SOLID AND SOLUTION
PHASE PEPTIDE
SYNTHESIS
KAMAL LOCHAN MISRA
AGENDA
SOLID
AND
SOLUTION
PHASE
PEPTIDE
SYNTHESIS
2
SOLID PHASE PEPTIDE SYNTHESIS
PRINCIPLE
SYNTHESIS OF PEPTIDES IN SOLUTION
APPLICATION
APPLICATION
3
4
 SOLID PHASE PEPTIDE SYNTHESIS(SPPS)
• In chemistry, Solid-phase synthesis means synthesis on a solid support.
• Solid phase synthesis is heterogenous reaction in which a reagent is coupled to a solid
support via functionality present on solid support.
• A multistep synthesis on solid phase then transforms the bound intermediate into target
molecule but eventually cleaved from support. The technique is called Solid phase.
• Solid phase synthesis was invented by Bruce Merrifield in 1963.
• According to his proposal, a protected amino acid is anchored to an insoluble
functionalized support by a bond that resists all chemistries employed during assembly of
the peptide.
• The amino group is deprotected and additional residues are introduced successively.
• Final deprotection detaches the peptide from the support.
5
Peptide
Synthesis
Cycle
Deprotection
Resin
Amino Acid
Cleavage
Peptide
6
• The general principle of SPPS is one of repeated cycles of deprotection-
wash-coupling-wash.
• The free N-terminal amine of a solid-phase attached peptide is coupled to a
single N-protected amino acid unit.
• This unit is then deprotected, revealing a new N-terminal amine to which a
further amino acid may be attached.
7
 PRINCIPLE -
• The first N- protected amino acid is bound by its carboxyl group to the polymer via a benzyl ester
bond.
• The second step involves the deprotection of the amino group under conditions that do not cleave
the resin-amino acid ester bond .
• In the third step, a second N-protected amino acid is coupled to the amino group of the polymer
bound amino acid using Di-cyclohexyl carbodiimide (DCC) or through an active ester coupling.
• The N-deblocking and coupling steps are repeated until the desired sequence is formed .
• Finally, the resin peptide bond is cleaved by a suitable acid-catalyzed cleavage reaction which
results in simultaneous N-deblocking and deblocking of most of the side chain functionalities.
• Since only the final peptide is obtained by cleavage from the polymer, the purity of the final
product depends upon the coupling efficiency of each step.
8
9
There are three different approaches for anchoring the first residue to a support
• First, the N-protected residue is anchored directly to a linker that has been elaborated on
the support.
• Second, a stand-alone linker is coupled to the support, after which the protected residue is
combined with the linker-resin.
• Third, the protected residue is combined with a stand-alone linker, and the resulting
compound is then coupled to a handle on the support.
1 0
 SOLID PHASE PEPTIDE SYNTHESIS -
 The solid phase peptide synthesis requires the following
• The Resin (Solid support)
• The Linkers
• The Protective group
• Reaction monitoring
• Purification
1 1
 The Resin (Solid support) -
Resin act as a solid support for a solid phase synthesis.
• The support must be insoluble, in the form of beads of sufficient size to allow quick removal of
solvent by filtration and stable to agitation and inert to all the chemistry and solvents employed.
• It always swells extensively in solvent.
• Successful solid-phase synthesis requires that there be no reactions on the side chains and main
chain during assembly, including premature removal of protecting groups, which includes the
carboxy-terminal protector.
• The prime requirement of a polymeric material to be used as a support for carrying out organic
synthetic transformations is the easiness of chemical modification to incorporate specific reagent
functions.
• Their availability and cost, mechanical, thermal and chemical stability, porosity and compatibility
with reagents and solvents etc.
1 2
• Functionalized polymeric supports must possess a structure which permits adequate diffusion of reagents into
there active sites which extent of swelling or solvation, the effective pore size and pore volume and the
chemical and mechanical stability of the resins under the conditions of a particular chemical reaction or
reaction sequence.
• Polymer supports used for organic synthesis are of two types, passive and active supports.
• In passive supports, the macromolecular matrix acts as a carrier on which the synthesis of the desired substance
is carried out and finally cleaved from the support.
• Active supports effects a synthetic or catalytic transformation on a soluble substrate. Polymeric reagents in
which the active site is consumed during the reaction and polymer supported catalysts in which the reactive site
catalyzes a number of chemical reactions.
 The use of solid supports in organic synthesis relies on three inter connected requirements:
1. A crosslinked, insoluble, but solvent swellable polymeric material that is inert to the conditions of synthesis.
2. Some means of linking the substrate to this solid phase that permits selective cleavage of the product from the
solid support.
3. A successful synthetic procedure compatible with the linker and the solid phase
1 3
 Types of solid supports
• Inorganic supports: Inorganic polymers such as silica12 and molecular sieves
have been used as supports in solid phase organic synthesis. They have hydroxyl
groups on the surface that can be used as the centre for attaching functional groups.
• Organic supports: The organic matrices used as supports may be natural or
synthetic polymers. The natural supporters used are cellulose, chitin etc. The
synthetic supports include polystyrene resins, polyacrylamide resins, poly(methyl
methacrylate) resin, poly(hydroxy ethyl methacrylate) resin, grafted resins, magnetic
beads, dendrimer supports etc.
1 4
 Hydrophobic Polystyrene Resin -
• Gelatinous solid support.
• Cross linked with 1-2% divinylbenzene.
• Particle size 90-200 micro meter.
• Examples-: benzylic halide.
1 5
 Hydrite Hydrophilic polystyrene resin(HHPSR) –
• A major drawback of hydrophilic polystyrene resin is poor swelling in protic solvent. Thus
support is prepared by grafting hydrophilic mono functional or bifunctional polystyrene
glycol (PEG).
 Example : Chem Matrix
1. It has chemical and thermal stability.
2.Compatible with microwave.
3. High degree of swelling in acetonitrile, DMF, TFA.
4.Used for synthesis of difficult and long peptides.
1 6
 PAM (4-Hydroxymethylphenylacetamidomethyl)
• Also a standard support for Boc SPPS - stabilizing effect of the phenyl acetamido methyl
function on the ester linkage reduction of losses during repetitive TFA acidolysis
 BHA / MBHA (Benzhydryl amine / 4-Methylbenzhydrylamine)
• Used for the synthesis of peptide amides by Boc SPPS
• Attachment of the first amino acid with standard methods of amide bond formation
cleavage of the carboxamides with HF or TFMSA
• MBHA is more acid sensitive and the peptide amide can be released with HF or TFMSA
under less drastic conditions
1 7
 PAM -
 BHA -
1 8
 LINKERS –
• Linker referred as a handle to attach a small molecule on to polymeric resin. Linkers has
many similarities to protecting group in solid phase synthesis.
 Properties of linkers -
• Stable to reaction conditions.
• Cleaved selectively at the end of synthesis.
• Reusable.
• Felicitate reaction conditions.
• Sequential / partial release.
• Easy to prepare.
• It should be highly selective to one or most small number of specific cleavage reagents
conditions.
1 9
 TYPES OF LINKERS -
1.Acid-Cleavable anchors and linkers.
2.Base/ Nucleophile Liable linkers.
3.Photo labile linkers.
4.Safety catch linkers.
 FUNCTIONS OF LINKERS -
• As a functional group.
• As a linker releases another functional group.
 EXAMPLES -
• Trialkylsillyl chloride or triflate generated from ethanophenylsane.
• Traceless linker for aromatics -: Hu’s aryl silane linker
2 0
 ACID LABILE LINKERS -
• Solid phase method of synthesis of peptides involved the anchoring of the free carboxylic
end of the N-protected amino acids on to nitrated chloromethylated polystyrene resins and
the release of the peptide was done with HBr in glacial acetic acid.
