Боловсрол, соёл, шинжлэх ухааны сайд
				 лувсаннямын гантөмөр
Хүүхэд бүхэндээ “Би чадна”
гэсэн итгэл өгье.
Өөр бай
Хөгжлийн оргилд хүрэх зам бол боловсрол олох. Боловсрохын
төлөө бүхнээ зориулсан хүн илүү ихийг бүтээдэг, хураадаг.
Багш хүн бусдаас өөр, онцгой сэтгэлгээтэй байх ёстой.
Энэ сайхан орчлонгийн цэцэг нь болсон хүүхдэд эрдэм бэлэглэ,
инээд бэлэглэ. Арга барилаа өөрчил. Цаг хугацаанаас хоцрогдох
гэдэг зүйл багш хүнд байх ёсгүй гэдгийг үргэлж санаж яваарай.
Хүүхэд бүхэн өөр өөрийн ертөнцтэй. Ертөнцийн наран ганцхан
байдаг ч хүүхэд бүрт өөр өөрийн наран мандаж байдгийг санаж,
тэднийг дэмнэж байгаарай. Багш гагцхүү мөнх хөх тэнгэр шиг
уужимхан ухаантай байх ёстой.
Таны сурагч өсч том болоод ирээдүйн Монгол Улсыг бүтээж,
авч явна. Хүүхэдтэйгээ хамтарч ярьж, хүүхэдтэйгээ хамтарч
ажилладаг багш л хамгийн сайн багш. Хүүхдийг ялгаварлаж
болохгүй. “Аяганы алгаас адууны алаг нь дээр” гэж үг бий.
Хамгийн дотно үгээ Танд хэлэхгүй л байгаа бол, хамгийн сайхан
үгийг нь Та шавь нараасаа сонсож чадахгүй л байгаа бол өөрийгөө
өөрчлөх цаг болжээ. Өөр байгаарай.
Багш нарын маань оюун бодол дэлгэр, бие эрүүл байх болтугай.
Цахиагийн ЭЛБЭГДОРЖ
Монгол улсын Ерөнхийлөгч
Улаанбаатар
Боловсрол бол аливаа улс үндэстэн хөгжин цэцэглэх, эрүүл,
тэгш нийгмийг бүтээх хамгийн сайн хөрөнгө оруулалт юм.
Тийм учраас “Боловсролыг нэгдүгээрт” санаачилгыг гаргаж,
боловсролыг нийгэм, улс төр, хөгжлийн хөтөлбөрийн голд нь
байлгахыг хүссэн. “Боловсролыг нэгдүгээрт” санаачилга нь
гурван зүйлд чиглэгдэнэ:
Нэгдүгээрт, хүүхэд бүрийг сургуульд сургах. Нас, хүйс, нийгмийн
гарал үүсэл, үндэс угсаа, эх хэл, амьдарч буй газраасаа үл
хамааран хүүхэд бүрийн боловсрол эзэмших тэгш эрхийг бид
хангаж өгөх үүрэгтэй.
Хоёрдугаарт, боловсролын чанарыг дээшлүүлэх. Зөвхөн
сургуульд сурах нь хангалттай бус. Хүүхдийн амжилттай
суралцах үйлд гол нөлөө үзүүлэх багшийн чанарт бид мөн
анхаарах хэрэгтэй. Багш нар нийгэмд ямар үнэ цэнэтэй гэдэгт
бид тэр бүр анхаарал тавьж чадахгүй байна.
Гуравдугаарт, дэлхийн иргэнийг хөгжүүлэх. Боловсрол
эзэмшинэ гэдэг нь зөвхөн хөдөлмөрийн зах зээлд орох бэлтгэл
гэхээс илүү амьдралын үнэт зүйл, үнэ цэнийг авчирдаг.
Боловсролоор дамжуулан харилцан ойлголцол, итгэлцэл,
хүндэтгэлд суралцсанаар хамтдаа амьдрахад илүү дөхөм болно.
Боловсролыг нэгдүгээрт
Бан Ги Мүүн
НҮБ-ийн Ерөнхий нарийн бичгийн дарга
Нью Иорк
Лувсаннямын Гантөмөр
Боловсрол, соёл, шинжлэх ухааны сайд
Монгол Улсын “Боловсролын чанар” дэлхийд
өрсөлдөх амжилтын төлөө хамтдаа зүтгэцгээе
Монгол Улсын боловсролын салбарын чанарыг багш, оюутан,
сурагч, хүүхэд нэг бүрийн хөгжлөөр батлан тодорхойлж, өндөр
үүрэг, хариуцлагатай ажиллаж буй хамт олондоо 2015-2016 оны
хичээлийн шинэ жилийн мэнд дэвшүүлж, Засгийн газар, Боловсрол,
соёл, шинжлэх ухааны яамны нэрийн өмнөөс болон хувиасаа энэ
хорвоогийн хамгийн сайн сайхан бүхнийг хүсэн ерөөж мэндчилье.
Боловсрол, соёл, шинжлэх ухааны сайдын
2015-2016 оны хичээлийн шинэ жилийн мэндчилгээ
Хүн төрөлхтний хөгжлийн
гарц нь мэдлэгийн нийгэмд
шилжиж, мэдлэг шингэсэн
бүтээгдэхүүнийг дэлхийн зах
зээлд гарган мэдлэгийн эдийн
засгийг бэхжүүлж чадсан улс
орон хөгждөг тийм цаг үе ирлээ.
Иймээс Боловсролын чанарын
шинэчлэлийн бодлогын алсын
хараа, эрхэм зорилгыг ХҮҮХЭД
бүрийг өөртөө итгэлтэй, бүтээлч,
шийдвэр гаргах чадвартай иргэн
болгон төлөвшүүлж, мэдлэгт
суурилсан нийгмийг бүтээн
байгуулах Дэлхийд өрсөлдөх
“МОНГОЛ ХҮН”-ий төлөө хэмээн
тодорхойлон хэрэгжүүлж байна.
Нэгдсэн Үндэстний Байгууллагын Боловсрол, Соёл, Шинжлэх ухааны
байгууллагаас 2015 оны 5 сард Тогтвортой хөгжлийн 4 дүгээр
зорилтын хүрээнд боловсролын форумыг зохион байгуулж 2030
он хүртэлх Дэлхийн боловсролын алсын харааг “Нэгдсэн зорилго,
хүсэл эрмэлзэлтэй, хүн бүрт хүрсэн боловсролын хөтөлбөрийг
боловсруулна.” хэмээн Инчеоны тунхаглалаар тодорхойлсон. Мөн
“Чанартай боловсрол нь бүтээмж болон мэдлэгийг дэмжин хөгжүүлж,
бичиг үсэг, математикт суралцахтай ижил задлан шинжилгээ хийх,
асуудал шийдвэрлэх, танин мэдэхүйн чадвар, хувь хүний хөгжил
буюу ХҮН болж төлөвших харилцааны чадваруудыг хөгжүүлдэг”
гэдгийг онцлон тэмдэглэжээ.
Үндэсний болон дэлхийн нийтийн боловсролын алсын хараа, бодлогын дагуу
бид 2015-2016 оны хичээлийн жилд үндэсний түвшинд хүүхэд бүрийг хөгжүүлэх
бага боловсролын цөм хөтөлбөрийг улам батжуулан, сургуулийн өмнөх болон
суурь боловсролын сургалтын цөм хөтөлбөрийг сургууль, цэцэрлэг бүр дээр
амжилттай хэрэгжүүлэх түүхэн хариуцлагатай үе ирээд байна.
Сургуулийн өмнөх болон ерөнхий боловсролын байгууллагын удирдлага, багш,
ажилтан, эрдэмтэн судлаачид, эцэг эх, асран хамгаалагчид “хүүхэд аз жаргалтай,
баяр баясгалантай, дуртай, хөгжилтэйгөөр суралцах үйлд оролцсон тэр үед
өөрсдийн бүхий л боломж, чадвараа дайчлан илүү бүтээлчээр суралцдаг” гэдгийг
өдөр бүхэн санаж хамтран ажиллахыг та бүхнээс хичээнгүйлэн хүсч байна.
Дээд боловсролын байгууллагын удирдлага, эрдэмтэн, багш, ажилтан, ажиллагсад
“ур чадвартай залуу үе, ард түмэн, тэдний мэдлэг, тасралтгүй суралцах чадвар
нь тогтвортой хөгжил, эдийн засгийн нөөцийн хамгийн чухал хүчин зүйл, үр
ашиг, өрсөлдөх чадварыг дээшлүүлэх үндэс” хэмээн харж сургалт, судалгаа,
инновацийг хөгжүүлэх ажилдаа эзэн болж, үр бүтээлтэй хамтран ажиллана
гэдэгт итгэлтэй байна.
Боловсролын салбарын бүтээлч, оюунлаг, ажилсаг, эвсэг хамт олон Монгол
улсын хөгжлийн хурдасгуур, манлайлагчид байгаад тань талархаж, эрүүл энх,
аз жаргалын дээдийг хүсэн ерөөе.
8 9
СУРГУУЛИЙНӨМНӨХБОЛОВСРОЛЫНСУРГАЛТЫНЦӨМХӨТӨЛБӨР
ХҮҮХЭДБҮХЭНДЭЭ“БИЧАДНА“ГЭСЭНИТГЭЛӨГЬЕ!
2015-2016 оны хичээлийн жилээс суурь боловсрол, сургуулийн өмнөх боловсролын
сургалтын цөм хөтөлбөрийг үндэсний түвшинд хэрэгжүүлэхтэй холбогдуулан аймаг, нийслэл,
дүүргийн Боловсролын газар, хэлтэс, ерөнхий боловсролын сургууль, цэцэрлэгийн холбогдох
албан тушаалтанд дор дурдсан чиглэлээр үйл ажиллагаа зохион байгуулж ажиллахыг
даалган, албан даалгавар хүргүүлж байна.
АЙМАГ, НИЙСЛЭЛ, ДҮҮРГИЙН БОЛОВСРОЛ, СОЁЛЫН ГАЗАР, ХЭЛТСИЙН ДАРГА НАРТ
ҮҮРЭГ БОЛГОХ НЬ:
1.	 Суурь боловсрол, сургуулийн өмнөх боловсролын сургалтын цөм хөтөлбөрийг
хэрэгжүүлэхтэй холбогдуулан боловсролын асуудал эрхэлсэн төрийн захиргааны төв
байгууллагын шийдвэрийг орон нутагт хэрэгжүүлэхэд манлайлан ажиллах, ерөнхий
боловсролын сургуулийн захирал, цэцэрлэгийн эрхлэгч, нийт багш нарт мэргэжил арга
зүйн дэмжлэг үзүүлэх;
2.	 Ерөнхий боловсролын сургууль, цэцэрлэг бүр өөрийн онцлог давуу тал дээр суурилан
хөгжихийг дэмжин чиглүүлэх;
3.	 Хүүхэд бүрийн ахиц амжилт, хөгжлийн төлөө сургууль, цэцэрлэг багш нартай хамтран,
судалгаанд суурилсан мэргэжлийн удирдлагаар ханган, зөвлөн тусалж ажиллах;
4.	 Багш ажилтны хүүхэд бүрийг хөгжүүлэх үндсэн үйл ажиллагааг тасралтгүй дэмжиж,
ажлын үр дүнг цаасаар бус, хүүхэд бүр дээр гарсан ахиц амжилт, үр дүнгээр үнэлэх;
5.	 Багш, ажилтан, ажиллагсдын сайн туршлага, бүтээлч санаачилгыг түгээн дэлгэрүүлэх,
багшийн мэргэжил дээшлүүлэх, цөм хөтөлбөрийг хэрэгжүүлэх ажлыг үр дүнтэй зохион
байгуулж, 7 хоногт 2-оос доошгүй сургууль, цэцэрлэг дээр очиж сургалт үйл ажиллагаанд
оролцож, хамтран ажиллах;
6.	 Орон нутгийн төрийн болон төрийн бус, аж ахуйн нэгж, байгууллага, иргэд, эцэг эхийн 3-5
хүний төлөөллийг сургууль, цэцэрлэг бүр дээр сард нэг удаа урьж, багш суралцагчдын
ахиц амжилтыг тайлагнах, хамтран ажиллах, харилцаа холбоог бэхжүүлэх ажлыг үр
дүнтэй тогтмол зохион байгуулах;
7.	 Хүүхэд бүрийн хөгжих орчинг бүрдүүлэх, сургалтын хэрэглэгдэхүүн, лаборатори болон
бусад тоног төхөөрөмжөөр хангах хөрөнгө оруулалт, санхүүжилтийн санг орон нутгийн
түвшинд бүрдүүлж хуулийн хүрээнд зохион байгуулж санаачилгатай ажиллах;
8.	 Суурь боловсрол, сургуулийн өмнөх боловсролын сургалтын цөм хөтөлбөрийн
хэрэгжилтийн ажлын мэдээ, тайланг улиралд нэг удаа яаманд ирүүлж байх.
АЙМАГ, НИЙСЛЭЛ, ДҮҮРГИЙН БОЛОВСРОЛ, СОЁЛЫН ГАЗАР, ХЭЛТСИЙН
МЭРГЭЖИЛТЭН НАРТ ҮҮРЭГ БОЛГОХ НЬ:
1.	 Суурь боловсрол, сургуулийн өмнөх боловсролын цөм хөтөлбөрийг хэрэгжүүлэх ажлыг
үндэсний түвшний ажлын хэсэгтэй хамтран аймаг, орон нутагтаа хариуцлагатай зохион
байгуулах;
2.	 Хүүхэд бүрийн ахиц амжилт, хөгжлийн үр дүнг судлан, 7 хоногт 3-аас доошгүй хичээл,
үйл ажиллагаанд оролцон ажиглалт хийх, хамтран заах, хэлэлцүүлэг хийх, мэргэжлийн
зөвлөгөө өгөх замаар багшийн арга зүйг тасралтгүй сайжруулах;
3.	 Сургууль, цэцэрлэг, багш хоорондын багаар ажиллах үйл ажиллагааг дэмжин, харилцан
суралцах, туршлагаа солилцох, түгээн дэлгэрүүлэх зөвлөгөөн, уулзалтыг сард нэгээс
доошгүй удаа зохион байгуулах;
4.	 Хүүхэд бүрийг хөгжүүлэх сургууль, цэцэрлэг, багшийн үндсэн үйл ажиллагааг тасралтгүй
дэмжиж ажлын үр дүнг цаасаар бус, хүүхэд бүр дээр гарсан ахиц амжилт, үр дүнгээр
үнэлж зөвлөн туслах;
5.	 Сургууль, цэцэрлэг бүрийн зорилгыг хэрэгжүүлэх ажлын хүрээнд эцэг эх, орон нутгийн
иргэд, байгууллагуудтай үр дүнтэй харилцаа тогтоон, хамтран ажиллахыг дэмжиж,
санаачилгатай зохион байгуулах.
ЕРӨНХИЙ БОЛОВСРОЛЫН СУРГУУЛИЙН ЗАХИРАЛ, ЦЭЦЭРЛЭГИЙН
ЭРХЛЭГЧ НАРТ ҮҮРЭГ БОЛГОХ НЬ:
1.	 Сургууль, цэцэрлэгийн зорилгыг багш, суралцагч, эцэг эхийн оролцоо, орон нутгийн
болон сургуулийн хөгжлийн төлөвлөлт, цэцэрлэгийн үзэл баримтлал, хэрэгцээнд
тулгуурлан бодитой, хэрэгжихүйц байдлаар тодорхойлж, манлайлан удирдах;
2.	 Хүүхэд бүрийн хөгжлийн үр дүн, ахиц амжилттай өөрийн биеэр танилцаж, 7 хоногт 3-аас
доошгүй хичээл, үйл ажиллагаанд оролцож, зөвлөн туслах;
3.	 Багш, ажилтны хүүхэд бүрийг хөгжүүлэх үндсэн үйл ажиллагааг тасралтгүй дэмжиж,
ажлын үр дүнг цаасаар бус, хүүхэд бүр дээр гарсан ахиц амжилт, үр дүнгээр үнэлэх;
4.	 Багш, ажилтан, ажиллагсдын сайн туршлага, бүтээлч санаачилгыг түгээн дэргэрүүлэх
ажлыг үр дүнтэй зохион байгуулж, хамт олноо эвсэг, ажилсаг, тусархаг баг болж хамтран
ажиллахад манлайлах;
5.	 Орон нутгийн төрийн болон төрийн бус, аж ахуйн нэгж, байгууллага, иргэдийн 3-5 хүний
төлөөллийг сард нэг удаа урьж, багш, хүүхэд, суралцагчдын ахиц амжилтыг тайлагнах,
хамтран ажиллах, харилцаа холбоог бэхжүүлэх ажлыг үр дүнтэй тогтмол зохион
байгуулах;
6.	 Хүүхэд бүрийн хөгжих орчинг бүрдүүлж, сургалтын хэрэглэгдэхүүн, лаборатори болон
бусад тоног төхөөрөмжөөр хангах хөрөнгө оруулалт, санхүүжилтийн олон эх үүсвэрийг
бүрдүүлж, хуулийн хүрээнд зохион байгуулж санаачилгатай ажиллах;
7.	 Эцэг эхэд сургууль, цэцэрлэгийн үйл ажиллагаа, хүүхэд бүрийн ахиц амжилт, хөгжлийн
мэдээллийг тогтмол, улиралд нэгээс доошгүй удаа эцэг эхийн уулзалт, тайлангаар
хүргэж, тэднийг сургалт, үйл ажиллагааны чанарт хувь нэмрээ оруулан, хамтран ажиллах
боломжийг бүрдүүлэх.
10 11
СУРГУУЛИЙНӨМНӨХБОЛОВСРОЛЫНСУРГАЛТЫНЦӨМХӨТӨЛБӨР
ХҮҮХЭДБҮХЭНДЭЭ“БИЧАДНА“ГЭСЭНИТГЭЛӨГЬЕ!
Монгол Улсын Их Хурлын 2008 оны 12 дугаар тогтоолоор баталсан “Мянганы хөгжлийн зорилтод
суурилсан Үндэсний хөгжлийн цогц бодлого”-д “Суралцагчдад хүртээмжтэй, чанартай, хэрэгцээнд нь
нийцсэн боловсрол эзэмших тэгш боломж бүрдүүлнэ. Боловсролын бүх шатны стандарт, сургалтын
хөтөлбөрийг тухайн үеийн суралцагчийн хэрэгцээ, нийгмийн шаардлагад нийцүүлэн боловсронгуй
болгоно” зэрэг зорилтууд дэвшүүлсэн.
Улсын Их Хурлаас баталсан Монгол Улсын Засгийн газрын 2012-2016 оны үйл ажиллагааны
хөтөлбөрт: “... эх оронч сэтгэлгээтэй, амьдрах ухаанд суралцсан иргэн төлөвшүүлэхэд чиглэсэн “Зөв
монгол хүүхэд” хөтөлбөр боловсруулж хэрэгжүүлнэ”, шинэ стандарт нэвтрүүлнэ” гэж тус тус заасан.
Улсын Их Хурлаас 2015 онд баталсан “Төрөөс боловсролын талаар баримтлах бодлого”-ын
гуравдугаар бүлэгт Боловсролын хөгжлийн стратегийг дараах байдлаар тодорхойлсон:
3.2. Сургуулийн өмнөх боловсролыг “хүүхдийг сургах, сургуульд бэлтгэх” гэсэн зорилгоос
илүүтэйгээр хүний хөгжлийн үндэс, өөрийн онцлог, чадвар, бүтээлч үйлээрээ хөгжих, насан туршийн
боловсролын суурь үе хэмээн хөгжүүлнэ.
3.3. Бага боловсролыг эх хэлний чадамжийг эзэмших боломжийг бүрдүүлэн бүтээлч, сурах арга
барилтай монгол хүүхэд төлөвших үе хэмээн хөгжүүлнэ.
3.4. Суурь боловсролыг амьдрах ухаан, шинжлэх ухааны суурь мэдлэг, чадвар, бие даан бүтээлчээр
суралцах чадамж эзэмших үе хэмээн хөгжүүлнэ.
3.5. Бүрэн дунд боловсролыг сонголттой, уян хатан хөтөлбөрөөр мэдээлэл боловсруулах, шийдвэр
гаргах чадвар бүхий, ирээдүйд эзэмших мэргэжлийн суурь баримжаа олгох үе хэмээн хөгжүүлнэ.
3.6. Дээд болон мэргэжлийн боловсрол нь хөдөлмөрийн даяарчлагдсан зах зээлд амжилттай
өрсөлдөх, бие даан ажлын байр бий болгох, улс үндэстний болон орон нутагт тулгамдаж байгаа асуудлыг
үндэсний онцлогт тулгуурлан шийдвэрлэх, үндэсний инновацийн тогтолцоог бэхжүүлэхэд хувь нэмрээ
оруулах чадамж эзэмших үе хэмээн хөгжүүлнэ.
ХОЁР. ЗОРИЛТ
2.1. Боловсролын салбарын эрх зүйн орчныг боловсронгуй болгох, хэрэгжилтийг хангах,
хөгжлийн зорилтыг хэрэгжүүлэх:
i.	 Монгол Улсын Их Хурал, Засгийн газраас баталсан хууль, тогтоол шийдвэрийг хэрэгжүүлэх ажлыг
зохион байгуулна. Тухайлбал, “Төрөөс боловсролын талаар баримтлах бодлого (2014-2024 он),
Монгол хэлний тухай хууль болон бусад хууль тогтоомж, төсөл, хөтөлбөр.
ii.	 Бүх нийтийн боловсролын Инчеоны тунхаглалыг төр, иргэний нийгмийн байгууллага, иргэд, олон
нийтэд сурталчлах, 2015 оноос хойшхи бүх нийтийн боловсролын тогтвортой хөгжлийн боловсролын
зорилт, стратеги (2015-2030)-ийг сонирхогч тал, түншүүдийн оролцоо, хамтын ажиллагаанд тулгуурлан
хэрэгжүүлнэ.
iii.	 Боловсролын тухай багц хуульд нэмэлт, өөрчлөлт оруулах тухай хуулийн төсөл боловсруулж, Засгийн
газар, Улсын Их Хуралд өргөн барина.
2.2. Сургуулийн өмнөх болон бага, дунд боловсролын чанарын шинэчлэлийг эрчимжүүлэх,
чанартай боловсролын үйлчилгээ үзүүлэх:
i.	 Сургуулийн өмнөх боловсролын цөм хөтөлбөрийг үндэсний хэмжээнд хэрэгжүүлнэ.
ii.	 Суурь боловсролын цөм хөтөлбөрийг үндэсний хэмжээнд хэрэгжүүлнэ.
iii.	 Бүрэн дунд боловсролын сургалтын хөтөлбөрийг шинээр боловсруулж, ерөнхий боловсролын
лаборатори 40 сургуульд тохирцыг шалгаж, 2016-2017 оны хичээлийн жилд үндэсний хэмжээнд
хэрэгжүүлэх бэлтгэлийг хангана.
iv.	 Багшийн хөгжлийн хэрэгцээнд үндэслэн мэргэжил дээшлүүлэх танхимын болон зайн сургалтыг
хэрэгжүүлнэ.
v.	 Хүүхэд бүрийг хөгжүүлэх тэргүүн туршлага бүхий арга зүй, технологийг түгээн дэлгэрүүлж, сайн хичээл,
үйл ажиллагааны соёлыг сургуулийн өмнөх болон бага, дунд боловсролын түвшинд төлөвшүүлэн
хөгжүүлнэ.
ЕРӨНХИЙ БОЛОВСРОЛЫН СУРГУУЛИЙН СУРГАЛТЫН МЕНЕЖЕР, НИЙГМИЙН
АЖИЛТАН, ЦЭЦЭРЛЭГИЙН АРГА ЗҮЙЧ НАРТ ҮҮРЭГ БОЛГОХ НЬ:
1.	 Багш бүрээ судлан, ахиц амжилтыг нь урамшуулан, давуу тал болон багшийн хамгийн
сайн ур чадварт тулгуурлан хөгжүүлэх;
2.	 Хүүхэд бүрийн ахиц амжилт, хөгжлийн үр дүнг судлан, өдөр бүр 2-оос доошгүй хичээл,
үйл ажиллагаанд ажиглалт хийх, хамтран заах, хэлэлцүүлэг хийх, мэргэжлийн зөвлөгөө
өгөх замаар багшийн арга зүйг тасралтгүй сайжруулах;
3.	 Багш нарын багаар ажиллах үйл ажиллагааг дэмжин, харилцан суралцах, туршлагаа
солилцох, түгээн дэлгэрүүлэх зөвлөгөөн, уулзалтыг 7 хоногт 1-ээс доошгүй удаа зохион
байгуулах;
4.	 Хүүхэд бүрийг хөгжүүлэх багшийн үндсэн үйл ажиллагааг тасралтгүй дэмжиж, ажлын
үр дүнг цаасаар бус, хүүхэд бүр дээр гарсан ахиц амжилт, үр дүнгээр үнэлэх;
5.	 Сургуулийн зорилго, цэцэрлэгийн үзэл баримтлалыг хэрэгжүүлэх хүрээнд эцэг эх, орон
нутгийн иргэд, байгууллагуудтай үр дүнтэй харилцаа тогтоон, хамтран ажиллахыг
дэмжиж, санаачилгатай зохион байгуулах.
ЕРӨНХИЙ БОЛОВСРОЛЫН СУРГУУЛЬ, ЦЭЦЭРЛЭГИЙН БАГШ НАРТ ҮҮРЭГ БОЛГОХ
НЬ:
1.	 Хүүхэд бүрээ судлан ахиц амжилтыг нь урамшуулан, өөртөө итгэлтэй, эрүүл чийрэг,
зөв дадал хэвшил, зан чанартай, шинжлэх ухааны суурь мэдлэг чадвартай, сурах
арга барил, суралцах хүсэл эрмэлзэлтэй болж хөгжин төлөвшихөд тасралтгүй туслан
дэмжих;
2.	 Хүүхэд бүрийн ахиц амжилтын зорилго, төлөвлөлтийг хүүхэд, эцэг эхтэйгээ хамтран
төлөвлөж, явц, үр дүнг нь тогтмол тайлагнах;
3.	 Хүүхэд бүрийн хөгжих сэтгэл зүйн болон үйлийн орчинг бүрдүүлж, хичээл, үйл
ажиллагааг өдөр бүр хүүхдийн сурч мэдэх, хүсэл сонирхлыг төрүүлэхүйц байдлаар
бэлтгэн хэрэгжүүлэх;
4.	 Сайн туршлага хуваалцах харилцан суралцах, зэргээр багаар үр дүнтэй хамтран
ажиллаж, мэргэжлийн мэдлэг, ур чадвар, арга зүйгээ тасралтгүй хөгжүүлэх;
5.	 Сургалт дэмжсэн үйл ажиллагаанд эцэг эх, орон нутгийн иргэд, байгууллагуудыг урьж
оролцуулах,үр дүнтэй харилцаа холбоо тогтоох ажлыг зохион байгуулах;
6.	 Багш бүр Монгол улсын ирээдүй, боловсролын хөгжлийн түүчээ, тулгуур багана, эд эс
гэдгээ ухаарч, өөртөө итгэлтэй, шавь нараа хайрлан урам зоригтойгоор ажиллах.
