Carbon dioxide transport
Carbon dioxide transport
Carbon dioxide is transported in the blood in three
ways:
(i) dissolved in solution(5%)
(ii) buffered with water as carbonic acid(85%)
(iii) bound to proteins, particularly haemoglobin(10%)
Carbon dioxide transport
• Dissolved carbon dioxide
• Carbon dioxide is 20 times more soluble than oxygen;
– causes CO2 to diffuse more readily than oxygen
• Pco2 is 5.3 KPa in arterial blood and 6.1 kPa in mixed venous
blood
• A cardiac output of 5 litre min1 will carry 150 ml of dissolved
carbon dioxide to the lung, of which 25 ml will be exhaled.
Carbon dioxide transport
Carbon dioxide transport
Cont..
Cont..
The Haldane effect
• This phenonomen refers to the increased ability of blood to
carry CO2 when haemoglobin is deoxygenated.
• Deoxyhaemoglobin is 3.5 times more effective than
oxyhaemaglobin in forming carbamino compounds.
• Correspondingly, oxygenation of Hb causes the reverse effect,
– Displacing H+ and CO2, thus facilitating the ‘unloading’ of CO2 in the
lungs.
Effect of co2 excess
• Central nervous system:-
 increase blood flow to the brain
 Increase cerebral volume
 raise intracranial pressure
Signs:-= headache
= nausea
= vomiting
= coma
Cont..
• Respiratory system:
 stimulate directly and reflex
 if the pressure of co2 in the blood stream rises by 1.5mmHg
the tidal volume is doubled
 shift oxyhemoglobin dissociation curve to the right
• Cardiovascular system:
 co increase by direct effect of co2
 HR increase and irregular
 peripheral resistance increase
 BP rise at first
Cont..
Causes of hypercapnia in anesthesia
• Respiratory obstruction causing inadequate ventilation
• Inadequate ventilation due to depression of the respiratory
center or the action of muscle relaxant
• Faulty co2 absorption in circle absorber
• Accidental administration of co2
Low Co2
• Excessive ventilation reduce co2 tension in the blood. The
patient become hypocapnic
• hyperventilation best avoided in during general anesthesia.
• It can result in cerebral vasoconstriction
• May also result in foetal asphyxia during c/s
• Hypocapnia delay onset of breathing at the end of anesthetic
• Shift oxyhemoglobin curve to the left and reduce o2 release
to the tissue
Physiology of apnoea
Contents
• What happens during apnoea?
• Types of hypoxia
• Preoxygenation
What happens during apnoea?
• During apnoea, alveolar partial pressure of oxygen (PAO2)
decreases steadily, because
– the oxygen is being removed from the lungs
• this oxygen removal generates a substantial negative
intrathoracic pressure if the airway is obstructed
• PaO2 decreases in direct relation to the PAO2,
• SaO2 remains >90% as long as the haemoglobin can be re-
oxygenated in the lungs
• The SaO2 only starts to decrease when the store of oxygen in
the lungs is depleted and the PaO2 is of the order of 6–7 kPa.
• Its subsequent decline is of a constant and rapid nature, about
30% every minute.
• At the start of this rapid decline, the SaO2 is still 90–95%.
• This inflection point we will define as ‘critical hypoxia’.
Cont..
Various factors significantly influence the time period from the
onset of apnoea to critical hypoxia.
• Functional residual capacity
• Preoxygenation
• Maintenance of a patent airway
• Re-oxygenation
• Haemoglobin concentration
• Metabolic rate
Classification of hypoxia
Cont..
Diffusion hypoxia
• Occur at the end of anesthetic where n2o/o2 is used.
• N2o passes blood stream in to alveoli faster than N2 in
air- dilute concentration of inspired o2
• If patient breathing atmospheric air then this falls to
below 20%
• Overcome by giving 100% o2
Pre-oxygenation
• Pre-oxygenation aims to increase body O2 stores to their
maximum,
– so that periods of apnoea are tolerated for longer before critical
desaturation occurs.
• There are two elements within the practice of
preoxygenation:
• Supplying 100% inspired O2:
• Time required for effective de-nitrogenation with 100% O2:
• The aim is to maximise O2 stores within the lung and the
blood.
• O2 content of blood
– O2 carried by Hb = [Hb] conc X saturation X 1.39 ml 100 ml1 blood
– O2 dissolved in plasma = O2 partial pressure (kPa) X 0.022 ml 100 ml1
plasma
• The major change during pre-oxygenation is in the amount of
O2 in the lungs.

Carbon dioxide transport

  • 1.
  • 2.
