All Rights Reserved Copyright (C) Bee Technologies Inc. 2006
COMPONENTS: MOSFET (Professional)
PART NUMBER: SSM3K15FS
MANUFACTURER: TOSHIBA
Body Diode (Professional) / ESD Protection Diode
Device Modeling Report
.
Bee Technologies Inc.
All Rights Reserved Copyright (C) Bee Technologies Inc. 2006
2
SSM3K15FS
1
3
SPICE MODEL
Circuit Configuration
*$
*PART NUMBER: SSM3K15FS
*MANUFACTURER: TOSHIBA
*VDSS=30V, ID=100mA
*All Rights Reserved Copyright (c) Bee Technologies Inc. 2006
.SUBCKT SSM3K15FS 1 2 3
X_U1 3 1 2 MSSM3K15FS_PRO
X_U2 2 3 DSSM3K15FS_PRO
X_U3 1 2 DZSSM3K15FS
.ENDS
*****DEVICE PACKAGE MODEL*****
All Rights Reserved Copyright (C) Bee Technologies Inc. 2006
.SUBCKT MSSM3K15FS_PRO D G S
CGD 1 G 1p
R1 1 G 10MEG
S1 1 D G D SMOD1
D1 2 D DGD
R2 D 2 10MEG
S2 2 G D G SMOD1
M1 D G S S MSSM3K15FS
.MODEL SMOD1 VSWITCH( VON=0V VOFF=-10mV RON=1m ROFF=1E12)
.MODEL DGD D ( CJO=7.8416E-12 M=.42015 VJ=90.500E-3
.MODEL MSSM3K15FS NMOS
+ LEVEL=3 L=720.00E-9 W=.2192 KP=732.66E-9 RS=10.000E-3
+ RD=.3567 VTO=1.5453 RDS=1.0000E6 TOX=40.000E-9
+ CGSO=7E-15 CGDO=45E-12
+ CBD=1e-009 MJ=.39887 PB=.93267 RG=418
+ NFS=1.0E+12 ETA=0.01
+ IS=1E-15 N=5 RB=1
.ENDS
*****MOSFET PROFESSIONAL MODEL*****
S
DGD
G
R2
10MEGR1
10M CGD
+
-
+
-
S1
S
D
Q1
+
-
+
-
S2
S
MOSFET SPICE MODE
Equivalent Circuit
All Rights Reserved Copyright (C) Bee Technologies Inc. 2006
MOSFET MODEL PARAMETERS
PSpice
model
parameters
Model description
LEVEL
L Channel Length
W Channel Width
KP Transconductance
RS Source Ohmic Resistance
RD Ohmic Drain Resistance
VTO Zero-bias Threshold Voltage
RDS Drain-Source Shunt Resistance
TOX Gate Oxide Thickness
CGSO Zero-bias Gate-Source Capacitance
CGDO Zero-bias Gate-Drain Capacitance
CBD Zero-bias Bulk-Drain Junction Capacitance
MJ Bulk Junction Grading Coefficient
PB Bulk Junction Potential
FC Bulk Junction Forward-bias Capacitance Coefficient
RG Gate Ohmic Resistance
IS Bulk Junction Saturation Current
N Bulk Junction Emission Coefficient
RB Bulk Series Resistance
PHI Surface Inversion Potential
GAMMA Body-effect Parameter
DELTA Width effect on Threshold Voltage
ETA Static Feedback on Threshold Voltage
THETA Mobility Modulation
KAPPA Saturation Field Factor
VMAX Maximum Drift Velocity of Carriers
XJ Metallurgical Junction Depth
UO Surface Mobility
All Rights Reserved Copyright (C) Bee Technologies Inc. 2006
0
0.1
0.2
0.3
0.4
0 0.05 0.1 0.15 0.2
DRIAN CURRENT ID (A)
TRANSCONDUCTANCEGfs(s)
Measurement
Simulation
Transconductance Characteristic
Circuit Simulation Result
Comparison table
Gfs(S)
Id(A)
Measurement Simulation
Error(%)
0.005 0.0476 0.0481 0.96
0.01 0.0667 0.0690 3.45
0.02 0.1000 0.0966 -3.38
0.05 0.1515 0.1524 0.61
0.1 0.2128 0.2155 1.29
0.2 0.3077 0.3044 -1.07