12
СУРГУУЛИЙНӨМНӨХБОЛОВСРОЛЫНСУРГАЛТЫНЦӨМХӨТӨЛБӨР
vi.	 Сургалтын хөтөлбөрийн шинэчлэлтэй уялдуулан ерөнхий боловсролын сургуулийн сурах бичиг
шинэчлэх ажлыг үргэлжлүүлнэ. Цэцэрлэг, сургуулийн орчинд хүүхдийг болзошгүй эрсдэлээс
хамгаалах, хоол, хүнсний хангамжийн үйлчилгээ болон ус, ариун цэврийн байгууламжийн аюулгүй
байдлыг хангах, нэгж байгууллага, холбогдох албан тушаалтны үүрэг, хариуцлагыг чанд мөрдүүлнэ.
vii.	 Сургуулийн өмнөх боловсролын үйлчилгээнд тогтмол хамрагдаж чадахгүй байгаа хүүхдийг гэр
бүлийн орчинд хөгжүүлэх талаар бий болсон арга зүй, технологи, туршлага, санал санаачилгыг түгээн
дэлгэрүүлэхэд төр, иргэний нийгмийн байгууллага, эцэг эх, асран хамгаалагчийн оролцоо, хамтын
ажиллагааг сайжруулах, хөрөнгө оруулалтыг нэмэгдүүлнэ.
viii.	 Боловсролын салбарын мэдээллийн нэгдсэн системийн хүний нөөц, суралцагчийн удирдлагын
модулийг бага, дунд болон дээд боловсролын сургалтын байгууллагад нэвтрүүлж эхэлнэ.
ix.	 Хүүхдийн дунд номыг бүтээлчээр унших хөдөлгөөн өрнүүлж, ном зохиох, хэвлэн нийтлэх, гэрийн
болон явуулын номын сан ажиллуулах зэрэг үйл ажиллагааг зохион байгуулж байгаа иргэд, төр,
иргэний нийгмийн байгууллагатай хамтран ажиллана.
x.	 Хүүхдийн үүсгэл санаачилгын байгууллагад дэмжлэг үзүүлж, суралцагчийн авьяас чадварт тулгуурлан
сурах арга барил, мэргэжлийн чиг баримжаа эзэмшүүлэх үйл ажиллагааг сургалтын байгууллага,
орон нутгийн онцлогт нийцүүлэн зохион байгуулна.
xi.	 Хамран сургалт /цэвэр жин/-ыг өмнөх хичээлийн жилээс сургуулийн өмнөх боловсролд 1.0%, бага
боловсролд 0.4%, дунд боловсролд 0.2 хувиар тус тус ахиулна. Ерөнхий боловсролын сургуулийн
мэргэжлийн багшийн хангалтыг 0.2 хувиар нэмэгдүүлж, 100 хувьд хүргэнэ.
2.3. Тусгай хэрэгцээт боловсрол
i.	 Хөгжлийн бэрхшээлтэй бага насны хүүхдийг эрт илрүүлж оношлох, боловсролын үйлчилгээнд
хамруулах ажлыг үе шаттай зохион байгуулна.
ii.	 Хөгжлийн бэрхшээлтэй хүүхэд, залуучуудыг боловсролд тэгш хамруулах, онцлог, хэрэгцээг харгалзсан
боловсролын хөтөлбөрийг боловсруулж хэрэгжүүлнэ.
iii.	 Тусгай хэрэгцээт боловсрлын багш бэлтгэх, сургалтын хөтөлбөр, сурах бичгийг шинэчлэн
боловсруулах, сургалтын орчинг сайжруулна.
2.4. Насан туршийн боловсролын тогтолцоог төлөвшүүлэх:
i.	 Насан туршийн боловсролын үндэсний хөтөлбөр боловсруулан хэрэгжүүлж, иргэдэд насан туршийн
тасралтгүй боловсрол эзэмшүүлэхэд чиглэсэн боловсрол, эрүүл мэнд, нийгмийн хамгаалал, соёл,
эдийн засаг, эрх зүй, байгаль орчин зэрэг салбар дундын зохицуулалтын суурийг тавина.
ii.	 Насан туршийн боловсролын сургалтын цөм хөтөлбөрийг салбар дундын оролцоотойгоор
боловсруулж, багш, мэргэжилтний ур чадварыг дээшлүүлэх сургалтыг үе шаттайгаар зохион
байгуулна.
2.5. Дээд боловсролын шинэчлэлийг гүнзгийрүүлж, сургалтын байгууллагын академик эрх
чөлөө, бие даасан байдлыг хангаж, хөтөлбөрт суурилсан сургалтыг хөгжүүлэх:
i.	 Дээд боловсролын зэрэг, баримт бичгийг харилцан хүлээн зөвшөөрөх тухай Ази Номхон далайн
бүсийн конвецэд нэгдэж, Монгол улсад эзэмшсэн боловсролыг Олон улсад хүлээн зөвшөөрүүлэхэд
ахиц гаргана.
ii.	 Бакалавр, магистр, докторын хөтөлбөрт тавигдах шаардалгын хэрэгжилтийг эрчимжүүлнэ.
iii.	 Инженерийн боловсролын шинэчлэлийг хэрэгжүүлж, олон улсын CDIO загварыг туршин хэрэгжүүлнэ.
iv.	 Байгалийн ухаан, инженер технологи, анагаах, хөдөө аж ахуйн хөтөлбөрүүдийг Олон улсад магадлан
итгэмжлүүлэх дэмжлэгийг нэмэгдүүлнэ.
v.	 Япон Улсын Засгийн газрын буцалтгүй тусламжаар Анагаахын шинжлэх ухааны үндэсний их
сургуулийн сургалтын эмнэлэг барих бүтээн байгуулалтын ажлыг эхлүүлнэ.
vi.	 Япон Улсын Засгийн газрын зээлийн хөрөнгөөр хэрэгжиж буй “Инженер, технологийн дээд боловсрол”
төслийн хүрээнд Япон Улстай хамтарсан бакалаврын хөтөлбөрийг нээн хичээллүүлж, коосэн, магистр,
докторын хөтөлбөр, зэргийн бус мэргэжил дээшлүүлэх хөтөлбөрт судлаач багш, инженерүүдийг
сургана.
vii.	 Дэлхийн шилдэг сургуулиудын бакалавр, магистр, докторын хөтөлбөрт оюутан сургах арга хэмжээг
үе шаттай авч хэрэгжүүлнэ.
viii.	 Дээд боловсролын сургалтын байгууллагын сургалтын бааз, сургалт, судалгааны лабораторийн хүчин
чадлыг нэмэгдүүлж, ашиглалтыг сайжруулна.
БОЛОВСРОЛ, СОЁЛ, ШИНЖЛЭХ УХААНЫ ЯАМ
СУРГУУЛИЙН ӨМНӨХ
БОЛОВСРОЛЫН СУРГАЛТЫН
ЦӨМ ХӨТӨЛБӨР
СУРГУУЛИЙНӨМНӨХБОЛОВСРОЛЫНСУРГАЛТЫНЦӨМХӨТӨЛБӨР
14 15
ХҮҮХЭДБҮХЭНДЭЭ“БИЧАДНА“ГЭСЭНИТГЭЛӨГЬЕ!
СУРГУУЛИЙНӨМНӨХБОЛОВСРОЛЫНСУРГАЛТЫНЦӨМХӨТӨЛБӨР
16 17
ХҮҮХЭДБҮХЭНДЭЭ“БИЧАДНА“ГЭСЭНИТГЭЛӨГЬЕ!
НЭГДҮГЭЭР БҮЛЭГ: ЦӨМ ХӨТӨЛБӨРИЙН ЕРӨНХИЙ ЗҮЙЛ
1.1. НИЙТЛЭГ ҮНДЭСЛЭЛ
Монгол Улсын Боловсролын тухай хуульд “Монгол улсын боловсролын зорилго нь иргэнийг
оюун ухаан, ёс суртахуун, бие бялдрын зохих чадавхтай, хүмүүнлэг ёсыг дээдлэн сахидаг, бие даан
сурах, ажиллах, амьдрах чадвартай болгон төлөвшүүлэхэд оршино” гэж заасан.
Монгол Улсын Их Хурлаас баталсан “Төрөөс боловсролын талаар баримтлах бодлого”-ын 3
дугаар бүлгийн 3.2-т “Сургуулийн өмнөх боловсролыг “хүүхдийг сургах, сургуульд бэлтгэх” гэсэн
зорилгоос илүүтэйгээр хүний хөгжлийн үндэс, өөрийн онцлог, чадвар, бүтээлч үйлээрээ хөгжих,
насан туршийн боловсролын суурь үе хэмээн хөгжүүлнэ” гэж, Монгол улсын Засгийн газрын 295
дугаар тогтоолоор баталсан “Зөв монгол хүүхэд” үндэсний хөтөлбөрийн 6.1.2.-т “Сургуулийн өмнөх
насны хүүхдийн эзэмших чадвар болон хүүхдийн жам ёсны хөгжилд суурилан боловсруулсан
сургалтын үндсэн хүрээг цэцэрлэгийн түвшний хөтөлбөрөөр хэрэгжүүлнэ” гэж, Боловсрол, шинжлэх
ухааны сайдын 2013 оны 327 тоот тушаалаар баталсан “Сургуулийн өмнөх боловсролын сургалтын
талаар баримтлах бодлого”-ын 4.1-т “Сургуулийн өмнөх боловсролын сургалтын талаар баримтлах
бодлого, стратеги, бага насны хүүхдийн суралцахуйн талаар дэлхийн улс орнуудын баримталж буй
чиг хандлага, монгол хүүхдийн онцлогт баримжаалан сургуулийн өмнөх насны хүүхдийн сургалтын
хөтөлбөрийг хөгжүүлнэ”, “Сургалтын хөтөлбөрийн зорилго, агуулга, арга зүй, хэрэглэгдэхүүн, үнэлгээ
нь хүүхдийн хөгжлийн ахиц, амжилтын үр дүнд чиглэсэн, нээлттэй байна. Цэцэрлэг сургалтын
хөтөлбөрөө байгууллагынхаа үзэл баримтлалыг үндэслэн боловсруулна.” хэмээн тус тус заасны
дагуу энэхүү сургалтын цөм хөтөлбөрийг боловсруулсан болно.
Бага насны хүүхдийн талаарх судалгааны ажил дэлхий нийтэд эрчимжиж, хүүхдийн хөгжлийн
онцлог, боломжийн талаар, шинэ нотолгоо, мэдлэг, мэдээлэл бий болсоор байна. Тухайлбал,
сургуулийн өмнөх насанд хүүхдийн тархи маш эрчимтэй хөгждөг бөгөөд уян хатан чанартай,
суралцах орчин, түүнчлэн ойр дотны харилцаа нь тэдний хөгжил, төлөвшилд чухлаар нөлөөлдөг,
хүүхэд боловсролын нэг түвшнээс нөгөө түвшинд (цэцэрлэгээс сургуульд) шилжих шилжилтийг зөв
хийх нь тэдний суралцах үйлд эерэг нөлөө үзүүлж, насан туршийн амьдралын суурь болдог гэдгийг
судлаач, эрдэмтэд баталж байна.
Мэдлэгтсуурилсаннийгэм,мэдээлэл,харилцаанытехнологийнхурдацтайхөгжлийнэнээринүед
хүүхдийг бага наснаас нь янз бүрийн мэдлэг эзэмшүүлэх гэхээс илүүтэй тэдний төрөлхийн суралцах
хүсэл эрмэлзэл, дур сонирхол, баяр баясгаланг хадгалан батжуулах, тэдэнд орчинтойгоо идэвхтэй
харьцаж, өөрөө судлан шинжилж учир холбогдлыг нь олж нээх боломж олгох, өөрийгөө хариуцан
авч явах чадвартай болоход нь дэмжлэг туслалцаа үзүүлэхэд түлхүү анхаарах шаардлагатай байна.
Монголчууд үр хүүхдээ сайн хүн болгон төлөвшүүлэх уламжлалт сэтгэлгээ, ёс заншилтай ард
түмэн. Эцэг эхчүүд хүүхэддээ багаас нь эрдэнэт хүний биеийн үнэ цэнэ, нүгэл буян, үйлийн үрийн
сургаал, бусдыг энэрэн нигүүлсэх, хайрлан халамжлах, байгаль дэлхийтэйгээ зөв харьцах арга ухаан,
эцэг эх, ахмадыг хүндэтгэх, ач тусыг нь санахыг ухааруулан, сургасаар ирсэн. Энэхүү уламжлалт
арга ухаанаа эрхэмлэн хүүхэд бүрийн ХҮН БОЛОХ төлөвшилд илүү анхаарах нь өнөөгийн нийгэм,
хөгжлийн хэрэгцээ, шаардлага болоод байна.
Сургалтын цөм хөтөлбөрийг “Зургаан настай хүүхдийн сургуульд бэлтгэгдсэн байдал судалгааны
тайлан” 2008, “Бага насны хүүхдийн бие бялдар-сэтгэцийн судалгаа” зэрэг өөрийн орны эрдэмтэн,
судлаачдын судалгааны үр дүн, сургуулийн өмнөх боловсролд мөрдөж ирсэн сургалтын хөтөлбөр,
стандарт, зөвлөмжид хийсэн судалгаа, дэлхийн зарим улс орны цэцэрлэгийн сургалтын хүрээ,
үндэсний хөтөлбөрт хийсэн харьцуулсан судалгаа, түшиц цэцэрлэгийн багш нарын боловсруулан
хэрэгжүүлсэн хүүхдийн эзэмшвэл зохих чадварын шалгуурт тулгуурлан боловсруулсан болно.
Сургалтын цөм хөтөлбөр нь орон нутаг, цэцэрлэгийн онцлог, давуу тал, судалгааны шинэ ололт,
багш нарын бүтээлч үйлээр баяжигдах бөгөөд энэхүү баримт бичиг нь сургуульд элсэх хүртэлх насны
хүүхэдтэй эцэг эхчүүдийн хувьд гарын авлага, зөвлөмж материал байх болно.
1.2. СУРГАЛТЫН ЦӨМ ХӨТӨЛБӨРИЙН ЗАРЧИМ
1.2.1. Сургалтын цөм хөтөлбөрийг боловсруулахад баримталсан зарчим
I.	 Хүүхэд бүрийг хөгжлийн боломжит хурдаар нь хөгжүүлэх, чадамжид суурилах;
II.	 Хүүхдийн чадамж, давуу тал, сонирхлыг илрүүлэн хүүхэд бүрийг судлах, хөгжүүлэх;
III.	 Хүүхэд, багш, эцэг эх, асран хамгаалагчид идэвхтэйгээр хамтран ажиллаж, хамтдаа мэдлэг,
чадвар, соёлыг бүтээх.
1.2.2. Сургалтын цөм хөтөлбөрийг хэрэгжүүлэх зарчим
i.	 Хүүхэд бүрийн авьяас, сонирхол, чадвар, хувийн онцлог шинжийг нээх, дэмжих, хөгжүүлэх
үндэс болох;
ii.	 Агуулга нь өргөсөх ба гүнзгийрэх залгамж холбоотой, тасралтгүй, чадамжийн ахиц
дэвшлийг хангахуйц байх;
iii.	 Хүүхдийн нас, сэтгэхүй, хөгжлийн онцлогт нийцсэн байх;
iv.	 Хүүхэд сурах арга барил, чадвар эзэмшихэд чиглэсэн байх;
v.	 Хүүхэд бүртэй ажиллах арга зүйд суурилан сургалтыг уян хатан төлөвлөх, зохион байгуулах
нөхцөлийг бүрдүүлсэн байх;
vi.	 Эцэг эх, асран хамгаалагч, олон нийтийн оролцоог хангасан, цэцэрлэгийн менежмент, бие
даасан байдал, багш нарын бүтээлч үйлийг дэмжсэн байх.
1.3. СУРГАЛТЫН ЦӨМ ХӨТӨЛБӨРИЙН ЗОРИЛГО, ЗОРИЛТ
1.3.1. Сургалтын цөм хөтөлбөрийн зорилго
•	 Сургалтын цөм хөтөлбөрийн зорилго нь хүүхэд бүрийг бие, сэтгэлээр эрүүл өсгөн бойжуулахад
багш, судлаач, эцэг эх хамтран ажиллахад дэмжлэг үзүүлж, хүүхэд бүр өөрийн онцлог, бүтээлч
үйлээрээ хөгжих боломж олгоход оршино.
1.3.2. Сургалтын цөм хөтөлбөрийн зорилт
i.	 Биеийн болон гар хурууны хөдөлгөөнөө зохицуулах, эрүүл амьдрах дадал хэвшил эзэмших,
болзошгүй осол гэмтлээс сэргийлэх чадварт суралцах;
ii.	 Өөртөө итгэлтэй, эерэг мэдрэмжтэй, идэвхтэй, оролдлого зүтгэлтэй, суралцах сонирхол
хүсэлтэй байх;
iii.	 Сэтгэлийн хөдөлгөөн, зан, үйл, бусадтай харилцах харилцаагаа удирдаж зохицуулах;
iv.	 Санаа бодол, мэдлэг төсөөллөө хэл яриа болон зурж дүрслэх, урлан бүтээх үйлээрээ
илэрхийлэх;
v.	 Тойрон хүрээлж буй байгаль, нийгмийн орчныг сонирхох, судлах, тэдгээрийн харилцан
хамаарлыг олох, ойлгох, орчинтойгоо зохистой харилцах;
vi.	 Тоо, хэмжээ, хэлбэр дүрс, орон зай, цаг хугацааны талаар ойлголт төсөөлөлтэй болох,
түүнийгээ амьдралдаа хэрэглэх;
vii.	 Хөгжим, дүрслэх урлагийг сонирхон таашаах, дуулах, хөгжмийн хэмнэлийг мэдэрч хөдөлгөөн
хийх.
1.3.3. Сургалтын цөм хөтөлбөрийн хэрэглээний зорилго
i.	 Цэцэрлэгийн удирдлага нь хөтөлбөрийг хэрэгжүүлэх үйл ажиллагааг удирдан зохион
байгуулах, сургалтын орчныг бүрдүүлэхэд дэмжлэг үзүүлэх, өөрийн үнэлгээ хийх;
ii.	 Багш хүүхдийг хөгжүүлэх үйл ажиллагааг зохион байгуулах, чиглүүлэх, үнэлэх, үр дүнг
тооцох;
iii.	 Боловсролын мэргэжлийн байгууллагын ажилтан хөтөлбөрийн хэрэгжилтэд хяналт, үнэлгээ
хийх, цэцэрлэгийн удирдлага, багш, боловсролын байгууллагын ажилтнуудад мэргэжил,
арга зүйн зөвлөгөө өгөх, дэмжлэг үзүүлэх;
iv.	 Эцэг эх хүүхдийнхээ хөгжил, төлөвшлийг дэмжих, үнэлэх, цэцэрлэг, багштай холбоо тогтоох,
хамтран ажиллах;
v.	 Олон нийт болон нийгмийн бүлгүүд нь боловсрол эзэмших үйл ажиллагааны явц, үр дүнг
хянах, тооцох, дэмжих.
1.4. СУРГАЛТЫН ЦӨМ ХӨТӨЛБӨРИЙГ ХЭРЭГЖҮҮЛЭХ АРГА ЗҮЙ
i.	 Сэтгэлийн ойр дотно холбоо. Бага насны хүүхэд дотны хүнтэйгээ бие, сэтгэлээр ойр
байж, хайр халамж, хамгаалагдсан байдлыг мэдэрсэн, тайван амгалан, чөлөөтэй байх
үедээ идэвхтэй суралцдаг.
ii.	 Багш-хүүхдийн хамтын үйл. Хүүхэд өмнө нь олж авсан мэдлэгтээ суурилан багш, аав,
ээж болон бусадтай хамт үйл хийж, идэвхтэй харилцах явцад өөрийг нь итгэлтэй хамтрагч
гэж хүлээн зөвшөөрч байгааг мэдэрсэн, тухайн зүйлийн учрыг олж, тулгарсан асуудлыг
шийдвэрлэх үедээ шинэ зүйлийг илүү хурдтай суралцдаг.
iii.	 Сонирхол, баяр баясгалан. Баяртай, сайхан мэдрэмж төрүүлсэн зүйл хүүхдийн
сэтгэл, оюун ухаанд хоногшин үлддэг. Хүүхэд аз жаргалтай, дуртай, баяр баясгалантай,
хөгжилтэйгөөр аливаа үйлд оролцоход бүхий л боломж, чадвараа дайчлан илүү бүтээлчээр
суралцдаг.
СУРГУУЛИЙНӨМНӨХБОЛОВСРОЛЫНСУРГАЛТЫНЦӨМХӨТӨЛБӨР
18 19
ХҮҮХЭДБҮХЭНДЭЭ“БИЧАДНА“ГЭСЭНИТГЭЛӨГЬЕ!
iv.	 Даган дуурайлт. Бага насны хүүхэд даган дуурайж суралцдаг бөгөөд үлгэрлэн дагуулж
буй зан үйлийн эерэг, сөрөг хандлага, үзэл бодлыг мэдэрч, илэрхийлэх, түүнд суралцах
чадвартай.
v.	 Мэдрэхүй, бүтээлч үйл. Хүүхэд бүхий л мэдрэхүйгээрээ мэдээлэл хүлээн авч,
эргэцүүлэн бодож, туршиж судлах явцдаа төвлөрч, сонголт хийх, бүтээлчээр ажиллах,
асуудал шийдвэрлэх арга замаа олдог.
vi.	 Давталт. Бага насны хүүхдийн хөгжилд аливаа үйлийн үр дүнгээс илүү тухайн үйлийг
гүйцэтгэж буй үйл явц нь ач тустай. Нэг үйлийг олон дахин давтан гүйцэтгэхэд чадвар нь
улам сайжирсаар байдаг.
vii.	 Алдаанаас суралцахуй. Алдаа гаргахыг хүлээн зөвшөөрч, буруу зөвийг тайлбарлан,
ухааруулж байх нь хүүхдэд алдаж, онох, түүнээсээ суралцах боломж олгодог.
1.5. СУРГАЛТЫН ЦӨМ ХӨТӨЛБӨРИЙГ ХЭРЭГЖҮҮЛЭХ ЗОХИОН БАЙГУУЛАЛТ
i.	 Хүүхдийг хөгжүүлэх үйл ажиллагааны зорилгыг сургалтын цөм хөтөлбөрт
заасан ерөнхий болон тусгай чадварууд, хүүхдийн хөгжлийн эрэлт хэрэгцээнд
тулгуурлан хичээлийн жилийн, сэдвийн, өдөр тутмын зорилго гэсэн эрэмбээр хооронд нь
уялдаатайгаар тодорхойлно.
ii.	 Үйл ажиллагааны агуулга, арга зүй нь нээлттэй, уян хатан, агуулга нь хүүхдийн нүдэнд
ил харагдахуйц, өөртэй нь холбоотой байна. Хүүхдийг хөгжүүлж, төлөвшүүлэх ажлыг
төлөвлөхдөө сургалтын чиглэл тус бүрт буй багшийн үүрэг оролцоо, хүүхдийн хийх үйлийн
жишгээс санаа авч болно.
iii.	 Сургалтын цөм хөтөлбөр нь багш, хүүхдийн харилцан хамаарал бүхий идэвхтэй, бүтээлч
үйлээс гадна эцэг эх, асран хамгаалагч болон нийгмийн бүлгүүдийн оролцоо, хамтын
ажиллагааны үр дүнд хэрэгжинэ.
iv.	 Сургалтын цөм хөтөлбөрийг цэцэрлэг тус бүр өөрийн сургалтын хөтөлбөрөөр хэрэгжүүлнэ.
Багш нар сургалтын хөтөлбөрөө хүүхэд бүрийг хэрхэн хөгжүүлж төлөвшүүлэх арга замаа
тодорхойлсон үзэл баримтлалдаа тулгуурлан боловсруулна.
v.	 Хүүхэд бүрийг хөгжүүлэх цаг нь тухайн цэцэрлэг, бүлгийн өдрийн дэглэмийн дагуу зохион
байгуулагдана. Хүүхэд бүрийн хөгжлийг үнэлэх нь тухайн хүүхдийн суралцахуйн үйлийг
дэмжсэн, шаардлагатай дэмжлэг, үйл ажиллагааг тодорхойлж, төлөвлөх суурь болно.
vi.	 Багш хүүхдийн хөгжин, төлөвших үйл ажиллагааг аль нэг сэдвийн дор зорилго, агуулга,
арга зүй, хэрэглэгдэхүүнийг сонгон, нэгдмэл байдлаар (интеграцчилан) төлөвлөж явуулна.
1.6. СУРГАЛТЫН ЦӨМ ХӨТӨЛБӨРИЙГ ХЭРЭГЖҮҮЛЭХ СУРГАЛТЫН ОРЧИН
i.	 Хүүхдийн орчин нь ая тухтай, эрүүл мэнд, хөдөлгөөн, тоглох үйлийг дэмжсэн, эерэг
харилцааг үүсгэх, эрэл хайгуул хийхэд өдөөсөн суралцахуйн хөгжлийг дэмжсэн байна.
ii.	 Хүүхдийн бие махбод, сэтгэл хөдлөл, зан чанар, харилцаа, сэтгэн бодох болон сурах арга
барилын хөгжилд нөлөөлөхийн зэрэгцээ харилцан хамааралтай, уян хатан байна.
iii.	 Сургалтын материаллаг орчин, үйлийн орчин, сэтгэл зүйн орчин нь дараах шаардлагыг
хангасан байна.
- Материаллаг орчин:
•	 Хүүхэд бүлгээр ажиллахад хүртээмжтэй;
•	 Сонирхлыг татахуйц;
•	 Хэрэглэхэд ойр, хялбар;
•	 Хүүхдийн тоглонгоо суралцах хэрэгцээг хангах.
- Үйлийн орчин:
•	 Сонголт хийх боломжтой;
•	 Бодит үйл явцад оролцох;
•	 Хөдөлгөөний хэрэгцээг хангах;
•	 Олон талын туршлага хуримтлуулахуйц;
•	 Үйлийн эзэн, идэвхтэй харилцагч байх;
•	 Хангалттай цаг хугацаа олгох.
- Сэтгэл зүйн орчин:
•	 Эелдэг, дотно харилцаа;
•	 Хүүхдэд таатай, хайр халамжийг мэдрүүлэхүйц;
•	 Хүүхдэд баяр баясгалан төрүүлэхүйц;
•	 Өөрийнхөө талаар эерэг мэдрэмж авахуйц;
•	 Өрөө, танхим хангалттай орон зайтай байх.
