Locus
Locus
                          Locus
The collection of all points whose location is determined by some
stated law.
Locus
                           Locus
The collection of all points whose location is determined by some
stated law.
e.g. (i) Find the locus of the point which is always 4 units from the
         origin
Locus
                           Locus
The collection of all points whose location is determined by some
stated law.
e.g. (i) Find the locus of the point which is always 4 units from the
         origin
            y




                          x
Locus
                           Locus
The collection of all points whose location is determined by some
stated law.
e.g. (i) Find the locus of the point which is always 4 units from the
         origin
            y




                     4    x
Locus
                           Locus
The collection of all points whose location is determined by some
stated law.
e.g. (i) Find the locus of the point which is always 4 units from the
         origin
            y

          4



                     4    x
Locus
                           Locus
The collection of all points whose location is determined by some
stated law.
e.g. (i) Find the locus of the point which is always 4 units from the
         origin
            y

          4



–4                   4    x
Locus
                           Locus
The collection of all points whose location is determined by some
stated law.
e.g. (i) Find the locus of the point which is always 4 units from the
         origin
            y

          4



–4                   4    x


         –4
Locus
                           Locus
The collection of all points whose location is determined by some
stated law.
e.g. (i) Find the locus of the point which is always 4 units from the
         origin
            y

          4



–4                   4    x


         –4
Locus
                           Locus
The collection of all points whose location is determined by some
stated law.
e.g. (i) Find the locus of the point which is always 4 units from the
         origin
            y

          4



–4                   4    x


         –4
Locus
                              Locus
The collection of all points whose location is determined by some
stated law.
e.g. (i) Find the locus of the point which is always 4 units from the
         origin
            y

                 P  x, y 
          4



–4                    4       x


         –4
Locus
                              Locus
The collection of all points whose location is determined by some
stated law.
e.g. (i) Find the locus of the point which is always 4 units from the
         origin
            y

                 P  x, y 
          4
                                         x  02   y  02  4
–4                    4       x


         –4
Locus
                              Locus
The collection of all points whose location is determined by some
stated law.
e.g. (i) Find the locus of the point which is always 4 units from the
         origin
            y

                 P  x, y 
          4
                                         x  02   y  02  4
–4                    4       x               x 2  y 2  16


         –4
(ii) A point moves so that it is always 5 units away from the y axis
(ii) A point moves so that it is always 5 units away from the y axis
         y



                   x
(ii) A point moves so that it is always 5 units away from the y axis
         y
                 P  x, y 


                   x
(ii) A point moves so that it is always 5 units away from the y axis
           y
      0, y  5 P x, y 

                   x
(ii) A point moves so that it is always 5 units away from the y axis
           y
      0, y  5 P x, y 
                                     x  0   y  y   5
                                            2           2



                   x
(ii) A point moves so that it is always 5 units away from the y axis
           y
      0, y  5 P x, y 
                                     x  0   y  y   5
                                            2           2



                   x                               x 2  25
(ii) A point moves so that it is always 5 units away from the y axis
           y
      0, y  5 P x, y 
                                     x  0   y  y   5
                                            2           2



                   x                               x 2  25
                                                     x  5
(ii) A point moves so that it is always 5 units away from the y axis
            y
       0, y  5 P x, y 
                                      x  0   y  y   5
                                             2           2



                     x                                x 2  25
                                                       x  5

(iii) A point moves so that it is always 3 units away from the line y = x + 1
(ii) A point moves so that it is always 5 units away from the y axis
            y
       0, y  5 P x, y 
                                      x  0   y  y   5
                                             2           2



                     x                                x 2  25
                                                       x  5

(iii) A point moves so that it is always 3 units away from the line y = x + 1
          y



                     x
(ii) A point moves so that it is always 5 units away from the y axis
            y
       0, y  5 P x, y 
                                      x  0   y  y   5
                                             2           2



                     x                                x 2  25
                                                       x  5

(iii) A point moves so that it is always 3 units away from the line y = x + 1
             y    y  x 1
             1

