Thi thử Đại học www.toanpt.net
SỎ GD&DT THANH HÓA - TRƯỜNG THPT HẬU LỘC 2
ĐỀ THI THỬ ĐẠI HỌC LẦN 2 – NĂM HỌC 2010-2011
MÔN TOÁN (Khối A - B - D) - Thời gian làm bài: 180 phút
PHẦN CHUNG (7 điểm). Dành cho tất cả các thí sinh.
Câu I (2 điểm). Cho hàm số
1x
y
x m



(1)
1. Khảo sát sự biến thiên và vẽ đồ thị của hàm số (1) khi 1m  .
2. Tìm các giá trị của tham số m sao cho đường thẳng (d): 2y x  cắt đồ thị hàm số (1) tại hai điểm A và B sao
cho 2 2AB  .
Câu II (2 điểm)
1. Giải phương trình lượng giác:
2
4sin .sin .sin 4 3.cos .cos .cos 2
3 3 3 3
x x x x x x
          
            
       
.
2. Giải hệ phương trình:
2
2
(1 ) ( 2 ) 5
(1 )( 2 2) 2
y x x y x
y x y x
    

   
Câu III (1 điểm). Tính tích phân sau:
3
2
0
cos cos sin
( )
1 cos
x x x
I x dx
x

 


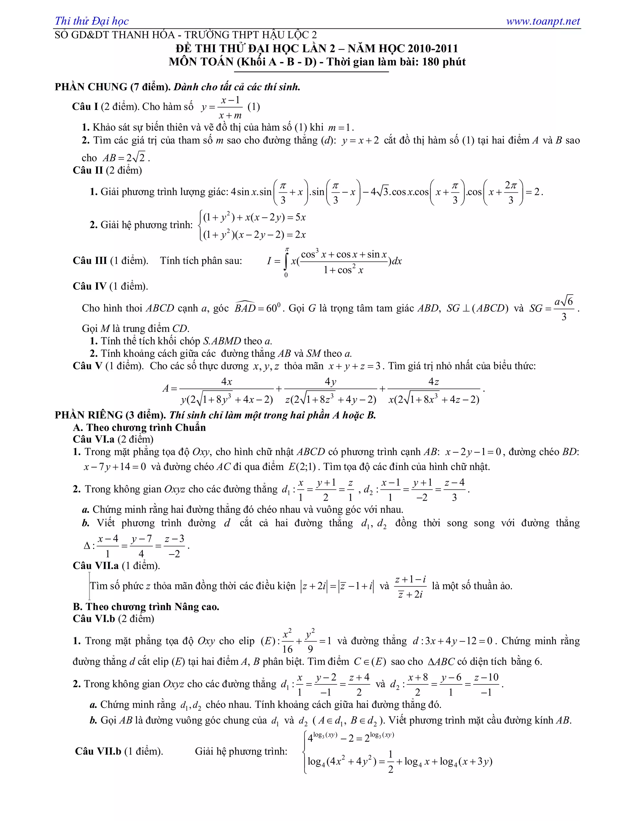
Câu IV (1 điểm).
Cho hình thoi ABCD cạnh a, góc  0
60BAD  . Gọi G là trọng tâm tam giác ABD, ( )SG ABCD và
6
3
a
SG  .
Gọi M là trung điểm CD.
1. Tính thể tích khối chóp S.ABMD theo a.
2. Tính khoảng cách giữa các đường thẳng AB và SM theo a.
Câu V (1 điểm). Cho các số thực dương , ,x y z thỏa mãn 3x y z   . Tìm giá trị nhỏ nhất của biểu thức:
3 3 3
4 4 4
(2 1 8 4 2) (2 1 8 4 2) (2 1 8 4 2)
x y z
A
y y x z z y x x z
  
        
.
PHẦN RIÊNG (3 điểm). Thí sinh chỉ làm một trong hai phần A hoặc B.
A. Theo chương trình Chuẩn
Câu VI.a (2 điểm)
1. Trong mặt phẳng tọa độ Oxy, cho hình chữ nhật ABCD có phương trình cạnh AB: 2 1 0x y   , đường chéo BD:
7 14 0x y   và đường chéo AC đi qua điểm (2;1)E . Tìm tọa độ các đỉnh của hình chữ nhật.
2. Trong không gian Oxyz cho các đường thẳng 1 2
1 1 1 4
: , :
1 2 1 1 2 3
x y z x y z
d d
   
   

.
a. Chứng minh rằng hai đường thẳng đó chéo nhau và vuông góc với nhau.
b. Viết phương trình đường d cắt cả hai đường thẳng 1 2,d d đồng thời song song với đường thẳng
4 7 3
:
1 4 2
x y z  
  

.
Câu VII.a (1 điểm).
Tìm số phức z thỏa mãn đồng thời các điều kiện 2 1z i z i    và
1
2
z i
z i
 

là một số thuần ảo.
B. Theo chương trình Nâng cao.
Câu VI.b (2 điểm)
1. Trong mặt phẳng tọa độ Oxy cho elip
2 2
( ) : 1
16 9
x y
E   và đường thẳng :3 4 12 0d x y   . Chứng minh rằng
đường thẳng d cắt elip (E) tại hai điểm A, B phân biệt. Tìm điểm ( )C E sao cho ABC có diện tích bằng 6.
2. Trong không gian Oxyz cho các đường thẳng 1
2 4
:
1 1 2
x y z
d
 
 

và 2
8 6 10
:
2 1 1
x y z
d
  
 