2 1
 BASE LABILE LINKERS -
• Benzyl esters are easily cleaved by dinitrate alkali and even milder conditions like, K2
CO3 in methanol, or tertbutyl ammonium hydroxide in T.H.F are enough for cleavage.
• Electron withdrawing groups considerably increase the cleavage rate.
• The glycol amidic ester linkage, which is stable towards acids, can be cleaved with
NaOH.
2 2
 PHOTO LABILE LINKERS -
• The light is used to break the bond between the intermediate and the linker to release the
pure compound from the support into the solution without any interference with the
compound.
Example: Holme’s o- nitro benzyl linker
2 3
 SAFETY- CATCH LINKERS -
• It is totally stable during the synthetic procedure and labile activation.
• It is very popular and allows the support and release of many functionalities.
Examples: sulphonamide based safety catch linker, phenol based safety catch
linker.
• Hu’s aryl silane linker -
2 4
 ACTIVATION OF CARBOXYLIC ACID IN PEPTIDE SYNTHESIS -
• To convert carboxylic acids into activated form. their hydroxyl group must be replaced by
an electron withdrawing substituent (X) to enhance the polarization of the carboxyl group
and thereby the electrophilicity at the carbon center.
• This facilitates the nucleophilic attack by the amino and alcoholic groups.
 • Carboxyl activation is done by the following conversion:
1. Acid chloride
• The chloride ion is used as the electron withdrawing moiety. Acyl chlorides (RCOCl)
were formed by using phosphorous pentachloride or thionyl chloride.
2. Acid azides
• Direct conversion of carboxylic acids to acid azides with the help of diphenyl phosphoryl
azide or hydrazides.
2 5
3. Acid anhydrides
• Anhydrides are prepared by treating carboxylic acid with phosgene or with alkyl
chlorocarbonates.
4. Esters
• Esters formed from the carboxylic acid renders the carbon atom of the carboxyl group
more electrophilic and more ready to attack nucleophiles. Electron withdrawing groups on
aromatic ring increases the reactivity.
5. Coupling reagents
Coupling agents like Di cyclohexyl carbodiimide (DCC) added to the mixture of carboxylic
acid and amides resulted in in-situ activation and coupling. DCC produce peptide segment
with loss of optical activity and also produce byproducts like N-acyl urea.
2 6
6. Photochemical activation
▪ In the photochemical activation approach, the functional group is derivatized with a light
sensitive chromophore, which can serve as a latent activator of the functional group.
▪ On irradiation with light of suitable wavelength, the functional group is converted to an
active form and the light sensitive chromophore is removed.
▪ It has been shown that photolysis at 350 nm causes no damage towards the most light
sensitive amino acids such as Trp and Tyr.
▪ Some compounds used for photochemical activation are nitroindolines, 2-
thianothiozolidienes etc.
2 7
THE PROTECTIVE GROUP
• Due to amino acid excess usage to ensure the completion of each synthesis step,
polymerization of amino acids is common in reactions where each amino acid is not
protected. In order to prevent this polymerization, PROTECTIVE GROUPS are used.
• Since the amino groups are more nucleophilic, it’s desirable to mask their reactivity with
removable protecting groups.
• If not protected, there is a possibility of undesired mixture of products during the peptide
synthesis.
 For Example -
2 8
 t-BOC AND FMOC PROTOCOLS
• Carbamates are generally used protecting groups for amines, because they can be installed
and removed easily under mild conditions.
• Two popular carbamate protecting groups are Boc (t-Butyloxy carbonyl) and CBz
(carboxybenzyl).
• They are stable to bases and nucleophiles, un affected by catalytic hydrogenation and
deprotected by Trifluoroacetic acid.
2 9
 Installation and Removal of the “Boc” Protecting Group
3 0
3 1
 Advantages and Disadvantages of Boc- strategy
 Advantages
• Easy to introduce and good coupling results
• Boc-amino acids are stable at room temp. for extended periods (but storage at 4°C is
recommended)
• Deprotection with TFA is rapid
• Successful strategy for many peptide synthesis applications
3 2
 Disadvantages
• Temporary and permanent (side chain) protecting groups are both acid labile side chain
deprotection during repeated TFA treatment can occur
• Repeated TFA-mediated N-α-deprotection over the course of a long synthesis may lead to
modification and/or degradation of sensitive peptide sequences
• Boc-strategy requires the use of “dangerous“ HF and expensive laboratory apparatus.
• Side reactions are possible: t-Bu+ reacts with nucleophilic side chains like trp, tyr, met,
his side chain protecting groups / adding of scavengers (1,2-Ethanedithiole) to the
deprotection reagent.
3 3
 9-Fluorenyl methoxycarbonyl (Fmoc)
• The another compound used for N-protecting group is 9-fluorenyl methoxycarbonyl
(Fmoc)
• In 1970, Arpino introduced the 9-fluorenylmethoxycarbonyl (Fmoc) group for N
protection
• The Fmoc group requires moderate base for removal, and thus offered a chemically mild
alternative to the acid-labile Boc group.
• Fmoc-based strategies utilized t-butyl (tBu)-based side-chain protection and
hydroxymethyl phenoxy-based linkers for peptide attachment to the resin.
• This was thus an “orthogonal” scheme requiring base for removal of the N protecting
group and acid for removal of the side-chain protecting groups and liberation of the
peptide from the resin.
3 4
 FMOC -
3 5
FMOC SOLID-PHASE SYNTHESIS
 In Fmoc solid-phase peptide synthesis, the peptide chain is assembled stepwise,
• One amino acid at a time, while attached to an insoluble resin support. This allows the reaction by-products
to be removed at each step by simple washing.
• Amino acids are protected at their amino terminus by the Fmoc (9-fluorenyl methoxycarbonyl) group and
coupled to the growing chain after activation of the carboxylic acid terminus.
• The Fmoc group is then removed by piperidine treatment and the process repeated. After the peptide has
been assembled it is removed from the resin by treatment with trifluoroacetic acid (TFA).
• At the same time, protecting groups on amino acid side chains are also removed yielding the crude linear
peptide. One-step purification by reverse-phase HPLC is often sufficient to obtain the peptide in >95%
purity.
• Fmoc synthesis is mild, flexible and versatile and consequently offers more synthetic options than the
alternative Boc chemistry.
• For instance, TFA is used only once in the process for cleavage, whereas in the Boc process it is used at
every cycle.
3 6
 Advantages and Disadvantages of Fmoc- strategy
 Advantages
• Fmoc-amino acids are easy to prepare in crystalline form in high yield and stable when
stored at 4°C milder reaction conditions: mild base (piperidine) for N-αdeprotection, TFA
only for the final resin cleavage and deprotection.
• Progress of each deprotection reaction can be followed by spectrophotometric monitoring
the release of the cleaved Fmoc-group at 300-320 nm
• Overall process is quick.
• Purification of each product can be achieved in one step and the technique is filtration.
• Purification in each step is possible.
• Can be automated with Roberts.
• Use of solvents are minimized.
• Less hazards and eco-friendly and follows the GREEN CHEMISTRY.
3 7
 DISADVANTAGES
• Expensive.
• Special substances are needed.
• It produces a few molecules at a time for testing.
• Small scale
• Piperidine: harmful vapor, toxic
 Side reactions:
• Aspartimide formation at Asp- X residues like Asp-Gly, -Ser, -Thr, -Asn, -Gln
linker-bound C-terminal Cys undergoes significant racemisation (ca. 0,5%) with each
cycle of Piperidinetreatment
 APPLICATIONS
• Combinatorial synthesis of solid phase.