        –1           x
(ii) A point moves so that it is always 5 units away from the y axis
            y
       0, y  5 P x, y 
                                      x  0   y  y   5
                                             2           2



                      x                               x 2  25
                                                       x  5

(iii) A point moves so that it is always 3 units away from the line y = x + 1
              y     y  x 1
   P  x, y 
                1

         –1           x
(ii) A point moves so that it is always 5 units away from the y axis
            y
       0, y  5 P x, y 
                                      x  0   y  y   5
                                             2           2



                      x                               x 2  25
                                                       x  5

(iii) A point moves so that it is always 3 units away from the line y = x + 1
              y     y  x 1
   P  x, y 
                1

         –1           x
(ii) A point moves so that it is always 5 units away from the y axis
            y
       0, y  5 P x, y 
                                      x  0   y  y   5
                                             2           2



                      x                                    x 2  25
                                                            x  5

(iii) A point moves so that it is always 3 units away from the line y = x + 1
              y     y  x 1             x  y 1
   P  x, y                                              3
                                         12   1
                                                      2
                1

         –1           x
(ii) A point moves so that it is always 5 units away from the y axis
            y
       0, y  5 P x, y 
                                      x  0   y  y   5
                                             2           2



                      x                                    x 2  25
                                                            x  5

(iii) A point moves so that it is always 3 units away from the line y = x + 1
              y     y  x 1             x  y 1
   P  x, y                                              3
                                         12   1
                                                      2
                1
                                           x  y 1  3 2
         –1           x
(ii) A point moves so that it is always 5 units away from the y axis
            y
       0, y  5 P x, y 
                                      x  0   y  y   5
                                             2           2



                      x                                      x 2  25
                                                              x  5

(iii) A point moves so that it is always 3 units away from the line y = x + 1
              y     y  x 1               x  y 1
   P  x, y                                                3
                                           12   1
                                                        2
                1
                                                x  y 1  3 2
         –1           x
                               x  y 1  3 2
(ii) A point moves so that it is always 5 units away from the y axis
            y
       0, y  5 P x, y 
                                      x  0   y  y   5
                                             2           2



                      x                                      x 2  25
                                                              x  5

(iii) A point moves so that it is always 3 units away from the line y = x + 1
              y     y  x 1               x  y 1
   P  x, y                                                3
                                           12   1
                                                        2
                1
                                                x  y 1  3 2
         –1           x
                               x  y 1  3 2      or         x  y  1  3 2
(ii) A point moves so that it is always 5 units away from the y axis
            y
       0, y  5 P x, y 
                                      x  0   y  y   5
                                             2           2



                      x                                      x 2  25
                                                              x  5

(iii) A point moves so that it is always 3 units away from the line y = x + 1
              y     y  x 1               x  y 1
   P  x, y                                                3
                                           12   1
                                                        2
                1
                                                x  y 1  3 2
         –1           x
                               x  y 1  3 2      or         x  y  1  3 2
                          x  y 1 3 2  0
(ii) A point moves so that it is always 5 units away from the y axis
            y
       0, y  5 P x, y 
                                      x  0   y  y   5
                                             2           2



                      x                                      x 2  25
                                                              x  5

(iii) A point moves so that it is always 3 units away from the line y = x + 1
              y     y  x 1               x  y 1
   P  x, y                                                3
                                           12   1
                                                        2
                1
                                                x  y 1  3 2
         –1           x
                               x  y 1  3 2      or         x  y  1  3 2
                          x  y 1 3 2  0                   x  y 1  3 2
(ii) A point moves so that it is always 5 units away from the y axis
            y
       0, y  5 P x, y 
                                      x  0   y  y   5
                                             2           2



                      x                                      x 2  25
                                                              x  5

