Mathematical Induction
Mathematical Induction
                    1 1         1       1
e.g. i  Prove 1  2  2    2  2 
                   2 3         n        n
Mathematical Induction
                    1 1         1       1
e.g. i  Prove 1  2  2    2  2 
                   2 3         n        n
Test: n = 1
Mathematical Induction
                    1 1         1       1
e.g. i  Prove 1  2  2    2  2 
                   2 3         n        n
                           1
Test: n = 1       L.H .S  2
                          1
                         1
Mathematical Induction
                    1 1         1       1
e.g. i  Prove 1  2  2    2  2 
                   2 3         n        n
                           1                             1
Test: n = 1       L.H .S  2                R.H .S  2 
                          1                              1
                         1                        1
Mathematical Induction
                    1 1         1       1
e.g. i  Prove 1  2  2    2  2 
                   2 3         n        n
                           1                                  1
Test: n = 1       L.H .S  2                     R.H .S  2 
                          1                                   1
                         1                             1
                                L.H .S  R.H .S
Mathematical Induction
                    1 1         1       1
e.g. i  Prove 1  2  2    2  2 
                   2 3         n        n
                           1                                  1
Test: n = 1       L.H .S  2                     R.H .S  2 
                          1                                   1
                         1                             1
                                L.H .S  R.H .S

                 1 1       1       1
A n  k  1       2  2  2 
                 22 3     k        k
Mathematical Induction
                    1 1         1       1
e.g. i  Prove 1  2  2    2  2 
                   2 3         n        n
                           1                                  1
Test: n = 1       L.H .S  2                     R.H .S  2 
                          1                                   1
                         1                             1
                                L.H .S  R.H .S

                 1 1       1       1
A n  k  1       2  2  2 
                 22 3     k        k
                  1 1            1            1
P n  k  1 1  2  2              2
                 2 3          k  12
                                            k 1
Proof:
     1 1          1          1 1       1   1
1      2            1 2  2  2 
     22 3      k  12     2 3       k k  12
Proof:
     1 1          1          1 1         1   1
1      2            1 2  2  2 
     22 3      k  12     2 3         k k  12
                             1    1
                         2 
                             k k  12
Proof:
     1 1          1          1 1          1   1
1      2            1 2  2  2 
     22 3      k  12      2 3         k k  12
                             1       1
                         2 
                             k k  12
                             k  1  k
                                    2
                         2
                              k k  1
                                       2
Proof:
     1 1          1          1 1          1    1
1      2            1 2  2  2 
     22 3      k  12      2 3          k k  12
                             1        1
                         2 
                             k k  12
                             k  1  k
                                     2
                         2
                              k k  1
                                        2

                              k 2  k 1
                         2
                              k k  1
                                        2
Proof:
     1 1          1          1 1            1      1
1      2            1 2  2  2 
     22 3      k  12      2 3            k k  12
                             1        1
                         2 
                             k k  12
                             k  1  k
                                     2
                         2
                               k k  1
                                        2

                              k 2  k 1
                         2
                              k k  1
                                        2


                                k2  k       1
                         2              
                              k k  1 k k  1
                                       2         2
Proof:
     1 1          1          1 1             1     1
1      2            1 2  2  2 
     22 3      k  12      2 3             k k  12
                             1        1
                         2 
                             k k  12
                             k  1  k
                                     2
                         2
                               k k  1
                                         2

                              k 2  k 1
                         2
                              k k  1
                                         2


                                k2  k        1
                         2               
                              k k  1 k k  1
                                        2        2

                              k k  1
                         2
                              k k  1
                                       2
Proof:
     1 1          1           1 1             1     1
1      2            1 2  2  2 
     22 3      k  12      2 3              k k  12
                              1        1
                         2 
                              k k  12
                              k  1  k
                                      2
                         2
                                k k  1
                                          2

                               k 2  k 1
                         2
                               k k  1
                                          2