.
a. Chứng minh rằng 1 2,d d chéo nhau. Tính khoảng cách giữa hai đường thẳng đó.
b. Gọi AB là đường vuông góc chung của 1d và 2d ( 1 2,A d B d  ). Viết phương trình mặt cầu đường kính AB.
Câu VII.b (1 điểm). Giải hệ phương trình:
3 3log ( ) log ( )
2 2
4 4 4
4 2 2
1
log (4 4 ) log log ( 3 )
2
xy xy
x y x x y
  


    

Thi thử Đại học www.toanpt.net
ĐÁP ÁN VÀ HƯỚNG DẪN CHẤM ĐỀ THI THỬ ĐẠI HỌC LẦN 2
Câu Ý Nội dung Điểm
I
1
(1 đ)
Với 1m  ta được hàm số
1
1
x
y
x



.
1/ TXĐ:   1D R 
2/ Sự biến thiên:
- Giới hạn:
1
lim lim 1
1x x
x
y
x 

 

 đồ thị hàm số có tiệm cận ngang là 1y  .
( 1) ( 1) ( 1) ( 1)
1 1
lim lim ; lim lim
1 1x x x x
x x
y y
x x   
       
 
     
 
 đồ thị hàm số có tiệm cận đứng là 1x  
- Chiều biến thiên:
2
2
' 0
( 1)
y x D
x
    

hàm số đồng biến trên các khoảng xác định.
Hàm số không có cực trị.
- Bảng biến thiên
x  1 
'y  
y

1
1

3/ Đồ thị:
- Đồ thị hàm số cắt trục Ox tại điểm (1;0) , cắt trục Oy tại điểm (0; 1)
0.25 đ
0.25 đ
0.5 đ
2
(1 đ)
- Xét phương trình hoành độ giao điểm của d và đồ thị hàm số (1):
2
1
2
( 1) 2 1 0 (*)
x mx
x
x m x m x m
 
   
     
- Đường thẳng d cắt đồ thị hàm số (1) tại hai điểm A, B phân biệt khi và chỉ khi PT
(*) có hai nghiệm phân biệt khác m
2
0 6 3 0 3 2 3 3 2 3
1 1
m m m m
x m m m
          
    
       
(**)
- Khi đó gọi 1 2,x x là các nghiệm của PT (*), ta có 1 2
1 2
( 1)
. 2 1
x x m
x x m
   

 
- Các giao điểm của d và đồ thị hàm số (1) là 1 1 2 2( ; 2), ( ; 2)A x x B x x  .
0.25 đ
0.25 đ
0.25 đ
Thi thử Đại học www.toanpt.net
Suy ra 2 2 2 2
1 2 1 2 1 22( ) 2 ( ) 4 2( 6 3)AB x x x x x x m m         
Theo giả thiết ta được 2 2 1
2( 6 3) 8 6 7 0
7
m
m m m m
m
 
         
- Kết hợp với điều kiện (**) ta được 7m  là giá trị cần tìm.
0.25 đ
II
1
(1 đ)
Giải phương trình:
2
4sin .sin .sin 4 3.cos .cos .cos 2
3 3 3 3
x x x x x x
          
            
       
.
2
PT 2sin (cos2 cos ) 2 3.cos .(cos(2 ) cos ) 2
3 3
2sin .cos2 sin 2 3.cos .cos2 3 cos 2
(sin3 sin ) sin 3(cos3 cos ) 3 cos 2
1 3
sin3 3 cos3 2 sin3 cos3 1
2 2
cos 3 1 3 2 3 2
6 6 6
x x x x
x x x x x x
x x x x x x
x x x x
x x k x k
 

  
 
     
    
      
     
 
         
 

2
, Z.
18 3
x k k
 
  
Vậy PT ban đầu có 1 họ nghiệm :
2
, Z
18 3
x k k
 
  
0.25 đ
0.25 đ
0.25 đ
0.25 đ
2
(1 đ)
Giải hệ PT:
2
2
(1 ) ( 2 ) 5
(1 )( 2 2) 2
y x x y x
y x y x
    

   
(I)
* Nếu 0x  thì hệ (I)
2
2
1 0
(1 )(2 2) 0
y
y y
  
 
  
vô nghiệm.
* Nếu 0x  thì chia cả hai vế của cả hai PT trong hệ cho x ta được hệ tương đương
2 2
2 2
1 1
( 2 ) 5 ( 2 2) 3
1 1
( 2 2) 2 ( 2 2) 2
y y
x y x y
x x
y y
x y x y
x x
  
        
 
       
  
- Đặt
2
1
, 2 2
y
u v x y
x

    , ta được hệ phương trình:
3 1
2 2
u v u
uv v
   
 
  
hoặc
2
1
u
v



- Với
2
2
2
1 2 41 11
2 2 4 2 3 0
2 2 2
y x yu x y
x
v x y y y
x y
       
     
          
2 4 2
1 3 1
x y x
y y y
   
  
      
10
3
x
y

 

- Với
2
2
2
1 2 32 1 22
1 2 3 4 5 0
2 2 1
y x yu y x
x
v x y y y
x y
       
     
          
2 3 1 13
1 5 1 5
x y x x
y y y y
     
    
        
- Vậy hệ ban đầu có 4 nghiệm ( ; ) (2; 1) , (10; 3) , (1; 1) , (13; 5)x y    .
0.25 đ
0.25 đ
0.25 đ
0.25 đ
III (1 đ)
Tính tích phân:
Thi thử Đại học www.toanpt.net
S
M
G
D
CB
A
3
2
0
cos cos sin
( )
1 cos
x x x
I x dx
x

 


2
2 2
0 0 0
cos (1 cos ) sin .sin
.cos .
1 cos 1 cos
x x x x x
x dx x x dx dx J K
x x
  
