Mathematical Induction
Mathematical Induction
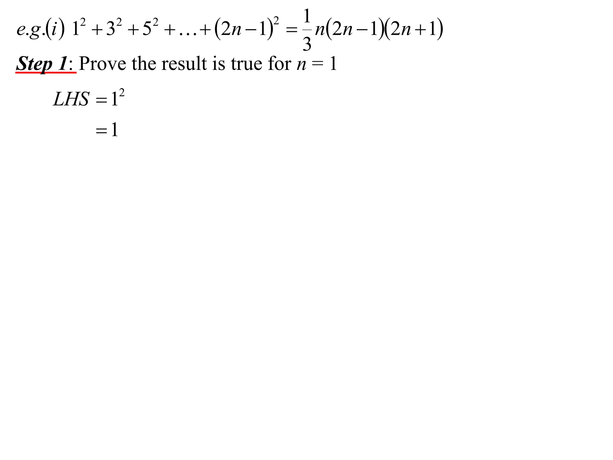
Step 1: Prove the result is true for n = 1 (or whatever the first term
is)
Mathematical Induction
Step 1: Prove the result is true for n = 1 (or whatever the first term
is)
Step 2: Assume the result is true for n = k, where k is a positive
integer (or another condition that matches the question)
Mathematical Induction
Step 1: Prove the result is true for n = 1 (or whatever the first term
is)
Step 2: Assume the result is true for n = k, where k is a positive
integer (or another condition that matches the question)
Step 3: Prove the result is true for n = k + 1
Mathematical Induction
Step 1: Prove the result is true for n = 1 (or whatever the first term
is)
Step 2: Assume the result is true for n = k, where k is a positive
integer (or another condition that matches the question)
Step 3: Prove the result is true for n = k + 1
NOTE: It is important to note in your conclusion that the result is
true for n = k + 1 if it is true for n = k
Mathematical Induction
Step 1: Prove the result is true for n = 1 (or whatever the first term
is)
Step 2: Assume the result is true for n = k, where k is a positive
integer (or another condition that matches the question)
Step 3: Prove the result is true for n = k + 1
NOTE: It is important to note in your conclusion that the result is
true for n = k + 1 if it is true for n = k
Step 4: Since the result is true for n = 1, then the result is true for
all positive integral values of n by induction
1
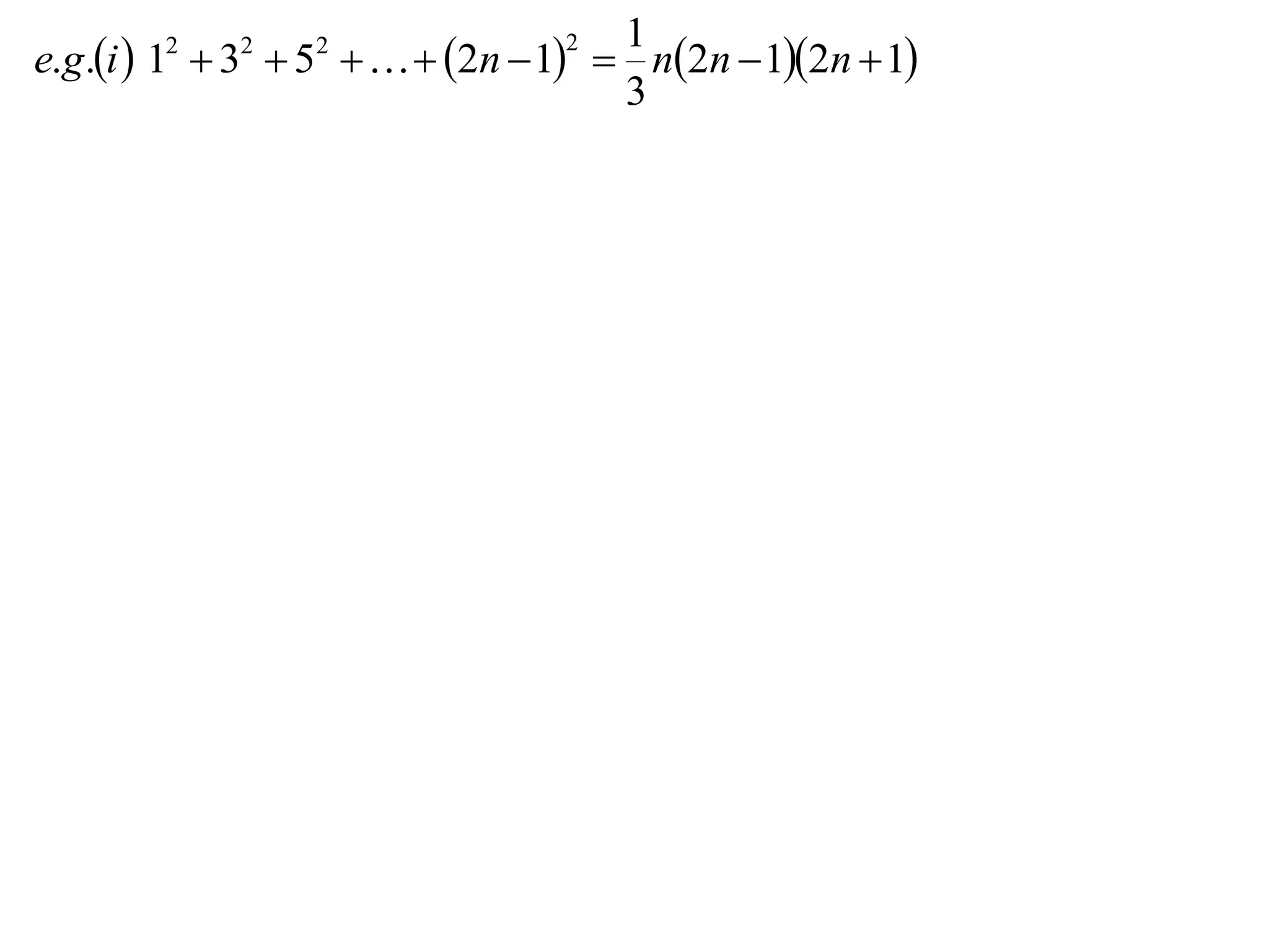
e.g.i  1  3  5    2n  1  n2n  12n  1
3
2

