UNIT II
CLOSEDLOOP CONTROL SYSTEMS
Open loop system :
Manual mode of Operation
Closed loop system
 Auto mode of Operation
Syllabus:
 Development of block diagram for feed-back control systems
 Servo and regulator problems in closed-loop control system
 Transfer function for controllers and final control element
 Principles of pneumatic and electronic controllers
 Transient response of closed-loop control systems
 Stability of closed-loop control system
 Transportation lag
Process
m
d
y
Process
m
d
y
Final
Control
Element
Sensor/
transmitter
Controller
ysp
ym
c
e
Open loop system:
Closed loop system:
Controller Mechanism
-
+
CONCEPT OF FEEDBACK CONTROL
Representation of a linear system
 System without controller(Open loop)
Pictorial representation
Mathematical representation
Nth order differential equation
N first order differential equations
matrix differential equation
Transfer function
 Block diagram representation
System with controller(Closed loop)
Feed-back control systems
Positive feed back
Negative feedback
Process ( Stirred – tank heater )
Measuring element (thermometer)
 Controller(P,PI,PID Controllers)
 Final control element(Power driver/Control valve)
Components of a control system
Heating system with process control components:
Servo problem:
No change in load [Ti] and Changes only in set point[TR]
Regulatory problem:
No change in set point[TR ] and Changes only in set point load [Ti]
Closed loop block diagram of a simple feed back control system:
CONTinued…
TR
 Each block represents the functional relationship existing between the input
and output of a particular component.
 Variables selected In block diagram representations of control systems are
deviation variables
 The transfer function relating the input – output pair of variables are placed
inside of each block
 Individual components blocks are combined to give the overall block
diagram.
 Process have two input variables and one output variable.
 Procedure of developing transfer function for the process is similar to other
components
DEVELOPMENT OF BLOCK DIAGRAM
)
2
(
)
(
1
)
(
)
(
1
1
'
'









s
T
s
s
T
s
Q
s
wC i


)
10
(
1
1
)
(
)
(
'







s
wC
s
Q
s
T

If there is a change in Q (t) only, then Ti’ (t) = 0 and the transfer function relating T’ to Q
)
11
(
1
1
)
(
)
(
'
'







s
s
T
s
T
i 
    )
1
(










dt
dT
CV
T
T
wC
T
T
wC
q o
o
i 
  )
12
(
)
(
)
(
1
1
)
( '
'








 s
wCT
s
Q
s
wC
s
T i

Energy balance on stirred tank heater
If there is a change in Ti’ (t) only, then Q (t) = 0 and the transfer function relating T’ to Ti’
Measuring element:
1
1
)
(
)
(
'
'


s
s
T
s
T
m
m

Block diagram of heating process:
Summer:
Error, ϵ = TR – Tm
Continued…
int
; , 0
R m
R
C
T T
T setpo Temperature
K Controllergain
A Heatinput when


 


 
)
2
(






 S
S m
S
R T
T
T
)
3
(
'







 s



)
4
(
0 






 S
S m
R
S T
T

 Controller and the final control element are combined into one block
 For the combined block, Input is error and output is heat
 Controller used in the block is proportional controller
At steady state,
Let ϵ’ be the deviation variable
The relationship for a proportional controller
)
1
(





 A
K
q C
)
5
(
' 





 

Controller and Final Control Element(FCE):
CONTinued…
A
K
q S
C
S 
  A

 0 A
qS 

S
C q
K
q 
  
C
S K
q
q 

 )
6
(






 
C
K
Q
)
7
(
)
(
)
( 




 s
K
s
Q C
,
'

  )
8
(
'
'






 m
R T
T

)
9
(
)
(
)
(
)
(
'
'






 s
T
s
T
s m
R

At steady state, equation (1) becomes
Taking Laplace on both sides
Block diagram of Proportional controller and FCE:
CONTinued…
Block diagram gives:
 Relationship among the process control components
 Feedback relationship between measured variable & desired variable
Block diagram of servo and regulatory problem
Summary of block diagram closed loop control system:
CONTinued…
Pneumatic control valve:
Control Valve (FINAL CONTROL ELEMENT)
 Selection of the type of valve is made based on safety considerations
 Example: air – to – close Control valve is used in controlling the inlet
flow of cooling water to a cooling jacket on an exothermic chemical reactor
Selection of the type of valve:
Electronic control valve:
CONTinued…
 Control valve consists of an actuator and a valve.
 Control valve itself is divided into the body and trim.
 The body consists of housing for mounting the actuator
 Valve Connections for attachment to a supply and delivery line.
Block diagram of transducer, Controller and Converter in Electronic control valve:
CONTinued…
1
)
(
)
(


s
K
s
P
s
Q
v
v

Kv -- Steady state gain (Constant of
proportionality between steady state flow
rate and valve top pressure)
is the time constant of the valve (Time
constant of the valve is very small, then it is
negligible.
v
K
s
P
s
Q

)
(
)
(
Ideal Transfer functions of Pneumatic Control valve:
v

Difference between pneumatic and electronic controllers:
The choice between electronic and pneumatic control will probably
be decided by the relative costs of installation and maintenance and the
reliability of the instruments.
Pneumatic and Electronic controllers
Controllers:
 Input to the controller is error signal (ϵ)
 Output of the controller is pneumatic signal (P)
 Transducer and converter are combined with the controller for simplicity
Types of Controllers:
 Proportional control
 Proportional integral control
 Proportional derivative control
 Proportional integral derivative control
CONVENTIONAL CONTROLLERS
0
Pr int , (4)
t
C
C s
I
K
oportional egralcontroller p K dt p
 

       

)
(
tan
min
,
int
lg
,
ue
thebiasval
t
cons
p
egraltime
ain
a
proportion
K
where
s
I
C




 Integral control mode is introduced to eliminate the residual error
 It is termed as PI or proportional-integral control
The integral mode ultimately drives the error to zero
 The values of Kc and τI are both adjustable
)
5
(
)
( 





 s
I
C
C p
K
K
t
p

s
p
p
P 

PROPORTIONAL – INTEGRAL (PI) CONTROL
I
C
K 
/
)
6
(
1
1
)
(
)
(
,
int
Pr 














s
K
s
s
P
n
ferfunctio
ollertrans
egralcontr
oportional
I
C


 To visualize the step response , Unit step change in error (ϵ =1) is given
 ‘p’ changes suddenly by an amount Kc and linearly with
 Reciprocal of is called as reset rate
I

Step response of PI Controller:
CONTinued…
Transfer function for this controller:
)
7
(
,
Pr 






 s
D
C
C p
dt
d
K
K
p
controller
derivative
oportional



)
(
tan
min
,
,
value
bias
the
t
cons
p
time
derivative
gain
al
proportion
K
where
s
D
C




PROPORTIONAL – DERIVATIVE (PD) CONTROL
 Derivative control mode is introduced to reduce the process oscillations
 It is termed as PD or proportional- derivative control
The values of Kc and τD are both adjustable
)
8
(
)
( 





 s
D
C
C p
AK
AK
t
p 
s
p
p
P 

 To visualize its response , a linear change in error is given [ ]
 ‘p’ changes suddenly by an amount AKC τD and linearly with AKC.
At
t 
)
(

