By
Vinay.R
I M.PHARM.
DEPT. OF PHARMACHEMISTRY
SJMCP, CHITRADURGA
1
SYNTHON APPROACH
11/10/2017 2
Contents
1. Introduction
2. Definition of terms
a. Disconnection
b. Synthon
c. Functional Group Interconversion
3. Basic rule in disconnecion
4. Use of synthon approach in synthesis of some medical or organic synthesis
5. References
1. Introduction
A logical approach for designing organic synthesis which
involves breaking down of the target molecule into
available starting material by imaginary breaking of bonds
(disconnection) or by functional group interconversion
(FGC) is known as disconnection approach or
retrosynthetic analysis or synthesis backward.
11/10/2017 3
Target
Molecule
Disconnected
Process called Analysis
11/10/2017 4
Precursors
•This process of analysis produces simple starting material and shows different pathway.
•From this precursor the cheap starting material has been selected for the synthesis of the
target molecule or desired molecule.
Retrosynthetic pathway : Benzocaine from toluene
4. Use of Synthon In Synthesis of Some Medical or Organic
OEth
O
H2N
C-O
H2N
OH
O
FGI
O2N
OH
O
2O N
Me
C-NMe
Benzocaine :
• Toluene is readily available starting material
• Me is activating and ortho-/para- directing
• We know reagents for the synthon NO2
11/10/2017 5
Me H SO2 4
HNO3
CH3
O2N
KMnO4
Oxidation
2O N
OH
H2Pd/C
Oxidation
H2N
O
OH
EtOH/H
+
H2N
OEt
O
1 :
Toluene
Nitro Toluene
O
5 Nitro benzoic acid
5 Amino benzoic acid
Benzocaine
Ex : 2
Synthon are 1 and 2
1
2
3
1
2
Synthon are 1 and 2
11/10/2017 9
• Synthon can be divided in to following two types –
They are derived from a reagents with functional groups
1. Donor Synthon eg. - C2H5 is ethyl donor synthon from -C2H5Li
2. Acceptor Synthon eg. - C2H5 is ethyl acceptor synthon from -C2H5I
11/10/2017 10
2. Definition of Terms
a. Disconnection :
It is an imaginary process in which the bonds are broken to get simple possible starting
materials. This is also called as "transform". A curred line is used at the pointof
disconnection of bond and a double line arrow (=>) is used for representing
disconnection.
b. Synthon :
It is an idealized fragment obtained by disconnection and may or may not be
involved in the reaction but helps us to work out reagents to be used.
Example – R X => R+ + X- (Synthon)
Chemical bond can be cleaved :
11/10/2017 11
a. Functional Group Identification :
It is the operation of changing one functional group to another either by interconversion,
substitution, elimination, oxidation or reduction, so that the disconnection becomes easier.
Example :
NO2
NH2
FGI
H3C COOH H3C CN
FGI
11/10/2017 12
3. Basic Rules In Disconnection
•When one thinks of retrosynthetic analysis of a target molecule, it is a question ‘where
the disconnection is to be done?’. This is generally governed by certain rules:
Rule -1
Disconnection of a bond should be done in such a way that it produces stable fragments.
While carrying out a disconnection the molecule is broken down by one bond at a time.
e.g.
11/10/2017 13
Rule -2
The number of fragments generated by disconnection should be as small as possible. So,
the synthesis of target molecule can be carried out in possible steps.
e.g.
O O O O
11/10/2017 14
+
Rule -3
A bond joining a carbon to a hetero atom always broken with the electron pair onhetero
atom. e.g
Rule -4
Sometimes a disconnection carried out does not generate sufficient stabilised fragments,
but such fragments can be obtained by using FGI or by introducing an additional electron
withdrawing group and then removing it after synthesis.
C N C
+
+
-
N
11/10/2017 15
11/10/2017 16
Guidelines For Disconnection :
(i)Make the analysis in such a way that the synthesis become as short as possible.
(ii) Use the only disconnections corresponding to known reliable reaction.
(iii) Disconnect C-X bonds especially two group disconnections.
(iv) Choose the disconnection corresponding to the highest yielding reaction, if known.
(v)Disconnect back to recognisable starting materials or to compounds which can be
easily be made.