2

2

2
1
e.g.i  1  3  5    2n  1  n2n  12n  1
3
Step 1: Prove the result is true for n = 1
2

2

2

2
1
e.g.i  1  3  5    2n  1  n2n  12n  1
3
Step 1: Prove the result is true for n = 1
2

2

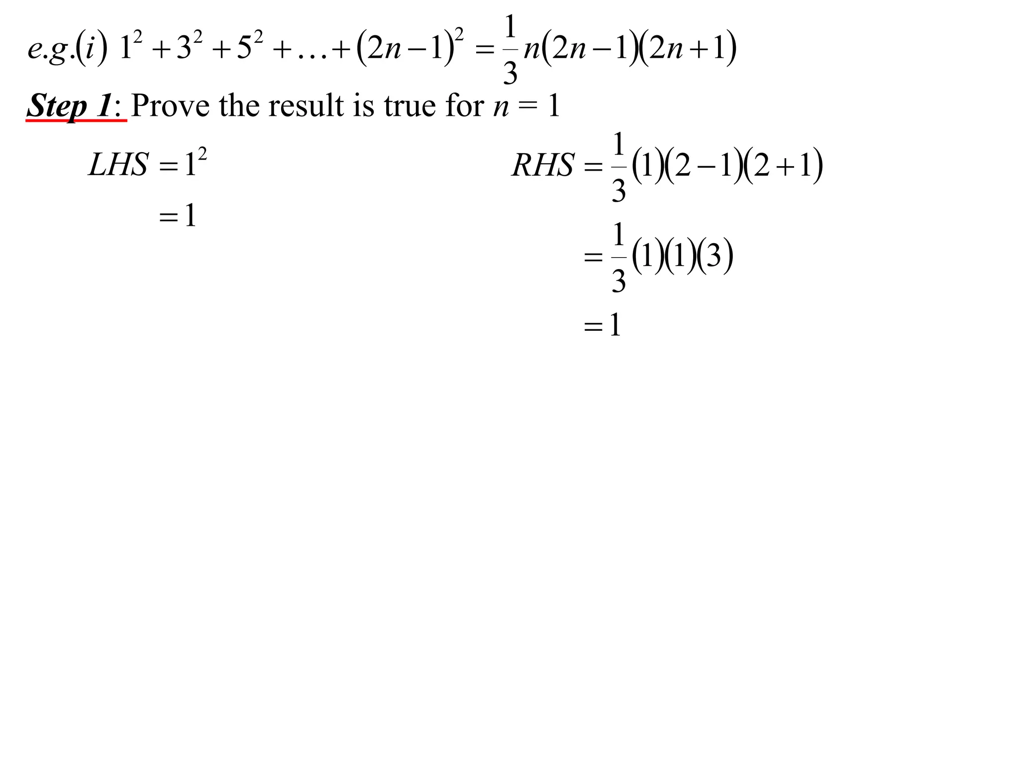
LHS  12
1

2

2
1
e.g.i  1  3  5    2n  1  n2n  12n  1
3
Step 1: Prove the result is true for n = 1
1
LHS  12
RHS  12  12  1
3
1
1
 113
3
1
2

2

2

2
1
e.g.i  1  3  5    2n  1  n2n  12n  1
3
Step 1: Prove the result is true for n = 1
1
LHS  12
RHS  12  12  1
3
1
1
 113
3
1
 LHS  RHS
2

2

2

2
1
e.g.i  1  3  5    2n  1  n2n  12n  1
3
Step 1: Prove the result is true for n = 1
1
LHS  12
RHS  12  12  1
3
1
1
 113
3
1
 LHS  RHS
Hence the result is true for n = 1
2

2

2

2
1
e.g.i  1  3  5    2n  1  n2n  12n  1
3
Step 1: Prove the result is true for n = 1
1
LHS  12
RHS  12  12  1
3
1
1
 113
3
1
 LHS  RHS
Hence the result is true for n = 1
2