• Immune peptides like synthetic antigens, vaccines.
• Peptide hormones like oxytocin, vasopressin.
• Neuropeptides like Substance cholecystokinin.
• In DNA synthesis.
3 8
Peptide bond formation takes place by any of the following:
 Peptide-bond formation is mainly from the reactions of N- alkoxycarbonyl amino acids with
1. carbodiimide-mediated reactions.
2. preformed symmetrical anhydrides.
3. mixed anhydrides.
4. activated esters.
5. Azides.
6. Chlorides of n- alkoxycarbonylamino acids: N-9 fluorenyl methoxy carbonyl amino acid
chlorides.
7. 1-ethoxycarbonyl-2-ethoxy1,2-dihydroquinoline-mediated reactions.
8. Benzotriazol-1-yl oxytris (dimethyl amino) phosphonium hexafluorophosphate mediated
reactions.
3 9
• Identification of important or essential proteins and peptides is an overall goal in
understanding the mechanism of an enzyme or the binding affinity of a peptide ligand to
its receptor
• Selectivity of chemical modification reagents has always been the largest problem.
• Isolation of the desired product from the heterogeneous mixture of components and
determination of the modified residue or residues become very labor-intensive processes.
• There are several methods are available for purification and chemical modification of
peptides.
 Purification and case studies & Site specific chemical modifications of peptides
4 0
 PEPTIDE BOND FORMATION
• The procedures used to combine two amino acid residues to form a peptide are referred to
as coupling methods.
• Coupling involves nucleophilic attack by the amino group of one residue at the
electrophilic carbonyl carbon atom of the carboxy-containing component has been
activated by the introduction of an electron-withdrawing group Y.
• Activation may be carried out either in the presence of the N-nucleophile or in the absence
of the N-nucleophile, which may be by choice or by necessity.
• Activation in the absence of the nucleophile is referred to as reactivation.
• When a coupling is effected by the addition of a single compound to a mixture of the two
reactants, the compound is referred to as a coupling reagent.
4 1
Methods for Purification of peptide
The main methods utilized for peptide purification are
• HPLC chromatography,
• Ion-exchange chromatography,
• Hydrophobic interaction chromatography,
• Gel filtration chromatography,
• Size exclusion chromatography,
• Paper electrophoresis
4 2
Purification by Gel Filtration
• The separation of peptides according to molecular size is a useful early step in the
fractionation of complex mixtures.
• since different methods are appropriate for the subsequent purification of peptides
of different size classes.
• Two types of gel filtration materials have been used widely, consisting of cross-
linked dextran or polyacrylamide each available in a variety of pore sizes.
Purification by HPLC
• High performance liquid chromatography or high pressure liquid chromatography is
a form of chromatography applying high pressure to drive the solutes through the
column faster.
• This means that the diffusion is limited and the resolution is improved. The most
common form is “reversed phase” HPLC, where the column material is hydrophobic.
• The peptide are eluted by a gradient of increasing amounts of an organic solvent,
such as acetonitrile. The peptide elute according to their hydrophobicity.
• After purification by HPLC the peptide is in a solution that only contains volatile
compounds, and can easily be lyophilized.
4 3
 Cleavage from resin
• The synthesis peptide is cleaved from the resin together with the side chain protecting group.
• The cleavage of the peptide from the resin, necessitated the use of acidic reagent such as HF,
TFMSA, TMSOTF, HBr/TFA
 Standard procedure for cleavage
• A solution of 10% piperidine in DMF is cooled in ice bath.
↓
• The peptide resin is added to the solution and stirred for 2hr at 0-5 °C.
↓
• After filtration the peptide resin is washed with DMF, IPA, MTBE and dried before proceeding
to the final cleavage.
4 4
HF cleavage
• The cleavage reaction is usually performed in 40-60min at a temperature to 0°C .
• Due to high concentration of alkylating species in the reaction medium, it is indispensable to
include scavengers in the cleavage mixture.
• At the end of the reaction the HF is evaporated under vacuum and the peptide extracted from the
resin and isolated. Low and high cleavage
• The peptide resin is placed in the reactor together with DMS/p-cresol ( ratio HF/DMS/p-cresol
25:65:1 )
• The required volume of HF is distilled into the reactor and the reaction mixture is stirred for 2hr at
0-5°C.
• HF and DMS are evaporated in vacuum.
• After evaporation the peptide resin is removed from the reactor and wash with the DMS.
• The peptide resin is put back in the reactor with p-cresol.
• The high HF cleavage is performed for 1hr at 0-5°C using HF/p-cresol 9:1.
• After evaporation of HF , the peptide is extracted.
4 5
 LOW AND HIGH HF CLEAVAGE PROTOCOLS
• In conventional strong-acid cleavage methods one major draw-back of using HF is the number of
deleterious side reaction that are promoted by the SN1 removal of protecting groups.
• The solvolysis reaction generates benzyl carbocations that are stabilized by HF.
• These carbocations are potent alkylating species of amino acids with nucleophilic side chains, such as
cysteine, methionine, tryptophan, and tyrosine
• An additional consequence of the strong protonating ability of HF is the generation of an acylium ion from
the dehydration of the side chains
• This is a two-part procedure that incorporates an SN2 process as an initial step followed by an SN1 step to
remove the more resistant protecting groups.
• This two-step procedure has been named the “low-high HF deprotection procedure
• In order to minimize or eliminate many of the deleterious side reactions in peptides containing some or all
of these problematic ammo acids, the low-high HF procedure was developed.
• Subsequent to this low step, a high step is then required to cleave the more resistant protecting groups, such
as Arg and Cys.
4 6
 Chemical Modifications
 Simple N-Terminal Extensions :
• These modifications involve reaction of the free N-terminus of the completed peptide chain with
an alkylating or acylating species etc.
• The case of Boc(tert-butoxycarbonyl) synthesis, it is necessary also to perform a base wash
Chemical Modification.
• with 10% DIEA(N,N Diisopropylethylamine) in DCM(Dichloromethane) to neutralize the TFA
(Trifluoroacetic acid)salt. All of these modifications will result in a blocked N-terminus, which is
refractory to Edman degradation.
Acetylation: Acetylation places an acetyl group on the N-terminus of the peptide.
• This will increase the mol wt. of the peptide by 42 mass units
 Biotinylation: For a number of immunological procedures as well as for structure function studies,
biotin has been a very useful probe. Addition of the Biotin on peptide results The molecular weight of the
final product will be increased by nearly 226 mass units.
4 7
 Dinitro phenylation
• Addition of the dinitrophenyl group turns the peptide a bright yellow color and increases the mol
wt. by 166 mass units.
• The deblocked peptide resin is treated with 4 Eq of dinitrofluorobenzene and 4 Eq of DIEA in
DMF for 3 h.
• We have found that the reaction is complete within 3 h for most peptides. However, some peptides
may be less reactive.
 Dansylation
• Attachment of the dansyl group to the peptide will give the peptide a pale yellow-green color.
This substituent will increase the mol wt. by 233.3 mass units.
• So this is done by the dissolving 5 Eq of dansyl chloride in 10 mL of DMF/g of deblocked peptide
resin, Add 2 Eq of DIEA to this solution to maintain the pH of the reaction.
4 8
 Fatty Acid Acylation
• Attachment of a fatty acid, such as myristic, palmitic, or stearic acid, is easily accomplished using
standard coupling procedures which will increase the molecular weight 209,238, and 267 mass
units for myristic, palmitic, and stearic acids, respectively.
