Spread-Spectrum
Techniques
DIRECT-SEQUENCE SPREAD-SPECTRUM
The message x(t) is multiplied by a wideband PN
waveform c(t) prior to modulation
The PN generator produces a pseudorandom
binary wave c(t) consisting of rectangular pulses
called chips. Each chip has a duration of Tc and an
amplitude of ±1 so that c²(t) = 1 ( an essential
condition for message recovery)
DSS transmitter system and spectra
Pseudrandom binary wave: (a) waveform; (b) autocorrelation and
power spectrum.
If we assume that c(t) has the same properties as
the random digital wave with ak=±1, then the
autocorrelation and power spectral density of c(t)
are
PN bandwidth
Chipped message
Independent of c(t) ( Sx is message power or energy)
G = Power
spectral density
x~(t) has a spread spectrum whose bandwidth
essentially equals the PN bandwidth Wc.
Bandwidth expansion factor = Wc / Wx
This wideband, noise-like signal would be
hard to distinguish from background noise at an
unauthorized receiver; accordingly, we say that
spread-spectrum transmission has a low
probability of intercept.
An authorized receiver will recover the
message without increased output noise, despite
the increased bandwidth. Moreover, the receiver
structure suppresses stray interference or hostile
jamming.
DSS receiver system and the effects of a single-
tone jammer.
additive noise or interference
Synchronous detection after bandpass filtering yields
Notice that this multiplication spreads the
spectrum of zi(t) but de-spreads and recovers x(t),
assuming near perfect synchronization of the local
PN generator.
If the message is digital and sent via BPSK one
can use the correlation detector. In the presence
of white noise, the probability of error
Eb= Energy per bit No= Noise power spectral density
Note: When z(t) stands for white noise n(t)
DSSS correlation receiver for BPSK.
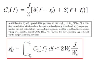
DSSS Performance in Presence of Interference
Let z(t) stand for an interfering sinusoid or CW jamming
signal
In-phase component is
Signal-to-jamming ratio
The single-tone jammers spectrum has been
spread and thus, relative to the output signal
power, has been reduced by a factor
Wx/Wc˂˂1
Process gain (Pg) = bandwidth expansion ratio
One can treat the jammer as just another source of
noise
BPSK
If the channel is corrupted by both broadband
white noise and a CW jammer
Received power
Jammer power
When rb = Wx
The jamming margin is used as a measure of a
system’s ability to operate in the presence of
interference. If, in a given system, we specify a
minimum Pe or minimum Eb>NJ ratio and a
relatively large Pg, then the system will exhibit
rejection of interference.
Let the channel is shared with M-1 other spread-
spectrum users—as is the case with code division
multiple access (CDMA) — each one would have their
own unique spreading code and arrival times at the
receiver
Multiple Access
where Am, cm(t), tm, and Ѳm denote the signal
amplitude, spreading code, time delay, and phase,
respectively, of the mth user
In the case of BPSK, the output of the correlation receiver
z(tk)=cumulative interference of the additional M-1
CDMA users
If for simplicity Am is set to 1, then after despreading
Notice that since xm(t) = ± 1, the integration term
becomes the crosscorrelation between the
desired and the interferer’s PN codes. Therefore,
minimizing the cross-correlation between
spreading codes minimizes the interference
between CDMA users. Ideally, each PN code
would be chosen to be orthogonal to the other,
thereby making z(tk) = 0. Unfortunately, with
practical systems this is not completely possible.
All interfering signals appear to the system as
broadband noise. Therefore, unlike TDMA and
FDMA, in which additional users manifest
themselves as crosstalk, each CDMA user merely
adds to the ambient noise floor.
Multipath and the Rake Receiver
M - 1 users sharing the channel + delayed or
multipath versions of the desired signal
Model of multipath channel whereby the transmitted
signal travels on three distinct paths
Each path introduces a delay ti and attenuation factor Ai.
To overcome the effects of multiple versions of the
signal interfering with each other, and to take advantage
of path diversity for improved signal-to-noise ratio
(SNR) and signal-to-interferance ratio ( SIR), a scheme of
separate receivers for each signal path is used and
then incorporate delay and gain adjustments to each one
to enable constructive addition of the multiple
signal versions.