2

2

2

Step 2: Assume the result is true for n = k, where k is a positive
integer
1
e.g.i  1  3  5    2n  1  n2n  12n  1
3
Step 1: Prove the result is true for n = 1
1
LHS  12
RHS  12  12  1
3
1
1
 113
3
1
 LHS  RHS
Hence the result is true for n = 1
2

2

2

2

Step 2: Assume the result is true for n = k, where k is a positive
integer
1
2
i.e. 12  32  52    2k  1  k 2k  12k  1
3
1
e.g.i  1  3  5    2n  1  n2n  12n  1
3
Step 1: Prove the result is true for n = 1
1
LHS  12
RHS  12  12  1
3
1
1
 113
3
1
 LHS  RHS
Hence the result is true for n = 1
2

2

2

2

Step 2: Assume the result is true for n = k, where k is a positive
integer
1
2
i.e. 12  32  52    2k  1  k 2k  12k  1
3
Step 3: Prove the result is true for n = k + 1
1
e.g.i  1  3  5    2n  1  n2n  12n  1
3
Step 1: Prove the result is true for n = 1
1
LHS  12
RHS  12  12  1
3
1
1
 113
3
1
 LHS  RHS
Hence the result is true for n = 1
2

2

2

2

Step 2: Assume the result is true for n = k, where k is a positive
integer
1
2
i.e. 12  32  52    2k  1  k 2k  12k  1
3
Step 3: Prove the result is true for n = k + 1
1
2
i.e. Prove : 12  32  52    2k  1  k  12k  12k  3
3
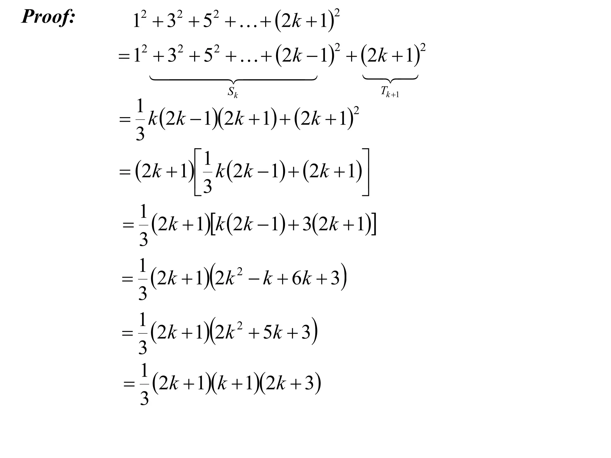
Proof:
Proof:

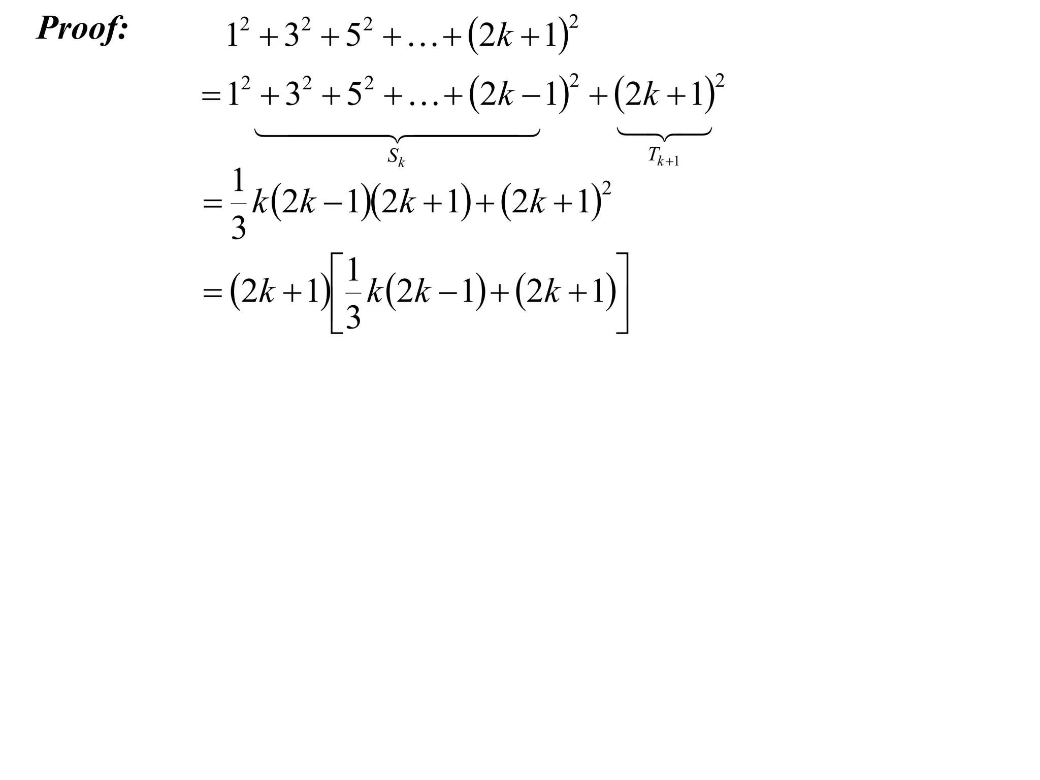
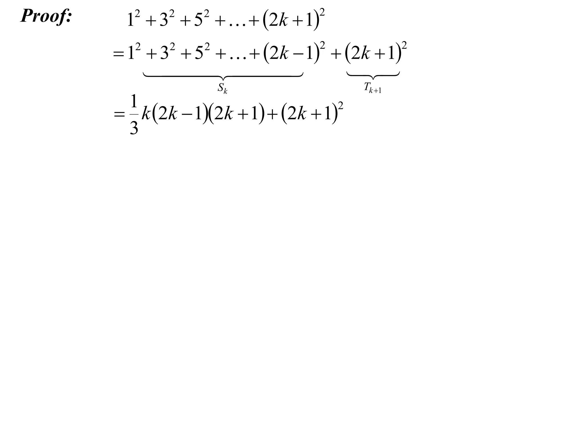
12  32  52    2k  1