    Carbon dioxide transport Carbondioxide is transported in the blood in three ways: (i) dissolved in solution(5%) (ii) buffered with water as carbonic acid(85%) (iii) bound to proteins, particularly haemoglobin(10%)
  • 3.
    Carbon dioxide transport •Dissolved carbon dioxide • Carbon dioxide is 20 times more soluble than oxygen; – causes CO2 to diffuse more readily than oxygen • Pco2 is 5.3 KPa in arterial blood and 6.1 kPa in mixed venous blood • A cardiac output of 5 litre min1 will carry 150 ml of dissolved carbon dioxide to the lung, of which 25 ml will be exhaled.
  • 4.
  • 5.
  • 6.
  • 7.
    Cont.. The Haldane effect •This phenonomen refers to the increased ability of blood to carry CO2 when haemoglobin is deoxygenated. • Deoxyhaemoglobin is 3.5 times more effective than oxyhaemaglobin in forming carbamino compounds. • Correspondingly, oxygenation of Hb causes the reverse effect, – Displacing H+ and CO2, thus facilitating the ‘unloading’ of CO2 in the lungs.
  • 8.
    Effect of co2excess • Central nervous system:-  increase blood flow to the brain  Increase cerebral volume  raise intracranial pressure Signs:-= headache = nausea = vomiting = coma
  • 9.
    Cont.. • Respiratory system: stimulate directly and reflex  if the pressure of co2 in the blood stream rises by 1.5mmHg the tidal volume is doubled  shift oxyhemoglobin dissociation curve to the right • Cardiovascular system:  co increase by direct effect of co2  HR increase and irregular  peripheral resistance increase  BP rise at first
  • 10.
    Cont.. Causes of hypercapniain anesthesia • Respiratory obstruction causing inadequate ventilation • Inadequate ventilation due to depression of the respiratory center or the action of muscle relaxant • Faulty co2 absorption in circle absorber • Accidental administration of co2
  • 11.
    Low Co2 • Excessiveventilation reduce co2 tension in the blood. The patient become hypocapnic • hyperventilation best avoided in during general anesthesia. • It can result in cerebral vasoconstriction • May also result in foetal asphyxia during c/s • Hypocapnia delay onset of breathing at the end of anesthetic • Shift oxyhemoglobin curve to the left and reduce o2 release to the tissue
  • 12.
    Physiology of apnoea Contents •What happens during apnoea? • Types of hypoxia • Preoxygenation
  • 13.
    What happens duringapnoea? • During apnoea, alveolar partial pressure of oxygen (PAO2) decreases steadily, because – the oxygen is being removed from the lungs • this oxygen removal generates a substantial negative intrathoracic pressure if the airway is obstructed • PaO2 decreases in direct relation to the PAO2, • SaO2 remains >90% as long as the haemoglobin can be re- oxygenated in the lungs
  • 14.
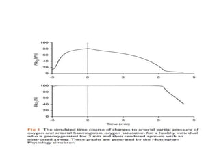
    • The SaO2only starts to decrease when the store of oxygen in the lungs is depleted and the PaO2 is of the order of 6–7 kPa. • Its subsequent decline is of a constant and rapid nature, about 30% every minute. • At the start of this rapid decline, the SaO2 is still 90–95%. • This inflection point we will define as ‘critical hypoxia’.
  • 16.
    Cont.. Various factors significantlyinfluence the time period from the onset of apnoea to critical hypoxia. • Functional residual capacity • Preoxygenation • Maintenance of a patent airway • Re-oxygenation • Haemoglobin concentration • Metabolic rate
  • 17.
  • 18.
    Cont.. Diffusion hypoxia • Occurat the end of anesthetic where n2o/o2 is used. • N2o passes blood stream in to alveoli faster than N2 in air- dilute concentration of inspired o2 • If patient breathing atmospheric air then this falls to below 20% • Overcome by giving 100% o2
  • 19.
    Pre-oxygenation • Pre-oxygenation aimsto increase body O2 stores to their maximum, – so that periods of apnoea are tolerated for longer before critical desaturation occurs. • There are two elements within the practice of preoxygenation: • Supplying 100% inspired O2: • Time required for effective de-nitrogenation with 100% O2:
  • 20.
    • The aimis to maximise O2 stores within the lung and the blood. • O2 content of blood – O2 carried by Hb = [Hb] conc X saturation X 1.39 ml 100 ml1 blood – O2 dissolved in plasma = O2 partial pressure (kPa) X 0.022 ml 100 ml1 plasma • The major change during pre-oxygenation is in the amount of O2 in the lungs.