Shri Shivaji Education Society, Amravati
SHRI SHIVAJI COLLEGE OF ARTS, COMMERCE & SCIENCE, AKOLA
• Reaccredited by NAAC with "A" Grade with a CGPA of 3.24
* Awarded CPE status(College with Potential for Excellence) by UGC
2 March 2020 Retrosyntesis by Zamir Shekh 1
Designing synthesis based on Retro
synthetic analysis
Mr. Zamir Shekh
Assistant Professor
Department of Chemistry
2 March 2020 Retrosyntesis by Zamir Shekh 2
2 March 2020 Retrosyntesis by Zamir Shekh 3
Syllabus - Organic Synthesis Unit No.II
Designing the synthesis based on retrosynthetic
analysis
• A disconnection approach to the synthesis of organic
compound. Different consideration in designing target
molecule, concept of synthons, FGI, Chemoselectivity,
regioselectivity, specificity, stereoselectivity, general
strategy choosing a disconnection.
• Types of bond disconnection, some of the applications
of these concepts in designing the synthesis of
commonimpotant class of the compounds.
• C-X, C-C one group, C-C two FGs
2 March 2020 Retrosyntesis by Zamir Shekh 4
• Concepts of synthesizing organic molecules.
Definition of the terms :
• Synthetic Plan
• Retrosynthesis
• Disconnection
• Target molecule (TM)
• Synthon
• Functional group interconversion (FGI)
• Functional group addition (FGA)
• Chemoselectivity, Regioselectivity.
• Stereo selectivity and Stereospecificity
2 March 2020 Retrosyntesis by Zamir Shekh 5
Important Terms in Stratagic
Analysis
• The Construction of synthetic tree by working backword from
the target molecule (TM) is called retrosynthetis analysis or
antithesis.
• The symbol  signifies a reverse synthetic step i.e. → and is
called transform.
• The main transforms are disconnection, cleavage of C-C bond
and Functional Group Interconversion (FGI).
• Retrosynthetic analysis involves the disassembly of TM in to
available starting materials (sms) by sequential disconnection
and function group interconversion (FGI).
2 March 2020 Retrosyntesis by Zamir Shekh 6
Basic Concepts
• Actual substrate used for the forward synthesis are the
synthetic equivalents (SE)
• Synthetic design involves two distincts steps
1.Retrosynthetic analysis
2. Chemical Synthesis
2 March 2020 Retrosyntesis by Zamir Shekh 7
2 March 2020 Retrosyntesis by Zamir Shekh 8
Cleavages of Bonds
Chemical bonds can be cleaver heterolytically, homolytically or
through concerted transform (in to two neutral, closed-shell
fragments).
Heterolytic retrosynthesis disconnection of a
carbon carbon bond in a molecule breaks the TM
in to an acceptor synthons carbocations and
donor synthons a carbanions.
In the formal sense the reverse reaction is
formation of C-C bond which involves the union
of electrophilic acceptor synthon and nucleophilic
donor synthons.
2 March 2020 Retrosyntesis by Zamir Shekh 9
Donor and
Acceptor Synthons
Here I listed out important Donor and acceptor synthons
2 March 2020 Retrosyntesis by Zamir Shekh 10
Synthons Synthetic equivalent
2 March 2020 Retrosyntesis by Zamir Shekh 11
Synthons Synthetic equivalent
Common Donor
Synthons
Synthon Derived Reagent Equivalent
• The question is how one can choose the appropriate
C-C bond disconnection of in molecule which is
determined by the presence of functional group in
Target molecule.
• The presence of heteroatom in molecule imparts a
pattern of electrophilicity and nucleophilicity to
atom of the molecule.
• The concept of alternating polarity (imaginary
charges) identifies the best position to make the
disconnection in complex molecule.