                                 k2  k        1
                         2                
                               k k  1 k k  1
                                         2        2

                               k k  1
                         2
                               k k  1
                                        2

                                    1
                            2
                                  k 1
Proof:
  1 1            1           1 1             1     1
1   2              1 2  2  2 
  22 3        k  12      2 3              k k  12
                             1        1
                        2 
                             k k  12
                             k  1  k
                                     2
                        2
                               k k  1
                                         2

                              k 2  k 1
                         2
                              k k  1
                                         2


                                k2  k        1
                        2                
                              k k  1 k k  1
                                        2        2

                              k k  1
                        2
                              k k  1
                                       2

                                   1
                           2
                                 k 1
     1 1            1              1
1  2  2              2
    2 3          k  12
                                 k 1
(ii) A sequence is defined by;
                a1  2         an1  2  an for n  1
   Show that an  2 for n  1
(ii) A sequence is defined by;
                a1  2         an1  2  an for n  1
   Show that an  2 for n  1
Test: n = 1
(ii) A sequence is defined by;
                a1  2         an1  2  an for n  1
   Show that an  2 for n  1
Test: n = 1   a1  2  2
(ii) A sequence is defined by;
                a1  2         an1  2  an for n  1
   Show that an  2 for n  1
Test: n = 1   a1  2  2
A n  k  a k  2
(ii) A sequence is defined by;
                a1  2         an1  2  an for n  1
    Show that an  2 for n  1
Test: n = 1    a1  2  2
A n  k  a k  2

P   n  k  1 ak 1  2
(ii) A sequence is defined by;
                a1  2         an1  2  an for n  1
    Show that an  2 for n  1
Test: n = 1    a1  2  2
A n  k  a k  2

P   n  k  1 ak 1  2
Proof:
(ii) A sequence is defined by;
                a1  2         an1  2  an for n  1
    Show that an  2 for n  1
Test: n = 1    a1  2  2
A n  k  a k  2

P   n  k  1 ak 1  2
Proof:
      ak 1  2  ak
(ii) A sequence is defined by;
                a1  2         an1  2  an for n  1
    Show that an  2 for n  1
Test: n = 1    a1  2  2
A n  k  a k  2

P   n  k  1 ak 1  2
Proof:
      ak 1  2  ak
           22
(ii) A sequence is defined by;
                a1  2         an1  2  an for n  1
    Show that an  2 for n  1
Test: n = 1    a1  2  2
A n  k  a k  2

P   n  k  1 ak 1  2
Proof:
      ak 1  2  ak
           22
           4
          2
(ii) A sequence is defined by;
                a1  2         an1  2  an for n  1
    Show that an  2 for n  1
Test: n = 1    a1  2  2
A n  k  a k  2

P   n  k  1 ak 1  2
Proof:
      ak 1  2  ak
           22
             4
            2
     ak 1  2
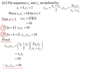
iii  The sequences xn and yn are defined by;
                                           xn  y n          2 xn y n
           x1  5, y1  2         xn1             , yn1 
                                              2              xn  y n
     Prove xn yn  10 for n  1
iii  The sequences xn and yn are defined by;
                                           xn  y n          2 xn y n
              x1  5, y1  2      xn1             , yn1 
                                              2              xn  y n
     Prove xn yn  10 for n  1
Test: n = 1
iii  The sequences xn and yn are defined by;
                                           xn  y n          2 xn y n
           x1  5, y1  2         xn1             , yn1 
                                              2              xn  y n
     Prove xn yn  10 for n  1
Test: n = 1 x1 y1  52 
                    10
iii  The sequences xn and yn are defined by;
                                           xn  y n          2 xn y n
           x1  5, y1  2         xn1             , yn1 
                                              2              xn  y n
     Prove xn yn  10 for n  1
Test: n = 1 x1 y1  52 
                    10
A n  k  xk yk  10
iii  The sequences xn and yn are defined by;
                                            xn  y n          2 xn y n
             x1  5, y1  2        xn1             , yn1 
                                               2              xn  y n
     Prove xn yn  10 for n  1
Test: n = 1 x1 y1  52 
                    10
A n  k  xk yk  10