2

 12  32  52    2k  1  2k  1
2

2
Proof:

12  32  52    2k  1

2

 12  32  52    2k  1  2k  1
 


2

Sk

2
Proof:

12  32  52    2k  1

2

 12  32  52    2k  1  2k  1

 


2

Sk

2

Tk 1
Proof:

12  32  52    2k  1

2

 12  32  52    2k  1  2k  1

 


2

Sk

1
2
 k 2k  12k  1  2k  1
3

2

Tk 1
Proof:

12  32  52    2k  1

2

 12  32  52    2k  1  2k  1

 


2

Sk

1
2
 k 2k  12k  1  2k  1
3
1

 2k  1 k 2k  1  2k  1
3


2

Tk 1
Proof:

12  32  52    2k  1

2

 12  32  52    2k  1  2k  1

 


2

Sk

1
2
 k 2k  12k  1  2k  1
3
1

 2k  1 k 2k  1  2k  1
3

1
 2k  1k 2k  1  32k  1
3

2

Tk 1
Proof:

12  32  52    2k  1

2

 12  32  52    2k  1  2k  1

 


2

Sk

1
2
 k 2k  12k  1  2k  1
3
1

 2k  1 k 2k  1  2k  1
3

1
 2k  1k 2k  1  32k  1
3
1
 2k  12k 2  k  6k  3
3
1
 2k  12k 2  5k  3
3

2

Tk 1
Proof:

12  32  52    2k  1

2

 12  32  52    2k  1  2k  1

 


2

Sk

1
2
 k 2k  12k  1  2k  1
3
1

 2k  1 k 2k  1  2k  1
3

1
 2k  1k 2k  1  32k  1
3
1
 2k  12k 2  k  6k  3
3
1
 2k  12k 2  5k  3
3
1
 2k  1k  12k  3
3

2

Tk 1
Proof:

12  32  52    2k  1

2

 12  32  52    2k  1  2k  1

 


2

Sk

2

Tk 1

1
2
 k 2k  12k  1  2k  1
3
1

 2k  1 k 2k  1  2k  1
3

1
 2k  1k 2k  1  32k  1
3
1
 2k  12k 2  k  6k  3
3
1
 2k  12k 2  5k  3
3
1
 2k  1k  12k  3
3
Hence the result is true for n = k + 1 if it is also true for n = k
Step 4: Since the result is true for n = 1, then the result is true for
all positive integral values of n by induction
n

1
n
ii  

2n  1
k 1 2k  12k  1
n

1
n
ii  

2n  1
k 1 2k  12k  1
1
1
1
1
n




1 3 3  5 5  7
2n  12n  1 2n  1
n

1
n
ii  

2n  1
k 1 2k  12k  1
1
1
1
1
n




1 3 3  5 5  7
2n  12n  1 2n  1
Step 1: Prove the result is true for n = 1
n

1
n
ii  

2n  1
k 1 2k  12k  1
1
1
1
1
n




1 3 3  5 5  7
2n  12n  1 2n  1
Step 1: Prove the result is true for n = 1
1
LHS 
1 3
1

3
n

1
n
ii  

2n  1
k 1 2k  12k  1
1
1
1
1
n




1 3 3  5 5  7
2n  12n  1 2n  1
Step 1: Prove the result is true for n = 1
1
1
LHS 
RHS 
1 3
2 1
1
1


3
3
n

1
n
ii  

2n  1
k 1 2k  12k  1
1
1
1
1
n




1 3 3  5 5  7
2n  12n  1 2n  1
Step 1: Prove the result is true for n = 1
1
1
LHS 
RHS 
1 3
2 1
1
1


3
3

 LHS  RHS
n

1
n
ii  

2n  1
k 1 2k  12k  1
1
1
1
1
n




1 3 3  5 5  7
2n  12n  1 2n  1
Step 1: Prove the result is true for n = 1
1
1
LHS 
RHS 
1 3
2 1
1
1


3
3

 LHS  RHS
Hence the result is true for n = 1
n

1
n
ii  

2n  1
k 1 2k  12k  1
1
1
1
1
n




1 3 3  5 5  7
2n  12n  1 2n  1
Step 1: Prove the result is true for n = 1
1
1
LHS 
RHS 
1 3
2 1
1
1


3
3

 LHS  RHS
Hence the result is true for n = 1
Step 2: Assume the result is true for n = k, where k is a positive
integer
n

1
n
ii  

2n  1
k 1 2k  12k  1
1
1
1
1
n




1 3 3  5 5  7
2n  12n  1 2n  1
Step 1: Prove the result is true for n = 1
1
1
LHS 
RHS 
1 3
2 1
1
1


3
3

 LHS  RHS
Hence the result is true for n = 1
Step 2: Assume the result is true for n = k, where k is a positive
integer
1
1
1
1
k
i.e.