(iii) A point moves so that it is always 3 units away from the line y = x + 1
              y     y  x 1               x  y 1
   P  x, y                                                3
                                           12   1
                                                        2
                1
                                                x  y 1  3 2
         –1           x
                               x  y 1  3 2      or         x  y  1  3 2
                          x  y 1 3 2  0                   x  y 1  3 2
                                                              x  y 1 3 2  0
(iv) A point moves so that its distance from the x axis is always 5 times
     as great as its distance from the y axis.
(iv) A point moves so that its distance from the x axis is always 5 times
     as great as its distance from the y axis.
          y



                   x
(iv) A point moves so that its distance from the x axis is always 5 times
     as great as its distance from the y axis.
                    P  x, y 
          y



                   x
(iv) A point moves so that its distance from the x axis is always 5 times
     as great as its distance from the y axis.
                    P  x, y 
          y



              x,0  x
(iv) A point moves so that its distance from the x axis is always 5 times
     as great as its distance from the y axis.
                    P  x, y 
            y
       0, y 

              x,0  x
(iv) A point moves so that its distance from the x axis is always 5 times
     as great as its distance from the y axis.
                    P  x, y 
            y d
       0, y 
                 5d

              x,0  x
(iv) A point moves so that its distance from the x axis is always 5 times
     as great as its distance from the y axis.
                    P  x, y 
            y d
       0, y 
                                 x  x    y  0  5  x  0   y  y 
                                         2          2            2            2

                   5d

               x,0  x
(iv) A point moves so that its distance from the x axis is always 5 times
     as great as its distance from the y axis.
                    P  x, y 
            y d
       0, y 
                                 x  x    y  0  5  x  0   y  y 
                                         2           2           2            2

                   5d
                                                   y 2  25 x 2
                x,0  x
(iv) A point moves so that its distance from the x axis is always 5 times
     as great as its distance from the y axis.
                    P  x, y 
            y d
       0, y 
                                 x  x    y  0  5  x  0   y  y 
                                         2           2           2            2

                   5d
                                                   y 2  25 x 2
                x,0  x                             y  5 x
(iv) A point moves so that its distance from the x axis is always 5 times
     as great as its distance from the y axis.
                    P  x, y 
            y d
       0, y 
                                 x  x    y  0  5  x  0   y  y 
                                         2           2           2            2

                   5d
                                                   y 2  25 x 2
                x,0  x                             y  5 x

(v) A point moves so that its distance from (1,2) is the same as its
    distance from (5,–4).
(iv) A point moves so that its distance from the x axis is always 5 times
     as great as its distance from the y axis.
                    P  x, y 
            y d
       0, y 
                                 x  x    y  0  5  x  0   y  y 
                                         2           2           2            2

                   5d
                                                   y 2  25 x 2
                x,0  x                             y  5 x

(v) A point moves so that its distance from (1,2) is the same as its
    distance from (5,–4).
          y



                     x
(iv) A point moves so that its distance from the x axis is always 5 times
     as great as its distance from the y axis.
                    P  x, y 
            y d
       0, y 
                                 x  x    y  0  5  x  0   y  y 
                                         2           2           2            2

                   5d
                                                   y 2  25 x 2
                x,0  x                             y  5 x

(v) A point moves so that its distance from (1,2) is the same as its
    distance from (5,–4).
          y
               1, 2 
                         x
                      5, 4 
(iv) A point moves so that its distance from the x axis is always 5 times
     as great as its distance from the y axis.
                    P  x, y 
            y d
       0, y 
                                 x  x    y  0  5  x  0   y  y 
                                         2           2           2            2

                   5d
                                                   y 2  25 x 2
                x,0  x                             y  5 x

(v) A point moves so that its distance from (1,2) is the same as its
    distance from (5,–4).
          y
                    1, 2 
       P  x, y              x
                           5, 4 
(iv) A point moves so that its distance from the x axis is always 5 times
     as great as its distance from the y axis.
                    P  x, y 
            y d
       0, y 
                                 x  x    y  0  5  x  0   y  y 
                                         2           2           2            2

                   5d
                                                   y 2  25 x 2
                x,0  x                             y  5 x