  )
9
(
1
)
(
)
(
,
Pr 





 s
K
s
s
P
nction
transferfu
controller
derivative
oportional D
C 

Step response of PD Controller:
CONTinued…
Transfer function for this controller:
)
10
(
,
int
Pr
0









  s
t
I
C
D
C
C p
dt
K
dt
d
K
K
p
controller
derivative
egral
oportional 




)
11
(
1
1
)
(
)
(
,
int
Pr 
















s
s
K
s
s
P
nction
transferfu
controller
derivative
egral
oportional
I
D
C



Transfer function for this controller:
 Derivative control action is based on how rapidly the error is changing
 Rapidly changing error signal will induce a large derivative response.
 Derivative control should be avoided for “Noisy” error signals.
 Integral control action will give error free process output
PROPORTIONAL – INTEGRAL - DERIVATIVE (PID) CONTROL
 It is a combination of the integral and derivative control mode
 It is termed as PID or proportional- integral - derivative control
The values of Kc , τI and τD are adjustable
 A special case of proportional control is ON/OFF control
 For maximum gain Kc , the valve will move from one extreme position to
other even for a slight deviation in set point. i.e. the valve acts as a switch.
 In practice, a dead band is inserted into the controller. With a dead band,
the error reaches some finite positive value before the controller “turns on”.
 Conversely, the error must fall to some finite negative value before the
controller “turns off”.
Step response of ON-OFF Controller:
ON/OFF CONTROL
Step response of all type of Controllers:
CONTinued…
Closed loop block diagram:
ϵ = Error
GC = Transfer function of controller
G1 = Transfer function of FCE
G2 = Transfer function of Process
H = TF of measuring element
CLOSED LOOP TRANSFER FUNCTIONS
B = measured Variable
M = Manipulated variable
U = Load variable or disturbance
R = Set point or desired value
C = Controlled variable
Block diagram of servo problem :
 Several Transfer Functions in series are simplified as product of individual TF
 G = GCG1G2
Block diagram reduction :
Continued…
)
1
(




 
G
C
)
2
(




 HC
B
)
3
(





 B
R

Solving these three equations simultaneously , C in terms of R are obtained
)
( B
R
G
C 

)
( HC
R
G
C 


GHC
GR
C 


GR
GH
C 

 )
1
(
)
4
(
1






GH
G
R
C
Continued…
Overall closed loop transfer function :
Overall closed loop block diagram :
)
5
(
)
(
2 





 M
U
G
C
)
6
(
1 




 
G
G
M C
)
7
(





 HC
B
)
8
(






 B

)
( 1
2 
G
G
U
G
C C


 )
( 1
2 HC
G
G
U
G
C C 



HC
G
G
G
U
G
C C 2
1
2 


U
G
GH
C 2
)
1
( 
 )
9
(
)
1
(
2







GH
G
U
C
Continued…
Block diagram of regulatory problem :
Solving these four equations simultaneously , C in terms of U are obtained
)
10
(
)
(
1






 feedback
Negative
X
Y
l
f


GH
G
H
G
G
G
G
G
G
R
C
C
C




1
1 2
1
2
1
)
11
(
)
(
1






 feedback
Positive
X
Y
l
f


 Transfer function relating any pair of variables X, Y
Where,
πf = Product of transfer functions in the path between the locations of the signals X
and Y.
πl = Product of all transfer functions in the loop.(ie. πl = GCG1G2H)
 Overall Transfer Function based on the block diagram reduction rule
Block diagram reduction rule
wC
1
TRANSIENT RESPONSE OF SIMPLE CONTROL SYSTEMS
C
C K
G 
 
 
)
1
(
1
1
1
'
'









s
A
K
s
A
K
T
T
C
C
R


A
K
s
A
K
T
T
C
C
R 



1
'
'

  










1
1
1
'
'
s
A
K
A
K
A
K
T
T
C
C
C
R 
 
)
2
(
1
'
1
1
'








s
A
T
T
R 
For proportional control,
A
K
A
K
A
K
A
C
C
C




1
&
1
1
1


Servo Response with P Controller
Let,
    )
3
(
'
'







 T
T
offset R
A
K
A
K
A
K
A
K
A
K
C
C
C
C
C







1
1
1
1
)
4
(
1
1






A
K
offset
C
0
'

R
T
 
 
1
1
1
1
'
'




s
A
K
s
T
T
C
i


A
K
s
T
T
C
i 



1
1
'
'

1
1
1
1
'
'





s
A
K
A
K
T
T
C
C
i

A
K
A
K
A
C
C 



1
&
1
1
1
2


 
1
'
1
2
'



s
A
T
T
i 
Let,
REGULATORY RESPONSE WITH P CONTROLLER
   



 '
'
T
T
offset R
A
KC



1
1
0
A
K
offset
C



1
1

 offset
KC
In Proportional control,
In regulatory problem,
1
1
C C
I
G K
s

 
 
 
 
  )
1
(
1
1
1
1
1
1
'
'


















s
A
s
K
s
T
T
I
C
i



 
    
    
s
s
s
A
K
s
s
s
I
I
C
I 





1
1
1
1
1






    
 
1
1 



s
A
K
s
s
s
I
C
I
I




A
K
s
A
K
s
s
s
C
I
C
I
I
I








2
  A
K
A
K
s
s
s
C
C
I
I
I




1
2



)
2
(
1
1
1
'
2
'
































A
K
s
s
A
K
s
A
K
T
T
C
I
C
I
C
I
i



Overall transfer function for load change:
REGULATORY Response with PI Controller
PI Controller transfer function is given as
)
4
(
);
3
(
2
1
1
1 












A
K
A
K
A
K
A
C
I
C
I
C
I














 1
1
2 1
A
KC
I

 









 1
1
2
A
K
A
K C
I
C
I










 


A
K
A
K
A
K
A
K C
C
C
I
I
C
I 1
2 




)
5
(
1
2
1











 

A
K
A
K
C
C
I



Let,
Substitute equation (3), (4) & (5)
in equation (2)
)
6
(
1
2
'
1
2
2
1
1
'








s
s
s
A
T
T
i 

Continued…
1
2
1
'
1
2
2
1
1




s
s
s
A
s
T


)
7
(
1
2
'
1
2
2
1
1








s
s
A
T


1


)
8
(
1
sin
1
1
1
1
2
/
2
1
1
'

















 





 t
e
A
T t
For a unit step change in load{ }in equation (6) gives
 Eqn (7), response of the tank temperature to an impulse function of magnitude A1.
The impulse response of this system for
s
Ti
1
'

Continued…
   
' '
0 0 0
R
offset T T
      
One of the most important advantages of PI control is the elimination of offset.
The effect of on the unit step response :
I
C
K 
&
Continued…
Concept of stability:
 If the system less (or) equal to second order, the response of system is
inherently stable.
 If the system is higher than second order, the problem of stability in a
control system is slightly more complicated.
Stability criterion:
 A linear control system is unstable if any roots of its characteristic equation
are on or to the right of the imaginary axis. Otherwise the system is stable.
 The characteristic equation is 1 + G = 0. Where,
 The characteristic equation of a control system determines its stability and
is the same for set point or load changes.
H
G
G
G 2
1

STABILITY OF CLOSED LOOP SYSTEM
.
1
C G
R GH


Continued…
Closed loop block diagram and Transfer function:
Location of the roots of the Characteristic equation of the system, 1 + GH = 0
 Routh test is a purely algebraic method for determining how many roots of the
characteristic equation have positive real parts
 In the characteristic equation, if there are no roots with positive real parts, the
system is stable.
 The test is limited to systems that have polynomial characteristic equations and
not suitable for the system with transportation lag.
 To check the roots of the given system, Write the characteristic equation in the
form of , Where, a0 is positive.
 If any coefficient is negative, the system is definitely unstable and the Routh
test is not needed to answer the question of stability.
 If all the coefficients are positive, the system may be stable (or) unstable.
1 2
0 1 2 0
n n n
n
a s a s a s a
 
    
ROUTHTEST FOR STABILITY
Routh array table:
1
3
0
2
1
1
a
a
a
a
a
b


1
5
0
4
1
2
a
a
a
a
a
b


1
7
0
6
1
3
a
a
a
a
a
b


1
2
1
3
1
1
b
b
a
a
b
c


1
3
1
5
1
2
b
b
a
a
b
c


Continued…
Routh stability table:
Problems
Example: 1
Determine the transfer functions C/R, C/U1 and B/U2 for the system show in
Fig. Also determine an expression for C in terms of R and U1 for the situation when
both set-point change and load change occur simultaneously.
Using the rule given by equation (10) we obtain by inspection the results.
)
12
(
1
)
(
2
1
3
2
1
3
2
1







