Apply Newton’s Second Law on the fluid element:
That is:
The above equation is the general equation of motion for fluid.
16
Pressure in a stationary fluid under
the action of gravity:
For a fluid at rest a=0
Therefore equation 1 reduced to:
Or in component form:
Above equations shows that for the fluid at rest the pressure is only depend
on z (height) therefore:
The above equation shows that the pressure decreases as we move upward in the
fluid at rest.
17
Homogeneous Incompressible fluid
A fluid with uniform properties throughout is termed as Homogeneous fluid.
Since:
For homogeneous incompressible fluid (γ is constant) the above equation can be
integrated as
𝑑𝑃
𝑃2
𝑃1
= −𝛾 𝑑𝑧
𝑧2
𝑧1
𝑃2 − 𝑃1 = −𝛾(𝑧2 − 𝑧1)
𝑃1 − 𝑃2 = 𝛾(𝑧2 − 𝑧1)
Where P1 and P2 are the pressures at the
vertical elevations of z1 and z2 respectively.
18
As shown in figure, z2 – z1 = h
therefore equation 3 can be written in more compact form as:
𝑃1 − 𝑃2 = 𝛾𝑕 (4)
The pressure difference between two points can also be express by the distance h
as;
𝑕 =
𝑃1 − 𝑃2
𝛾
In this case h is called PRESSURE HEAD and is interpreted as the height of a
column of fluid of specific weight γ required to give pressure difference P1 – P2.
19
Most of the time it is convenient to consider P2 on the free surface (where the
pressure would be atmospheric pressure) and thus we can write
𝑃 = 𝛾𝑕 + 𝑃𝑜 (5)
Equation 4 & 5 show that the pressure in a homogeneous, incompressible fluid at
rest, only depends on the depth of fluid relative to some reference plane and it is not
influenced by the size or shape of the fluid container.
Thus in the above figure the pressure is same at all points along the line
AB.
20
Several fluids of different specific
weights:
Consider two fluids of specific weights γ1 and γ2 contained in a vessel that
is open from the top.
Then the fluid of higher specific weight will rest at the bottom of the vessel
whereas, the fluid of smaller specific weight will be at the top of the vessel.
If γ1 < γ2 and Po be the free surface pressure then;
The pressure at the interface of the two fluids will be
𝑃1 = 𝑃𝑜 + 𝛾1𝑕1
And the pressure at the bottom of the second fluid will be:
𝑃2 = 𝑃1 + 𝛾2𝑕2 or 𝑃2 = 𝑃𝑜 + 𝛾1𝑕1 + 𝛾2𝑕2
21
Interconnected Vessels
Consider a vessel of two interconnecting branches, open from the top and
contains homogeneous fluid at rest.
If P1 and P2 be the pressures acting on branch one and two respectively. The
pressure at an arbitrary horizontal plane AA can be expressed as:
𝑃𝐴 = 𝑃1 + 𝛾𝑕1
Or
𝑃𝐴 = 𝑃2 + 𝛾𝑕2
22
Comparing both equations:
𝑃𝐴 = 𝑃1 + 𝛾𝑕1 = 𝑃2 + 𝛾𝑕2
That is 𝑃2 − 𝑃1 = 𝛾 𝑕1 − 𝑕2 = 𝛾𝑕
But 𝑃2 = 𝑃1 = 𝑃0 𝑡𝑕𝑒 𝑎𝑡𝑚𝑜𝑠𝑝𝑕𝑒𝑟𝑖𝑐 𝑝𝑟𝑒𝑠𝑠𝑢𝑟𝑒
Therefore h = 0, means if equal pressure acts on both free surfaces the two
surfaces are at the same level.
The concept of equality of pressure at equal elevations is important for the
operation of hydraulic Jack, lifts, presses and many other types of heavy
machineries
23
•The fundamental idea behind such devices is shown in the figure below.
A piston located at one end is used to change the pressure of the system.
Since the pressure P, acting on both pistons is same, large mechanical advantage (F2
= F1A2/A1) can be obtained on the other side.
That is a small force applied at the one end can be used to develop a large force at
the large piston.
The fundamental idea behind such devices is shown in the
figure below
24
Pressure Variation for Compressible
Fluid
The gases are being treated as compressible fluids since the density of the
gas can change significantly with changes in pressure and temperature.
Since 𝐝𝐏
𝐝𝐳
= −𝛒𝐠 = −𝛄
Since the specific weights of gases are comparatively small, then the pressure
gradient in the vertical direction is correspondingly small, and even over distances
of several hundred feet the pressure will remain essentially constant for a gas.
This means we can neglect the effect of elevation changes on the pressure in
gases in tanks, pipes, and so forth in which the distances involved are small.
25
Standard Atmosphere Or US Standard Atmosphere
Idealized Representation of the Mid-Latitude Atmosphere
Standard Atmosphere is used in the design of aircraft, missiles and
spacecraft
Linear Variation,
T = Ta - bz
Isothermal, T = To
Troposphere:
26
For those situations in which the variations in heights are large, on the order of
thousands of feet, attention must be given to the variation in the specific weight.
The equation of state for an ideal gas is
𝑃 = 𝜌𝑅𝑇
Where P = absolute pressure, R = gas constant, And T = absolute temperature
Combining the above equation with
𝑑𝑃
𝑑𝑧
= −
𝑃
𝑅𝑇
𝑔
𝑑𝑃
𝑃
𝑝2
𝑝1
= −
𝑔
𝑅
𝑑𝑧
𝑇
𝑍2
𝑍1
Assuming that the temperature has a constant value To over the range Z1 to Z2
(isothermal condition) then
𝑙𝑛
𝑃2
𝑃1
= −
𝑔 𝑍2 − 𝑍1
𝑅𝑇°
Or taking antilog of both side
𝑃2 = 𝑃1 exp − 𝑔
(𝑍2 − 𝑍1)
𝑅𝑇°
27
This equation provides the desired relationship b/w pressure-elevation for
an isothermal layer.
For non-isothermal condition a similar procedure can be followed, if the
temperature –elevation relationship is known.
28
In the troposphere, which extends to an altitude of about 11 km (~ 36000 ft) the
temperature variation is given by,
T = Ta − βz
Where Ta is the temperature at sea level (z=0) and β is the lapse rate (the rate of
change of temperature with elevation).
For the standard atmosphere in the troposphere,
β=0.00650 K/m or 0.00357 R/ft
Using the equation for pressure variation with altitude,
𝑑𝑝
𝑑𝑧
= −γ = −𝜌𝑔
For an ideal gas, p=ρRT => 𝛒 =
𝐩
𝐑𝐓
𝐝𝐩
𝐝𝐳
= −
𝐩
𝐑𝐓
𝐠
Separating the variables;
𝐝𝐩
𝐩
= −
𝐠
𝐑𝐓
𝐝𝐳
Standard Atmosphere (continue)
29
For troposphere, the temperature variation is T = Ta − βz
Substituting into above equation,
𝐝𝐩
𝐩
= −
𝐠
𝐑
𝐗
𝟏
𝐓𝐚 − 𝛃𝐳
𝐝𝐳
Integrating from z=0 where p=pa to elevation z where pressure is p
𝐝𝐩
𝐩
𝒑
𝒑𝒂
= −
𝐠
𝐑
𝟏
𝐓𝐚 − 𝛃𝐳
𝐝𝐳
𝒛
𝟎
{Hint: using
1
1−𝑏𝑥
𝑑𝑥 = −
ln(1−𝑏𝑥)
𝑏
}
𝐩 = 𝐩𝐚(𝟏 −
𝛃𝐳
𝐓𝐚
)
𝐠
𝐑𝛃
Most jetliners cruises at the edge of troposphere (ie at the altitude of 11
km or 36000 feet where the temperature is -56.6 °C and pressure is about
23 kPa)
Standard Atmosphere
30
Measurement of Pressure
Numerous devices and techniques are used to measure pressure.
The pressure at a point within a fluid is designated as an absolute pressure
or a gauge pressure.
Absolute pressure is measured relative to a perfect vacuum.
Gauge pressure is measured relative to the local atmospheric pressure.
Most pressure-measuring devices, however, are calibrated to read zero in the
atmosphere , and so they indicate the difference between the absolute
pressure and the local atmospheric pressure
31
Measurement of atmospheric pressure
Barometer is the device used to measure atmospheric pressure.
The simplest form of a barometer consists of a glass tube, closed at one end.
The tube is initially filled with mercury and then turned upside down in the
container of mercury.
The mercury column will come to an equilibrium position where its weight
balances the force due to atmospheric pressure. Thus
𝑃𝑎𝑡𝑚 = 𝛾𝑕
32
Manometer
Pressure measurement devices based on the use of liquid columns in vertical or
inclined tubes are called manometers.
Mercury barometer is one of the types of manometers.
Piezometer tube, U-tube and inclined tube are the examples of some other types
of manometers.
33
Piezometer tube is simply a vertical tube, open at the top and attached to
the container or a pipe in which the pressure is desired
Piezometer Tube
Piezometer Tube
pA (abs)
Moving from left to right:
Closed End “Container”
pA(abs) - g1h1 = po
po
Move Up the
Tube
Rearranging: 1
1
h
p
p o
A
g


Gage Pressure
Then in terms of gage pressure, the equation for a Piezometer Tube:
Disadvantages:
1. It cannot measure the gas
pressure.
2. It cannot measure high
pressure. (so that the required
height of the tube is
reasonable)
3. It cannot measure negative
pressure. (otherwise air will be
sucked in)
Note: pA = p1 because they are at the same level
34
35
U-Tube Manometer
U-Tube manometer is a U shaped tube, contains a fluid in it, called gauge fluid.
The gauge fluid must be immiscible with other fluids in contact with it.
Two common gauge fluids are water and mercury.
U-Tube Manometer
Closed End
“Container”
pA
Since, one end is open we can work entirely in gage pressure:
Moving from left to right: pA + g1h1 = 0
- g2h2
Then the equation for the pressure in the container is the following:
If the fluid in the container is a gas, then the fluid 1 terms can be ignored:
Note: in the same fluid we can
“jump” across from 2 to 3 as they
are at the same level, and thus must
have the same pressure.
The fluid in the U-tube is known as
the gage fluid. The gage fluid type
depends on the application, i.e.
pressures attained, and whether the
fluid measured is a gas or liquid.
36
37
The advantages of U-Tube manometer are:
1. It can be used to measure gas pressure.
2. If the pressure PA is large then use of a heavy gauge fluid (mercury)
can reduce the column height and vice versa.
3. If the pressure PA is too small then use of a lighter gauge fluid
(water) can provide easily readable column height.
38
The U-tube manometer is also used to measure the pressure difference between two
containers or between two points.
For the flow between the two containers
the pressure equation will be:
𝑃𝐴 + 𝛾1𝑕1 − 𝛾2𝑕2 − 𝛾3𝑕3 = 𝑃𝐵
That is
𝑃𝐴 − 𝑃𝐵 = 𝛾2𝑕2 + 𝛾3𝑕3 − 𝛾1𝑕1
For the flow between the two points the
pressure equation will be:
𝑃𝐴 − 𝛾1𝑕1 − 𝛾2𝑕2 + 𝛾1(𝑕1 + 𝑕2) = 𝑃𝐵
That is
𝑃𝐴 − 𝑃𝐵 = 𝑕2(𝛾2 − 𝛾1)
39
Inclined tube manometer
The tube is inclined at an angle θ and the differential reading is measured along the inclined tube.
The difference in pressure is expressed as:
𝑃𝐴 + 𝛾1𝑕1 − 𝛾2𝑙2𝑠𝑖𝑛𝜃 − 𝛾3𝑕3 = 𝑃𝐵
That is
𝑃𝐴 − 𝑃𝐵 = 𝛾2𝑙2𝑠𝑖𝑛𝜃 + 𝛾3𝑕3 −𝛾1 𝑕1
Note that the pressure difference between point 1 and 2 is due to the vertical distance
(𝑙2𝑠𝑖𝑛𝜃) between the two points.
Inclined tube manometers are usually used to measure small pressure differences in
gas pressures, where the contributions of gas columns 𝑕1& 𝑕3 can be neglected.
40
Mechanical and Electronic pressure
measuring devices:
Manometers are not well suited for measuring very high pressures or the
pressures that are rapidly changing with time.
Therefore numerous types of mechanical and electronic pressure measurement
devices have been developed.
When the fluid acts on an elastic structure, the structure will deform. This
deformation is related to the magnitude of the pressure.