1 3 3  5 5  7
2k  12k  1 2k  1
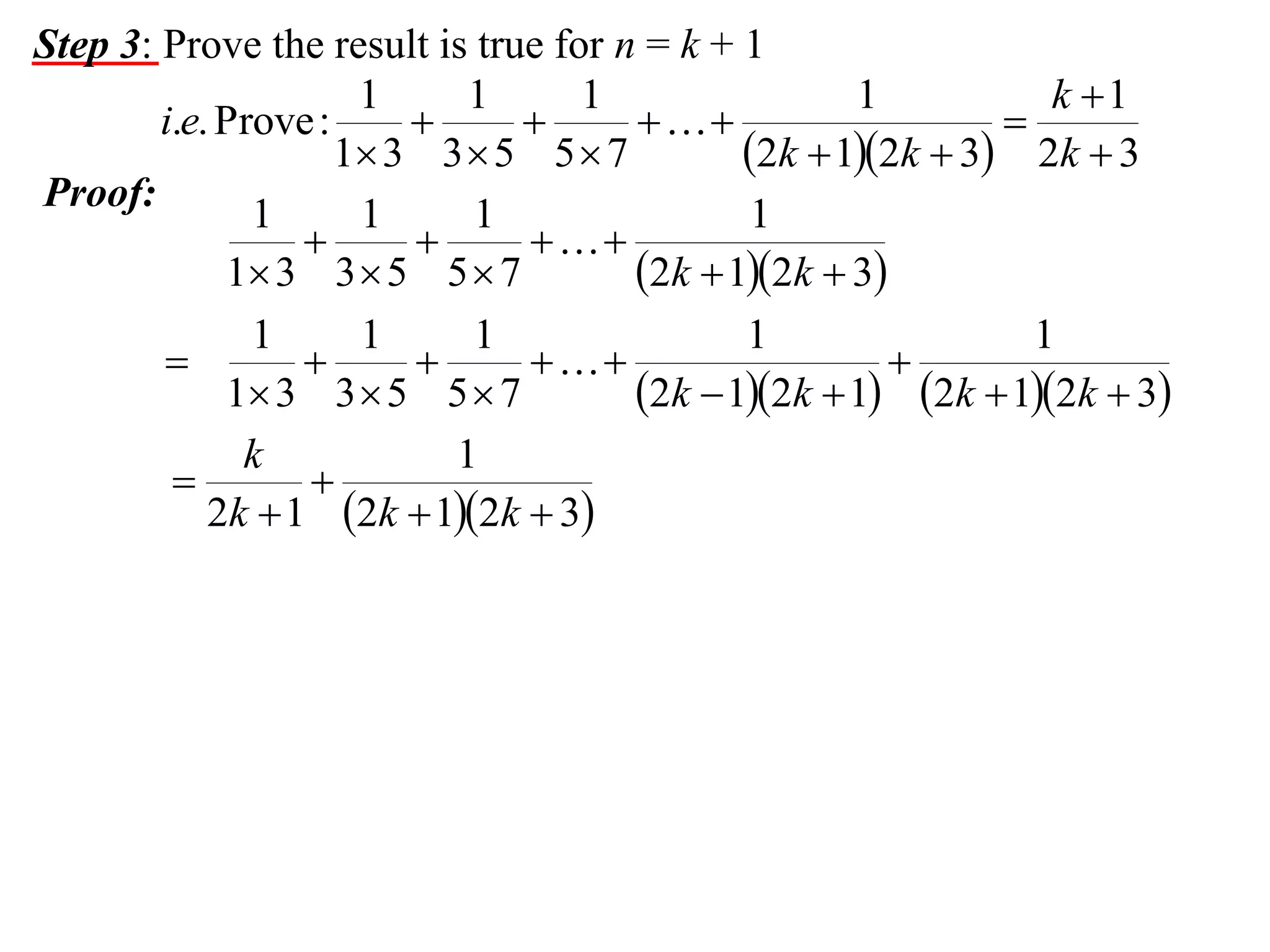
Step 3: Prove the result is true for n = k + 1
Step 3: Prove the result is true for n = k + 1
1
1
1
1
k 1
i.e. Prove :




1 3 3  5 5  7
2k  12k  3 2k  3
Step 3: Prove the result is true for n = k + 1
1
1
1
1
k 1
i.e. Prove :




1 3 3  5 5  7
2k  12k  3 2k  3
Proof:
Step 3: Prove the result is true for n = k + 1
1
1
1
1
k 1
i.e. Prove :