H
H
G
G
G
G
G
G
G
G
R
C
i
C
C
2
1
3
2
1 &
,
1
H
H
H
G
G
G
G
G
Where
GH
G
C 



)
13
(
1
)
( 3
2
1








GH
G
G
U
C
ii
)
14
(
1
)
( 2
1
3
2







GH
H
H
G
U
B
iii
and
R
GH
G
G
G
G
C C
)
15
(
1
3
2
1







)
17
(
1
1
1
3
2
3
2
1








 U
GH
G
G
R
GH
G
G
G
G
C C
For separate changes in R and U1, we may obtain the response C from
equation (12) & (13)
If both R and U1 occur simultaneously the principle of super position
requires that the overall response be the sum of the individual responses
Overall transfer function for Multi loop control systems:
To illustrate how one obtains the overall transfer function for a multi loop
system, in which the method used is to reduce the block diagram to a single –loop
diagram by application of the rules summarized by positive feed back and negative
feed back equation.
)
16
(
1
1
3
2







 U
GH
G
G
C
Step: 1 Reducing the inner loop and we may also combine G2 & G3 into a single block
Step: 2 Single loop can be converted into single block.
1
1
1
1 H
G
G
G
G
G
G
R
C
b
a
C
b
a
C


1
3
2
1 1
1 H
G
G
G
G
G
U
C
b
a
C


1
3
2 1
1 H
G
G
G
G
U
C
b
a
C


1
1
3
2 1
1 H
G
G
G
H
G
U
B
b
a
C


Example: 2 Determine the transfer functions C/R for the system show in Fig. This
block diagram represents a cascade control system, which will be discussed later.
)
1
(
1
1
)
(
)
(
















s
s
K
s
s
P
I
D
C



)
2
(
1
5
.
0
1
10
)
(
)
(












s
s
s
s
P

Problem: 3
A unit step change in error is introduced into a PID controller. If KC = 10, τ1 =1
and τD = 0.5. Plot the response of the controller P (t).
Solution:
WKT, the transfer function for PID controller is
Given Data:
KC = 10, τ1 =1, τD = 0.5
Substitute the above value in equation (1)
s
s
stepchange
unit
1
)
( 

 
5
10
10
)
(
1
5
.
0
1
10
)
( 2













s
s
s
P
s
s
s
s
P
Substitute the above value in equation (2)
)
3
(
10
10
5
)
( 2








s
s
s
P
  )
4
(
1
10
)
( 




 t
t
P
Taking inverse Laplace
0
20
40
60
80
100
120
0 5 10 15
t Vs P(t)
P(t)
Problem 1:
The set point of the control system shown in Fig A is given a step change of
0.1 unit. Determine: (i) the maximum value of C and the time at which it occurs (ii) the
offset (iii) the period of oscillation. Draw a sketch of C (t) as a function of time.
(NOVEMBER 2012 & R2007)
The transfer function for the given system is
  
  
1
2
1
5
6
.
1
1
1
2
1
5
6
.
1








s
s
s
s
R
C
  
  
 
  
1
2
1
8
1
2
1
1
2
1
8








s
s
s
s
s
s
8
1
2
2
8
2





s
s
s
1
333
.
0
222
.
0
889
.
0
2



s
s
R
C
9
3
2
8
2



s
s
471
.
0
222
.
0
2


 

1
354
.
0
354
.
0
471
.
0
2
333
.
0
333
.
0
2












s
s
R
t
R
1
.
0
)
(
1
.
0
)
( 


1
333
.
0
222
.
0
889
.
0
1
.
0
2




s
s
s
C

















 




 








2
1
2
/
2
1
tan
1
sin
1
1
1
0889
.
0
t
e
C t

















 




 

354
.
0
354
.
0
1
tan
471
.
0
354
.
0
1
sin
354
.
0
1
1
1
0889
.
0
2
1
2
471
.
0
/
354
.
0
2
t
e
C t
 
  )
1
(
209
.
1
986
.
1
sin
069
.
1
1
0889
.
0 752
.
0







 
t
e
C t
So the response equation is at under damped condition.
Step change is
2
1 








p
t min
581
.
1
354
.
0
1
471
.
0
2






p
t
min
581
.
1

p
t
 
 
 
209
.
1
581
.
1
986
.
1
sin
069
.
1
1
0889
.
0 581
.
1
752
.
0
max 


 

e
C
117
.
0
m
ax 
C
   



 C
R
offset
ii)
(
)
(
)
(
)
(
0
s
sC
lt
t
C
lt
C
s
t 





 
1
333
.
0
222
.
0
0889
.
0
2
0 



 s
s
s
s
lt
s
1
0889
.
0
 0889
.
0
)
( 

 C 0111
.
0
0889
.
0
1
.
0 


offset
(i) Maximum value of ‘C’ occurs at peak time tp:
At ,the maximum value of “C” can be substituted in equation (1)



2
1
2
1 

f 316
.
0

 f 163
.
3
316
.
0
1
1




f
T
163
.
3

T
(iii) Period of oscillation:
Period of oscillation,
Graph is plotted between “t” Vs “C(t)”
0
0.02
0.04
0.06
0.08
0.1
0.12
0 5 10
t Vs C(t)
t
C(t)
time units
Problem 2:
The location of a load change in a control loop may affect the system
response. In the block diagram shown in Fig C. a unit-step change in load enters at
either location 1 or location 2. (a) What is the frequency of the transient response
when the load enters at location 1 and when the load enters at location 2? (b) What is
the offset when the load enters at location 1 and when it enters at location 2? (c)
Sketch the transient response to a step change in U1 and to a step change in U2.
(NOVEMBER 2013 & R2007, NOVEMBER 2012 & R2008, MAY 2012 & R 2008)






























1
2
1
1
2
2
5
1
1
2
1
1
2
2
1
s
s
s
s
U
C
 
 
 
 2
2
2
1
1
2
10
1
2
1
2
2





s
s
s
U
C
11
4
4
2
2



s
s
s
s
U
1
)
(
1 
11
4
4
2
1
2




s
s
s
C
1
11
4
11
4
11
2
1
2




s
s
s
 
1
364
.
0
364
.
0
182
.
0
2



s
s
s
;
603
.
0
364
.
0
2


 
 1
302
.
0
364
.
0
2 



 


Apply step change

















 




 

302
.
0
302
.
0
1
tan
603
.
0
302
.
0
1
sin
302
.
0
1
1
1
182
.
0
)
(
2
1
2
603
.
0
/
302
.
0
2
t
e
t
C t
 
 
4798
.
1
581
.
1
sin
049
.
1
1
182
.
0
)
( 5
.
0


 
t
e
t
C t
Taking inverse Laplace























1
2
1
1
2
2
5
1
1
2
1
2
s
s
s
U
C
 
 
 2
2
2
1
2
10
1
2
1
2
1





s
s
s
U
C
11
4
4
1
2
2
2 




s
s
s
U
C
s
s
U
1
)
(
2 
 
1
364
.
0
364
.
0
11
1
2
1
)
( 2





s
s
s
s
s
C
Unit step change in location 2.
   
1
364
.
0
364
.
0
11
1
1
364
.
0
364
.
0
11
2
)
( 2
2







s
s
s
s
s
s
s
s
C
 
1
364
.
0
364
.
0
091
.
0
1
364
.
0
364
.
0
182
.
0
2
2






s
s
s
s
s
 
 
478
.
1
581
.
1
sin
049
.
1
1
091
.
0
581
.
1
sin
302
.
0
1
1
603
.
0
1
182
.
0
)
( 5
.
0
5
.
0
2










 

t
e
t
e
t
C t
t
   
 
478
.
1
581
.
1
sin
049
.
1
1
091
.
0
581
.
1
sin
781
.
1
182
.
0
)
( 5
.
0
5
.
0



 

t
e
t
e
t
C t
t
Taking inverse Laplace



2
1
2
1 

f
603
.
0
302
.
0
1
2
1 2



251
.
0

 f
cycle
time
T /
97
.
3

Yes, the response equation will vary depend on the load variations in location 1
or location 2.
(a)Frequency of response is same for both location, because the denominator
has second order differential equation in both, So
)
(
)
(
)
(
0
s
sC
lt
t
C
lt
C
s
t 





 
1
364
.
0
364
.
0
182
.
0
2
0 



 s
s
s
s
lt
s
182
.
0
)
( 

 C
   



 C
R
offset 182
.
0
0

182
.
0


offset
(b) Offset:
For location 1
)
(
)
(
)
(
0
s
sC
lt
t
C
lt
C
s
t 





 
 
1
364
.
0
364
.
0
11
1
2
2
0 




 s
s
s
s
s
lt
s
091
.
0
1
11
1
)
( 


 C
   



 C
R
offset 091
.
0
0

091
.
0


offset
For location 2
So offset is different for the location 1 & location 2.
(c)Graph for “t” Vs “C(t)”
0
0.05
0.1
0.15
0.2
0.25
0.3
0 2 4 6 8 10
Location 1
Location 2

and
sec
10
min,
1
)
( 1 
 m
If
b 
 7
.
0

 0

D

sec
3

D

Problem 3:
A PD controller is used in a control system having a first order process and a
measurement lag as shown in Fig.
(a) Find the expressions for for the closed loop response.
, find KC so that for the two cases; (i)
(ii)
© Compare the offset and period realized for both cases and comment on the
advantage of adding the derivative mode.
 