1.7. СУРГАЛТЫН ЦӨМ ХӨТӨЛБӨРИЙН ХЭРЭГЖИЛТИЙН ҮНЭЛГЭЭ
i.	 Хүүхдийн хөгжлийг ахицаар нь үнэлэх бөгөөд хүүхэд бүрийн үнэлгээ нь цогц, тэдний нийтлэг,
онцлог “дүр төрх”-ийг тодруулсан, бодитой байна. Үнэлгээ нь өдөр тутмын үйл ажиллагааны
явцад ажиглалтын аргаар хийгдэнэ. Хүүхдийг үнэлэхэд багштай туслах багш, цэцэрлэгийн
удирдлага хамтран ажиллана.
ii.	 Хүүхэд бүрийг үнэлэхдээ хүүхдийн бүх талын хөгжлийг хамарсан асуулт бүхий ажиглалтын
хуудсын дагуу явагдах нарийвчилсан бүтэцтэй ажиглалт, хүүхдийн хөгжил, зан
чанарын онцлог илрэлийг баримтжуулах чөлөөт ажиглалт, хүүхдийн суралцахуйд гарч
буй ахиц, амжилтыг харуулсан бүтээлийн цуглуулга, бусад материалаас бүрдсэн хувийн
хавтас хөтлөлтийг хослуулан хэрэглэнэ.
iii.	 “Нарийвчилсан бүтэцтэй ажиглалт”-ыг хичээлийн жилд 2 удаа, тухайлбал 9 дүгээр сараас
11 дүгээр сар хүртэл, дараа жилийн хавар 4 дүгээр сараас 6 дугаар сар хүртэл хугацаанд
явуулна. Ажиглалтын хуудас нь 3-6 хүртэл насны хүүхдийн дараах чадамж, онцлогийг
илрүүлэхэд чиглэсэн асуултууд байна.
•	 Хөдөлгөөн, эрүүл мэндийн чадамж
•	 Нийгэмшихүйн чадамж
•	 Хэл ярианы чадамж
•	 Орчноо таньж мэдэх, орчинтойгоо харилцах чадамж
•	 Математикийн чадамж
•	 Дүрслэх урлагийн чадамж
•	 Хөгжмийн чадамж
iv.	 Чадамж тус бүрээр боловсруулсан асуулт нь “Сургуулийн өмнөх боловсролын сургалтын
цөм хөтөлбөр”-т томьёолсон чадваруудад баримжаалах ба “Чөлөөт ажиглалт”, “Хувийн
хавтас”-ын мэдээлэлтэй харьцуулан дүгнэлт хийнэ.
v.	 Гурав хүртэлх насны хүүхдийн хөгжлийн ахицыг эзэмшсэн чадвараар нь жилдээ 2 удаа
үнэлнэ.
vi.	 “Чөлөөт ажиглалт”-аар багш хичээлийн жилийн туршид өдөр тутмын үйл ажиллагааны
явцад аль нэг хүүхдийн онцлог зан авир, ахиц амжилт илэрсэн тохиолдолд тэмдэглэл хийнэ.
vii.	 “Хувийн хавтас”-ыг хичээлийн жилийн туршид эцэг эх, хүүхэдтэй хамтран хөтөлнө. Энэ нь
хүүхдийн хамгийн сайн хийсэн, түүнд гарч буй ахиц өөрчлөлтийг харуулсан бүтээл, фото
зураг, ярилцлагын тэмдэглэл, бичлэг зэрэг олон зүйлийг агуулсан баялаг агуулгатай байна.
viii.	 Хүүхдийн хөгжлийн түвшин, онцлогийг үнэлснээр хүүхэд бүрд шаардлагатай дэмжлэг
туслалцаа үзүүлэх, багш өөрийн сургалтын арга зүйг боловсронгуй болгох, эцэг эх, асран
хамгаалагчид хүүхдийнх нь хөгжил, төлөвшлийн талаар бодит мэдээлэл өгөх нөхцөл
бүрдэнэ.
ix.	 Багш, эцэг эх хүүхэд бүрийн үнэлгээний мэдээллийн нууцлалыг хадгалах бөгөөд дараагийн
шатны боловсролын байгууллагад шилжин суралцахад суурь материал болгон ашиглана.
1.8. СУРГАЛТЫН ЦӨМ ХӨТӨЛБӨРИЙГ ХЭРЭГЖҮҮЛЭХЭД БАГШ, ЭЦЭГ ЭХ, АСРАН
ХАМГААЛАГЧИЙН ҮҮРЭГ, ОРОЛЦОО
1.8.1. Багш нь хүүхдэд хайртай, хүүхэд бүр харилцан адилгүй, давуу, сул талтай, өөрийн
гэсэн зан ааштай гэдгийг хүлээн зөвшөөрч, хүлээцтэй, хүндэтгэлтэй хандаж, дараах
үүргийг хэрэгжүүлнэ.
СУРГУУЛИЙНӨМНӨХБОЛОВСРОЛЫНСУРГАЛТЫНЦӨМХӨТӨЛБӨР
20
i.	 Хүүхэдтэй ойр дотно байж, тэдэнд хайр халамж, хамгаалалтыг мэдрүүлэх		
- Багш хүүхэд бүрийн хүсэл, санаа бодлыг анхааран сонсож, хийж буй үйлд нь ач холбогдол
өгнө. Тавьсан асуултад хариулт эрж олох, хийж буй үйлээ амжилттай гүйцэтгэхэд нь
тусална, зоригжуулна, өөрийн саналыг хэлнэ.
ii.	 Анги танхимаа тохижуулах							
	- Хүүхэд идэвхтэй үйл гүйцэтгэх, чөлөөтэй хөдлөх, бусадтай харилцах, анхаарлаа
төвлөрүүлэн ажиллах, амрах боломжийг бүрдүүлнэ. Тэдэнд тоглоом наадгай, сургалтын
хэрэглэгдэхүүн, багаж хэрэгсэл, техник хэрэгслийг чөлөөтэй авч ашиглах боломж олгоно.
iii.	 Тоглоом болон сургалтын бусад үйл ажиллагааг төлөвлөж зохион байгуулах
- Хүүхдийн тоглоомын явцад гаргасан сэдлийг дэмжинэ, тоглоомоо олон хувилбараар,
сонирхолтой зохион байгуулахад нь сэдэл өгч дэмжинэ. Шаардлагатай тохиолдолд
тоглоомын дүрмээ тохирч, хамтран зохицож тоглоход нь дэмжлэг үзүүлнэ. Цэцэрлэгийн
өдөр тутмын үйл ажиллагааг төлөвлөхдөө хүүхдийн хэрэгцээ, сонирхлыг харгалзан,
хүүхдийн оролцоог хангана. Цэцэрлэгийн гаднах орчинд хүүхэд суралцах, туршлага
хуримтлуулах үйл ажиллагааг зохион байгуулна.
iv.	 Хүүхдийг ажиглах, баримтжуулах 							
- Хүүхэд бүрийн хөгжлийг дэмжихийн тулд багш тухайн хүүхэд хэрхэн суралцаж, хөгжиж
буйг ажиглаж үнэлнэ. Хүүхдийн тавьж буй асуулт, сонирхол, тулгарч буй асуудал, сэдсэн
санааг анзаарч, урамшуулан дэмжинэ. Хүүхдийн зан харилцааны онцлог, хөгжлийн ахиц
илэрсэн тохиолдолд тэмдэглэнэ. Зураг, бүтээлээр нь баримтжуулна. Түүнчлэн тодорхой
зорилго, чиглэлтэй ажиглалт явуулна.
V.	 Эцэг эх, асран хамгаалагчтай хамтран ажиллах					
	 - Эцэг эх, асран хамгаалагчдад хүндэтгэлтэй, нээлттэй, ойр дотно эерэгээр харилцаж,
ойлгон, хүлээн зөвшөөрч, эрэлт хэрэгцээ, хүсэлд нь нийцсэн үйл ажиллагаа явуулж,
хүүхдийнх нь хөгжлийн талаар тогтмол ярилцан, санаа бодлыг нь хуваалцана.
1.8.2. Гэр бүл нь хүүхдэд бүхий л талаар, тасралтгүй, хамгийн хүчтэй нөлөөлдөг анхдагч
боловсролын орчин бөгөөд бага насны хүүхдийн хөгжилд гэр бүл шийдвэрлэх
үүрэгтэй.
i.	 Эцэг эх, асран хамгаалагчдын оролцоо 						
- Цэцэрлэгийн удирдлага, багш нар эцэг эх, асран хамгаалагчдад хүүхдийнхээ хөгжил
төлөвшлийг дэмжин ажиллахад дараах чиглэлээр зөвлөн тусалж хамтран ажиллана.
Хүүхэддээ олгох боломж
•	 Янз бүрийн орчин, нөхцөлд туршлага хуримтлуулах (Жишээ нь: Хөдөө явах, музей
үзэх);
•	 Үндэсний ёс заншил, гэр бүлийн үнэт зүйлс, өв уламжлалыг мэдэрч ойлгох, дагаж
биелүүлэх;
•	 Харилцааны соёл, хэм хэмжээ, ёс зүйг мэдэрч, дуурайх (Жишээ нь: Мэндлэх, талархах,
уучлалт хүсэх, болно-болохгүйг мэдэх, үнэнч, шударга байх);
•	 Эрүүл ахуйн хэвшил дадал эзэмших (Жишээ нь: Гар, шүдээ угаах, тогтсон цагт унтах);
•	 Чаддаг зүйлээ бие даан хийж дуусгах;
•	 Сонголт хийх, шийдвэр гаргах.
Хүүхэддээ нөлөөлөх үйл
•	 Хүүхдээ анхааралтай сонсож, ярилцах;
•	 Хүүхдийнхээ асуултад ач холбогдол өгч, хариулт өгөх, хамтран хариулт олох;
•	 Хүүхэддээ асуулт тавих, ярилцах;
•	 Хүүхэддээ үлгэр, өгүүллэг уншиж өгөх, ярилцах;
•	 Унтуулахдаа “Бүүвэйн дуу” аялах;
•	 Хүүхдэд өгсөн амлалтаа биелүүлэх;
•	 Хүүхдийнхээ зурсан зураг, бүтээлүүдийг үзэж сонирхох, саналаа хэлж, урам өгөх;
•	 Хүүхэд, багштай хамтран “Хувийн хавтас”-ыг нь баяжуулах;
•	 Хүүхэд бодол санаа, мэдрэмжээ зурах, урлаж бүтээх, тоглох үйлээр илэрхийлэхийг
урамшуулж дэмжих;
•	 Хүүхэд дуулах, шүлэг унших, бүжиглэх, жүжиглэхэд нь талархах, зоригжуулах;
•	 Үзэж харсан, оролцсон үйл явдлынх нь тухай хүүхэдтэйгээ ярилцах.
ХОЁРДУГААР БҮЛЭГ:
ЦӨМ ХӨТӨЛБӨРИЙН
ХҮРЭХ ҮР ДҮН, АГУУЛГА
СУРГУУЛИЙН ӨМНӨХ БОЛОВСРОЛЫН
СУРГАЛТЫН ЦӨМ ХӨТӨЛБӨР
22 23
СУРГУУЛИЙНӨМНӨХБОЛОВСРОЛЫНСУРГАЛТЫНЦӨМХӨТӨЛБӨР
ХҮҮХЭДБҮХЭНДЭЭ“БИЧАДНА“ГЭСЭНИТГЭЛӨГЬЕ!
ЦӨМ ХӨТӨЛБӨРИЙН ХҮРЭХ ҮР ДҮН, АГУУЛГА
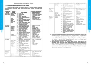
2.1. ХҮҮХДИЙН ЭЗЭМШИХ ЕРӨНХИЙ БА ТУСГАЙ ЧАДВАР
Сургалтын цөм хөтөлбөр дэх сургалтын агуулга нь хүүхдийн эзэмших чадвараар
тодорхойлогдоно. Сургуулийн өмнөх насанд хүүхэд дараах ерөнхий ба тусгай чадвар
эзэмшинэ.
Сургалтын
чиглэл
Ерөнхий
чадвар Тусгай чадвар
Агуулгын тогтолцооны
бүрэлдэхүүн хэсэг
Хөдөлгөөн,
эрүүл мэнд
Хөдөлгөөнөө
удирдан
зохицуулах
Эрүүл
амьдрах
дадал
хэвшилтэй
болох
Эерэг зан
чанартай,
бусадтай
зохистой
харилцах
Асуудал
шийдвэрлэх
Санаа бодол,
ойлголт
төсөөллөө
хэл яриа,
бүтээлч
үйлээр
илэрхийлэх
Орчноо
судлах, таньж
мэдэх,
 Алхах, гүйх
 Үсрэх, харайх
 Авирах
 Шидэх, барьж авах
 Биеийн хөдөлгөөнөө хянах,
зохицуулах
 Биеийн тэнцвэрийг хадгалах
 Гар хурууны хөдөлгөөнөө
зохицуулах
 Хувийн ариун цэврийг сахих
 Гэмтэхээс болгоомжлох,
өвчлөхөөс сэргийлэх
- Биеийн хөдөлгөөн
- Гар хурууны хөдөлгөөн
- Эрүүл ахуйн дадал
хэвшил
- Хөдөлгөөний шинж
чанар (хурд, хүч,
тэнцвэр, зохицуулалт)
Зан чанар,
харилцаа
 Өөрийгөө мэдрэх, ойлгох
 Орчны өөрчлөлтөд дасах
 Сэтгэлийн хөдөлгөөнөө
зохистой илэрхийлэх
 Бусдыг мэдэрч ойлгох
 Насанд хүрэгчдийг
хүндэтгэн харилцах
 Үеийн хүүхдүүдтэй харилцах
 Бусадтай хамтарч тоглох
 Хүмүүсийн хоорондох
ялгаатай байдлыг ойлгох,
хүндэтгэлтэй хандах
 Дүрэм, журмыг ойлгох,
мөрдөх
- Өөртэй итгэх итгэл,
идэвх
- Бусдад тавих
анхаарал, хайр
- Мэндлэл, хүндэтгэл
- Сониуч зан, шинийг
олж мэдэх эрмэлзэл
- Оролдлого, зүтгэл
- Хариуцлага
- Харилцааны хэм
хэмжээ, эв дүй,
(Дүрэм, журам гэр
бүлийн ѐс заншил)
Хэл яриа  Хүний яриа, байгаль, орчны
дуу чимээг ялгаж сонсох
 Үгийг зөв сонсох, ойлгох,
хэрэглэх
 Өгүүлбэрийг зөв сонсох,
ойлгох, хэлэх
 Санаа бодлоо илэрхийлэн
ярих
 Уншиж, ярьж өгсөн эхийн
утгыг ойлгох, агуулгыг ярих
 Зураг, тэмдэг
тэмдэглэгээний утгыг хэлэх
- Авиа, үг, өгүүлбэр, эх
- Сонсох
- Ойлгох
- Ярих
- Зураг, тэмдэг
тэмдэглэгээ
Байгаль,
нийгмийн
орчин
 Орчны юмсыг сонирхох,
ажиглах, судлах
 Ургамал, амьтныг ажиглаж
судлах, тэдгээртэй зохистой
харьцах
 Улирал, цаг уурын
- Юмс, хэрэглээний эд
зүйлс
- Орчны ургамал,
амьтан
- Улирлын өөрчлөлт
- Ойр орчны хүмүүс
орчинтой
зохистой
харьцах
Урлагийг
таашаах,
урлал, уран
сайхны үйлд
дуртай
оролцох
өөрчлөлтийг сонирхох,
таньж мэдэх
 Ойр орчныхоо хүмүүсийн
амьдрал, онцлогийг таньж
мэдэх
- Гэр бүл, цэцэрлэгийн
амьдрал
Математи-
кийн
энгийн
төсөөлөл
 Тоолох, тоо бодох
 Хэмжих
 Ангилах, оноох,
дараалуулах, давтамж
үүсгэх
 Орон зайг баримжаалах
 Цаг хугацаа заасан үг
хэрэглэх
- Тоо, цифр
- Хэмжээ, хэлбэр дүрс,
өнгө
- Байрлал
- Цаг хугацаа
- Зүй тогтол
- Хэмжилт
Хөгжим,
дүрслэх
урлаг
 Хөгжмийн аялгууг ялгаж
сонсох, мэдрэмжээ
илэрхийлэх
 Ганцаараа болон бусадтай
дуулах
 Хөгжмийн хэмнэлийг
илэрхийлэх
 Хөгжмийн аялгуу, хэмнэлд
тохируулан хөдөлгөөн хийх
 Ойлголт төсөөлөл, бодол
санаагаа зурж дүрслэх
 Шавраар эд зүйлс, хүн,
амьтан дүрслэх
 Ойлголт төсөөлөл, бодол
санаагаа наамлаар дүрслэх
 Барьж байгуулах, зохион
бүтээх
- Дуу
- Хөгжим
- Аялгуу, хэмнэл
- Хөгжимт хөдөлгөөн
- Зураг
- Баримал, шавар
- Наамал
- Зохион бүтээх
- Өрж байгуулах, угсрах
 Сургалтын чиглэл бүрээр заасан тусгай чадварыг хүүхэд эзэмшсэнээр сургалтын цөм
хөтөлбөрийн зорилго, зорилт хэрэгжих, тэдэнд ерөнхий чадварууд сууж бий болох
нөхцөл бүрдэнэ. Хүүхдийн эзэмших тусгай чадвар тус бүр хөнгөнөөс хүндэрсэн гурван
түвшинтэй байна. Тусгай чадваруудын “I” түвшин 3 хүртэлх нас, “II” түвшин 3-4 нас,
“III” түвшнийг 6 хүртэлх настай хүүхдэд баримжаалж болно. Гэвч хүүхэд бүрийн
хөгжил адилгүй гэдгийг онцгой анхаарч ажиллана.
 Багш хүүхдүүдийн дийлэнх нь аль түвшинд байгааг тогтоож, тэдэнд чиглэсэн үйл
ажиллагааг зохион байгуулна. Тухайн түвшинд хүрээгүй буюу түрүүлж яваа хүүхдэд
дасгал даалгаврын хувилбарыг бэлтгэн ашиглана. Багш өдөр тутмын үйл ажиллагааг
төлөвлөх, зохион байгуулахдаа сургалтын чиглэл бүрээр тодорхойлсон “Багшийн
үүрэг, оролцоо”, тусгай чадвар бүрийг эзэмшихтэй холбогдох “Хүүхдийн жишиг үйл”-
ээс санаа авч, баяжуулан, бүтээлчээр ажиллана.
24 25
СУРГУУЛИЙНӨМНӨХБОЛОВСРОЛЫНСУРГАЛТЫНЦӨМХӨТӨЛБӨР
ХҮҮХЭДБҮХЭНДЭЭ“БИЧАДНА“ГЭСЭНИТГЭЛӨГЬЕ!
2.2. ХҮҮХДИЙН СУРАЛЦАХУЙН ЧИГЛЭЛҮҮД
 Хүүхдийн суралцахуйн чиглэлүүд нь хүүхдийн бие бялдар, оюун ухаан, сэтгэл хөдлөл,
нийгэмшихүйн хөгжлийг бүхэлд нь хамарна.
2.2.1. ХӨДӨЛГӨӨН, ЭРҮҮЛ МЭНД
Яагаад хэрэгтэй вэ?
 Хүүхдийн бие эрүүл, чийрэг байх нь тэднийг идэвхтэй, эрч хүчтэй, тэсвэр хатуужилтай
болгохоос гадна суралцах, хөгжих нөхцөлийг бүрдүүлнэ.
 Хөдөлгөөн нь хүүхдийн тархины үйл ажиллагааг идэвхижүүлдэг. Хүүхэд хөдөлгөөний
чадвар эзэмшсэнээр гэнэтийн зүйлд хариу үйлдэл үзүүлэх чадамжтай болно.
 Хүүхдийн бага насандаа эзэмшсэн эрүүл амьдрах дадал хэвшил нь тэдний насан
туршид нь хадгалагдан эрүүл мэндэд сайнаар нөлөөлж, ач тусаа өгнө.
 Хүүхэд өөртөө итгэлтэй, өөдрөг сэтгэлтэй, баяр баясгалантай, дарамтгүй, тайван
байх сэтгэл санааны эрүүл мэнд нь хүүхдийн хөгжил, төлөвшлийн хамгийн чухал
суурь болдог.
Ямар үр дүнд хүрэх вэ?
 Биеийн болон гар, хурууны хөдөлгөөний чадвар, дадал эзэмшинэ.
 Хөдөлгөөний зохицуулалт, хурд, хүч, тэнцвэр нь сайжирна.
 Эрүүл амьдрах дадал хэвшилтэй болно.
 Гэмтэл бэртлээс болгоомжилно, өвчлөлтөөс сэргийлнэ.
Чадвар I түвшин II түвшин III түвшин
1. Алхах,
гүйх
Хөлд орно,
явж байгаад
унахгүйгээр
зогсоно.
Орон зайг
баримжаалан алхах,
гүйх хөдөлгөөнийг
хослуулан гүйцэтгэнэ.
Алхалт, гүйлтийг янз бүрээр (өлмий
дээр алхах, ухарч алхах, хөлийг
хойш хаяж гүйх, хөлийг солбиж гүйх
гэх мэт) гүйцэтгэнэ.
Хүүхдийн жишиг үйл
 Тойргоор, цуваагаар алхана, гүйнэ.
 Янз бүрээр алхах, гүйх тоглоом санаачилна, тоглоно. (Жишээ нь: Хэн
олон янзаар алхах вэ?)
 Хөгжмийн аянд хөдөлгөөнийхөө хурдыг тохируулан алхана, гүйнэ.
 Өгсөн дохионы дагуу чиглэл, хурдаа өөрчлөн гүйнэ.
 Саадыг тойрч гүйж уралдана.
 Хол зай (100 метр хүртэл)-д гүйнэ.
2. Үсрэх,
харайх
I түвшин II түвшин III түвшин
Хоѐр хөл дээрээ
байрандаа болон
урагш үсэрнэ.
Хоѐр хөл дээрээ
тодорхой (2 метр
орчим) зайд үсэрнэ.
2 хөлөө нийлүүлэн олсны хоѐр
талд гарч үсэрнэ. (2 метр орчим
зайд)
Хүүхдийн жишиг үйл
 Хөгжмийн хэмнэлд тохируулан үсэрнэ.
 Багштайгаа үсэрч тоглоно. (Жишээ нь: Багшийн гараас нь барин дээш
үсрэх, гараа аажмаар дээшлүүлж өргөхөд хүрэх тэмүүлэлтэй үсрэх)
 Төрөл бүрийн хөдөлгөөнт тоглоомоор тоглоно. (Жишээ нь: “Хэн өндөрт
үсрэх вэ?”, ”Үсрээд аваарай”, “Намаг дундуур уналгүй харайя”, “Бөмбөлөгт
хүр”)
 Гадаа талбайд үсэрч тоглоно. (Жишээ нь: Тоо, дүрсний дагуу нэг, хоѐр хөл
дээрээ, урагшаа, хойшоо, солбиж үсрэх)
 Хоѐр хөл дээрээ, байрандаа, урагш, хөлөө салгаж, нийлүүлж үсрэх, нэг хөл
дээрээ үсрэх тоглоом тоглоно.
 Дээс, олсонд үсэрч тоглоно. (Жишээ нь: Усны давалгаа, могой болгоход
дээгүүр нь хүрэлгүй харайх)
 Үсрэлт, харайлт орсон буухиа болон хөдөлгөөнт тоглоомд оролцоно.
3.Авирах I түвшин II түвшин III түвшин
Шатаар
өгсөнө,
уруудна.
Өндөрлөг зүйл (авирах
хана, гулсуур гэх мэт)
дээр авирч гарна, давж
бууна.
Савлуураас хоѐр гараараа барин
тоглоно. Доош унжсан олсноос
барьж авирна.
Хүүхдийн жишиг үйл
 Сандал, буйдан, намхан шат өөд авирч гарч, бууж тоглоно.
 Хананд тогтоосон шатанд дээш авирч, бууна.
 Налуу хана руу авирна.
 Нуман шатаар авирч, давж бууна.
 Гулсуур, шон, мод, олсон шат руу авирна.
 Савлуураас хоѐр гараараа барина, дүүжигнэн тоглоно.
 Доош унжсан олсноос барьж авирна.
4.Шидэх,
барьж
авах
I түвшин II түвшин III түвшин
Бөмбөгийг
урагш шиднэ.
Шидсэн том
бөмбөгийг
барьж авна.
Бөмбөгийг дээш шидэж,
барьж авна.
Бөмбөгийг бай руу чиглүүлэн
шидэж ононо.
Хүүхдийн жишиг үйл
 Бөмбөг шидэж, барьж авч тоглоно. (Жишээ нь: Бусдад шидэж, ойлгож,
өнхрүүлж дамжуулах, дээш нь шидэх, барьж авах)
 Өнгө өнгийн бөмбөгийг тохирох сагс руу шиднэ.
 Бөмбөгийг хананд ойлгон барьж авахдаа янз бүрийн хөдөлгөөн хийнэ.
(Жишээ нь: Алгаа таших, эргэх, өвдгөндөө гараа хүргэх)
 Жижиг зүйлс (бөмбөг, алчуур, ууттай элс гэх мэт)-ийг дээшээ шидэж,
унагалгүйгээр барьж авна.
 Олон янзын хувилбараар бөмбөгөөр байг ононо. (Жишээ нь: Ойроос,
холоос, гүйлтээс, нэг гараар, хоѐр гараар)
 Шидэлтийн олон хувилбарыг ашиглана. (Жишээ нь: Бөмбөгийг газар
ойлгон бусдад дамжуулах, бөмбөгийг цохиураар онож тор давуулах)
 Юмсыг өнхрүүлж уралдана. (Жишээ нь: Цагаригийг өнхрүүлж туг тойрох,
машины дугуйг өнхрүүлж уралдах)
 “Хөл бөмбөг” тоглоно.
5.Биеийн
хөдөлгөө-
нөө
хянах,
зохицуу-
лах
I түвшин II түвшин III түвшин
Насанд
хүрэгчдийн
хөдөлгөөнийг
даган хийнэ.
Дасгал хөдөлгөөнийг
дэс дарааллын дагуу
хийнэ.
Хөдөлгөөнийг орон зайд зохицуулан
бусадтай хамтран гүйцэтгэнэ.
Хүүхдийн жишиг үйл
 Багшийн хийж буй дасгал, хөдөлгөөнийг дагаж хийнэ.
 Багшийн үгэн зааварчилгааг анхааралтай сонсож дагана. (Жишээ нь: Орох,
гарахдаа жагсах)
 Өөрийн сонгосон хөдөлгөөн бүхий үйлийг бие дааж гүйцэтгэнэ.
 Тоглоомыг дүрмийн дагуу тоглоно.
 Тоглоомын явцад өгсөн дохионы дагуу хөдөлгөөнөө эхэлж, дуусгана.
 Хөгжмийн хэмнэлд янз бүрийн хөдөлгөөнийг хослуулан гүйцэтгэнэ.
26 27
СУРГУУЛИЙНӨМНӨХБОЛОВСРОЛЫНСУРГАЛТЫНЦӨМХӨТӨЛБӨР
ХҮҮХЭДБҮХЭНДЭЭ“БИЧАДНА“ГЭСЭНИТГЭЛӨГЬЕ!
 Бусдыг даган дуурайж, хамт тоглоно, найздаа тусална. (Жишээ нь: Даавуун
дээр тавьсан зүйлийг хамтдаа унагалгүйгээр зөөх)
 Дасгал хөдөлгөөн зохионо, бусадтай хамтдаа хийнэ.