1 3 3  5 5  7
2k  12k  3 2k  3
Proof:
1
1
1
1



1 3 3  5 5  7
2k  12k  3
1
1
1
1
1





1 3 3  5 5  7
2k  12k  1 2k  12k  3
Step 3: Prove the result is true for n = k + 1
1
1
1
1
k 1
i.e. Prove :




1 3 3  5 5  7
2k  12k  3 2k  3
Proof:
1
1
1
1



1 3 3  5 5  7
2k  12k  3
1
1
1
1
1





1 3 3  5 5  7
2k  12k  1 2k  12k  3
k
1


2k  1 2k  12k  3
Step 3: Prove the result is true for n = k + 1
1
1
1
1
k 1
i.e. Prove :




1 3 3  5 5  7
2k  12k  3 2k  3
Proof:
1
1
1
1



1 3 3  5 5  7
2k  12k  3
1
1
1
1
1





1 3 3  5 5  7
2k  12k  1 2k  12k  3
k
1


2k  1 2k  12k  3
k 2k  3  1

2k  12k  3
Step 3: Prove the result is true for n = k + 1
1
1
1
1
k 1
i.e. Prove :




1 3 3  5 5  7
2k  12k  3 2k  3
Proof:
1
1
1
1



1 3 3  5 5  7
2k  12k  3
1
1
1
1
1





1 3 3  5 5  7
2k  12k  1 2k  12k  3
k
1


2k  1 2k  12k  3
k 2k  3  1

2k  12k  3
2k 2  3k  1

2k  12k  3
Step 3: Prove the result is true for n = k + 1
1
1
1
1
k 1
i.e. Prove :




1 3 3  5 5  7
2k  12k  3 2k  3
Proof:
1
1
1
1



1 3 3  5 5  7
2k  12k  3
1
1
1
1
1





1 3 3  5 5  7
2k  12k  1 2k  12k  3
k
1


2k  1 2k  12k  3
k 2k  3  1

2k  12k  3
2k 2  3k  1

2k  12k  3
2k  1k  1

2k  12k  3


k  1
2k  3


k  1
2k  3

Hence the result is true for n = k + 1 if it is also true for n = k


k  1
2k  3

Hence the result is true for n = k + 1 if it is also true for n = k
Step 4: Since the result is true for n = 1, then the result is true for
all positive integral values of n by induction


k  1
2k  3

Hence the result is true for n = k + 1 if it is also true for n = k
Step 4: Since the result is true for n = 1, then the result is true for
all positive integral values of n by induction

Exercise 6N; 1 ace etc, 10(polygon), 13

11 x1 t14 08 mathematical induction 1 (2013)