2 March 2020 Retrosyntesis by Zamir Shekh 12
Alternating Polarities
Disconnection
• E-Class:- Groups conferring Electrophilic
character to attached Carbon (+)
• G-Class :- Groups conferring Nucleophilic
character to attached Carbon (-)
• A-Class :- The Functional groups that exhibit ambivalent
character (+/-)
2 March 2020 Retrosyntesis by Zamir Shekh 13
Classification of Functional
Groups
2 March 2020 Retrosyntesis by Zamir Shekh 14
2 March 2020 Retrosyntesis by Zamir Shekh 15
One Functional Group
Analysis
2 March 2020 Retrosyntesis by Zamir Shekh 16
Synthesis
2 March 2020 Retrosyntesis by Zamir Shekh 17
Two FGs in 1,3 Relationship
Analysis
2 March 2020 Retrosyntesis by Zamir Shekh 18
2 March 2020 Retrosyntesis by Zamir Shekh 19
Synthesis Route A
2 March 2020 Retrosyntesis by Zamir Shekh 20
Synthesis Route B
2 March 2020 Retrosyntesis by Zamir Shekh 21
Two FGs in 1,4 Relationship
Analysis
2 March 2020 Retrosyntesis by Zamir Shekh 22
Synthesis
2 March 2020 Retrosyntesis by Zamir Shekh 23
Analysis
2 March 2020 Retrosyntesis by Zamir Shekh 24
Synthesis
2 March 2020 Retrosyntesis by Zamir Shekh 25
Introduction
 Technical terms
Why to do synthesis?
History of synthesis
Designing synthetic strategy
Retrosynthetic analysis
 Practice of total synthesis (analysis and synthesis)
 Linear and convergent synthesis
Examples
Synthesis: An Ever Challenging
and Exciting Science
• Concepts of synthesizing organic molecules.
Definition of the terms :
• Synthetic Plan
• Retrosynthesis
• Disconnection
• Target molecule (TM)
• Synthon
• Functional group interconversion (FGI)
• Functional group addition (FGA)
• Chemoselectivity, Regioselectivity.
• Stereo selectivity and Stereospecificity
2 March 2020 Retrosyntesis by Zamir Shekh 26
Important Terms in Stratagic
Analysis
27Retrosyntesis by Zamir Shekh2 March 2020
R B Woodward
(1917-1979)
28Retrosyntesis by Zamir Shekh2 March 2020
E J Corey
(1928 )
What is a synthesis?
A rational plan to construct a complex molecule from its less
complex components by interlacing a series of organic reactions
Preparation vs Synthesis
29Retrosyntesis by Zamir Shekh2 March 2020
For a specific target molecule – a synthetic route designed must lead to
• a pure sample of desired product in a convenient and efficient procedure
• With required carbon skeleton with all substituents and functional groups
in correct position
• with appropriate three dimensional orientation (stereochemistry)
• Ideally shortest synthetic route to get better yield
• Each step of the synthesis should give the desired product ( if the mixture
is obtained it should be separated)
• To satisfy all these concepts a logical approach of the synthesis is needed -
Retrosynthesis
2 March 2020 Retrosyntesis by Zamir Shekh 30
2 March 2020 Retrosyntesis by Zamir Shekh 31
Some definitions
2 March 2020 Retrosyntesis by Zamir Shekh 32
•Retro synthetic analysis (Retrosynthesis) is a technique for planning a
synthesis, especially of complex organic molecules.
• whereby the complex target molecule (TM) is reduced into a sequence of
progressively simpler structures along a pathway
• which ultimately leads to the identification of a simple or commercially
available starting material (SM) from which a chemical synthesis can then be
developed.
Retro synthetic analysis is based on known reactions (e.g the Wittig reaction,
oxidation, reduction etc). The synthetic plan generated from the retro synthetic
analysis will be the roadmap to guide the synthesis of the target molecule.
2 March 2020 Retrosyntesis by Zamir Shekh 33
Retro synthetic Analysis
Definition
2 March 2020 Retrosyntesis by Zamir Shekh 34
2 March 2020 Retrosyntesis by Zamir Shekh 35
• The molecule whose
synthesis is being planned
• Usually written as TM
Retrosyntesis by Zamir Shekh 362 March 2020
Target molecule
• An analytical operation, which breaks a bond and converts a
molecule into a possible starting material(s) during retro
synthetic analysis
• The reverse of a chemical reaction, and the symbol is
• A curved line is drawn thro’ the bond being broken
37Retrosyntesis by Zamir Shekh2 March 2020
Disconnection
38Retrosyntesis by Zamir Shekh2 March 2020
Functional group inter-
conversion (FGI)
CH3 CH2 OH CH3 CH2OH
SN SN
dix
2 March 2020 Retrosyntesis by Zamir Shekh 39
Synthon
• A compound which reacts to give an intermediate
in the planned synthesis or to give the target
molecule itself.