The pressure measuring device works on this principle is termed as Bourdon
Pressure gauge
41
The essential mechanical component in this gauge is the hollow elastic curved tube
(Bourdon tube), connected with the pressure source.
As the pressure in the Bourdon tube increases the tube tends to straighten, the tube
deformation is translated into the motion of pointer on the dial.
Bourdon gauge must be calibrated so that the dial reading can directly read the
pressure in psi or Pascal.
Zero reading on the Bourdon gauge indicates the local atmospheric pressure
Aneroid barometer is another type of mechanical pressure gauge, used to
measure atmospheric pressure.
The common aneroid barometer contains a hollow, closed, elastic element.
The element is completely evacuated to nearly zero absolute pressure inside
the element.
As the atmospheric pressure changes the element deflects and this motion is
translated on attached calibrated dial.
42
For many applications the measured pressure is converted into an electrical
output. This type of pressure measurement device is called pressure transducer.
The pressure transducers continuously monitor change in pressure with time.
In one type of pressure transducer the Bourdon tube is connected to a linear
variable differential transformer (LVDT), which provides voltage signals. These
voltage signals are digitized and store on a computer for further processing.
43
The disadvantage of Bourdon tube pressure transducer is:
1. It only measures the static pressure.
2. Because of large mass of Bourdon tube it cannot respond to rapid changes
in pressure.
This difficulty can be overcome using Strain gauge pressure transducer.
Strain gauge pressure transducer has a thin elastic diaphragm, used as sensing
element.
The diaphragm is in contact to the fluid, as the fluid pressure changes, the
diaphragm deflects and passes a voltage signals to the computer.
This type of pressure transducer can be used to measure both small and large
pressures, as well as static and dynamic pressures.
Strain gauge pressure
transducer measures
arterial blood pressure,
which is relatively
small and varies
periodically.
44
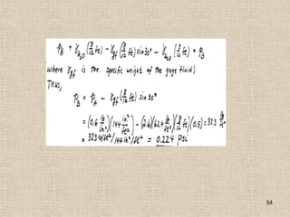
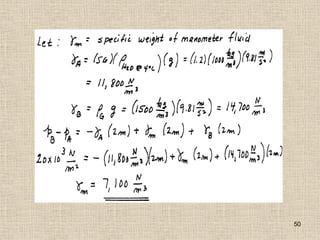
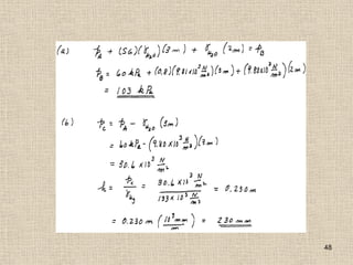
Problem
45
46
47
48
49
50
51
52
53
54
55
Hydrostatic Forces on a plane surface
When a surface is submerged in a fluid, forces develop on the surface due the
fluid.
Determination of these forces is important in the design of storage tanks,
ships, dams and other hydraulic structures.
For fluid at rest, the forces developed on the submerged surface are due to the
fluid pressure and are perpendicular to the surface.
For gases, pressure is uniformly distributed all over the container. Therefore
due to gas pressure, at any particular surface (boundary of the container) the
resultant force acts at the centroid of the surface.
For liquids, the pressure is not uniform, it increases with the depth. Therefore,
due to pressure at any particular surface the resultant force does not act at
the centroid but act at the point below the centroid of the surface.
56
For the horizontal surface, such as the bottom of a liquid filled tank,
the magnitude of the resultant force is
simply FR = PA.
That is
FR = (Po + γh)A
The atmospheric pressure acts on both sides of the bottom surface, therefore
the unbalanced force at the bottom of the liquid filled open tank is γhA.
Since the pressure is constant and uniformly distributed over the bottom, the
resultant force acts through the centroid of the bottom surface area.
57
The pressure on the side walls of the tank is not uniformly distributed.
We will learn how to determine the resultant force and its location for the situations
such as the one discussed above.
58
Consider more general case as a vessel of inclined side wall
Let the inclined plane
intersects the free surface at 0
and makes an angle θ with
the free surface.
If 0 is the origin of the x-y
coordinate system and y is
directed along the inclined
surface.
The area can have an
arbitrary shape, as shown.
59
At any given depth, h, the force acting on any differential area dA is
𝑑𝐹 = 𝑝𝑑𝐴 = 𝛾𝑕𝑑𝐴
and is perpendicular to the surface.
The magnitude of the resultant force (FR ) can be found by summing these
differential forces over the entire surface. In equation
form
𝐹𝑅 = 𝛾𝑕𝑑𝐴 = 𝛾 𝑦𝑠𝑖𝑛𝜃 𝑑𝐴
𝐴
𝐴
For constant γ and θ
𝐹𝑅 = 𝛾𝑠𝑖𝑛𝜃 𝑦𝑑𝐴
𝐴
The integral ydA
A
is the First Moment of Area with respect to x-axis, so we can
write
𝑦𝑑𝐴
𝐴
= 𝑦𝑐𝐴
60
Where
yc is the y-coordinate of the centroid measured from the x-axis which
passes through O.
Thus the resultant force (FR ) can be written as
𝐹𝑅 = 𝛾𝐴𝑦𝑐 𝑠𝑖𝑛𝜃
or simply, 𝑭𝑹= 𝜸𝒉𝒄𝑨 => magnitude of the resultant force
where hc is the vertical distance from the fluid surface to the centroid of the area.
The above equation indicates that :
• the magnitude of the resultant force is equal to the pressure at the
centroid of the area multiplied by the total area.
• the magnitude of the resultant force is independent of angle θ
• and depends only on the specific weight of the fluid, the total surface area
and the depth of the centroid of the area.
61
Determination of the location of the Resultant Force
Center of Pressure:
When an area is subjected to a pressure, a point in the area exists through
which the entire force could be concentrated with the same external effect.
This point is called the “center of pressure”.
If the pressure is uniformly distributed over an area, the center of pressure
coincides with the centroid of the area.
In the case of non-uniform pressure distribution, the resultant force acts
at centre point (xR, yR) located below the centroid (xC, yC).
62
To workout xR & yR, Taking moment of FR about x-axis and about y-axis.
That is:
𝑀𝑥 = 𝐹𝑅𝑦𝑅 = 𝑦𝑑𝐹
𝑀𝑦 = 𝐹𝑅𝑥𝑅 = 𝑥𝑑𝐹
But dF = γ h dA = γ y sinθ dA
Similarly FR = γ hc A = γ yc sinθ A
𝑀𝑥 = 𝐹𝑅𝑦𝑅 = 𝑦. 𝛾𝑦𝑠𝑖𝑛𝜃𝑑𝐴
𝛾𝑦𝑐𝑠𝑖𝑛𝜃𝐴. 𝑦𝑅 = 𝛾𝑠𝑖𝑛𝜃 𝑦2
𝑑𝐴
𝑦𝑐𝐴. 𝑦𝑅 = 𝑦2𝑑𝐴
𝑦𝑅 =
𝑦2𝑑𝐴
𝑦𝑐𝐴
𝑀𝑦 = 𝐹𝑅𝑥𝑅 = 𝑥. 𝛾𝑦𝑠𝑖𝑛𝜃𝑑𝐴
𝛾𝑦𝑐𝑠𝑖𝑛𝜃𝐴. 𝑥𝑅 = 𝛾𝑠𝑖𝑛𝜃 𝑥𝑦𝑑𝐴
𝑦𝑐𝐴. 𝑥𝑅 = 𝑥𝑦𝑑𝐴
𝑥𝑅 =
𝑥𝑦𝑑𝐴
𝑦𝑐𝐴
63
The term 𝑦2𝑑𝐴 is called second moment of inertia with respect to x-axis
located at the intersection of the plane and the free surface, denoted by Ix.
The term 𝑥𝑦𝑑𝐴 is called product of inertia about x and y axes, denoted by Ixy.
Therefore, 𝑥𝑅 =
𝐼𝑥𝑦
𝑦𝑐𝐴
𝑦𝑅 =
𝐼𝑥
𝑦𝑐𝐴
Ix and Ixy are the moments about x and y axes.
These moments can be converted to the moment about the centroid of the plane,
using:
Parallel axes theorem, defines as
𝐼𝑥 = 𝐼𝑥𝑐 + 𝐴𝑦𝑐
2 and 𝐼𝑥𝑦 = 𝐼𝑥𝑦𝑐 + 𝐴𝑥𝑐𝑦𝑐
Substituting above values,
𝑥𝑅 =
𝐼𝑥𝑦𝑐+𝐴𝑥𝑐𝑦𝑐
𝑦𝑐𝐴
𝑦𝑅 =
𝐼𝑥𝑐+𝐴𝑦𝑐
2
𝑦𝑐𝐴
That is: 𝑥𝑅 =
𝐼𝑥𝑦𝑐
𝑦𝑐𝐴
+ 𝑥𝑐 and 𝑦𝑅 =
𝐼𝑥𝑐
𝑦𝑐𝐴
+ 𝑦𝑐
64
In the above equations, Ixc and Ixyc are the moment with respect to an axes
passing through the centroid of the plane.
Centroidal coordinates and moments of inertia for some common areas are
given in fig
65
66
Magnitude of the force can be determined using equation
67
A circular 2-m-diameter gate is located on the sloping side of a swimming
pool. The side of the pool is oriented 60 relative to the horizontal bottom,
and the center of the gate is located 3 m below the water surface.
Determine the magnitude of the water force acting on the gate and the
point through which it acts.
68
69
70
Consider the pressure distribution along a vertical wall of a tank of width b
Pressure Prism
Fig. b, shows the three dimensional representation of pressure distribution.
71
The base of the volume shown in fig b is pressure-area
Area space is the area of interest, altitude at each point is the
pressure.
The volume shown in fig. b, is called pressure prism.
The resultant force acting on the rectangular area A = bh is:
FR = 𝛾hcA = 𝛾 (h/2)A = (𝛾h/2)bh
The above equation shows that the resultant force acting on the
surface is equal to the volume of the pressure prism.
The resultant force must lie on
the centroid of the pressure
prism, which is located along
the vertical axis of symmetry of
the surface and at a distance of
h/3 above the base
72
The same approach can be used for plane surfaces that do not extent up to the fluid surface,
as shown in the fig. below:
This time the cross section area of the pressure prism is trapezoidal.
The above statement can be proved by decomposing the pressure into two
parts, ABDE and BCD as shown.
Thus FR = F1 + F2
The location of FR can be determined by summing the moments about AB.
FRyR = F1y1 +F2y2
73
Pressure prism can also be developed for inclined plane and for the
trapezoidal cross section of an inclined plane.
74
In solving the pressure prism we assumed zero surface pressure,
means we only considered the gauge pressure in the determination of
the pressure force.
The following figure includes the atmospheric pressure in the
determination of the pressure force.
75
However if we are including the atmospheric pressure then we must
include the same pressure on the outside surface.
Means the resultant force on a surface is only due to the gauge pressure.
But if the surface pressure is different from atmospheric pressure (for
example close tank) then the magnitude of the hydrostatic force will be
different from the one calculated using the relation FR = γhcA
76
77
The pressure on the plate is due to the pressure air pressure at the oil
surface plus the pressure due to the oil (which varies linearly with depth).
The resultant force is due to the F1 and F2.
Where F1 and F2 are due to the rectangular and triangular portions of the
pressure distributions
And F2 = γhcA
= 0.954 x 103 N
= 0.954 x 103 N
yo = 0.296 m
78
Hydrostatic force on a curved surface
Curved surfaces occur in many structures, e.g. dams and cross sections of
circular pipes or tank.
If a surface is curved, the forces produced by fluid pressure will not be
parallel but rather concentric or radial. Their direction and magnitude will
change from point to point on the curved surface.
The easiest way to determine the resultant hydrostatic force (FR ) acting on the two
dimensional curved surface (BC) is to determine the horizontal and vertical
components FH and FV , that the tank exerts on the fluid, separately.
79
This is done by considering the free-body diagram (ABC) of the liquid block enclosed
by the curved surface and the two plane surfaces (one horizontal and one vertical)
passing through the two ends of the curved surface.
Note that the vertical surface (AC) of the liquid block is simply the projection of the
curved surface on a vertical plane, and the horizontal surface AB, is the projection of
the curve surface on a horizontal plane.
The resultant force acting on the curved solid surface is then equal and
opposite to the force acting on the curved liquid surface (Newton‟s third law).