 Багийн тоглоом, уралдаанд оролцоно.
 Бусадтай хамтран тоглоом хэрэгслийг зөөж байрлуулна, хураана.
6.Биеийн
тэнцвэр
ийг
хадгалах
I түвшин II түвшин III түвшин
Өргөн замаар
биеийн тэнцвэрийг
хадгалан алхана.
Нарийн замаар биеийн
тэнцвэрийг хадгалан
алхана.
Янз бүрийн хөдөлгөөн (үсрэх,
харайх, шидэх) гүйцэтгэхдээ
биеийн тэнцвэрээ хадгална.
Хүүхдийн жишиг үйл
 Өндөрлөг зүйл дээр гарч зогсоно. (Жишээ нь: Сандал, авиралтын шат)
 Нэг буюу хоѐр гартаа тоглоом барьж эсвэл толгой дээрээ ууттай элс
тавиад нарийн замаар алхана.
 Юмсыг дамжин явна. (Жишээ нь: Том чулуунууд, өрдөг том тоглоом,
модны тайрдас, дугуй, олс дээс)
 Савтай ус зөөнө. (Жишээ нь: Будгийн ус солих, саваар ус зөөж элс норгох,
цэцэг услах)
 Нэг хөл дээрээ догонцон тоглоно. (Жишээ нь: Дүрсүүд рүү үсрэх)
 Төрөл бүрийн эд юмс, тоглоом, хэрэглэгдэхүүн ашиглан биеийн
тэнцвэрийг хадгалах дасгал хөдөлгөөн гүйцэтгэнэ. (Жишээ нь: Хөшөө
болох, вандан сандлыг гүүр болгон дээгүүр нь алхах)
7.Гар
хурууны
хөдөлгөө
нөө
зохицуу
лах
I түвшин II түвшин III түвшин
Жижиг тоглоом,
эд зүйлсийг
алдахгүй
барина.
Гар хуруугаараа энгийн үйл
(хаалга цоожлох, шүр хэлхэх,
таглааг эргэдэж таглах, цэцэг
услах, товч товчлох, бүсээ
бүслэх гэх мэт) гүйцэтгэнэ.
Гар хуруугаараа нарийн,
хүндэвтэр үйл (хайчлах,
эвхэх, гутлаа үдэх, шагай
няслах, үсээ сүлжих, уяж
зангидах гэх мэт) гүйцэтгэнэ.
Хүүхдийн жишиг үйл
 Төрөл бүрийн үйл хийнэ. (Жишээ нь: Зангууг татах, тайлах, номын хуудас
эргүүлэх, таглааг татаж, эргэдэж онгойлгох, элсэн дээр зурах, нойтон
цаасаар бөмбөг хийх)
 Шагайгаар тоглоно. (Жишээ нь: Шагай няслах, шүүрэх)
 Гарын хүч, хурууны эвсэл шаардсан тоглоом тоглоно. (Жишээ нь: Савх
моднууд өрөх, гартаа уяа эргүүлэх)
 Шингэн, бутармаг зүйлсийг савлана, юүлнэ, зөөнө. (Жишээ нь: Савтай ус
юүлэх, нэг аяганаас нөгөөд ус, будаа, гоймон, үр тариа зэргийг хийх)
 Өөртөө үйлчлэх “хөдөлмөр”-ийн үйл хийнэ. (Жишээ нь: Хувцсаа товчилж
тайлах, бүсээ бүслэх, гараа угаах, үсээ самнах)
8.Хувийн
ариун
цэврийг
сахих
I түвшин II түвшин III түвшин
Насанд хүрэгчдийн
дэмжлэгтэйгээр
амаа зайлж, хамраа
цэвэрлэж, нүүр,
гараа угаана.
Бусдын
сануулгатайгаар
гараа дарааллын
дагуу угаана.
Хоолойгоо зайлна.
Бие даан гараа дарааллын
дагуу угаана.
Шүдээ насанд хүрэгчдийн
дэмжлэгтэйгээр угаана. Бие
зассаны дараа ариун цэврийн
цаас хэрэглэнэ.
Хүүхдийн жишиг үйл
 Тоглоом, үйл ажиллагааны явцад гарсан хог хаягдлыг зориулалтын
саванд хийнэ.
 Хоол, ундаа асгасан даруйд арчиж цэвэрлэнэ.
 Өөрийн алчуур, сам, сойзыг ашиглана.
 Бусадтай гутал, оймс, алчуур зэрэг зүйлсээ солихгүй байна.
 Идэж буй чихэр, бохио бусдад дамжуулахгүй байна.
 Жүжигчилсэн тоглолт хийнэ. (Жишээ нь: Хог хаяж байгаа хүн)
 Тоглоом болон сургалтын хэрэглэгдэхүүнийг цэвэрлэх үйлд оролцоно.
 Ариун цэврийн цаасыг бусдын туслалцаатай, яваандаа бие даан
хэрэглэнэ.
9.Гэмтэ-
хээс бол-
гоомжлох
, өвчлө-
хөөс
сэргийлэх
I түвшин II түвшин III түвшин
Насанд хүрэгчдийн
болгоомжлуулсан
зарим үйлдэл
(бохирдсон хүнсийг
идэхгүй байх гэх мэт)-
ийг хийхгүй байна.
Өөрийн эрүүл мэндэд
санаа тавих үйлдэл
(түүхий ус уухгүй байх,
ханиадны эсрэг массаж
хийх)-үүд хийнэ.
Гэмтэж болзошгүй
үйлдэл (малын хөлөөс
хол байх, машинаас
болгоомжлох гэх мэт)-
үүдээс зайлсхийнэ.
Хүүхдийн жишиг үйл
 Нийтээрээ хэлэлцэн бүлгийн болон сургалтын төвүүдийн дүрэм зохионо.
(Жишээ нь: Дүрслэх урлагийн төвд “Харандааны үзүүрийг доош нь харуулж
бие биедээ өгнө”, “Хайчны амыг хамхиж тавина”)
 Болгоомжлох зүйлсийн талаар ярилцана, дасгал сургуулилалт хийнэ.
(Жишээ нь: Тоглох үедээ нөхдөө түлхэхгүй, цахилгааны залгуурт хүрэхгүй,
машин зам дээр тоглохгүй байх)
 Аюулын дохио юунд хэрэгтэй болох, хүмүүс энэ үед ямар арга хэмжээ
авдаг тухай төсөлт ажил, үзүүлэх сургуульд оролцоно.
 Гал гарах, газар хөдлөх, үер болох, төөрөх үед хэрхэн өөрийгөө хамгаалах
талаар дасгал сургууль хийнэ. (Жишээ нь: Толгой дээрээ ном, хатуу зүйл
барих, ширээн доогуур орох, тусламж дуудах, цэцэрлэгийн ослын
гарцуудтай танилцах)
 Цэцэрлэг, гэр орон, орчиндоо хэрхэн аюулгүй байх тухай санаануудын
жагсаалт хамтран гаргана, ярилцана. (Жишээ нь: Булан тойрох, аяга, таваг
барьсан үедээ гүйхгүй байх, шатаар бие биеэ түлхэхгүй байх)
 Хүүхдийн өдөр тутмын идэж хэрэглэх шаардлагатай хоол хүнсний талаар
зурагт ном хийнэ. (Жишээ нь: Сүү, сүүн бүтээгдэхүүн, үр тариа, хүнсний
ногоо)
 Хооллоход анхаарах зөв хэвшлийн талаар ярилцана, дасгал сургуулилалт
хийнэ. (Жишээ нь: Бага багаар халбагадаж идэх, хоолоо тайван, олон удаа
зажилж идэх)
 Шаардлагатай утасны дугааруудыг асуухад хэлнэ. (Жишээ нь: Гэр
бүлийнхний утасны дугаар, 101, 102, 103, 108)
 Замын хөдөлгөөнд явганаар болон тээврийн хэрэгслээр оролцох үед
насанд хүрэгчдийн зааварчилгааг биелүүлнэ. (Жишээ нь: Гарцаар гарах,
цонхоор толгойгоо гаргахгүй байх, арын суудалд суух, бүс бүслэх, хүүхдийн
зориулалтын суудал хэрэглэх)
28 29
СУРГУУЛИЙНӨМНӨХБОЛОВСРОЛЫНСУРГАЛТЫНЦӨМХӨТӨЛБӨР
ХҮҮХЭДБҮХЭНДЭЭ“БИЧАДНА“ГЭСЭНИТГЭЛӨГЬЕ!
Багшийн үүрэг, оролцоо
 Хөдөлгөөн, эрүүл амьдрах дадал хэвшил эзэмшихэд шаардагдах орчин,
хэрэглэгдэхүүнийг бэлтгэнэ.
 Хөдөлгөөн гүйцэтгэх орон зай, мөн амрах тайвшрах орчин бүрдүүлнэ.
 Хүүхдийн сэтгэл санааны байдал, дуртай, дургүй зүйлийг анзаарч мэднэ,
ганцаарчилсан дэмжлэг туслалцаа үзүүлнэ.
 Хүүхэд бүрт хэрэгцээтэй ариун цэврийн хэрэгслийг бэлэн байлгана.
 Хүүхдэд тоглоом болон хэрэглэлийг бие даан сонгох, үндсэн хөдөлгөөнүүдийг
гүйцэтгэхэд дэмжлэг үзүүлнэ, зоригжуулна.
 Сонирхолтой дасгал, тоглоом зохионо, зохион байгуулна.
 Дасгал, хөдөлгөөн гүйцэтгэх техникийг үлгэрлэн үзүүлнэ, хүүхэдтэй хамтран хийнэ.
 Хүүхдэд дасгал, хөдөлгөөнийг давтан хийх явцдаа гүйцэтгэлээ сайжруулах боломж
олгоно.
 Тоглоомын дүрмийг баримтлахад дэмжлэг үзүүлнэ, дүгнэж ярилцана.
 Хооллолтыг ая тохитой, тайван зохион байгуулна. Хүүхдэд эрүүл хооллолтын талаар
ойлголт өгнө.
 Хөдөлгөөнт тоглоомын зарим хэрэглэгдэхүүнийг хүүхэдтэй хамтран бэлтгэнэ.
 Хэрэглэсэн зүйлээ цэвэрлэх, хураахад шаардагдах хэрэглэгдэхүүнийг бэлтгэнэ.
 Гарын хөдөлгөөнийг дэмжсэн тоглоом зохион байгуулна. (Жишээ нь: Элс, усаар тоглох,
гар хуруугаар тоглох үгэн наадам)
 Өдрийн дэглэм, хувийн ариун цэврийг сахихтай холбоотой хэрэглэгдэхүүн (зурагт
хуудас, бичлэг гэх мэт) бэлтгэж ашиглана.
 Хогийн сав, алчуур, тосгуур, амны цаас (сальфетка) зэргийг хүүхэд төвөггүй авч
ашиглах боломжтой байрлуулна.
 Мэргэжлийн хүмүүстэй уулзалт, ярилцлага зохион байгуулна. (Жишээ нь: Шүдний эмч,
хоол зүйч, нүдний эмч)
 Цэцэрлэг дээр хүүхдэд эзэмшүүлж буй эрүүл ахуйн дадал хэвшлүүдийг гэрт нь бататган
мөрдүүлж байх талаар эцэг эх, асран хамгаалагчид зөвлөнө, хамтран ажиллана.
 Орчны аюулгүй байдлыг хангана.
Ямар хэрэглэгдэхүүнээр дэмжих вэ?
 Шат, гулсуур, сагсны шийд, вандан, саадтай зам, нуман шат, налуу хавтан зэрэг
ангийн болон гадаа талбайн хэрэгсэл
 Олс, цагираг, тууз, төрөл бүрийн бөмбөг, дарцаг, саваа мод гэх мэт хөдөлгөөнт
тоглоомын хэрэглэгдэхүүн
 Биеийн болон гар хурууны хөдөлгөөн шаардсан уламжлалт тоглоомууд
 Том өрж байгуулах тоглоом, унаж явдаг тоглоомон машин
 Хэлхэх шүр, шагай, сүвлэх, сүлжих хэрэглэл
 Хувийн ариун цэврийн хэрэгсэл
2.2.2. ЗАН ЧАНАР, ХАРИЛЦАА
Яагаад хэрэгтэй вэ?
“Хүн болох” үндэс суурь бага насанд тавигддаг. Хүүхэд бүр хүмүүний зан чанар,
харилцааны үнэт зүйлсийг багаасаа эзэмшиж, төлөвших нь тэдний насан туршийн ажил,
амьдралд шийдвэрлэх үүрэгтэй. Хүний хөгжил, төлөвшлийн судалгаагаар зан чанар,
харилцааны чадамж (EQ) нь оюуны чадамж (QI)-ийн суурь шийдэл буюу хүний амжилтын
үндэс болохыг нотолж байна. Энэ нь манай ард түмэн хүмүүний “Зүрх сэтгэлийн хөгжил”-ийг
чухалчлан “Санаа зөв бол, заяа зөв”, “Дотоод сэтгэл зөв бол, гадаад үйл зөв” хэмээх сургаал,
ѐсыг эрхэмлэн хэрэгжүүлж ирсэн уламжлалтай зарчим нэг юм. Зүрх сэтгэлийн хөгжилд эцэг
эх, ах дүү, бие биеэ хайрлах, хүндлэх, асрах дэмжих, хүмүүстэй нээлттэй дотно, хүнлэг
харилцахыг багтаасан хайр нигүүсэл энэрэлийн уламжлалт ѐс заншил, сэтгэлийн ариусал
(сайхан сэтгэл, бусдыг уучлах), байгаль дэлхийгээ хайрлах, зөв харьцах, зохицон амьдрах,
амьтдыг хайрлан хамгаалах, бэлгэшээн амьдрах уламжлалт зан заншил чухал байр эзэлдэг.
Иймд хүүхэд бүрт бусдад анхаарал тавих, холбоо харилцаа тогтоох, мэдээлэл
солилцох, өөртөө итгэх, өөрийнхөө онцлог, давуу талыг мэдрэх, оролдлого, зүтгэлтэй байх,
хийж буй үйлдээ хариуцлага хүлээх, тууштай хандах боломж, орчин нөхцөлийг бүрдүүлэх нь
чухал юм.
Ямар үр дүнд хүрэх вэ?
 Хүүхэд өөрийгөө мэдэрч, өөрийнхөө талаар эерэг сэтгэгдэлтэй, өөртөө
итгэлтэй, өрөвч нинжин сэтгэлтэй болно.
 Өөрийн хүсэл, бодол санаагаа чөлөөтэй илэрхийлдэг болно, бие даасан
байдал, санаачилга, тэсвэр, зүтгэл чармайлтаа харилцаа, үйлээрээ бусдад
харуулна.
 Өөрийн сэтгэлийн хөдөлгөөнөө мэдэрч, зохистойгоор илэрхийлнэ, хийж буй
үйлийнхээ үр дагаврыг мэднэ.
 Бусдыг ойлгох, бусадтай харилцах чадвар, хэм хэмжээнд суралцана.
 Сурч мэдэх хүсэл эрмэлзэлтэй, шинийг эрэлхийлдэг, сониуч байна, тулгарсан
асуудлыг бие даан өөрийн хэр хэмжээнд шийдвэрлэнэ.
Чадвар I түвшин II түвшин III түвшин
1.Өөрийгөө
мэдрэх,
ойлгох
Өөрийнхөө бие,
сэтгэлийн тааламжтай
ба тааламжгүй байдлыг
мэдэрнэ, илэрхийлнэ.
Өөрийн дуртай, дургүй,
сонирхсон зүйлээ
илэрхийлнэ.
Өөрийнхөө санаа
бодлыг илэрхийлнэ,
хамгаална.
Хүүхдийн жишиг үйл
 Дуртай, дургүй зүйлээ илэрхийлж хэлнэ. (Жишээ нь:Тоглоом, хувцас)
 Өлсөх, цангахаа мэдэрнэ, илэрхийлж хэлнэ.
 Өөрийн чаддаг зүйл, сонирхсон зүйлээ сонгож хийнэ.
 Өөрийн хүсэл, сонирхлоо хэлнэ.
 Санаа бодлоо үгээр болон бүтээлээрээ илэрхийлнэ.
 Багштайгаа хамтран болон бие даан тоглоно.
 Гараараа төрөл бүрийн эд зүйл барьж мэдэрч дасгал, тоглоом тоглоно.
 Өөрийн хүчинд тохирсон ажил үйл гүйцэтгэнэ.
I түвшин II түвшин III түвшин
30 31
СУРГУУЛИЙНӨМНӨХБОЛОВСРОЛЫНСУРГАЛТЫНЦӨМХӨТӨЛБӨР
ХҮҮХЭДБҮХЭНДЭЭ“БИЧАДНА“ГЭСЭНИТГЭЛӨГЬЕ!
2. Орчны
өөрчлөлтөд
дасах
Цэцэрлэгтээ
ирэхдээ
гэрийнхнийгээ
дагаж уйлахгүй
үлддэг болно.
Цэцэрлэгийн амьдралд
дасна, үйл ажиллагаанд
оролцоно.
Янз бүрийн орчин (өөр
анги, танхимд, шинэ
хүүхдүүд)-д үйл
ажиллагаанд идэвхтэй
оролцоно.
Хүүхдийн жишиг үйл
 Бүлэгт байгаа тоглоом, эд зүйлсээр ганцаараа болон найзтайгаа
тоглоно.
 Өөрийн сандал,шүүгээгээ мэдэж ашиглана, андуурсан найздаа тусална.
 Өдрийн дэглэмийн дагуу явагддаг үйл ажиллагааг мэднэ, нэрлэнэ,
оролцоно.
 Цэцэрлэгийн бусад өрөө, анги танхимд зочилно, санаа бодлоо бусадтай
хуваалцана.
 Найзтайгаа мэндэлнэ, өөрийгөө танилцуулна, гэр бүлийнхээ тухай
ярина.
 Дуртай газраа сонгож тоглоно. (Жишээ нь: Ангид буй байшин дотор
орох, зөөлөн буйдан дээр хэвтэх, майхан барьж тусгаарлан тоглох)
 Багшдаа хүсэлтээ хэлж, асуулт асууж, хамт тоглож дотносно.
 Цэцэрлэгт таалагдаж байгаа, таалагдахгүй байгаа зүйлийнхээ талаар
саналаа хэлнэ.
 Үйл ажиллагаанууд (Тоглоом тоглох, дуу дуулах, шүлэг унших, сонсох,
урлан бүтээх гэх мэт)-д өөрийн санаачилгаар оролцоно.
 Өөр ангийн багш, хүүхдүүдтэйгээ чөлөөтэй харилцаж ярилцана.
3.Сэтгэлийн
хөдөлгөөнөө
зохистой
илэрхийлэх
I түвшин II түвшин III түвшин
Өөрийн сэтгэлийн
хөдөлгөөнийг
мэдэрнэ,
тохиолдсон зүйлээ
ярина.
Сэтгэлийн хөдөлгөөнийг
илэрхийлсэн үг,
хэллэгийг хэрэглэнэ,
учир шалтгааныг нь
тайлбарлана.
Уур, цухлаа зохистойгоор
(бусдыг гомдоохгүй,
түрэмгийлэхгүй)
илэрхийлж, өөрийгөө
тайвшруулна.
Хүүхдийн жишиг үйл
 Бусадтай тоглох, харилцахдаа зан авираа хянаж зохицоно.(Жишээ нь:
Хамт тоглох, сонирхсон зүйлээ хамт хийхийг хүсэх, ээлжлэн тоглох)
 Хуруун хүүхэлдэй, ширээний театр, жүжигчилсэн тоглолт, сэдэвт үйлийн
тоглоомоор тоглох явцдаа өөрийн сэтгэлийн хөдөлгөөнийг дуу хоолой,
нүүр царайны хувирал, дохио зангаагаар илэрхийлнэ.
 Сэтгэлийн хөдөлгөөнөө үг яриа, харц, дохио зангаагаараа илэрхийлнэ.
 Уурлаж, бухимдсан үедээ өөрийгөө тайвшруулах арга замуудыг мэдэж
хэрэглэнэ. (Жишээ нь: Бусдаас холдох, багшдаа болсон зүйлсээ хэлж
тайвшрах)
 Баярласан, уурласан, гомдсон, уйтгарласан шалтгаанаа бусдад
тайлбарлан ярина.
 Гэр бүл, найз нөхөдтэйгөө баяр тэмдэглэж, сэтгэгдлээ хуваалцана.
 Сэтгэлийн хөдөлгөөнийг илэрхийлсэн зураг дээр ярилцана, өөрөө зурж
илэрхийлнэ.
4.Бусдыг
мэдэрч
ойлгох
I түвшин II түвшин III түвшин
Хүмүүсийн сэтгэлийн
хөдөлгөөнийг нүүрний
хувирал, дуу хоолойн
өнгө, хөдөлгөөнөөр
ялгана.
Өөрийнх нь үйлдэл
бусдад нөлөөлж
буйг мэдэрч
харилцана.
Хүмүүсийн сэтгэлийн
хөдөлгөөн өөр өөр
байдгийг мэдэж, зохицон
харилцана.
Хүүхдийн жишиг үйл
 Гараараа төрөл бүрийн эд зүйл барьж мэдэрч дасгал, тоглоом тоглоно.
 Өөрийн хүчинд тохирсон ажил үйл гүйцэтгэнэ.
I түвшин II түвшин III түвшин
 Ойр дотны болон таньдаг хүмүүстэй бодол санаагаа хуваалцана.
 Хүмүүсийн дохио зангаа, нүүрний хувирал өөрчлөлтүүдийг ажиглаж,
ялгааг мэдэрч хэлнэ.
 Тоглоом, үйл ажиллагааны явцад бусдын хүсэлт, гуйлтыг биелүүлнэ,
зарим тохиолдолд татгалзсан бол учрыг нь тайлбарлана.
 Хүмүүсийн зан авир, сэтгэлийн хөдөлгөөн, сайн, муу үйлийг харуулсан
богино үлгэр, өгүүллэг сонсож, төрсөн сэтгэгдлээ ярина.
 Бусад хүмүүсийн баяр хөөр, уйтгар гомдлыг хуваалцана, бусдыг
хайрлана, халамжилна.
 Харилцааны сэдэвтэй үлгэр, өгүүллэгийн дүрд жүжигчлэн тоглоно.
 Хүмүүсийг ойлгож харилцах, бусдын бодол санааг хүлээн зөвшөөрөх,
хэрэгцээтэй үед нь туслах, баяр хөөр, уйтгар гунигийг хуваалцаж сурах
тухай сэдэвт тоглоомууд тоглоно.
5. Насанд
хүрэгчидтэй
харилцах
I түвшин II түвшин III түвшин
Ойр байгаа
хүмүүстэйгээ
харилцаж
тоглоно.
Насанд хүрэгчидтэй
мэндчилгээ, талархлын үгс
хэлж харилцана, шаардлагатай
үед тусламж хүснэ, хүссэн
тохиолдолд тэдэнд тусална.
Насанд хүрэгчдээс
сонирхсон зүйлээ асууна,
хүсэлт гуйлтыг нь
биелүүлнэ, хүндэтгэн
харилцана.
Хүүхдийн жишиг үйл
 Насанд хүрэгчидтэй харилцахдаа мэндлэх, хүндлэх, үдэх, талархал
илэрхийлэх үгсийг хэрэглэнэ.
 Асуулт асууна, тусламж хүснэ, сонирхол, санаа бодол, сурч мэдсэн
туршлагаа хуваалцана.
 Насанд хүрэгчдийн үгийг хүлээцтэй сонсож, хүсэлт гуйлтыг биелүүлнэ,
хамтдаа тоглоно, ажил үйл гүйцэтгэнэ.
 Үзэж харсан, оролцсон үйл явдлынхаа тухай ярина.
 Эцэг эх, багш, бусад хүмүүстэй харилцаж мэдээлэл авна.
 Өөрийн болон бусад хүүхдийн аав ээжтэй өглөөлөг, өдөрлөг,
спортын арга хэмжээнд хамт оролцоно.
 Багштайгаа хамт сургах, сэдэвт үйлийн, дүрд хувирах тоглоомуудыг
тоглоно.
 Хүмүүстэй хэрхэн харилцах тухай үлгэр, өгүүллэг сонсоно, ярилцана.
6. Үеийн
хүүхдүүдтэй
харилцах
I түвшин II түвшин III түвшин
Багшийн
тусламжтайгаар өөр
хүүхэдтэй эв зүйгээ
ололцоно.
Бусадтай хамтран
тоглоно, ажил үйл
гүйцэтгэнэ.
Өөрийн санаа бодлыг
бусдад тулгахгүйгээр
найрсаг, нээлттэй
харилцана.
Хүүхдийн жишиг үйл
 Өөрийн зөв гэж бодож байгааг тайлбарлана, хамгаална.
 Буруугаа хүлээнэ.
 Үе тэнгийнхэнтэйгээ яриа үүсгэж харилцана.
 Найз, нөхдийнхөө үгийг хүлээцтэй сонсож, хүлээн авна.
 Бусдыг шоолохгүй байна.
 Бусдыг сонсож, эерэгээр харилцана.
 Бусдын хэлж, хийж буй эерэг зүйлд талархлаа илэрхийлнэ.
 Бусдын эд зүйлсийг зөвшөөрөл авч хэрэглэх талаар ярилцана, ангийн
дүрэмдээ тусгана.
 Тоглоом, үйлийн явцад нэг нэгнийхээ санааг сонсож, санал бодлоо
солилцоно.
 Нэг нэгэндээ саад болохгүй байна, санаачилгаараа тусална.
 Найз нөхөрлөлийн тухай үлгэр, өгүүллэг сонсоно, дуу дуулна, шүлэг
уншина, утгыг ярилцана.
хувирал, дуу хоолойн
өнгө, хөдөлгөөнөөр
ялгана.
буйг мэдэрч
харилцана.
байдгийг мэдэж, зохицон
харилцана.
Хүүхдийн жишиг үйл
32 33
СУРГУУЛИЙНӨМНӨХБОЛОВСРОЛЫНСУРГАЛТЫНЦӨМХӨТӨЛБӨР
ХҮҮХЭДБҮХЭНДЭЭ“БИЧАДНА“ГЭСЭНИТГЭЛӨГЬЕ!
7.Бусад
хүүхэдтэй
тоглох
I түвшин II түвшин III түвшин
Бусад хүүхдийн тоглож
буйг ажиглана,
хөдөлгөөн, үг хэллэгийг
дуурайж тоглоно.
Тоглоом наадгай, эд
зүйлээ хуваалцана,
ээлжээ хүлээн
тоглоно.
Тоглох явцад тулгарах
асуудлыг бие даан
шийдвэрлэнэ, найзтайгаа
зохицож тоглоно.
Хүүхдийн жишиг үйл
 Хэсэг бүлгээрээ, сонирхлоороо нэгдэн хамтран тоглоно.
 Барьж байгуулах, угсрах, эвлүүлэх, хөдөлгөөнт, хөлөгт гэх мэт төрөл
бүрийн тоглоомд оролцоно.
 Тоглох тоглоом, наадгайгаа хамтдаа ярилцаж сонгоно, тоглоомын
агуулгыг бүтээлчээр илэрхийлнэ.