P   n  k  1 xk 1 yk 1  10
iii  The sequences xn and yn are defined by;
                                            xn  y n          2 xn y n
             x1  5, y1  2        xn1             , yn1 
                                               2              xn  y n
     Prove xn yn  10 for n  1
Test: n = 1 x1 y1  52 
                    10
A n  k  xk yk  10

P   n  k  1 xk 1 yk 1  10
Proof:
iii  The sequences xn and yn are defined by;
                                                     xn  y n          2 xn y n
               x1  5, y1  2               xn1             , yn1 
                                                        2              xn  y n
     Prove xn yn  10 for n  1
Test: n = 1 x1 y1  52 
                    10
A n  k  xk yk  10

P     n  k  1 xk 1 yk 1  10
Proof:
                   xk  yk  2 xk yk 
    xk 1 yk 1            x  y 
                                      
                   2  k            k 
iii  The sequences xn and yn are defined by;
                                                     xn  y n          2 xn y n
               x1  5, y1  2               xn1             , yn1 
                                                        2              xn  y n
     Prove xn yn  10 for n  1
Test: n = 1 x1 y1  52 
                    10
A n  k  xk yk  10

P     n  k  1 xk 1 yk 1  10
Proof:
                   xk  yk  2 xk yk 
    xk 1 yk 1            x  y 
                                      
                   2  k            k 

               xk y k
               10
iii  The sequences xn and yn are defined by;
                                                     xn  y n          2 xn y n
               x1  5, y1  2               xn1             , yn1 
                                                        2              xn  y n
     Prove xn yn  10 for n  1
Test: n = 1 x1 y1  52 
                    10
A n  k  xk yk  10

P     n  k  1 xk 1 yk 1  10
Proof:
                   xk  yk  2 xk yk 
    xk 1 yk 1            x  y 
                                      