80
FH :
Consider the free body diagram of
he fluid volume ABC. For
equilibrium,
𝐹𝐻 − 𝐹𝐴𝐶 = 0 or, 𝐹𝐻 = 𝐹𝐴𝐶
Where FAC can be obtained from the
expression for the hydrostatic force
on plane vertical surface,
𝐹𝐻 = 𝐹𝐴𝐶
= 𝛾𝑕𝑐𝐴𝐴𝐶
FV :
𝐹𝑉 − 𝑊 − 𝐹𝐴𝐶 = 0
𝐹𝑉 = 𝑊 + 𝐹𝐴𝐶
= 𝛾𝑉𝐴𝐵𝐶 + 𝛾𝑕𝐴𝐴𝐵
= 𝛾(𝑉𝐴𝐵𝐶+𝑕𝐴𝐴𝐵)
=weight of the fluid supported by
the curved surface up to the free
surface.
81
The magnitude of the resultant is obtained from the equation,
𝐹𝑅 = 𝐹𝐻
2 + 𝐹𝑉
2
𝜃 = 𝑡𝑎𝑛_1
𝐹𝑉
𝐹𝐻
An inspection of this result will show that the line of action of the resultant
force passes through the center of the curve surface.
This is not a surprising result since at each point on the curved surface, the
elemental force due to pressure is normal to the surface and each line of
action must pass through the center of the curve surface.
82
A 4-m-long curved gate is located in the side of a reservoir containing water as
shown in Fig. Determine the magnitude of the horizontal and vertical
components of the force of the water on the gate. Will this force pass through
point A?
83
84
85
86
87
Buoyancy, Flotation, and Stability
Archimedes’ Principle
Whenever a body is placed over a liquid, either it sinks down or floats on
the liquid. In floating position the body is subjected to two forces,
(i) Gravitational force, W (its weight) acting in downward
directions, and
(ii) Up thrust of the liquid also called the buoyant force, FB acting
in the upward direction.
In equilibrium position of floating, the magnitudes of both the forces
are equal and they act in opposite direction along the vertical axis.
However, if the gravitational force is more than the up thrust of the
liquid the body will sink. The magnitude of the buoyancy force can be
determined by Archimedes Principle, and is expressed as:
The buoyant force acting on a body immersed in fluid
is equal to the weight of the fluid displaced by the
body, and it acts upward through the centroid of the
displaced volume.
88
 The buoyant force is caused by the increase
of pressure in a fluid with depth.
 Consider, for example, a flat plate of
thickness h submerged in a liquid of
density 𝜌f parallel to the free surface, as
shown in Fig.
 The area of the top (and also bottom)
surface of the plate is A, and its distance to
the free surface is s.
 The gage pressures at the top and bottom
surfaces of the plate are 𝜌fgs and 𝜌fg(s + h),
respectively.
 Then the hydrostatic force Ftop = 𝜌fgsA acts
downward on the top surface, and the
larger force Fbottom = 𝜌fg(s + h)A acts
upward on the bottom surface of the plate.
 The difference between these two forces is
a net upward force, which is the buoyant
force
𝐹𝐵 = 𝐹𝑏𝑜𝑡𝑡𝑜𝑚 − 𝐹𝑡𝑜𝑝
= 𝜌𝑓𝑔 𝑠 + 𝑕 𝐴 − 𝜌𝑓𝑔𝑠𝐴
= 𝜌𝑓𝑔𝑕𝐴 = 𝜌𝑓𝑔𝑉
The point through which the buoyant
force acts is called the centre of
buoyancy.
 where V = hA is the volume of the plate. But the relation ρf gV is simply
the weight of the liquid whose volume is equal to the volume of the
plate.
 Thus, we conclude that the buoyant force acting on the plate is
equal to the weight of the liquid displaced by the plate.
 Note that the buoyant force is independent of the distance of the
body from the free surface. It is also independent of the density of
the solid body.
 This is known as Archimedes’principle, after the Greek mathematician
Archimedes (287–212 BC), and is expressed as
The buoyant force acting on a body immersed in a fluid
is equal to the weight of the fluid displaced by the body,
and it acts upward through the centroid of the displaced
volume. 89
90
Principle of Floatation:
Floating bodies are a special case; only a portion of the body is submerged, with
the remainder poking up out of the free surface.
𝐹𝐵 = 𝛾 𝑑𝑖𝑠𝑝𝑙𝑎𝑐𝑒𝑑 𝑣𝑜𝑙𝑢𝑚𝑒 = 𝑓𝑙𝑜𝑎𝑡𝑖𝑛𝑔 𝑏𝑜𝑑𝑦 𝑤𝑒𝑖𝑔𝑕𝑡
Hence the Principle of Floatation is:
A floating body displaces it own weight in the fluid in which it floats. ie
𝑾𝒆𝒊𝒈𝒉𝒕 𝒐𝒇 𝒕𝒉𝒆 𝒐𝒃𝒋𝒆𝒄𝒕
= 𝒘𝒆𝒊𝒈𝒉𝒕 𝒐𝒇 𝒍𝒊𝒒𝒖𝒊𝒅 𝒅𝒊𝒔𝒑𝒍𝒂𝒄𝒆𝒅 𝒃𝒚 𝒕𝒉𝒆 𝒊𝒎𝒎𝒆𝒓𝒔𝒆𝒅 𝒑𝒐𝒓𝒕𝒊𝒐𝒏 𝒐𝒇 𝒐𝒃𝒋𝒆𝒄𝒕
91
When an object floats, suspends or sinks in a fluid?
For floating bodies, the weight of the entire body must be equal to the
buoyant force, which is the weight of the fluid whose volume is equal to the
volume of the submerged portion of the floating body. That is,
𝐹𝐵 = 𝑊
𝛾𝑉𝑠𝑢𝑏 = 𝑊
𝜌𝑓𝑔𝑉𝑠𝑢𝑏 = 𝑊
𝜌𝑓𝑔𝑉𝑠𝑢𝑏 = 𝜌(𝑎𝑣𝑒 𝑏𝑜𝑑𝑦)𝑔𝑉𝑇𝑜𝑡𝑎𝑙
𝑉𝑠𝑢𝑏
𝑉𝑇𝑜𝑡𝑎𝑙
=
𝜌(𝑎𝑣𝑒 𝑏𝑜𝑑𝑦)
𝜌𝑓
Therefore, the submerged volume fraction of a floating body is equal to
the ratio of the average density of the body to the density of the fluid.
Note that when the density ratio is equal to or greater than one, the
floating body becomes completely submerged.
92
When an object floats, suspends or sinks in a fluid?
It follows from these discussions that a
body immersed in a fluid
1) remains at rest at any location in the
fluid where its average density is
equal to the density of the fluid,
2) sinks to the bottom when its average
density is greater than the density of
the fluid, and
3) rises to the surface of the fluid and
floats when the average density of
the body is less than the density of
the fluid as shown in figure.
93
Stability
An important application of the
buoyancy concept is the assessment
of the stability of immersed and
floating bodies with no external
attachments.
This topic is of great importance in the
design of ships and submarines.
94
Stability characterizes response of any object to small disturbances like air or
waves in oceans.
Stable Object:
A small displacement from
equilibrium will result in
restoration to original position
due to righting moment
Unstable Object:
A small displacement causes
the body to move further from
it original position due to
overturning moment.
Neutral Object:
A small disturbance do not
create any additional force and
so the body remains in the
disturbed position.
Stability
For example a ball on the floor; a cone on the floor
95
Stability of Submerged Body
The stability of submerged or floating bodies depends on the relative
position of the Buoyant force and the weight of the body.
The Buoyant force acts through the “center of buoyancy B, which is
coincident with the center of mass of the displaced fluid.
The criterion of stability of a submerged body (balloon or submarine) is
that the center of buoyancy, B, must be above the center of gravity (or
center of mass), CG, of the body.
A special case will be of Neutral Equilibrium where the center of gravity
coincides with the center of buoyancy, for example fully submerged
homogeneous bodies.
96
Stability of Submerged Body
For example, consider the
completely submerged body shown
in figure (STABLE). This body has a
center of gravity below the center of
buoyancy. A rotation from its
equilibrium position will create a
restoring couple formed by the
weight W and the buoyancy force
FB, which causes the body to rotate
back to its original position. Thus
for this configuration the body is
stable.
Thus, for this configuration the
body is stable. It is to be noted that
as long as the center of gravity falls
below the center of buoyancy, this
will always be true; that is, the body
is in a stable equilibrium position
with respect to small rotations
97
Stability of Submerged Body
Now consider the completely
submerged body shown in figure
(UNSTABLE). This body has center of
gravity above center of buoyancy, the
resulting couple (Overturning couple)
formed by the weight and the buoyant
force will cause the body to overturn
and move to a new equilibrium
position.
Thus, a completely submerged body
with its center of gravity above its
center of buoyancy is in an unstable
equilibrium position.
98
Stability of Floating Body:
METACENTER:
For floating bodies the stability problem is more complicated, since as the
body rotates the location of the center of buoyancy (which passes through
the centroid of the displaced volume) may change.
In the previous article it has been mentioned that for submerged bodies for
the sate of equilibrium the center of gravity of the body must be below the
center of buoyancy. This not applicable for all cases of floating bodies.
Under certain conditions the floating bodies remain in equilibrium even
when the center of gravity lies above the center of buoyancy. This happens
because in such cases, the center of buoyancy B, (relative to the body)
shifts as the body is given some angular displacement and the shift in B is
enough to provide a restoring or equilibrium moment.
Whenever a body, floating in a liquid is given small angular displacement,
it start oscillating about some point. The imaginary point about which the
body oscillates is called metacenter.
The metacenter may also be defined as the point where the line of action
of the force of buoyancy will meet the normal axis (centroidal axis) of the
body when the body is given a small angular displacement.
99
Metacenter
and
Metacentric
Height
1.The basic floating position is calculated from Eq. The body‟s center of
mass G and center of buoyancy B are computed.
2. The body is tilted a small angle , and a new waterline is established for the
body to float at this angle. The new position B of the center of buoyancy is
calculated. A vertical line drawn upward from B intersects the line of symmetry at
a point M, called the metacenter, which is independent of for small angles.
3. If point M is above G, that is, if the metacentric height MG is positive, a restoring
moment is present and the original position is stable. If M is below G (negative
MG, the body is unstable and will overturn if disturbed. Stability increases with
increasing MG.
 Afloating body is stable if the body is bottom-heavy and
thus the center of gravity G is below the centroid B of the
body, or if the metacenter M is above point G. However,
the body is unstable if point M is below point G.
Stability of Floating Body:
101
CONDITIONS FOR THE STABILITY OF FLOATING BODIES
(i) When the center of buoyancy is above the center of gravity of the floating
body, the body is always stable under all conditions of disturbance. A righting
couple is always created to bring the body back to the stable condition.
(ii) When the center of buoyancy coincides with the center of gravity, the two
forces act at the same point. A disturbance does not create any couple and so
the body just remains in the disturbed position. There is no tendency to tilt
further or to correct the tilt.
(iii) When the center of buoyancy is below the center of gravity as in the case
of ships, additional analysis is required to establish stable conditions of
floating.
This involves the concept of metacenter and metacentric height. When the body is
disturbed the center of gravity still remains on the centroidal line of the body. The
shape of the displaced volume changes and the center of buoyancy moves from its
previous position.
The location M at which the line of action of buoyant force meets the centroidal axis
of the body, when disturbed, is defined as metacenter. The distance of this point
from the centroid of the body is called metacentric height.
102
The figure shows a body floating in
equilibrium. The weight W acts
through the center of gravity G and the
buoyancy force FB acts through the
center of buoyancy B of the displaced
fluid in the same straight line as W.
When the body is displaced through
an angle θ (fig b), W continues to act
through G, the volume of the liquid
remains unchanged since FB=W, but
the shape of this volume changes
and its center of gravity, which is the
center of buoyancy, moves relative to
the body from B to B1. Since FB and
W are no longer in same straight line,
turning moment proportional to Wxθ
is produced , which in fig(b) is a
rightening moment and in fig(d) is an
overturning moment.
Stability of Floating Body:
103
If M is the point at which the line of action of the buoyancy force FB
cuts the original vertical through the center of gravity of the body G,
𝑥 = 𝐺𝑀 𝑥 𝜃
Provided that the angle of tilt θ is small so that
𝑠𝑖𝑛𝜃 = 𝑡𝑎𝑛𝜃 = 𝜃 in radians
The point M is called Metacenter and the distance GM is the Metacentric Height.