Acylation with 7-Methoxycoumarin 4-Acetic Acid (MCA)
Addition of 7- methoxy-coumarin 4-acetic acid will increase the mol wt. of the peptide by 216 mass
units.
 Anthranilylation
• Attachment of this amino acid derivative results in a fluorescent peptide derivative. This
fluorescence can be internally quenched by p-nitro- Phenyl derivative, Addition of this residue
will increase the mol wt. of the peptide by 121 mass units.
4 9
 Conclusion
• Purification of peptide is an important procedure through out the Pharmaceutical field . RP-HPLC
is an useful technique among all the procedure .
• Chemical modification reactions involving fatty acids often result in peptides with solubility
problems. Aggregation may create a major solubilization problem that may require more drastic
measures, such as neat TFA or DMSO, to achieve satisfactory solubilization.
• We observed that ,Selectivity of chemical modification reagents has always been the largest
problem to overcome when this approach is taken. But with the help of various strategies its
successfully done .
5 0
SEGMENT AND SEQUENTIAL STRATEGIES FOR
SOLUTION PHASE PEPTIDE SYNTHESIS
• Peptides are synthesized by linking the carboxyl group of one amino acid (or linking the
C-terminal end) to either the C- terminal or N- terminal of another amino acid. Basically,
peptide synthesis starts at the C- terminal end of a peptide and ends at the N- terminus of
another.
• More than 40 marketed peptides worldwide 270 peptides in clinical trials 400 peptides in
advanced preclinical phases.
5 1
BEFORE STARTING....
• Choose the C-terminal protecting group
• Choose the N- terminal protecting group
• Choose the coupling reagent
 C-terminal protecting group -
Alanine Methyl Ester Alanine Ethyl Ester Alanine Allyl Ester
5 2
• The most common acid protecting group is the Methyl ester.
• It is stable in most coupling reaction and deprotection reaction condition.
 N- Terminal Protecting Group -
 There are two standard types of N- protecting group used
• BOC Group
• FMOC Group
5 3
 Coupling Reagents -
5 4
5 5
 SYNTHESIS OF PEPTIDES IN SOLUTION -
• Its main advantage is that intermediate products can be isolated and purified after each
step of synthesis, deprotecting and recombined to obtained larger peptides of the desired
sequence.
• This technique is highly flexible with respect to the chemistry of coupling and the
combination of peptide block.
• New strategies for synthesis in solution have been developed, going from the design of
functional group for the side chain and condensation of fragments for the synthesis for the
synthesis of large molecule to the use of new coupling reagents.
5 6
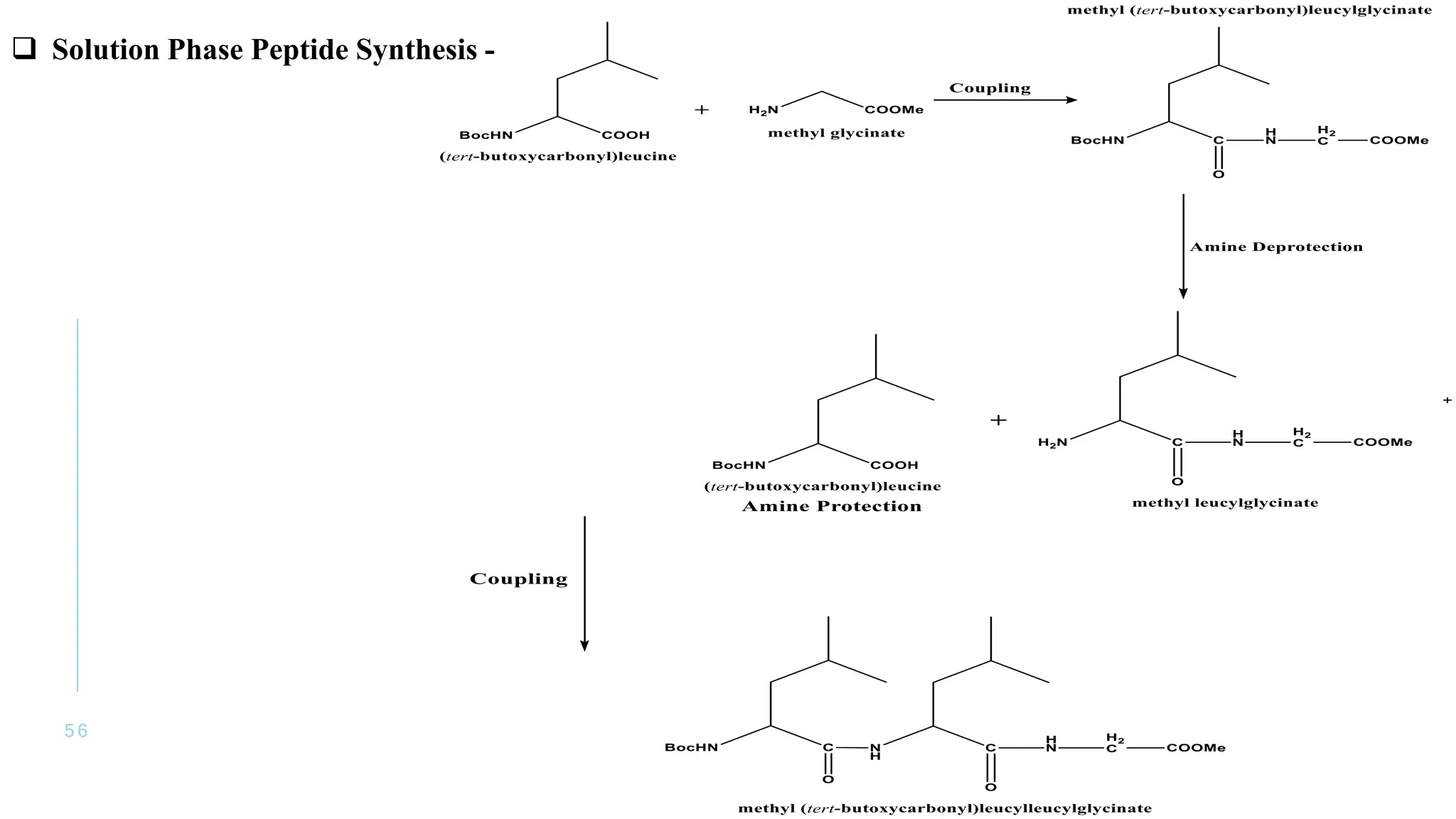
 Solution Phase Peptide Synthesis -
5 7
 Strategies consideration:
 Peptide molecules can be synthesized by following either by two basic strategies:
I. Linear
II. Convergent
 LINEAR STRATEGIES -
• Linear coupling of amino acids in the C to N direction is the most successful strategy in
solid phase methods.
• A linear synthesis is must, of necessary be carried out in a sequential manner and
probably by one person or at most by one team.
• If an advanced intermediate in linear synthesis is lost, on the other hand, then the whole
molecule must be synthesized again.
5 8
 CONVERGENT STRATEGIES -
• Convergent strategies are based on the condensation of peptide segments.
• Strategies in which peptide segments are coupled together to give the desired target molecule, to be the
most promising for the synthesis of long peptides.
• The difference between the desired condensation product and the segments themselves, in terms of
molecular size and chemical nature should be permit their separation easily.
• A further advantage of convergent strategies is that workers are always closer to the starting material,
so that is easy to go back to the beginning and to repeat the synthesis.
• In general, convergent strategies have adopted for the synthesis of complex Peptides in solution, as
many of the most important synthesis.
• The protected peptide segments used in a convergent strategy are, however, usually synthesized in a
stepwise manner although larger segments, might be made by the condensation of Larger ones.
