Recommended
PDF
PDF
PPTX
Greed is Good: 劣モジュラ関数最大化とその発展
PDF
構造方程式モデルによる因果推論: 因果構造探索に関する最近の発展
PDF
PDF
effectsパッケージを用いた一般化線形モデルの可視化
PPTX
PDF
PDF
PDF
Bayesian Neural Networks : Survey
PDF
StanとRでベイズ統計モデリング 11章 離散値をとるパラメータ
PDF
PDF
PDF
PDF
StanとRでベイズ統計モデリング読書会 導入編(1章~3章)
PDF
異常検知と変化検知 9章 部分空間法による変化点検知
PPTX
PPTX
【論文紹介】How Powerful are Graph Neural Networks?
PPTX
PDF
PPTX
PDF
2 5 3.一般化線形モデル色々_Gamma回帰と対数線形モデル
PDF
PDF
PDF
PDF
PDF
PPTX
PDF
PDF
More Related Content
PDF
PDF
PPTX
Greed is Good: 劣モジュラ関数最大化とその発展
PDF
構造方程式モデルによる因果推論: 因果構造探索に関する最近の発展
PDF
PDF
effectsパッケージを用いた一般化線形モデルの可視化
PPTX
PDF
What's hot
PDF
PDF
Bayesian Neural Networks : Survey
PDF
StanとRでベイズ統計モデリング 11章 離散値をとるパラメータ
PDF
PDF
PDF
PDF
StanとRでベイズ統計モデリング読書会 導入編(1章~3章)
PDF
異常検知と変化検知 9章 部分空間法による変化点検知
PPTX
PPTX
【論文紹介】How Powerful are Graph Neural Networks?
PPTX
PDF
PPTX
PDF
2 5 3.一般化線形モデル色々_Gamma回帰と対数線形モデル
PDF
PDF
PDF
PDF
PDF
PPTX
Similar to 連続変量を含む条件付相互情報量の推定
PDF
PDF
PDF
Estimating Mutual Information for Discrete‐Continuous Mixtures 離散・連続混合の相互情報量の推定
PDF
imset による条件付き独立性の記述(文献紹介)
PDF
PPT
PDF
PDF
【Zansa】第12回勉強会 -PRMLからベイズの世界へ
PDF
PDF
オンライン凸最適化と線形識別モデル学習の最前線_IBIS2011
PDF
PDF
PPTX
PPT
PDF
PDF
Information-Theoretic Metric Learning
PDF
[DL輪読会]Deep Learning 第5章 機械学習の基礎
PDF
PDF
PRML2.3.8~2.5 Slides in charge
PPT
AICはモデルに無相関な説明変数を1個追加しても15.73%の確率で選択してしまうことのR言語による数値実験的実証最大化対数尤度の増分がカイ2乗分布に従う...
More from Joe Suzuki
PPTX
PPTX
PPTX
E-learning Development of Statistics and in Duex: Practical Approaches and Th...
PPTX
PPTX
E-learning Design and Development for Data Science in Osaka University
PPTX
PPTX
PPTX
PPTX
Forest Learning from Data
PPTX
A Bayesian Approach to Data Compression
PDF
A Conjecture on Strongly Consistent Learning
PDF
A Generalization of the Chow-Liu Algorithm and its Applications to Artificial...
PDF
A Generalization of Nonparametric Estimation and On-Line Prediction for Stati...
PPTX
PDF
Bayesian Criteria based on Universal Measures
PDF
MDL/Bayesian Criteria based on Universal Coding/Measure
PDF
The Universal Measure for General Sources and its Application to MDL/Bayesian...
PDF
Universal Prediction without assuming either Discrete or Continuous
PDF
Bayesian network structure estimation based on the Bayesian/MDL criteria when...
