INTEGRAL TRIGONOMETRI
Bentuk

∫

sin n x dx dan

∫

cos n x dx

• Jika n adalah bilangan bulat positif ganjil, maka:

sin n x = sin x sin n −1 x dan cos n x = cos x cos n −1 x
dan gunakan sin 2 x + cos2 x = 1
• Jika n adalah bilangan bulat positif genap, maka:

1 − cos 2 x
sin x =
2
2

1 + cos 2 x
cos x =
2
2
1.

∫

2

 1 + cos 2 x 
cos x dx = 
 dx
2


4

∫

 1 + 2 cos 2 x + cos 2 2 x 
 dx
= 


4


1
=
1 + 2 cos 2 x + cos 2 2 x dx
4
1
=
dx + 2 cos 2 x dx + cos 2 2 x dx
4
1
 1 + cos 4 x  
=  dx + 2 cos 2 xdx + 
 dx 


4
2

 

∫

∫(

(∫

∫

)

∫

)

∫

∫

∫

1
1

=  dx + 2 cos 2 xdx + (1 + cos 4 x ) dx 
4
2


∫

∫

∫

(∫

)

1
1

=  dx + 2 cos 2 xdx +
dx + cos 4 xdx 
4
2

3
1
1
= x + sin 2 x + sin 4 x + c
8
4
32

∫

∫

∫
∫

∫
= ∫ (1 − cos x ) sin x dx
= ∫ (1 − u ) ( − du )
= ∫ (u − 1) du
= ∫ u du − ∫ du

sin 3 x dx = sin 2 x sin x dx
2

2

2

2

1 2+1
=
u −u +c
2 +1
1
= u3 − u + c
3
1
3
= ( cos x ) − cos x + c
3
1
= cos 3 x − cos x + c
3

misal :
u = cos x
du = − sin x dx
− du = sin x dx
∫

sin 4 x dx =

∫ (sin x ) dx
2

2

2

 1 − cos 2 x 
= 
 dx
2


 1 − 2 cos 2 x + cos 2 2 x 
dx
= 


4


1
=
1 − 2 cos 2 x + cos 2 2 x dx
4
1
=
dx − 2 cos 2 x dx + cos 2 2 x dx
4
1
 1 + cos 4 x  
=  dx − 2 cos 2 x dx + 
 dx 


4
2

 

∫
∫

∫(

(∫

∫

)

∫

)

∫

∫

∫

1
1
(1 + cos 4 x ) dx 
=  dx − 2 cos 2 x dx +

4
2

1
1
1

=  dx − 2 cos 2 x dx +
dx +
cos 4 x dx 
4
2
2

3
1
1
= x − sin 2 x + sin 4 x + c
8
4
32

∫

∫

∫

∫

∫

∫

∫
∫

Bentuk

sin m x cos n x dx

• Untuk n atau m ganjil, keluarkan sin x atau cos x
kemudian gunakan identitas:
sin 2 x + cos2 x = 1

• Untuk n dan m genap, tuliskan sinmx dan cosnx menjadi
jumlah suku-suku dalam cosinus, gunakan identitas:

1 − cos 2 x
sin x =
2

1 + cos 2 x
cos x =
2

2

2

cos2 x = 2cos 2 x − 1
atau
cos 2 x = 1 − 2sin 2 x
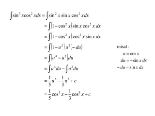
∫

∫

sin 3 xcos 2 xdx = sin 2 x sin x cos 2 x dx

)
∫(
= ∫ (1 − cos x ) cos x sin x dx
= ∫ (1 − u ) u ( − du )
= ∫ (u − u ) du
= ∫ u du − ∫ u du
= 1 − cos 2 x sin x cos 2 x dx
2

2

4

4

2

2

2

2

1
1
= u5 − u3 + c
5
3
1
1
5
= cos x − cos 3 x + c
5
3

misal :
u = cos x
du = − sin x dx
− du = sin x dx
∫

2

 1 − cos 2 x  1 + cos 2 x 
sin 2 x cos 4 xdx = 

 dx
2
2



1
(1 − cos 2 x ) 1 + 2 cos 2 x + cos 2 2 x dx
=
8
1
=
1 + cos 2 x − cos 2 2 x − cos 3 2 x dx
8
1 
1

2
=
1 + cos 2 x − (1 + cos 4 x ) − cos 2 x cos 2 x  dx
8 
2


∫

(

∫

)

∫(

)

∫

(

)