• The protected peptide segments used in convergent synthesis strategies can be synthesized by
conventional methods using appropriate modifications of the chemistry involved.
5 9
 CASE STUDY -
 Solution phase peptide synthesis can be performed in different ways
A. Manual synthesis
B. Automated synthesis
 MANUAL SYNTHESIS -
• Manual synthesis of individual peptides can be performed in syringes of different size
provided with a bottom sintered glass or plastic filter
• Multiple peptide synthesis at the micro molar level can be conducted in functionalized
cellulose , propylene, according to the spot synthesis methodology developed by
frank.
• All operation in SPPS, namely coupling, de protection and final removal are
conducted in the same recipient so that several wasting steps have to be considered.
6 0
 AUTOMATED SYNTHESIS -
• Several systems for the automated t-BOC /Bzl and going from 1.5 mg to 5kg scale are
now available from applied biosynthesis, Shimazu advanced chem. Tech etc.
• This system are important for the reproducibility of results and the validation of the
process
• Automated sups is expensive and a through economic evaluation should be done in each
case before adopting it.
6 1
 APPLICATION-
• Manual Approach to Parallel Synthesis
• This Procedure is used for parallel synthesis of more than 150 peptides at a
time.
• The Polymeric support resin is sealed in polypropylene meshed containers
and each tea bag is labelled.
6 2
 ADVANTAGE -
• It is cheap and can be carried out in a laboratory without the need for expensive equipment
 PROBLEM -
• Major problem is the fact that it is manual and this limits the quantity and speed with
which new structure can be synthesized.
 APPLICATION -
• Reverse phase high performance liquid chromatography(HPLC), using C-18 or C- column
is the most used procedure for analysis and purification of peptides
• Both MALID and ESI are less sensitive for high molecular weight peptides(over 30,000
da)
• Determination of peptide structure can be done by circular dichroism and NMR.
THANK YOU
KAMAL LOCHAN MISRA
DEPARTMENT OF PHARMACEUTICAL CHEMISTRY

Solid and Solution phase peptide synthesis PPT.pptx

  • 1.
    SOLID AND SOLUTION PHASEPEPTIDE SYNTHESIS KAMAL LOCHAN MISRA
  • 2.
    AGENDA SOLID AND SOLUTION PHASE PEPTIDE SYNTHESIS 2 SOLID PHASE PEPTIDESYNTHESIS PRINCIPLE SYNTHESIS OF PEPTIDES IN SOLUTION APPLICATION APPLICATION
  • 3.
  • 4.
    4  SOLID PHASEPEPTIDE SYNTHESIS(SPPS) • In chemistry, Solid-phase synthesis means synthesis on a solid support. • Solid phase synthesis is heterogenous reaction in which a reagent is coupled to a solid support via functionality present on solid support. • A multistep synthesis on solid phase then transforms the bound intermediate into target molecule but eventually cleaved from support. The technique is called Solid phase. • Solid phase synthesis was invented by Bruce Merrifield in 1963. • According to his proposal, a protected amino acid is anchored to an insoluble functionalized support by a bond that resists all chemistries employed during assembly of the peptide. • The amino group is deprotected and additional residues are introduced successively. • Final deprotection detaches the peptide from the support.
  • 5.
  • 6.
    6 • The generalprinciple of SPPS is one of repeated cycles of deprotection- wash-coupling-wash. • The free N-terminal amine of a solid-phase attached peptide is coupled to a single N-protected amino acid unit. • This unit is then deprotected, revealing a new N-terminal amine to which a further amino acid may be attached.
  • 7.
    7  PRINCIPLE - •The first N- protected amino acid is bound by its carboxyl group to the polymer via a benzyl ester bond. • The second step involves the deprotection of the amino group under conditions that do not cleave the resin-amino acid ester bond . • In the third step, a second N-protected amino acid is coupled to the amino group of the polymer bound amino acid using Di-cyclohexyl carbodiimide (DCC) or through an active ester coupling. • The N-deblocking and coupling steps are repeated until the desired sequence is formed . • Finally, the resin peptide bond is cleaved by a suitable acid-catalyzed cleavage reaction which results in simultaneous N-deblocking and deblocking of most of the side chain functionalities. • Since only the final peptide is obtained by cleavage from the polymer, the purity of the final product depends upon the coupling efficiency of each step.
  • 8.
  • 9.
    9 There are threedifferent approaches for anchoring the first residue to a support • First, the N-protected residue is anchored directly to a linker that has been elaborated on the support. • Second, a stand-alone linker is coupled to the support, after which the protected residue is combined with the linker-resin. • Third, the protected residue is combined with a stand-alone linker, and the resulting compound is then coupled to a handle on the support.
  • 10.
    1 0  SOLIDPHASE PEPTIDE SYNTHESIS -  The solid phase peptide synthesis requires the following • The Resin (Solid support) • The Linkers • The Protective group • Reaction monitoring • Purification
  • 11.
    1 1  TheResin (Solid support) - Resin act as a solid support for a solid phase synthesis. • The support must be insoluble, in the form of beads of sufficient size to allow quick removal of solvent by filtration and stable to agitation and inert to all the chemistry and solvents employed. • It always swells extensively in solvent. • Successful solid-phase synthesis requires that there be no reactions on the side chains and main chain during assembly, including premature removal of protecting groups, which includes the carboxy-terminal protector. • The prime requirement of a polymeric material to be used as a support for carrying out organic synthetic transformations is the easiness of chemical modification to incorporate specific reagent functions. • Their availability and cost, mechanical, thermal and chemical stability, porosity and compatibility with reagents and solvents etc.
  • 12.
    1 2 • Functionalizedpolymeric supports must possess a structure which permits adequate diffusion of reagents into there active sites which extent of swelling or solvation, the effective pore size and pore volume and the chemical and mechanical stability of the resins under the conditions of a particular chemical reaction or reaction sequence. • Polymer supports used for organic synthesis are of two types, passive and active supports. • In passive supports, the macromolecular matrix acts as a carrier on which the synthesis of the desired substance is carried out and finally cleaved from the support. • Active supports effects a synthetic or catalytic transformation on a soluble substrate. Polymeric reagents in which the active site is consumed during the reaction and polymer supported catalysts in which the reactive site catalyzes a number of chemical reactions.  The use of solid supports in organic synthesis relies on three inter connected requirements: 1. A crosslinked, insoluble, but solvent swellable polymeric material that is inert to the conditions of synthesis. 2. Some means of linking the substrate to this solid phase that permits selective cleavage of the product from the solid support. 3. A successful synthetic procedure compatible with the linker and the solid phase
  • 13.
    1 3  Typesof solid supports • Inorganic supports: Inorganic polymers such as silica12 and molecular sieves have been used as supports in solid phase organic synthesis. They have hydroxyl groups on the surface that can be used as the centre for attaching functional groups. • Organic supports: The organic matrices used as supports may be natural or synthetic polymers. The natural supporters used are cellulose, chitin etc. The synthetic supports include polystyrene resins, polyacrylamide resins, poly(methyl methacrylate) resin, poly(hydroxy ethyl methacrylate) resin, grafted resins, magnetic beads, dendrimer supports etc.
  • 14.
    1 4  HydrophobicPolystyrene Resin - • Gelatinous solid support. • Cross linked with 1-2% divinylbenzene. • Particle size 90-200 micro meter. • Examples-: benzylic halide.
  • 15.