(v) A point moves so that its distance from (1,2) is the same as its
    distance from (5,–4).
          y
                    1, 2 
       P  x, y              x
                           5, 4 
(iv) A point moves so that its distance from the x axis is always 5 times
     as great as its distance from the y axis.
                    P  x, y 
            y d
       0, y 
                                 x  x    y  0  5  x  0   y  y 
                                         2           2           2            2

                   5d
                                                   y 2  25 x 2
                x,0  x                             y  5 x

(v) A point moves so that its distance from (1,2) is the same as its
    distance from (5,–4).
          y                   Perpendicular bisector of (1,2) and (5,–4)
                    1, 2 
       P  x, y              x
                           5, 4 
(iv) A point moves so that its distance from the x axis is always 5 times
     as great as its distance from the y axis.
                    P  x, y 
            y d
       0, y 
                                 x  x    y  0  5  x  0   y  y 
                                         2           2           2            2

                   5d
                                                   y 2  25 x 2
                x,0  x                             y  5 x

(v) A point moves so that its distance from (1,2) is the same as its
    distance from (5,–4).
           y                        Perpendicular bisector of (1,2) and (5,–4)
                                            4  2
                   1, 2             mAB 
                                             5 1
        P  x, y                           6
                           x              
                                            4
                           5, 4          3
                                          
                                            2
(iv) A point moves so that its distance from the x axis is always 5 times
     as great as its distance from the y axis.
                    P  x, y 
            y d
       0, y 
                                 x  x    y  0  5  x  0   y  y 
                                         2           2           2            2

                   5d
                                                   y 2  25 x 2
                x,0  x                             y  5 x

(v) A point moves so that its distance from (1,2) is the same as its
    distance from (5,–4).
           y                        Perpendicular bisector of (1,2) and (5,–4)
                                             4  2
                   1, 2             mAB 
                                              5 1
        P  x, y                            6
                           x              
                                             4
                           5, 4           3
                                          
                                             2         2
                                     required slope 
                                                       3
(iv) A point moves so that its distance from the x axis is always 5 times
     as great as its distance from the y axis.
                    P  x, y 
            y d
       0, y 
                                 x  x    y  0  5  x  0   y  y 
                                         2           2           2            2

                   5d
                                                   y 2  25 x 2
                x,0  x                             y  5 x

(v) A point moves so that its distance from (1,2) is the same as its
    distance from (5,–4).
           y                        Perpendicular bisector of (1,2) and (5,–4)
                                             4  2
                   1, 2             mAB                       1  5 4  2 
                                                         M AB  
                                              5 1                     ,       
                                                                   2     2 
        P  x, y                            6
                           x                                   3, 1
                                             4
                           5, 4           3
                                          
                                             2         2
                                     required slope 
                                                       3
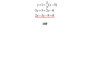
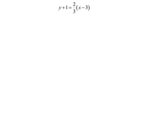
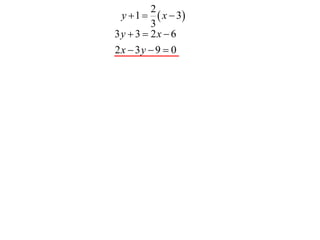
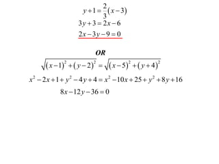
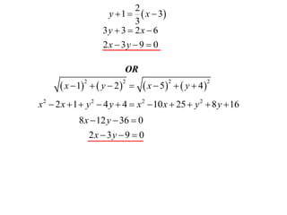
2
y  1   x  3
       3
2
 y  1   x  3
         3
3y  3  2x  6
2x  3y  9  0
2
 y  1   x  3
         3
3y  3  2x  6
2x  3y  9  0

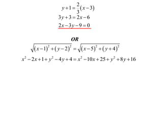
     OR
2
             y  1   x  3
                     3
            3y  3  2x  6
            2x  3y  9  0

                   OR
 x  1   y  2      x  5   y  4 
       2          2             2               2
2
                     y  1   x  3
                             3
                    3y  3  2x  6
                    2x  3y  9  0