 Сэдэвт болон жүжигчилсэн тоглоомд дүрээ харилцан тохиролцож
сонгоно.
 Тоглоомд шаардлагатай туслах хэрэглэгдэхүүн, материалыг багштай
ярилцаж, хамтран бүтээнэ.
 Тоглоомын дүрмийг баримтална, тохирсон зүйлээ биелүүлнэ.
 Тоглоомд шинэ санаачилга, санал гаргах зэргээр бүтээлчээр оролцоно.
8.Хүмүүсийн
хоорондох
ялгаатай
байдлыг
ойлгох,
хүндэтгэлтэй
хандах
I
түвшин
II түвшин III түвшин
Хүн бүр
өөр
гэдгийг
мэдэрнэ.
Хүмүүс (хүүхдүүд) хүйс, царай зүс,
зан ааш, чадвар, биеийн
онцлогоороо ялгаатай гэдгийг мэднэ,
хүлээн зөвшөөрч харилцана.
Өөр хэл, соѐлтой
хүмүүсийг сонирхож
(асуулт асуух), тэдэндтэй
хүндэтгэлтэй харилцана.
Хүүхдийн жишиг үйл
 Хүмүүсийн нас, хүйсийг ялгана. (Жишээ нь: Залуу, хөгшин, хүүхэд,
эрэгтэй, эмэгтэй)
 Үеийн хүүхдүүд, гэр бүлийн гишүүд, таньдаг хүмүүсийн зан чанар,
сонирхол, ялгаатай байдлын тухай ярилцана.
 Харах, сонсох, ярих, хөдөлгөөний болон сурах бэрхшээлтэй хүүхэд
ангид нь байвал халамжилж, түүнд тусална.
 Ядарсан, өвчтэй, хөгшин хүнд анхаарал тавина, тэдэнд өөрийнхөө хэр
хэмжээнд тусална.
 Зарим хүн (харах, сонсох, ярих, хөдөлгөөний бэрхшээл)-д ямар хүндрэл,
бэрхшээл, онцлог байгааг олж харж, мэдэрнэ, түүнд хэрхэн туслаж
болох тухай ярилцана.
 Өөр улс, үндэстэн, ястнууд хоорондоо олон зүйлээр ялгаатай байдаг, эв
найрамдалтай амьдардаг тухай кино үзэж, үлгэр, өгүүллэг сонсож
ярилцана.
 Бусад үндэстэн, ястны өв соѐлыг сонирхон, тэдний тоглоом, дуу,
шүлгээс сурна. (Жишээ нь: Хувцасны ялгааг олж хэлэх, мэндчилгээний
үг хэлэх, дуу, бүжгээс сурах)
 Хэл соѐл, зан заншлаараа өөр өөр хүмүүс нь хоорондоо харилцаж,
хамтран ажилладаг тухай үлгэр, өгүүллэг сонсож, ярилцлага өрнүүлнэ.
9.Дүрэм,
журмыг
ойлгох,
мөрдөх
I түвшин II түвшин III түвшин
Болно, болохгүйг
ойлгож, өгсөн
хялбар зааврыг
дагана.
Тоглоомын болон ангийн
дүрмийг ойлгож, бусдын
сануулгатайгаар мөрдөнө.
Гэр бүл, цэцэрлэг, анги,
олон нийтийн газарт
тогтсон дүрэм, журмыг
баримтална.
Хүүхдийн жишиг үйл
 Өдрийн дэглэмийн дагуу үйл ажиллагаануудад оролцоно.
 Багшийн өгсөн үүрэг даалгавар, зааврыг биелүүлнэ. (Жишээ нь: Тоглож
дуусаад тоглоомоо хураах, бие засаад усаа татах)
 Амьдралд мөрддөг энгийн дэг журмыг мэдэж биелүүлнэ. (Жишээ нь:
Гаднаас орохдоо гутлаа арчих, ном, дэвтэр урахгүй, малгай газар
тавихгүй байх)
 Ангийн эд юмс, тоглоом наадгайтай ариг гамтай харьцаж, зориулалтаар
нь ашиглан орчноо эмх цэгцтэй болгоно.
 Гэр бүлийнхээ ѐс заншлыг дагаж хэрэгжүүлнэ. (Жишээ нь: Хүн юм
өгөхөд алгаа тосож авах, хаалга алдлахгүй байх, гол, усанд бохир
оруулахгүй байх)
 Ангийн дүрмийг хамтарч гаргана, дагаж мөрдөнө.
 Олон нийтийн газар биеэ зөв авч явна. (Жишээ нь: Чанга хашгирахгүй,
гүйж харайхгүй байх, хогоо зориулалтын саванд хийх)
 Төрөл бүрийн дүрэмтэй тоглох тоглоомыг нийтээр болон хэсгээр тоглоно.
Хүүхдийн эзэмших зан чанар
1.Бие даах I түвшин II түвшин III түвшин
Хувцсаа өмсөх, тайлах,
хоолоо идэх зэрэг
үйлийг бие даан хийнэ,
чадахгүй зүйлдээ
туслалцаа хүснэ.
Өдөр тутмын үйл
ажиллагаа (жижүүр
хийх, тоглох гэх мэт)-нд
бүтээлчээр, бие даан
оролцоно.
Тоглох, сурах үйлд
өөрөө бодож, сэтгэнэ,
эрэл хайгуул хийнэ,
эхэлснээ дуусгана.
Хүүхдийн жишиг үйл
 Өөртөө үйлчлэх энгийн үйлүүдийг багшийн дэмжлэгтэйгээр болон бие
даан хийнэ. (Жишээ нь: Гараа угаах, хувцсаа өмсөж тайлах, ор дэрээ
хураах)
 Аливаа үйлд оролцох хүсэл, сонирхлоо илэрхийлнэ, туршина.
 Өөртөө тулгарч буй харилцааны болон энгийн асуудал (хувцсаа сонгох
гэх мэт)-ыг бие даан шийдвэрлэнэ. (Жишээ нь: Тоглоомноос гарах,
тоглоомын дүрмийг өөрчлөх)
 Ангийн өрөө тасалгааг эмхэлж цэгцлэх, амьтан ургамал арчилж
хамгаалахад санаачилга гарган оролцоно.
 2 болон түүнээс дээш үйлээс алийг нь хийхээ сонгоно.
 Багшийн зааврын дагуу ангид бие даан үүрэгт ажил (жижүүр хийх,
цэцэг,ургамал тарьж ургуулах, өөрчлөлтийг тэмдэглэх гэх мэт)
гүйцэтгэнэ.
2.Санаа-
чилгатай,
сониуч байх
I түвшин II түвшин III түвшин
Тоглох тоглоом,
хэрэглэгдэхүүн,
өмсөх хувцас зэргээ
сонгоно.
Тодорхой даалгаврыг
сонгож хийнэ.
Санаачилгаараа ажил үйл
гүйцэтгэнэ.
Хүүхдийн жишиг үйл
 Хэрэглэгдэхүүн, материалаа сонгоно, хэрэглэгдэхүүнээр юу хийхээ
шийднэ, багштай хамтарч хийх ажлынхаа бэлтгэлийг хангана.
 Сонссон, үзсэн, оролцсон зүйлийнхээ тухай Яагаад?, Яаж? гэх мэт
асуулт тавина.
 Сонирхол, санаа бодлоо багш болон бусад хүүхэдтэй хуваалцана.
 Өөрийн болон бусдын хийж бүтээсэн зүйлийг үнэлэх, шинэлэг зүйлийг
нь олж харах, хэлэх зэргээр санаачилга гаргана.
 Сонгосон ажил үйлээ дуустал хийж, хэрэглэгдэхүүн материалаа
34 35
СУРГУУЛИЙНӨМНӨХБОЛОВСРОЛЫНСУРГАЛТЫНЦӨМХӨТӨЛБӨР
ХҮҮХЭДБҮХЭНДЭЭ“БИЧАДНА“ГЭСЭНИТГЭЛӨГЬЕ!
хураана.
 Хугацаа шаардсан төрөл бүрийн бүтээлч ажил үйлийг гүйцэтгэнэ.
(Ургамал арчлах, амьтан тэжээх, урлан бүтээх үйл гэх мэт )
 Багштайгаа, найз нөхөдтэйгээ хамтарч хийх үйлээ төлөвлөнө,
төлөвлөснөө хийж гүйцэтгэнэ.
 Өөрийн санаачилгаар төрөл бүрийн урлан бүтээх үйл хийнэ, хийсэн
бүтээлээ тоглоомдоо ашиглана.
3.Оролд-
логотой,
тууштай
байх
I түвшин II түвшин III түвшин
1-2
шатлалтай
зааврыг
анхааралтай
сонсож,
биелүүлнэ.
Хийж буй ажил үйлдээ оролцох
хугацаа нь уртасч, олон
шатлалтай зааврыг ойлгож
биелүүлнэ.
Гадны нөлөөнд анхаарал
сарних, дасгал
даалгаврын дундуур
завсарлах зэрэг нь багасч,
хийж буй үйлдээ
анхаарлаа төвлөрүүлнэ.
Хүүхдийн жишиг үйл
 Багшийг анхааралтай сонсож, 1 ба түүнээс дээш шатлалтай зааврыг
биелүүлэх дасгал даалгавар гүйцэтгэнэ.
 Багшийн зааварчилгааг дагах тоглоом тоглоно.
 Загвар, аргачлалын дагуу туршилт хийнэ. (Жишээ нь: Цэцэг, ургамал
соѐолуулах, байгалийн хуанли хөтлөх, дүгнэх)
 Буухиа, уралдаант тоглоомуудыг нийтээр, багаар тоглоно.
 Өөртөө тохирсон үйлийг бие даан хийнэ. (Тоглоом хураах, ном эмхлэх,
цэцэг услах гэх мэт)
 Сурсан мэдсэн үйлээ дахин давтан хийж тоглоно.
 Сонгосон ажил, үйлээ дуустал хийнэ.
4.Асуудлыг
шийдвэрлэх
I түвшин II түвшин III түвшин
Багшийн
оролцоотойгоор
дасгал даалгавар
гүйцэтгэнэ.
Асуудал, зөрчлийг өөрийн
хэр хэмжээнд
шийдвэрлэнэ.
Асуудлыг шийдвэрлэх
боломжит хувилбаруудыг
санал болгоно.
Хүүхдийн жишиг үйл
 Сэдвийн хүрээнд энгийн туршилт, судалгаа хийнэ. (Жишээ нь: Шинэ
өнгө үүсгэх, ургамалд ус, нар хэрэгтэй эсэхийг турших)
 Таамаглал дэвшүүлж, юу болохыг урьдчилан хэлнэ, тоо баримт
цуглуулна, өөрчлөлт, үр дагаврыг ажиглана.
 Юуг, яаж хийж буйгаа дүрсэлнэ, асуудлыг хэрхэн шийдсэн, юуг
эргэцүүлэн бодсоноо багшид болон бусад хүүхдэд ярина.
 Эрс тэс болон төстэй ялгааг олох, харьцуулах, ангилах, бүлэглэх
тоглоомд оролцоно.
 Баталсан, лавласан, таамагласан, шалтгааныг тодруулсан асуултад
хариулна.
 Мэдлэг, туршлагаа шинэ нөхцөл байдалд ашиглана.
 Асуудлыг олон талаас нь шийдэх хувилбаруудыг бодож олох дасгал,
даалгавар гүйцэтгэнэ, тоглоом тоглоно.
 Асуудлыг хэрхэн шийдсэн тухай үлгэр, өгүүллэг, түүх сонсож ярилцана.
Багшийн үүрэг, оролцоо
 Хүүхдийг нэрээр нь дуудаж харилцана.
 Хүүхдийн сэтгэл санааны байдлыг мэдэрч, ойлгож, хүндэтгэлтэй харилцана.
 Сургалтын чиглэл бүрээр зохион байгуулах үйл ажиллагааг хүүхдийн зан чанар,
харилцаа, төлөвшилд дэмжлэг үзүүлж байхаар төлөвлөн хэрэгжүүлнэ.
 Хүүхэд бүрийг ажиглан судалж, давуу талыг олж илрүүлэн улам батжуулан хөгжүүлнэ.
 Цэцэрлэгийн өдөр тутмын амьдралын явцад хүүхдээс гаргасан эерэг зан үйл бүрийг
дэмжиж, сөрөг илрэлийг тухай бүр ойлгуулан, ухааруулахад анхаарч ажиллана.
 Хүүхэд өөрийгөө болон бие эрхтэнээ таньж мэдэхтэй холбогдох үйл ажиллагаанууд
зохион байгуулна. (Жишээ нь: Миний бие, Миний дуртай хоол, Миний чаддаг зүйл)
 Хүүхдийн асуулт, хүсэлтэд ач холбогдол өгч хариулна, биелүүлнэ, гаргасан санал,
санаачилгыг дэмжинэ.
 Хийж буй зүйлээ гүйцээх, өөрийнхөөрөө хийхэд цаг хугацаа олгож, хэрэглэгдэхүүнээр
хангана.
 Хүүхдийн сэтгэл санааны таагүй үед сонсох, тэврэх, энхрийлэх зэргээр хайр,
халамжийг мэдрүүлнэ.
 Хүүхдэд өөрийгөө хамгаалах, хийсэн үйлдлээ тайлбарлах боломж олгоно.
 Хүүхдэд ганцаараа тоглох, ажил үйл гүйцэтгэх, сонгож хийх боломж олгоно.
 Хүүхдийг богино хугацаанд цэцэрлэгт дасгах аргуудыг хэрэглэнэ. (Жишээ нь: Хүүхэд
цэцэрлэг, ангитайгаа танилцах, ангид аав ээжтэйгээ хамт байх, хайртай тоглоом, эд
зүйлээ авч ирэх)
 Хүүхдийн талаар эцэг эхээс мэдээлэл авч, ажиглан, хувийн онцлог, хөгжлийн түвшинг
харгалзан ажиллана. (Жишээ нь: Бүрэг, ичимхий хүүхдэд үйл ажиллагаанд өөртөө
итгэлтэй оролцоход нь дэмжлэг үзүүлэх)
 Багш өөрийн сэтгэлийн хөдөлгөөн, байдлаа үгээр илэрхийлж, дуу хоолойн өнгө, үйл
хөдлөл, хандлагаараа үлгэрлэн харуулна.
 Мэндлэх, хүндлэх, хувцаслахтай холбоотой ѐс заншлаас үлгэрлэж үзүүлнэ.
 Хүүхдэд уур уцаараа хянах аргуудыг зааж өгч, үлгэрлэн дагуулна.
 Насанд хүрэгчдийг сонсох, тэдэнтэй мэдээлэл солилцох, заавар, зөвлөгөө,
шаардлагыг хүлээн авч биелүүлэх, хамтран ажиллахыг дэмжинэ.
 Хүүхэд бусадтай хэрхэн харилцах тухай хөгжүүлэх үйл ажиллагаанууд зохион
байгуулна.
 Ангийн өдрийн дэглэмийг хүлээн зөвшөөрч дагаж оролцох, өдөр тутмын амьдралд
мөрдөгддөг болон тоглоом, анги, олон нийтийн газар биеэ хэрхэн авч явах дүрмийг
мэдэж биелүүлэхэд дэмжлэг үзүүлнэ.
 Дүрэмтэй тоглоомын дүрмийг ойлгох, дагаж биелүүлэхэд тусална.
 Ангид найз нөхдөө дэмжсэн, хамтран ажиллах харилцааны эерэг уур амьсгал
бүрдүүлж ажиллана.
 Хүүхэд өөртөө тохиолдсон асуудлыг аюулгүй л бол өөрөө шийдэхийг санал болгоно,
дэмжинэ, сэдэлжүүлнэ, бэрхшээлийг давж гарахад зоригжуулна.
 Хүүхдэд өөрийнхөөрөө үйлээ төлөвлөх, төлөвлөснөө хэрэгжүүлэх, сурсан зүйл,
туршлагаа давтах, сэргээн санах боломж олгоно. (Жишээ нь: Өнөөдөр юу хийхээр
төлөвлөсөн бэ?, Чи дууссан уу?)
 Шинэ зүйлтэй танилцах, шинэ ажил үйл санаачлах, зохион бүтээх үйл хийх зай
талбай, хэрэглэгдэхүүн, материалыг бэлтгэнэ.
Ямар хэрэглэгдэхүүнээр дэмжих вэ?
 Ангид өрнөж буй бодит үйл явц
 Сургах тоглоомын хэрэглэгдэхүүн
 Сургах тоглоом, ширээний театр, жүжигчилсэн тоглолтын хувцас, хэрэглэл
 Сэтгэлийн хөдөлгөөний хувирал, харилцааны сайн, муу жишээг харуулсан зурагт
үзүүлэн, ижилсүүлэх, ялгаа олох картууд
 Харилцааны агуулга бүхий цахим хэрэглэгдэхүүн (аудио, видео хуурцаг)
 Харилцааны агуулга бүхий үлгэр, өгүүллэг, дуу, шүлэг
 Энгийн хөдөлмөр гүйцэтгэх багаж хэрэгсэл
 Байгалийн бичил орчин (тасалгааны цэцэг, ургамал)
36 37
СУРГУУЛИЙНӨМНӨХБОЛОВСРОЛЫНСУРГАЛТЫНЦӨМХӨТӨЛБӨР
ХҮҮХЭДБҮХЭНДЭЭ“БИЧАДНА“ГЭСЭНИТГЭЛӨГЬЕ!
2.2.3. ХЭЛ ЯРИА
Яагаад хэрэгтэй вэ?
Авиа, үг, өгүүлбэрийг зөв сонсох, ойлгох, хэлэх, шинэ үг сурах, үгийг хувилгаж
өгүүлбэрт холбож хэрэглэх нь хүүхэд хэл яриаг эзэмших суурь нь болдог. Хэл ярианы чадвар
эзэмшсэнээр тэд харилцан ярианд оролцохын зэрэгцээ, уншиж, ярьж өгсөн эх (үлгэр,
өгүүллэг зэрэг)-ийн утга агуулгыг ойлгож, уялдаа холбоотойгоор эргүүлэн ярьдаг болно.
Номыг сонирхоно, ач холбогдол өгнө. Хүүхэд мөн санаа бодол, ойлголт, төсөөлөл, сэтгэл
хөдлөлөө бусадтай хуваалцаж, идэвхтэй харилцана, орчноо идэвхтэйгээр таньж мэднэ,
суралцах хүсэл нь нэмэгдэнэ.
Ямар үр дүнд хүрэх вэ?
 Бусдын яриаг сонсож ойлгоно, мэдээлэл авна.
 Санаа бодол, хүсэл, сонирхол болон сонссон, харсан, оролцсон үйл явдлаа
илэрхийлэн ярьдаг болно, бусадтай харилцана.
 Эхийг ойлгож, утгыг ярина, номыг сонирхоно, номтой ажиллаж сурна.
 Тэмдэг, тэмдэглэгээг ойлгоно, ашиглана.
Чадвар I түвшин II түвшин III түвшин
1.Хүний
яриа,
байгаль,
орчны
дуу
чимээг
ялгаж
сонсох
Орчны дуу авиаг
сонсоно, дуурайна.
Орчны дуу авиаг ялгаж
сонсоно, дуурайна.
Байгалийн болон хэлний
авиаг ялгана, нэрлэнэ,
тайлбарлана.
Хүүхдийн жишиг үйл
 Хүмүүсийн яриа, мал, амьтны дуу хоолой, эд юмсын дуу чимээг сонсож,
дуурайна.(Жишээ нь: Хонь-майа, муур–миау, түргэний машины дуу, хонхны
дуу)
 Байгалийн дуу чимээг ялгаж, дуурайн дуугарна. (Жишээ нь: Салхины исгэрэх
чимээ, борооны шиврээ, тэнгэрийн дуу)
 Дуу авиа, чимээ бүхий тоглоом зохионо, тоглоно. (Жишээ нь: Нохойны зураг
хараад, яаж дуугардаг тухай, загасны зураг хараад загас дуугарахгүй, амаа
зөвхөн ангалзуулдаг тухай дуурайн тоглох)
 Юмсын дуу чимээг дуу хураагуурт бичээд, сонсож, ярилцана.
 Сонголтоороо чихэвчээр дуу авиа, чимээ, үлгэр, өгүүллэг сонсох боломж
олгоно.
 Үгэн доторх авиаг ялгаж сонсоно, хэлнэ.
2.Үгийг
зөв
сонсох,
ойлгох,
I түвшин II түвшин III түвшин
Үгийг сонсоод ялгана,
дуурайж дагаж хэлнэ.
Өгүүлбэрийг сонсоод утгыг
өөрийн үгээр илэрхийлэн
хэлнэ.
Ойролцоо дуудлагатай үг,
урт, богино эгшигтэй үгийг
ялгаж сонсоно.
хэрэглэх Хүүхдийн жишиг үйл
 Өөр өөр авиа, дуу хоолойны өнгө гаргана. (Жишээ нь: Аа-оо, бүдүүн-нарийн)
 Ярьж байгаа зүйлийг ойлгосноо мэдэгдэнэ. (Жишээ нь: Толгой дохих,
инээмсэглэх)
 Ижил авиагаар эхэлсэн үгийн зурагтай карт ашиглан нэрлэж тоглоно. (Жишээ
нь: Авдар, алим, асар)
 Ижил авиагаар эхэлсэн үгсийг хэлнэ. (Жишээ нь: Болдоо, бөмбөг)
 Өөр авиагаар эхэлсэн үгсийг олж хэлнэ. (Жишээ нь: Болжмор, боорцог,
самбар)
 Урт, богино эгшигтэй үгийг ялгаж сонсоно, утгыг тайлбарлана. (Жишээ нь:
Цас-цаас, хол-хоол)
 Ойролцоо дуудлагатай үгийг ялгаж сонсоно, утгыг тайлбарлана. (Жишээ нь:
Ширээ-сэрээ, дух-тух)
 Хэн бэ?,Юу вэ?, Хэзээ?, Хаана? гэсэн асуултыг ойлгоно, хариулна.
 Үгийн баялагийг нэмэгдүүлэх тоглоомд оролцоно.
 Хүмүүсийн хэлж ярьж буйг дуурайн хэлж, шинэ үг сурна.
 Мэддэг үгнүүдээ сонирхон сонсоно, дагаж хэлнэ.
3.Өгүүл-
бэрийг
зөв
I түвшин II түвшин III түвшин
2-3 үгтэй өгүүлбэр
хэлнэ.
Төлөөний үг, нэр үг, үйл үг
орсон 3-аас дээш үгтэй
Тэмдэг нэр, тооны нэр,
байрлал заасан үгтэй
 Хэн бэ?,Юу вэ?, Хэзээ?, Хаана? гэсэн асуултыг ойлгоно, хариулна.
 Үгийн баялагийг нэмэгдүүлэх тоглоомд оролцоно.
 Хүмүүсийн хэлж ярьж буйг дуурайн хэлж, шинэ үг сурна.
 Мэддэг үгнүүдээ сонирхон сонсоно, дагаж хэлнэ.
3.Өгүүл-
бэрийг
зөв
сонсох,
ойлгох,
хэлэх
4.Санаа
бодлоо
илэрхий-
лэн ярих
I түвшин II түвшин III түвшин
2-3 үгтэй өгүүлбэр
хэлнэ.
Төлөөний үг, нэр үг, үйл үг
орсон 3-аас дээш үгтэй
өгүүлбэрийг ойлгоно, хэлнэ.
Тэмдэг нэр, тооны нэр,
байрлал заасан үгтэй
дэлгэрэнгүй өгүүлбэрийг
ойлгоно, хэрэглэнэ.
Хүүхдийн жишиг үйл
 Энгийн (Өнөөдөр амрах уу?), учир шалтгааныг тодруулах (Яагаад?) асуулт
тавина, асуултад ойлгомжтой хариулна.
 Зураг харж өгүүлбэр зохионо.
 Холбоо үгс, зүйр цэцэн үгс хэлнэ.
 Үзсэн, сонссон зүйлтэй холбоотой асуулт тавина, хариулт авна.
 Ярилцлагад оролцож, бүтэн өгүүлбэрээр хариулна.
 Хэлсэн зүйлийг анхааралтай сонсч, дамжуулж хэлнэ.
 Ерөнхий нэрийг олох тоглоом тоглоно. (Жишээ нь: Сүү, тараг, өрөм, бяслаг –
цагаан идээ)
 Төлөөний үг, нэр үг, тэмдэг нэр орсон тоглоом тоглоно.
 Багшийн зориуд алдаж хэлсэн алдааг олно.
 Ангид байгаа зүйлсийн байрлалыг тодорхойлж хэлнэ.
I түвшин II түвшин III түвшин
Өөрт тулгарсан,
сонирхсон зүйлээ 1-
2 үгээр илэрхийлэн
хэлнэ.
Үзэж харсан, оролцсон үйл
явдлынхаа тухай бусдад
ярина.
Санаа бодол, үзсэн,
оролцсон үйл явдлаа
ойлгомжтой, тайлбарлан
ярина.
Хүүхдийн жишиг үйл
 Сурсан үгээ хэрэглэн бодол санаагаа илэрхийлж хэлнэ.
 Багш, найз нөхөд, гэр бүлийнхэнтэйгээ өдөр тутмын амьдралаасаа ярилцана.
(Жишээ нь: Хоол унд, өмссөн хувцасныхаа тухай)
 Үзэж харсан, өөрт тохиолдсон үйл явдлынхаа тухай бусдад ярина. (Жишээ нь:
Найздаа гадаа тоглосон тухай, багшдаа хөдөө явсан тухайгаа ярих)
 Оньсого таавар зохиож, бусдаар таалгана.
 Асуултад хариулж, нийтийн ярилцлагад оролцоно.
 “Надад таалагддагтаалагддаггүй зүйл”, “Миний хүсэл” гэх мэт ярилцлагад
оролцоно.
 Хэрэгцээтэй, хүсэж буй зүйлээ илэрхийлж хэлнэ. (Жишээ нь: Надад будаг
хэрэгтэй байна. Хоѐулаа бөмбөгөөр тоглох уу?)
 Үлгэр, өгүүллэгийн үргэлжлэл, төгсгөлийг зохиож ярина.
38 39
СУРГУУЛИЙНӨМНӨХБОЛОВСРОЛЫНСУРГАЛТЫНЦӨМХӨТӨЛБӨР
ХҮҮХЭДБҮХЭНДЭЭ“БИЧАДНА“ГЭСЭНИТГЭЛӨГЬЕ!
5.Уншиж
, ярьж
өгсөн
эхийн
утгыг
ойлгох,
агуулгыг
эргүүлэн
ярих
I түвшин II түвшин III түвшин
Уншиж, ярьж өгсөн
богино үлгэр,
өгүүллэгийн агуулгыг
ойлгоно, асуултад
хариулна.
Уншиж, ярьж өгсөн үлгэр,
өгүүллэгийн агуулгыг
ойлгоно, өөрийнхөөрөө
эргүүлэн ярина.
Үлгэр, зохиолын үйл явдлыг
ойлгомжтой ярина,
зохиомжлон ярина.
Хүүхдийн жишиг үйл
 Номыг зөв барина, номын зохиолч болон гарчгийг заана.