    1 5  HydriteHydrophilic polystyrene resin(HHPSR) – • A major drawback of hydrophilic polystyrene resin is poor swelling in protic solvent. Thus support is prepared by grafting hydrophilic mono functional or bifunctional polystyrene glycol (PEG).  Example : Chem Matrix 1. It has chemical and thermal stability. 2.Compatible with microwave. 3. High degree of swelling in acetonitrile, DMF, TFA. 4.Used for synthesis of difficult and long peptides.
  • 16.
    1 6  PAM(4-Hydroxymethylphenylacetamidomethyl) • Also a standard support for Boc SPPS - stabilizing effect of the phenyl acetamido methyl function on the ester linkage reduction of losses during repetitive TFA acidolysis  BHA / MBHA (Benzhydryl amine / 4-Methylbenzhydrylamine) • Used for the synthesis of peptide amides by Boc SPPS • Attachment of the first amino acid with standard methods of amide bond formation cleavage of the carboxamides with HF or TFMSA • MBHA is more acid sensitive and the peptide amide can be released with HF or TFMSA under less drastic conditions
  • 17.
    1 7  PAM-  BHA -
  • 18.
    1 8  LINKERS– • Linker referred as a handle to attach a small molecule on to polymeric resin. Linkers has many similarities to protecting group in solid phase synthesis.  Properties of linkers - • Stable to reaction conditions. • Cleaved selectively at the end of synthesis. • Reusable. • Felicitate reaction conditions. • Sequential / partial release. • Easy to prepare. • It should be highly selective to one or most small number of specific cleavage reagents conditions.
  • 19.
    1 9  TYPESOF LINKERS - 1.Acid-Cleavable anchors and linkers. 2.Base/ Nucleophile Liable linkers. 3.Photo labile linkers. 4.Safety catch linkers.  FUNCTIONS OF LINKERS - • As a functional group. • As a linker releases another functional group.  EXAMPLES - • Trialkylsillyl chloride or triflate generated from ethanophenylsane. • Traceless linker for aromatics -: Hu’s aryl silane linker
  • 20.
    2 0  ACIDLABILE LINKERS - • Solid phase method of synthesis of peptides involved the anchoring of the free carboxylic end of the N-protected amino acids on to nitrated chloromethylated polystyrene resins and the release of the peptide was done with HBr in glacial acetic acid.
  • 21.
    2 1  BASELABILE LINKERS - • Benzyl esters are easily cleaved by dinitrate alkali and even milder conditions like, K2 CO3 in methanol, or tertbutyl ammonium hydroxide in T.H.F are enough for cleavage. • Electron withdrawing groups considerably increase the cleavage rate. • The glycol amidic ester linkage, which is stable towards acids, can be cleaved with NaOH.
  • 22.
    2 2  PHOTOLABILE LINKERS - • The light is used to break the bond between the intermediate and the linker to release the pure compound from the support into the solution without any interference with the compound. Example: Holme’s o- nitro benzyl linker
  • 23.
    2 3  SAFETY-CATCH LINKERS - • It is totally stable during the synthetic procedure and labile activation. • It is very popular and allows the support and release of many functionalities. Examples: sulphonamide based safety catch linker, phenol based safety catch linker. • Hu’s aryl silane linker -
  • 24.
    2 4  ACTIVATIONOF CARBOXYLIC ACID IN PEPTIDE SYNTHESIS - • To convert carboxylic acids into activated form. their hydroxyl group must be replaced by an electron withdrawing substituent (X) to enhance the polarization of the carboxyl group and thereby the electrophilicity at the carbon center. • This facilitates the nucleophilic attack by the amino and alcoholic groups.  • Carboxyl activation is done by the following conversion: 1. Acid chloride • The chloride ion is used as the electron withdrawing moiety. Acyl chlorides (RCOCl) were formed by using phosphorous pentachloride or thionyl chloride. 2. Acid azides • Direct conversion of carboxylic acids to acid azides with the help of diphenyl phosphoryl azide or hydrazides.
  • 25.
    2 5 3. Acidanhydrides • Anhydrides are prepared by treating carboxylic acid with phosgene or with alkyl chlorocarbonates. 4. Esters • Esters formed from the carboxylic acid renders the carbon atom of the carboxyl group more electrophilic and more ready to attack nucleophiles. Electron withdrawing groups on aromatic ring increases the reactivity. 5. Coupling reagents Coupling agents like Di cyclohexyl carbodiimide (DCC) added to the mixture of carboxylic acid and amides resulted in in-situ activation and coupling. DCC produce peptide segment with loss of optical activity and also produce byproducts like N-acyl urea.
  • 26.
    2 6 6. Photochemicalactivation ▪ In the photochemical activation approach, the functional group is derivatized with a light sensitive chromophore, which can serve as a latent activator of the functional group. ▪ On irradiation with light of suitable wavelength, the functional group is converted to an active form and the light sensitive chromophore is removed. ▪ It has been shown that photolysis at 350 nm causes no damage towards the most light sensitive amino acids such as Trp and Tyr. ▪ Some compounds used for photochemical activation are nitroindolines, 2- thianothiozolidienes etc.
  • 27.
    2 7 THE PROTECTIVEGROUP • Due to amino acid excess usage to ensure the completion of each synthesis step, polymerization of amino acids is common in reactions where each amino acid is not protected. In order to prevent this polymerization, PROTECTIVE GROUPS are used. • Since the amino groups are more nucleophilic, it’s desirable to mask their reactivity with removable protecting groups. • If not protected, there is a possibility of undesired mixture of products during the peptide synthesis.  For Example -
  • 28.
    2 8  t-BOCAND FMOC PROTOCOLS • Carbamates are generally used protecting groups for amines, because they can be installed and removed easily under mild conditions. • Two popular carbamate protecting groups are Boc (t-Butyloxy carbonyl) and CBz (carboxybenzyl). • They are stable to bases and nucleophiles, un affected by catalytic hydrogenation and deprotected by Trifluoroacetic acid.
  • 29.
    2 9  Installationand Removal of the “Boc” Protecting Group
  • 30.
  • 31.
    3 1  Advantagesand Disadvantages of Boc- strategy  Advantages • Easy to introduce and good coupling results • Boc-amino acids are stable at room temp. for extended periods (but storage at 4°C is recommended) • Deprotection with TFA is rapid • Successful strategy for many peptide synthesis applications
  • 32.
    3 2  Disadvantages •Temporary and permanent (side chain) protecting groups are both acid labile side chain deprotection during repeated TFA treatment can occur • Repeated TFA-mediated N-α-deprotection over the course of a long synthesis may lead to modification and/or degradation of sensitive peptide sequences • Boc-strategy requires the use of “dangerous“ HF and expensive laboratory apparatus. • Side reactions are possible: t-Bu+ reacts with nucleophilic side chains like trp, tyr, met, his side chain protecting groups / adding of scavengers (1,2-Ethanedithiole) to the deprotection reagent.
  • 33.
    3 3  9-Fluorenylmethoxycarbonyl (Fmoc) • The another compound used for N-protecting group is 9-fluorenyl methoxycarbonyl (Fmoc) • In 1970, Arpino introduced the 9-fluorenylmethoxycarbonyl (Fmoc) group for N protection • The Fmoc group requires moderate base for removal, and thus offered a chemically mild alternative to the acid-labile Boc group. • Fmoc-based strategies utilized t-butyl (tBu)-based side-chain protection and hydroxymethyl phenoxy-based linkers for peptide attachment to the resin. • This was thus an “orthogonal” scheme requiring base for removal of the N protecting group and acid for removal of the side-chain protecting groups and liberation of the peptide from the resin.
  • 34.
  • 35.