  
     
  
  
- Tính
0
.cos .J x x dx

  . Đặt
cos sin
u x du dx
dv xdx v x
  
 
  
0 0
0
( .sin ) sin . 0 cos 2J x x x dx x

 
      
- Tính 2
0
.sin
1 cos
x x
K dx
x



Đặt x t dx dt    
Đổi cận :
x 0 
t  0
2 2 2
0 0 0
( ).sin( ) ( ).sin ( ).sin
1 cos ( ) 1 cos 1 cos
t t t t x x
K dt dt dx
t t x
  
   

   
   
     
2 2 2
0 0 0
( ).sin sin . sin .
2
1 cos 1 cos 2 1 cos
x x x x dx x dx
K dx K
x x x
  
 

 
    
    
Đặt cos sin .t x dt x dx   
Đổi cận:
x 0 
t 1 1
1
2
1
2 1
dt
K
t


 
 , đặt 2
tan (1 tan )t u dt u du   
Đổi cận:
t 1 1
u
4


4

2 24 4
4
2
4
4 4
(1 tan )
.
2 1 tan 2 2 4
u du
K du u
u
 


 
   

 

    
 
Vậy
2
2
4
I

 
0.25 đ
0.25 đ
0.25 đ
0.25 đ
IV
(1 đ)
1
(0.5 đ)
* Tính thể tích S.ABMD.
Thi thử Đại học www.toanpt.net
- Nhận thấy: SG là chiều cao của khối chóp S.ABMD,
6
3
a
SG  ;
Do ABCD là hình thoi cạnh a,  0
60BAD  ABD  và BCD là các tam giác đều
cạnh a, M là trung điểm CD
2 2
2 2 2
1 1 3 3
2 2 4 8
3 3 3 3
2 8 8
BCM BCD
ABMD ABCD BCM
a a
S S
a a a
S S S
 

   
     
2 3
.
1 1 6 3 3 2
. . .
3 3 3 8 8
S ABMD ABMD
a a a
V SG S   
Vậy
3
.
2
8
S ABMD
a
V 
0.25 đ
0.25 đ
2
(0.5 đ)
* Tính khoảng cách giữa AB và SM:
- Nhận thấy: // //( )AB CD AB SCD , mà ( )SM SCD
( , ) ( ,( )) ( ,( ))d AB SM d AB SCD d B SCD h   
- Lại có:
2 2 1 1 3 2 3
.
3 3 2 3 3 3
a a
AG AO AC AC GC     
2 2
2 2 2 26 12
2
9 9
a a
SC SG GC a     
Mặt khác
2 2
2 2 2 23 6 3
3 9 9
a a a
GD GA SD SG GD a       
 
2 2 2 2 2 2
02 1
cos 45
2. . 2. 2. 2
SC CD SD a a a
SCD SCD
SC CD a a
   
     
2
01 1 1
. .sin 45 . 2. .
2 2 2 42
SCM
a a
S SC CM a   
Vì . .
1
. .
3
S BCM B SCM SCMV V h S  nên .3 B SCM
SCM
V
h
S

Mà
2 3 3 3 3
. . . .
1 6 3 2 2 2 2
. .
3 3 2 8 6 8 24
B SCM S BCM S ABCD S ABMD
a a a a a a
V V V V       
3 2
3. 2 2
:
24 4 2
a a a
h   .
Vậy
2
( , )
2
a
d AB SM 
0.25 đ
0.25 đ
V
(1 đ)
- Áp dụng BĐT AM-GM ta có:
3 2 2 2
3 2
2 23
2 1 8 2 (1 2 )(1 2 4 ) 1 2 1 2 4 2 4
4 4 1
2 1 8 2 4
(4 4 )(2 1 8 4 2)
y y y y y y y y
x x y
y y
y y x y x yy y x
           
       
   
Tương tự cho 2 hạng tử còn lại, ta được:
2 2 2
1 1 1 x y z
A
x y z z x x y y z
 
      
   
- Sử dụng BĐT AM-GM để đánh giá mẫu số, ta có:
0.25 đ
Thi thử Đại học www.toanpt.net
2 2 2 2 2 2
1 1 1 1 1 1
2 2 2
1 1 1 1 1 1 1
2
x y z x y z
A
x y z z x x y y z x y z zx xy yz
x y z x y z
  
                    
 
       
 
- Lại có:
1 1 1 1 1 1 1 1 1
3 1 1 1 2
x y z x y z x y z
     
                        
Suy ra
1 1 1 1 1 1 1 3 1 1 1
2 3 3
2 2
A
x y z x y z x y z
     
                    
     
3
3 3 3 3 3
. 3 . 3
2 2 2
3
x y zxyz
    
 
.
Vậy min
3
1
2
A x y z    
0.25 đ
0.25 đ
0.25 đ
VI.a
1
(1 đ)
* Tìm tọa độ các đỉnh của hình chữ nhật:
- Ta có: B AB BD  suy ra tọa độ B là nghiệm hệ:
2 1 0 7
(7; 3)
7 14 0 3
x y x
B
x y y
    
   
    
- Giả sử (2 1; ) :2 2 1 0; (7 14; ) : 7 14 0A a a AB y D d d BD x y           
(6 2 ; 3 ), (7 21; 3); (7 2 15; )AB a a BD d d AD d a d a          
  
Do
3 (loai)
. 0 (3 )(15 5 30) 0
3 6 0
a
AB AD AB AD a d a
d a

            
   
