DIURETICS
VINOD KUMAR
4TH YEAR B.PHARMACY
DIURETICS
 Diuretic drugs increase urine output by the kidney
(i.e., promote diuresis). This is accomplished by
altering how the kidney handles sodium. If the
kidney excretes more sodium, then water excretion
will also increase. Most diuretics produce diuresis
by inhibiting the reabsorption of sodium at different
segments of the renal tubular system
The net result being:
– Increase the urine flow,
– change urine pH
– change the ionic composition
of the urine and blood.
THERAPEUTICAL APPLICATION
Hypertension(first line drug: thiazide dervatives and second line drug:spirnolactone and
triametrene )
Heartfailure
Edema: Pregnancy associated oedema
Nutritional nephrotic syndrome
Diabetes insipidus
EXCRETION RATE
Structure of nephron
Electrolyte Transport and Site of Action of Diuretics
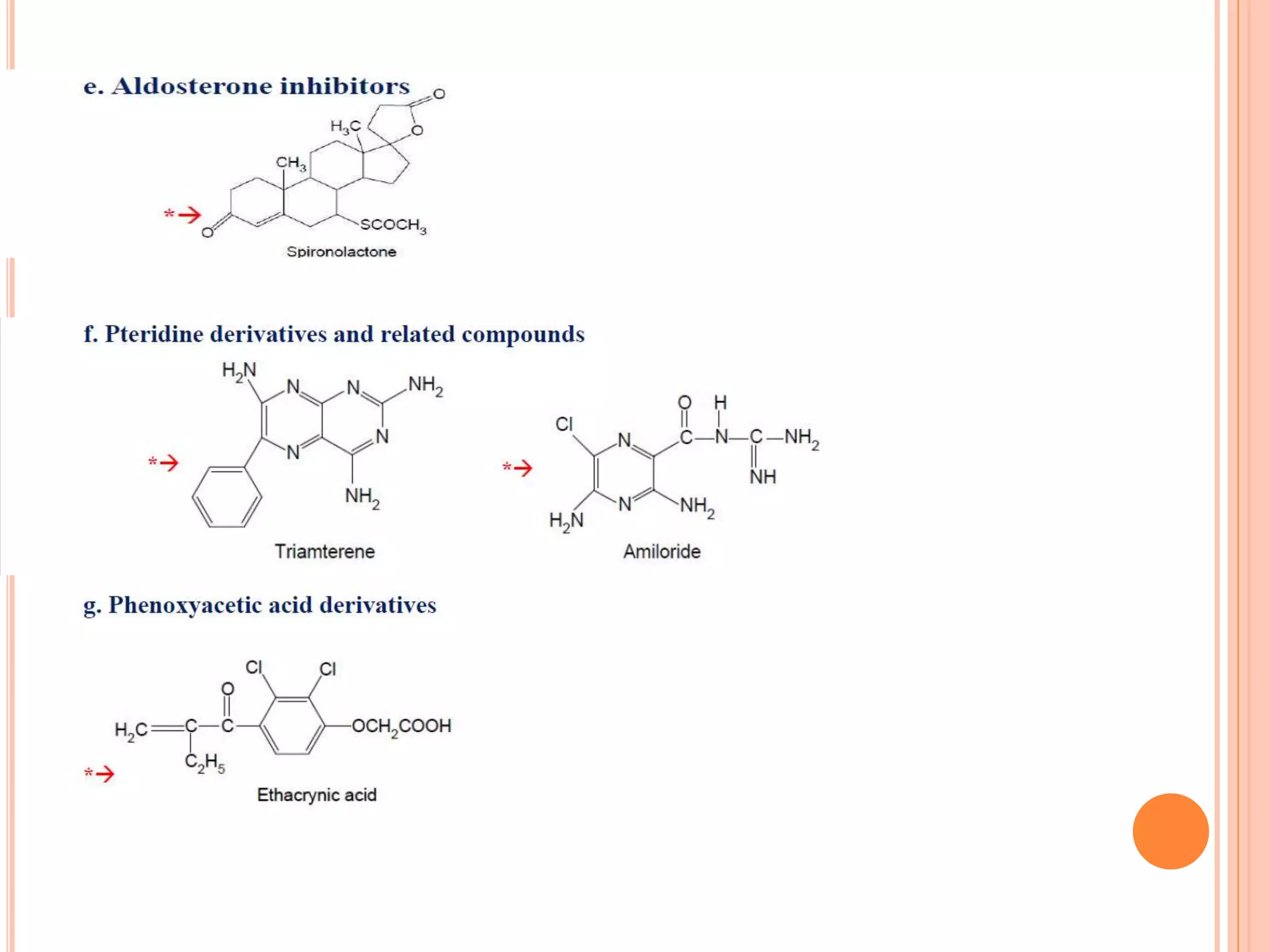
CLASSIFICATION
 Thiazide dervatives: Chlorthiazide,
hydrochlorthiazide and cyclopenthiazide
 Loop diuretics: frusemide and ethacrynic acid
 CASe inhibitor: acetozolamide, methazolamide
 Osmotic diuretics: Mannitol and urea
 K+ sparing diuretic: sprinolactone and triameterene
CHEMICAL CLASSIFICATION
DRUG PROFILES
HYDROCHLORTHIAZIDE
6- chloro 3,4-dihydro-1,2,4-benzothiadiazine 7 sulphonamide 1,1-
dioxide
SYNTHESIS
USES AND ADR
Hydrochlorothiazide is used to treat edema (fluid retention; excess fluid
held in body tissues) caused by various medical problems, including heart,
kidney, and liver disease and to treat edema caused by using certain
medications including estrogen and corticosteroids.
Common side effects may include:
nausea, vomiting, loss of appetite;
diarrhea, constipation;
muscle spasm; or.
dizziness, headache.
FUROSEMIDE
4-chloro-2-(furan-2-ylmethylamino)-5-sulfamoylbenzoic
acid
SYNTHESIS
ETHACRYNIC ACID
SYNTHESIS
Site of
action
and
MOA
USES AND ADR
It's used to treat high blood pressure, heart failure and oedema (a build up of
fluid in the body).
Common side effect
increased urination,
thirst,muscle cramps,
itching or rash,weakness,
dizziness,spinning sensation,
diarrhea,stomach pain, and
constipation.
Serious side effects include:
dehydration,dark urine,clay-colored
stools,nausea,
vomiting,fever,jaundice (yellowing of skin
or eyes),electrolyte abnormalities,
loss of appetite, andrapid weight loss.
ACETAZOLAMIDE
SYNTHESIS
MOA
SAR OF LOOP DIURETICS
SAR OF THIAZIDE
SAR OF CASE INHIBITORY
THANK YOU

Diuretics