                           OR
       x  1   y  2        x  5   y  4 
              2           2              2              2



x 2  2 x  1  y 2  4 y  4  x 2  10 x  25  y 2  8 y  16
2
                     y  1   x  3
                             3
                    3y  3  2x  6
                    2x  3y  9  0

                           OR
       x  1   y  2        x  5   y  4 
              2           2              2              2



x 2  2 x  1  y 2  4 y  4  x 2  10 x  25  y 2  8 y  16
            8 x  12 y  36  0
2
                       y  1   x  3
                               3
                      3y  3  2x  6
                      2x  3y  9  0

                            OR
       x  1   y  2        x  5   y  4 
              2            2              2             2



x 2  2 x  1  y 2  4 y  4  x 2  10 x  25  y 2  8 y  16
            8 x  12 y  36  0
                  2x  3 y  9  0
2
                       y  1   x  3
                               3
                      3y  3  2x  6
                      2x  3y  9  0

                            OR
       x  1   y  2        x  5   y  4 
              2            2              2             2



x 2  2 x  1  y 2  4 y  4  x 2  10 x  25  y 2  8 y  16
            8 x  12 y  36  0
                  2x  3 y  9  0



     Exercise 9A; 1aceg, 3a, 4, 6, 8, 10, 11, 13, 14

11X1 T12 01 locus (2011)