                   2  k            k 

               xk y k
               10
 xk 1 yk 1  10
(iv) The Fibonacci sequence is defined by;
              a1  a2  1       an1  an  an1 for n  1
                             n
                     1  5 
     Prove that an         for n  1
                      2 
(iv) The Fibonacci sequence is defined by;
              a1  a2  1       an1  an  an1 for n  1
                             n
                     1  5 
     Prove that an         for n  1
                      2 
Test: n = 1 and n =2
(iv) The Fibonacci sequence is defined by;
              a1  a2  1       an1  an  an1 for n  1
                             n
                     1  5 
     Prove that an         for n  1
                      2 
Test: n = 1 and n =2
  L.H .S  a1
        1
(iv) The Fibonacci sequence is defined by;
              a1  a2  1       an1  an  an1 for n  1
                             n
                     1  5 
     Prove that an         for n  1
                      2 
Test: n = 1 and n =2                             1
                                          1  5 
  L.H .S  a1                    R.H .S        
                                           2 
        1
                                         1.62
(iv) The Fibonacci sequence is defined by;
              a1  a2  1       an1  an  an1 for n  1
                             n
                     1  5 
     Prove that an         for n  1
                      2 
Test: n = 1 and n =2                             1
                                       1  5 
  L.H .S  a1                 R.H .S        
                                        2 
        1
                                      1.62
                  L.H .S  R.H .S
(iv) The Fibonacci sequence is defined by;
              a1  a2  1       an1  an  an1 for n  1
                             n
                     1  5 
     Prove that an         for n  1
                      2 
Test: n = 1 and n =2                             1
                                       1  5 
  L.H .S  a1                 R.H .S        
                                        2 
        1
                                      1.62
                  L.H .S  R.H .S
  L.H .S  a2
         1
(iv) The Fibonacci sequence is defined by;
              a1  a2  1       an1  an  an1 for n  1
                             n
                     1  5 
     Prove that an         for n  1
                      2 
Test: n = 1 and n =2                             1
                                       1  5 
  L.H .S  a1                 R.H .S        
                                        2 
        1
                                      1.62
                  L.H .S  R.H .S              2
                                       1  5 
  L.H .S  a2                 R.H .S        
                                        2 
         1
                                      2.62
(iv) The Fibonacci sequence is defined by;
              a1  a2  1       an1  an  an1 for n  1
                             n
                     1  5 
     Prove that an         for n  1
                      2 
Test: n = 1 and n =2                             1
                                       1  5 
  L.H .S  a1                 R.H .S        
                                        2 
        1
                                      1.62
                  L.H .S  R.H .S              2
                                       1  5 
  L.H .S  a2                 R.H .S        
                                        2 
         1
                                      2.62
                  L.H .S  R.H .S
(iv) The Fibonacci sequence is defined by;
              a1  a2  1       an1  an  an1 for n  1
                                n
                     1  5 
     Prove that an         for n  1
                      2 
Test: n = 1 and n =2                                  1
                                             1  5 
  L.H .S  a1                     R.H .S           
                                              2 
         1
                                          1.62
                  L.H .S  R.H .S                     2
                                              1  5 
  L.H .S  a2                      R.H .S          
                                               2 
         1
                                           2.62
                   L.H .S  R.H .S
                                           k 1                  k
                                 1  5                1  5 
  A n  k  1 & n  k  ak 1               & ak         
                                  2                    2 
(iv) The Fibonacci sequence is defined by;
              a1  a2  1       an1  an  an1 for n  1
                                n
                     1  5 
     Prove that an         for n  1
                      2 
Test: n = 1 and n =2                                  1
                                             1  5 
  L.H .S  a1                     R.H .S           
                                              2 
         1
                                          1.62
                  L.H .S  R.H .S                     2
                                              1  5 
  L.H .S  a2                      R.H .S          
                                               2 
         1
                                           2.62
                   L.H .S  R.H .S
                                           k 1                  k
                                 1  5                1  5 
  A n  k  1 & n  k  ak 1               & ak         
                                  2                    2 
                                    k 1
                         1 5 
 P   n  k  1 ak 1  
                             
                         2 
Proof:   ak 1  ak  ak 1
Proof:   ak 1  ak  ak 1
                              k    k 1
               1  5  1  5 
                          
                2   2 
Proof:   ak 1  ak  ak 1
                              k     k 1
               1  5  1       5
                              
                2   2           
                        k 1         1         2
                1  5   1    5    1  5  
                                        
                2   2              2      
Proof:   ak 1  ak  ak 1
                              k   k 1
               1  5  1 5
                        
                2   2     
                        k 1   1         2
                1  5   1 
                            5    1  5  
                                  
                2   2    
                                  2      
                       k 1
               1  5   2       4 
                                 2
                2  1  5 1  5  
Proof:   ak 1  ak  ak 1
                              k                k 1
               1  5  1        5
                               
                2   2            
                        k 1          1         2
                1  5   1     5    1  5  
                                         
                2   2               2      
                           k 1
               1      5  2           4 
                                        2
                2         1  5 1  5  
                           k 1
               1      5  2  2 5  4
                                  2 
                2          1  5  
                              k 1
               1  5               62 5 
                                           2
                2                   1  5  
Proof:   ak 1  ak  ak 1
                              k       k 1
               1  5  1        5
                               
                2   2            
                        k 1          1         2
                1  5   1     5    1  5  
                                         
                2   2               2      
                           k 1
               1      5  2           4 
                                        2
                2         1  5 1  5  
                           k 1
               1      5  2  2 5  4
                                  2 
                2          1  5  
                              k 1
               1  5   6  2 5 
                               