• It is the synthetic equivalent of a Synthon
40Retrosyntesis by Zamir Shekh
i) H LiAlH4
ii) Br NBS
iii) CH3
CH3MgBr
iv) -CH2 Ph3P-CH2-
2 March 2020
Reagent
• A reagent carrying out the function of a synthon
which cannot itself be used
41Retrosyntesis by Zamir Shekh
CH3 CH2 OH CH3 CH2OH
SN SN
CH3MgBr CH2O
SE SE
dix
2 March 2020
Synthon equivalent
PhPh
OH
(A)
OH
Ph
CH2
Ph
PhBr
? Reagent
(B)
Ph
OH
Ph
CH2
Ph H
O
Ph
BrMg
(synthons)
(synthons)
(Reagents)
Example:
2 March 2020 Retrosyntesis by Zamir Shekh 42
Retro synthesis
Synthesis is a construction process that
involves converting simple or commercially
available molecules into complex molecules
using specific reagents associated with known
reactions in the retrosynthetic scheme
Syntheses can be grouped into two broad
categories:
(i) Linear syntheses
(ii)Convergent syntheses
2 March 2020 Retrosyntesis by Zamir Shekh 43
Synthetic Planning
Definition
2 March 2020 Retrosyntesis by Zamir Shekh 44
2 March 2020 Retrosyntesis by Zamir Shekh 45
2 March 2020 Retrosyntesis by Zamir Shekh 46
2 March 2020 Retrosyntesis by Zamir Shekh 47
2 March 2020 Retrosyntesis by Zamir Shekh 48
2 March 2020 Retrosyntesis by Zamir Shekh 49
2 March 2020 Retrosyntesis by Zamir Shekh 50
Synthesis
Retrosynthetic
Route 1
2 March 2020 Retrosyntesis by Zamir Shekh 51
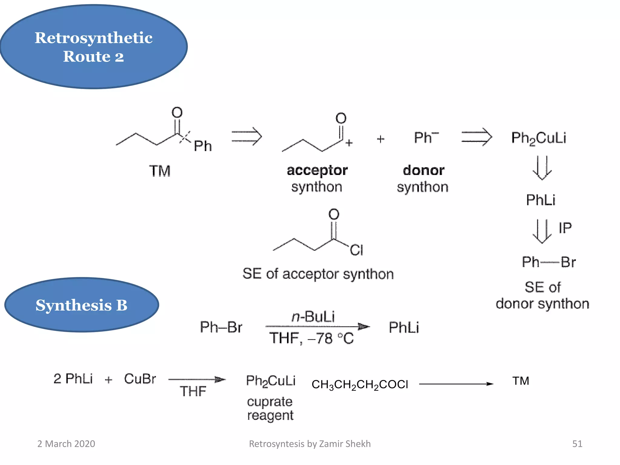
Retrosynthetic
Route 2
Synthesis B
2 March 2020 Retrosyntesis by Zamir Shekh 52
Question 1.
Propose a retrosynthetic analysis of the following two
compounds. Your answer should include both the
synthons, showing your thinking, and the reagents
that would be employed in the actual synthesis.
2 March 2020 Retrosyntesis by Zamir Shekh 53
2 March 2020 Retrosyntesis by Zamir Shekh 54
Compound B
2 March 2020 Retrosyntesis by Zamir Shekh 55
Answer
• Molecular size
• Carbon skeletal complexity
• Functionality
• Stereo-chemical considerations
Retrosyntesis by Zamir Shekh 562 March 2020
Concepts that make up a
synthetic plan
The synthesis of a target molecule begins with
two questions
1. why was this molecule chosen as a
target?