 Номын зураг, текстийг ялгаж заана, зургийг тайлбарлан ярина.
 Үлгэр, өгүүллэгийн агуулгыг эргүүлэн ярина.
 Зохиолын дүрд хувиран түүнийгээ бүтээлчээр илэрхийлж ярина.
 Үлгэр, өгүүллэгийн үйл явдлыг дүрслэн зурж, ярина.
 Дуу, шүлгийн утга санааг илэрхийлнэ. (Жишээ нь: Бие эрхтэнтэй холбоотой
дуу дуулахад тэр хэсгийг заах, өрөөнд буй эд зүйлсийг нэрлэн дуулах)
 Ярих үедээ ая, дуу ашиглана. (Жишээ нь:“Өнхрүүш” үлгэрийг ярьж байх үедээ
холбогдох хэсэгт нь аялгуулан дуулах)
 Багш, эцэг эхтэй хамтран ном бүтээнэ.
 Ном зохиол дахь дуртай хэсгийнхээ тухай ярилцана.
 Үлгэр, зохиолыг сонсох явцдаа асуулт тавина, хариулна, санаа, дүрслэлээ
илэрхийлнэ.
6. Зураг,
тэмдэг
тэмдэг-
лэгээний
утгыг
хэлэх
I түвшин II түвшин III түвшин
Зургаас өөрийн
мэддэг зүйлийг
нэрлэнэ.
Үйл явдлыг харуулсан
зургийн агуулгыг ойлгоно,
тайлбарлан ярина.
Орчиндоо байгаа тэмдэг,
тэмдэглэгээг мэднэ, утгыг
тайлбарлана.
Хүүхдийн жишиг үйл
 Ойр орчиндоо буй тэмдэг, тэмдэглэгээний утга агуулгыг тайлбарлан
ярилцана. (Жишээ нь: Галын аюулгүй байдлын тэмдэглэгээ, бие засах газар,
явган хүний гарц, ангид буй зургаар дүрсэлсэн сургалтын төвүүдийн нэр)
 Зурсан зураг, бүтээлийнхээ талаар ярина.
 Зургийн агуулгыг өөрөө тайлж, өгүүллэг зохионо.
 Ном зохиолын хэсэг болон зурган дээр тулгуурлан дараа нь юу болохыг
тааварлаж ярина. (Жишээ нь: Хулгана нуугдсан найзыгаа олохоор хайж
байна. Тэр олох болов уу?)
 Үлгэр, өгүүллэгийн агуулгыг харуулсан зургийг дэс дарааллаар нь
байрлуулна.
 Тэмдэг тэмдэглэгээг дуурайлган зурна.
 Баримлын шавар, эд зүйлс, тоглоом наадгайгаар тэмдэг тэмдэглэгээг дүрслэн
бүтээнэ. (Жишээ нь: Товч, шүр, шагай, эвлүүлдэг болон өрж байгуулах
тоглоомоор)
 Санаагаа тохирох тэмдэглэгээгээр дүрсэлнэ. (Жишээ нь: Нарыг дугуй дүрсээр
төлөөлүүлэх)
Багшийн үүрэг, оролцоо
 Эх хэлээрээ тод сайхан ярьж хүүхдэд үлгэрлэнэ.
 Шаардагдах ном, зураг, дасгал, тоглоомын хэрэглэгдэхүүн, техник хэрэгсэл болон
бусад хэрэглэгдэхүүнийг бэлтгэж, хүүхдэд чөлөөтэй ашиглах боломж олгоно.
 Хүүхдэд орчны дуу чимээ, авиаг ялгаж сонсох боломж олгоно, сонирхол, сэдэл
төрүүлнэ.
 Хүүхдийн асуулт бүрт ач холбогдол өгч, хариултыг хамтран эрж олно.
 Хүүхэд бүрт шинэ үг сурах, өгүүлбэр хэлэх, эх бүтээж ярихад тохирсон дэмжлэг
үзүүлнэ.
 Ярилцлагын явцад, оньсого таавар, үлгэр өгүүллэгээс шинэ үгийг танилцуулна, дагаж
хэлүүлнэ, буруу дуудлага, хэллэгийг засна.
 Хүүхдийн үгийн нөөц эрчимтэй нэмэгдэж буй үед бүдүүлэг үг хэллэг хэрэглэхээс
хүүхдийг зайлсхийж сургана.
 Хүүхдийн ярьж, танилцуулж буйг дэмжинэ, чөлөөтэй ярихад нь зоригжуулна.
 Хүүхдийн хариултыг дэмжинэ, чиглүүлнэ. (Жишээ нь: Сонирхолтой юм байна, дахиад
яриад өг дөө?)
 Хүүхдийн оролцсон үйл явдал, үзэж харсан зүйлс мөн зурсан, хийсэн бүтээлийн
агуулгыг асууж ярилцана.
 Хүүхдүүдтэй ганцаарчилсан, хэсэгчилсэн, нийтийг хамарсан ярилцлагыг тогтмол
зохион байгуулна.
 Өдөр бүр ном унших, үлгэр, өгүүллэг ярих цаг гаргана. (Жишээ нь: Өдрийн унтлагын
өмнө, гадаа тоглох үед, аав ээж нарын хувьд: орой унтахын өмнө, тээврийн
хэрэгслээр зорчих үед)
 Номыг сонирхолтой байдлаар уншина. (Жишээ нь: Зохиолын баатрын оронд хүүхдийн
нэрийг орлуулан унших)
 Үлгэр, өгүүллэг уншиж байхдаа инээмсэглэх, хөмсгөө зангидах зэрэг нүүрний хувирал,
дууныхаа өнгө аясын өөрчлөлтөөр агуулгыг тодруулж, ярихад нь үлгэр дууриал
үзүүлнэ.
 Уншиж байхдаа хүүхдийн анхаарлыг нь татах үйлдэл хийнэ. (Жишээ нь: Өндөр
дуугаар эхлэх, хавтсан дээрх зургийг харуулж, асуулт тавих, тайлбарлах)
 Хүүхдийн сонирхон асууж байгааг өдөөн дэмжиж, “хамтдаа” уншина. (Жишээ нь: Энэ
чинь чухал асуулт байна. Чи юу гэж бодож байна? Юу тохиолдох бол?)
 Уншиж байх үедээ харцаараа холбогдоно. (Жишээ нь: Том харах, нүдээ ирмэх)
Ямар хэрэглэгдэхүүнээр дэмжих вэ?
 Төрөл бүрийн зургууд (үлгэр, өгүүллэгийн, эвлүүлдэг, сэдэвт, зурагтай модон, зурагт
хуудас, ил захидал гэх мэт)
 Тоглоомууд (эвлүүлдэг, лото, домино)
 Аман наадам
 Ардын уламжлалт тоглоом, наадгай
 Танин мэдэхүйн, түүх, үлгэр зохиолын, хүүхдийн бүтээсэн ном, сэтгүүл
 Хүүхэлдэйн жүжгийн дэлгэц, хүүхэлдэйнүүд
 Самбар, шохой, үзэг, цаас
 Хөгжим, чихэвч, хуурцаг, CD
 Номын тавиур
 Зөөлөн сандал,буйдан, том, жижиг зөөлөн дэр
 Ном бүтээх, засварлахад ашиглах скоч, цаас, харандаа, будаг, хайч, цавуу
40 41
СУРГУУЛИЙНӨМНӨХБОЛОВСРОЛЫНСУРГАЛТЫНЦӨМХӨТӨЛБӨР
ХҮҮХЭДБҮХЭНДЭЭ“БИЧАДНА“ГЭСЭНИТГЭЛӨГЬЕ!
2.2.4. БАЙГАЛЬ, НИЙГМИЙН ОРЧИН
Яагаад хэрэгтэй вэ?
Хүүхэд тойрон хүрээлж буй эд зүйлс, ургамал, амьтныг сонирхон судалж, хүмүүс, үйл
явдлын талаар мэдээлэлтэй болсноор хорвоо ертөнцийг танин мэдэж, учир шалтгааныг нь
олно. Аливааг сонирхох нь тэдний суралцах үйлийн хөшүүрэг, шинжлэн судлах нь суралцах
чухал арга барил юм.
Тэд байгальтай зөв харьцаж өссөнөөр байгалийг хайрлан хамгаалах, амьд ба амьгүй
байгальтай зохицон амьдарч болохыг ойлгоно. Монгол орны үзэсгэлэнт унаган байгаль, эрс
тэс цаг агаарын өөрчлөлт бүхий дөрвөн улирал, эрүүл аж төрөн амьдрах арга ухаанд дасан
зохицож суралцах нь бага насны хүүхдийн суралцахуйн нэгэн чухал чиглэл юм.
Орчныхоо талаар мэдэлээлэл, төсөөлөлтэй болсноор хүүхэд өөрийгөө бие даан авч
явах, орчинтойгоо зохистой харилцах боломжтой болно.
Ямар үр дүнд хүрэх вэ?
 Ойр орчныхоо юмс, эд зүйлсийг сонирхож судална, өөртөө шинэ зүйлийг олж нээнэ.
 Байгалийн сайхныг мэдэрнэ, таашаана, ургамал, мал, амьтныг хайрлаж хамгаална.
 Амьдарч буй нутаг орныхоо онцлог, ойр орчныхоо хүмүүсийн ажил үйлийг таньж мэднэ.
 Орчиндоо зохистойгоор харьцана.
Чадвар I түвшин II түвшин III түвшин
1.Орчны
юмсыг
сонирхож
ажиглах,
судлах
Орчны юмсыг
сонирхоно,
оролдоно, нэрлэнэ.
Орчны юмсын онцлог,
шинж чанарыг
судална.
Орчны юмсын холбоо
хамаарлыг туршиж мэднэ,
ойлголтоо хэрэглэнэ.
Хүүхдийн жишиг үйл
 Мэдрэхүйнхээ тусламжтайгаар болон сургалтын энгийн хэрэгсэл (өсгөгч
шил, хэмжих хэрэгсэл гэх мэт) ашиглан ойр орчныхоо юмс, эд зүйлс,
ургамал, амьтныг судална.
 Сонирхолтой ажиглалт, туршилтууд хийнэ. (Жишээ нь: Цасан дээр мөр
гаргах, урсгал усанд цаасан болон модон завь тавьж урсгах, тоглоомон
сэнс хийж салхины хүч ашиглан тоглох)
 Ажиглаж олж мэдсэн зүйлийнхээ талаар ярилцана. (Жишээ нь: Чулууг
өргөж үзэхэд хүнд бас хатуу байсан.)
 Юмсын учир холбогдлын талаар таамаглал дэвшүүлнэ, туршиж үзнэ.
(Жишээ нь: Живж, хөвж буй зүйлс.)
 Янз бүрийн эд зүйлсийг дуу чимээ, үнэр, амт, хийсэн материалаар нь
мэдрэхүйнхээ тусламжтайгаар ялгаж таних тоглоом тоглоно.
 Юмсын шинж чанарыг туршиж үзнэ, тодорхойлж ярина.( Жишээ нь: Ноос
хөнгөн, үлээхэд хийсдэг, баримлын шаварт халуун ус хийхэд зөөлөрдөг.)
 Сургалтын энгийн хэрэгсэл ашиглан юмсын дуу чимээ, гэрлийн шинж
чанарыг таних туршилт хийнэ. (Жишээ нь: Дууны өндөр нам, гэрлийн тод
бүдэг байдал, гэрлээс сүүдэр үүсгэх)
 Усаар тоглож, усны шинж чанарыг тодорхойлно. (Жишээ нь: Урсгах,
саванд хийх, дүүргэх, халиулж асгах, хэд хэдэн шингэн зүйлийг хольж,
шинэ төрлийн уусмал үүсгэх.)
 Амьгүй зүйлс хөдөлдөггүй болохыг туршиж үзнэ. (Жишээ нь: Байрнаас нь
хөдөлгөхийн тулд түүнийг түлхэх, татах, шидэх)
 Багаж, техник хэрэгслийг хэрэглэнэ, ажиллуулна. (Жишээ нь: Алх,
хадаас, гадаа талбайд ажиллах хүрз, зурагт, магнитофон)
2.Ургамал,
амьтныг
ажиглаж
судлах,
тэдгээртэй
зохистой
харьцах
I түвшин II түвшин III түвшин
Орчныхоо ургамал,
амьтныг сонирхоно,
нэрлэнэ.
Орчны ургамал, амьтдыг
онцлог шинжээр нь таньж
ялгана, тайлбарлана.
Ургамал, амьтантай
зохистой харьцана.
Хүүхдийн жишиг үйл
 Амьд болон амьгүй зүйлийг ажиглан ялгаж, тайлбарлана. (Жишээ нь:
Хөдөлгөөн ажигласнаар машиныг “амьтай”, харин мод явдаггүй тул
“амьгүй” гэж үзэх магадлалтай)
 Ургамал, амьтдыг хэмжээ, хэлбэр дүрс, өнгөөр нь харьцуулна. (Жишээ нь:
Өндөр-нам, бүдүүн-нарийн мод; бод, бог мал)
 Амьд байгальд туршилт хийж, тайлбарлана.(Жишээ нь: Ургамалд ус,
гэрэл, агаар чухал)
 Амьд байгалийн амьдралын мөчлөгт ажиглалт, дүгнэлт хийнэ. (Жишээ нь:
Мод, амьтны өнгө, төрхийн өөрчлөлт, Хүн хөгшрөхөөр үс нь буурал,
цагаан болдог)
 Бүлэгт, туршлагын талбайд ургамал тарьж, арчилж хамгаалах, хураахад
оролцоно, ажиглаж, тэмдэглэл хөтөлнө.
 Чулуу, навч, мөчир, үр жимс зэрэг байгалийн материалыг сонирхон
судалж, цуглуулна,түүгээрээ багштай хамтран сургалтын хэрэглэгдэхүүн
бэлтгэнэ.
 Ажигласан зүйлийнхээ учир шалтгааны талаар таамаглал дэвшүүлнэ,
туршиж батална.
 Хийсэн аялал, олж мэдсэн зүйлээ бусдадаа ярина.
 Амьтан, ургамлын дүрд хувиран тоглоно.
 Амьтад, таван хошуу малын онцлог, ижил төстэй ба ялгаатай талыг
ажиглаж ярилцана, сонирхсон зүйлээ бусдаас асууна.
 Байгаль орчинтой хэрхэн зохистой харьцах талаар саналууд гаргана,
ярилцана. (Жишээ нь: Мод хугалж болохгүй, усанд бохир хог хаяхгүй,
хөдөө хээр аялж, зугаалж явахдаа хог, цаас хаяхгүй.)
 Байгаль хамгаалахад оролцоно. (Жишээ нь: Шувуунд тэжээл тавьж өгөх,
мод тарих)
3.Улирал,
цаг уурын
өөрчлөлтийг
сонирхох,
таньж мэдэх
I түвшин II түвшин III түвшин
Байгалийн үзэгдэл
(цас, бороо,
салхи)-ийг мэднэ,
нэрлэнэ.
Ямар улирал болж байгаа,
тухайн үед цаг агаар, амьтан,
ургамалд ямар өөрчлөлт
гардгийг мэднэ, тайлбарлана.
Улирал, цаг агаарын
нөхцөл байдалд
хувцаслалт болон
хийх үйлээ
тохируулна.
Хүүхдийн жишиг үйл
 Өдөр бүр тэнгэрийн байдлыг ажиглаж, цаг агаарын хуанли хөтөлж
ярилцана.
 Сургах, сэдэвт, хөдөлгөөнт тоглоомоор тоглож, байгаль, улирал, цаг
агаарын талаарх ойлголтоо илэрхийлнэ. (Жишээ нь: “Навчаар нь ол”, “Аль
хувцсыг өмсөх вэ?”)
 Байгалийн үзэгдлийн тухай ярилцана.
 Цаг агаарын нөхцөл байдлыг анзаарч, зохицон харьцана. (Жишээ нь:
Бороо орж байхад гадаа тоглохгүй, аянгатай ширүүн борооны үед гүйхгүй,
нартай халуун өдөр малгай өмсөх)
 Баримтат кино, музей, үзвэр, ном, сэтгүүл үзнэ, ярилцана.
 Хийсэн аяллынхаа тухай бусдадаа сонирхуулан ярина.
 Байгаль, цаг ууртай холбогдох туршилт хийж, ажиглана, тэмдэглэл
хөтөлнө. (Жишээ нь: Мөс хайлах, ус цэвэршүүлэх)
 Цаг агаарын өөрчлөлт, байгалийн үзэгдлийг бүтээлээрээ илэрхийлнэ.
42 43
СУРГУУЛИЙНӨМНӨХБОЛОВСРОЛЫНСУРГАЛТЫНЦӨМХӨТӨЛБӨР
ХҮҮХЭДБҮХЭНДЭЭ“БИЧАДНА“ГЭСЭНИТГЭЛӨГЬЕ!
4.”Хүн
орчин”-ы
тухай таньж
мэдэх
I түвшин II түвшин III түвшин
Өөрийгөө болон гэр
бүлээ танилцуулна,
ойр орчныхоо
хүмүүсийн хийж буй
үйлийг ажиглана,
сонирхоно, нэрлэнэ.
Өөрийн аймаг, хот,
дүүрэг, сум, хүмүүсийн
ажил хөдөлмөрийн тухай
мэднэ, ярина.
Өөрийгөө ямар
үндэстэн гэдгийг, бусад
үндэстнээс ялгагдах
онцлогтойг мэднэ.
Хүүхдийн жишиг үйл
 Цэцэрлэг, гэрийнхээ ойр байгаа барилга байгууламж, дэлгүүр,
үйлчилгээний газарт очиж үзнэ, ярилцана.
 Сэдэвт тоглоомоор тоглоно. (Жишээ нь: Эмч, багш, тогооч)
 Бусдад хэрхэн тусалж болох талаар ярилцана, хэрэгжүүлнэ. (Жишээ нь:
Үйлчлэгчид туслахын тулд гутлаа сайн арчих, гэртээ аягаа угаах)
 Ямар хот, аймаг, сумд амьдардаг, нутаг орныхоо юу нь гоѐ, сайхныг
ярилцана.
 Өөрийнхөө нутаг орны онцлог, гоѐ, сайхан зүйлсийг зурж, урлана.
 Бусад үндэстэн, ястны тоглоомоос сурч тоглоно.
 Төрийн далбааг бусад улс орныхоос ялгана.
 Монгол улсын төрийн далбааг бусадтай хамтран бүтээнэ, ангидаа
байрлуулна.
 Монголын тухай кино, бичлэг, үзнэ.
 Баяр ѐслолд зориулан анги танхимаа чимэглэнэ, дуу, шүлэг сурна.
Багшийн үүрэг, оролцоо
 Орчны юмс (газар шороо, ус, ургамал гэх мэт)-ыг таньж мэдэх сонирхлыг өдөөж, хүүхдэд
тэдгээрийг судлах боломж олгоно.
 Үйл ажиллагаанд шаардагдах багаж хэрэгслүүд болон ахуйн хэрэглээний эд зүйлсийг
сонгож, бэлтгэнэ.
 Хүүхдийн “Яагаад?” гэсэн асуултыг хөхиүлэн дэмжинэ, хариултыг хүүхэдтэй хамтран эрж
олно.
 Хүүхдэд юмсын учир шалтгаан, холбоо хамаарлын талаар таамаглал дэвшүүлэх, туршиж
үзэх, дүгнэж ярилцах боломж олгоно.
 Хүүхдүүдээр анги, туршлагын талбайд цэцэг, ургамал тарьж арчлуулан, өсөлт
өөрчлөлтийг нь ажиглуулж судлуулна.
 Хүүхдэд өөрийгөө, гэр бүл, шинээр мэдсэн зүйлээ ярьж танилцуулах, боломж олгоно.
 Хүүхдэд цэцэрлэгийн бусад анги танхим, ойр орчны хүмүүстэй танилцах боломж олгоно.
 Амьдарч буй орон нутаг, хүмүүсийн ажил үйл, мал, тэжээмэл амьтдын ашиг тус, улирал,
цаг агаарын онцлог, ургамал, амьтны амьдралд гарч буй өөрчлөлтэй танилцах аялал
хийнэ.
 Байгальд болон орчиндоо хүний эерэг, сөрөг хандаж буй байдал, түүний үр дагаврыг
үлгэр, зохиол, бичлэг, зураг ашиглан танилцуулна, ярилцана.
 Хүүхдэд олж мэдсэн, түшиж судалсан зүйлээ тэмдэглэх боломж олгоно. (Жишээ нь: Цаг
агаарын өөрчлөлтийг тэмдэглэх хуанли бэлтгэж өгөх)
 Хүүхдийг аль ч улиралд гадаа тоглуулна.
 Хүүхдүүдтэй хамтран монгол үндэсний баяр, ѐслолд бэлтгэнэ, тэмдэглэнэ.
Ямар хэрэглэгдэхүүнээр дэмжих вэ?
 Элс, ус, мод, чулуу, цаас, кортон, даавуу гэх мэт янз бүрийн юмс, материал
 Орчинд нь байгаа мал, амьтан, хорхой шавж, ургамал
 Ахуйн хэрэглээний эд зүйлс (Сам, оо, саван, шингэн саван, утас зүү, шүүр, тосгуур,
товч, шүр гэх мэт)
 Янз бүрийн материалаар хийсэн эд зүйлс, тоглоом наадгай (Резин, мод, хуванцар,
шаазан, төмрөөр хийсэн)
 Багаж хэрэгслүүд (Ус шүршигч, жин, хэмжүүр, цаг, томруулдаг шил)
 Цэцэрлэг, орон нутгийн төвшинд санаачлан бүтээх хэрэглэгдэхүүн
 Эд зүйлс, амьтан, ургамлын зураг
 Тоглоомууд (Барьж байгуулах, сургах, сэдэвт, хөдөлгөөнт тоглоомууд)
 Дуу, чимээ бүхий бичлэг
2.2.5. МАТЕМАТИКИЙН ЭНГИЙН ТӨСӨӨЛӨЛ
Яагаад хэрэгтэй вэ?
Математик нь аливаа утга санаа, сэтгэлгээг тодорхой илэрхийлж байдгаараа шинжлэх
ухааны хэл, байгаль нийгмийн юмс, үзэгдлийн мөн чанарт нэвтэрч орох танин мэдэхүйн арга
юм. Аливаа юмс, эд зүйлс нь өнгө, хэлбэр дүрс, хэмжээ, жинтэй, үйл явдал нь цаг хугацаа,
дэс дараалалтай байдаг. Хүүхэд энэ бүгдийг судалснаар хүний амьдрал, нийгэм, эд зүйлсийн
мөн чанарын талаар өөрийн ойлголт, төсөөлөлтэй болно.
Хүүхэд танин мэдэх эрмэлзэл, сонирхолтой болох, тооны ухагдахууныг амьдралдаа
хэрэглэх, бүтээлчээр сэтгэх, аливааг цэгцтэй, олон талаас нь бодож сурахад математик
чухал үүрэг гүйцэтгэдэг.
Ямар үр дүнд хүрэх вэ?
 Тоог өдөр тутмын амьдралд ашиглана.
 Эд зүйлсийг шинж чанар (хэлбэр дүрс, хэмжээ, өнгө, жин)-аар ялгана, ангилна,
дараалуулна, хэмжинэ.
 Орон зай, цаг хугацааг баримжаална.
Чадвар I түвшин II түвшин III түвшин
1.Тоо-
лох, тоо
бодох
Цөөн ба
олныг
ялгана.
Тоолно, тоогоор нь
харьцуулна, нэмэгдүүлнэ,
хорогдуулна, дэс тоо
хэрэглэнэ.
Тооны цифр, тэмдэг
тэмдэглэгээ хэрэглэнэ, хялбар
бодлого зохионо, бодно.
Хүүхдийн жишиг үйл
 Орчны зүйлсээс олон ба цөөнийг ялгаж хэлнэ. (Жишээ нь: Манай ангийн
ширээ цөөн, сандал олон)
 Хэд байна вэ? Хичнээн? гэсэн асуултад хариулна.
 Цээжээр болон 10 хүртэл оноож тоолно.
 Тоглохдоо дэс тоо хэрэглэнэ. (Жишээ нь: Би эхлээд, хоѐрдугаарт Мөнхөө,
гуравдугаарт Жаргалмаа...)
 Хэмжээ, өнгөөрөө ялгаатай, ижил тоотой дүрсүүдийг янз бүрийн байрлалд
байрлуулж тоолох дасгал ажиллана.
 Багштайгаа хамтран сургалтын хэрэглэгдэхүүн бэлтгэнэ. (Жишээ нь: Янз
44 45
СУРГУУЛИЙНӨМНӨХБОЛОВСРОЛЫНСУРГАЛТЫНЦӨМХӨТӨЛБӨР
ХҮҮХЭДБҮХЭНДЭЭ“БИЧАДНА“ГЭСЭНИТГЭЛӨГЬЕ!
бүрийн тооны эд зүйлстэй картууд, сургах тоглоомын материал, зурагт
хуудас, цифр)
 Тоолоод дүн тоог олон хувилбараар илэрхийлнэ. (Жишээ нь: Нэрлэх,
хуруугаараа, цифрээр, зургаар)
 Төрсөн өдөр, гэрийнхээ хаалганы дугаарыг хэлнэ, утсанд дуудлага хийнэ.
 Юмсыг тоогоор нь харьцуулж, тэнцүү ба тэнцүү бишийг олно.
 Эд зүйлс, тоглоом наадгайг нэгээр хорогдуулна, нэмэгдүүлнэ.
 Юмсыг тоолоод тохирох цифртэй холбоно.
 Тоог хоѐр буюу хэд хэдэн бага тоо болгон задлах дасгал хийнэ. (Жишээ нь: 5-
ийг 1,1,1,1,1 мөн 4+1, 3+2 болгон задлах)
 10-ын дотор нэмэх, хасах сонирхолтой бодлого зохионо, бодно.
 “Алаг мэлхий”, “Шагай түүх, шүүрэх”, “Чулуу таалцах”, “Морь уралдуулах” гэх
мэт ардын тоглоомоор тоглоно.
2. Хэмжих I түвшин II түвшин III түвшин
Эд юмсыг
хэмжээгээр
нь (том,
жижиг)
ялгана.
Энгийн хэрэгсэл
(харандаа, бичгийн
хавчаар гэх мэт)
ашиглан эд зүйлсийг
хэмжинэ.
Төө, сөөм зэрэг уламжлалт хэмжүүр
ашиглан эд зүйлсийг хэмжинэ, шингэн,
бутармаг зүйлсийг тохирох хэрэгсэл
(халбага, аяга, шанагаар гэх мэт)-ээр
хэмжинэ, тооцоолно.
Хүүхдийн жишиг үйл
 Эд зүйлс, тоглоомыг том, жижгээр нь ялгана. (Жишээ нь: Суварган тоглоом)
 Юмс, эд зүйлсийг хэмжээгээр нь ялгаж нэрлэнэ. (Жишээ нь: Том, дунд зэрэг,
жижиг)
 Бүхлээс хэсэг, хэсгээс бүхэл үүсгэнэ. (Жишээ нь: Алим хуваах, угсардаг
тоглоомыг задлах, угсрах)
 Юмс, эд зүйлсийг хэмжээгээр нь дараалуулж тавина. ( Жишээ нь: Хамгийн
өндөр, дунд зэрэг, хамгийн намхан)
 Янз бүрийн хэрэгсэл (тууз, савх, харандаа, утас, үдээс) ашиглаж хэмжинэ, үр
дүнг цифрээр, зургаар илэрхийлнэ.