                  2   1  5 2 
                        k 1
               1  5 
                    
                2 
Proof:     ak 1  ak  ak 1
                                k       k 1
                 1  5  1        5
                                 
                  2   2            
                          k 1          1         2
                  1  5   1     5    1  5  
                                           
                  2   2               2      
                             k 1
                 1      5  2           4 
                                          2
                  2         1  5 1  5  
                             k 1
                 1      5  2  2 5  4
                                    2 
                  2          1  5  
                                k 1
                   1  5   6  2 5 
                                   
                      2   1  5 2 
                            k 1
                   1  5 
                        
                    2 
                            k 1
                   1  5 
          ak 1        
                    2 
Proof:           ak 1  ak  ak 1
                                      k       k 1
                       1  5  1        5
                                       
                        2   2            
                                k 1          1         2
                        1  5   1     5    1  5  
                                                 
                        2   2               2      
                                   k 1
                       1      5  2           4 
     Sheets                                     2
                        2         1  5 1  5  
                                   k 1
         +             1      5  2  2 5  4
                                          2 
                        2          1  5  
 Exercise 10E*
                                      k 1
                        1  5   6  2 5 
                                        
                           2   1  5 2 
                                 k 1
                        1  5 
                             
                         2 
                                 k 1
                        1  5 
               ak 1        
                         2 