Comparing fig (b) and (d) it can be seen that:
1. If M lies above G, a rightening moment WxGMxθ is produced,
equilibrium is stable and GM is regarded as positive.
2. If M lies below G, an overturning moment WxGMxθ is produced,
equilibrium is unstable and GM is regarded as negative.
3. If M coincides with G, the body is in neutral equilibrium.
From fig
Metacentric height GM= BM-BG,
Where 𝐵𝑀 =
𝐼𝑦𝑐
𝑉𝑠𝑢𝑏
If, GM > 0 Stable
GM < 0 Unstable
GM = 0 Neutrally
stable
104
Part II
Fluids in Rigid-Body Motion
1. In this section we obtain relations for the variation of
pressure in fluids moving like a solid body with or without
acceleration in the absence of any shear stresses (i.e., no
motion between fluid layers relative to each other).
2. Many fluids such as milk and gasoline are transported in
tankers. In an accelerating tanker, the fluid rushes to the
back, and some initial splashing occurs. But then a new free
surface (usually non-horizontal) is formed, each fluid particle
assumes the same acceleration, and the entire fluid moves
like a rigid body.
3. No shear stresses develop within the fluid body since there
is no deformation and thus no change in shape. Rigid-
body motion of a fluid also occurs when the fluid is
contained in a tank that rotates about an axis.
106
Fluids in Rigid-body Motion
Consider a tank containing liquid moving
with uniform acceleration. After initial
sloshing, the liquid stabilizes and moves
as a solid mass. The liquid redistributes
itself in the tank and slops as shown in
figure. Since there is no relative motion of
liquid particles the shear stress is zero.
Consider a differential rectangular fluid
element of side length dx, dy and dz. Let
ax , ay and az be the components of
acceleration along the x, y and z
directions respectively. Let P is the
pressure at the center of the element.
Consider the pressure force on the
surfaces of this element. Noting that the
differential fluid element behave like a
rigid-body, Newton‟s second law of
motion for this element can be expressed
as,
107
Fluids in Rigid-body Motion
𝐹𝑧 = 𝑚𝑎𝑧 𝑃 −
𝜕𝑃
𝜕𝑧
𝑑𝑧
2
𝑑𝑥𝑑𝑦 − 𝑃 +
𝜕𝑃
𝜕𝑧
𝑑𝑧
2
𝑑𝑥𝑑𝑦 − 𝜌𝑔 𝑑𝑥𝑑𝑦𝑑𝑧 = 𝜌 𝑑𝑥𝑑𝑦𝑑𝑧 𝑎𝑧
−
𝜕𝑃
𝜕𝑧
𝑑𝑥𝑑𝑦𝑑𝑧 − 𝜌𝑔 𝑑𝑥𝑑𝑦𝑑𝑧 = 𝜌(𝑑𝑥𝑑𝑦𝑑𝑧)𝑎𝑧
𝜕𝑃
𝜕𝑧
= −𝜌(𝑔 + 𝑎𝑧)
Similarly, the net surface forces in x- and y- directions are
𝜕𝑃
𝜕𝑥
= −𝜌𝑎𝑥 ;
𝜕𝑃
𝜕𝑦
= − 𝜌𝑎𝑦
Special Case 1: Fluid at Rest
For fluid at rest or moving on a straight path at constant velocity, all components of
acceleration are zero, therefore,
𝜕𝑃
𝜕𝑥
= 0 ,
𝜕𝑃
𝜕𝑦
0 , 𝑎𝑛𝑑
𝜕𝑃
𝜕𝑧
= −𝜌𝑔
Which confirm that, in fluids at rest, the pressure remains constant in any horizontal
direction (P is independent of x and y) and varies in the vertical direction as a result
of gravity [ and thus P=P(z)]. These relations are applicable for both compressible
and in compressible fluids.
108
Special Case 2: Free Fall of a Fluid Body
A free falling body accelerates under the influence of gravity. When the air resistance
is negligible, the acceleration of body equals the gravitational acceleration and
acceleration in any horizontal direction is zero. Therefore, ax = ay =0 and az = -g.
Then the equations of motion for accelerating fluids becomes,
Free falling ;
𝜕𝑃
𝜕𝑥
=
𝜕𝑃
𝜕𝑦
=
𝜕𝑃
𝜕𝑧
= 0
[
𝜕𝑃
𝜕𝑧
= −𝜌 𝑔 + 𝑎𝑧 = −𝜌 𝑔 − 𝑔 = 0]
Therefore, in a frame of reference moving the fluid, it behaves like it is in an
environment with zero gravity. Also, the gage pressure in a drop of liquid in free fall
is zero throughout. (Actually the gage pressure is slightly above zero due to surface
tension which holds the drop intact).
For example, the pressure throughout a “blob” of orange juice floating in an
orbiting space shuttle (a form of free fall) is zero. The only force holding the liquid
to gather is surface tension.
When the direction of motion is reversed and the fluid is forced to accelerate
vertically with az = +g by placing the fluid container in an elevator or a space
vehicle propelled upward by a rocket engine, the pressure gradient in the z-
direction is
𝜕𝑃
𝜕𝑧
= −2𝜌𝑔. Therefore, the pressure difference across a fluid layer now
doubles relative to the stationary fluid case.
109
Acceleration on a Straight Path
Constant Linear acceleration on a straight path with ay =0
Consider a container partially filled with a
liquid. The container is moving on a
straight path with a constant acceleration
The y and z components of acceleration
are ay and az. There is no movement in
the x-direction and thus the acceleration
in that direction is zero ax=0. Then the
equation of motion for accelerating fluids
becomes,
𝜕𝑃
𝜕𝒚
= 0,
𝜕𝑃
𝜕𝒙
= − 𝜌𝑎𝒙, and
𝜕𝑃
𝜕𝑧
= −𝜌 𝑔 + 𝑎𝑧
Therefore, pressure is independent of y.
Then the total differential of P=P(x, z)
will be (or total change in pressure)
𝑑𝑃 =
𝜕𝑃
𝜕𝑥
𝑑𝑥 +
𝜕𝑃
𝜕𝑧
𝑑𝑧
110
Substituting values for
𝜕𝑃
𝜕𝑥
and
𝜕𝑃
𝜕𝑧
, it becomes
𝑑𝑃 = −𝜌𝑎𝑥 dy − 𝜌 𝑔 + 𝑎𝑧 𝑑𝑧 −−−−− −(1)
Along a line of constant pressure, dP=0, and therefore, it follows that the slope
of this line is given by the relationship
𝑑𝑧
𝑑𝑦
=
−𝑎𝑥
𝑔 + 𝑎𝑧
This is also called equation for the surfaces of constant pressure or Isobar,
𝑠𝑙𝑜𝑝𝑒 =
𝑑𝑧
𝑑𝑦
=
−𝑎𝑥
𝑔 + 𝑎𝑧
= −𝑡𝑎𝑛𝜃
For ρ = constant, the pressure difference between two points 1 and 2 in the fluid is
determined by integration to be
𝑃2 − 𝑃1 = −𝜌𝑎𝑥 𝑥2 − 𝑥1 − 𝜌 𝑔 + 𝑎𝑧 𝑧2 − 𝑧1 (2)
Taking point 1 to be the origin (x = 0, z = 0) where the pressure is P0 and point
2 to be any point in the fluid, the pressure distribution can be expressed as
Pressure variation: 𝑃 = 𝑃𝑜 − 𝜌𝑎𝑥𝑦 − 𝜌 𝑔 + 𝑎𝑧 𝑧
111
The vertical rise (or drop) of the free surface at point 2 relative to point 1 can
be determined by choosing both 1 and 2 on the free surface (so that P1= P2),
and solving for z2 - z1 ,(refer to equation 2)
∆𝑧 = 𝑧2 − 𝑧1 = −
𝑎𝑥
𝑔 + 𝑎𝑧
𝑥2 − 𝑥1
112
113
114
115
Rigid-Body Rotation
We know from experience that when a
glass filled with water is rotated about its
axis, the fluid is forced outward as a result
of the so-called centrifugal force (but
more properly explained in terms of
centripetal acceleration), and the free
surface of the liquid becomes concave.
This is known as the forced vortex motion
Consider a vertical cylindrical container
partially filled with a liquid. The container
is now rotated about its axis at a constant
angular velocity of ω, as shown in Fig.
After initial transients, the liquid will move
as a rigid body together with the container.
There is no deformation, and thus there
can be no shear stress, and every fluid
particle in the container moves with
the same angular velocity.
116
This problem is best analyzed in cylindrical coordinates (r, 𝜃, z), with z
taken along the centerline of the container directed from the bottom toward
the free surface, since the shape of the container is a cylinder, and the fluid
particles undergo a circular motion.
The centripetal acceleration of a fluid particle rotating with a constant angular
velocity of ω at a distance r from the axis of rotation is rω2 and is directed radially
toward the axis of rotation (negative r-direction). That is, ar = −rω2.
There is symmetry about the z-axis, which is the axis of rotation, and thus there is
no 𝜃 dependence. Then P = P(r, z) and aϴ= 0. Also, az = 0 since there is no motion
in the z-direction.
Then the equation of motion for rotating fluids are
𝜕𝑃
𝜕𝑟
= −𝜌𝑎𝑟 = −𝜌 −𝑟𝜔2
= 𝜌𝑟𝜔2
,
𝜕𝑃
𝜕𝑧
= 0, 𝑎𝑛𝑑
𝜕𝑃
𝜕𝑧
= −𝜌𝑔
Then the total differential of P = P(r, z), is
dP = (∂P/∂r)dr + (∂P/∂z)dz, becomes
𝑑𝑃 = 𝜌𝑟𝜔2dr − ρ𝑔𝑑𝑧
117
Along a surface of constant pressure (or any isobaric surface) such as the
free surface, dP=0,
0 = 𝜌𝑟𝜔2
dr − ρ𝑔𝑑𝑧
𝑑𝑧
𝑑𝑟
=
𝑟𝜔2
𝑔
=> 𝑑𝑧 =
𝑟𝜔2
𝑔
𝑑𝑟
Integrating,
𝑧 =
𝑟2𝜔2
2𝑔
+ 𝐶
This equation reveals that the surfaces of constant pressure are parabolic.
For free surface setting r=0, in above equation,
𝑧 𝑖𝑠𝑜𝑏𝑎𝑟 0 = 𝐶1 = 𝑕𝑜
Where 𝑕𝑜is the distance of the free surface from bottom of the
container along the axis of rotation. Therefore,
𝑧𝑠 =
𝜔2𝑟2
2𝑔
+ 𝑕𝑜
118
119

2. Chapter 2 - Pressure & Fluid Statics (FM1) (Complete).pdf

  • 1.
    Chapter 2 Pressure &Fluid Statics
  • 2.
    2 Pressure Pressure: A normalforce exerted by a fluid per unit area The normal stress (or “pressure”) on the feet of a chubby person is much greater than on the feet of a slim person.
  • 3.
    3 Atmospheric pressure: Pressureexerted by the atmosphere Absolute pressure: The actual pressure at a given position. It is measured relative to absolute vacuum (i.e., absolute zero pressure). Gage pressure: The difference between the absolute pressure and the local atmospheric pressure. Most pressure-measuring devices are calibrated to read zero in the atmosphere, and so they indicate gage pressure. Vacuum pressures: Pressures below atmospheric pressure.
  • 4.
  • 5.
    5 Pressure at aPoint How the pressure at a point varies with the orientation of the plane passing through the point ? Consider the free-body diagram within a fluid mass. Since the fluid is at rest, there will be no shearing forces on the faces of the element and the element will not be accelerating. The only external forces acting on the wedge are due to the pressure and the weight.
  • 6.
    6 𝐹𝑦 = 0Py δx. δz − Ps δx. δs sinθ = 0 Fz = 0 Pz δx. δy − Ps δx. δs cosθ − W = 0
  • 7.
    7 𝐹𝑦 = 0Py δx. δz − Ps δx. δs sinθ = 0 From fig sinθ = δz δs Py δx. δz − Ps δx. δs 𝛿𝑧 𝛿𝑠 = 0 Therefore, Py − Ps = 0 Py = Ps
  • 8.