Input y(t) is fed to the dispreading multipliers, each
one having a PN source that is in phase with one of the
multipath components. The output of each ith
dispreading multiplier
Three-finger Rake receiver
Rake receiver for signals that have three multipath components
i = 0, 1, 2
i = 0, 1, 2
pseudonoise
The output of each of the i multipliers is then fed to a
diversity combiner that consists of a set of adjustable
delay and gain elements so that the outputs add
constructively, since the signal from each finger will have
identical delays. The signal from each path is scaled so as
to increase the level of signals from the fingers with high
signal-to-noise ratios and reduce the level of those with
low signal-to-noise ratios. This naturally scales the paths
according to the received-signal quantities. Both the gain
and scaling adjustments can be done dynamically
according to the path conditions. The diversity combiner
output is
i = 0, 1, 2
Three-finger Rake receiver that incorporates separate correlation
stages for each signal path.
HOMEWORK
FREQUENCY-HOPPING SPREAD-SPECTRUM
The message is spread out over numerous carrier
frequencies, the jammer has a reduced
probability of hitting any one in particular.
Otherwise the jammer has to spread its power
over a wider frequency range in order to be
effective.
Slow-hopping SS: one or more message symbols are
transmitted per hop
Fast-hopping SS : there are two or more frequency
hops per message symbol.
With slow-hopping SS, the receiver demodulates
the signal like any other M-ary FSK signal.
However, with fast hop SS there are several hops
per symbol, so the detector determines the value
based on either a majority vote or some decision
rule such as maximum likelihood.
The message is usually M-ary FSK modulated to some
carrier frequency fc, although some systems use BPSK.
The modulated message is then mixed with the output of
a frequency synthesizer. The frequency synthesizer’s
output is one of Y 2k values, where k equals the number
of outputs from the PN generator. The BPF selects the
sum term from the mixer for transmission on the channel.
FHSS transmitter
FHSS receiver
FHSS Performance in the Presence of Interference
Types of jamming for FHSS systems: (a) barrage; (b)
partial-band; (c) singletone; (d ) multiple-tone.
PN generation
In order for a receiver to properly recognize a
transmitter’s signal and, in particular, prevent
false synchronization, it is important that the PN
code’s autocorrelation function have the largest
peak possible at τ=0 and τ = kTc and as be low as
possible everywhere else. This objective is met if
the PN generator produces a maximal-length (ML)
sequence.
To minimize jamming and/or casual eavesdropping, the
PN sequence should be as long as possible; the longer the
sequence, the more effort it takes for an unauthorized
listener to determine the PN sequence. However, with
linear codes, an eavesdropper only requires the
knowledge of 2˄n chips to determine the shift register
connections. Therefore vulnerability to unauthorized
listening can be reduced by either making frequent
changes in the PN sequence during transmission or by
using some nonlinear scheme for the feedback
connections. PN codes that are both secure and have
desirable correlation characteristics are generally difficult
to find, and thus if the goal is secure communications,
then the message should be encrypted separately.
Shift register sequence generator with [5, 2] configuration
If the appropriate feedback tap connections are
made, then an n-bit register can produce a
maximal-length (ML)
second and fifth
cells are tapped
1. Balance. The number of ones generated is one more
than the number of zeros generated.
2. Run. A run is a sequence of a single type of digit. An ML
sequence will have one-half of its runs of length 1, one-
quarter of its runs of length 2, one-eighth of its runs of
length 3, and so on.
3. Autocorrelation. Its autocorrelation function has
properties similar to the correlation properties of random
noise, in that there is a single autocorrelation peak.
4. The mod-2 addition of an ML sequence and any shifted
version of it results in a shifted version of the original
sequence.
5. Except for the zero state, all of the 2n possible states
will exist during the sequence generation.
ML sequence
Let a PN sequence sk be used to form a binary
polar NRZ signal
where p(t) is a rectangular pulse and the
amplitude of the kth pulse is
The signal s(t) is deterministic and periodic, with period
NTc, and has a periodic autocorrelation function
If N is very large and Tc very small
s
so the PN signal acts essentially like white noise
with a small DC component
Example: Autocorrelation of a [3,1] Shift Register
A 3-bit, [3, 1] shift register configuration with values of
111 produces a periodic ML sequence of 1110100 with N
=7.
Cross-
correlation
of [3,1] and
[3,2] PN
sequences
Auto- and crosscorrelation of [3, 1] and [3, 2] PN
sequences.
Cross-correlation ratios for various ML sequence lengths
and feedback connections (produced from a single shift
register).
Sequences generated from a single shift register do not
have good cross-correlation properties, making them
unsuitable for CDMA systems
To generate a different output sequence requires
changing the feedback connections; therefore, a given
shift register length will give us relatively few unique
output sequences.
Preferred pairs, Gold Codes
Gold code generator.

Spread-Spectrum Techniques

  • 1.