2. where do I begin?
57Retrosyntesis by Zamir Shekh2 March 2020
Target selection
• Structural verification
• Important biological activity
• Analog generation and studies
• Structural or topological challenge
• Development of new reactions or reagents
58Retrosyntesis by Zamir Shekh2 March 2020
Criteria for target
selection
• Periplanone-B - the sex pheremone of the
American cockroach, periplanita americana –
isolated 200 ug from 75,000 virgin female
cockroaches.
OO
O
2 March 2020 Retrosyntesis by Zamir Shekh 59
Structural verification
• Importance in medicine, agriculture or other commercial and
humanitarian ventures
• Prostaglandins have diverse biological activity
• Widely distributed in mammals
• Total production is only 1-2 mg /24h,
• Require large amounts for evaluation of biological activity
COOH
20
1
5
6
9
11 13 15 17
Prostanoic acid
60Retrosyntesis by Zamir Shekh2 March 2020
Biological activity
Chlorothiazide
• Diuretic – also used to treat
hypertension
Chlorexolone
• Improved hypotensive
activity and diuretic action
N
NH
S
Cl
O O
H2NO2S 2NO2SH
Cl
N
O
61Retrosyntesis by Zamir Shekh2 March 2020
Analog studies
• Potential anti-tumor agent • Enhanced anti-tumor activity
O
O
HOOC
O
O
X
HOOC
62Retrosyntesis by Zamir Shekh2 March 2020
Flavone-8-acetic acid
63Retrosyntesis by Zamir Shekh2 March 2020
Structural and topological
challenge
• Vit-B12 synthesis –
hydrolysis of amide bonds
• New reagent
N
CO2H
NH2
O
N
O
Cl
64Retrosyntesis by Zamir Shekh2 March 2020
New reactions and new
reagents
2 March 2020 Retrosyntesis by Zamir Shekh 65

Retrosyntheis Synthetic Strategeis - Zamir Shekh

  • 1.
    Shri Shivaji EducationSociety, Amravati SHRI SHIVAJI COLLEGE OF ARTS, COMMERCE & SCIENCE, AKOLA • Reaccredited by NAAC with "A" Grade with a CGPA of 3.24 * Awarded CPE status(College with Potential for Excellence) by UGC 2 March 2020 Retrosyntesis by Zamir Shekh 1 Designing synthesis based on Retro synthetic analysis Mr. Zamir Shekh Assistant Professor Department of Chemistry
  • 2.
    2 March 2020Retrosyntesis by Zamir Shekh 2
  • 3.
    2 March 2020Retrosyntesis by Zamir Shekh 3
  • 4.
    Syllabus - OrganicSynthesis Unit No.II Designing the synthesis based on retrosynthetic analysis • A disconnection approach to the synthesis of organic compound. Different consideration in designing target molecule, concept of synthons, FGI, Chemoselectivity, regioselectivity, specificity, stereoselectivity, general strategy choosing a disconnection. • Types of bond disconnection, some of the applications of these concepts in designing the synthesis of commonimpotant class of the compounds. • C-X, C-C one group, C-C two FGs 2 March 2020 Retrosyntesis by Zamir Shekh 4
  • 5.
    • Concepts ofsynthesizing organic molecules. Definition of the terms : • Synthetic Plan • Retrosynthesis • Disconnection • Target molecule (TM) • Synthon • Functional group interconversion (FGI) • Functional group addition (FGA) • Chemoselectivity, Regioselectivity. • Stereo selectivity and Stereospecificity 2 March 2020 Retrosyntesis by Zamir Shekh 5 Important Terms in Stratagic Analysis
  • 6.
    • The Constructionof synthetic tree by working backword from the target molecule (TM) is called retrosynthetis analysis or antithesis. • The symbol  signifies a reverse synthetic step i.e. → and is called transform. • The main transforms are disconnection, cleavage of C-C bond and Functional Group Interconversion (FGI). • Retrosynthetic analysis involves the disassembly of TM in to available starting materials (sms) by sequential disconnection and function group interconversion (FGI). 2 March 2020 Retrosyntesis by Zamir Shekh 6 Basic Concepts
  • 7.