  • 1.
  • 2.
    Mathematical Induction Step 1:Prove the result is true for n = 1 (or whatever the first term is)
  • 3.
    Mathematical Induction Step 1:Prove the result is true for n = 1 (or whatever the first term is) Step 2: Assume the result is true for n = k, where k is a positive integer (or another condition that matches the question)
  • 4.
    Mathematical Induction Step 1:Prove the result is true for n = 1 (or whatever the first term is) Step 2: Assume the result is true for n = k, where k is a positive integer (or another condition that matches the question) Step 3: Prove the result is true for n = k + 1
  • 5.
    Mathematical Induction Step 1:Prove the result is true for n = 1 (or whatever the first term is) Step 2: Assume the result is true for n = k, where k is a positive integer (or another condition that matches the question) Step 3: Prove the result is true for n = k + 1 NOTE: It is important to note in your conclusion that the result is true for n = k + 1 if it is true for n = k
  • 6.
    Mathematical Induction Step 1:Prove the result is true for n = 1 (or whatever the first term is) Step 2: Assume the result is true for n = k, where k is a positive integer (or another condition that matches the question) Step 3: Prove the result is true for n = k + 1 NOTE: It is important to note in your conclusion that the result is true for n = k + 1 if it is true for n = k Step 4: Since the result is true for n = 1, then the result is true for all positive integral values of n by induction
  • 7.
    1 e.g.i  1 3  5    2n  1  n2n  12n  1 3 2 2 2 2
  • 8.
    1 e.g.i  1 3  5    2n  1  n2n  12n  1 3 Step 1: Prove the result is true for n = 1 2 2 2 2
  • 9.
    1 e.g.i  1 3  5    2n  1  n2n  12n  1 3 Step 1: Prove the result is true for n = 1 2 2 LHS  12 1 2 2
  • 10.
    1 e.g.i  1 3  5    2n  1  n2n  12n  1 3 Step 1: Prove the result is true for n = 1 1 LHS  12 RHS  12  12  1 3 1 1  113 3 1 2 2 2 2
  • 11.
    1 e.g.i  1 3  5    2n  1  n2n  12n  1 3 Step 1: Prove the result is true for n = 1 1 LHS  12 RHS  12  12  1 3 1 1  113 3 1  LHS  RHS 2 2 2 2
  • 12.
    1 e.g.i  1 3  5    2n  1  n2n  12n  1 3 Step 1: Prove the result is true for n = 1 1 LHS  12 RHS  12  12  1 3 1 1  113 3 1  LHS  RHS Hence the result is true for n = 1 2 2 2 2
  • 13.
    1 e.g.i  1 3  5    2n  1  n2n  12n  1 3 Step 1: Prove the result is true for n = 1 1 LHS  12 RHS  12  12  1 3 1 1  113 3 1  LHS  RHS Hence the result is true for n = 1 2 2 2 2 Step 2: Assume the result is true for n = k, where k is a positive integer
  • 14.
    1 e.g.i  1 3  5    2n  1  n2n  12n  1 3 Step 1: Prove the result is true for n = 1 1 LHS  12 RHS  12  12  1 3 1 1  113 3 1  LHS  RHS Hence the result is true for n = 1 2 2 2 2 Step 2: Assume the result is true for n = k, where k is a positive integer 1 2 i.e. 12  32  52    2k  1  k 2k  12k  1 3
  • 15.
    1 e.g.i  1 3  5    2n  1  n2n  12n  1 3 Step 1: Prove the result is true for n = 1 1 LHS  12 RHS  12  12  1 3 1 1  113 3 1  LHS  RHS Hence the result is true for n = 1 2 2 2 2 Step 2: Assume the result is true for n = k, where k is a positive integer 1 2 i.e. 12  32  52    2k  1  k 2k  12k  1 3 Step 3: Prove the result is true for n = k + 1
  • 16.
    1 e.g.i  1 3  5    2n  1  n2n  12n  1 3 Step 1: Prove the result is true for n = 1 1 LHS  12 RHS  12  12  1 3 1 1  113 3 1  LHS  RHS Hence the result is true for n = 1 2 2 2 2 Step 2: Assume the result is true for n = k, where k is a positive integer 1 2 i.e. 12  32  52    2k  1  k 2k  12k  1 3 Step 3: Prove the result is true for n = k + 1 1 2 i.e. Prove : 12  32  52    2k  1  k  12k  12k  3 3
  • 17.
  • 18.
    Proof: 12  32 52    2k  1 2  12  32  52    2k  1  2k  1 2 2
  • 19.
    Proof: 12  32 52    2k  1 2  12  32  52    2k  1  2k  1     2 Sk 2
  • 20.
    Proof: 12  32 52    2k  1 2  12  32  52    2k  1  2k  1      2 Sk 2 Tk 1
  • 21.
    Proof: 12  32 52    2k  1 2  12  32  52    2k  1  2k  1      2 Sk 1 2  k 2k  12k  1  2k  1 3 2 Tk 1
  • 22.
    Proof: 12  32 52    2k  1 2  12  32  52    2k  1  2k  1      2 Sk 1 2  k 2k  12k  1  2k  1 3 1   2k  1 k 2k  1  2k  1 3  2 Tk 1
  • 23.
    Proof: 12  32 52    2k  1 2  12  32  52    2k  1  2k  1      2 Sk 1 2  k 2k  12k  1  2k  1 3 1   2k  1 k 2k  1  2k  1 3  1  2k  1k 2k  1  32k  1 3 2 Tk 1
  • 24.
    Proof: 12  32 52    2k  1 2  12  32  52    2k  1  2k  1      2 Sk 1 2  k 2k  12k  1  2k  1 3 1   2k  1 k 2k  1  2k  1 3  1  2k  1k 2k  1  32k  1 3 1  2k  12k 2  k  6k  3 3 1  2k  12k 2  5k  3 3 2 Tk 1
