Embed presentation
Downloaded 37 times




























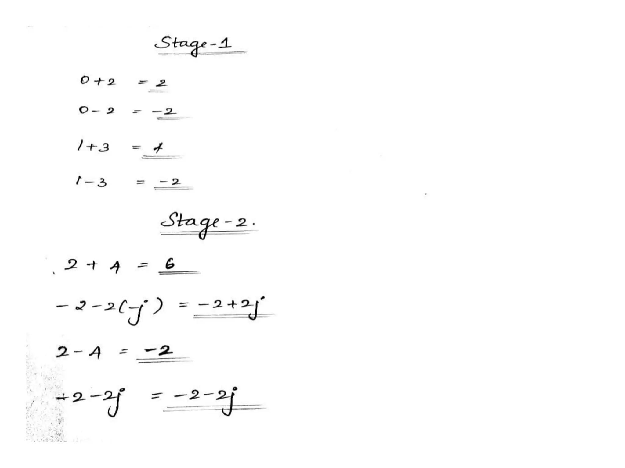
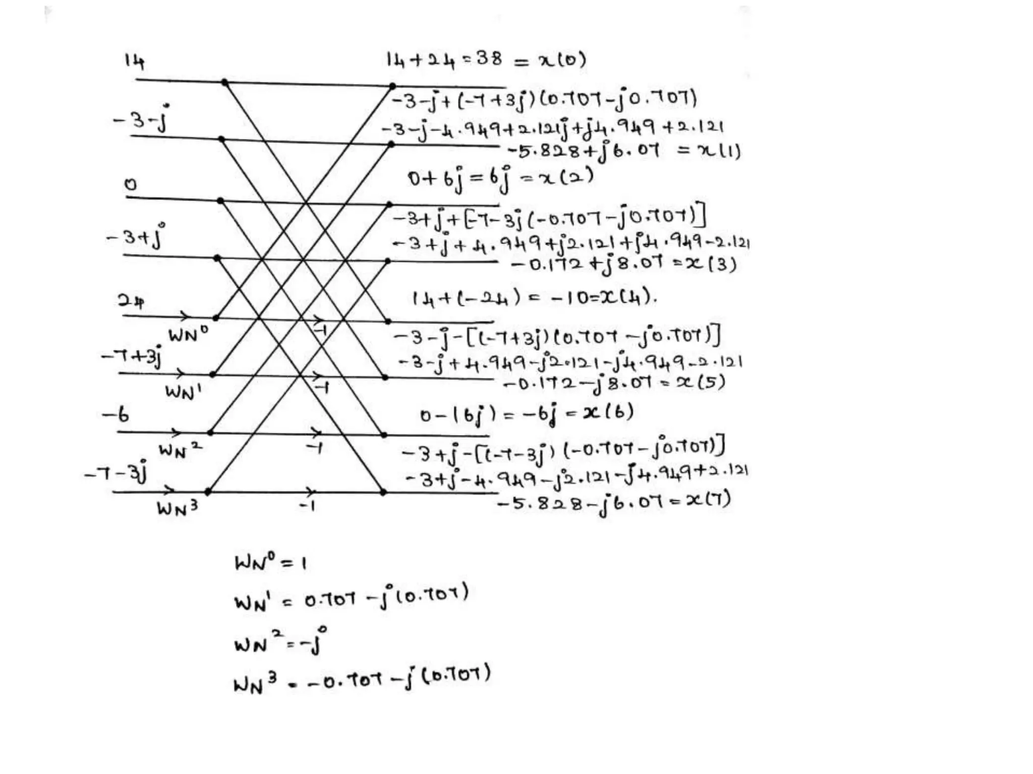
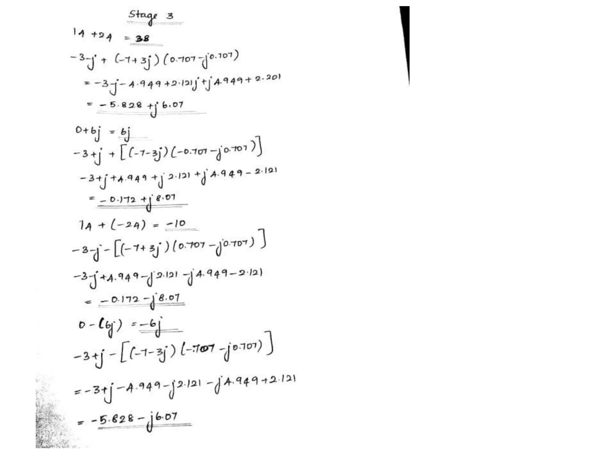
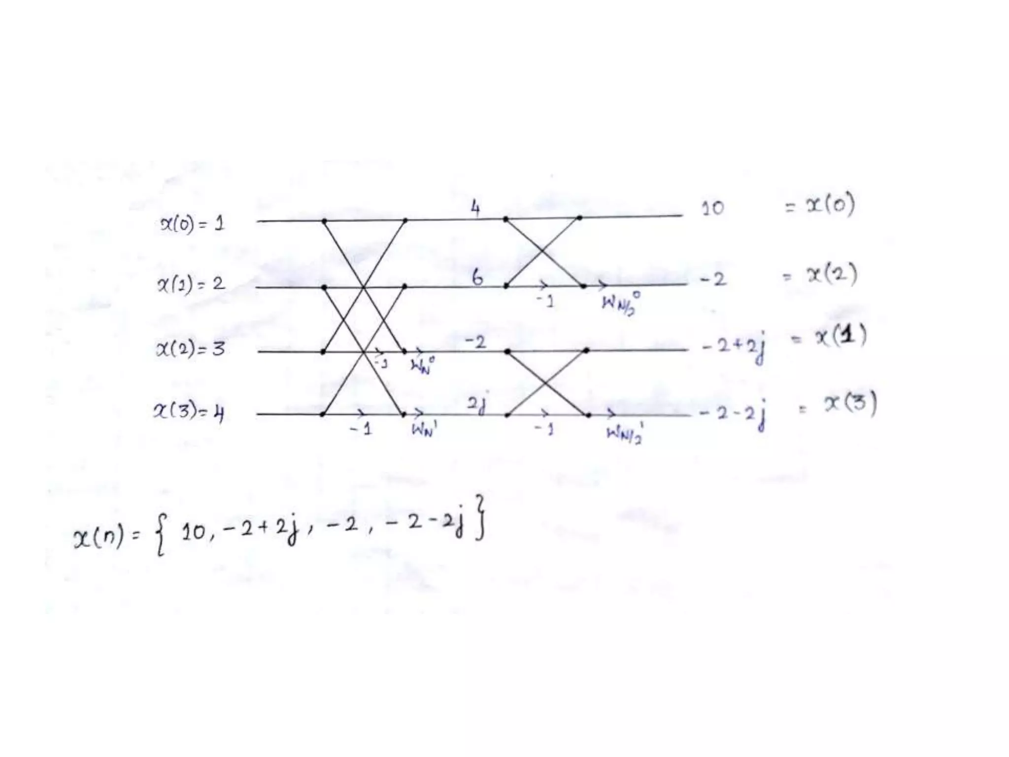
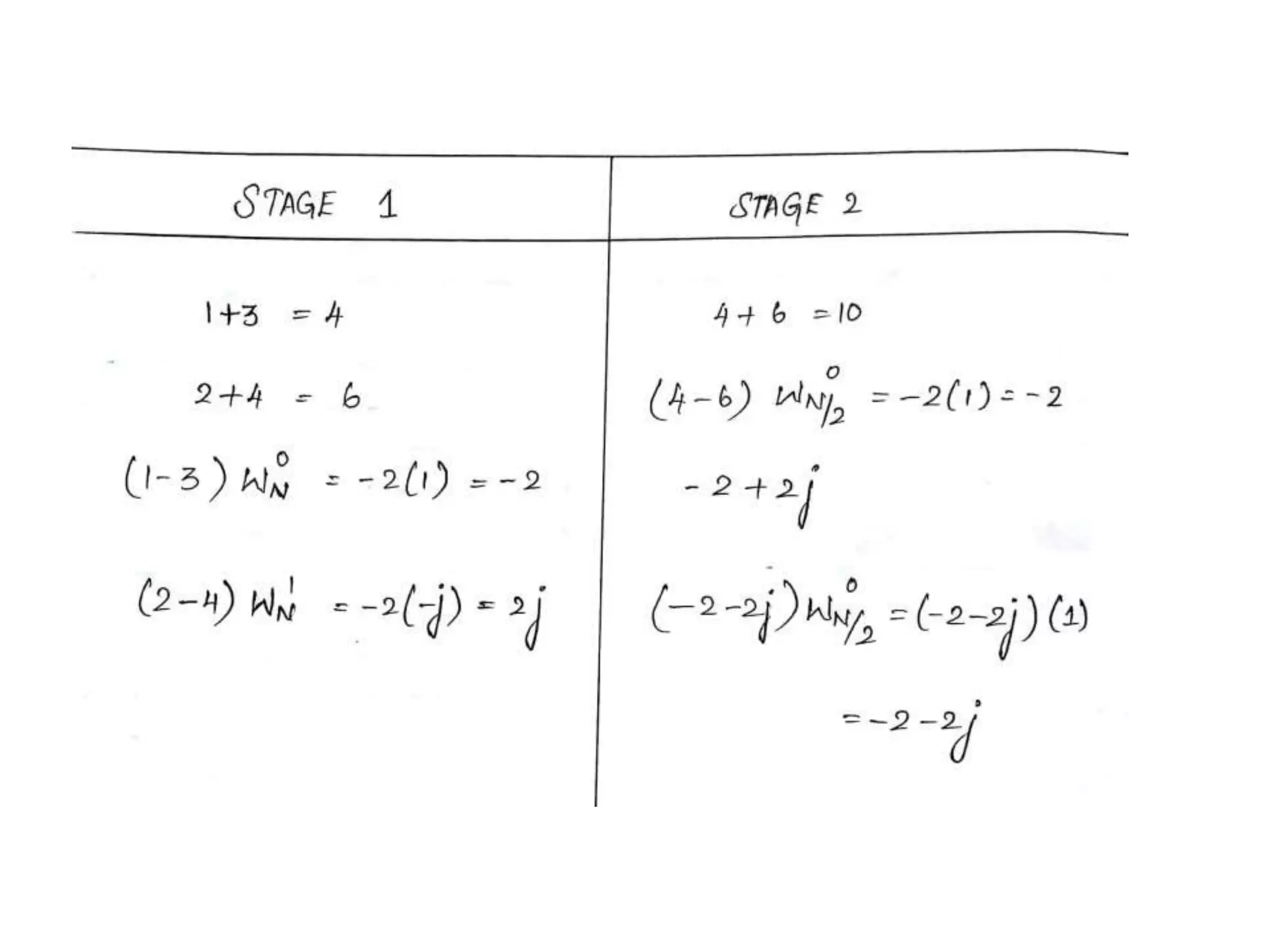
The document discusses the Fast Fourier Transform (FFT), highlighting its efficiency in reducing computation time and improving performance compared to the Discrete Fourier Transform. It explains the two main algorithms for FFT: Decimation in Time (DIT) and Decimation in Frequency (DIF), and outlines the steps to execute FFT. Additionally, FFT is noted for its applications in analyzing large datasets, such as communication signals and electrocardiograms.



