    8 Since we arereally interested in what is happening at a point, we take the limit as δx, δy and δz approach zero, we get, Pz = Ps or Py = Pz = Ps Pressure at a pt. in a fluid at rest, or in motion, is independent of direction as long as there are no shearing stresses present. (Pascal’s law) Fz = 0 Pz δx. δy − Ps δx. δs cosθ − W = 0 Pz δx. δy − Ps δx. δs 𝛿𝑦 𝛿𝑠 − ρg 𝛿𝑥. 𝛿𝑦. 𝛿𝑧 2 = 0 Pz − Ps − 1 2 ρgδz = 0
  • 9.
    9 Pressure is thecompressive force per unit area but it is not a vector. Pressure at any point in a fluid is the same in all directions. Pressure has magnitude but not a specific direction, and thus it is a scalar quantity. Pressure is a scalar quantity, not a vector; the pressure at a point in a fluid is the same in all directions.
  • 10.
    10 Basic Equation forpressure Field  How does the pressure in a fluid in which there are no shearing stresses vary from point to point? Consider a small rectangular element of fluid removed from some arbitrary position within the mass of the fluid.
  • 11.
    11 Two types forcesact on the fluid element Body forces such as gravity that act throughout the entire body of the element and are proportional to the volume of the body (and also electrical and magnetic forces, which will not be considered in this course), and Surface forces such as the pressure forces that act on the surface of the element and are proportional to the surface area (shear stresses are also surface forces, but they do not apply in this case).
  • 12.
    12 Suppose the dimensionof the fluid element is dx, dy and dz. Let pressure at the center of the element be designated as P. Assume that the density „ρ‟ of the fluid element is constant. The average pressure on the various faces can be expressed in terms of P and its derivative. We are actually using a Taylor series expansion of the pressure at the element center to approximate the pressure a short distance away and neglecting the higher order terms that vanish as dx, dy and dz approach zero. Taylor Series Expansion 𝑓 𝑥 + 𝑕 = 𝑓 𝑥 + 𝑕𝑓´ 𝑥 + 𝑕2 2! 𝑓´´ 𝑥 + 𝑕3 3! 𝑓´´´ 𝑥 + −− − For small value of h, the higher order terms may be neglected. 𝑓 𝑥 + 𝑕 = 𝑓 𝑥 + 𝑕𝑓´ 𝑥
  • 13.
    13 For simplicity thesurface forces in x direction are not shown in the figure. The resultant surface force in y direction is: Similarly for x and z direction the resultant surface forces are:
  • 14.
    14 The resultant surfaceforce in vector form will be: = The weight of the element is another force acting vertically downward in z direction. That is: -ve sign is due to sign convention.
  • 15.
    15 Apply Newton’s SecondLaw on the fluid element: That is: The above equation is the general equation of motion for fluid.
  • 16.
    16 Pressure in astationary fluid under the action of gravity: For a fluid at rest a=0 Therefore equation 1 reduced to: Or in component form: Above equations shows that for the fluid at rest the pressure is only depend on z (height) therefore: The above equation shows that the pressure decreases as we move upward in the fluid at rest.
  • 17.
    17 Homogeneous Incompressible fluid Afluid with uniform properties throughout is termed as Homogeneous fluid. Since: For homogeneous incompressible fluid (γ is constant) the above equation can be integrated as 𝑑𝑃 𝑃2 𝑃1 = −𝛾 𝑑𝑧 𝑧2 𝑧1 𝑃2 − 𝑃1 = −𝛾(𝑧2 − 𝑧1) 𝑃1 − 𝑃2 = 𝛾(𝑧2 − 𝑧1) Where P1 and P2 are the pressures at the vertical elevations of z1 and z2 respectively.
  • 18.
    18 As shown infigure, z2 – z1 = h therefore equation 3 can be written in more compact form as: 𝑃1 − 𝑃2 = 𝛾𝑕 (4) The pressure difference between two points can also be express by the distance h as; 𝑕 = 𝑃1 − 𝑃2 𝛾 In this case h is called PRESSURE HEAD and is interpreted as the height of a column of fluid of specific weight γ required to give pressure difference P1 – P2.
  • 19.
    19 Most of thetime it is convenient to consider P2 on the free surface (where the pressure would be atmospheric pressure) and thus we can write 𝑃 = 𝛾𝑕 + 𝑃𝑜 (5) Equation 4 & 5 show that the pressure in a homogeneous, incompressible fluid at rest, only depends on the depth of fluid relative to some reference plane and it is not influenced by the size or shape of the fluid container. Thus in the above figure the pressure is same at all points along the line AB.
  • 20.
    20 Several fluids ofdifferent specific weights: Consider two fluids of specific weights γ1 and γ2 contained in a vessel that is open from the top. Then the fluid of higher specific weight will rest at the bottom of the vessel whereas, the fluid of smaller specific weight will be at the top of the vessel. If γ1 < γ2 and Po be the free surface pressure then; The pressure at the interface of the two fluids will be 𝑃1 = 𝑃𝑜 + 𝛾1𝑕1 And the pressure at the bottom of the second fluid will be: 𝑃2 = 𝑃1 + 𝛾2𝑕2 or 𝑃2 = 𝑃𝑜 + 𝛾1𝑕1 + 𝛾2𝑕2
  • 21.
    21 Interconnected Vessels Consider avessel of two interconnecting branches, open from the top and contains homogeneous fluid at rest. If P1 and P2 be the pressures acting on branch one and two respectively. The pressure at an arbitrary horizontal plane AA can be expressed as: 𝑃𝐴 = 𝑃1 + 𝛾𝑕1 Or 𝑃𝐴 = 𝑃2 + 𝛾𝑕2
  • 22.
    22 Comparing both equations: 𝑃𝐴= 𝑃1 + 𝛾𝑕1 = 𝑃2 + 𝛾𝑕2 That is 𝑃2 − 𝑃1 = 𝛾 𝑕1 − 𝑕2 = 𝛾𝑕 But 𝑃2 = 𝑃1 = 𝑃0 𝑡𝑕𝑒 𝑎𝑡𝑚𝑜𝑠𝑝𝑕𝑒𝑟𝑖𝑐 𝑝𝑟𝑒𝑠𝑠𝑢𝑟𝑒 Therefore h = 0, means if equal pressure acts on both free surfaces the two surfaces are at the same level. The concept of equality of pressure at equal elevations is important for the operation of hydraulic Jack, lifts, presses and many other types of heavy machineries
  • 23.
    23 •The fundamental ideabehind such devices is shown in the figure below. A piston located at one end is used to change the pressure of the system. Since the pressure P, acting on both pistons is same, large mechanical advantage (F2 = F1A2/A1) can be obtained on the other side. That is a small force applied at the one end can be used to develop a large force at the large piston. The fundamental idea behind such devices is shown in the figure below
  • 24.
    24 Pressure Variation forCompressible Fluid The gases are being treated as compressible fluids since the density of the gas can change significantly with changes in pressure and temperature. Since 𝐝𝐏 𝐝𝐳 = −𝛒𝐠 = −𝛄 Since the specific weights of gases are comparatively small, then the pressure gradient in the vertical direction is correspondingly small, and even over distances of several hundred feet the pressure will remain essentially constant for a gas. This means we can neglect the effect of elevation changes on the pressure in gases in tanks, pipes, and so forth in which the distances involved are small.
  • 25.
    25 Standard Atmosphere OrUS Standard Atmosphere Idealized Representation of the Mid-Latitude Atmosphere Standard Atmosphere is used in the design of aircraft, missiles and spacecraft Linear Variation, T = Ta - bz Isothermal, T = To Troposphere:
  • 26.
    26 For those situationsin which the variations in heights are large, on the order of thousands of feet, attention must be given to the variation in the specific weight. The equation of state for an ideal gas is 𝑃 = 𝜌𝑅𝑇 Where P = absolute pressure, R = gas constant, And T = absolute temperature Combining the above equation with 𝑑𝑃 𝑑𝑧 = − 𝑃 𝑅𝑇 𝑔 𝑑𝑃 𝑃 𝑝2 𝑝1 = − 𝑔 𝑅 𝑑𝑧 𝑇 𝑍2 𝑍1 Assuming that the temperature has a constant value To over the range Z1 to Z2 (isothermal condition) then 𝑙𝑛 𝑃2 𝑃1 = − 𝑔 𝑍2 − 𝑍1 𝑅𝑇° Or taking antilog of both side 𝑃2 = 𝑃1 exp − 𝑔 (𝑍2 − 𝑍1) 𝑅𝑇°
  • 27.
    27 This equation providesthe desired relationship b/w pressure-elevation for an isothermal layer. For non-isothermal condition a similar procedure can be followed, if the temperature –elevation relationship is known.
  • 28.
    28 In the troposphere,which extends to an altitude of about 11 km (~ 36000 ft) the temperature variation is given by, T = Ta − βz Where Ta is the temperature at sea level (z=0) and β is the lapse rate (the rate of change of temperature with elevation). For the standard atmosphere in the troposphere, β=0.00650 K/m or 0.00357 R/ft Using the equation for pressure variation with altitude, 𝑑𝑝 𝑑𝑧 = −γ = −𝜌𝑔 For an ideal gas, p=ρRT => 𝛒 = 𝐩 𝐑𝐓 𝐝𝐩 𝐝𝐳 = − 𝐩 𝐑𝐓 𝐠 Separating the variables; 𝐝𝐩 𝐩 = − 𝐠 𝐑𝐓 𝐝𝐳 Standard Atmosphere (continue)
  • 29.
    29 For troposphere, thetemperature variation is T = Ta − βz Substituting into above equation, 𝐝𝐩 𝐩 = − 𝐠 𝐑 𝐗 𝟏 𝐓𝐚 − 𝛃𝐳 𝐝𝐳 Integrating from z=0 where p=pa to elevation z where pressure is p 𝐝𝐩 𝐩 𝒑 𝒑𝒂 = − 𝐠 𝐑 𝟏 𝐓𝐚 − 𝛃𝐳 𝐝𝐳 𝒛 𝟎 {Hint: using 1 1−𝑏𝑥 𝑑𝑥 = − ln(1−𝑏𝑥) 𝑏 } 𝐩 = 𝐩𝐚(𝟏 − 𝛃𝐳 𝐓𝐚 ) 𝐠 𝐑𝛃 Most jetliners cruises at the edge of troposphere (ie at the altitude of 11 km or 36000 feet where the temperature is -56.6 °C and pressure is about 23 kPa) Standard Atmosphere
  • 30.
    30 Measurement of Pressure Numerousdevices and techniques are used to measure pressure. The pressure at a point within a fluid is designated as an absolute pressure or a gauge pressure. Absolute pressure is measured relative to a perfect vacuum. Gauge pressure is measured relative to the local atmospheric pressure. Most pressure-measuring devices, however, are calibrated to read zero in the atmosphere , and so they indicate the difference between the absolute pressure and the local atmospheric pressure
  • 31.
    31 Measurement of atmosphericpressure Barometer is the device used to measure atmospheric pressure. The simplest form of a barometer consists of a glass tube, closed at one end. The tube is initially filled with mercury and then turned upside down in the container of mercury. The mercury column will come to an equilibrium position where its weight balances the force due to atmospheric pressure. Thus 𝑃𝑎𝑡𝑚 = 𝛾𝑕
  • 32.
    32 Manometer Pressure measurement devicesbased on the use of liquid columns in vertical or inclined tubes are called manometers. Mercury barometer is one of the types of manometers. Piezometer tube, U-tube and inclined tube are the examples of some other types of manometers.
  • 33.
    33 Piezometer tube issimply a vertical tube, open at the top and attached to the container or a pipe in which the pressure is desired Piezometer Tube
  • 34.
    Piezometer Tube pA (abs) Movingfrom left to right: Closed End “Container” pA(abs) - g1h1 = po po Move Up the Tube Rearranging: 1 1 h p p o A g   Gage Pressure Then in terms of gage pressure, the equation for a Piezometer Tube: Disadvantages: 1. It cannot measure the gas pressure. 2. It cannot measure high pressure. (so that the required height of the tube is reasonable) 3. It cannot measure negative pressure. (otherwise air will be sucked in) Note: pA = p1 because they are at the same level 34
  • 35.
    35 U-Tube Manometer U-Tube manometeris a U shaped tube, contains a fluid in it, called gauge fluid. The gauge fluid must be immiscible with other fluids in contact with it. Two common gauge fluids are water and mercury.
  • 36.