1 
1

1 + cos 2 x − (1 + cos 4 x ) − 1 − sin 2 2 x cos 2 x  dx

8 
2

1 1 1

2
=
 − cos 4 x + sin 2 x cos 2 x  dx
8 2 2

=

∫
∫

1 1
1

= 
dx −
cos 4 x dx + sin 2 2 x cos 2 x dx 
8 2
8

11
1
1

=  x − ⋅ 4 sin 4 x + sin 2 2 x  + C
8 2
8
6


∫

∫

∫

misal :
u = sin 2 x
du = 2 cos 2 x dx
1
du = cos 2 x dx
2
Bentuk

∫ tan

n

x dx dan

• Gunakan identitas

tan 2 x = sec 2 x −1
cot 2 x = csc 2 x − 1

∫ cot

n

x dx
∫

∫
= ∫ tan x (sec x − 1) dx
= ∫ ( tan x sec x − tan x ) dx
= ∫ tan x sec x dx − ∫ tan x dx
= ∫ tan x sec x dx − ∫ (sec x − 1) dx
= ∫ tan x sec x dx − ∫ sec x dx + ∫ dx
= ∫ u du − ∫ du + ∫ dx

tan 4 x dx = tan 2 x tan 2 x dx
2

2

2

2

2

2

2

2

2

2

2

2

1 3
= u −u + x +c
3
1
= tan 3 x − tan x + x + c
3

2

2

2

misal :
u = tan x
du = sec 2 x dx
Bentuk

∫

tan m x sec n x dx

dan

∫

cot m x csc n x dx

• Jika n genap dan m sembarang, maka keluarkan faktor
sec2x atau cosec2x
• jika n sembarang dan m ganjil, maka keluarkan faktor
tan x . sec x
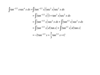
∫

∫(

)(

)

tan −3 2 x sec 4 x dx = tan −3 2 x sec 2 x sec 2 x dx

∫ ( tan
= ∫ ( tan
= ∫ ( tan
=

−3 2
−3 2
−3 2

)(
)
x ) sec x dx + ∫ ( tan x ) sec x dx
x ) d ( tan x ) + ∫ ( tan x ) d ( tan x )
x 1 + tan 2 x sec 2 x dx

= −2 tan −1 2 x +

2

12

12

2
tan 3 2 x + C
3

2
∫

)(
)
∫(
= ∫ (sec x − 1) (sec
x ) d ( sec x )
= ∫ sec x d ( sec x ) − ∫ sec
x d ( sec x )