 Юмсын шинж чанараас хамаарч ямар хэрэгслээр хэмжиж болохыг туршиж
үзнэ. (Жишээ нь: Шингэн ба бутармаг зүйлийг саваар хэмжих)
 Тоглоомын явцад хол-ойр, хурдан-удаан гэсэн үгийг хэрэглэнэ.
 Төрөл бүрийн хэмжээтэй юмсыг зурж, барьж, нааж, зохион бүтээнэ.
3.
Ангилах,
оноох,
дараа
-луулах,
давтамж
үүсгэх
Эд зүйлсийг
ижлээр нь
ялгана, нэгийг
нөгөөд онооно.
Эд зүйлсийг аль нэг шинж
чанараар нь (хэмжээ, хэлбэр
дүрс, өнгө, хийсэн материал
зэргийн аль нэгээр нь)
ангилна.
Юмсыг хоѐр буюу түүнээс дээш
шинж чанараар нь (том
гурвалжин дүрс эсвэл улаан
дугуй дүрс гэх мэт) ангилна,
дараалуулна, давтамж үүсгэнэ.
Хүүхдийн жишиг үйл
 Адил зүйлсийг олно, хамтад нь тавина. (Жишээ нь: Бөмбөг, машинуудыг тус
тусад нь байрлуулах)
 Юмсыг хослуулна. (Жишээ нь: аягыг суурь тавагтай, тугалыг үнээтэй)
 Савх мод, саваа мод, олс, уяа, элс, цас зэргийг ашиглан янз бүрийн дүрс
үүсгэнэ.
 Эд зүйлсийг өндөр-нам, урт-богино, бүдүүн-нарийнаар нь ялгах, дараалуулах
тоглоом тоглоно.
 Тоглоомын явцад дүрсийг нэрлэнэ, бүтээнэ. (Жишээ нь: “Долоодой”)
 Янз бүрийн хэлбэр дүрстэй өрж байгуулах, угсрах тоглоомоор тоглоно.
 Тодорхой хугацаанд аль нэг өнгөөр зураг зурна.
 Юмсыг өнгө, хэмжээгээр нь ялгах тоглоомууд тоглоно.
 Шүрийг өнгөөр нь давтамж үүсгэн хэлхэнэ.
 Дүрсийг өнгө, хэлбэр, хэмжээгээр нь ангилж, төрөлжүүлнэ.
 Дүрсүүдийг тэмтэрч мэдрэн, шинж чанарыг нь тодорхойлон хэлнэ, тоолно.
 Эд зүйлс, тоглоомоор өнгө, хэлбэр, хэмжээгээр нь давтамж үүсгэнэ.
 Юмс, эд зүйлсийг тоо, хэмжээгээр нь дараалуулна.
 Зургийг үйл явдлынх нь дагуу дараалуулна.
4. Орон
зайг
барим-
жаалах
I түвшин II түвшин III түвшин
“Дээр”, “дор”,
“гадаа”, “гэрт” гэсэн
байрлал заасан
үгийг ойлгоно,
хэрэглэнэ.
Өөрийн байрлал (өмнө,
хойно, баруун, зүүн)-
аас бусад юмсын
байрлалыг
тодорхойлно.
Нэг юмсын байрлалаар нөгөө
юмсын байрлалыг
тодорхойлно, харааны
баримжаагаар юмсын хол,
ойрыг төсөөлөн тооцоолно.
 Сургах, хөдөлгөөнт, барьж байгуулах тоглоом тоглуулна. (Жишээ нь:
“Миний баруун гар талд...”)
 Монгол гэрт байрлах эд хогшлыг байрлуулж тоглоно.
 Орон зайд хөдөлгөөнөө зохицуулах хөдөлгөөнт тоглоом тоглоно.
 Эргэн тойрондоо байдаг эд юмсын байрлалыг тодорхойлох дасгал,
даалгавар гүйцэтгэнэ.
 Сэдэвт тоглоомын явцад байрлал заасан үгсийг яриандаа хэрэглэнэ.
 Харааны баримжаагаар юмсын хол, ойрыг төсөөлнө, баталгаажуулан
хэмжиж туршина.
 Орон зайн байрлал заасан агуулгатай үлгэр, шүлэг, өгүүллэгийг сонсож,
жүжигчлэн тоглоно, ярилцана. (Жишээ нь: Орос ардын үлгэр “Чоно ба
долоон ишиг”)
 Өрж байгуулах тоглоомоор барилга байгууламж, эд зүйлс, хүн, амьтны
байрлалыг илэрхийлэн бүтээж тоглоно.
5. Цаг
хугацаа
заасан
үг
хэрэглэх
I түвшин II түвшин III түвшин
Одоо, дараа
гэсэн хугацаа
илэрхийлсэн
үгсийн утгыг
мэднэ, хэрэглэнэ.
Хоногийн хэсгүүдтэй
холбоотой үг хэллэг
(өглөө, өдөр, орой, шөнө)
яриандаа хэрэглэнэ.
Өнөөдөр, маргааш, өчигдөр
гэсэн цаг хугацаа заасан үгсийг
ялгана, хэрэглэнэ.
Үйл явдлын үргэлжлэх хугацааг
баримжаална.
Хүүхдийн жишиг үйл
 Бүлгийн өдрийн дэглэмийн зураглалын талаар ярилцана.
 Өглөө бүр нийтийн цагаар өчигдөр орой гэртээ юу хийсэн болон өнөөдөр,
маргааш юу хийх тухай ярилцана.
 Тоглох явцдаа цаг хугацаатай холбогдох үг, хэллэг ашиглана. (Жишээ нь:
“Өдөр ба шөнө”)
 Төрсөн өдрийн булан ажиллуулж, хэн хэдэн сард төрсөн, хэдэн хүүхэд энэ
сард төрсөн гэх зэргээр ярилцана.
 Цаг хугацаатай холбогдох үлгэр, өгүүллэг сонсоно, ярилцана. (Жишээ нь:
Л.Толстой “Маргааш өвгөн”)
 Бүлэгт байгаа ургамлыг ажиглаж, гарч буй өөрчлөлтийг тэмдэглэж ярилцана.
 Цаг хугацааг илэрхийлсэн дуу дуулна, шүлэг, үгэн наадам, түргэн хэллэг
ашиглана.
 Гэр бүлийнхээ болон өөрийнхөө фото зургийн цомог үзэж, цаг хугацааг
баримжаалан харьцуулж тайлбарлана. (Жишээ нь: Миний гурван настай үеийн
зураг. Өнгөрсөн зун хөдөө явж байхдаа авахуулсан зураг)
Хүүхдийн жишиг үйл
46 47
СУРГУУЛИЙНӨМНӨХБОЛОВСРОЛЫНСУРГАЛТЫНЦӨМХӨТӨЛБӨР
ХҮҮХЭДБҮХЭНДЭЭ“БИЧАДНА“ГЭСЭНИТГЭЛӨГЬЕ!
Багшийн үүрэг, оролцоо
 Тоолох, хэмжих, дараалуулах, ангилах зэрэг үйлд шаардагдах төрөл бүрийн
хэрэглэгдэхүүнийг бэлтгэнэ.
 Өдөр тутмын амьдралд тоог хэрэглэх боломжуудыг хүүхдэд олгоно. (Жишээ нь: Ширээн
дээрх өглөөний цайны жигнэмгийг тоолох, хүн бүрт халбага тараах, нэг ширээнд сууж
байгаа хүүхдүүдийг тоолох)
 Янз бүрийн аргаар тоолж сурахад чиглүүлнэ. (Жишээ нь: Сонсголоор, тэмтэрч тоолох)
 Тоотой холбоотой дуу, шүлэг,үлгэр, өгүүлэг ашиглан сонирхолтой үйл ажиллагаануудыг
зохион байгуулна.
 Хэмжих янз бүрийн материал, хэрэгслүүдийг бэлтгэн, хүүхдэд хэмжиж сурах, хэмжсэн
зүйлээ тэмдэглэх, тооцоолоход тусална.
 Ойр орчмын зүйлсийнхээ байрлал, орон зайг төсөөлөн баримжаалахад тусална. (Жишээ
нь: Манай гэр цэцэрлэгээс урагш байдаг)
 Төрөл бүрийн арга, хэрэгслээр зохиомжлон давтамж үүсгэхэд дэмжлэг үзүүлнэ. (Жишээ нь:
Өнгө, хэлбэр дүрс, хэмжээ, хөдөлгөөнөөр)
 Хүүхдүүдээс өдөр тутмын үйл ажиллагааны явцад эд юмс, тэдгээрийн хэлбэр хэмжээ,
шинж чанарын талаар асуулт асууна, ярилцана.
 Зүг чиг заасан сум, лого бэлтгэж хүүхдэд ашиглуулна. (Жишээ нь: Хаалгаар гарахад аль
сумыг дагах вэ? Шатаар өгсөхөд аль талын гараа барьж явах вэ? Баруун уу?, Зүүн үү?)
 Цаг хугацаатай холбогдох ярилцлага, тоглоом, дүрслэн урлах үйл ажиллагаа зохион
байгуулна. (Жишээ нь: Хэзээ болдог вэ? тааварт тоглоом, улирлын онцлогийг зурах, барих,
наах, намрын баяр, цасны баяр тэмдэглэх)
 Өглөө бүр дасгал хийх, өдөр тутам цаг агаарын байдлыг хуанлид тэмдэглэх зэрэг
давтагдсан үйл ажиллагаа зохион байгуулж, хүүхдийн цаг хугацааны ойлголтод дэмжлэг
үзүүлнэ.
Ямар хэрэглэгдэхүүнээр дэмжих вэ?
 Өдөр тутмын хэрэглээний эд зүйлс
 Гарын доорх болон байгалийн материал (Жишээ нь: Чулуу, боргоцой, мөчир, товч, шүр,
лааз, ундааны хуванцар сав, шүдэнзний хоосон хайрцаг)
 Хэрэглэгдэхүүн (Ангилах хайрцаг, картын самбар, элсэн цаг, өнгийн утас, цаас, харандаа)
 Тараах материал (Тооны цифр, төрөл бүрийн дүрс, хүнсний зүйлс, амьтан, ургамлын зураг)
 Тоглоомууд (Өрж байгуулах тоглоом, шүр, шагай, картонон, цаасан тоглоомууд)
2.2.6. ХӨГЖИМ, ДҮРСЛЭХ УРЛАГ
Яагаад хэрэгтэй вэ?
Бага насны хүүхэд хэл ярианаас гадна нүүр царайны хувирал, хөдөлгөөн, тоглох, зурж
урлах, дуулах, бүжиглэх зэрэг үйлээр өөрийгөө илэрхийлдэг.
Хөгжмийн аялгууны янз бүрийн хэмнэлээр хөдлөх бүрт хүүхдийн сэтгэл сэргэж,
булчин хөгжиж, хөгжмийн зэмсгээр тоглоход гар, хурууны хөдөлгөөн, харааны зохицуулалт
сайжирдаг. Хөгжмийн аялгууг сонсож утга санааг илэрхийлэх, дууны үг, аяыг сурах явцад
тэдний ой тогтоолт сайжирч, сэтгэн бодох чадвар хөгждөг ба өөрийн үндэсний хэл соѐлын
гайхамшгийг мэдэрч эхэлнэ.
Нийтээрээ дуулах, хөгжим тоглох, жүжиглэх үед хамтран ажиллах, зэмсгээ хуваалцах,
тодорхой дүрэм журам дагах, бусдыг сонсох зэргээр нийгмийн харилцаанд суралцана.
Зурах, урлан бүтээх үйл нь хүүхдийн тал бүрийн хөгжлийг дэмжиж, бүтээлч сэтгэлгээг
хөгжүүлнэ. Дүрслэн урлах үйл нь гар, хурууны хөдөлгөөнөө зохицуулах, эхэлсэн ажлаа
дуусгах, тэсвэр тэвчээртэй болох, аливааг олон талаас нь бодож төлөвлөх, гоѐ сайхныг
мэдрэх, хийж бүтээхийг эрмэлзэх зэрэг олон эерэг нөлөөллийг хүүхдэд үзүүлдэг. Урлагийн
бүтээлтэй танилцахад хүүхдэд зохиомж, утга агуулга, өнгө зохицол нь бүрдсэн сайхан
зүйлсийг мэдэрч ойлгох боломж олддог.
Ямар үр дүнд хүрэх вэ?
 Дуу, хөгжим, урлагийн бүтээлийг таашаана, сайхныг нь мэдэрч баясна.
 Дуулах, бүжиглэх, жүжигчлэн тоглох, хөгжимдөх, зурах, наах, баримал барих,
зохион бүтээх дуртай байна.
 Хөгжмийн аялгуу, хэмнэлд тохируулан хөдөлгөөн хийнэ, дуулна.
 Хүрээлэн байгаа орчны юмс, үзэгдлийн талаарх ойлголт төсөөлөл, санаа
бодлоо зураг, бүтээлээрээ бүтээлчээр илэрхийлнэ.
Чадвар I түвшин II түвшин III түвшин
1.Хөгжмийн
аялгууг
ялгаж
сонсох,
мэдрэмжээ
илэрхийлэх
Хөгжмийн аялгууг
сонсоод баярлах,
толгой, биеэ хөдөлгөх
зэргээр сэтгэл
хөдлөлөө илэрхийлнэ
Хөгжмийн аялгууг
сонсоод танина, мэддэг
дуугаа дуулна, хэмнэлд
тохируулан хөдөлгөөн
хийнэ.
Хөгжмийн хурдан удаан,
чанга сул, хэмнэлийг
ялгана. Хөгжмийг
сонсоод утга санаа, өнгө
аясыг үгээр илэрхийлнэ.
Хүүхдийн жишиг үйл
 Хөгжим сонсоод, юу төсөөлөгдөж байгааг ярилцана
 Орчны амьд болон амьгүй байгалийн юмс, үзэгдэл, эд зүйлсийн дуу
чимээг ялгаж сонсоно, нэрлэнэ. (Жишээ нь: Салхи исгэрэх, ус урсах, зөгий
дүнгэнэх, голио, царцаа шаргих, нохой хуцах, морь янцгаах, бороо
шаагих)
 Хөгжимт хөдөлгөөнт, жүжигчилсэн, сургах тоглоомын явцад хөгжмийн
хэмнэл, аялгууны өөрчлөлтийг мэдэрч илэрхийлнэ.
 Аялгууг сонсоод хөгжмийн зэмсгийг ялгана. (Жишээ нь: Төгөлдөр хуур,
морин хуур)
 Чулуу, мод, шил, шаазан, төмөр, хуванцар, цаасан эд зүйлсийг дуугаргаж
туршин, ямар дуу чимээ гарч байгааг ялгаж сонсоно, юуны дуу чимээ
болохыг нэрлэнэ.
 Хөгжим сонсоод өөрт тааламжтай аялгууг ялгаж хэлнэ.
 Хөгжмийн аялгууг сонсоод утга санааг үг, хөдөлгөөн, зураг, нүүрний
хувирлаар илэрхийлнэ.
 Сонсож байгаа зүйлийнхээ чанга сулыг тохируулна.
 Хөгжмийн аялгууг сонсоод хөгжилтэй, гунигтай , уйтгартай гэх мэт өнгө
аясыг илэрхийлж хэлнэ.
 Сонсох эрхтнээ хэрхэн хайрлаж хамгаалах талаар ярилцана, тоглоом
тоглоно. (Жишээ нь: “Хаана юу дуугарав?”, “Сонор соотон чих”, “Шувууд
юу гэж жиргэв?”)
2.Хөгжмийн
хэмнэлийг
илэрхийлэх
I түвшин II түвшин III түвшин
Дуу, хөгжмийн
хэмнэлийг ялган
сонсож, хөдөлгөөн
(биеэр ганхах, алга
таших, толгойгоо
дохих)-өөр илэрхийлнэ.
Дуу, хөгжмийн
хэмнэлийг мэдэрч,
энгийн хөгжмийн зэмсэг
(бөмбөр, шагшуур, дуут
мод зэрэг)-ээр дагаж
тоглоно.
Ганцаараа болон
бусадтай дуу, хөгжмийн
хэмнэлийг энгийн
хөгжмийн зэмсгээр
илэрхийлэн тоглоно.
Хүүхдийн жишиг үйл
 Ойр орчныхоо дуу чимээнээс давтамжийг мэдэрч, дагаж дуурайна.
(Жишээ нь: Бороо орох, цаг дуугарах, мод хөрөөдөх)
 Янз бүрийн хэрэгсэл, арга техник ашиглан хэмнэл зохионо. (Биеийн
хөдөлгөөн, дүрс, энгийн хөгжмийн зэмсэг гэх мэт)
48 49
СУРГУУЛИЙНӨМНӨХБОЛОВСРОЛЫНСУРГАЛТЫНЦӨМХӨТӨЛБӨР
ХҮҮХЭДБҮХЭНДЭЭ“БИЧАДНА“ГЭСЭНИТГЭЛӨГЬЕ!
 Дуу, хөгжмийн чанга сул, удаан түргэн болон хэмнэлийг мэдэрч хэлнэ.
 Урлан бүтээх үйлээр бусадтай хамтран байгалийн болон ахуйн жижиг
зүйлсийг ашиглан энгийн хөгжмийн зэмсэг хийж дуугарган туршина.
(Жишээ нь: Шагшуур, бөмбөр)
 Хийсэн хөгжмөөрөө өндөр, нам өнгө, чанга, сул дуугаралт, хэмнэлийг
ялган тоглоно.
 Хөгжимт, хөдөлгөөнт, сургах тоглоомын явцад үзүүлсэн хэмнэл (алга
таших, хөлөө товших, энгийн хөгжмийн зэмсэг ашиглах зэргээр)-ийг
дагаж илэрхийлнэ.
 Хэмнэлийг хосоор, хамтлаг, нийтээр илэрхийлж тоглоно.
3.Ганцаараа
болон
бусадтай
дуулах
I түвшин II түвшин III түвшин
Дууны үгийг аялгуулан
хэлнэ, дагаж аялна.
Дууг дагаж болон бие
даан дуулна.
Ганцаараа болон бусадтай
хамтарч хөгжмийн
хамсраатай, хамсраагүй
дуулна.
Хүүхдийн жишиг үйл
 Дууны утга санааг ойлгож дуулна, агуулгыг зураг ашиглан ярина.
 Дууны эхлэл, төгсгөл, дахилтыг сонсож ялгана, үг, бадгийн дарааллыг
тогтооно.
 Холбоо үг, аман наадмыг аялгуулан хэлнэ.
 Өөрийн санаачилгаар ганцаараа болон бусадтай дуулна.
 Дууг дуулахдаа дохионы дагуу зэрэг эхэлж, дуусгана.
 Дууны хэмнэл, утга санаад тохирсон хөдөлгөөн хийж дуулна.
4. Хөгжмийн
аялгуу,
хэмнэлд
тохируулан
хөдөлгөөн
хийх
I түвшин II түвшин III түвшин
Хөгжмийн ая, хэмнэлд
тохируулан бүжгийн энгийн
хөдөлгөөн (гараасаа барьж
тойргоор алхах, алга
таших, дороо эргэх) хийнэ.
Бүжгийн энгийн
хөдөлгөөнийг бие даан
болон бусадтай
хамтран хийнэ, зэрэг
эхэлж, дуусгана.
Үйл хөдлөл, бодол
санаа, мэдрэмжээ
бүжгийн хөдөлгөөнөөр
илэрхийлнэ.
Хүүхдийн жишиг үйл
 Хөгжмийн хэмнэлийг мэдэрч, тохирсон хөдөлгөөн хийнэ, бүжиглэнэ,
хөгжилтэй тоглоом, тойрон бүжигт оролцоно.
 Хөгжмийн хэмнэлд тохируулан биеийн тамирын дасгал, хөдөлгөөн хийнэ.
 Бүжиг, хөгжимт тоглоом, тойрон бүжиг, дасгалын үед хөгжмийн хэмнэлд
тохируулан хөнгөн алхана, гүйнэ, хоѐр хөлийг товшино, хоѐр хөл дээр
ээлжлэн үсэрнэ, орон зайг баримжаалан эргэнэ.
 Дүрс бичлэг, кино, бүжгийн хамтлагийн тоглолт үзнэ, хөдөлгөөнийг
дуурайж хийнэ, санаа бодол, сэтгэгдлээ хэлнэ.
 Сэтгэлийн хөдөлгөөнөө дуу хоолой, хөдөлгөөнөөрөө илэрхийлнэ,
жүжигчлэн тоглох дуртай байна.
 Жүжигчилсэн тоглолт, бүжгийн өдөрлөг, бүжигчинтэй хийх уулзалт зэрэг
үйл ажиллагаанд оролцож, хүсэл мөрөөдөл, санал бодлоо ярилцана.
 Хамтран дуулж, бүжиглэх дуртай байна, нөхдийнхөө бүжиглэхэд баясаж
талархана.
5. Ойлголт
төсөөлөл,
бодол
санаагаа
зурж
дүрслэх
I түвшин II түвшин III түвшин
Зурах үйлийг
сонирхоно, орчны
юмсыг
өөрийнхөөрөө
зурж дүрсэлнэ.
Зурах багаж хэрэгслээ
сонгоно, төрөл бүрийн
материал (харандаа,
будаг, бийр, эсгий бал
гэх мэт) ашиглан олон
аргаар зурж дүрсэлнэ.
Хүрээлэн буй орчны юмс,
үзэгдэл, үйл явдал, санаа
бодол, мэдрэмжээ зургаар
илэрхийлнэ, бусадтай
хамтран бүтээл хийнэ, зурж
буй зүйлдээ хичээл
чармайлттай хандана.
Хүүхдийн жишиг үйл
 Зурах явцдаа төрөл бүрийн цаас, өнгийн харандаа, усан будаг, бийр,
бусад зурж дүрслэх материал, хэрэгслийг туршин үзэж, ашиглана.
 Эрээчиж сараачна, юутай адил болсныг ажиглана, нэрлэнэ.
 Зураас, цэг, толбо, өнгө, дүрс ашиглан санаа бодлоо илэрхийлэн зурна.
 Аялал, зугаалгаар хүн, амьтны хөдөлгөөнийг ажиглана, ярилцана,
бүтээлдээ дүрсэлнэ.
 Байгаль орчны юмс, үзэгдлийг ажиглана, өнгө, дүрс, байршлыг
судалж, зураг бүтээлдээ тусгана.
 Зурсан зургаа энгийн аргаар хээлж чимэглэнэ. (Жишээ нь: Геометрийн
дүрс, цэцэг навчаар)
 Янз бүрийн арга, хэрэгсэл ашиглан зурна. (Жишээ нь: Гар, хөлийн хуруу,
улны мөр, будган дусал болон хэв дардас, гуурс ашиглан зурах)
 Үндсэн өнгийг таньж нэрлэн зурагтаа ашиглана, шинэ өнгө үүсгэж
хэрэглэнэ.
 Юуны тухай, юугаар, яаж зурснаа бусдад тайлбарлана.
 Бүтээлээрээ үзэсгэлэн гаргах, цомог хийх, самбарт байрлуулахад
оролцоно.
 Зураг, урлалын хэрэгслийг цэвэрлэнэ, асгасан, унагасан зүйлийг хамтран
цэвэрлэж, хурааж цэгцэлнэ.
 Бусадтай хамтран бүтээл хийнэ.
6. Шавраар
эд зүйлс,
хүн, амьтан
дүрслэх
I түвшин II түвшин III түвшин
Баримлын болон
байгалийн шавар,
зуурмаг, элсээр нэг цул
бүтэцтэй зүйлс хийнэ, хэв
дардас ашиглан хэлбэр
гаргана.
Баримлын шавар,
зуурмаг, цас, элсээр
хялбар бүтэцтэй (2 ба
3-аас доошгүй хэсгээс
бүтсэн) зүйлс
дүрсэлнэ.
Баримлын шавар,
зуурмаг, цас, элсээр эд
зүйлс, хүн, амьтан
дүрсэлнэ.
Хүүхдийн жишиг үйл
 Баримлын болон байгалийн шавар, гурилан зуурмагны шинж чанартай
танилцана.
 Шаврыг бөөрөнхийлөх, хавтгайлах, сунгах, цувих, хуваах, нааж бэхлэх
аргыг туршина, хэрэглэнэ.
 Янз бүрийн материал (баримлын шавар, зуурмаг, элс ус)-аар эд зүйлс
дүрсэлнэ.
 Аялал, зугаалга, экскурсээр явах, музей үзэсгэлэн үзэх явцад амьтан,
ургамал, юмс, үзэгдлийг сонирхон ажиглана, тэдгээрийн өнгө, хэлбэр,
бүтэц хэсгийн болон юмс хоорондын харьцаа, хүн, амьтны хөдөлгөөнийг
судалж ярилцана.
 Оршин суугаа хот, аймаг сумын төв, түүх соѐлын газар, хөшөө дурсгалтай
танилцана, онцлогийнх нь талаар ярилцана.
 Оролцсон ажил хөдөлмөр, аялал, баяр ѐслолын үеэр өөрт нь
сонирхолтой, онцгой санагдсан зүйлсийг барьж дүрсэлнэ.
 Бүтээлээрээ үзэсгэлэн гаргахад оролцож санал бодлоо илэрхийлнэ.
 Үлгэр, өгүүллэг, хүүхэлдэйн кино, жүжгийн өөрийн дуртай дүрийг барьж
дүрсэлнэ.
7. Ойлголт
төсөөлөл,
бодол
санаагаа
наамлаар
дүрслэх
I түвшин II түвшин III түвшин
Наамал хийх үйлийг
ажиглана, бэлэн
дүрсээр наамал
хийнэ.
Хялбар дүрс
хайчлан нааж, эд
зүйлс, амьтан,
ургамал дүрсэлнэ.
Төрөл бүрийн материал (цаас,
картон, бөс даавуу, үр жимс)-
аар орчноо бүтээлчээр дүрслэн
наамал хийнэ.
50 51
СУРГУУЛИЙНӨМНӨХБОЛОВСРОЛЫНСУРГАЛТЫНЦӨМХӨТӨЛБӨР
ХҮҮХЭДБҮХЭНДЭЭ“БИЧАДНА“ГЭСЭНИТГЭЛӨГЬЕ!
Хүүхдийн жишиг үйл
 Наамал хийх явцад юмсын гадаад онцлог, хэлбэр дүрс, бүрдэл хэсгийг
ажиглана, ярилцана.
 Хүн, амьтан, ургамал, эд зүйлсийг цаас, даавуу, торго, ноос, утас болон
байгалийн материал ашиглан дүрслэн наана. (Жишээ нь: Навч, чулуу,
элс, төрөл бүрийн үр жимс, будаа, сүрэл, боргоцой)
 Төрөл бүрийн материалаар наамал хийх явцад тэдгээрийн шинж чанарыг
судална.