    U-Tube Manometer Closed End “Container” pA Since,one end is open we can work entirely in gage pressure: Moving from left to right: pA + g1h1 = 0 - g2h2 Then the equation for the pressure in the container is the following: If the fluid in the container is a gas, then the fluid 1 terms can be ignored: Note: in the same fluid we can “jump” across from 2 to 3 as they are at the same level, and thus must have the same pressure. The fluid in the U-tube is known as the gage fluid. The gage fluid type depends on the application, i.e. pressures attained, and whether the fluid measured is a gas or liquid. 36
  • 37.
    37 The advantages ofU-Tube manometer are: 1. It can be used to measure gas pressure. 2. If the pressure PA is large then use of a heavy gauge fluid (mercury) can reduce the column height and vice versa. 3. If the pressure PA is too small then use of a lighter gauge fluid (water) can provide easily readable column height.
  • 38.
    38 The U-tube manometeris also used to measure the pressure difference between two containers or between two points. For the flow between the two containers the pressure equation will be: 𝑃𝐴 + 𝛾1𝑕1 − 𝛾2𝑕2 − 𝛾3𝑕3 = 𝑃𝐵 That is 𝑃𝐴 − 𝑃𝐵 = 𝛾2𝑕2 + 𝛾3𝑕3 − 𝛾1𝑕1 For the flow between the two points the pressure equation will be: 𝑃𝐴 − 𝛾1𝑕1 − 𝛾2𝑕2 + 𝛾1(𝑕1 + 𝑕2) = 𝑃𝐵 That is 𝑃𝐴 − 𝑃𝐵 = 𝑕2(𝛾2 − 𝛾1)
  • 39.
    39 Inclined tube manometer Thetube is inclined at an angle θ and the differential reading is measured along the inclined tube. The difference in pressure is expressed as: 𝑃𝐴 + 𝛾1𝑕1 − 𝛾2𝑙2𝑠𝑖𝑛𝜃 − 𝛾3𝑕3 = 𝑃𝐵 That is 𝑃𝐴 − 𝑃𝐵 = 𝛾2𝑙2𝑠𝑖𝑛𝜃 + 𝛾3𝑕3 −𝛾1 𝑕1 Note that the pressure difference between point 1 and 2 is due to the vertical distance (𝑙2𝑠𝑖𝑛𝜃) between the two points. Inclined tube manometers are usually used to measure small pressure differences in gas pressures, where the contributions of gas columns 𝑕1& 𝑕3 can be neglected.
  • 40.
    40 Mechanical and Electronicpressure measuring devices: Manometers are not well suited for measuring very high pressures or the pressures that are rapidly changing with time. Therefore numerous types of mechanical and electronic pressure measurement devices have been developed. When the fluid acts on an elastic structure, the structure will deform. This deformation is related to the magnitude of the pressure. The pressure measuring device works on this principle is termed as Bourdon Pressure gauge
  • 41.
    41 The essential mechanicalcomponent in this gauge is the hollow elastic curved tube (Bourdon tube), connected with the pressure source. As the pressure in the Bourdon tube increases the tube tends to straighten, the tube deformation is translated into the motion of pointer on the dial. Bourdon gauge must be calibrated so that the dial reading can directly read the pressure in psi or Pascal. Zero reading on the Bourdon gauge indicates the local atmospheric pressure Aneroid barometer is another type of mechanical pressure gauge, used to measure atmospheric pressure. The common aneroid barometer contains a hollow, closed, elastic element. The element is completely evacuated to nearly zero absolute pressure inside the element. As the atmospheric pressure changes the element deflects and this motion is translated on attached calibrated dial.
  • 42.
    42 For many applicationsthe measured pressure is converted into an electrical output. This type of pressure measurement device is called pressure transducer. The pressure transducers continuously monitor change in pressure with time. In one type of pressure transducer the Bourdon tube is connected to a linear variable differential transformer (LVDT), which provides voltage signals. These voltage signals are digitized and store on a computer for further processing.
  • 43.
    43 The disadvantage ofBourdon tube pressure transducer is: 1. It only measures the static pressure. 2. Because of large mass of Bourdon tube it cannot respond to rapid changes in pressure. This difficulty can be overcome using Strain gauge pressure transducer. Strain gauge pressure transducer has a thin elastic diaphragm, used as sensing element. The diaphragm is in contact to the fluid, as the fluid pressure changes, the diaphragm deflects and passes a voltage signals to the computer. This type of pressure transducer can be used to measure both small and large pressures, as well as static and dynamic pressures. Strain gauge pressure transducer measures arterial blood pressure, which is relatively small and varies periodically.
  • 44.
  • 45.
  • 46.
  • 47.
  • 48.
  • 49.
  • 50.
  • 51.
  • 52.
  • 53.
  • 54.
  • 55.
    55 Hydrostatic Forces ona plane surface When a surface is submerged in a fluid, forces develop on the surface due the fluid. Determination of these forces is important in the design of storage tanks, ships, dams and other hydraulic structures. For fluid at rest, the forces developed on the submerged surface are due to the fluid pressure and are perpendicular to the surface. For gases, pressure is uniformly distributed all over the container. Therefore due to gas pressure, at any particular surface (boundary of the container) the resultant force acts at the centroid of the surface. For liquids, the pressure is not uniform, it increases with the depth. Therefore, due to pressure at any particular surface the resultant force does not act at the centroid but act at the point below the centroid of the surface.
  • 56.
    56 For the horizontalsurface, such as the bottom of a liquid filled tank, the magnitude of the resultant force is simply FR = PA. That is FR = (Po + γh)A The atmospheric pressure acts on both sides of the bottom surface, therefore the unbalanced force at the bottom of the liquid filled open tank is γhA. Since the pressure is constant and uniformly distributed over the bottom, the resultant force acts through the centroid of the bottom surface area.
  • 57.
    57 The pressure onthe side walls of the tank is not uniformly distributed. We will learn how to determine the resultant force and its location for the situations such as the one discussed above.
  • 58.
    58 Consider more generalcase as a vessel of inclined side wall Let the inclined plane intersects the free surface at 0 and makes an angle θ with the free surface. If 0 is the origin of the x-y coordinate system and y is directed along the inclined surface. The area can have an arbitrary shape, as shown.
  • 59.
    59 At any givendepth, h, the force acting on any differential area dA is 𝑑𝐹 = 𝑝𝑑𝐴 = 𝛾𝑕𝑑𝐴 and is perpendicular to the surface. The magnitude of the resultant force (FR ) can be found by summing these differential forces over the entire surface. In equation form 𝐹𝑅 = 𝛾𝑕𝑑𝐴 = 𝛾 𝑦𝑠𝑖𝑛𝜃 𝑑𝐴 𝐴 𝐴 For constant γ and θ 𝐹𝑅 = 𝛾𝑠𝑖𝑛𝜃 𝑦𝑑𝐴 𝐴 The integral ydA A is the First Moment of Area with respect to x-axis, so we can write 𝑦𝑑𝐴 𝐴 = 𝑦𝑐𝐴
  • 60.
    60 Where yc is they-coordinate of the centroid measured from the x-axis which passes through O. Thus the resultant force (FR ) can be written as 𝐹𝑅 = 𝛾𝐴𝑦𝑐 𝑠𝑖𝑛𝜃 or simply, 𝑭𝑹= 𝜸𝒉𝒄𝑨 => magnitude of the resultant force where hc is the vertical distance from the fluid surface to the centroid of the area. The above equation indicates that : • the magnitude of the resultant force is equal to the pressure at the centroid of the area multiplied by the total area. • the magnitude of the resultant force is independent of angle θ • and depends only on the specific weight of the fluid, the total surface area and the depth of the centroid of the area.
  • 61.
    61 Determination of thelocation of the Resultant Force Center of Pressure: When an area is subjected to a pressure, a point in the area exists through which the entire force could be concentrated with the same external effect. This point is called the “center of pressure”. If the pressure is uniformly distributed over an area, the center of pressure coincides with the centroid of the area. In the case of non-uniform pressure distribution, the resultant force acts at centre point (xR, yR) located below the centroid (xC, yC).
  • 62.
    62 To workout xR& yR, Taking moment of FR about x-axis and about y-axis. That is: 𝑀𝑥 = 𝐹𝑅𝑦𝑅 = 𝑦𝑑𝐹 𝑀𝑦 = 𝐹𝑅𝑥𝑅 = 𝑥𝑑𝐹 But dF = γ h dA = γ y sinθ dA Similarly FR = γ hc A = γ yc sinθ A 𝑀𝑥 = 𝐹𝑅𝑦𝑅 = 𝑦. 𝛾𝑦𝑠𝑖𝑛𝜃𝑑𝐴 𝛾𝑦𝑐𝑠𝑖𝑛𝜃𝐴. 𝑦𝑅 = 𝛾𝑠𝑖𝑛𝜃 𝑦2 𝑑𝐴 𝑦𝑐𝐴. 𝑦𝑅 = 𝑦2𝑑𝐴 𝑦𝑅 = 𝑦2𝑑𝐴 𝑦𝑐𝐴 𝑀𝑦 = 𝐹𝑅𝑥𝑅 = 𝑥. 𝛾𝑦𝑠𝑖𝑛𝜃𝑑𝐴 𝛾𝑦𝑐𝑠𝑖𝑛𝜃𝐴. 𝑥𝑅 = 𝛾𝑠𝑖𝑛𝜃 𝑥𝑦𝑑𝐴 𝑦𝑐𝐴. 𝑥𝑅 = 𝑥𝑦𝑑𝐴 𝑥𝑅 = 𝑥𝑦𝑑𝐴 𝑦𝑐𝐴
  • 63.
    63 The term 𝑦2𝑑𝐴is called second moment of inertia with respect to x-axis located at the intersection of the plane and the free surface, denoted by Ix. The term 𝑥𝑦𝑑𝐴 is called product of inertia about x and y axes, denoted by Ixy. Therefore, 𝑥𝑅 = 𝐼𝑥𝑦 𝑦𝑐𝐴 𝑦𝑅 = 𝐼𝑥 𝑦𝑐𝐴 Ix and Ixy are the moments about x and y axes. These moments can be converted to the moment about the centroid of the plane, using: Parallel axes theorem, defines as 𝐼𝑥 = 𝐼𝑥𝑐 + 𝐴𝑦𝑐 2 and 𝐼𝑥𝑦 = 𝐼𝑥𝑦𝑐 + 𝐴𝑥𝑐𝑦𝑐 Substituting above values, 𝑥𝑅 = 𝐼𝑥𝑦𝑐+𝐴𝑥𝑐𝑦𝑐 𝑦𝑐𝐴 𝑦𝑅 = 𝐼𝑥𝑐+𝐴𝑦𝑐 2 𝑦𝑐𝐴 That is: 𝑥𝑅 = 𝐼𝑥𝑦𝑐 𝑦𝑐𝐴 + 𝑥𝑐 and 𝑦𝑅 = 𝐼𝑥𝑐 𝑦𝑐𝐴 + 𝑦𝑐
  • 64.
    64 In the aboveequations, Ixc and Ixyc are the moment with respect to an axes passing through the centroid of the plane. Centroidal coordinates and moments of inertia for some common areas are given in fig
  • 65.
  • 66.
    66 Magnitude of theforce can be determined using equation
  • 67.
    67 A circular 2-m-diametergate is located on the sloping side of a swimming pool. The side of the pool is oriented 60 relative to the horizontal bottom, and the center of the gate is located 3 m below the water surface. Determine the magnitude of the water force acting on the gate and the point through which it acts.
  • 68.
  • 69.
  • 70.
    70 Consider the pressuredistribution along a vertical wall of a tank of width b Pressure Prism Fig. b, shows the three dimensional representation of pressure distribution.
  • 71.
    71 The base ofthe volume shown in fig b is pressure-area Area space is the area of interest, altitude at each point is the pressure. The volume shown in fig. b, is called pressure prism. The resultant force acting on the rectangular area A = bh is: FR = 𝛾hcA = 𝛾 (h/2)A = (𝛾h/2)bh The above equation shows that the resultant force acting on the surface is equal to the volume of the pressure prism. The resultant force must lie on the centroid of the pressure prism, which is located along the vertical axis of symmetry of the surface and at a distance of h/3 above the base
  • 72.
    72 The same approachcan be used for plane surfaces that do not extent up to the fluid surface, as shown in the fig. below: This time the cross section area of the pressure prism is trapezoidal. The above statement can be proved by decomposing the pressure into two parts, ABDE and BCD as shown. Thus FR = F1 + F2 The location of FR can be determined by summing the moments about AB. FRyR = F1y1 +F2y2
  • 73.