    • Actual substrateused for the forward synthesis are the synthetic equivalents (SE) • Synthetic design involves two distincts steps 1.Retrosynthetic analysis 2. Chemical Synthesis 2 March 2020 Retrosyntesis by Zamir Shekh 7
  • 8.
    2 March 2020Retrosyntesis by Zamir Shekh 8 Cleavages of Bonds Chemical bonds can be cleaver heterolytically, homolytically or through concerted transform (in to two neutral, closed-shell fragments).
  • 9.
    Heterolytic retrosynthesis disconnectionof a carbon carbon bond in a molecule breaks the TM in to an acceptor synthons carbocations and donor synthons a carbanions. In the formal sense the reverse reaction is formation of C-C bond which involves the union of electrophilic acceptor synthon and nucleophilic donor synthons. 2 March 2020 Retrosyntesis by Zamir Shekh 9 Donor and Acceptor Synthons
  • 10.
    Here I listedout important Donor and acceptor synthons 2 March 2020 Retrosyntesis by Zamir Shekh 10 Synthons Synthetic equivalent
  • 11.
    2 March 2020Retrosyntesis by Zamir Shekh 11 Synthons Synthetic equivalent Common Donor Synthons Synthon Derived Reagent Equivalent
  • 12.
    • The questionis how one can choose the appropriate C-C bond disconnection of in molecule which is determined by the presence of functional group in Target molecule. • The presence of heteroatom in molecule imparts a pattern of electrophilicity and nucleophilicity to atom of the molecule. • The concept of alternating polarity (imaginary charges) identifies the best position to make the disconnection in complex molecule. 2 March 2020 Retrosyntesis by Zamir Shekh 12 Alternating Polarities Disconnection
  • 13.
    • E-Class:- Groupsconferring Electrophilic character to attached Carbon (+) • G-Class :- Groups conferring Nucleophilic character to attached Carbon (-) • A-Class :- The Functional groups that exhibit ambivalent character (+/-) 2 March 2020 Retrosyntesis by Zamir Shekh 13 Classification of Functional Groups
  • 14.
    2 March 2020Retrosyntesis by Zamir Shekh 14
  • 15.
    2 March 2020Retrosyntesis by Zamir Shekh 15 One Functional Group Analysis
  • 16.
    2 March 2020Retrosyntesis by Zamir Shekh 16 Synthesis
  • 17.
    2 March 2020Retrosyntesis by Zamir Shekh 17 Two FGs in 1,3 Relationship Analysis
  • 18.
    2 March 2020Retrosyntesis by Zamir Shekh 18
  • 19.
    2 March 2020Retrosyntesis by Zamir Shekh 19 Synthesis Route A
  • 20.
    2 March 2020Retrosyntesis by Zamir Shekh 20 Synthesis Route B
  • 21.
    2 March 2020Retrosyntesis by Zamir Shekh 21 Two FGs in 1,4 Relationship Analysis
  • 22.
    2 March 2020Retrosyntesis by Zamir Shekh 22 Synthesis
  • 23.
    2 March 2020Retrosyntesis by Zamir Shekh 23 Analysis
  • 24.
    2 March 2020Retrosyntesis by Zamir Shekh 24 Synthesis
  • 25.
    2 March 2020Retrosyntesis by Zamir Shekh 25 Introduction  Technical terms Why to do synthesis? History of synthesis Designing synthetic strategy Retrosynthetic analysis  Practice of total synthesis (analysis and synthesis)  Linear and convergent synthesis Examples Synthesis: An Ever Challenging and Exciting Science
  • 26.
    • Concepts ofsynthesizing organic molecules. Definition of the terms : • Synthetic Plan • Retrosynthesis • Disconnection • Target molecule (TM) • Synthon • Functional group interconversion (FGI) • Functional group addition (FGA) • Chemoselectivity, Regioselectivity. • Stereo selectivity and Stereospecificity 2 March 2020 Retrosyntesis by Zamir Shekh 26 Important Terms in Stratagic Analysis
  • 27.