  • 25.
    Proof: 12  32 52    2k  1 2  12  32  52    2k  1  2k  1      2 Sk 1 2  k 2k  12k  1  2k  1 3 1   2k  1 k 2k  1  2k  1 3  1  2k  1k 2k  1  32k  1 3 1  2k  12k 2  k  6k  3 3 1  2k  12k 2  5k  3 3 1  2k  1k  12k  3 3 2 Tk 1
  • 26.
    Proof: 12  32 52    2k  1 2  12  32  52    2k  1  2k  1      2 Sk 2 Tk 1 1 2  k 2k  12k  1  2k  1 3 1   2k  1 k 2k  1  2k  1 3  1  2k  1k 2k  1  32k  1 3 1  2k  12k 2  k  6k  3 3 1  2k  12k 2  5k  3 3 1  2k  1k  12k  3 3 Hence the result is true for n = k + 1 if it is also true for n = k
  • 27.
    Step 4: Sincethe result is true for n = 1, then the result is true for all positive integral values of n by induction
  • 28.
    n 1 n ii    2n 1 k 1 2k  12k  1
  • 29.
    n 1 n ii    2n 1 k 1 2k  12k  1 1 1 1 1 n     1 3 3  5 5  7 2n  12n  1 2n  1
  • 30.
    n 1 n ii    2n 1 k 1 2k  12k  1 1 1 1 1 n     1 3 3  5 5  7 2n  12n  1 2n  1 Step 1: Prove the result is true for n = 1
  • 31.
    n 1 n ii    2n 1 k 1 2k  12k  1 1 1 1 1 n     1 3 3  5 5  7 2n  12n  1 2n  1 Step 1: Prove the result is true for n = 1 1 LHS  1 3 1  3
  • 32.
    n 1 n ii    2n 1 k 1 2k  12k  1 1 1 1 1 n     1 3 3  5 5  7 2n  12n  1 2n  1 Step 1: Prove the result is true for n = 1 1 1 LHS  RHS  1 3 2 1 1 1   3 3
  • 33.
    n 1 n ii    2n 1 k 1 2k  12k  1 1 1 1 1 n     1 3 3  5 5  7 2n  12n  1 2n  1 Step 1: Prove the result is true for n = 1 1 1 LHS  RHS  1 3 2 1 1 1   3 3  LHS  RHS
  • 34.
    n 1 n ii    2n 1 k 1 2k  12k  1 1 1 1 1 n     1 3 3  5 5  7 2n  12n  1 2n  1 Step 1: Prove the result is true for n = 1 1 1 LHS  RHS  1 3 2 1 1 1   3 3  LHS  RHS Hence the result is true for n = 1
  • 35.
    n 1 n ii    2n 1 k 1 2k  12k  1 1 1 1 1 n     1 3 3  5 5  7 2n  12n  1 2n  1 Step 1: Prove the result is true for n = 1 1 1 LHS  RHS  1 3 2 1 1 1   3 3  LHS  RHS Hence the result is true for n = 1 Step 2: Assume the result is true for n = k, where k is a positive integer
  • 36.
    n 1 n ii    2n 1 k 1 2k  12k  1 1 1 1 1 n     1 3 3  5 5  7 2n  12n  1 2n  1 Step 1: Prove the result is true for n = 1 1 1 LHS  RHS  1 3 2 1 1 1   3 3  LHS  RHS Hence the result is true for n = 1 Step 2: Assume the result is true for n = k, where k is a positive integer 1 1 1 1 k i.e.     1 3 3  5 5  7 2k  12k  1 2k  1
  • 37.
    Step 3: Provethe result is true for n = k + 1
  • 38.
    Step 3: Provethe result is true for n = k + 1 1 1 1 1 k 1 i.e. Prove :     1 3 3  5 5  7 2k  12k  3 2k  3
  • 39.
    Step 3: Provethe result is true for n = k + 1 1 1 1 1 k 1 i.e. Prove :     1 3 3  5 5  7 2k  12k  3 2k  3 Proof:
  • 40.
    Step 3: Provethe result is true for n = k + 1 1 1 1 1 k 1 i.e. Prove :     1 3 3  5 5  7 2k  12k  3 2k  3 Proof: 1 1 1 1    1 3 3  5 5  7 2k  12k  3 1 1 1 1 1      1 3 3  5 5  7 2k  12k  1 2k  12k  3
  • 41.
    Step 3: Provethe result is true for n = k + 1 1 1 1 1 k 1 i.e. Prove :     1 3 3  5 5  7 2k  12k  3 2k  3 Proof: 1 1 1 1    1 3 3  5 5  7 2k  12k  3 1 1 1 1 1      1 3 3  5 5  7 2k  12k  1 2k  12k  3 k 1   2k  1 2k  12k  3
  • 42.
    Step 3: Provethe result is true for n = k + 1 1 1 1 1 k 1 i.e. Prove :     1 3 3  5 5  7 2k  12k  3 2k  3 Proof: 1 1 1 1    1 3 3  5 5  7 2k  12k  3 1 1 1 1 1      1 3 3  5 5  7 2k  12k  1 2k  12k  3 k 1   2k  1 2k  12k  3 k 2k  3  1  2k  12k  3
  • 43.
    Step 3: Provethe result is true for n = k + 1 1 1 1 1 k 1 i.e. Prove :     1 3 3  5 5  7 2k  12k  3 2k  3 Proof: 1 1 1 1    1 3 3  5 5  7 2k  12k  3 1 1 1 1 1      1 3 3  5 5  7 2k  12k  1 2k  12k  3 k 1   2k  1 2k  12k  3 k 2k  3  1  2k  12k  3 2k 2  3k  1  2k  12k  3
  • 44.
    Step 3: Provethe result is true for n = k + 1 1 1 1 1 k 1 i.e. Prove :     1 3 3  5 5  7 2k  12k  3 2k  3 Proof: 1 1 1 1    1 3 3  5 5  7 2k  12k  3 1 1 1 1 1      1 3 3  5 5  7 2k  12k  1 2k  12k  3 k 1   2k  1 2k  12k  3 k 2k  3  1  2k  12k  3 2k 2  3k  1  2k  12k  3 2k  1k  1  2k  12k  3
  • 45.
  • 46.
     k  1 2k 3 Hence the result is true for n = k + 1 if it is also true for n = k
  • 47.
     k  1 2k 3 Hence the result is true for n = k + 1 if it is also true for n = k Step 4: Since the result is true for n = 1, then the result is true for all positive integral values of n by induction
  • 48.
     k  1 2k 3 Hence the result is true for n = k + 1 if it is also true for n = k Step 4: Since the result is true for n = 1, then the result is true for all positive integral values of n by induction Exercise 6N; 1 ace etc, 10(polygon), 13