  






























1
1
1
1
1
1
1
1
1
1
1
s
s
s
K
s
s
K
R
C
m
D
C
D
C





  
1
1
1
1
1
1
1
2
1


















C
D
C
m
C
m
m
D
C
C
K
K
s
s
K
s
s
K
K
R
C







C
m
C
m
K
K 




1
1
1
1
2 






and
C
m
K


1
1



Solve the above equation algebraically, we have
(a) The expressions for for the closed – loop response is

















C
D
C
m
m
C
D
C
m
K
K
K
K
1
2
1
1
2 1
1
1 





















C
D
C
m
m K
K
1
2
1 1
1






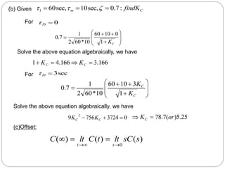
C
m findK
:
7
.
0
sec,
10
sec,
60
1 

 


0

D













C
K
1
0
10
60
10
*
60
2
1
7
.
0
166
.
3
166
.
4
1 


 C
C K
K
sec
3

D













C
C
K
K
1
3
10
60
10
*
60
2
1
7
.
0
0
3724
756
9
2


 C
C K
K 25
.
5
)
(
7
.
78 or
KC 

(b) Given
For
Solve the above equation algebraically, we have
For
Solve the above equation algebraically, we have
(c)Offset:
)
(
)
(
)
(
0
s
sC
lt
t
C
lt
C
s
t 





  
1
1
1
1
1
1
1
1
2
1
0




















C
D
C
m
C
m
m
D
C
C
s
K
K
s
s
K
s
s
K
K
s
s
lt







C
C
K
K
C




1
)
(
   



 C
R
offset
C
C
K
K



1
1
C
C
C
K
K
K




1
1
C
K
offset



1
1
24
.
0
166
.
3
1
1
:
166
.
3
,
0 



 theoffset
KC
D

013
.
0
7
.
78
1
1
:
7
.
78
:
25
.
5
)
(
7
.
78
sec,
3
,






offset
K
or
K
For
C
C
D

Step change is applied
For
Thus adding the derivative mode to the proportional action, the offset is
decreased.
16
.
0
25
.
5
1
1
:
25
.
5 


 offset
KC






















s
s
s
K
s
U
C
C
1
1
25
.
0
1
1
1
Problem 4:
•For the control system in Fig. Obtain the closed loop transfer C/U.
•Find the value of proportional gain for which closed loop has a damping coefficient is
2.3.
•Find the offset for a unit step change in U if KC = 4.
The transfer function for closed loop
Solve the above equation algebraically, we have
 
1
1
25
.
0
1
25
.
0
1
2








 



C
C
C
C
K
K
s
s
K
s
K
U
C
 
)
1
(
1
1
25
.
0
1
25
.
0
1
2












 



C
C
C
C
K
K
s
s
K
s
K
U
C
3
.
2


C
K
25
.
0









 


C
C
K
K
1
2
1
3
.
2

339
.
0
)
(
95
.
2
0
1
29
.
3
2
or
K
K
K C
C
C 




(a) The transfer function for the closed loop system is
(b) Find the value of KC at from equation (1)
Solve the above equation we have
4
;
1
)
(
)
( 
 C
K
s
s
U
c
 
1
4
5
4
25
.
0
1
25
.
0
4
1
1
)
(
2











s
s
s
s
s
C







 




C
C
C
C
K
K
K
K 1
2
1
1
2



)
(
)
(
)
(
0
s
sC
lt
t
C
lt
C
s
t 





 
1
4
1
1
4
5
4
25
.
0
1
25
.
0
4
1
1
2
0














s
s
s
s
s
lt
s
25
.
0
)
( 

 C
   



 C
R
offset 25
.
0
0 

25
.
0


offset
Problem 5:
For the control system shown in Fig with R = 2/s, Determine (i) C (s) / R (s) (ii)
C(∞) (iii) offset (iv) C(0.5) (v) Whether closed loop response is oscillatory? (MAY
2013 & R2007, NOVEMBER 2012 & R2008, NOVEMBER 2011 & R2007)
 
 
1
2
2
1
1
2
2
)
(
)
(






s
s
s
s
s
R
s
C
(i) The transfer function for closed loop
1
25
.
0
25
.
0
1
)
(
)
(
2



s
s
s
R
s
C
)
(
)
(
)
(
)
(
0
s
sC
lt
t
C
lt
C
ii
s
t 





2
1
25
.
0
25
.
0
1
2
2
0






 s
s
s
s
lt
s
2
)
( 

 C
   



 C
R
offset
iii)
( 2
2 
 0

offset
1
25
.
0
25
.
0
1
)
(
)
(
)
( 2



s
s
s
R
s
C
iv
Solve the above equation algebraically, we have
We know R(s) = 2/s
5
.
0
25
.
0
2


 

,
1
25
.
0 


25
.
0
25
.
0
2 

 
















 




 

25
.
0
25
.
0
1
tan
5
.
0
25
.
0
1
sin
25
.
0
1
1
1
2
)
(
2
1
2
5
.
0
/
25
.
0
2
t
e
t
C t
 
 
318
.
1
936
.
1
sin
033
.
1
1
2
)
( 5
.
0


 
t
e
t
C t
7853
.
0
)
5
.
0
( 
C
1
25
.
0
)
( 


v
The response equation is
Therefore, The closed loop response is oscillatory behavior.
Stability:
 A stable system will be defined as one for which the output response is bounded
for all bounded inputs.
 A system exhibiting an unbounded response to a bounded input is unstable. This
definition although somewhat loose is adequate for most of the linear systems and
simple inputs.
 Bounded is an input that always remains between an upper and a lower limit.
)
controller
(
1
5
.
0
10
1 PI
s
s
G


tank)
(
1
2
1
2 stirred
s
G


)
(
1 lag
without
element
measuring
H 
Example 1:
In terms of fig, a control system has the transfer functions
We have suggested a physical element by the components placed in
parentheses. Find the characteristic equation and its rots and determine the system is
stable.
Step 1:
Open loop transfer function
)
1
2
(
)
1
5
.
0
(
10
2
1




s
s
s
H
G
G
G
0
)
1
2
(
)
1
5
.
0
(
10
1
0
1 






s
s
s
G
0
5
3
2


 s
s
2
18
2
3 



s
Step 2:
The characteristic equation, 1 + G = 0
Solving by the quadratic formula
Since the real part of S1 & S2 is negative (-3/2), the system is stable.
Example:1
Given the characteristic equation 0
2
4
5
3 2
3
4




 s
s
s
s
Determine the stability by the Routh criterion.
Solution:
Since all the coefficients are positive, the system may be stable. To test this,
form the Routh array
Row
3
4
15
1


b
3
0
6
2


b
3
11
6
3
44
1


c
11
26
0
2
*
11
26
1


d
Since there is no change in sign in the first column, there are no roots
having positive real parts, and the system is stable.
3
11
 2

11
26
 2

3
1
and
2
1
,
1 3
2
1 

 