  • 1.
  • 2.
    Locus Locus The collection of all points whose location is determined by some stated law.
  • 3.
    Locus Locus The collection of all points whose location is determined by some stated law. e.g. (i) Find the locus of the point which is always 4 units from the origin
  • 4.
    Locus Locus The collection of all points whose location is determined by some stated law. e.g. (i) Find the locus of the point which is always 4 units from the origin y x
  • 5.
    Locus Locus The collection of all points whose location is determined by some stated law. e.g. (i) Find the locus of the point which is always 4 units from the origin y 4 x
  • 6.
    Locus Locus The collection of all points whose location is determined by some stated law. e.g. (i) Find the locus of the point which is always 4 units from the origin y 4 4 x
  • 7.
    Locus Locus The collection of all points whose location is determined by some stated law. e.g. (i) Find the locus of the point which is always 4 units from the origin y 4 –4 4 x
  • 8.
    Locus Locus The collection of all points whose location is determined by some stated law. e.g. (i) Find the locus of the point which is always 4 units from the origin y 4 –4 4 x –4
  • 9.
    Locus Locus The collection of all points whose location is determined by some stated law. e.g. (i) Find the locus of the point which is always 4 units from the origin y 4 –4 4 x –4
  • 10.
    Locus Locus The collection of all points whose location is determined by some stated law. e.g. (i) Find the locus of the point which is always 4 units from the origin y 4 –4 4 x –4
  • 11.
    Locus Locus The collection of all points whose location is determined by some stated law. e.g. (i) Find the locus of the point which is always 4 units from the origin y P  x, y  4 –4 4 x –4
  • 12.
    Locus Locus The collection of all points whose location is determined by some stated law. e.g. (i) Find the locus of the point which is always 4 units from the origin y P  x, y  4  x  02   y  02  4 –4 4 x –4
  • 13.
    Locus Locus The collection of all points whose location is determined by some stated law. e.g. (i) Find the locus of the point which is always 4 units from the origin y P  x, y  4  x  02   y  02  4 –4 4 x x 2  y 2  16 –4
  • 14.
    (ii) A pointmoves so that it is always 5 units away from the y axis
  • 15.
    (ii) A pointmoves so that it is always 5 units away from the y axis y x
  • 16.
    (ii) A pointmoves so that it is always 5 units away from the y axis y P  x, y  x
  • 17.
    (ii) A pointmoves so that it is always 5 units away from the y axis y  0, y  5 P x, y  x
  • 18.
    (ii) A pointmoves so that it is always 5 units away from the y axis y  0, y  5 P x, y   x  0   y  y   5 2 2 x
  • 19.
    (ii) A pointmoves so that it is always 5 units away from the y axis y  0, y  5 P x, y   x  0   y  y   5 2 2 x x 2  25
  • 20.
    (ii) A pointmoves so that it is always 5 units away from the y axis y  0, y  5 P x, y   x  0   y  y   5 2 2 x x 2  25 x  5
  • 21.
    (ii) A pointmoves so that it is always 5 units away from the y axis y  0, y  5 P x, y   x  0   y  y   5 2 2 x x 2  25 x  5 (iii) A point moves so that it is always 3 units away from the line y = x + 1
  • 22.
    (ii) A pointmoves so that it is always 5 units away from the y axis y  0, y  5 P x, y   x  0   y  y   5 2 2 x x 2  25 x  5 (iii) A point moves so that it is always 3 units away from the line y = x + 1 y x
  • 23.
    (ii) A pointmoves so that it is always 5 units away from the y axis y  0, y  5 P x, y   x  0   y  y   5 2 2 x x 2  25 x  5 (iii) A point moves so that it is always 3 units away from the line y = x + 1 y y  x 1 1 –1 x
  • 24.
    (ii) A pointmoves so that it is always 5 units away from the y axis y  0, y  5 P x, y   x  0   y  y   5 2 2 x x 2  25 x  5 (iii) A point moves so that it is always 3 units away from the line y = x + 1 y y  x 1 P  x, y  1 –1 x
  • 25.