All Rights Reserved Copyright (C) Bee Technologies Inc. 2006
0
SSM3K15FS
VGS
Vsense
VDS
3Vdc
Vgs-Id Characteristic
Circuit Simulation result
Evaluation circuit
V_VGS
0V 1.0V 2.0V 3.0V 4.0V
I(Vsense)
10mA
100mA
5.0mA
500mA
All Rights Reserved Copyright (C) Bee Technologies Inc. 2006
0.001
0.01
0.1
1
1 2 3
GATE-SOURCE VOLTAGE VGS (V)
DRAINCURRENTID(A)
Measurement
Simulation
Comparison Graph
Circuit Simulation Result
Simulation Result
VGS(V)
ID(A)
Measurement Simulation
Error (%)
0.005 1.6400 1.6808 2.4878
0.01 1.7400 1.7689 1.6609
0.02 1.8900 1.8931 0.1640
0.05 2.1400 2.1400 0.0000
0.1 2.4000 2.4184 0.7667
0.2 2.8000 2.8124 0.4429
All Rights Reserved Copyright (C) Bee Technologies Inc. 2006
0
Vsense
VDS
SSM3K15FS
VGS
4Vdc
V_VDS
0V 20mV 40mV 60mV 80mV 100mV
I(Vsense)
0A
2mA
4mA
6mA
8mA
10mA
Rds(on) Characteristic
Circuit Simulation result
Evaluation circuit
Simulation Result
ID=10mA, VGS=4V Measurement Simulation Error (%)
RDS (on) 2.2 ΩΩΩΩ 2.1997 ΩΩΩΩ -0.01
All Rights Reserved Copyright (C) Bee Technologies Inc. 2006
VD
24Vdc
I2
TD = 0
SSM3K15FS
Dbreak
D1
I1
100mAdc
Vsense
0
-
+
W1
ION = 0A
IOFF = 1mA
W
Time*1mA
0 0.2n 0.4n 0.6n 0.8n 1.0n 1.2n 1.4n 1.6n 1.8n 2.0n 2.2n
V(W1:3)
0V
1V
2V
3V
4V
5V
6V
7V
8V
9V
10V
Gate Charge Characteristic
Circuit Simulation result
Evaluation circuit
Simulation Result
VDD=24V,
ID=100mA
Measurement Simulation Error (%)
Qgs 0.2250 nC 0.2305 nC 2.4640
Qgd 0.2400 nC 0.24045 nC 0.1875
Qg 1.6000 nC 1.6000 nC 0.0000
All Rights Reserved Copyright (C) Bee Technologies Inc. 2006
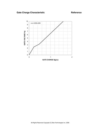
0
1
2
3
4
5
6
7
8
9
10
0 1 2
GATE CHARGE Qg(nc)
GATEVOLTAGEVg
VDD=24V
Gate Charge Characteristic Reference
All Rights Reserved Copyright (C) Bee Technologies Inc. 2006
Capacitance Characteristic
Simulation Result
Cbd(pF)
VDS(V)
Measurement Simulation
Error(%)
0.1 10.0000 9.9373 -0.6270
0.2 9.5000 9.5740 0.7789
0.5 8.7000 8.7257 0.2954
1 7.8000 7.7356 -0.8256
2 6.5000 6.5580 0.8923
5 5.0000 4.9462 -1.0760
10 3.8500 3.8749 0.6468
20 3.0000 2.9900 -0.3333
Simulation
Measurement
All Rights Reserved Copyright (C) Bee Technologies Inc. 2006
V1
TD = 1u
TF = 10n
PW = 10u
PER = 10m
V1 = 0
TR = 10n
V2 = 10
Vsense
U2
SSM3K15FSR1
50
L3
30nH
2
VD
5Vdc
3
RL
500
R2
50
0
Time
4.8us 4.9us 5.0us 5.1us 5.2us 5.3us 5.4us
V(L3:2)*2 V(3)*2
0V
1V
2V
3V
4V
5V
6V
7V
8V
9V
10V
11V
12V
Switching Time Characteristic
Circuit Simulation result
Evaluation circuit
Simulation Result
ID=10mA,
VDD= 5V,
VGS=0/5V
Measurement Simulation Error(%)
Td(on) 50.000 ns 50.015 ns 0.03
All Rights Reserved Copyright (C) Bee Technologies Inc. 2006
V_VDS
0V 0.25V 0.50V 0.75V 1.00V 1.25V 1.50V 1.75V 2.00V
I(Vsense)
0A
50mA
100mA
150mA
200mA
U1
SSM3K15FS
0
VDS
VGS
Vsense
Output Characteristic
Circuit Simulation result