    73 Pressure prism canalso be developed for inclined plane and for the trapezoidal cross section of an inclined plane.
  • 74.
    74 In solving thepressure prism we assumed zero surface pressure, means we only considered the gauge pressure in the determination of the pressure force. The following figure includes the atmospheric pressure in the determination of the pressure force.
  • 75.
    75 However if weare including the atmospheric pressure then we must include the same pressure on the outside surface. Means the resultant force on a surface is only due to the gauge pressure. But if the surface pressure is different from atmospheric pressure (for example close tank) then the magnitude of the hydrostatic force will be different from the one calculated using the relation FR = γhcA
  • 76.
  • 77.
    77 The pressure onthe plate is due to the pressure air pressure at the oil surface plus the pressure due to the oil (which varies linearly with depth). The resultant force is due to the F1 and F2. Where F1 and F2 are due to the rectangular and triangular portions of the pressure distributions And F2 = γhcA = 0.954 x 103 N = 0.954 x 103 N yo = 0.296 m
  • 78.
    78 Hydrostatic force ona curved surface Curved surfaces occur in many structures, e.g. dams and cross sections of circular pipes or tank. If a surface is curved, the forces produced by fluid pressure will not be parallel but rather concentric or radial. Their direction and magnitude will change from point to point on the curved surface. The easiest way to determine the resultant hydrostatic force (FR ) acting on the two dimensional curved surface (BC) is to determine the horizontal and vertical components FH and FV , that the tank exerts on the fluid, separately.
  • 79.
    79 This is doneby considering the free-body diagram (ABC) of the liquid block enclosed by the curved surface and the two plane surfaces (one horizontal and one vertical) passing through the two ends of the curved surface. Note that the vertical surface (AC) of the liquid block is simply the projection of the curved surface on a vertical plane, and the horizontal surface AB, is the projection of the curve surface on a horizontal plane. The resultant force acting on the curved solid surface is then equal and opposite to the force acting on the curved liquid surface (Newton‟s third law).
  • 80.
    80 FH : Consider thefree body diagram of he fluid volume ABC. For equilibrium, 𝐹𝐻 − 𝐹𝐴𝐶 = 0 or, 𝐹𝐻 = 𝐹𝐴𝐶 Where FAC can be obtained from the expression for the hydrostatic force on plane vertical surface, 𝐹𝐻 = 𝐹𝐴𝐶 = 𝛾𝑕𝑐𝐴𝐴𝐶 FV : 𝐹𝑉 − 𝑊 − 𝐹𝐴𝐶 = 0 𝐹𝑉 = 𝑊 + 𝐹𝐴𝐶 = 𝛾𝑉𝐴𝐵𝐶 + 𝛾𝑕𝐴𝐴𝐵 = 𝛾(𝑉𝐴𝐵𝐶+𝑕𝐴𝐴𝐵) =weight of the fluid supported by the curved surface up to the free surface.
  • 81.
    81 The magnitude ofthe resultant is obtained from the equation, 𝐹𝑅 = 𝐹𝐻 2 + 𝐹𝑉 2 𝜃 = 𝑡𝑎𝑛_1 𝐹𝑉 𝐹𝐻 An inspection of this result will show that the line of action of the resultant force passes through the center of the curve surface. This is not a surprising result since at each point on the curved surface, the elemental force due to pressure is normal to the surface and each line of action must pass through the center of the curve surface.
  • 82.
    82 A 4-m-long curvedgate is located in the side of a reservoir containing water as shown in Fig. Determine the magnitude of the horizontal and vertical components of the force of the water on the gate. Will this force pass through point A?
  • 83.
  • 84.
  • 85.
  • 86.
  • 87.
    87 Buoyancy, Flotation, andStability Archimedes’ Principle Whenever a body is placed over a liquid, either it sinks down or floats on the liquid. In floating position the body is subjected to two forces, (i) Gravitational force, W (its weight) acting in downward directions, and (ii) Up thrust of the liquid also called the buoyant force, FB acting in the upward direction. In equilibrium position of floating, the magnitudes of both the forces are equal and they act in opposite direction along the vertical axis. However, if the gravitational force is more than the up thrust of the liquid the body will sink. The magnitude of the buoyancy force can be determined by Archimedes Principle, and is expressed as: The buoyant force acting on a body immersed in fluid is equal to the weight of the fluid displaced by the body, and it acts upward through the centroid of the displaced volume.
  • 88.
    88  The buoyantforce is caused by the increase of pressure in a fluid with depth.  Consider, for example, a flat plate of thickness h submerged in a liquid of density 𝜌f parallel to the free surface, as shown in Fig.  The area of the top (and also bottom) surface of the plate is A, and its distance to the free surface is s.  The gage pressures at the top and bottom surfaces of the plate are 𝜌fgs and 𝜌fg(s + h), respectively.  Then the hydrostatic force Ftop = 𝜌fgsA acts downward on the top surface, and the larger force Fbottom = 𝜌fg(s + h)A acts upward on the bottom surface of the plate.  The difference between these two forces is a net upward force, which is the buoyant force 𝐹𝐵 = 𝐹𝑏𝑜𝑡𝑡𝑜𝑚 − 𝐹𝑡𝑜𝑝 = 𝜌𝑓𝑔 𝑠 + 𝑕 𝐴 − 𝜌𝑓𝑔𝑠𝐴 = 𝜌𝑓𝑔𝑕𝐴 = 𝜌𝑓𝑔𝑉 The point through which the buoyant force acts is called the centre of buoyancy.
  • 89.
     where V= hA is the volume of the plate. But the relation ρf gV is simply the weight of the liquid whose volume is equal to the volume of the plate.  Thus, we conclude that the buoyant force acting on the plate is equal to the weight of the liquid displaced by the plate.  Note that the buoyant force is independent of the distance of the body from the free surface. It is also independent of the density of the solid body.  This is known as Archimedes’principle, after the Greek mathematician Archimedes (287–212 BC), and is expressed as The buoyant force acting on a body immersed in a fluid is equal to the weight of the fluid displaced by the body, and it acts upward through the centroid of the displaced volume. 89
  • 90.
    90 Principle of Floatation: Floatingbodies are a special case; only a portion of the body is submerged, with the remainder poking up out of the free surface. 𝐹𝐵 = 𝛾 𝑑𝑖𝑠𝑝𝑙𝑎𝑐𝑒𝑑 𝑣𝑜𝑙𝑢𝑚𝑒 = 𝑓𝑙𝑜𝑎𝑡𝑖𝑛𝑔 𝑏𝑜𝑑𝑦 𝑤𝑒𝑖𝑔𝑕𝑡 Hence the Principle of Floatation is: A floating body displaces it own weight in the fluid in which it floats. ie 𝑾𝒆𝒊𝒈𝒉𝒕 𝒐𝒇 𝒕𝒉𝒆 𝒐𝒃𝒋𝒆𝒄𝒕 = 𝒘𝒆𝒊𝒈𝒉𝒕 𝒐𝒇 𝒍𝒊𝒒𝒖𝒊𝒅 𝒅𝒊𝒔𝒑𝒍𝒂𝒄𝒆𝒅 𝒃𝒚 𝒕𝒉𝒆 𝒊𝒎𝒎𝒆𝒓𝒔𝒆𝒅 𝒑𝒐𝒓𝒕𝒊𝒐𝒏 𝒐𝒇 𝒐𝒃𝒋𝒆𝒄𝒕
  • 91.
    91 When an objectfloats, suspends or sinks in a fluid? For floating bodies, the weight of the entire body must be equal to the buoyant force, which is the weight of the fluid whose volume is equal to the volume of the submerged portion of the floating body. That is, 𝐹𝐵 = 𝑊 𝛾𝑉𝑠𝑢𝑏 = 𝑊 𝜌𝑓𝑔𝑉𝑠𝑢𝑏 = 𝑊 𝜌𝑓𝑔𝑉𝑠𝑢𝑏 = 𝜌(𝑎𝑣𝑒 𝑏𝑜𝑑𝑦)𝑔𝑉𝑇𝑜𝑡𝑎𝑙 𝑉𝑠𝑢𝑏 𝑉𝑇𝑜𝑡𝑎𝑙 = 𝜌(𝑎𝑣𝑒 𝑏𝑜𝑑𝑦) 𝜌𝑓 Therefore, the submerged volume fraction of a floating body is equal to the ratio of the average density of the body to the density of the fluid. Note that when the density ratio is equal to or greater than one, the floating body becomes completely submerged.
  • 92.
    92 When an objectfloats, suspends or sinks in a fluid? It follows from these discussions that a body immersed in a fluid 1) remains at rest at any location in the fluid where its average density is equal to the density of the fluid, 2) sinks to the bottom when its average density is greater than the density of the fluid, and 3) rises to the surface of the fluid and floats when the average density of the body is less than the density of the fluid as shown in figure.
  • 93.
    93 Stability An important applicationof the buoyancy concept is the assessment of the stability of immersed and floating bodies with no external attachments. This topic is of great importance in the design of ships and submarines.
  • 94.
    94 Stability characterizes responseof any object to small disturbances like air or waves in oceans. Stable Object: A small displacement from equilibrium will result in restoration to original position due to righting moment Unstable Object: A small displacement causes the body to move further from it original position due to overturning moment. Neutral Object: A small disturbance do not create any additional force and so the body remains in the disturbed position. Stability For example a ball on the floor; a cone on the floor
  • 95.
    95 Stability of SubmergedBody The stability of submerged or floating bodies depends on the relative position of the Buoyant force and the weight of the body. The Buoyant force acts through the “center of buoyancy B, which is coincident with the center of mass of the displaced fluid. The criterion of stability of a submerged body (balloon or submarine) is that the center of buoyancy, B, must be above the center of gravity (or center of mass), CG, of the body. A special case will be of Neutral Equilibrium where the center of gravity coincides with the center of buoyancy, for example fully submerged homogeneous bodies.
  • 96.
    96 Stability of SubmergedBody For example, consider the completely submerged body shown in figure (STABLE). This body has a center of gravity below the center of buoyancy. A rotation from its equilibrium position will create a restoring couple formed by the weight W and the buoyancy force FB, which causes the body to rotate back to its original position. Thus for this configuration the body is stable. Thus, for this configuration the body is stable. It is to be noted that as long as the center of gravity falls below the center of buoyancy, this will always be true; that is, the body is in a stable equilibrium position with respect to small rotations
  • 97.
    97 Stability of SubmergedBody Now consider the completely submerged body shown in figure (UNSTABLE). This body has center of gravity above center of buoyancy, the resulting couple (Overturning couple) formed by the weight and the buoyant force will cause the body to overturn and move to a new equilibrium position. Thus, a completely submerged body with its center of gravity above its center of buoyancy is in an unstable equilibrium position.
  • 98.
    98 Stability of FloatingBody: METACENTER: For floating bodies the stability problem is more complicated, since as the body rotates the location of the center of buoyancy (which passes through the centroid of the displaced volume) may change. In the previous article it has been mentioned that for submerged bodies for the sate of equilibrium the center of gravity of the body must be below the center of buoyancy. This not applicable for all cases of floating bodies. Under certain conditions the floating bodies remain in equilibrium even when the center of gravity lies above the center of buoyancy. This happens because in such cases, the center of buoyancy B, (relative to the body) shifts as the body is given some angular displacement and the shift in B is enough to provide a restoring or equilibrium moment. Whenever a body, floating in a liquid is given small angular displacement, it start oscillating about some point. The imaginary point about which the body oscillates is called metacenter. The metacenter may also be defined as the point where the line of action of the force of buoyancy will meet the normal axis (centroidal axis) of the body when the body is given a small angular displacement.
  • 99.
    99 Metacenter and Metacentric Height 1.The basic floatingposition is calculated from Eq. The body‟s center of mass G and center of buoyancy B are computed. 2. The body is tilted a small angle , and a new waterline is established for the body to float at this angle. The new position B of the center of buoyancy is calculated. A vertical line drawn upward from B intersects the line of symmetry at a point M, called the metacenter, which is independent of for small angles. 3. If point M is above G, that is, if the metacentric height MG is positive, a restoring moment is present and the original position is stable. If M is below G (negative MG, the body is unstable and will overturn if disturbed. Stability increases with increasing MG.
  • 100.
     Afloating bodyis stable if the body is bottom-heavy and thus the center of gravity G is below the centroid B of the body, or if the metacenter M is above point G. However, the body is unstable if point M is below point G. Stability of Floating Body:
  • 101.