    3 5 FMOC SOLID-PHASESYNTHESIS  In Fmoc solid-phase peptide synthesis, the peptide chain is assembled stepwise, • One amino acid at a time, while attached to an insoluble resin support. This allows the reaction by-products to be removed at each step by simple washing. • Amino acids are protected at their amino terminus by the Fmoc (9-fluorenyl methoxycarbonyl) group and coupled to the growing chain after activation of the carboxylic acid terminus. • The Fmoc group is then removed by piperidine treatment and the process repeated. After the peptide has been assembled it is removed from the resin by treatment with trifluoroacetic acid (TFA). • At the same time, protecting groups on amino acid side chains are also removed yielding the crude linear peptide. One-step purification by reverse-phase HPLC is often sufficient to obtain the peptide in >95% purity. • Fmoc synthesis is mild, flexible and versatile and consequently offers more synthetic options than the alternative Boc chemistry. • For instance, TFA is used only once in the process for cleavage, whereas in the Boc process it is used at every cycle.
  • 36.
    3 6  Advantagesand Disadvantages of Fmoc- strategy  Advantages • Fmoc-amino acids are easy to prepare in crystalline form in high yield and stable when stored at 4°C milder reaction conditions: mild base (piperidine) for N-αdeprotection, TFA only for the final resin cleavage and deprotection. • Progress of each deprotection reaction can be followed by spectrophotometric monitoring the release of the cleaved Fmoc-group at 300-320 nm • Overall process is quick. • Purification of each product can be achieved in one step and the technique is filtration. • Purification in each step is possible. • Can be automated with Roberts. • Use of solvents are minimized. • Less hazards and eco-friendly and follows the GREEN CHEMISTRY.
  • 37.
    3 7  DISADVANTAGES •Expensive. • Special substances are needed. • It produces a few molecules at a time for testing. • Small scale • Piperidine: harmful vapor, toxic  Side reactions: • Aspartimide formation at Asp- X residues like Asp-Gly, -Ser, -Thr, -Asn, -Gln linker-bound C-terminal Cys undergoes significant racemisation (ca. 0,5%) with each cycle of Piperidinetreatment  APPLICATIONS • Combinatorial synthesis of solid phase. • Immune peptides like synthetic antigens, vaccines. • Peptide hormones like oxytocin, vasopressin. • Neuropeptides like Substance cholecystokinin. • In DNA synthesis.
  • 38.
    3 8 Peptide bondformation takes place by any of the following:  Peptide-bond formation is mainly from the reactions of N- alkoxycarbonyl amino acids with 1. carbodiimide-mediated reactions. 2. preformed symmetrical anhydrides. 3. mixed anhydrides. 4. activated esters. 5. Azides. 6. Chlorides of n- alkoxycarbonylamino acids: N-9 fluorenyl methoxy carbonyl amino acid chlorides. 7. 1-ethoxycarbonyl-2-ethoxy1,2-dihydroquinoline-mediated reactions. 8. Benzotriazol-1-yl oxytris (dimethyl amino) phosphonium hexafluorophosphate mediated reactions.
  • 39.
    3 9 • Identificationof important or essential proteins and peptides is an overall goal in understanding the mechanism of an enzyme or the binding affinity of a peptide ligand to its receptor • Selectivity of chemical modification reagents has always been the largest problem. • Isolation of the desired product from the heterogeneous mixture of components and determination of the modified residue or residues become very labor-intensive processes. • There are several methods are available for purification and chemical modification of peptides.  Purification and case studies & Site specific chemical modifications of peptides
  • 40.
    4 0  PEPTIDEBOND FORMATION • The procedures used to combine two amino acid residues to form a peptide are referred to as coupling methods. • Coupling involves nucleophilic attack by the amino group of one residue at the electrophilic carbonyl carbon atom of the carboxy-containing component has been activated by the introduction of an electron-withdrawing group Y. • Activation may be carried out either in the presence of the N-nucleophile or in the absence of the N-nucleophile, which may be by choice or by necessity. • Activation in the absence of the nucleophile is referred to as reactivation. • When a coupling is effected by the addition of a single compound to a mixture of the two reactants, the compound is referred to as a coupling reagent.
  • 41.
    4 1 Methods forPurification of peptide The main methods utilized for peptide purification are • HPLC chromatography, • Ion-exchange chromatography, • Hydrophobic interaction chromatography, • Gel filtration chromatography, • Size exclusion chromatography, • Paper electrophoresis
  • 42.
    4 2 Purification byGel Filtration • The separation of peptides according to molecular size is a useful early step in the fractionation of complex mixtures. • since different methods are appropriate for the subsequent purification of peptides of different size classes. • Two types of gel filtration materials have been used widely, consisting of cross- linked dextran or polyacrylamide each available in a variety of pore sizes. Purification by HPLC • High performance liquid chromatography or high pressure liquid chromatography is a form of chromatography applying high pressure to drive the solutes through the column faster. • This means that the diffusion is limited and the resolution is improved. The most common form is “reversed phase” HPLC, where the column material is hydrophobic. • The peptide are eluted by a gradient of increasing amounts of an organic solvent, such as acetonitrile. The peptide elute according to their hydrophobicity. • After purification by HPLC the peptide is in a solution that only contains volatile compounds, and can easily be lyophilized.
  • 43.
    4 3  Cleavagefrom resin • The synthesis peptide is cleaved from the resin together with the side chain protecting group. • The cleavage of the peptide from the resin, necessitated the use of acidic reagent such as HF, TFMSA, TMSOTF, HBr/TFA  Standard procedure for cleavage • A solution of 10% piperidine in DMF is cooled in ice bath. ↓ • The peptide resin is added to the solution and stirred for 2hr at 0-5 °C. ↓ • After filtration the peptide resin is washed with DMF, IPA, MTBE and dried before proceeding to the final cleavage.
  • 44.
    4 4 HF cleavage •The cleavage reaction is usually performed in 40-60min at a temperature to 0°C . • Due to high concentration of alkylating species in the reaction medium, it is indispensable to include scavengers in the cleavage mixture. • At the end of the reaction the HF is evaporated under vacuum and the peptide extracted from the resin and isolated. Low and high cleavage • The peptide resin is placed in the reactor together with DMS/p-cresol ( ratio HF/DMS/p-cresol 25:65:1 ) • The required volume of HF is distilled into the reactor and the reaction mixture is stirred for 2hr at 0-5°C. • HF and DMS are evaporated in vacuum. • After evaporation the peptide resin is removed from the reactor and wash with the DMS. • The peptide resin is put back in the reactor with p-cresol. • The high HF cleavage is performed for 1hr at 0-5°C using HF/p-cresol 9:1. • After evaporation of HF , the peptide is extracted.
  • 45.
    4 5  LOWAND HIGH HF CLEAVAGE PROTOCOLS • In conventional strong-acid cleavage methods one major draw-back of using HF is the number of deleterious side reaction that are promoted by the SN1 removal of protecting groups. • The solvolysis reaction generates benzyl carbocations that are stabilized by HF. • These carbocations are potent alkylating species of amino acids with nucleophilic side chains, such as cysteine, methionine, tryptophan, and tyrosine • An additional consequence of the strong protonating ability of HF is the generation of an acylium ion from the dehydration of the side chains • This is a two-part procedure that incorporates an SN2 process as an initial step followed by an SN1 step to remove the more resistant protecting groups. • This two-step procedure has been named the “low-high HF deprotection procedure • In order to minimize or eliminate many of the deleterious side reactions in peptides containing some or all of these problematic ammo acids, the low-high HF procedure was developed. • Subsequent to this low step, a high step is then required to cleave the more resistant protecting groups, such as Arg and Cys.
  • 46.