)
1
(
0
)
1
3
)(
1
2
)(
1
(
1 











s
s
s
KC
-(2)
-
-
-
-
-
-
-
0
)
1
(
6
11
6 2
3




 C
K
s
s
s
Example: 2
Using
determine the values for KC for which the control system is stable. (b) For the value of
KC for which the system is on the threshold of instability, determine the roots of the
characteristic equation with the help of theorem 3.
Solution:
The characteristic equation, 1 + G = 0 becomes
Substituting the time constants and solving algebraically,
Routh array table:
Row
C
K
10
and
0
10 

 C
C K
K
10

C
K
Since the proportional sensitivity of the controller
is a positive quantity, we see that the fourth entry in the first column, 6(1+ KC) is
positive. According to Theorem 1, all the elements of the first column must be positive
for stability. Hence
It is concluded that the system will be stable only if
10
, 
C
K
At
0
2

 D
Cs
the system is on the verge of instability and the element in the nth row of the array is
zero. According to Theorem 3, the location of the imaginary roots is obtained by
solving.
10

C
K
0
66
6 2


s 66
6 2


 s 11
i
s 


Where C and D are the elements in the (n-1)st row. For this problem with
we obtain,
11 11

(3)
-
-
-
-
-
-
-
-
-
-
-
0
)
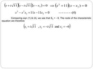
)(
)(
( 3
2
1 


 s
s
s
s
s
s
Therefore, two of the roots on the imaginary axis are located at and
The third root can be found by expressing eqn (2) in factored form
Where s1, s2 & s3 are the roots. Introducing the two imaginary roots  
11
and
11 2
1 i
s
i
s 


into eqn (3) and multiplying out the terms give
    0
11
11 3 


 s
s
i
s
i
s   0
)
(
11 3
2



 s
s
s
-(4)
-
-
-
-
-
-
-
0
11
11 3
3
2
3



 s
s
s
s
s
 
6
and
11
,
11 3
2
1 



 s
i
s
i
s
Comparing eqn (1) & (4), we see that S3 = - 6. The roots of the characteristic
equation are therefore