(vi) Disconnect C-C bonds according to the functional groups in the molecule , if possible
- disconnect at the middle of the molecule.
11/10/2017 17
Guidelines For Good Synthesis :
In retrosynthetic approach, there are usually more than one way to synthesize a
compound. But the selection of a best desirable route is important. Thereafter the
following factors are considered in order to decide which one of the routes is safe and
simple to employ.
(i) Availability of starting material.
(ii) Which route involves the least number of separation operations ?
(iii) Which route gives the highest overall yield ?
(iv) How expensive are the starting materials and reagents ?
(v) Which route includes least time and effort ?
Retrosynthetic pathway : Benzocaine from toluene
4. Use of Synthon In Synthesis of Some Medical or Organic
OEth
O
H2N
C-O
H2N
OH
O
FGI
O2N
OH
O
2O N
Me
C-NMe
Benzocaine :
• Toluene is readily available starting material
• Me is activating and ortho-/para- directing
• We know reagents for the synthon NO2
11/10/2017 18
Me H SO2 4
HNO3
CH3
O2N
KMnO4
Oxidation
2O N
OH
O
H2Pd/C
Oxidation
H2N
O
OH
EtOH/H
+
H2N
OEt
O
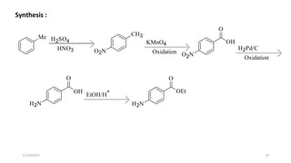
Synthesis :
11/10/2017 19
11/10/2017 20
1. Inamdar NN. A companion to Medicinal Chemistry. 1st ed. Career publication 2012. p. 408-422.
2. Algarsamy V.Textbook of Medicinal Chemistry. Vol. 2. 1st ed. Elsevier Health Sciences,
2012. p. 88-129
3. Lemke TL, Williams DA, Roche VF, Zito WS. Foye’s Principles of Medicinal Chemistry 6th ed.
Lippincott Williams and Wilkins. 2010. p. 504
4. J.March “Advance organic chemistry” 3rd edition, Wiley New York P-184(1985).
5. E.J. Corey, J.Am.Soc. 98, 189, (1976).
5. References
THANK YOU
11/10/2017 21

synthon approach

  • 1.
    By Vinay.R I M.PHARM. DEPT. OFPHARMACHEMISTRY SJMCP, CHITRADURGA 1 SYNTHON APPROACH
  • 2.
    11/10/2017 2 Contents 1. Introduction 2.Definition of terms a. Disconnection b. Synthon c. Functional Group Interconversion 3. Basic rule in disconnecion 4. Use of synthon approach in synthesis of some medical or organic synthesis 5. References
  • 3.
    1. Introduction A logicalapproach for designing organic synthesis which involves breaking down of the target molecule into available starting material by imaginary breaking of bonds (disconnection) or by functional group interconversion (FGC) is known as disconnection approach or retrosynthetic analysis or synthesis backward. 11/10/2017 3
  • 4.
    Target Molecule Disconnected Process called Analysis 11/10/20174 Precursors •This process of analysis produces simple starting material and shows different pathway. •From this precursor the cheap starting material has been selected for the synthesis of the target molecule or desired molecule.
  • 5.
    Retrosynthetic pathway :Benzocaine from toluene 4. Use of Synthon In Synthesis of Some Medical or Organic OEth O H2N C-O H2N OH O FGI O2N OH O 2O N Me C-NMe Benzocaine : • Toluene is readily available starting material • Me is activating and ortho-/para- directing • We know reagents for the synthon NO2 11/10/2017 5
  • 6.
    Me H SO24 HNO3 CH3 O2N KMnO4 Oxidation 2O N OH H2Pd/C Oxidation H2N O OH EtOH/H + H2N OEt O 1 : Toluene Nitro Toluene O 5 Nitro benzoic acid 5 Amino benzoic acid Benzocaine
  • 7.
    Ex : 2 Synthonare 1 and 2 1 2
  • 8.
  • 9.
    11/10/2017 9 • Synthoncan be divided in to following two types – They are derived from a reagents with functional groups 1. Donor Synthon eg. - C2H5 is ethyl donor synthon from -C2H5Li 2. Acceptor Synthon eg. - C2H5 is ethyl acceptor synthon from -C2H5I
  • 10.