Evaluation circuit
VGS= 2.1V
2.3V
2.5 V
2.7V
3.0V4.0V
All Rights Reserved Copyright (C) Bee Technologies Inc. 2006
BODY DIODE SPICE MODEL
.SUBCKT DSSM3K15FS_PRO A K
R_R2 5 6 100
R_R1 3 4 1
C_C1 5 6 166p
E_E1 5 K 3 4 1
S_S1 6 K 4 K _S1
RS_S1 4 K 1G
.MODEL _S1 VSWITCH Roff=50MEG Ron=1m Voff=90mV Von=100mV
G_G1 K A VALUE { V(3,4)-V(5,6) }
D_D1 2 K DSSM3K15FS
D_D2 4 K DSSM3K15FS
F_F1 K 3 VF_F1 1
VF_F1 A 2 0V
.MODEL DSSM3K15FS D
+ IS=198.62E-12 N=1.4890 RS=.31637 IKF=46.038E-3
+ CJO=3E-12 BV=30 IBV=1.0000E-6 TT=35.4E-9
.ENDS*****BODY DIODE PROFESSIONAL MODEL****
All Rights Reserved Copyright (C) Bee Technologies Inc. 2006
R1
0.01m
V1
0Vdc
0
SSM3K15FS
V_V1
0V 0.2V 0.4V 0.6V 0.8V 1.0V 1.2V 1.4V
I(R1)
0A
50mA
100mA
150mA
200mA
250mA
Forward Current Characteristic
Circuit Simulation Result
Evaluation Circuit
All Rights Reserved Copyright (C) Bee Technologies Inc. 2006
0
0.05
0.1
0.15
0.2
0.25
0 0.4 0.8 1.2
SOURCE-DRAIN VOLTAGE VSD (V)
DRAINREVERSECURRENTIDR(A) Measurement
Simulation
Comparison Graph
Circuit Simulation Result
Simulation Result
VSD(V)
IDR(A)
Measurement Simulation
%Error
0.005 0.6600 0.6599 -0.0152
0.010 0.6900 0.6902 0.0290
0.020 0.7250 0.7241 -0.1241
0.050 0.7800 0.7807 0.0897
0.100 0.8400 0.8395 -0.0595
0.200 0.9200 0.9200 0.0000
All Rights Reserved Copyright (C) Bee Technologies Inc. 2006
Time
1.00us 1.20us0.85us 1.35us
I(R1)
-400mA
-200mA
0A
200mA
400mA
Reverse Recovery Characteristic (Body Diode)
Circuit Simulation Result
Evaluation Circuit
Compare Measurement vs. Simulation
Measurement Simulation Error (%)
trj 24.000 ns 24.010 ns 0.0417
trb 37.600 ns 37.760 ns 0.4255
trr 61.600 ns 61.790 ns 0.3084
U1
DSSM3K15FS_PRO
V1
TD = 10n
TF = 5.7ns
PW = 1us
PER = 50us
V1 = -9.3V
TR = 6ns
V2 = 10.8V
R1 50
0
All Rights Reserved Copyright (C) Bee Technologies Inc. 2006
Reverse Recovery Characteristic (Body Diode) Reference
Trj= (24.ns)
Trb= (37.6ns)
Conditions:Ifwd=lrev=0.2(A),Rl=50
Relation between trj and trb
Example
All Rights Reserved Copyright (C) Bee Technologies Inc. 2006
ESD PROTECTION DIODE SPICE MODEL
.subckt DZSSM3K15FS 1 2
D2 1 3 DZ2
D1 2 3 DZ1
.model DZ1 D
+ IS=0.01p N=0.1 ISR=0 CJO=0.3E-12
+ BV=26.275 IBV=0.00095 RS=588.89
.model DZ2 D
+ IS=0.01p N=0.1 ISR=0 CJO=0.3E-12
+ BV=26.275 IBV=0.00095 RS=0
.ENDS
*****ESD Protection Diode MODEL*****
All Rights Reserved Copyright (C) Bee Technologies Inc. 2006
V_V1
0V 5V 10V 15V 20V 25V 30V 35V 40V 45V 50V
I(R1)
0A
1mA
2mA
3mA
4mA
5mA
6mA
7mA
8mA
9mA
10mA
Zener Voltage Characteristic
Circuit Simulation Result
Evaluation Circuit
SSM3K15FS
0
V1
0Vdc
R1
0.01m
IOPEN
0Adc
All Rights Reserved Copyright (C) Bee Technologies Inc. 2006
Zener Voltage Characteristic Reference

SSM3K15FS (professional Model) PSpice Model (Free SPICE Model)

  • 1.