Closed loop control systems block diagrams

  • 1.
    UNIT II CLOSEDLOOP CONTROLSYSTEMS Open loop system : Manual mode of Operation Closed loop system  Auto mode of Operation Syllabus:  Development of block diagram for feed-back control systems  Servo and regulator problems in closed-loop control system  Transfer function for controllers and final control element  Principles of pneumatic and electronic controllers  Transient response of closed-loop control systems  Stability of closed-loop control system  Transportation lag
  • 2.
  • 3.
    Representation of alinear system  System without controller(Open loop) Pictorial representation Mathematical representation Nth order differential equation N first order differential equations matrix differential equation Transfer function  Block diagram representation System with controller(Closed loop) Feed-back control systems Positive feed back Negative feedback
  • 4.
    Process ( Stirred– tank heater ) Measuring element (thermometer)  Controller(P,PI,PID Controllers)  Final control element(Power driver/Control valve) Components of a control system Heating system with process control components:
  • 5.
    Servo problem: No changein load [Ti] and Changes only in set point[TR] Regulatory problem: No change in set point[TR ] and Changes only in set point load [Ti] Closed loop block diagram of a simple feed back control system: CONTinued… TR
  • 6.
     Each blockrepresents the functional relationship existing between the input and output of a particular component.  Variables selected In block diagram representations of control systems are deviation variables  The transfer function relating the input – output pair of variables are placed inside of each block  Individual components blocks are combined to give the overall block diagram.  Process have two input variables and one output variable.  Procedure of developing transfer function for the process is similar to other components DEVELOPMENT OF BLOCK DIAGRAM
  • 7.
    ) 2 ( ) ( 1 ) ( ) ( 1 1 ' '          s T s s T s Q s wC i   ) 10 ( 1 1 ) ( ) ( '        s wC s Q s T  If thereis a change in Q (t) only, then Ti’ (t) = 0 and the transfer function relating T’ to Q ) 11 ( 1 1 ) ( ) ( ' '        s s T s T i      ) 1 (           dt dT CV T T wC T T wC q o o i    ) 12 ( ) ( ) ( 1 1 ) ( ' '          s wCT s Q s wC s T i  Energy balance on stirred tank heater If there is a change in Ti’ (t) only, then Q (t) = 0 and the transfer function relating T’ to Ti’
  • 8.
    Measuring element: 1 1 ) ( ) ( ' '   s s T s T m m  Block diagramof heating process: Summer: Error, ϵ = TR – Tm Continued…
  • 9.
    int ; , 0 Rm R C T T T setpo Temperature K Controllergain A Heatinput when         ) 2 (        S S m S R T T T ) 3 ( '         s    ) 4 ( 0         S S m R S T T   Controller and the final control element are combined into one block  For the combined block, Input is error and output is heat  Controller used in the block is proportional controller At steady state, Let ϵ’ be the deviation variable The relationship for a proportional controller ) 1 (       A K q C ) 5 ( '          Controller and Final Control Element(FCE): CONTinued…
  • 10.
    A K q S C S   A   0 A qS   S C q K q     C S K q q    ) 6 (         C K Q ) 7 ( ) ( ) (       s K s Q C , '    ) 8 ( ' '        m R T T  ) 9 ( ) ( ) ( ) ( ' '        s T s T s m R  At steady state, equation (1) becomes Taking Laplace on both sides Block diagram of Proportional controller and FCE: CONTinued…
  • 11.
    Block diagram gives: Relationship among the process control components  Feedback relationship between measured variable & desired variable Block diagram of servo and regulatory problem Summary of block diagram closed loop control system: CONTinued…
  • 12.
    Pneumatic control valve: ControlValve (FINAL CONTROL ELEMENT)  Selection of the type of valve is made based on safety considerations  Example: air – to – close Control valve is used in controlling the inlet flow of cooling water to a cooling jacket on an exothermic chemical reactor Selection of the type of valve:
  • 13.
    Electronic control valve: CONTinued… Control valve consists of an actuator and a valve.  Control valve itself is divided into the body and trim.  The body consists of housing for mounting the actuator  Valve Connections for attachment to a supply and delivery line.
  • 14.
    Block diagram oftransducer, Controller and Converter in Electronic control valve: CONTinued… 1 ) ( ) (   s K s P s Q v v  Kv -- Steady state gain (Constant of proportionality between steady state flow rate and valve top pressure) is the time constant of the valve (Time constant of the valve is very small, then it is negligible. v K s P s Q  ) ( ) ( Ideal Transfer functions of Pneumatic Control valve: v 
  • 15.
    Difference between pneumaticand electronic controllers: The choice between electronic and pneumatic control will probably be decided by the relative costs of installation and maintenance and the reliability of the instruments. Pneumatic and Electronic controllers
  • 17.
    Controllers:  Input tothe controller is error signal (ϵ)  Output of the controller is pneumatic signal (P)  Transducer and converter are combined with the controller for simplicity Types of Controllers:  Proportional control  Proportional integral control  Proportional derivative control  Proportional integral derivative control CONVENTIONAL CONTROLLERS
  • 18.
    0 Pr int ,(4) t C C s I K oportional egralcontroller p K dt p             ) ( tan min , int lg , ue thebiasval t cons p egraltime ain a proportion K where s I C      Integral control mode is introduced to eliminate the residual error  It is termed as PI or proportional-integral control The integral mode ultimately drives the error to zero  The values of Kc and τI are both adjustable ) 5 ( ) (        s I C C p K K t p  s p p P   PROPORTIONAL – INTEGRAL (PI) CONTROL
  • 19.
    I C K  / ) 6 ( 1 1 ) ( ) ( , int Pr                s K s s P n ferfunctio ollertrans egralcontr oportional I C   To visualize the step response , Unit step change in error (ϵ =1) is given  ‘p’ changes suddenly by an amount Kc and linearly with  Reciprocal of is called as reset rate I  Step response of PI Controller: CONTinued… Transfer function for this controller:
  • 20.
    ) 7 ( , Pr         s D C Cp dt d K K p controller derivative oportional    ) ( tan min , , value bias the t cons p time derivative gain al proportion K where s D C     PROPORTIONAL – DERIVATIVE (PD) CONTROL  Derivative control mode is introduced to reduce the process oscillations  It is termed as PD or proportional- derivative control The values of Kc and τD are both adjustable ) 8 ( ) (        s D C C p AK AK t p  s p p P  
  • 21.
     To visualizeits response , a linear change in error is given [ ]  ‘p’ changes suddenly by an amount AKC τD and linearly with AKC. At t  ) (    ) 9 ( 1 ) ( ) ( , Pr        s K s s P nction transferfu controller derivative oportional D C   Step response of PD Controller: CONTinued… Transfer function for this controller:
  • 22.
    ) 10 ( , int Pr 0            s t I C D C Cp dt K dt d K K p controller derivative egral oportional      ) 11 ( 1 1 ) ( ) ( , int Pr                  s s K s s P nction transferfu controller derivative egral oportional I D C    Transfer function for this controller:  Derivative control action is based on how rapidly the error is changing  Rapidly changing error signal will induce a large derivative response.  Derivative control should be avoided for “Noisy” error signals.  Integral control action will give error free process output PROPORTIONAL – INTEGRAL - DERIVATIVE (PID) CONTROL  It is a combination of the integral and derivative control mode  It is termed as PID or proportional- integral - derivative control The values of Kc , τI and τD are adjustable
  • 23.
     A specialcase of proportional control is ON/OFF control  For maximum gain Kc , the valve will move from one extreme position to other even for a slight deviation in set point. i.e. the valve acts as a switch.  In practice, a dead band is inserted into the controller. With a dead band, the error reaches some finite positive value before the controller “turns on”.  Conversely, the error must fall to some finite negative value before the controller “turns off”. Step response of ON-OFF Controller: ON/OFF CONTROL
  • 24.
    Step response ofall type of Controllers: CONTinued…
  • 25.
    Closed loop blockdiagram: ϵ = Error GC = Transfer function of controller G1 = Transfer function of FCE G2 = Transfer function of Process H = TF of measuring element CLOSED LOOP TRANSFER FUNCTIONS B = measured Variable M = Manipulated variable U = Load variable or disturbance R = Set point or desired value C = Controlled variable
  • 26.
    Block diagram ofservo problem :  Several Transfer Functions in series are simplified as product of individual TF  G = GCG1G2 Block diagram reduction : Continued… ) 1 (       G C ) 2 (      HC B ) 3 (       B R  Solving these three equations simultaneously , C in terms of R are obtained
  • 27.
    ) ( B R G C   ) (HC R G C    GHC GR C    GR GH C    ) 1 ( ) 4 ( 1       GH G R C Continued… Overall closed loop transfer function : Overall closed loop block diagram :
  • 28.