PDF
The Universal Bayesian Chow-Liu Algorithm
連続変量を含む条件付相互情報量の推定 1. 2. 計算数理B(3年後期): 機械学習入門
1. 機械学習の概要 8. Lasso回帰とRidge回帰
2. 線形回帰 (1) 理論解析 9. 主成分分析、主成分回帰、部分的最小2乗法
3. 線形回帰 (2) 応用 10. スプライン回帰、一般化加法モデル
4. ロジスティック回帰、最尤法、フィッシャー情報量 11. 決定木
5. 線形判別、2次判別、K近傍法 12. バギング、ランダムフォーレスト、ブースティング
6. クロスバリデーションとブートストラップ 13. サポートベクトルマシン
7. 情報量基準 14. クラスタリング
学部3年で、機械学習の専門家レベル
原理の本質を理解する (数学で証明できる)
実データに適用して、応用のイメージを定着させる
An Introduction to Statistical
Learning with Applications in R
Gareth James, Daniela Witten,
Trevor Hastie and Robert
Tibshirani
Springer, 2013
450ページ
最後(第15回は、機械学習を利用した実例に関する発表会)
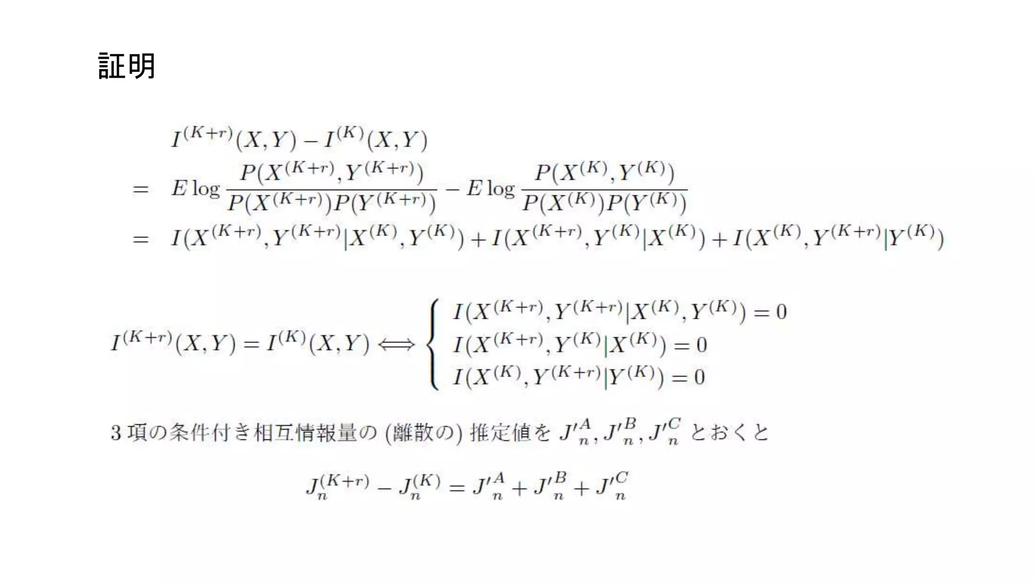
3. 4. 5. 6. 7. 8. 9. 10. 11. 12. 13. 14. 15. データ -> 相互情報量の推定値 -> 森
(Chow-Liu, Kruskal)
分布が森で表現されることを仮定
相互情報量の推定値大きいものから、
ループができない限り、辺を結んでいく
16. 17. Chow-Liuに適用
𝐼 𝑛: 尤度最大 𝐽 𝑛: 記述長最小・事後確率最大
独立な頂点があっても、
全頂点が連結される
独立な頂点は、
分離される
真の相互情報量I(X,Y)のかわりに
推定量である 𝐼 𝑛, 𝐽 𝑛を用いる
18. 19. 20. 21. 22. 23. 24. 25. 26. 27. 28. Rパッケージ BNSLの主な関数
関数名 機能
mi 相互情報量の推定
mi_matrix データフレームから相互情報量の推定量の行列を生成
cmi 条件付き相互情報量の推定
kruskal Chow-Liuアルゴリズムの実行で必要
parent_set ベイジアンネットワーク構築の親集合
bnsl ベイジアンネットワークの→の向き、変数の順序を決定
mi(x, y, proc=0)
等しい長さのベクトルx,yから、相互情報量を推定。
Jeffreys’ (proc=0), MDL (proc=1), 最尤 (proc=9), 連続を含む (proc=10)
29. 他ツールとの比較 (自己評価)
bnlearn BayoLink BNSL
連続 △ ☓ ◯
研究の最先端 ☓ ☓ ◎
大規模な
BNの構造学習
近似を許して、大規
模な処理を行う
近似を許して、大規
模な処理を行う
最適解が求まる場
合しか動かない
ユーザ数 ◎ ◯ △
価格 無料 (Rパッケージ) 有料 無料 (Rパッケージ)
グラフィック △ ◎ ☓
30. 31. 32. 36. 37. 39. ゲノム解析への応用 (1)
Int. J. Approximate Reasoning, 2016
青: p値の大きな遺伝子
赤: 症例/対照
1000個の連続変量
1個の2値変量
乳がん患者の遺伝子発現データ
(p51遺伝子をもつサンプル192個、
もたないサンプル58個)
40. 41. 42. 43.