X2 T08 02 induction

  • 1.
  • 2.
    Mathematical Induction 1 1 1 1 e.g. i  Prove 1  2  2    2  2  2 3 n n
  • 3.
    Mathematical Induction 1 1 1 1 e.g. i  Prove 1  2  2    2  2  2 3 n n Test: n = 1
  • 4.
    Mathematical Induction 1 1 1 1 e.g. i  Prove 1  2  2    2  2  2 3 n n 1 Test: n = 1 L.H .S  2 1 1
  • 5.
    Mathematical Induction 1 1 1 1 e.g. i  Prove 1  2  2    2  2  2 3 n n 1 1 Test: n = 1 L.H .S  2 R.H .S  2  1 1 1 1
  • 6.
    Mathematical Induction 1 1 1 1 e.g. i  Prove 1  2  2    2  2  2 3 n n 1 1 Test: n = 1 L.H .S  2 R.H .S  2  1 1 1 1  L.H .S  R.H .S
  • 7.
    Mathematical Induction 1 1 1 1 e.g. i  Prove 1  2  2    2  2  2 3 n n 1 1 Test: n = 1 L.H .S  2 R.H .S  2  1 1 1 1  L.H .S  R.H .S 1 1 1 1 A n  k  1   2  2  2  22 3 k k
  • 8.
    Mathematical Induction 1 1 1 1 e.g. i  Prove 1  2  2    2  2  2 3 n n 1 1 Test: n = 1 L.H .S  2 R.H .S  2  1 1 1 1  L.H .S  R.H .S 1 1 1 1 A n  k  1   2  2  2  22 3 k k 1 1 1 1 P n  k  1 1  2  2     2 2 3 k  12 k 1
  • 9.
    Proof: 1 1 1 1 1 1 1 1  2   1 2  2  2  22 3 k  12 2 3 k k  12
  • 10.
    Proof: 1 1 1 1 1 1 1 1  2   1 2  2  2  22 3 k  12 2 3 k k  12 1 1  2  k k  12
  • 11.
    Proof: 1 1 1 1 1 1 1 1  2   1 2  2  2  22 3 k  12 2 3 k k  12 1 1  2  k k  12 k  1  k 2  2 k k  1 2
  • 12.
    Proof: 1 1 1 1 1 1 1 1  2   1 2  2  2  22 3 k  12 2 3 k k  12 1 1  2  k k  12 k  1  k 2  2 k k  1 2 k 2  k 1  2 k k  1 2
  • 13.
    Proof: 1 1 1 1 1 1 1 1  2   1 2  2  2  22 3 k  12 2 3 k k  12 1 1  2  k k  12 k  1  k 2  2 k k  1 2 k 2  k 1  2 k k  1 2 k2  k 1  2  k k  1 k k  1 2 2
  • 14.
    Proof: 1 1 1 1 1 1 1 1  2   1 2  2  2  22 3 k  12 2 3 k k  12 1 1  2  k k  12 k  1  k 2  2 k k  1 2 k 2  k 1  2 k k  1 2 k2  k 1  2  k k  1 k k  1 2 2 k k  1  2 k k  1 2
  • 15.
    Proof: 1 1 1 1 1 1 1 1  2   1 2  2  2  22 3 k  12 2 3 k k  12 1 1  2  k k  12 k  1  k 2  2 k k  1 2 k 2  k 1  2 k k  1 2 k2  k 1  2  k k  1 k k  1 2 2 k k  1  2 k k  1 2 1  2 k 1
  • 16.
    Proof: 11 1 1 1 1 1 1  2   1 2  2  2  22 3 k  12 2 3 k k  12 1 1  2  k k  12 k  1  k 2  2 k k  1 2 k 2  k 1  2 k k  1 2 k2  k 1  2  k k  1 k k  1 2 2 k k  1  2 k k  1 2 1  2 k 1 1 1 1 1 1  2  2     2 2 3 k  12 k 1
  • 17.
    (ii) A sequenceis defined by; a1  2 an1  2  an for n  1 Show that an  2 for n  1
  • 18.
    (ii) A sequenceis defined by; a1  2 an1  2  an for n  1 Show that an  2 for n  1 Test: n = 1
  • 19.
    (ii) A sequenceis defined by; a1  2 an1  2  an for n  1 Show that an  2 for n  1 Test: n = 1 a1  2  2
  • 20.
    (ii) A sequenceis defined by; a1  2 an1  2  an for n  1 Show that an  2 for n  1 Test: n = 1 a1  2  2 A n  k  a k  2
  • 21.
    (ii) A sequenceis defined by; a1  2 an1  2  an for n  1 Show that an  2 for n  1 Test: n = 1 a1  2  2 A n  k  a k  2 P n  k  1 ak 1  2
  • 22.
    (ii) A sequenceis defined by; a1  2 an1  2  an for n  1 Show that an  2 for n  1 Test: n = 1 a1  2  2 A n  k  a k  2 P n  k  1 ak 1  2 Proof:
  • 23.
    (ii) A sequenceis defined by; a1  2 an1  2  an for n  1 Show that an  2 for n  1 Test: n = 1 a1  2  2 A n  k  a k  2 P n  k  1 ak 1  2 Proof: ak 1  2  ak