3 6 ( 3;6 2 )a d AD d d      

.
Lại có: ( 7; 3)C CBC x y  

. Mà ABCD là hình chữ nhật nên AD BC
 
3 7 4
( 4; 9 2 )
6 2 3 9 2
C C
C C
d x x d
C d d
d y y d
     
     
     
.
(6 13; 3 7), ( 2; 8 2 )EA d d EC d d      
 
với (2;1)E 
- Mặt khác điểm (2;1) ,E AC EA EC 
 
cùng phương
2
(6 13)(8 2 ) ( 2)(3 7) 5 6 0
2 0
0
3 3 (loai)
d d d d d d
d a
a
d a
         
  
      
Vậy (1; 0), (7; 3), (6; 5), (0; 0)A B C D    là các đỉnh của hình chữ nhật cần tìm.
0.25 đ
0,25 đ
0.25 đ
0.25 đ
1
(1 đ)
1 2
1 1 1 4
: , :
1 2 1 1 2 3
x y z x y z
d d
   
   

.
Đường thẳng 1d đi qua điểm 1 (0; 1;0)M   , có vectơ chỉ phương là 1 (1; 2; 1)u 

Đường thẳng 2d đi qua điểm 2 (1; 1;4)M   , có vectơ chỉ phương là 2 (1; 2;3)u  

.
a/ Ta có 1 2 1 2 1 2 1 2, (8; 2; 4), (1; 0; 4) , . 8 0u u M M u u M M             
     
1 2,d d chéo nhau.
Lại có 1 2 1 2. 1 4 3 0u u d d     
 
. Vậy 1d , 2d chéo và vuông góc với nhau.
b/ Gọi 1 2, ( ; 1 2 ; ), (1 ; 1 2 ;4 3 )M d d N d d M t t t N s s s            
(1 ; 2 2 ;4 3 )MN s t s t s t       

là một vectơ chỉ phương của đường thẳng d.
Lại có (1;4; 2)u  

là vectơ chỉ phương của  ,
0.25 đ
0.25 đ
0,25 đ
Thi thử Đại học www.toanpt.net
do đó //d u 

cùng phương với MN
 2 0
, 0
5 3 6 0
s t
u MN
s t
  
        
  
0
(2;3;2)
2
s
M
t

 

. Vậy đường thẳng cần tìm là
2 3 2
:
1 4 2
x y z
d
  
 

.
0.25 đ
VII.a
(1 đ)
* Tìm số phức z...
Đặt
2 ( 2)
( , )
1 ( 1) (1 )
z i a b i
z a bi a b R
z i a b i
   
    
     
2 2 2 2
2 1 ( 2) ( 1) (1 ) 1 3z i z i a b a b a b               
Và 2 2 2 2
1 ( 1) ( 1) ( 1) ( 2)( 1) (2 3) 2
2 (2 ) (2 ) (2 )
z i a b i a a b b a b b
i
z i a b i a b a b
           
  
      
là một số
thuần ảo khi và chỉ khi 2
( 1) ( 2)( 1) 0 4 3 1 0a a b b b b        
1 2
1 7
4 4
b a
b a
   
  
   
 
. Vậy có hai số phức cần tìm: 2z i  và
7 1
4 4
z i  
0,25 đ
0,25 đ
0,25 đ
0,25 đ
VI.b
1
(1 đ)
* Chứng minh đường thẳng d cắt (E) tại 2 điểm ...
- Xét hệ PT giao điểm
2 2
4, 01
... (4;0), (0;3)16 9
0, 3
3 4 12 0
x y
x y
A B
x y
x y

  
        
là các
giao điểm của d và (E).
- Gọi
2 2
0 0
0 0( ; ) ( ) 1
16 9
x y
C x y E    (1). Ta có 0 03 4 12
( , )
5
x y
d C AB h
 
 
0 0
0 0
3 4 121 1 1
. . .5. 3 4 12
2 2 5 2
ABC
x y
S AB h x y
 
    
Theo giả thiết suy ra 0 0
0 0
0 0
3 4 24 (2)
3 4 12 12
3 4 0 (3)
x y
x y
x y
 
      
- Từ (1) và (2) ta được PT 2
0 02 12 27 0y y   , PT này vô nghiệm
- Từ (1 và (3) ta được PT 2
0 0 0
3
32 144 2 2
2
y y x       .
Vậy có hai điểm thỏa mãn yêu cầu bài toán là:
3
2 2;
2
C
 
  
 
và
3
2 2;
2
C
 
  
 
.
0,25 đ
0.25 đ
0.25 đ
0.25 đ
2
(1 đ)
Ta có: 1
2 4
:
1 1 2
x y z
d
 
 

và 2
8 6 10
:
2 1 1
x y z
d
  
 

.
1d đi qua điểm 1 (0;2; 4)M   , có vectơ chỉ phương là 1 (1; -1; 2)u 

2d đi qua điểm 2 ( 8;6;10)M   , có vectơ chỉ phương là 2 (2;1; 1)u  

.
a/ 1 2 1 2 1 2 1 2, ( 1;5;3), ( 8;4;14) , . 70 0u u M M u u M M            
     
Suy ra 1d và 2d chéo nhau.
1 2 1 2
1 2
1 2
, . 70
( , ) 2 35
35,
u u M M
d d d
u u
 
 
  
 
 
  
 
b/ Ta có 1 2, ( ;2 ; 4 2 ), ( 8 2 ;6 ;10 )A d B d A t t t B s s s           
( 8 2 ;4 ;14 2 )AB s t s t s t        

0.25 đ
0.25 đ
0.25 đ
Thi thử Đại học www.toanpt.net
Do AB là đường vuông góc chung nên 1 1
2 2
. 0 4
...
2. 0
AB u AB u s
tAB u AB u
    