  • 2.
    DIRECT-SEQUENCE SPREAD-SPECTRUM The messagex(t) is multiplied by a wideband PN waveform c(t) prior to modulation The PN generator produces a pseudorandom binary wave c(t) consisting of rectangular pulses called chips. Each chip has a duration of Tc and an amplitude of ±1 so that c²(t) = 1 ( an essential condition for message recovery)
  • 3.
  • 4.
    Pseudrandom binary wave:(a) waveform; (b) autocorrelation and power spectrum.
  • 5.
    If we assumethat c(t) has the same properties as the random digital wave with ak=±1, then the autocorrelation and power spectral density of c(t) are PN bandwidth
  • 6.
    Chipped message Independent ofc(t) ( Sx is message power or energy) G = Power spectral density
  • 7.
    x~(t) has aspread spectrum whose bandwidth essentially equals the PN bandwidth Wc. Bandwidth expansion factor = Wc / Wx
  • 8.
    This wideband, noise-likesignal would be hard to distinguish from background noise at an unauthorized receiver; accordingly, we say that spread-spectrum transmission has a low probability of intercept. An authorized receiver will recover the message without increased output noise, despite the increased bandwidth. Moreover, the receiver structure suppresses stray interference or hostile jamming.
  • 9.
    DSS receiver systemand the effects of a single- tone jammer.
  • 10.
    additive noise orinterference Synchronous detection after bandpass filtering yields Notice that this multiplication spreads the spectrum of zi(t) but de-spreads and recovers x(t), assuming near perfect synchronization of the local PN generator.
  • 11.
    If the messageis digital and sent via BPSK one can use the correlation detector. In the presence of white noise, the probability of error Eb= Energy per bit No= Noise power spectral density Note: When z(t) stands for white noise n(t)
  • 12.
  • 13.
    DSSS Performance inPresence of Interference Let z(t) stand for an interfering sinusoid or CW jamming signal In-phase component is
  • 15.
    Signal-to-jamming ratio The single-tonejammers spectrum has been spread and thus, relative to the output signal power, has been reduced by a factor Wx/Wc˂˂1 Process gain (Pg) = bandwidth expansion ratio
  • 16.
    One can treatthe jammer as just another source of noise BPSK If the channel is corrupted by both broadband white noise and a CW jammer
  • 17.
  • 18.
    The jamming marginis used as a measure of a system’s ability to operate in the presence of interference. If, in a given system, we specify a minimum Pe or minimum Eb>NJ ratio and a relatively large Pg, then the system will exhibit rejection of interference.
  • 19.
    Let the channelis shared with M-1 other spread- spectrum users—as is the case with code division multiple access (CDMA) — each one would have their own unique spreading code and arrival times at the receiver Multiple Access where Am, cm(t), tm, and Ѳm denote the signal amplitude, spreading code, time delay, and phase, respectively, of the mth user
  • 20.
    In the caseof BPSK, the output of the correlation receiver z(tk)=cumulative interference of the additional M-1 CDMA users If for simplicity Am is set to 1, then after despreading
  • 21.
    Notice that sincexm(t) = ± 1, the integration term becomes the crosscorrelation between the desired and the interferer’s PN codes. Therefore, minimizing the cross-correlation between spreading codes minimizes the interference between CDMA users. Ideally, each PN code would be chosen to be orthogonal to the other, thereby making z(tk) = 0. Unfortunately, with practical systems this is not completely possible.
  • 22.
    All interfering signalsappear to the system as broadband noise. Therefore, unlike TDMA and FDMA, in which additional users manifest themselves as crosstalk, each CDMA user merely adds to the ambient noise floor. Multipath and the Rake Receiver M - 1 users sharing the channel + delayed or multipath versions of the desired signal
  • 24.
    Model of multipathchannel whereby the transmitted signal travels on three distinct paths Each path introduces a delay ti and attenuation factor Ai.
  • 25.
    To overcome theeffects of multiple versions of the signal interfering with each other, and to take advantage of path diversity for improved signal-to-noise ratio (SNR) and signal-to-interferance ratio ( SIR), a scheme of separate receivers for each signal path is used and then incorporate delay and gain adjustments to each one to enable constructive addition of the multiple signal versions. Input y(t) is fed to the dispreading multipliers, each one having a PN source that is in phase with one of the multipath components. The output of each ith dispreading multiplier
  • 26.
    Three-finger Rake receiver Rakereceiver for signals that have three multipath components
  • 27.
    i = 0,1, 2 i = 0, 1, 2 pseudonoise
  • 28.
