Embed presentation
Downloaded 143 times





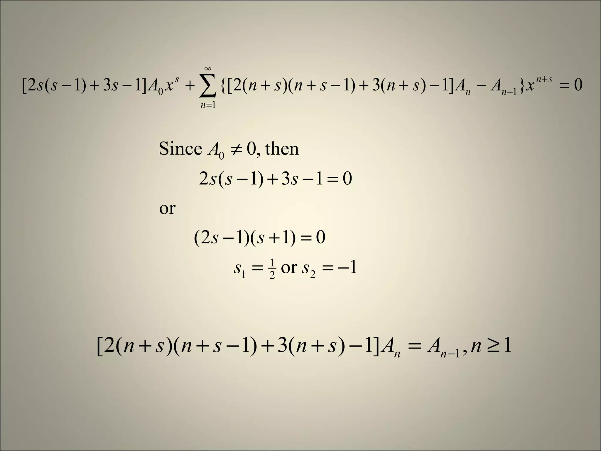
![∑
∞
=
+
− =−−++−+++−+−
1
10 0}]1)(3)1)((2{[]13)1(2[
n
sn
nn
s
xAAsnsnsnxAsss
1or
0)1)(12(
or
013)1(2
then,0Since
22
1
1
0
−==
=+−
=−+−
≠
ss
ss
sss
A
1,]1)(3)1)((2[ 1 ≥=−++−++ − nAAsnsnsn nn](https://image.slidesharecdn.com/themethodoffrobenius-130719130101-phpapp02/75/The-method-of-frobenius-6-2048.jpg)




The document discusses the Method of Frobenius for solving ordinary differential equations (ODEs) with singular points. It states that the solution for such an ODE is given as an infinite series involving powers of x. To determine the coefficients in the series, one substitutes the series solution into the original ODE, equates coefficients of like powers of x, and obtains the indical equation. Solving this indical equation gives the indicial solution and recurrence relations for the coefficients.





![∑
∞
=
+
− =−−++−+++−+−
1
10 0}]1)(3)1)((2{[]13)1(2[
n
sn
nn
s
xAAsnsnsnxAsss
1or
0)1)(12(
or
013)1(2
then,0Since
22
1
1
0
−==
=+−
=−+−
≠
ss
ss
sss
A
1,]1)(3)1)((2[ 1 ≥=−++−++ − nAAsnsnsn nn](https://image.slidesharecdn.com/themethodoffrobenius-130719130101-phpapp02/75/The-method-of-frobenius-6-2048.jpg)




Overview of the Frobenius method, a fundamental technique in solving ordinary differential equations.
Definition of singular points in ODEs, with focus on analytical functions and their behavior.
Derivation of the solution to ODE using series expansion, introducing the indicial equation.
Discussion on regular singular points and corresponding series solutions to differential equations.
Substitution technique in original ODE for deriving solutions using the power series expansion.
Formulating recurrence relations for coefficients in power series solutions and finding conditions for valid solutions.
Methodologies for calculating coefficients of the series solutions, involving factorial series.
Continuing with series solution development, detailing the recurrence relationship for coefficients.
Continued exploration of coefficient relationships in the series, including factorial terms.
Deriving a second series solution, utilizing manipulations of the earlier coefficients and relations.