    All Rights ReservedCopyright (C) Bee Technologies Inc. 2006 COMPONENTS: MOSFET (Professional) PART NUMBER: SSM3K15FS MANUFACTURER: TOSHIBA Body Diode (Professional) / ESD Protection Diode Device Modeling Report . Bee Technologies Inc.
  • 2.
    All Rights ReservedCopyright (C) Bee Technologies Inc. 2006 2 SSM3K15FS 1 3 SPICE MODEL Circuit Configuration *$ *PART NUMBER: SSM3K15FS *MANUFACTURER: TOSHIBA *VDSS=30V, ID=100mA *All Rights Reserved Copyright (c) Bee Technologies Inc. 2006 .SUBCKT SSM3K15FS 1 2 3 X_U1 3 1 2 MSSM3K15FS_PRO X_U2 2 3 DSSM3K15FS_PRO X_U3 1 2 DZSSM3K15FS .ENDS *****DEVICE PACKAGE MODEL*****
  • 3.
    All Rights ReservedCopyright (C) Bee Technologies Inc. 2006 .SUBCKT MSSM3K15FS_PRO D G S CGD 1 G 1p R1 1 G 10MEG S1 1 D G D SMOD1 D1 2 D DGD R2 D 2 10MEG S2 2 G D G SMOD1 M1 D G S S MSSM3K15FS .MODEL SMOD1 VSWITCH( VON=0V VOFF=-10mV RON=1m ROFF=1E12) .MODEL DGD D ( CJO=7.8416E-12 M=.42015 VJ=90.500E-3 .MODEL MSSM3K15FS NMOS + LEVEL=3 L=720.00E-9 W=.2192 KP=732.66E-9 RS=10.000E-3 + RD=.3567 VTO=1.5453 RDS=1.0000E6 TOX=40.000E-9 + CGSO=7E-15 CGDO=45E-12 + CBD=1e-009 MJ=.39887 PB=.93267 RG=418 + NFS=1.0E+12 ETA=0.01 + IS=1E-15 N=5 RB=1 .ENDS *****MOSFET PROFESSIONAL MODEL***** S DGD G R2 10MEGR1 10M CGD + - + - S1 S D Q1 + - + - S2 S MOSFET SPICE MODE Equivalent Circuit
  • 4.
    All Rights ReservedCopyright (C) Bee Technologies Inc. 2006 MOSFET MODEL PARAMETERS PSpice model parameters Model description LEVEL L Channel Length W Channel Width KP Transconductance RS Source Ohmic Resistance RD Ohmic Drain Resistance VTO Zero-bias Threshold Voltage RDS Drain-Source Shunt Resistance TOX Gate Oxide Thickness CGSO Zero-bias Gate-Source Capacitance CGDO Zero-bias Gate-Drain Capacitance CBD Zero-bias Bulk-Drain Junction Capacitance MJ Bulk Junction Grading Coefficient PB Bulk Junction Potential FC Bulk Junction Forward-bias Capacitance Coefficient RG Gate Ohmic Resistance IS Bulk Junction Saturation Current N Bulk Junction Emission Coefficient RB Bulk Series Resistance PHI Surface Inversion Potential GAMMA Body-effect Parameter DELTA Width effect on Threshold Voltage ETA Static Feedback on Threshold Voltage THETA Mobility Modulation KAPPA Saturation Field Factor VMAX Maximum Drift Velocity of Carriers XJ Metallurgical Junction Depth UO Surface Mobility
  • 5.
    All Rights ReservedCopyright (C) Bee Technologies Inc. 2006 0 0.1 0.2 0.3 0.4 0 0.05 0.1 0.15 0.2 DRIAN CURRENT ID (A) TRANSCONDUCTANCEGfs(s) Measurement Simulation Transconductance Characteristic Circuit Simulation Result Comparison table Gfs(S) Id(A) Measurement Simulation Error(%) 0.005 0.0476 0.0481 0.96 0.01 0.0667 0.0690 3.45 0.02 0.1000 0.0966 -3.38 0.05 0.1515 0.1524 0.61 0.1 0.2128 0.2155 1.29 0.2 0.3077 0.3044 -1.07
  • 6.