    11/10/2017 10 2. Definitionof Terms a. Disconnection : It is an imaginary process in which the bonds are broken to get simple possible starting materials. This is also called as "transform". A curred line is used at the pointof disconnection of bond and a double line arrow (=>) is used for representing disconnection. b. Synthon : It is an idealized fragment obtained by disconnection and may or may not be involved in the reaction but helps us to work out reagents to be used. Example – R X => R+ + X- (Synthon)
  • 11.
    Chemical bond canbe cleaved : 11/10/2017 11
  • 12.
    a. Functional GroupIdentification : It is the operation of changing one functional group to another either by interconversion, substitution, elimination, oxidation or reduction, so that the disconnection becomes easier. Example : NO2 NH2 FGI H3C COOH H3C CN FGI 11/10/2017 12
  • 13.
    3. Basic RulesIn Disconnection •When one thinks of retrosynthetic analysis of a target molecule, it is a question ‘where the disconnection is to be done?’. This is generally governed by certain rules: Rule -1 Disconnection of a bond should be done in such a way that it produces stable fragments. While carrying out a disconnection the molecule is broken down by one bond at a time. e.g. 11/10/2017 13
  • 14.
    Rule -2 The numberof fragments generated by disconnection should be as small as possible. So, the synthesis of target molecule can be carried out in possible steps. e.g. O O O O 11/10/2017 14 +
  • 15.
    Rule -3 A bondjoining a carbon to a hetero atom always broken with the electron pair onhetero atom. e.g Rule -4 Sometimes a disconnection carried out does not generate sufficient stabilised fragments, but such fragments can be obtained by using FGI or by introducing an additional electron withdrawing group and then removing it after synthesis. C N C + + - N 11/10/2017 15
  • 16.
    11/10/2017 16 Guidelines ForDisconnection : (i)Make the analysis in such a way that the synthesis become as short as possible. (ii) Use the only disconnections corresponding to known reliable reaction. (iii) Disconnect C-X bonds especially two group disconnections. (iv) Choose the disconnection corresponding to the highest yielding reaction, if known. (v)Disconnect back to recognisable starting materials or to compounds which can be easily be made. (vi) Disconnect C-C bonds according to the functional groups in the molecule , if possible - disconnect at the middle of the molecule.
  • 17.
    11/10/2017 17 Guidelines ForGood Synthesis : In retrosynthetic approach, there are usually more than one way to synthesize a compound. But the selection of a best desirable route is important. Thereafter the following factors are considered in order to decide which one of the routes is safe and simple to employ. (i) Availability of starting material. (ii) Which route involves the least number of separation operations ? (iii) Which route gives the highest overall yield ? (iv) How expensive are the starting materials and reagents ? (v) Which route includes least time and effort ?
  • 18.
    Retrosynthetic pathway :Benzocaine from toluene 4. Use of Synthon In Synthesis of Some Medical or Organic OEth O H2N C-O H2N OH O FGI O2N OH O 2O N Me C-NMe Benzocaine : • Toluene is readily available starting material • Me is activating and ortho-/para- directing • We know reagents for the synthon NO2 11/10/2017 18
  • 19.
    Me H SO24 HNO3 CH3 O2N KMnO4 Oxidation 2O N OH O H2Pd/C Oxidation H2N O OH EtOH/H + H2N OEt O Synthesis : 11/10/2017 19
  • 20.
    11/10/2017 20 1. InamdarNN. A companion to Medicinal Chemistry. 1st ed. Career publication 2012. p. 408-422. 2. Algarsamy V.Textbook of Medicinal Chemistry. Vol. 2. 1st ed. Elsevier Health Sciences, 2012. p. 88-129 3. Lemke TL, Williams DA, Roche VF, Zito WS. Foye’s Principles of Medicinal Chemistry 6th ed. Lippincott Williams and Wilkins. 2010. p. 504 4. J.March “Advance organic chemistry” 3rd edition, Wiley New York P-184(1985). 5. E.J. Corey, J.Am.Soc. 98, 189, (1976). 5. References
  • 21.