Structural Elucidation Of Quercetin
Presented By:
•Gandham Malasree
•M Pharmacy
•Regd no: 620209502002
•Dept of Pharmaceutical Chemistry
AU College Of Pharmaceutical Sciences,
INTRODUCTION:
 Quercetin is the aglycone form of a number of other flavonoid glycosides, such
as rutin and quercitrin.
 Quercetin is one of the most widely distributed natural pigment and most abundant dietary
flavonoid.
 It occurs as the glycosidic quercetin in the barks of Quercus tinctoria.
 It is naturally occurring polar auxin transport inhibitor.
Sources: Citrus fruit
Buck wheat
Red onions
Red roses
Apples
Honey
Tomatoes
Oak bark
STRUCTURE OF QUERCETIN:
Molecular formula: C15
H10O7
Molecular weight: 302gm
CONSTITUTION:
• When quercetrin is hydrolysed with HCl it gives quercetin and L - Rhamnose
1. Presence of 5 –OH groups :
• Quercetin forms penta acetyl & penta methyl derivatives, thus the presence of 5 –OH groups are
indicated.
SOLUBILITY
• It is soluble in sodium hydroxide,
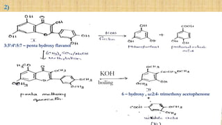
2)
3:3’:4’:5:7 – penta hydroxy flavanol
KOH
boiling
6 – hydroxy , ω:2:4- trimethoxy acetophenone
3) Synthesis Of Quercetin
1. Kostaneckis synthesis
1 2
4 3
5
Trimethoxy
phenol
Dimethoxy
benzaldehyde
2. Robinsons method:
Tri hydroxy
acetophenone
1
2
Anhydride
Structural relationship between flavanols (quercetin), anthocyanins(cyanidine
chloride) and catechins :
1. They produce same degradation product when fused with KOH
2.
• Bauer & his associates in 1954, converted penta acetate of quercetin into cyanidine chloride by
means of LiAlH4
.
3.
Spectral Values Of Quercetin
UV spectrum: λmax = 425 nm
IR spectrum: Group Absorption range Strectching/ Bending
2º OH 3282 cm-1 Stretching
C=O 1743 cm-1 Stretching
C=O 1666 cm-1 Stretching
C=C 1610 cm-1 Stretching
-OH 1517 cm-1 Bending
-OH 1430 cm-1 Bending
-OH 1358 cm-1 Bending
C – O 1210 cm-1 Stretching
C – O 1094 cm-1 Stretching
C – O 1001 cm-1 Stretching
C=C 929 cm-1 Bending
C=C 882 cm-1 Bending
C – H 808 cm-1 Bending
NMR SPECTRUM
δ - ppm
MASS SPECTRUM
 Presence of 5,7,3’4’ tetrahydroxy flavonol aglycones were confirmed by the UV spectra.
 The presence of hydroxyl, carbonyl, aromatic and ether group were confirmed by the ir spectra.
 The presence of two meta coupled aromatic protons at h-6,h-8, position confirms the 5,7 di-
substituted ring a were confirmed by H1 NMR.
 The presence carbon atoms were confirmed by C13NMR spectrum .
 Quercetin was confirmed by the all spectral analysis.
CONCLUSION
Structural elucidation of quercetin

Structural elucidation of quercetin

  • 1.
    Structural Elucidation OfQuercetin Presented By: •Gandham Malasree •M Pharmacy •Regd no: 620209502002 •Dept of Pharmaceutical Chemistry AU College Of Pharmaceutical Sciences,
  • 2.
    INTRODUCTION:  Quercetin isthe aglycone form of a number of other flavonoid glycosides, such as rutin and quercitrin.  Quercetin is one of the most widely distributed natural pigment and most abundant dietary flavonoid.  It occurs as the glycosidic quercetin in the barks of Quercus tinctoria.  It is naturally occurring polar auxin transport inhibitor. Sources: Citrus fruit Buck wheat Red onions Red roses Apples Honey Tomatoes Oak bark
  • 3.
    STRUCTURE OF QUERCETIN: Molecularformula: C15 H10O7 Molecular weight: 302gm
  • 4.
    CONSTITUTION: • When quercetrinis hydrolysed with HCl it gives quercetin and L - Rhamnose 1. Presence of 5 –OH groups : • Quercetin forms penta acetyl & penta methyl derivatives, thus the presence of 5 –OH groups are indicated. SOLUBILITY • It is soluble in sodium hydroxide,
  • 5.
    2) 3:3’:4’:5:7 – pentahydroxy flavanol KOH boiling 6 – hydroxy , ω:2:4- trimethoxy acetophenone
  • 6.
    3) Synthesis OfQuercetin 1. Kostaneckis synthesis 1 2 4 3 5 Trimethoxy phenol Dimethoxy benzaldehyde
  • 7.
    2. Robinsons method: Trihydroxy acetophenone 1 2 Anhydride
  • 8.
    Structural relationship betweenflavanols (quercetin), anthocyanins(cyanidine chloride) and catechins : 1. They produce same degradation product when fused with KOH
  • 9.
  • 10.
    • Bauer &his associates in 1954, converted penta acetate of quercetin into cyanidine chloride by means of LiAlH4 . 3.
  • 11.
    Spectral Values OfQuercetin UV spectrum: λmax = 425 nm IR spectrum: Group Absorption range Strectching/ Bending 2º OH 3282 cm-1 Stretching C=O 1743 cm-1 Stretching C=O 1666 cm-1 Stretching C=C 1610 cm-1 Stretching -OH 1517 cm-1 Bending -OH 1430 cm-1 Bending -OH 1358 cm-1 Bending C – O 1210 cm-1 Stretching C – O 1094 cm-1 Stretching C – O 1001 cm-1 Stretching C=C 929 cm-1 Bending C=C 882 cm-1 Bending C – H 808 cm-1 Bending
  • 12.
  • 14.
  • 15.
     Presence of5,7,3’4’ tetrahydroxy flavonol aglycones were confirmed by the UV spectra.  The presence of hydroxyl, carbonyl, aromatic and ether group were confirmed by the ir spectra.  The presence of two meta coupled aromatic protons at h-6,h-8, position confirms the 5,7 di- substituted ring a were confirmed by H1 NMR.  The presence carbon atoms were confirmed by C13NMR spectrum .  Quercetin was confirmed by the all spectral analysis. CONCLUSION