    All Rights ReservedCopyright (C) Bee Technologies Inc. 2006 0 SSM3K15FS VGS Vsense VDS 3Vdc Vgs-Id Characteristic Circuit Simulation result Evaluation circuit V_VGS 0V 1.0V 2.0V 3.0V 4.0V I(Vsense) 10mA 100mA 5.0mA 500mA
  • 7.
    All Rights ReservedCopyright (C) Bee Technologies Inc. 2006 0.001 0.01 0.1 1 1 2 3 GATE-SOURCE VOLTAGE VGS (V) DRAINCURRENTID(A) Measurement Simulation Comparison Graph Circuit Simulation Result Simulation Result VGS(V) ID(A) Measurement Simulation Error (%) 0.005 1.6400 1.6808 2.4878 0.01 1.7400 1.7689 1.6609 0.02 1.8900 1.8931 0.1640 0.05 2.1400 2.1400 0.0000 0.1 2.4000 2.4184 0.7667 0.2 2.8000 2.8124 0.4429
  • 8.
    All Rights ReservedCopyright (C) Bee Technologies Inc. 2006 0 Vsense VDS SSM3K15FS VGS 4Vdc V_VDS 0V 20mV 40mV 60mV 80mV 100mV I(Vsense) 0A 2mA 4mA 6mA 8mA 10mA Rds(on) Characteristic Circuit Simulation result Evaluation circuit Simulation Result ID=10mA, VGS=4V Measurement Simulation Error (%) RDS (on) 2.2 ΩΩΩΩ 2.1997 ΩΩΩΩ -0.01
  • 9.
    All Rights ReservedCopyright (C) Bee Technologies Inc. 2006 VD 24Vdc I2 TD = 0 SSM3K15FS Dbreak D1 I1 100mAdc Vsense 0 - + W1 ION = 0A IOFF = 1mA W Time*1mA 0 0.2n 0.4n 0.6n 0.8n 1.0n 1.2n 1.4n 1.6n 1.8n 2.0n 2.2n V(W1:3) 0V 1V 2V 3V 4V 5V 6V 7V 8V 9V 10V Gate Charge Characteristic Circuit Simulation result Evaluation circuit Simulation Result VDD=24V, ID=100mA Measurement Simulation Error (%) Qgs 0.2250 nC 0.2305 nC 2.4640 Qgd 0.2400 nC 0.24045 nC 0.1875 Qg 1.6000 nC 1.6000 nC 0.0000
  • 10.
    All Rights ReservedCopyright (C) Bee Technologies Inc. 2006 0 1 2 3 4 5 6 7 8 9 10 0 1 2 GATE CHARGE Qg(nc) GATEVOLTAGEVg VDD=24V Gate Charge Characteristic Reference
  • 11.
    All Rights ReservedCopyright (C) Bee Technologies Inc. 2006 Capacitance Characteristic Simulation Result Cbd(pF) VDS(V) Measurement Simulation Error(%) 0.1 10.0000 9.9373 -0.6270 0.2 9.5000 9.5740 0.7789 0.5 8.7000 8.7257 0.2954 1 7.8000 7.7356 -0.8256 2 6.5000 6.5580 0.8923 5 5.0000 4.9462 -1.0760 10 3.8500 3.8749 0.6468 20 3.0000 2.9900 -0.3333 Simulation Measurement
  • 12.
    All Rights ReservedCopyright (C) Bee Technologies Inc. 2006 V1 TD = 1u TF = 10n PW = 10u PER = 10m V1 = 0 TR = 10n V2 = 10 Vsense U2 SSM3K15FSR1 50 L3 30nH 2 VD 5Vdc 3 RL 500 R2 50 0 Time 4.8us 4.9us 5.0us 5.1us 5.2us 5.3us 5.4us V(L3:2)*2 V(3)*2 0V 1V 2V 3V 4V 5V 6V 7V 8V 9V 10V 11V 12V Switching Time Characteristic Circuit Simulation result Evaluation circuit Simulation Result ID=10mA, VDD= 5V, VGS=0/5V Measurement Simulation Error(%) Td(on) 50.000 ns 50.015 ns 0.03
  • 13.
    All Rights ReservedCopyright (C) Bee Technologies Inc. 2006 V_VDS 0V 0.25V 0.50V 0.75V 1.00V 1.25V 1.50V 1.75V 2.00V I(Vsense) 0A 50mA 100mA 150mA 200mA U1 SSM3K15FS 0 VDS VGS Vsense Output Characteristic Circuit Simulation result Evaluation circuit VGS= 2.1V 2.3V 2.5 V 2.7V 3.0V4.0V
  • 14.