    (ii) A pointmoves so that it is always 5 units away from the y axis y  0, y  5 P x, y   x  0   y  y   5 2 2 x x 2  25 x  5 (iii) A point moves so that it is always 3 units away from the line y = x + 1 y y  x 1 P  x, y  1 –1 x
  • 26.
    (ii) A pointmoves so that it is always 5 units away from the y axis y  0, y  5 P x, y   x  0   y  y   5 2 2 x x 2  25 x  5 (iii) A point moves so that it is always 3 units away from the line y = x + 1 y y  x 1 x  y 1 P  x, y  3 12   1 2 1 –1 x
  • 27.
    (ii) A pointmoves so that it is always 5 units away from the y axis y  0, y  5 P x, y   x  0   y  y   5 2 2 x x 2  25 x  5 (iii) A point moves so that it is always 3 units away from the line y = x + 1 y y  x 1 x  y 1 P  x, y  3 12   1 2 1 x  y 1  3 2 –1 x
  • 28.
    (ii) A pointmoves so that it is always 5 units away from the y axis y  0, y  5 P x, y   x  0   y  y   5 2 2 x x 2  25 x  5 (iii) A point moves so that it is always 3 units away from the line y = x + 1 y y  x 1 x  y 1 P  x, y  3 12   1 2 1 x  y 1  3 2 –1 x x  y 1  3 2
  • 29.
    (ii) A pointmoves so that it is always 5 units away from the y axis y  0, y  5 P x, y   x  0   y  y   5 2 2 x x 2  25 x  5 (iii) A point moves so that it is always 3 units away from the line y = x + 1 y y  x 1 x  y 1 P  x, y  3 12   1 2 1 x  y 1  3 2 –1 x x  y 1  3 2 or   x  y  1  3 2
  • 30.
    (ii) A pointmoves so that it is always 5 units away from the y axis y  0, y  5 P x, y   x  0   y  y   5 2 2 x x 2  25 x  5 (iii) A point moves so that it is always 3 units away from the line y = x + 1 y y  x 1 x  y 1 P  x, y  3 12   1 2 1 x  y 1  3 2 –1 x x  y 1  3 2 or   x  y  1  3 2 x  y 1 3 2  0
  • 31.
    (ii) A pointmoves so that it is always 5 units away from the y axis y  0, y  5 P x, y   x  0   y  y   5 2 2 x x 2  25 x  5 (iii) A point moves so that it is always 3 units away from the line y = x + 1 y y  x 1 x  y 1 P  x, y  3 12   1 2 1 x  y 1  3 2 –1 x x  y 1  3 2 or   x  y  1  3 2 x  y 1 3 2  0 x  y 1  3 2
  • 32.
    (ii) A pointmoves so that it is always 5 units away from the y axis y  0, y  5 P x, y   x  0   y  y   5 2 2 x x 2  25 x  5 (iii) A point moves so that it is always 3 units away from the line y = x + 1 y y  x 1 x  y 1 P  x, y  3 12   1 2 1 x  y 1  3 2 –1 x x  y 1  3 2 or   x  y  1  3 2 x  y 1 3 2  0 x  y 1  3 2 x  y 1 3 2  0
  • 33.
    (iv) A pointmoves so that its distance from the x axis is always 5 times as great as its distance from the y axis.
  • 34.
    (iv) A pointmoves so that its distance from the x axis is always 5 times as great as its distance from the y axis. y x
  • 35.
    (iv) A pointmoves so that its distance from the x axis is always 5 times as great as its distance from the y axis. P  x, y  y x
  • 36.
    (iv) A pointmoves so that its distance from the x axis is always 5 times as great as its distance from the y axis. P  x, y  y  x,0  x
  • 37.
    (iv) A pointmoves so that its distance from the x axis is always 5 times as great as its distance from the y axis. P  x, y  y  0, y   x,0  x
  • 38.
    (iv) A pointmoves so that its distance from the x axis is always 5 times as great as its distance from the y axis. P  x, y  y d  0, y  5d  x,0  x
  • 39.
    (iv) A pointmoves so that its distance from the x axis is always 5 times as great as its distance from the y axis. P  x, y  y d  0, y   x  x    y  0  5  x  0   y  y  2 2 2 2 5d  x,0  x
  • 40.
    (iv) A pointmoves so that its distance from the x axis is always 5 times as great as its distance from the y axis. P  x, y  y d  0, y   x  x    y  0  5  x  0   y  y  2 2 2 2 5d y 2  25 x 2  x,0  x
  • 41.
    (iv) A pointmoves so that its distance from the x axis is always 5 times as great as its distance from the y axis. P  x, y  y d  0, y   x  x    y  0  5  x  0   y  y  2 2 2 2 5d y 2  25 x 2  x,0  x y  5 x
  • 42.
    (iv) A pointmoves so that its distance from the x axis is always 5 times as great as its distance from the y axis. P  x, y  y d  0, y   x  x    y  0  5  x  0   y  y  2 2 2 2 5d y 2  25 x 2  x,0  x y  5 x (v) A point moves so that its distance from (1,2) is the same as its distance from (5,–4).