    27Retrosyntesis by ZamirShekh2 March 2020 R B Woodward (1917-1979)
  • 28.
    28Retrosyntesis by ZamirShekh2 March 2020 E J Corey (1928 )
  • 29.
    What is asynthesis? A rational plan to construct a complex molecule from its less complex components by interlacing a series of organic reactions Preparation vs Synthesis 29Retrosyntesis by Zamir Shekh2 March 2020
  • 30.
    For a specifictarget molecule – a synthetic route designed must lead to • a pure sample of desired product in a convenient and efficient procedure • With required carbon skeleton with all substituents and functional groups in correct position • with appropriate three dimensional orientation (stereochemistry) • Ideally shortest synthetic route to get better yield • Each step of the synthesis should give the desired product ( if the mixture is obtained it should be separated) • To satisfy all these concepts a logical approach of the synthesis is needed - Retrosynthesis 2 March 2020 Retrosyntesis by Zamir Shekh 30
  • 31.
    2 March 2020Retrosyntesis by Zamir Shekh 31
  • 32.
    Some definitions 2 March2020 Retrosyntesis by Zamir Shekh 32
  • 33.
    •Retro synthetic analysis(Retrosynthesis) is a technique for planning a synthesis, especially of complex organic molecules. • whereby the complex target molecule (TM) is reduced into a sequence of progressively simpler structures along a pathway • which ultimately leads to the identification of a simple or commercially available starting material (SM) from which a chemical synthesis can then be developed. Retro synthetic analysis is based on known reactions (e.g the Wittig reaction, oxidation, reduction etc). The synthetic plan generated from the retro synthetic analysis will be the roadmap to guide the synthesis of the target molecule. 2 March 2020 Retrosyntesis by Zamir Shekh 33 Retro synthetic Analysis Definition
  • 34.
    2 March 2020Retrosyntesis by Zamir Shekh 34
  • 35.
    2 March 2020Retrosyntesis by Zamir Shekh 35
  • 36.
    • The moleculewhose synthesis is being planned • Usually written as TM Retrosyntesis by Zamir Shekh 362 March 2020 Target molecule
  • 37.
    • An analyticaloperation, which breaks a bond and converts a molecule into a possible starting material(s) during retro synthetic analysis • The reverse of a chemical reaction, and the symbol is • A curved line is drawn thro’ the bond being broken 37Retrosyntesis by Zamir Shekh2 March 2020 Disconnection
  • 38.
    38Retrosyntesis by ZamirShekh2 March 2020 Functional group inter- conversion (FGI)
  • 39.
    CH3 CH2 OHCH3 CH2OH SN SN dix 2 March 2020 Retrosyntesis by Zamir Shekh 39 Synthon
  • 40.
    • A compoundwhich reacts to give an intermediate in the planned synthesis or to give the target molecule itself. • It is the synthetic equivalent of a Synthon 40Retrosyntesis by Zamir Shekh i) H LiAlH4 ii) Br NBS iii) CH3 CH3MgBr iv) -CH2 Ph3P-CH2- 2 March 2020 Reagent
  • 41.
    • A reagentcarrying out the function of a synthon which cannot itself be used 41Retrosyntesis by Zamir Shekh CH3 CH2 OH CH3 CH2OH SN SN CH3MgBr CH2O SE SE dix 2 March 2020 Synthon equivalent
  • 42.
  • 43.
    Synthesis is aconstruction process that involves converting simple or commercially available molecules into complex molecules using specific reagents associated with known reactions in the retrosynthetic scheme Syntheses can be grouped into two broad categories: (i) Linear syntheses (ii)Convergent syntheses 2 March 2020 Retrosyntesis by Zamir Shekh 43 Synthetic Planning Definition
  • 44.
    2 March 2020Retrosyntesis by Zamir Shekh 44
  • 45.
    2 March 2020Retrosyntesis by Zamir Shekh 45
  • 46.
    2 March 2020Retrosyntesis by Zamir Shekh 46
  • 47.
    2 March 2020Retrosyntesis by Zamir Shekh 47
  • 48.