    All Rights ReservedCopyright (C) Bee Technologies Inc. 2006 BODY DIODE SPICE MODEL .SUBCKT DSSM3K15FS_PRO A K R_R2 5 6 100 R_R1 3 4 1 C_C1 5 6 166p E_E1 5 K 3 4 1 S_S1 6 K 4 K _S1 RS_S1 4 K 1G .MODEL _S1 VSWITCH Roff=50MEG Ron=1m Voff=90mV Von=100mV G_G1 K A VALUE { V(3,4)-V(5,6) } D_D1 2 K DSSM3K15FS D_D2 4 K DSSM3K15FS F_F1 K 3 VF_F1 1 VF_F1 A 2 0V .MODEL DSSM3K15FS D + IS=198.62E-12 N=1.4890 RS=.31637 IKF=46.038E-3 + CJO=3E-12 BV=30 IBV=1.0000E-6 TT=35.4E-9 .ENDS*****BODY DIODE PROFESSIONAL MODEL****
  • 15.
    All Rights ReservedCopyright (C) Bee Technologies Inc. 2006 R1 0.01m V1 0Vdc 0 SSM3K15FS V_V1 0V 0.2V 0.4V 0.6V 0.8V 1.0V 1.2V 1.4V I(R1) 0A 50mA 100mA 150mA 200mA 250mA Forward Current Characteristic Circuit Simulation Result Evaluation Circuit
  • 16.
    All Rights ReservedCopyright (C) Bee Technologies Inc. 2006 0 0.05 0.1 0.15 0.2 0.25 0 0.4 0.8 1.2 SOURCE-DRAIN VOLTAGE VSD (V) DRAINREVERSECURRENTIDR(A) Measurement Simulation Comparison Graph Circuit Simulation Result Simulation Result VSD(V) IDR(A) Measurement Simulation %Error 0.005 0.6600 0.6599 -0.0152 0.010 0.6900 0.6902 0.0290 0.020 0.7250 0.7241 -0.1241 0.050 0.7800 0.7807 0.0897 0.100 0.8400 0.8395 -0.0595 0.200 0.9200 0.9200 0.0000
  • 17.
    All Rights ReservedCopyright (C) Bee Technologies Inc. 2006 Time 1.00us 1.20us0.85us 1.35us I(R1) -400mA -200mA 0A 200mA 400mA Reverse Recovery Characteristic (Body Diode) Circuit Simulation Result Evaluation Circuit Compare Measurement vs. Simulation Measurement Simulation Error (%) trj 24.000 ns 24.010 ns 0.0417 trb 37.600 ns 37.760 ns 0.4255 trr 61.600 ns 61.790 ns 0.3084 U1 DSSM3K15FS_PRO V1 TD = 10n TF = 5.7ns PW = 1us PER = 50us V1 = -9.3V TR = 6ns V2 = 10.8V R1 50 0
  • 18.
    All Rights ReservedCopyright (C) Bee Technologies Inc. 2006 Reverse Recovery Characteristic (Body Diode) Reference Trj= (24.ns) Trb= (37.6ns) Conditions:Ifwd=lrev=0.2(A),Rl=50 Relation between trj and trb Example
  • 19.
    All Rights ReservedCopyright (C) Bee Technologies Inc. 2006 ESD PROTECTION DIODE SPICE MODEL .subckt DZSSM3K15FS 1 2 D2 1 3 DZ2 D1 2 3 DZ1 .model DZ1 D + IS=0.01p N=0.1 ISR=0 CJO=0.3E-12 + BV=26.275 IBV=0.00095 RS=588.89 .model DZ2 D + IS=0.01p N=0.1 ISR=0 CJO=0.3E-12 + BV=26.275 IBV=0.00095 RS=0 .ENDS *****ESD Protection Diode MODEL*****
  • 20.
    All Rights ReservedCopyright (C) Bee Technologies Inc. 2006 V_V1 0V 5V 10V 15V 20V 25V 30V 35V 40V 45V 50V I(R1) 0A 1mA 2mA 3mA 4mA 5mA 6mA 7mA 8mA 9mA 10mA Zener Voltage Characteristic Circuit Simulation Result Evaluation Circuit SSM3K15FS 0 V1 0Vdc R1 0.01m IOPEN 0Adc
  • 21.
    All Rights ReservedCopyright (C) Bee Technologies Inc. 2006 Zener Voltage Characteristic Reference