  • 24.
    (ii) A sequenceis defined by; a1  2 an1  2  an for n  1 Show that an  2 for n  1 Test: n = 1 a1  2  2 A n  k  a k  2 P n  k  1 ak 1  2 Proof: ak 1  2  ak  22
  • 25.
    (ii) A sequenceis defined by; a1  2 an1  2  an for n  1 Show that an  2 for n  1 Test: n = 1 a1  2  2 A n  k  a k  2 P n  k  1 ak 1  2 Proof: ak 1  2  ak  22  4 2
  • 26.
    (ii) A sequenceis defined by; a1  2 an1  2  an for n  1 Show that an  2 for n  1 Test: n = 1 a1  2  2 A n  k  a k  2 P n  k  1 ak 1  2 Proof: ak 1  2  ak  22  4 2  ak 1  2
  • 27.
    iii  Thesequences xn and yn are defined by; xn  y n 2 xn y n x1  5, y1  2 xn1  , yn1  2 xn  y n Prove xn yn  10 for n  1
  • 28.
    iii  Thesequences xn and yn are defined by; xn  y n 2 xn y n x1  5, y1  2 xn1  , yn1  2 xn  y n Prove xn yn  10 for n  1 Test: n = 1
  • 29.
    iii  Thesequences xn and yn are defined by; xn  y n 2 xn y n x1  5, y1  2 xn1  , yn1  2 xn  y n Prove xn yn  10 for n  1 Test: n = 1 x1 y1  52   10
  • 30.
    iii  Thesequences xn and yn are defined by; xn  y n 2 xn y n x1  5, y1  2 xn1  , yn1  2 xn  y n Prove xn yn  10 for n  1 Test: n = 1 x1 y1  52   10 A n  k  xk yk  10
  • 31.
    iii  Thesequences xn and yn are defined by; xn  y n 2 xn y n x1  5, y1  2 xn1  , yn1  2 xn  y n Prove xn yn  10 for n  1 Test: n = 1 x1 y1  52   10 A n  k  xk yk  10 P n  k  1 xk 1 yk 1  10
  • 32.
    iii  Thesequences xn and yn are defined by; xn  y n 2 xn y n x1  5, y1  2 xn1  , yn1  2 xn  y n Prove xn yn  10 for n  1 Test: n = 1 x1 y1  52   10 A n  k  xk yk  10 P n  k  1 xk 1 yk 1  10 Proof:
  • 33.
    iii  Thesequences xn and yn are defined by; xn  y n 2 xn y n x1  5, y1  2 xn1  , yn1  2 xn  y n Prove xn yn  10 for n  1 Test: n = 1 x1 y1  52   10 A n  k  xk yk  10 P n  k  1 xk 1 yk 1  10 Proof:  xk  yk  2 xk yk  xk 1 yk 1   x  y     2  k k 
  • 34.
    iii  Thesequences xn and yn are defined by; xn  y n 2 xn y n x1  5, y1  2 xn1  , yn1  2 xn  y n Prove xn yn  10 for n  1 Test: n = 1 x1 y1  52   10 A n  k  xk yk  10 P n  k  1 xk 1 yk 1  10 Proof:  xk  yk  2 xk yk  xk 1 yk 1   x  y     2  k k   xk y k  10
  • 35.
    iii  Thesequences xn and yn are defined by; xn  y n 2 xn y n x1  5, y1  2 xn1  , yn1  2 xn  y n Prove xn yn  10 for n  1 Test: n = 1 x1 y1  52   10 A n  k  xk yk  10 P n  k  1 xk 1 yk 1  10 Proof:  xk  yk  2 xk yk  xk 1 yk 1   x  y     2  k k   xk y k  10  xk 1 yk 1  10
  • 36.
    (iv) The Fibonaccisequence is defined by; a1  a2  1 an1  an  an1 for n  1 n 1  5  Prove that an    for n  1  2 
  • 37.
    (iv) The Fibonaccisequence is defined by; a1  a2  1 an1  an  an1 for n  1 n 1  5  Prove that an    for n  1  2  Test: n = 1 and n =2
  • 38.
    (iv) The Fibonaccisequence is defined by; a1  a2  1 an1  an  an1 for n  1 n 1  5  Prove that an    for n  1  2  Test: n = 1 and n =2 L.H .S  a1 1
  • 39.
    (iv) The Fibonaccisequence is defined by; a1  a2  1 an1  an  an1 for n  1 n 1  5  Prove that an    for n  1  2  Test: n = 1 and n =2 1 1  5  L.H .S  a1 R.H .S     2  1  1.62