    101 CONDITIONS FOR THESTABILITY OF FLOATING BODIES (i) When the center of buoyancy is above the center of gravity of the floating body, the body is always stable under all conditions of disturbance. A righting couple is always created to bring the body back to the stable condition. (ii) When the center of buoyancy coincides with the center of gravity, the two forces act at the same point. A disturbance does not create any couple and so the body just remains in the disturbed position. There is no tendency to tilt further or to correct the tilt. (iii) When the center of buoyancy is below the center of gravity as in the case of ships, additional analysis is required to establish stable conditions of floating. This involves the concept of metacenter and metacentric height. When the body is disturbed the center of gravity still remains on the centroidal line of the body. The shape of the displaced volume changes and the center of buoyancy moves from its previous position. The location M at which the line of action of buoyant force meets the centroidal axis of the body, when disturbed, is defined as metacenter. The distance of this point from the centroid of the body is called metacentric height.
  • 102.
    102 The figure showsa body floating in equilibrium. The weight W acts through the center of gravity G and the buoyancy force FB acts through the center of buoyancy B of the displaced fluid in the same straight line as W. When the body is displaced through an angle θ (fig b), W continues to act through G, the volume of the liquid remains unchanged since FB=W, but the shape of this volume changes and its center of gravity, which is the center of buoyancy, moves relative to the body from B to B1. Since FB and W are no longer in same straight line, turning moment proportional to Wxθ is produced , which in fig(b) is a rightening moment and in fig(d) is an overturning moment. Stability of Floating Body:
  • 103.
    103 If M isthe point at which the line of action of the buoyancy force FB cuts the original vertical through the center of gravity of the body G, 𝑥 = 𝐺𝑀 𝑥 𝜃 Provided that the angle of tilt θ is small so that 𝑠𝑖𝑛𝜃 = 𝑡𝑎𝑛𝜃 = 𝜃 in radians The point M is called Metacenter and the distance GM is the Metacentric Height. Comparing fig (b) and (d) it can be seen that: 1. If M lies above G, a rightening moment WxGMxθ is produced, equilibrium is stable and GM is regarded as positive. 2. If M lies below G, an overturning moment WxGMxθ is produced, equilibrium is unstable and GM is regarded as negative. 3. If M coincides with G, the body is in neutral equilibrium. From fig Metacentric height GM= BM-BG, Where 𝐵𝑀 = 𝐼𝑦𝑐 𝑉𝑠𝑢𝑏 If, GM > 0 Stable GM < 0 Unstable GM = 0 Neutrally stable
  • 104.
    104 Part II Fluids inRigid-Body Motion
  • 105.
    1. In thissection we obtain relations for the variation of pressure in fluids moving like a solid body with or without acceleration in the absence of any shear stresses (i.e., no motion between fluid layers relative to each other). 2. Many fluids such as milk and gasoline are transported in tankers. In an accelerating tanker, the fluid rushes to the back, and some initial splashing occurs. But then a new free surface (usually non-horizontal) is formed, each fluid particle assumes the same acceleration, and the entire fluid moves like a rigid body. 3. No shear stresses develop within the fluid body since there is no deformation and thus no change in shape. Rigid- body motion of a fluid also occurs when the fluid is contained in a tank that rotates about an axis.
  • 106.
    106 Fluids in Rigid-bodyMotion Consider a tank containing liquid moving with uniform acceleration. After initial sloshing, the liquid stabilizes and moves as a solid mass. The liquid redistributes itself in the tank and slops as shown in figure. Since there is no relative motion of liquid particles the shear stress is zero. Consider a differential rectangular fluid element of side length dx, dy and dz. Let ax , ay and az be the components of acceleration along the x, y and z directions respectively. Let P is the pressure at the center of the element. Consider the pressure force on the surfaces of this element. Noting that the differential fluid element behave like a rigid-body, Newton‟s second law of motion for this element can be expressed as,
  • 107.
    107 Fluids in Rigid-bodyMotion 𝐹𝑧 = 𝑚𝑎𝑧 𝑃 − 𝜕𝑃 𝜕𝑧 𝑑𝑧 2 𝑑𝑥𝑑𝑦 − 𝑃 + 𝜕𝑃 𝜕𝑧 𝑑𝑧 2 𝑑𝑥𝑑𝑦 − 𝜌𝑔 𝑑𝑥𝑑𝑦𝑑𝑧 = 𝜌 𝑑𝑥𝑑𝑦𝑑𝑧 𝑎𝑧 − 𝜕𝑃 𝜕𝑧 𝑑𝑥𝑑𝑦𝑑𝑧 − 𝜌𝑔 𝑑𝑥𝑑𝑦𝑑𝑧 = 𝜌(𝑑𝑥𝑑𝑦𝑑𝑧)𝑎𝑧 𝜕𝑃 𝜕𝑧 = −𝜌(𝑔 + 𝑎𝑧) Similarly, the net surface forces in x- and y- directions are 𝜕𝑃 𝜕𝑥 = −𝜌𝑎𝑥 ; 𝜕𝑃 𝜕𝑦 = − 𝜌𝑎𝑦 Special Case 1: Fluid at Rest For fluid at rest or moving on a straight path at constant velocity, all components of acceleration are zero, therefore, 𝜕𝑃 𝜕𝑥 = 0 , 𝜕𝑃 𝜕𝑦 0 , 𝑎𝑛𝑑 𝜕𝑃 𝜕𝑧 = −𝜌𝑔 Which confirm that, in fluids at rest, the pressure remains constant in any horizontal direction (P is independent of x and y) and varies in the vertical direction as a result of gravity [ and thus P=P(z)]. These relations are applicable for both compressible and in compressible fluids.
  • 108.
    108 Special Case 2:Free Fall of a Fluid Body A free falling body accelerates under the influence of gravity. When the air resistance is negligible, the acceleration of body equals the gravitational acceleration and acceleration in any horizontal direction is zero. Therefore, ax = ay =0 and az = -g. Then the equations of motion for accelerating fluids becomes, Free falling ; 𝜕𝑃 𝜕𝑥 = 𝜕𝑃 𝜕𝑦 = 𝜕𝑃 𝜕𝑧 = 0 [ 𝜕𝑃 𝜕𝑧 = −𝜌 𝑔 + 𝑎𝑧 = −𝜌 𝑔 − 𝑔 = 0] Therefore, in a frame of reference moving the fluid, it behaves like it is in an environment with zero gravity. Also, the gage pressure in a drop of liquid in free fall is zero throughout. (Actually the gage pressure is slightly above zero due to surface tension which holds the drop intact). For example, the pressure throughout a “blob” of orange juice floating in an orbiting space shuttle (a form of free fall) is zero. The only force holding the liquid to gather is surface tension. When the direction of motion is reversed and the fluid is forced to accelerate vertically with az = +g by placing the fluid container in an elevator or a space vehicle propelled upward by a rocket engine, the pressure gradient in the z- direction is 𝜕𝑃 𝜕𝑧 = −2𝜌𝑔. Therefore, the pressure difference across a fluid layer now doubles relative to the stationary fluid case.
  • 109.
    109 Acceleration on aStraight Path Constant Linear acceleration on a straight path with ay =0 Consider a container partially filled with a liquid. The container is moving on a straight path with a constant acceleration The y and z components of acceleration are ay and az. There is no movement in the x-direction and thus the acceleration in that direction is zero ax=0. Then the equation of motion for accelerating fluids becomes, 𝜕𝑃 𝜕𝒚 = 0, 𝜕𝑃 𝜕𝒙 = − 𝜌𝑎𝒙, and 𝜕𝑃 𝜕𝑧 = −𝜌 𝑔 + 𝑎𝑧 Therefore, pressure is independent of y. Then the total differential of P=P(x, z) will be (or total change in pressure) 𝑑𝑃 = 𝜕𝑃 𝜕𝑥 𝑑𝑥 + 𝜕𝑃 𝜕𝑧 𝑑𝑧
  • 110.
    110 Substituting values for 𝜕𝑃 𝜕𝑥 and 𝜕𝑃 𝜕𝑧 ,it becomes 𝑑𝑃 = −𝜌𝑎𝑥 dy − 𝜌 𝑔 + 𝑎𝑧 𝑑𝑧 −−−−− −(1) Along a line of constant pressure, dP=0, and therefore, it follows that the slope of this line is given by the relationship 𝑑𝑧 𝑑𝑦 = −𝑎𝑥 𝑔 + 𝑎𝑧 This is also called equation for the surfaces of constant pressure or Isobar, 𝑠𝑙𝑜𝑝𝑒 = 𝑑𝑧 𝑑𝑦 = −𝑎𝑥 𝑔 + 𝑎𝑧 = −𝑡𝑎𝑛𝜃 For ρ = constant, the pressure difference between two points 1 and 2 in the fluid is determined by integration to be 𝑃2 − 𝑃1 = −𝜌𝑎𝑥 𝑥2 − 𝑥1 − 𝜌 𝑔 + 𝑎𝑧 𝑧2 − 𝑧1 (2) Taking point 1 to be the origin (x = 0, z = 0) where the pressure is P0 and point 2 to be any point in the fluid, the pressure distribution can be expressed as Pressure variation: 𝑃 = 𝑃𝑜 − 𝜌𝑎𝑥𝑦 − 𝜌 𝑔 + 𝑎𝑧 𝑧
  • 111.
    111 The vertical rise(or drop) of the free surface at point 2 relative to point 1 can be determined by choosing both 1 and 2 on the free surface (so that P1= P2), and solving for z2 - z1 ,(refer to equation 2) ∆𝑧 = 𝑧2 − 𝑧1 = − 𝑎𝑥 𝑔 + 𝑎𝑧 𝑥2 − 𝑥1
  • 112.
  • 113.
  • 114.
  • 115.
    115 Rigid-Body Rotation We knowfrom experience that when a glass filled with water is rotated about its axis, the fluid is forced outward as a result of the so-called centrifugal force (but more properly explained in terms of centripetal acceleration), and the free surface of the liquid becomes concave. This is known as the forced vortex motion Consider a vertical cylindrical container partially filled with a liquid. The container is now rotated about its axis at a constant angular velocity of ω, as shown in Fig. After initial transients, the liquid will move as a rigid body together with the container. There is no deformation, and thus there can be no shear stress, and every fluid particle in the container moves with the same angular velocity.
  • 116.
    116 This problem isbest analyzed in cylindrical coordinates (r, 𝜃, z), with z taken along the centerline of the container directed from the bottom toward the free surface, since the shape of the container is a cylinder, and the fluid particles undergo a circular motion. The centripetal acceleration of a fluid particle rotating with a constant angular velocity of ω at a distance r from the axis of rotation is rω2 and is directed radially toward the axis of rotation (negative r-direction). That is, ar = −rω2. There is symmetry about the z-axis, which is the axis of rotation, and thus there is no 𝜃 dependence. Then P = P(r, z) and aϴ= 0. Also, az = 0 since there is no motion in the z-direction. Then the equation of motion for rotating fluids are 𝜕𝑃 𝜕𝑟 = −𝜌𝑎𝑟 = −𝜌 −𝑟𝜔2 = 𝜌𝑟𝜔2 , 𝜕𝑃 𝜕𝑧 = 0, 𝑎𝑛𝑑 𝜕𝑃 𝜕𝑧 = −𝜌𝑔 Then the total differential of P = P(r, z), is dP = (∂P/∂r)dr + (∂P/∂z)dz, becomes 𝑑𝑃 = 𝜌𝑟𝜔2dr − ρ𝑔𝑑𝑧
  • 117.
    117 Along a surfaceof constant pressure (or any isobaric surface) such as the free surface, dP=0, 0 = 𝜌𝑟𝜔2 dr − ρ𝑔𝑑𝑧 𝑑𝑧 𝑑𝑟 = 𝑟𝜔2 𝑔 => 𝑑𝑧 = 𝑟𝜔2 𝑔 𝑑𝑟 Integrating, 𝑧 = 𝑟2𝜔2 2𝑔 + 𝐶 This equation reveals that the surfaces of constant pressure are parabolic. For free surface setting r=0, in above equation, 𝑧 𝑖𝑠𝑜𝑏𝑎𝑟 0 = 𝐶1 = 𝑕𝑜 Where 𝑕𝑜is the distance of the free surface from bottom of the container along the axis of rotation. Therefore, 𝑧𝑠 = 𝜔2𝑟2 2𝑔 + 𝑕𝑜
  • 118.
  • 119.