    
    
   
   
(2;0;0), (0;10;6)A B   .
Mặt cầu đường kính AB có PT là: 2 2 2
( 1) ( 5) ( 3) 35x y z      .
0.25 đ
VII.b
Giải hệ PT:
3 3log ( ) log ( )
2 2
4 4 4
4 2 2 (1)
1
log (4 4 ) log log ( 3 ) (2)
2
xy xy
x y x x y
  


    

- ĐK: 0, 0x y  .
Đặt 3log ( )
2 0xy
t   , PT (1) trở thành
2
3
1 (loai) 3
2 0 2 log ( ) 1 3
2
t
t t t xy xy y
t x
 
            
Thay vào PT (2) ta được PT 2
4 4 42
36 1 9
log (4 ) log log ( )
2
x x x
x x
    
2
2 2 4 2
2 2 2
336 9 36
4 2 ( ) 2 18 0 9 18 0
6
x
x x x x x x
x x x x
 
             

3
3
6
6
2
y
x
x y
   
  
  
.
Vậy hệ có 2 nghiệm là   6
3; 3 , 6;
2
 
  
 
0.25 đ
0.25 đ
0.25 đ
0.25 đ
Lưu ý: - Các cách giải khác nếu đúng vẫn cho điểm tối đa của câu đó.
- Câu IV phải vẽ hình, nếu không vẽ hoặc vẽ sai cơ bản thì không chấm.
- Thí sinh thi khối D thì câu I.1 cho 1.5 điểm; câu II.1 cho 1.5 đ; câu II.2 cho 1.5 đ