    ) 5 ( ) ( 2        M U G C ) 6 ( 1       G G M C ) 7 (       HC B ) 8 (        B  ) ( 1 2  G G U G C C    ) ( 1 2 HC G G U G C C     HC G G G U G C C 2 1 2    U G GH C 2 ) 1 (   ) 9 ( ) 1 ( 2        GH G U C Continued… Block diagram of regulatory problem : Solving these four equations simultaneously , C in terms of U are obtained
  • 29.
    ) 10 ( ) ( 1        feedback Negative X Y l f   GH G H G G G G G G R C C C     1 1 2 1 2 1 ) 11 ( ) ( 1       feedback Positive X Y l f    Transfer function relating any pair of variables X, Y Where, πf = Product of transfer functions in the path between the locations of the signals X and Y. πl = Product of all transfer functions in the loop.(ie. πl = GCG1G2H)  Overall Transfer Function based on the block diagram reduction rule Block diagram reduction rule
  • 30.
    wC 1 TRANSIENT RESPONSE OFSIMPLE CONTROL SYSTEMS
  • 31.
    C C K G     ) 1 ( 1 1 1 ' '          s A K s A K T T C C R   A K s A K T T C C R     1 ' '               1 1 1 ' ' s A K A K A K T T C C C R    ) 2 ( 1 ' 1 1 '         s A T T R  For proportional control, A K A K A K A C C C     1 & 1 1 1   Servo Response with P Controller Let,     ) 3 ( ' '         T T offset R A K A K A K A K A K C C C C C        1 1 1 1 ) 4 ( 1 1       A K offset C
  • 32.
    0 '  R T     1 1 1 1 ' '     s A K s T T C i   A K s T T C i    1 1 ' '  1 1 1 1 ' '      s A K A K T T C C i  A K A K A C C     1 & 1 1 1 2     1 ' 1 2 '    s A T T i  Let, REGULATORY RESPONSE WITH P CONTROLLER         ' ' T T offset R A KC    1 1 0 A K offset C    1 1   offset KC In Proportional control, In regulatory problem,
  • 33.
    1 1 C C I G K s           ) 1 ( 1 1 1 1 1 1 ' '                   s A s K s T T I C i                s s s A K s s s I I C I       1 1 1 1 1              1 1     s A K s s s I C I I     A K s A K s s s C I C I I I         2   A K A K s s s C C I I I     1 2    ) 2 ( 1 1 1 ' 2 '                                 A K s s A K s A K T T C I C I C I i    Overall transfer function for load change: REGULATORY Response with PI Controller PI Controller transfer function is given as
  • 34.
    ) 4 ( ); 3 ( 2 1 1 1              A K A K A K A C I C I C I                1 1 21 A KC I              1 1 2 A K A K C I C I               A K A K A K A K C C C I I C I 1 2      ) 5 ( 1 2 1               A K A K C C I    Let, Substitute equation (3), (4) & (5) in equation (2) ) 6 ( 1 2 ' 1 2 2 1 1 '         s s s A T T i   Continued…
  • 35.
    1 2 1 ' 1 2 2 1 1     s s s A s T   ) 7 ( 1 2 ' 1 2 2 1 1         s s A T   1   ) 8 ( 1 sin 1 1 1 1 2 / 2 1 1 '                          t e A Tt For a unit step change in load{ }in equation (6) gives  Eqn (7), response of the tank temperature to an impulse function of magnitude A1. The impulse response of this system for s Ti 1 '  Continued…
  • 36.
       ' ' 0 0 0 R offset T T        One of the most important advantages of PI control is the elimination of offset. The effect of on the unit step response : I C K  & Continued…
  • 37.
    Concept of stability: If the system less (or) equal to second order, the response of system is inherently stable.  If the system is higher than second order, the problem of stability in a control system is slightly more complicated. Stability criterion:  A linear control system is unstable if any roots of its characteristic equation are on or to the right of the imaginary axis. Otherwise the system is stable.  The characteristic equation is 1 + G = 0. Where,  The characteristic equation of a control system determines its stability and is the same for set point or load changes. H G G G 2 1  STABILITY OF CLOSED LOOP SYSTEM
  • 38.
    . 1 C G R GH   Continued… Closedloop block diagram and Transfer function: Location of the roots of the Characteristic equation of the system, 1 + GH = 0
  • 39.
     Routh testis a purely algebraic method for determining how many roots of the characteristic equation have positive real parts  In the characteristic equation, if there are no roots with positive real parts, the system is stable.  The test is limited to systems that have polynomial characteristic equations and not suitable for the system with transportation lag.  To check the roots of the given system, Write the characteristic equation in the form of , Where, a0 is positive.  If any coefficient is negative, the system is definitely unstable and the Routh test is not needed to answer the question of stability.  If all the coefficients are positive, the system may be stable (or) unstable. 1 2 0 1 2 0 n n n n a s a s a s a        ROUTHTEST FOR STABILITY
  • 40.
  • 41.
  • 42.
    Example: 1 Determine thetransfer functions C/R, C/U1 and B/U2 for the system show in Fig. Also determine an expression for C in terms of R and U1 for the situation when both set-point change and load change occur simultaneously. Using the rule given by equation (10) we obtain by inspection the results. ) 12 ( 1 ) ( 2 1 3 2 1 3 2 1        H H G G G G G G G G R C i C C 2 1 3 2 1 & , 1 H H H G G G G G Where GH G C     ) 13 ( 1 ) ( 3 2 1         GH G G U C ii ) 14 ( 1 ) ( 2 1 3 2        GH H H G U B iii
  • 43.
    and R GH G G G G C C ) 15 ( 1 3 2 1        ) 17 ( 1 1 1 3 2 3 2 1          U GH G G R GH G G G G CC For separate changes in R and U1, we may obtain the response C from equation (12) & (13) If both R and U1 occur simultaneously the principle of super position requires that the overall response be the sum of the individual responses Overall transfer function for Multi loop control systems: To illustrate how one obtains the overall transfer function for a multi loop system, in which the method used is to reduce the block diagram to a single –loop diagram by application of the rules summarized by positive feed back and negative feed back equation. ) 16 ( 1 1 3 2         U GH G G C
  • 44.
    Step: 1 Reducingthe inner loop and we may also combine G2 & G3 into a single block Step: 2 Single loop can be converted into single block. 1 1 1 1 H G G G G G G R C b a C b a C   1 3 2 1 1 1 H G G G G G U C b a C   1 3 2 1 1 H G G G G U C b a C   1 1 3 2 1 1 H G G G H G U B b a C   Example: 2 Determine the transfer functions C/R for the system show in Fig. This block diagram represents a cascade control system, which will be discussed later.
  • 45.
    ) 1 ( 1 1 ) ( ) (                 s s K s s P I D C    ) 2 ( 1 5 . 0 1 10 ) ( ) (             s s s s P  Problem: 3 A unitstep change in error is introduced into a PID controller. If KC = 10, τ1 =1 and τD = 0.5. Plot the response of the controller P (t). Solution: WKT, the transfer function for PID controller is Given Data: KC = 10, τ1 =1, τD = 0.5 Substitute the above value in equation (1) s s stepchange unit 1 ) (     5 10 10 ) ( 1 5 . 0 1 10 ) ( 2              s s s P s s s s P Substitute the above value in equation (2) ) 3 ( 10 10 5 ) ( 2         s s s P   ) 4 ( 1 10 ) (       t t P Taking inverse Laplace 0 20 40 60 80 100 120 0 5 10 15 t Vs P(t) P(t)
  • 46.
    Problem 1: The setpoint of the control system shown in Fig A is given a step change of 0.1 unit. Determine: (i) the maximum value of C and the time at which it occurs (ii) the offset (iii) the period of oscillation. Draw a sketch of C (t) as a function of time. (NOVEMBER 2012 & R2007) The transfer function for the given system is       1 2 1 5 6 . 1 1 1 2 1 5 6 . 1         s s s s R C            1 2 1 8 1 2 1 1 2 1 8         s s s s s s 8 1 2 2 8 2      s s s 1 333 . 0 222 . 0 889 . 0 2    s s R C 9 3 2 8 2    s s
  • 47.
    471 . 0 222 . 0 2      1 354 . 0 354 . 0 471 . 0 2 333 . 0 333 . 0 2             s s R t R 1 . 0 ) ( 1 . 0 ) (    1 333 . 0 222 . 0 889 . 0 1 . 0 2     s s s C                                 2 1 2 / 2 1 tan 1 sin 1 1 1 0889 . 0 t e C t                           354 . 0 354 . 0 1 tan 471 . 0 354 . 0 1 sin 354 . 0 1 1 1 0889 . 0 2 1 2 471 . 0 / 354 . 0 2 t e C t     ) 1 ( 209 . 1 986 . 1 sin 069 . 1 1 0889 . 0 752 . 0          t e C t So the response equation is at under damped condition. Step change is
  • 48.
    2 1          p t min 581 . 1 354 . 0 1 471 . 0 2       p t min 581 . 1  p t      209 . 1 581 . 1 986 . 1 sin 069 . 1 1 0889 . 0 581 . 1 752 . 0 max       e C 117 . 0 m ax  C         C R offset ii) ( ) ( ) ( ) ( 0 s sC lt t C lt C s t         1 333 . 0 222 . 0 0889 . 0 2 0      s s s s lt s 1 0889 . 0  0889 . 0 ) (    C 0111 . 0 0889 . 0 1 . 0    offset (i) Maximum value of ‘C’ occurs at peak time tp: At ,the maximum value of “C” can be substituted in equation (1)    2 1 2 1   f 316 . 0   f 163 . 3 316 . 0 1 1     f T 163 . 3  T (iii) Period of oscillation: Period of oscillation, Graph is plotted between “t” Vs “C(t)” 0 0.02 0.04 0.06 0.08 0.1 0.12 0 5 10 t Vs C(t) t C(t) time units
  • 49.
    Problem 2: The locationof a load change in a control loop may affect the system response. In the block diagram shown in Fig C. a unit-step change in load enters at either location 1 or location 2. (a) What is the frequency of the transient response when the load enters at location 1 and when the load enters at location 2? (b) What is the offset when the load enters at location 1 and when it enters at location 2? (c) Sketch the transient response to a step change in U1 and to a step change in U2. (NOVEMBER 2013 & R2007, NOVEMBER 2012 & R2008, MAY 2012 & R 2008)                               1 2 1 1 2 2 5 1 1 2 1 1 2 2 1 s s s s U C