    4 6  ChemicalModifications  Simple N-Terminal Extensions : • These modifications involve reaction of the free N-terminus of the completed peptide chain with an alkylating or acylating species etc. • The case of Boc(tert-butoxycarbonyl) synthesis, it is necessary also to perform a base wash Chemical Modification. • with 10% DIEA(N,N Diisopropylethylamine) in DCM(Dichloromethane) to neutralize the TFA (Trifluoroacetic acid)salt. All of these modifications will result in a blocked N-terminus, which is refractory to Edman degradation. Acetylation: Acetylation places an acetyl group on the N-terminus of the peptide. • This will increase the mol wt. of the peptide by 42 mass units  Biotinylation: For a number of immunological procedures as well as for structure function studies, biotin has been a very useful probe. Addition of the Biotin on peptide results The molecular weight of the final product will be increased by nearly 226 mass units.
  • 47.
    4 7  Dinitrophenylation • Addition of the dinitrophenyl group turns the peptide a bright yellow color and increases the mol wt. by 166 mass units. • The deblocked peptide resin is treated with 4 Eq of dinitrofluorobenzene and 4 Eq of DIEA in DMF for 3 h. • We have found that the reaction is complete within 3 h for most peptides. However, some peptides may be less reactive.  Dansylation • Attachment of the dansyl group to the peptide will give the peptide a pale yellow-green color. This substituent will increase the mol wt. by 233.3 mass units. • So this is done by the dissolving 5 Eq of dansyl chloride in 10 mL of DMF/g of deblocked peptide resin, Add 2 Eq of DIEA to this solution to maintain the pH of the reaction.
  • 48.
    4 8  FattyAcid Acylation • Attachment of a fatty acid, such as myristic, palmitic, or stearic acid, is easily accomplished using standard coupling procedures which will increase the molecular weight 209,238, and 267 mass units for myristic, palmitic, and stearic acids, respectively. Acylation with 7-Methoxycoumarin 4-Acetic Acid (MCA) Addition of 7- methoxy-coumarin 4-acetic acid will increase the mol wt. of the peptide by 216 mass units.  Anthranilylation • Attachment of this amino acid derivative results in a fluorescent peptide derivative. This fluorescence can be internally quenched by p-nitro- Phenyl derivative, Addition of this residue will increase the mol wt. of the peptide by 121 mass units.
  • 49.
    4 9  Conclusion •Purification of peptide is an important procedure through out the Pharmaceutical field . RP-HPLC is an useful technique among all the procedure . • Chemical modification reactions involving fatty acids often result in peptides with solubility problems. Aggregation may create a major solubilization problem that may require more drastic measures, such as neat TFA or DMSO, to achieve satisfactory solubilization. • We observed that ,Selectivity of chemical modification reagents has always been the largest problem to overcome when this approach is taken. But with the help of various strategies its successfully done .
  • 50.
    5 0 SEGMENT ANDSEQUENTIAL STRATEGIES FOR SOLUTION PHASE PEPTIDE SYNTHESIS • Peptides are synthesized by linking the carboxyl group of one amino acid (or linking the C-terminal end) to either the C- terminal or N- terminal of another amino acid. Basically, peptide synthesis starts at the C- terminal end of a peptide and ends at the N- terminus of another. • More than 40 marketed peptides worldwide 270 peptides in clinical trials 400 peptides in advanced preclinical phases.
  • 51.
    5 1 BEFORE STARTING.... •Choose the C-terminal protecting group • Choose the N- terminal protecting group • Choose the coupling reagent  C-terminal protecting group - Alanine Methyl Ester Alanine Ethyl Ester Alanine Allyl Ester
  • 52.
    5 2 • Themost common acid protecting group is the Methyl ester. • It is stable in most coupling reaction and deprotection reaction condition.  N- Terminal Protecting Group -  There are two standard types of N- protecting group used • BOC Group • FMOC Group
  • 53.
    5 3  CouplingReagents -
  • 54.
  • 55.
    5 5  SYNTHESISOF PEPTIDES IN SOLUTION - • Its main advantage is that intermediate products can be isolated and purified after each step of synthesis, deprotecting and recombined to obtained larger peptides of the desired sequence. • This technique is highly flexible with respect to the chemistry of coupling and the combination of peptide block. • New strategies for synthesis in solution have been developed, going from the design of functional group for the side chain and condensation of fragments for the synthesis for the synthesis of large molecule to the use of new coupling reagents.
  • 56.
    5 6  SolutionPhase Peptide Synthesis -
  • 57.
    5 7  Strategiesconsideration:  Peptide molecules can be synthesized by following either by two basic strategies: I. Linear II. Convergent  LINEAR STRATEGIES - • Linear coupling of amino acids in the C to N direction is the most successful strategy in solid phase methods. • A linear synthesis is must, of necessary be carried out in a sequential manner and probably by one person or at most by one team. • If an advanced intermediate in linear synthesis is lost, on the other hand, then the whole molecule must be synthesized again.
  • 58.
    5 8  CONVERGENTSTRATEGIES - • Convergent strategies are based on the condensation of peptide segments. • Strategies in which peptide segments are coupled together to give the desired target molecule, to be the most promising for the synthesis of long peptides. • The difference between the desired condensation product and the segments themselves, in terms of molecular size and chemical nature should be permit their separation easily. • A further advantage of convergent strategies is that workers are always closer to the starting material, so that is easy to go back to the beginning and to repeat the synthesis. • In general, convergent strategies have adopted for the synthesis of complex Peptides in solution, as many of the most important synthesis. • The protected peptide segments used in a convergent strategy are, however, usually synthesized in a stepwise manner although larger segments, might be made by the condensation of Larger ones. • The protected peptide segments used in convergent synthesis strategies can be synthesized by conventional methods using appropriate modifications of the chemistry involved.
  • 59.
    5 9  CASESTUDY -  Solution phase peptide synthesis can be performed in different ways A. Manual synthesis B. Automated synthesis  MANUAL SYNTHESIS - • Manual synthesis of individual peptides can be performed in syringes of different size provided with a bottom sintered glass or plastic filter • Multiple peptide synthesis at the micro molar level can be conducted in functionalized cellulose , propylene, according to the spot synthesis methodology developed by frank. • All operation in SPPS, namely coupling, de protection and final removal are conducted in the same recipient so that several wasting steps have to be considered.
  • 60.
    6 0  AUTOMATEDSYNTHESIS - • Several systems for the automated t-BOC /Bzl and going from 1.5 mg to 5kg scale are now available from applied biosynthesis, Shimazu advanced chem. Tech etc. • This system are important for the reproducibility of results and the validation of the process • Automated sups is expensive and a through economic evaluation should be done in each case before adopting it.
  • 61.
    6 1  APPLICATION- •Manual Approach to Parallel Synthesis • This Procedure is used for parallel synthesis of more than 150 peptides at a time. • The Polymeric support resin is sealed in polypropylene meshed containers and each tea bag is labelled.
  • 62.
    6 2  ADVANTAGE- • It is cheap and can be carried out in a laboratory without the need for expensive equipment  PROBLEM - • Major problem is the fact that it is manual and this limits the quantity and speed with which new structure can be synthesized.  APPLICATION - • Reverse phase high performance liquid chromatography(HPLC), using C-18 or C- column is the most used procedure for analysis and purification of peptides • Both MALID and ESI are less sensitive for high molecular weight peptides(over 30,000 da) • Determination of peptide structure can be done by circular dichroism and NMR.
  • 63.
    THANK YOU KAMAL LOCHANMISRA DEPARTMENT OF PHARMACEUTICAL CHEMISTRY