  • 40.
    (iv) The Fibonaccisequence is defined by; a1  a2  1 an1  an  an1 for n  1 n 1  5  Prove that an    for n  1  2  Test: n = 1 and n =2 1 1  5  L.H .S  a1 R.H .S     2  1  1.62  L.H .S  R.H .S
  • 41.
    (iv) The Fibonaccisequence is defined by; a1  a2  1 an1  an  an1 for n  1 n 1  5  Prove that an    for n  1  2  Test: n = 1 and n =2 1 1  5  L.H .S  a1 R.H .S     2  1  1.62  L.H .S  R.H .S L.H .S  a2 1
  • 42.
    (iv) The Fibonaccisequence is defined by; a1  a2  1 an1  an  an1 for n  1 n 1  5  Prove that an    for n  1  2  Test: n = 1 and n =2 1 1  5  L.H .S  a1 R.H .S     2  1  1.62  L.H .S  R.H .S 2 1  5  L.H .S  a2 R.H .S     2  1  2.62
  • 43.
    (iv) The Fibonaccisequence is defined by; a1  a2  1 an1  an  an1 for n  1 n 1  5  Prove that an    for n  1  2  Test: n = 1 and n =2 1 1  5  L.H .S  a1 R.H .S     2  1  1.62  L.H .S  R.H .S 2 1  5  L.H .S  a2 R.H .S     2  1  2.62  L.H .S  R.H .S
  • 44.
    (iv) The Fibonaccisequence is defined by; a1  a2  1 an1  an  an1 for n  1 n 1  5  Prove that an    for n  1  2  Test: n = 1 and n =2 1 1  5  L.H .S  a1 R.H .S     2  1  1.62  L.H .S  R.H .S 2 1  5  L.H .S  a2 R.H .S     2  1  2.62  L.H .S  R.H .S k 1 k 1  5  1  5  A n  k  1 & n  k  ak 1    & ak     2   2 
  • 45.
    (iv) The Fibonaccisequence is defined by; a1  a2  1 an1  an  an1 for n  1 n 1  5  Prove that an    for n  1  2  Test: n = 1 and n =2 1 1  5  L.H .S  a1 R.H .S     2  1  1.62  L.H .S  R.H .S 2 1  5  L.H .S  a2 R.H .S     2  1  2.62  L.H .S  R.H .S k 1 k 1  5  1  5  A n  k  1 & n  k  ak 1    & ak     2   2  k 1 1 5  P n  k  1 ak 1      2 
  • 46.
    Proof: ak 1  ak  ak 1
  • 47.
    Proof: ak 1  ak  ak 1 k k 1 1  5  1  5       2   2 
  • 48.
    Proof: ak 1  ak  ak 1 k k 1 1  5  1  5      2   2  k 1 1 2  1  5   1  5 1  5           2   2    2   
  • 49.
    Proof: ak 1  ak  ak 1 k k 1 1  5  1 5      2   2  k 1 1 2  1  5   1  5 1  5           2   2    2    k 1 1  5   2 4      2  2  1  5 1  5  
  • 50.
    Proof: ak 1  ak  ak 1 k k 1 1  5  1  5      2   2  k 1 1 2  1  5   1  5 1  5           2   2    2    k 1 1  5  2 4      2  2  1  5 1  5   k 1 1  5  2  2 5  4    2   2   1  5   k 1 1  5  62 5     2  2   1  5  
  • 51.
    Proof: ak 1  ak  ak 1 k k 1 1  5  1  5      2   2  k 1 1 2  1  5   1  5 1  5           2   2    2    k 1 1  5  2 4      2  2  1  5 1  5   k 1 1  5  2  2 5  4    2   2   1  5   k 1 1  5   6  2 5       2   1  5 2  k 1 1  5     2 
  • 52.
    Proof: ak 1  ak  ak 1 k k 1 1  5  1  5      2   2  k 1 1 2  1  5   1  5 1  5           2   2    2    k 1 1  5  2 4      2  2  1  5 1  5   k 1 1  5  2  2 5  4    2   2   1  5   k 1 1  5   6  2 5       2   1  5 2  k 1 1  5     2  k 1 1  5   ak 1     2 
  • 53.
    Proof: ak 1  ak  ak 1 k k 1 1  5  1  5      2   2  k 1 1 2  1  5   1  5 1  5           2   2    2    k 1 1  5  2 4  Sheets     2  2  1  5 1  5   k 1 + 1  5  2  2 5  4    2   2   1  5   Exercise 10E* k 1 1  5   6  2 5       2   1  5 2  k 1 1  5     2  k 1 1  5   ak 1     2 