    2 March 2020Retrosyntesis by Zamir Shekh 48
  • 49.
    2 March 2020Retrosyntesis by Zamir Shekh 49
  • 50.
    2 March 2020Retrosyntesis by Zamir Shekh 50 Synthesis Retrosynthetic Route 1
  • 51.
    2 March 2020Retrosyntesis by Zamir Shekh 51 Retrosynthetic Route 2 Synthesis B
  • 52.
    2 March 2020Retrosyntesis by Zamir Shekh 52 Question 1. Propose a retrosynthetic analysis of the following two compounds. Your answer should include both the synthons, showing your thinking, and the reagents that would be employed in the actual synthesis.
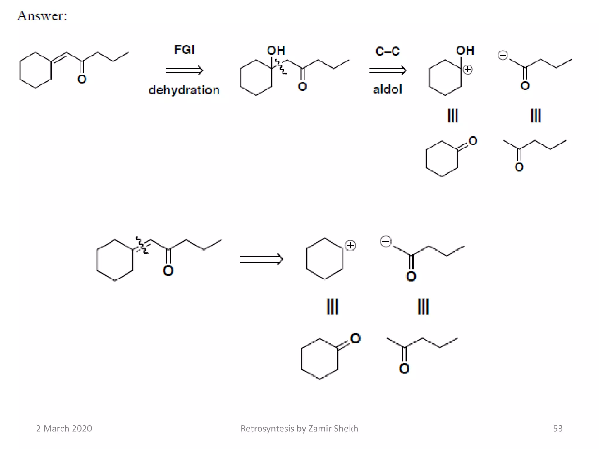
  • 53.
    2 March 2020Retrosyntesis by Zamir Shekh 53
  • 54.
    2 March 2020Retrosyntesis by Zamir Shekh 54 Compound B
  • 55.
    2 March 2020Retrosyntesis by Zamir Shekh 55 Answer
  • 56.
    • Molecular size •Carbon skeletal complexity • Functionality • Stereo-chemical considerations Retrosyntesis by Zamir Shekh 562 March 2020 Concepts that make up a synthetic plan
  • 57.
    The synthesis ofa target molecule begins with two questions 1. why was this molecule chosen as a target? 2. where do I begin? 57Retrosyntesis by Zamir Shekh2 March 2020 Target selection
  • 58.
    • Structural verification •Important biological activity • Analog generation and studies • Structural or topological challenge • Development of new reactions or reagents 58Retrosyntesis by Zamir Shekh2 March 2020 Criteria for target selection
  • 59.
    • Periplanone-B -the sex pheremone of the American cockroach, periplanita americana – isolated 200 ug from 75,000 virgin female cockroaches. OO O 2 March 2020 Retrosyntesis by Zamir Shekh 59 Structural verification
  • 60.
    • Importance inmedicine, agriculture or other commercial and humanitarian ventures • Prostaglandins have diverse biological activity • Widely distributed in mammals • Total production is only 1-2 mg /24h, • Require large amounts for evaluation of biological activity COOH 20 1 5 6 9 11 13 15 17 Prostanoic acid 60Retrosyntesis by Zamir Shekh2 March 2020 Biological activity
  • 61.
    Chlorothiazide • Diuretic –also used to treat hypertension Chlorexolone • Improved hypotensive activity and diuretic action N NH S Cl O O H2NO2S 2NO2SH Cl N O 61Retrosyntesis by Zamir Shekh2 March 2020 Analog studies
  • 62.
    • Potential anti-tumoragent • Enhanced anti-tumor activity O O HOOC O O X HOOC 62Retrosyntesis by Zamir Shekh2 March 2020 Flavone-8-acetic acid
  • 63.
    63Retrosyntesis by ZamirShekh2 March 2020 Structural and topological challenge
  • 64.
    • Vit-B12 synthesis– hydrolysis of amide bonds • New reagent N CO2H NH2 O N O Cl 64Retrosyntesis by Zamir Shekh2 March 2020 New reactions and new reagents
  • 65.
    2 March 2020Retrosyntesis by Zamir Shekh 65