Toan pt.de067.2011

  • 1.
    Thi thử Đạihọc www.toanpt.net SỎ GD&DT THANH HÓA - TRƯỜNG THPT HẬU LỘC 2 ĐỀ THI THỬ ĐẠI HỌC LẦN 2 – NĂM HỌC 2010-2011 MÔN TOÁN (Khối A - B - D) - Thời gian làm bài: 180 phút PHẦN CHUNG (7 điểm). Dành cho tất cả các thí sinh. Câu I (2 điểm). Cho hàm số 1x y x m    (1) 1. Khảo sát sự biến thiên và vẽ đồ thị của hàm số (1) khi 1m  . 2. Tìm các giá trị của tham số m sao cho đường thẳng (d): 2y x  cắt đồ thị hàm số (1) tại hai điểm A và B sao cho 2 2AB  . Câu II (2 điểm) 1. Giải phương trình lượng giác: 2 4sin .sin .sin 4 3.cos .cos .cos 2 3 3 3 3 x x x x x x                                 . 2. Giải hệ phương trình: 2 2 (1 ) ( 2 ) 5 (1 )( 2 2) 2 y x x y x y x y x           Câu III (1 điểm). Tính tích phân sau: 3 2 0 cos cos sin ( ) 1 cos x x x I x dx x      Câu IV (1 điểm). Cho hình thoi ABCD cạnh a, góc  0 60BAD  . Gọi G là trọng tâm tam giác ABD, ( )SG ABCD và 6 3 a SG  . Gọi M là trung điểm CD. 1. Tính thể tích khối chóp S.ABMD theo a. 2. Tính khoảng cách giữa các đường thẳng AB và SM theo a. Câu V (1 điểm). Cho các số thực dương , ,x y z thỏa mãn 3x y z   . Tìm giá trị nhỏ nhất của biểu thức: 3 3 3 4 4 4 (2 1 8 4 2) (2 1 8 4 2) (2 1 8 4 2) x y z A y y x z z y x x z             . PHẦN RIÊNG (3 điểm). Thí sinh chỉ làm một trong hai phần A hoặc B. A. Theo chương trình Chuẩn Câu VI.a (2 điểm) 1. Trong mặt phẳng tọa độ Oxy, cho hình chữ nhật ABCD có phương trình cạnh AB: 2 1 0x y   , đường chéo BD: 7 14 0x y   và đường chéo AC đi qua điểm (2;1)E . Tìm tọa độ các đỉnh của hình chữ nhật. 2. Trong không gian Oxyz cho các đường thẳng 1 2 1 1 1 4 : , : 1 2 1 1 2 3 x y z x y z d d          . a. Chứng minh rằng hai đường thẳng đó chéo nhau và vuông góc với nhau. b. Viết phương trình đường d cắt cả hai đường thẳng 1 2,d d đồng thời song song với đường thẳng 4 7 3 : 1 4 2 x y z       . Câu VII.a (1 điểm). Tìm số phức z thỏa mãn đồng thời các điều kiện 2 1z i z i    và 1 2 z i z i    là một số thuần ảo. B. Theo chương trình Nâng cao. Câu VI.b (2 điểm) 1. Trong mặt phẳng tọa độ Oxy cho elip 2 2 ( ) : 1 16 9 x y E   và đường thẳng :3 4 12 0d x y   . Chứng minh rằng đường thẳng d cắt elip (E) tại hai điểm A, B phân biệt. Tìm điểm ( )C E sao cho ABC có diện tích bằng 6. 2. Trong không gian Oxyz cho các đường thẳng 1 2 4 : 1 1 2 x y z d      và 2 8 6 10 : 2 1 1 x y z d       . a. Chứng minh rằng 1 2,d d chéo nhau. Tính khoảng cách giữa hai đường thẳng đó. b. Gọi AB là đường vuông góc chung của 1d và 2d ( 1 2,A d B d  ). Viết phương trình mặt cầu đường kính AB. Câu VII.b (1 điểm). Giải hệ phương trình: 3 3log ( ) log ( ) 2 2 4 4 4 4 2 2 1 log (4 4 ) log log ( 3 ) 2 xy xy x y x x y           
  • 2.
    Thi thử Đạihọc www.toanpt.net ĐÁP ÁN VÀ HƯỚNG DẪN CHẤM ĐỀ THI THỬ ĐẠI HỌC LẦN 2 Câu Ý Nội dung Điểm I 1 (1 đ) Với 1m  ta được hàm số 1 1 x y x    . 1/ TXĐ:   1D R  2/ Sự biến thiên: - Giới hạn: 1 lim lim 1 1x x x y x       đồ thị hàm số có tiệm cận ngang là 1y  . ( 1) ( 1) ( 1) ( 1) 1 1 lim lim ; lim lim 1 1x x x x x x y y x x                       đồ thị hàm số có tiệm cận đứng là 1x   - Chiều biến thiên: 2 2 ' 0 ( 1) y x D x       hàm số đồng biến trên các khoảng xác định. Hàm số không có cực trị. - Bảng biến thiên x  1  'y   y  1 1  3/ Đồ thị: - Đồ thị hàm số cắt trục Ox tại điểm (1;0) , cắt trục Oy tại điểm (0; 1) 0.25 đ 0.25 đ 0.5 đ 2 (1 đ) - Xét phương trình hoành độ giao điểm của d và đồ thị hàm số (1): 2 1 2 ( 1) 2 1 0 (*) x mx x x m x m x m             - Đường thẳng d cắt đồ thị hàm số (1) tại hai điểm A, B phân biệt khi và chỉ khi PT (*) có hai nghiệm phân biệt khác m 2 0 6 3 0 3 2 3 3 2 3 1 1 m m m m x m m m                         (**) - Khi đó gọi 1 2,x x là các nghiệm của PT (*), ta có 1 2 1 2 ( 1) . 2 1 x x m x x m        - Các giao điểm của d và đồ thị hàm số (1) là 1 1 2 2( ; 2), ( ; 2)A x x B x x  . 0.25 đ 0.25 đ 0.25 đ
  • 3.