    The output ofeach of the i multipliers is then fed to a diversity combiner that consists of a set of adjustable delay and gain elements so that the outputs add constructively, since the signal from each finger will have identical delays. The signal from each path is scaled so as to increase the level of signals from the fingers with high signal-to-noise ratios and reduce the level of those with low signal-to-noise ratios. This naturally scales the paths according to the received-signal quantities. Both the gain and scaling adjustments can be done dynamically according to the path conditions. The diversity combiner output is i = 0, 1, 2
  • 29.
    Three-finger Rake receiverthat incorporates separate correlation stages for each signal path. HOMEWORK
  • 30.
    FREQUENCY-HOPPING SPREAD-SPECTRUM The messageis spread out over numerous carrier frequencies, the jammer has a reduced probability of hitting any one in particular. Otherwise the jammer has to spread its power over a wider frequency range in order to be effective. Slow-hopping SS: one or more message symbols are transmitted per hop Fast-hopping SS : there are two or more frequency hops per message symbol.
  • 31.
    With slow-hopping SS,the receiver demodulates the signal like any other M-ary FSK signal. However, with fast hop SS there are several hops per symbol, so the detector determines the value based on either a majority vote or some decision rule such as maximum likelihood. The message is usually M-ary FSK modulated to some carrier frequency fc, although some systems use BPSK. The modulated message is then mixed with the output of a frequency synthesizer. The frequency synthesizer’s output is one of Y 2k values, where k equals the number of outputs from the PN generator. The BPF selects the sum term from the mixer for transmission on the channel.
  • 32.
  • 33.
  • 34.
    FHSS Performance inthe Presence of Interference
  • 35.
    Types of jammingfor FHSS systems: (a) barrage; (b) partial-band; (c) singletone; (d ) multiple-tone.
  • 36.
    PN generation In orderfor a receiver to properly recognize a transmitter’s signal and, in particular, prevent false synchronization, it is important that the PN code’s autocorrelation function have the largest peak possible at τ=0 and τ = kTc and as be low as possible everywhere else. This objective is met if the PN generator produces a maximal-length (ML) sequence.
  • 37.
    To minimize jammingand/or casual eavesdropping, the PN sequence should be as long as possible; the longer the sequence, the more effort it takes for an unauthorized listener to determine the PN sequence. However, with linear codes, an eavesdropper only requires the knowledge of 2˄n chips to determine the shift register connections. Therefore vulnerability to unauthorized listening can be reduced by either making frequent changes in the PN sequence during transmission or by using some nonlinear scheme for the feedback connections. PN codes that are both secure and have desirable correlation characteristics are generally difficult to find, and thus if the goal is secure communications, then the message should be encrypted separately.
  • 38.
    Shift register sequencegenerator with [5, 2] configuration If the appropriate feedback tap connections are made, then an n-bit register can produce a maximal-length (ML) second and fifth cells are tapped
  • 39.
    1. Balance. Thenumber of ones generated is one more than the number of zeros generated. 2. Run. A run is a sequence of a single type of digit. An ML sequence will have one-half of its runs of length 1, one- quarter of its runs of length 2, one-eighth of its runs of length 3, and so on. 3. Autocorrelation. Its autocorrelation function has properties similar to the correlation properties of random noise, in that there is a single autocorrelation peak. 4. The mod-2 addition of an ML sequence and any shifted version of it results in a shifted version of the original sequence. 5. Except for the zero state, all of the 2n possible states will exist during the sequence generation. ML sequence
  • 40.
    Let a PNsequence sk be used to form a binary polar NRZ signal where p(t) is a rectangular pulse and the amplitude of the kth pulse is
  • 41.
    The signal s(t)is deterministic and periodic, with period NTc, and has a periodic autocorrelation function If N is very large and Tc very small s so the PN signal acts essentially like white noise with a small DC component
  • 42.
    Example: Autocorrelation ofa [3,1] Shift Register A 3-bit, [3, 1] shift register configuration with values of 111 produces a periodic ML sequence of 1110100 with N =7.
  • 44.
  • 45.
    Auto- and crosscorrelationof [3, 1] and [3, 2] PN sequences.
  • 46.
    Cross-correlation ratios forvarious ML sequence lengths and feedback connections (produced from a single shift register). Sequences generated from a single shift register do not have good cross-correlation properties, making them unsuitable for CDMA systems To generate a different output sequence requires changing the feedback connections; therefore, a given shift register length will give us relatively few unique output sequences.
  • 47.
    Preferred pairs, GoldCodes Gold code generator.