tan 3 x sec −1 2 x dx = tan 2 x sec −3 2 x ( sec x tan x ) dx
2

12

−3 2

−3 2

2
= sec 3 2 x + 2 sec −1 2 x + C
3

04 integral trigonometri

  • 1.
  • 2.
    Bentuk ∫ sin n xdx dan ∫ cos n x dx • Jika n adalah bilangan bulat positif ganjil, maka: sin n x = sin x sin n −1 x dan cos n x = cos x cos n −1 x dan gunakan sin 2 x + cos2 x = 1 • Jika n adalah bilangan bulat positif genap, maka: 1 − cos 2 x sin x = 2 2 1 + cos 2 x cos x = 2 2
  • 3.
    1. ∫ 2  1 +cos 2 x  cos x dx =   dx 2   4 ∫  1 + 2 cos 2 x + cos 2 2 x   dx =    4   1 = 1 + 2 cos 2 x + cos 2 2 x dx 4 1 = dx + 2 cos 2 x dx + cos 2 2 x dx 4 1  1 + cos 4 x   =  dx + 2 cos 2 xdx +   dx    4 2    ∫ ∫( (∫ ∫ ) ∫ ) ∫ ∫ ∫ 1 1  =  dx + 2 cos 2 xdx + (1 + cos 4 x ) dx  4 2  ∫ ∫ ∫ (∫ ) 1 1  =  dx + 2 cos 2 xdx + dx + cos 4 xdx  4 2  3 1 1 = x + sin 2 x + sin 4 x + c 8 4 32 ∫ ∫ ∫
  • 4.
    ∫ ∫ = ∫ (1− cos x ) sin x dx = ∫ (1 − u ) ( − du ) = ∫ (u − 1) du = ∫ u du − ∫ du sin 3 x dx = sin 2 x sin x dx 2 2 2 2 1 2+1 = u −u +c 2 +1 1 = u3 − u + c 3 1 3 = ( cos x ) − cos x + c 3 1 = cos 3 x − cos x + c 3 misal : u = cos x du = − sin x dx − du = sin x dx
  • 5.
    ∫ sin 4 xdx = ∫ (sin x ) dx 2 2 2  1 − cos 2 x  =   dx 2    1 − 2 cos 2 x + cos 2 2 x  dx =    4   1 = 1 − 2 cos 2 x + cos 2 2 x dx 4 1 = dx − 2 cos 2 x dx + cos 2 2 x dx 4 1  1 + cos 4 x   =  dx − 2 cos 2 x dx +   dx    4 2    ∫ ∫ ∫( (∫ ∫ ) ∫ ) ∫ ∫ ∫ 1 1 (1 + cos 4 x ) dx  =  dx − 2 cos 2 x dx +  4 2  1 1 1  =  dx − 2 cos 2 x dx + dx + cos 4 x dx  4 2 2  3 1 1 = x − sin 2 x + sin 4 x + c 8 4 32 ∫ ∫ ∫ ∫ ∫ ∫ ∫
  • 6.
    ∫ Bentuk sin m xcos n x dx • Untuk n atau m ganjil, keluarkan sin x atau cos x kemudian gunakan identitas: sin 2 x + cos2 x = 1 • Untuk n dan m genap, tuliskan sinmx dan cosnx menjadi jumlah suku-suku dalam cosinus, gunakan identitas: 1 − cos 2 x sin x = 2 1 + cos 2 x cos x = 2 2 2 cos2 x = 2cos 2 x − 1 atau cos 2 x = 1 − 2sin 2 x
  • 7.
    ∫ ∫ sin 3 xcos2 xdx = sin 2 x sin x cos 2 x dx ) ∫( = ∫ (1 − cos x ) cos x sin x dx = ∫ (1 − u ) u ( − du ) = ∫ (u − u ) du = ∫ u du − ∫ u du = 1 − cos 2 x sin x cos 2 x dx 2 2 4 4 2 2 2 2 1 1 = u5 − u3 + c 5 3 1 1 5 = cos x − cos 3 x + c 5 3 misal : u = cos x du = − sin x dx − du = sin x dx
  • 8.
    ∫ 2  1 −cos 2 x  1 + cos 2 x  sin 2 x cos 4 xdx =    dx 2 2    1 (1 − cos 2 x ) 1 + 2 cos 2 x + cos 2 2 x dx = 8 1 = 1 + cos 2 x − cos 2 2 x − cos 3 2 x dx 8 1  1  2 = 1 + cos 2 x − (1 + cos 4 x ) − cos 2 x cos 2 x  dx 8  2  ∫ ( ∫ ) ∫( ) ∫ ( ) 1  1  1 + cos 2 x − (1 + cos 4 x ) − 1 − sin 2 2 x cos 2 x  dx  8  2  1 1 1  2 =  − cos 4 x + sin 2 x cos 2 x  dx 8 2 2  = ∫ ∫ 1 1 1  =  dx − cos 4 x dx + sin 2 2 x cos 2 x dx  8 2 8  11 1 1  =  x − ⋅ 4 sin 4 x + sin 2 2 x  + C 8 2 8 6  ∫ ∫ ∫ misal : u = sin 2 x du = 2 cos 2 x dx 1 du = cos 2 x dx 2
  • 9.
    Bentuk ∫ tan n x dxdan • Gunakan identitas tan 2 x = sec 2 x −1 cot 2 x = csc 2 x − 1 ∫ cot n x dx
  • 10.
    ∫ ∫ = ∫ tanx (sec x − 1) dx = ∫ ( tan x sec x − tan x ) dx = ∫ tan x sec x dx − ∫ tan x dx = ∫ tan x sec x dx − ∫ (sec x − 1) dx = ∫ tan x sec x dx − ∫ sec x dx + ∫ dx = ∫ u du − ∫ du + ∫ dx tan 4 x dx = tan 2 x tan 2 x dx 2 2 2 2 2 2 2 2 2 2 2 2 1 3 = u −u + x +c 3 1 = tan 3 x − tan x + x + c 3 2 2 2 misal : u = tan x du = sec 2 x dx
  • 11.
    Bentuk ∫ tan m xsec n x dx dan ∫ cot m x csc n x dx • Jika n genap dan m sembarang, maka keluarkan faktor sec2x atau cosec2x • jika n sembarang dan m ganjil, maka keluarkan faktor tan x . sec x
  • 12.
    ∫ ∫( )( ) tan −3 2x sec 4 x dx = tan −3 2 x sec 2 x sec 2 x dx ∫ ( tan = ∫ ( tan = ∫ ( tan = −3 2 −3 2 −3 2 )( ) x ) sec x dx + ∫ ( tan x ) sec x dx x ) d ( tan x ) + ∫ ( tan x ) d ( tan x ) x 1 + tan 2 x sec 2 x dx = −2 tan −1 2 x + 2 12 12 2 tan 3 2 x + C 3 2
  • 13.
    ∫ )( ) ∫( = ∫ (secx − 1) (sec x ) d ( sec x ) = ∫ sec x d ( sec x ) − ∫ sec x d ( sec x ) tan 3 x sec −1 2 x dx = tan 2 x sec −3 2 x ( sec x tan x ) dx 2 12 −3 2 −3 2 2 = sec 3 2 x + 2 sec −1 2 x + C 3