    Thi thử Đạihọc www.toanpt.net Suy ra 2 2 2 2 1 2 1 2 1 22( ) 2 ( ) 4 2( 6 3)AB x x x x x x m m          Theo giả thiết ta được 2 2 1 2( 6 3) 8 6 7 0 7 m m m m m m             - Kết hợp với điều kiện (**) ta được 7m  là giá trị cần tìm. 0.25 đ II 1 (1 đ) Giải phương trình: 2 4sin .sin .sin 4 3.cos .cos .cos 2 3 3 3 3 x x x x x x                                 . 2 PT 2sin (cos2 cos ) 2 3.cos .(cos(2 ) cos ) 2 3 3 2sin .cos2 sin 2 3.cos .cos2 3 cos 2 (sin3 sin ) sin 3(cos3 cos ) 3 cos 2 1 3 sin3 3 cos3 2 sin3 cos3 1 2 2 cos 3 1 3 2 3 2 6 6 6 x x x x x x x x x x x x x x x x x x x x x x k x k                                                2 , Z. 18 3 x k k      Vậy PT ban đầu có 1 họ nghiệm : 2 , Z 18 3 x k k      0.25 đ 0.25 đ 0.25 đ 0.25 đ 2 (1 đ) Giải hệ PT: 2 2 (1 ) ( 2 ) 5 (1 )( 2 2) 2 y x x y x y x y x           (I) * Nếu 0x  thì hệ (I) 2 2 1 0 (1 )(2 2) 0 y y y         vô nghiệm. * Nếu 0x  thì chia cả hai vế của cả hai PT trong hệ cho x ta được hệ tương đương 2 2 2 2 1 1 ( 2 ) 5 ( 2 2) 3 1 1 ( 2 2) 2 ( 2 2) 2 y y x y x y x x y y x y x y x x                          - Đặt 2 1 , 2 2 y u v x y x      , ta được hệ phương trình: 3 1 2 2 u v u uv v          hoặc 2 1 u v    - Với 2 2 2 1 2 41 11 2 2 4 2 3 0 2 2 2 y x yu x y x v x y y y x y                          2 4 2 1 3 1 x y x y y y               10 3 x y     - Với 2 2 2 1 2 32 1 22 1 2 3 4 5 0 2 2 1 y x yu y x x v x y y y x y                          2 3 1 13 1 5 1 5 x y x x y y y y                     - Vậy hệ ban đầu có 4 nghiệm ( ; ) (2; 1) , (10; 3) , (1; 1) , (13; 5)x y    . 0.25 đ 0.25 đ 0.25 đ 0.25 đ III (1 đ) Tính tích phân:
  • 4.
    Thi thử Đạihọc www.toanpt.net S M G D CB A 3 2 0 cos cos sin ( ) 1 cos x x x I x dx x      2 2 2 0 0 0 cos (1 cos ) sin .sin .cos . 1 cos 1 cos x x x x x x dx x x dx dx J K x x                   - Tính 0 .cos .J x x dx    . Đặt cos sin u x du dx dv xdx v x         0 0 0 ( .sin ) sin . 0 cos 2J x x x dx x           - Tính 2 0 .sin 1 cos x x K dx x    Đặt x t dx dt     Đổi cận : x 0  t  0 2 2 2 0 0 0 ( ).sin( ) ( ).sin ( ).sin 1 cos ( ) 1 cos 1 cos t t t t x x K dt dt dx t t x                       2 2 2 0 0 0 ( ).sin sin . sin . 2 1 cos 1 cos 2 1 cos x x x x dx x dx K dx K x x x                   Đặt cos sin .t x dt x dx    Đổi cận: x 0  t 1 1 1 2 1 2 1 dt K t      , đặt 2 tan (1 tan )t u dt u du    Đổi cận: t 1 1 u 4   4  2 24 4 4 2 4 4 4 (1 tan ) . 2 1 tan 2 2 4 u du K du u u                      Vậy 2 2 4 I    0.25 đ 0.25 đ 0.25 đ 0.25 đ IV (1 đ) 1 (0.5 đ) * Tính thể tích S.ABMD.
  • 5.
    Thi thử Đạihọc www.toanpt.net - Nhận thấy: SG là chiều cao của khối chóp S.ABMD, 6 3 a SG  ; Do ABCD là hình thoi cạnh a,  0 60BAD  ABD  và BCD là các tam giác đều cạnh a, M là trung điểm CD 2 2 2 2 2 1 1 3 3 2 2 4 8 3 3 3 3 2 8 8 BCM BCD ABMD ABCD BCM a a S S a a a S S S              2 3 . 1 1 6 3 3 2 . . . 3 3 3 8 8 S ABMD ABMD a a a V SG S    Vậy 3 . 2 8 S ABMD a V  0.25 đ 0.25 đ 2 (0.5 đ) * Tính khoảng cách giữa AB và SM: - Nhận thấy: // //( )AB CD AB SCD , mà ( )SM SCD ( , ) ( ,( )) ( ,( ))d AB SM d AB SCD d B SCD h    - Lại có: 2 2 1 1 3 2 3 . 3 3 2 3 3 3 a a AG AO AC AC GC      2 2 2 2 2 26 12 2 9 9 a a SC SG GC a      Mặt khác 2 2 2 2 2 23 6 3 3 9 9 a a a GD GA SD SG GD a          2 2 2 2 2 2 02 1 cos 45 2. . 2. 2. 2 SC CD SD a a a SCD SCD SC CD a a           2 01 1 1 . .sin 45 . 2. . 2 2 2 42 SCM a a S SC CM a    Vì . . 1 . . 3 S BCM B SCM SCMV V h S  nên .3 B SCM SCM V h S  Mà 2 3 3 3 3 . . . . 1 6 3 2 2 2 2 . . 3 3 2 8 6 8 24 B SCM S BCM S ABCD S ABMD a a a a a a V V V V        3 2 3. 2 2 : 24 4 2 a a a h   . Vậy 2 ( , ) 2 a d AB SM  0.25 đ 0.25 đ V (1 đ) - Áp dụng BĐT AM-GM ta có: 3 2 2 2 3 2 2 23 2 1 8 2 (1 2 )(1 2 4 ) 1 2 1 2 4 2 4 4 4 1 2 1 8 2 4 (4 4 )(2 1 8 4 2) y y y y y y y y x x y y y y y x y x yy y x                         Tương tự cho 2 hạng tử còn lại, ta được: 2 2 2 1 1 1 x y z A x y z z x x y y z              - Sử dụng BĐT AM-GM để đánh giá mẫu số, ta có: 0.25 đ
  • 6.
    Thi thử Đạihọc www.toanpt.net 2 2 2 2 2 2 1 1 1 1 1 1 2 2 2 1 1 1 1 1 1 1 2 x y z x y z A x y z z x x y y z x y z zx xy yz x y z x y z                                     - Lại có: 1 1 1 1 1 1 1 1 1 3 1 1 1 2 x y z x y z x y z                                Suy ra 1 1 1 1 1 1 1 3 1 1 1 2 3 3 2 2 A x y z x y z x y z                                  3 3 3 3 3 3 . 3 . 3 2 2 2 3 x y zxyz        . Vậy min 3 1 2 A x y z     0.25 đ 0.25 đ 0.25 đ VI.a 1 (1 đ) * Tìm tọa độ các đỉnh của hình chữ nhật: - Ta có: B AB BD  suy ra tọa độ B là nghiệm hệ: 2 1 0 7 (7; 3) 7 14 0 3 x y x B x y y               - Giả sử (2 1; ) :2 2 1 0; (7 14; ) : 7 14 0A a a AB y D d d BD x y            (6 2 ; 3 ), (7 21; 3); (7 2 15; )AB a a BD d d AD d a d a              Do 3 (loai) . 