  • 43.
    (iv) A pointmoves so that its distance from the x axis is always 5 times as great as its distance from the y axis. P  x, y  y d  0, y   x  x    y  0  5  x  0   y  y  2 2 2 2 5d y 2  25 x 2  x,0  x y  5 x (v) A point moves so that its distance from (1,2) is the same as its distance from (5,–4). y x
  • 44.
    (iv) A pointmoves so that its distance from the x axis is always 5 times as great as its distance from the y axis. P  x, y  y d  0, y   x  x    y  0  5  x  0   y  y  2 2 2 2 5d y 2  25 x 2  x,0  x y  5 x (v) A point moves so that its distance from (1,2) is the same as its distance from (5,–4). y 1, 2  x  5, 4 
  • 45.
    (iv) A pointmoves so that its distance from the x axis is always 5 times as great as its distance from the y axis. P  x, y  y d  0, y   x  x    y  0  5  x  0   y  y  2 2 2 2 5d y 2  25 x 2  x,0  x y  5 x (v) A point moves so that its distance from (1,2) is the same as its distance from (5,–4). y 1, 2  P  x, y  x  5, 4 
  • 46.
    (iv) A pointmoves so that its distance from the x axis is always 5 times as great as its distance from the y axis. P  x, y  y d  0, y   x  x    y  0  5  x  0   y  y  2 2 2 2 5d y 2  25 x 2  x,0  x y  5 x (v) A point moves so that its distance from (1,2) is the same as its distance from (5,–4). y 1, 2  P  x, y  x  5, 4 
  • 47.
    (iv) A pointmoves so that its distance from the x axis is always 5 times as great as its distance from the y axis. P  x, y  y d  0, y   x  x    y  0  5  x  0   y  y  2 2 2 2 5d y 2  25 x 2  x,0  x y  5 x (v) A point moves so that its distance from (1,2) is the same as its distance from (5,–4). y Perpendicular bisector of (1,2) and (5,–4) 1, 2  P  x, y  x  5, 4 
  • 48.
    (iv) A pointmoves so that its distance from the x axis is always 5 times as great as its distance from the y axis. P  x, y  y d  0, y   x  x    y  0  5  x  0   y  y  2 2 2 2 5d y 2  25 x 2  x,0  x y  5 x (v) A point moves so that its distance from (1,2) is the same as its distance from (5,–4). y Perpendicular bisector of (1,2) and (5,–4) 4  2 1, 2  mAB  5 1 P  x, y  6 x  4  5, 4  3  2
  • 49.
    (iv) A pointmoves so that its distance from the x axis is always 5 times as great as its distance from the y axis. P  x, y  y d  0, y   x  x    y  0  5  x  0   y  y  2 2 2 2 5d y 2  25 x 2  x,0  x y  5 x (v) A point moves so that its distance from (1,2) is the same as its distance from (5,–4). y Perpendicular bisector of (1,2) and (5,–4) 4  2 1, 2  mAB  5 1 P  x, y  6 x  4  5, 4  3  2 2  required slope  3
  • 50.
    (iv) A pointmoves so that its distance from the x axis is always 5 times as great as its distance from the y axis. P  x, y  y d  0, y   x  x    y  0  5  x  0   y  y  2 2 2 2 5d y 2  25 x 2  x,0  x y  5 x (v) A point moves so that its distance from (1,2) is the same as its distance from (5,–4). y Perpendicular bisector of (1,2) and (5,–4) 4  2 1, 2  mAB   1  5 4  2  M AB   5 1 ,   2 2  P  x, y  6 x    3, 1 4  5, 4  3  2 2  required slope  3
  • 51.
    2 y  1  x  3 3
  • 52.
    2 y 1   x  3 3 3y  3  2x  6 2x  3y  9  0
  • 53.
    2 y 1   x  3 3 3y  3  2x  6 2x  3y  9  0 OR
  • 54.
    2 y  1   x  3 3 3y  3  2x  6 2x  3y  9  0 OR  x  1   y  2    x  5   y  4  2 2 2 2
  • 55.
    2 y  1   x  3 3 3y  3  2x  6 2x  3y  9  0 OR  x  1   y  2    x  5   y  4  2 2 2 2 x 2  2 x  1  y 2  4 y  4  x 2  10 x  25  y 2  8 y  16
  • 56.
    2 y  1   x  3 3 3y  3  2x  6 2x  3y  9  0 OR  x  1   y  2    x  5   y  4  2 2 2 2 x 2  2 x  1  y 2  4 y  4  x 2  10 x  25  y 2  8 y  16 8 x  12 y  36  0
  • 57.
    2 y  1   x  3 3 3y  3  2x  6 2x  3y  9  0 OR  x  1   y  2    x  5   y  4  2 2 2 2 x 2  2 x  1  y 2  4 y  4  x 2  10 x  25  y 2  8 y  16 8 x  12 y  36  0 2x  3 y  9  0
  • 58.
    2 y  1   x  3 3 3y  3  2x  6 2x  3y  9  0 OR  x  1   y  2    x  5   y  4  2 2 2 2 x 2  2 x  1  y 2  4 y  4  x 2  10 x  25  y 2  8 y  16 8 x  12 y  36  0 2x  3 y  9  0 Exercise 9A; 1aceg, 3a, 4, 6, 8, 10, 11, 13, 14