  • 50.
          2 2 2 1 1 2 10 1 2 1 2 2      s s s U C 11 4 4 2 2    s s s s U 1 ) ( 1  11 4 4 2 1 2     s s s C 1 11 4 11 4 11 2 1 2     s s s   1 364 . 0 364 . 0 182 . 0 2    s s s ; 603 . 0 364 . 0 2      1 302 . 0 364 . 0 2         Apply step change                           302 . 0 302 . 0 1 tan 603 . 0 302 . 0 1 sin 302 . 0 1 1 1 182 . 0 ) ( 2 1 2 603 . 0 / 302 . 0 2 t e t C t     4798 . 1 581 . 1 sin 049 . 1 1 182 . 0 ) ( 5 . 0     t e t C t Taking inverse Laplace
  • 51.
                           1 2 1 1 2 2 5 1 1 2 1 2 s s s U C     2 2 2 1 2 10 1 2 1 2 1      s s s U C 11 4 4 1 2 2 2      s s s U C s s U 1 ) ( 2    1 364 . 0 364 . 0 11 1 2 1 ) ( 2      s s s s s C Unit step change in location 2.     1 364 . 0 364 . 0 11 1 1 364 . 0 364 . 0 11 2 ) ( 2 2        s s s s s s s s C
  • 52.
      1 364 . 0 364 . 0 091 . 0 1 364 . 0 364 . 0 182 . 0 2 2       s s s s s    478 . 1 581 . 1 sin 049 . 1 1 091 . 0 581 . 1 sin 302 . 0 1 1 603 . 0 1 182 . 0 ) ( 5 . 0 5 . 0 2              t e t e t C t t       478 . 1 581 . 1 sin 049 . 1 1 091 . 0 581 . 1 sin 781 . 1 182 . 0 ) ( 5 . 0 5 . 0       t e t e t C t t Taking inverse Laplace    2 1 2 1   f 603 . 0 302 . 0 1 2 1 2    251 . 0   f cycle time T / 97 . 3  Yes, the response equation will vary depend on the load variations in location 1 or location 2. (a)Frequency of response is same for both location, because the denominator has second order differential equation in both, So
  • 53.
    ) ( ) ( ) ( 0 s sC lt t C lt C s t         1 364 . 0 364 . 0 182 . 0 2 0     s s s s lt s 182 . 0 ) (    C         C R offset 182 . 0 0  182 . 0   offset (b) Offset: For location 1 ) ( ) ( ) ( 0 s sC lt t C lt C s t           1 364 . 0 364 . 0 11 1 2 2 0       s s s s s lt s 091 . 0 1 11 1 ) (     C         C R offset 091 . 0 0  091 . 0   offset For location 2 So offset is different for the location 1 & location 2. (c)Graph for “t” Vs “C(t)” 0 0.05 0.1 0.15 0.2 0.25 0.3 0 2 4 6 8 10 Location 1 Location 2
  • 54.
     and sec 10 min, 1 ) ( 1  m If b   7 . 0   0  D  sec 3  D  Problem 3: A PD controller is used in a control system having a first order process and a measurement lag as shown in Fig. (a) Find the expressions for for the closed loop response. , find KC so that for the two cases; (i) (ii) © Compare the offset and period realized for both cases and comment on the advantage of adding the derivative mode.                                    1 1 1 1 1 1 1 1 1 1 1 s s s K s s K R C m D C D C     
  • 55.
       1 1 1 1 1 1 1 2 1                   C D C m C m m D C C K K s s K s s K K R C        C m C m K K     1 1 1 1 2        and C m K   1 1    Solve the above equation algebraically, we have (a) The expressions for for the closed – loop response is                  C D C m m C D C m K K K K 1 2 1 1 2 1 1 1                       C D C m m K K 1 2 1 1 1      
  • 56.
    C m findK : 7 . 0 sec, 10 sec, 60 1      0  D              C K 1 0 10 60 10 * 60 2 1 7 . 0 166 . 3 166 . 4 1     C C K K sec 3  D              C C K K 1 3 10 60 10 * 60 2 1 7 . 0 0 3724 756 9 2    C C K K 25 . 5 ) ( 7 . 78 or KC   (b) Given For Solve the above equation algebraically, we have For Solve the above equation algebraically, we have (c)Offset: ) ( ) ( ) ( 0 s sC lt t C lt C s t      
  • 57.
       1 1 1 1 1 1 1 1 2 1 0                     C D C m C m m D C C s K K s s K s s K K s s lt        C C K K C     1 ) (        C R offset C C K K    1 1 C C C K K K     1 1 C K offset    1 1 24 . 0 166 . 3 1 1 : 166 . 3 , 0      theoffset KC D  013 . 0 7 . 78 1 1 : 7 . 78 : 25 . 5 ) ( 7 . 78 sec, 3 ,       offset K or K For C C D  Step change is applied For Thus adding the derivative mode to the proportional action, the offset is decreased. 16 . 0 25 . 5 1 1 : 25 . 5     offset KC
  • 58.
                          s s s K s U C C 1 1 25 . 0 1 1 1 Problem 4: •For thecontrol system in Fig. Obtain the closed loop transfer C/U. •Find the value of proportional gain for which closed loop has a damping coefficient is 2.3. •Find the offset for a unit step change in U if KC = 4. The transfer function for closed loop Solve the above equation algebraically, we have   1 1 25 . 0 1 25 . 0 1 2              C C C C K K s s K s K U C
  • 59.
      ) 1 ( 1 1 25 . 0 1 25 . 0 1 2                  C C C C K K s s K s K U C 3 . 2   C K 25 . 0             C C K K 1 2 1 3 . 2  339 . 0 ) ( 95 . 2 0 1 29 . 3 2 or K K K C C C      (a) The transfer function for the closed loop system is (b) Find the value of KC at from equation (1) Solve the above equation we have 4 ; 1 ) ( ) (   C K s s U c   1 4 5 4 25 . 0 1 25 . 0 4 1 1 ) ( 2            s s s s s C              C C C C K K K K 1 2 1 1 2   
  • 60.
    ) ( ) ( ) ( 0 s sC lt t C lt C s t         1 4 1 1 4 5 4 25 . 0 1 25 . 0 4 1 1 2 0               s s s s s lt s 25 . 0 ) (   C         C R offset 25 . 0 0   25 . 0   offset Problem 5: For the control system shown in Fig with R = 2/s, Determine (i) C (s) / R (s) (ii) C(∞) (iii) offset (iv) C(0.5) (v) Whether closed loop response is oscillatory? (MAY 2013 & R2007, NOVEMBER 2012 & R2008, NOVEMBER 2011 & R2007)     1 2 2 1 1 2 2 ) ( ) (       s s s s s R s C (i) The transfer function for closed loop
  • 61.
    1 25 . 0 25 . 0 1 ) ( ) ( 2    s s s R s C ) ( ) ( ) ( ) ( 0 s sC lt t C lt C ii s t       2 1 25 . 0 25 . 0 1 2 2 0        s s s s lt s 2 ) (   C         C R offset iii) ( 2 2   0  offset 1 25 . 0 25 . 0 1 ) ( ) ( ) ( 2    s s s R s C iv Solve the above equation algebraically, we have We know R(s) = 2/s 5 . 0 25 . 0 2      , 1 25 . 0    25 . 0 25 . 0 2     
  • 62.
                            25 . 0 25 . 0 1 tan 5 . 0 25 . 0 1 sin 25 . 0 1 1 1 2 ) ( 2 1 2 5 . 0 / 25 . 0 2 t e t Ct     318 . 1 936 . 1 sin 033 . 1 1 2 ) ( 5 . 0     t e t C t 7853 . 0 ) 5 . 0 (  C 1 25 . 0 ) (    v The response equation is Therefore, The closed loop response is oscillatory behavior. Stability:  A stable system will be defined as one for which the output response is bounded for all bounded inputs.  A system exhibiting an unbounded response to a bounded input is unstable. This definition although somewhat loose is adequate for most of the linear systems and simple inputs.  Bounded is an input that always remains between an upper and a lower limit.
  • 63.
    ) controller ( 1 5 . 0 10 1 PI s s G   tank) ( 1 2 1 2 stirred s G   ) ( 1lag without element measuring H  Example 1: In terms of fig, a control system has the transfer functions We have suggested a physical element by the components placed in parentheses. Find the characteristic equation and its rots and determine the system is stable. Step 1: Open loop transfer function ) 1 2 ( ) 1 5 . 0 ( 10 2 1     s s s H G G G 0 ) 1 2 ( ) 1 5 . 0 ( 10 1 0 1        s s s G 0 5 3 2    s s 2 18 2 3     s Step 2: The characteristic equation, 1 + G = 0 Solving by the quadratic formula Since the real part of S1 & S2 is negative (-3/2), the system is stable.
  • 64.
    Example:1 Given the characteristicequation 0 2 4 5 3 2 3 4      s s s s Determine the stability by the Routh criterion. Solution: Since all the coefficients are positive, the system may be stable. To test this, form the Routh array Row 3 4 15 1   b 3 0 6 2   b 3 11 6 3 44 1   c 11 26 0 2 * 11 26 1   d Since there is no change in sign in the first column, there are no roots having positive real parts, and the system is stable. 3 11  2  11 26  2 
  • 65.
    3 1 and 2 1 , 1 3 2 1      ) 1 ( 0 ) 1 3 )( 1 2 )( 1 ( 1             s s s KC -(2) - - - - - - - 0 ) 1 ( 6 11 6 2 3      C K s s s Example: 2 Using determine the values for KC for which the control system is stable. (b) For the value of KC for which the system is on the threshold of instability, determine the roots of the characteristic equation with the help of theorem 3. Solution: The characteristic equation, 1 + G = 0 becomes Substituting the time constants and solving algebraically, Routh array table: Row
  • 66.
    C K 10 and 0 10    C CK K 10  C K Since the proportional sensitivity of the controller is a positive quantity, we see that the fourth entry in the first column, 6(1+ KC) is positive. According to Theorem 1, all the elements of the first column must be positive for stability. Hence It is concluded that the system will be stable only if 10 ,  C K At 0 2   D Cs the system is on the verge of instability and the element in the nth row of the array is zero. According to Theorem 3, the location of the imaginary roots is obtained by solving. 10  C K 0 66 6 2   s 66 6 2    s 11 i s    Where C and D are the elements in the (n-1)st row. For this problem with we obtain, 11 11  (3) - - - - - - - - - - - 0 ) )( )( ( 3 2 1     s s s s s s Therefore, two of the roots on the imaginary axis are located at and The third root can be found by expressing eqn (2) in factored form Where s1, s2 & s3 are the roots. Introducing the two imaginary roots   11 and 11 2 1 i s i s    into eqn (3) and multiplying out the terms give
  • 67.
       0 11 11 3     s s i s i s   0 ) ( 11 3 2     s s s -(4) - - - - - - - 0 11 11 3 3 2 3     s s s s s   6 and 11 , 11 3 2 1      s i s i s Comparing eqn (1) & (4), we see that S3 = - 6. The roots of the characteristic equation are therefore