0 (3 )(15 5 30) 0 3 6 0 a AB AD AB AD a d a d a                   3 6 ( 3;6 2 )a d AD d d        . Lại có: ( 7; 3)C CBC x y    . Mà ABCD là hình chữ nhật nên AD BC   3 7 4 ( 4; 9 2 ) 6 2 3 9 2 C C C C d x x d C d d d y y d                   . (6 13; 3 7), ( 2; 8 2 )EA d d EC d d         với (2;1)E  - Mặt khác điểm (2;1) ,E AC EA EC    cùng phương 2 (6 13)(8 2 ) ( 2)(3 7) 5 6 0 2 0 0 3 3 (loai) d d d d d d d a a d a                     Vậy (1; 0), (7; 3), (6; 5), (0; 0)A B C D    là các đỉnh của hình chữ nhật cần tìm. 0.25 đ 0,25 đ 0.25 đ 0.25 đ 1 (1 đ) 1 2 1 1 1 4 : , : 1 2 1 1 2 3 x y z x y z d d          . Đường thẳng 1d đi qua điểm 1 (0; 1;0)M   , có vectơ chỉ phương là 1 (1; 2; 1)u   Đường thẳng 2d đi qua điểm 2 (1; 1;4)M   , có vectơ chỉ phương là 2 (1; 2;3)u    . a/ Ta có 1 2 1 2 1 2 1 2, (8; 2; 4), (1; 0; 4) , . 8 0u u M M u u M M                    1 2,d d chéo nhau. Lại có 1 2 1 2. 1 4 3 0u u d d        . Vậy 1d , 2d chéo và vuông góc với nhau. b/ Gọi 1 2, ( ; 1 2 ; ), (1 ; 1 2 ;4 3 )M d d N d d M t t t N s s s             (1 ; 2 2 ;4 3 )MN s t s t s t         là một vectơ chỉ phương của đường thẳng d. Lại có (1;4; 2)u    là vectơ chỉ phương của  , 0.25 đ 0.25 đ 0,25 đ
  • 7.
    Thi thử Đạihọc www.toanpt.net do đó //d u   cùng phương với MN  2 0 , 0 5 3 6 0 s t u MN s t                0 (2;3;2) 2 s M t     . Vậy đường thẳng cần tìm là 2 3 2 : 1 4 2 x y z d       . 0.25 đ VII.a (1 đ) * Tìm số phức z... Đặt 2 ( 2) ( , ) 1 ( 1) (1 ) z i a b i z a bi a b R z i a b i                2 2 2 2 2 1 ( 2) ( 1) (1 ) 1 3z i z i a b a b a b                Và 2 2 2 2 1 ( 1) ( 1) ( 1) ( 2)( 1) (2 3) 2 2 (2 ) (2 ) (2 ) z i a b i a a b b a b b i z i a b i a b a b                       là một số thuần ảo khi và chỉ khi 2 ( 1) ( 2)( 1) 0 4 3 1 0a a b b b b         1 2 1 7 4 4 b a b a              . Vậy có hai số phức cần tìm: 2z i  và 7 1 4 4 z i   0,25 đ 0,25 đ 0,25 đ 0,25 đ VI.b 1 (1 đ) * Chứng minh đường thẳng d cắt (E) tại 2 điểm ... - Xét hệ PT giao điểm 2 2 4, 01 ... (4;0), (0;3)16 9 0, 3 3 4 12 0 x y x y A B x y x y              là các giao điểm của d và (E). - Gọi 2 2 0 0 0 0( ; ) ( ) 1 16 9 x y C x y E    (1). Ta có 0 03 4 12 ( , ) 5 x y d C AB h     0 0 0 0 3 4 121 1 1 . . .5. 3 4 12 2 2 5 2 ABC x y S AB h x y        Theo giả thiết suy ra 0 0 0 0 0 0 3 4 24 (2) 3 4 12 12 3 4 0 (3) x y x y x y          - Từ (1) và (2) ta được PT 2 0 02 12 27 0y y   , PT này vô nghiệm - Từ (1 và (3) ta được PT 2 0 0 0 3 32 144 2 2 2 y y x       . Vậy có hai điểm thỏa mãn yêu cầu bài toán là: 3 2 2; 2 C        và 3 2 2; 2 C        . 0,25 đ 0.25 đ 0.25 đ 0.25 đ 2 (1 đ) Ta có: 1 2 4 : 1 1 2 x y z d      và 2 8 6 10 : 2 1 1 x y z d       . 1d đi qua điểm 1 (0;2; 4)M   , có vectơ chỉ phương là 1 (1; -1; 2)u   2d đi qua điểm 2 ( 8;6;10)M   , có vectơ chỉ phương là 2 (2;1; 1)u    . a/ 1 2 1 2 1 2 1 2, ( 1;5;3), ( 8;4;14) , . 70 0u u M M u u M M                   Suy ra 1d và 2d chéo nhau. 1 2 1 2 1 2 1 2 , . 70 ( , ) 2 35 35, u u M M d d d u u                 b/ Ta có 1 2, ( ;2 ; 4 2 ), ( 8 2 ;6 ;10 )A d B d A t t t B s s s            ( 8 2 ;4 ;14 2 )AB s t s t s t          0.25 đ 0.25 đ 0.25 đ
  • 8.
    Thi thử Đạihọc www.toanpt.net Do AB là đường vuông góc chung nên 1 1 2 2 . 0 4 ... 2. 0 AB u AB u s tAB u AB u                        (2;0;0), (0;10;6)A B   . Mặt cầu đường kính AB có PT là: 2 2 2 ( 1) ( 5) ( 3) 35x y z      . 0.25 đ VII.b Giải hệ PT: 3 3log ( ) log ( ) 2 2 4 4 4 4 2 2 (1) 1 log (4 4 ) log log ( 3 ) (2) 2 xy xy x y x x y            - ĐK: 0, 0x y  . Đặt 3log ( ) 2 0xy t   , PT (1) trở thành 2 3 1 (loai) 3 2 0 2 log ( ) 1 3 2 t t t t xy xy y t x                Thay vào PT (2) ta được PT 2 4 4 42 36 1 9 log (4 ) log log ( ) 2 x x x x x      2 2 2 4 2 2 2 2 336 9 36 4 2 ( ) 2 18 0 9 18 0 6 x x x x x x x x x x x                  3 3 6 6 2 y x x y           . Vậy hệ có 2 nghiệm là   6 3; 3 , 6; 2        0.25 đ 0.25 đ 0.25 đ 0.25 đ Lưu ý: - Các cách giải khác nếu đúng vẫn cho điểm tối đa của câu đó. - Câu IV phải vẽ hình, nếu không vẽ hoặc vẽ sai cơ bản thì không chấm. - Thí sinh thi khối D thì câu I.1 cho 1.5 điểm; câu II.1 cho 1.5 đ; câu II.2 cho 1.5 đ