 Бэлтгэсэн дүрсүүдээ зохиомжлон байрлуулна, наана.
 Бүтээлээ орон зай, дүрс, өнгийн, давтамж үүсгэж чимэглэнэ.
 Янз бүрийн аргуудын ашиглан наана. (Жишээ нь: Голоор нь нугалсан
цаасан дээр зураад, дагуулан хайчлах, урах аргаар тэгш хэмтэй зүйлийг
дүрсэлж наах)
 Үлгэр, зохиолтой танилцаж, жүжиг, кино үзсэний дараа өөрийн сэтгэгдлийг
илэрхийлж, дуртай баатрууд, хайртай амьтнаа дүрслэн наана.
 Аялал, зугаалга, ажил хөдөлмөр, баяр, тэмдэглэлт өдрийн өөрт
сонирхолтой, онцгой санагдсан зүйлсийг наамлаар дүрслэн, бүтээлүүдээ
хамтын бүтээл болгон зохиомжилж, ярилцлага хийнэ.
 Наасан бүтээлээ цавуу, наалдамхай тууз, утас, үдээсээр холбон тоглоом
хийж ашиглана, орчноо чимэглэнэ.
8. Барьж
байгуулах,
зохион
бүтээх
I түвшин II түвшин III түвшин
Барьж байгуулах
тоглоомоор эд зүйлс
зохион бүтээж
тоглоно.
Барьж байгуулах,
эвлүүлж угсрах тоглоом,
хаягдал болон байгалийн
материалаар зохион
бүтээнэ.
Зохион бүтээсэн
зүйлсээрээ тоглоно,
агуулга, дүрслэлийг
баяжуулна.
Хүүхдийн үйл
 Барьж байгуулах тоглоомоор орчныхоо талаарх ойлголт, төсөөллөө
илэрхийлэн бүтээнэ.
 Орчны юмс, амьтан, ургамлыг цаас, даавуугаар нугалбар хийж эвхэж
дүрсэлнэ.
 Байгалийн болон ахуйн жижиг зүйлсийг ажиглан хараад түүгээр юуг, яаж
хийж болохыг сэдэж, бусадтай саналаа солилцоно, хэрэгжүүлнэ. (Жишээ
нь: Навч, цэцэг, боргоцой, чулуу, хайрцаг, сав, бөглөө)
 Өөрийн бүтээлийг бусдад танилцуулан, юугаар, яаж хийснээ
тайлбарлана.
 Зохион бүтээсэн зүйлээ тоглох, найз нөхөд, дүүдээ бэлэглэх, анги
танхимаа чимэглэхэд ашиглана.
 Угсарч, эвлүүлэх тоглоомоор хүн, амьтан, эд зүйлс бүтээнэ.
 Бүтээл хийхдээ няхуур ажиллаж, багаж хэрэгслийг хурааж цэгцэлнэ,
ажлын байраа цэвэрлэхэд оролцоно.
 Тууз, олс, цаас зэргийг ашиглан хоѐроор, гурваар сүлжин бүтээл хийнэ,
тоглох үйлдээ ашиглана.
 Хэрэглэх материалуудынхаа шинж чанарыг судална, хэрхэн ашиглах
талаар ярилцана, шийднэ. (Жишээ нь: Барзгар, гөлгөр, бүдүүн, нарийн,
урт богино, өнгө, хэлбэр)
 Өөрийн болон нөхдийн бүтээлээр бахархана, бусдад тайлбарлаж
танилцуулна.
Багшийн үүрэг, оролцоо
 Хэрэглэгдэх материал (цаас, цавуу, баримлын шавар, байгалийн материал гэх мэт)
багаж хэрэгсэл (бийр, хайч гэх мэт), энгийн хөгжмийн зэмсгийг бэлтгэнэ.
 Материал, багаж хэрэгсэлтэй аюулгүй, зөв харьцах арга техникийг таниулна.
 Хэрэглэгдэх материалуудыг төрөлжүүлэн хайрцаглаж, хаяглан (зургаар), хүүхэд
сонгож, чөлөөтэй авч ашиглаж болохоор байрлуулна.
 Хүүхдэд хөгжмийн хүч (чанга, сул), хурд (удаан, түргэн), хэмнэлийг мэдрэх, тэдгээрийг
янз бүрийн арга, хэрэгслээр илэрхийлэх боломж олгоно.
 Хүүхдэд зурааснууд, өнгө, хэлбэр дүрсийг зураг бүтээлдээ ашиглахад тусална.
 Өөрийн санаа бодол, ойлголт төсөөлөл, аялал, зугаалга, тоглоом, уран зохиолтой
танилцах явцад танилцсан амьтан, ургамал, сонирхсон эд зүйлс, үйл явдлыг зурж,
дүрслэх сэдэл төрүүлнэ, чиглүүлнэ.
 Өдөр бүр хүүхдэд дуу, хөгжим сонсох, хөгжмөөс төрсөн сэтгэгдлээ хуваалцах, дууг
ганцаараа болон бусадтай дуулах, хөгжмийн ая, хэмнэлд тохируулан хөдөлгөөн хийх
боломж олгоно.
 Хүүхдийн хоолойн цараанд тохирсон дууг сонгоно, утгыг ярилцана, чанга
хашгирахгүй, үгийг зөв тод хэлж дуулахад тусална.
 Дуулах, бүжиглэх, жүжиглэх, дүрслэн урлах чадвар хүүхэд бүрт харилцан адилгүйг
хүлээн зөвшөөрнө, шаардагдах дэмжлэг туслалцаа үзүүлнэ.
 Хүүхдийн бүтээлд ажиглалт судалгаа хийнэ, ахицыг баримтжуулна.
Ямар хэрэглэгдэхүүнээр дэмжих вэ?
 Дууны болон сонсох хөгжмийн цомог
 Төрөл бүрийн энгийн хөгжмийн зэмсэг
 Дуу авиа гаргах энгийн хэрэгслүүд
 Дуу, бүжиг, хөгжимт хөдөлгөөнд хэрэглэгдэх тууз, дарцаг, баг маск, хүүхэлдэй,
тоглоом зэрэг дагалдах хэрэгсэл
 Хуруу, бээлийн, таягт хүүхэлдэй
 Төрөл бүрийн цаас (цаас, зургийн цаас, өнгийн цаас, ханын цаас, картонон цаас,
хуучин сонин, сэтгүүл гэх мэт)
 Зургийн хэрэгслүүд (өнгийн харандаанууд, бийр, хайч, усан будаг, гуашь, тосон
харандаа, өнгийн шохой гэх мэт)
 Дүрслэн урлахад шаардагдах бусад хэрэглэгдэхүүнүүд (баримлын шавар, зуурмаг,
хэв, дардас, цоолбор, гарын доорх болон байгалийн материал гэх мэт)
 Өрж байгуулах, эвлүүлж угсрах тоглоом
52 53
СУРГУУЛИЙНӨМНӨХБОЛОВСРОЛЫНСУРГАЛТЫНЦӨМХӨТӨЛБӨР
ХҮҮХЭДБҮХЭНДЭЭ“БИЧАДНА“ГЭСЭНИТГЭЛӨГЬЕ!
ЦӨМ ХӨТӨЛБӨРТ ХЭРЭГЛЭГДСЭН ЗАРИМ НЭР ТОМЬЁОНЫ ТАЙЛБАР
Нэр томьёо Тайлбар
Сургалтын цөм
хөтөлбөр
Сургуулийн өмнөх боловсролын түвшинд хүүхдийн хүрэх үр дүн
буюу эзэмших мэдлэг, чадвар, хандлагыг тодорхойлсон сургалтын
баримт бичиг
Чадамж Мэдлэг, чадвар, төлөвшлийн цогц
Чадвар Аливаа үйлийг гүйцэтгэх, шийдвэрлэх ур дүй, дадлуудын цогц
Ерөнхий чадвар
Сургуулийн өмнөх боловсролын түвшинд хүүхдийн эзэмших үндсэн
буюу өдөр тутмын амьдрал болон зориуд зохион байгуулсан
сургалтаар эзэмших нэгдмэл чадвар
Тусгай чадвар
Сургуулийн өмнөх боловсролын түвшинд суралцахуйн тухайн
чиглэлийн онцлогтойгоор хүүхдийн эзэмших чадвар
Сургалтын
чиглэл
Хүүхдийн бүх талын хөгжлийг хангах сургалтын бүрэлдэхүүн хэсгүүд
Суралцахуйн
зорилт
Суралцах үйл ажиллагаагаар хүрэх үр дүн
Сурах үйл
ажиллагаа
Хүүхдийн танин мэдэх, төлөвших үйл, үйлдлийн цогц
Сургалтын арга
зүй
Суралцахуйг дэмжих үйл ажиллагааны арга, аргачлалын цогц
Сургалтын
технологи
Сургах, сурах үйл ажиллагааг хэрэгжүүлэх үйлийн оновчтой горим,
эрэмбэ дараалал, түүний хувилбар
Сурах арга барил Хүүхэд сурах үйл ажиллагаагаа төлөвлөх, зохион байгуулах, үнэлэх
үйлийн цогц
Цэцэрлэгийн үзэл
баримтлал
Тухайн цэцэрлэгийн хамт олны хүүхдийг хөгжүүлж, төлөвшүүлэх
ажлын шийдэл, онцлог арга ухаан, өдөр тутмын ажилдаа баримтлах
удирдамж
Цэцэрлэгийн
сургалтын
хөтөлбөр
Сургуулийн өмнөх боловсролын сургалтын цөм хөтөлбөрт үндэслэн
орон нутгийн болон тухайн цэцэрлэгийн өвөрмөц онцлог, хүүхдийн
хөгжлийн хэрэгцээг тусган боловсруулсан сургалтын хөтөлбөр
Сургалтын цөм
хөтөлбөр
Сургуулийн өмнөх боловсролын түвшинд хүүхдийн хүрэх үр дүн
буюу эзэмших мэдлэг, чадвар, хандлагыг тодорхойлсон сургалтын
баримт бичиг
Залгамж холбоо
Сургалт, үйл ажиллагааны агуулга, хүүхдийн эзэмших чадварт гарч
буй ахиц, өөрчлөлтийн уялдаа хамаарал
Үнэлгээ
Сургалтын хөтөлбөрийн хэрэгжилтийн явцад болон эцэст
суралцагчийн эзэмшсэн чадамжийн түвшинг хэмжин тогтоох арга
хэрэгсэл
ÖªÌ ÕªÒªËÁªÐ ÁÎËÎÂÑÐÓÓËÑÀÍ ÁÀÃÈÉÍ Á¯ÐÝËÄÝÕ¯¯Í
Ǻâëºõ: Á.Íàñàíáàÿð, ÁÑØÓß-íû Ñòðàòåãèéí áîäëîãî, òºëºâëºëòèéí ãàçðûí äàðãà
ÖªÌ ÕªÒªËÁªÐÈÉà ÒÓÐØÑÀÍ ÖÝÖÝÐËÝï¯Ä
1 Áàÿíõîíãîð àéìãèéí 4 ä¿ãýýð öýöýðëýã
2 Áàÿíõîíãîð àéìãèéí 9 ä¿ãýýð öýöýðëýã
3 Äàðõàí-Óóë àéìãèéí 18 äóãààð öýöýðëýã
4 Äîðíîä àéìãèéí 1 ä¿ãýýð öýöýðëýã
5 Çàâõàí àéìãèéí 1 ä¿ãýýð öýöýðëýã
6 Îðõîí àéìãèéí 10 äóãààð öýöýðëýã
7 ªìíºãîâü àéìãèéí Öîãòöýöèé ñóìûí 7 äóãààð öýöýðëýã
8 Íèéñëýëèéí Ñ¿õáààòàð ä¿¿ðãèéí 42 äóãààð öýöýðëýã
9 Íèéñëýëèéí Ñîíãèíîõàéðõàí ä¿¿ðãèéí 101 ä¿ãýýð öýöýðëýã
10 Íèéñëýëèéí Áàÿíç¿ðõ ä¿¿ðãèéí 115 äóãààð öýöýðëýã
11 Íèéñëýëèéí Áàÿíãîë ä¿¿ðãèéí 120 äóãààð öýöýðëýã
12 Íèéñëýëèéí Áàÿíãîë ä¿¿ðýã, ÓÁÒÇ-ûí 179 ä¿ãýýð öýöýðëýã
1 Í.Íîðæõîðëîî
Ñóðãóóëèéí ºìíºõ áîëîâñðîëûí ÷àíàðûí øèíý÷ëýëèéí
áàãèéí àõëàã÷, PhD
2 Ã.Ìîíãîëõàòàí Áîëîâñðîëûí õ¿ðýýëýíãèéí ýðäýì øèíæèëãýýíèé àæèëòàí
3 Ç.Áîëîðìàà Íèéñëýëèéí Áîëîâñðîëûí ãàçðûí ìýðãýæèëòýí
4 Ç.̺íõòóóë Áîëîâñðîëûí ¿íýëãýýíèé òºâèéí ìýðãýæèëòýí
5 Á.Îþóíãýðýë
Áàÿíõîíãîð àéìãèéí Áîëîâñðîë, ñî¸ëûí ãàçðûí
ìýðãýæèëòýí
6 ×.Áàÿíöýöýã
Íèéñëýëèéí Ñîíãèíîõàéðõàí ä¿¿ðýã, 101 ä¿ãýýð
öýöýðëýãèéí ýðõëýã÷
7 ß.Îòãîíæàðãàë
Íèéñëýëèéí Ñ¿õáààòàð ä¿¿ðýã, 42 äóãààð öýöýðëýãèéí
ýðõëýã÷
8 Æ.Íàðàí
Íèéñëýëèéí ×èíãýëòýé ä¿¿ðýã, “Áàñàðõàí” öýöýðëýãèéí
ýðõëýã÷
9 Á.Ï¿ðýâäîëãîð “Áàãà íàñíû õ¿¿õäèéí õºãæëèéã äýìæèõ òºâ” ÒÁÁ-ûí àæèëòàí
10 Ò.Ýíõìàà Îðõîí àéìãèéí 10 äóãààð öýöýðëýãèéí ýðõëýã÷
11 Ò.Òºìºð-Î÷èð Õóóëü ç¿éí ÿàìíû ìýðãýæèëòýí
12 Ä.Ãýðýëòóÿà
Íèéñëýëèéí Áàÿíç¿ðõ ä¿¿ðýã, “ßãààí öàìõàã” öýöýðëýãèéí
ýðõëýã÷
13 Æ.Áóðìàà Íèéñëýëèéí Õàí-Óóë ä¿¿ðýã, “Îð÷ëîí” öýöýðëýãèéí ýðõëýã÷
15
14
Ä.Òóÿà
Ñóðãóóëèéí ºìíºõ áîëîâñðîëûí ñóðãóóëèéí Òýíõèìèéí
ýðõëýã÷, PhD
16 À.Íàðìàíäàõ
“Áàãà íàñíû õ¿¿õäèéí õºãæëèéã äýìæèõ òºâ” ÒÁÁ-ûí
ã¿éöýòãýõ çàõèðàë
Æ.Æàãàðñ¿ðýí Íèéñëýëèéí Áàÿíç¿ðõ ä¿¿ðýã, 64 ä¿ãýýð öýöýðëýãèéí ýðõëýã÷
5554
СУРГУУЛИЙНӨМНӨХБОЛОВСРОЛЫНСУРГАЛТЫНЦӨМХӨТӨЛБӨР
ХҮҮХДИЙН ХӨГЖЛИЙН АХИЦЫГ ҮНЭЛЭХ
АЖИГЛАЛТЫН ХУУДАС
Аймаг / дүүрэг:____________________ Цэцэрлэгийн нэр, дугаар:______________________
Овог, нэр: _____________________________________ Хүйс: _______
Огноо: Огноо:
Нас ____ сар ____ Нас ____ сар ____
1. Биеийн хөдөлгөөнөө удирдах чадвар
№ Чадвар
Чаддаг
-гүй
Дэмж-
лэгтэй
Чаддаг
1.1 Шалан дээр байгаа зүйлийг доош бөхийн барьж авна.
1.2 Ор болон өндөр сандал дээр гарч, бууж чадна.
1.3 Том хайрцагт юмсыг зөөж хийнэ.
1.4 Хөтөвч, суултуурт бие засахдаа өөрөө сууж, босно.
1.5 Шатаар өгсөж, уруудна.
1.6 Аяга, халбагаа зөв барьж хэрэглэнэ.
1.7
Зузаан (картонон) хуудастай номын хуудсыг нэг нэгээр нь
эргүүлнэ.
1.8
Бүдүүн харандаа, тосон харандаа ашиглаж, цаасан дээр
зураас татна.
1.9 Хувцсаа өөрөө тайлна.
1.10 Гараа угааж, арчина.
1.11 Цэвэрхэн хооллоно.
1.12 “Болно”, “Болохгүй” гэсэн энгийн зааврыг ойлгож биелүүлнэ.
Хугацаа
IX-X
сар
IV-V
сар
Ахиц
Онооны дүн
Гүйцэтгэлийн дундаж
3 хүртэлх насны хүүхэд
ТАЙЛБАР:
Хүүхэд тус бүрийн чадвараас хамааран “Чаддаггүй” бол 1, “Дэмжлэгтэй” бол 2,
“Чаддаг” бол 3 гэсэн үнэлгээг хүснэгтэд тэмдэглэнэ. Нийт онооны дүнг тухайн хэсгийн
чадварын тоонд хувааж “Гүйцэтгэлийн дундаж” гарна.
НОМ ЗҮЙ
1. Монгол улсын Боловсролын тухай хууль, 2002 он
2. Төрөөс боловсролын талаар баримтлах бодлого батлах тухай, Монгол Улсын Их
хурлын тогтоол, Дугаар 12, 2015 он
3. “Зөв монгол хүүхэд” үндэсний хөтөлбөр, Монгол Улсын Засгийн газрын тогтоол,
дугаар 295, 2013 он
4. “Сургуулийн өмнөх боловсролын сургалтын талаар баримтлах бодлого”, Боловсрол,
шинжлэх ухааны сайдын тушаал, дугаар 327, 2013 он
5. Ухаалаг төрийг цогцлоох хүн, түүний ѐс суртахууны тухай, Д.Чойжамц, 2013 он,
Улаанбаатар
6. ХБНГУ: Der Bayerische Bildungs-und Erziehungsplan fuer Kinder in Tageseinrichtungen
bis zur Einschulung, 2009
7. Зургаан настай хүүхдийн сургуульд бэлтгэгдсэн байдлын судалгааны тайлан, БСШУЯ,
Боловсролын хүрээлэн, НҮБ-ын Хүүхдийн сан, 2008 он, Улаанбаатар
8. Бага насны хүүхдийн бие бялдар-сэтгэцийн хөгжил, Ш.Оросоо, Ж.Батдэлгэр,1999 он
Цахим хуудас:
1. Канад: “Early Learning Framework”2007, British Columbia, Ministry of Education,
Canada,http://www.bced.gov.bc.ca/early_learning/pdfs/early_learning_framework.pdf
2. ОХУ: Концепция дошкольного воспитания 2012, Россия
http://do.isiorao.ru/document/untitled.php/prikaz%20o%20concepcii.php
3. Сингапур: A Framework for A Kindergarten Curriculum in Singapore,
2012,http://www.moe.gov.sg/education/preschool/files/kindergarten-curriculum-
framework.pdf
4. Япон: Japanese Course of study kindergarten
(2008)http://www.mext.go.jp/a_menu/shotou/newcs/youryou/eiyaku/__icsFiles/afieldfile/201
1/01/13/1298368_1.pdf
----- о О о -----
56 57
ХҮҮХДИЙН ХӨГЖЛИЙН АХИЦЫГ ҮНЭЛЭХ АЖИГЛАЛТЫН ХУУДАС
ХҮҮХДИЙН ХӨГЖЛИЙН АХИЦЫГ ҮНЭЛЭХ
АЖИГЛАЛТЫН ХУУДАС
Аймаг / дүүрэг:____________________ Цэцэрлэгийн нэр, дугаар:______________________
Овог, нэр: _____________________________________ Хүйс: _______
Огноо: Огноо:
Нас ____ сар ____ Нас ____ сар ____
3-6 хүртэлх насны хүүхэд
ТАЙЛБАР:
Багш хүүхдийг тодорхой үйл гүйцэтгэх явцад ажиглаж, тухайн чадамжийг
илрүүлэх асуултуудын ард дөрвөлжин буюу дугуй дотор байгаа 1-5 хүртэлх онооноос
тохирох оноог сонгож тэмдэглэнэ. Дөрвөлжин доторх оноо нь хүүхдийн гүйцэтгэж
буй үйлийн гүйцэтгэлийн чанар ямар байгааг (“тохирцоор”), дугуй дотор байгаа нь
хүүхдийн сонирхол, сэдэл, дадал хэвшлийн эзэмшилт ямар байгааг (ажиглагдаж буй
“давтамжаар” буюу хэр олон удаа “тохиолдож” байгаагаар) илрүүлнэ. Дөрвөлжин,
дугуй доторх тооны аль аль нь ахих тутам хүүхдэд тухайн асуултын дагуу чанарын
ахиц гарч байгааг илтгэнэ.
Багш оноо тус бүрийн ард буй тайлбарын утгыг маш сайн анхаарч, тохирох
эсэхийг нягтлан тэмдэглэнэ. Бүх асуулт таглагдсаны дараа эхлээд тухайн чадамжийн
хэсэг тус бүрийн онооны дүн, гүйцэтгэл (Онооны дүнг асуултын тоонд хуваана.)-ийг,
дараа нь тухайн чадамжийн нийт оноог нэгтгэж, гүйцэтгэлийн дунджийг гаргана.
1
2
3
4
5
1
2
3
4
5
Огт тохиолддоггүй.
Хааяа нэг тохиолддог.
Байн байн тохиолддог.
Ихэнхдээ тохиолддог.
Дандаа / байнга тохиолддог.
Огт тохирохгүй байна.
Ховор тохирч байна.
Дундаж хэмжээнд тохирч байна.
Ихэнхдээ тохирч байна.
Яг тохирч байна.
Давтамж Тохироц
2. Нийгэмшихүйн чадвар
№ Чадвар
Чаддаг
-гүй
Дэмж-
лэгтэй
Чаддаг
2.1 Өөрийн эд юмсыг бусдынхаас ялгана.
2.2 “Би өөрөө“ гэж үйл хийхийг эрмэлзэнэ.
2.3
Өөрийн хэрэгцээг дуу авиа, нүүрний хувирал, үгээр
илэрхийлнэ.
2.4 Ойр орчныхоо хүнтэй дотносоно.
2.5
Тааламжтай байгаагаа илэрхийлнэ. (Жишээ нь: Хөгжим сонсоод
инээмсэглэх, биеэрээ найгах)
2.6
Өөртөө тааламжгүй байдлыг дуу авиа, үг, биеийн хөдөлгөөнөөр
илэрхийлж, насанд хүрэгчдээс тусламж, чиглэл хүлээнэ.
2.7
Юмсыг зориулалтаар нь хэрэглэнэ. (Жишээ нь: Харандаагаар
зурах, халбагаар хоолоо идэх, хөтөвч хэрэглэх)
2.8
Бусдын үйлдлийг ажиглана, дуурайна. (Жишээ нь: Хүүхэлдэй
бүүвэйлнэ, хооллоно.)
Хугацаа
IX-X
сар
IV-V
сар
Ахиц
Онооны дүн
Гүйцэтгэлийн дундаж
3. Оюун ухааны чадвар
№ Чадвар
Чаддаг
-гүй
Дэмж-
лэгтэй
Чаддаг
3.1 Хүн, амьтан, юмсыг зургаас таньж, асуухад зааж нэрлэнэ.
3.2 Амьтдын дуу авиаг дуурайж дуугарна.
3.3
Юмсыг төрлөөр нь ялгана.
(Жишээ нь: Бөмбөг, машиныг тус тусад нь)
3.4
Янз бүрийн хэмжээ, хэлбэртэй тоглоомоор тоглоно, асуухад
“том”, “жижиг”-ийг заана, хэлнэ.
3.5 “Нэг”, “Олон”-г ялгаж хэлнэ.
3.6
Гэр болон цэцэрлэгт байгаа дуртай зүйлийнхээ байрлалыг
мэднэ.
3.7 Хогийг саванд нь хийнэ.
3.8
Нэг үйлдэлт зааврыг дагана.
(Жишээ нь: “Надад бөмбөг аваад ир” гэхэд авчрах)
3.9
Богино өгүүлбэрээр ярина.
(Жишээ нь: “Би явна”, “Ээждээ өгнө”)
Хугацаа
IX-X
сар
IV-V
сар
Ахиц
Онооны дүн
Гүйцэтгэлийн дундаж
ХҮҮХДИЙН ХӨГЖЛИЙН АХИЦЫГ ҮНЭЛЭХ АЖИГЛАЛТЫН ХУУДАС
58 59
1.2. Гар хурууны хөдөлгөөнөө зохицуулах
1.2.14
Хувцсаа тайлж, өмсөнө.
(Жишээ нь: Товчилно, цахилгаан татах, гутлаа үдэх.)
1 2 3 4 5
1.2.15 Гурваар жигд сүлжинэ. (олс, уяа) 1 2 3 4 5
1.2.16 Ирмэгүүдийг яг давхцуулан цаасан нугалбар хийнэ. 1 2 3 4 5
1.2.17 Дүрсийг хүрээнээс гаргалгүй будна. 1 2 3 4 5
1.2.18 Шагайг онож нясална. 1 2 3 4 5
1.2.19 Энгийн дүрсийг дуурайлган зурна. (Жишээ нь: Гэр, мод, машин) 1 2 3 4 5
1.2.20 Дүрсийг хүрээний дагуу хайчилна. 1 2 3 4 5
Нийт оноо IX-X
сар
IV-V
сарГүйцэтгэлийн дундаж
1.3. Эрүүл мэндээ хамгаалах
1.3.21
Гараа бохирдсон үед нь болон бие зассаны дараа
сануулгагүйгээр угаана.
1 2 3 4 5
1.3.22 Хоолой, амаа бие даан зайлна. 1 2 3 4 5
1.3.23 Бие зассаны дараа ариун цэврийн цаасыг бие даан зөв хэрэглэнэ. 1 2 3 4 5
1.3.24
Хувцсаа орчин, үйл ажиллагаандаа тохируулан өмсөнө.
(Жишээ нь: Гадаа тоглох, дасгал хөдөлгөөн хийхэд)
1 2 3 4 5
1.3.25 Сайн зажилж, тайван хооллоно. 1 2 3 4 5
1.3.26
Ямар хүнсний зүйл хүний биед сайн, мууг мэднэ. (Жишээ нь:
Сүү, сүүн бүтээгдэхүүн, хүнсний ногоо; их хэмжээтэй чихэрлэг зүйл,
хийжүүлсэн ундаа)
1 2 3 4 5
1.3.27
Хийж болохгүй, осолтой үйлдлүүдийг мэднэ. (Жишээ нь: Халуун
зуухнаас хол байх, морь малын хөлд ойртохгүй байх)
1 2 3 4 5
1.3.28
Ангийн аюулгүйн дүрмийг мөрдөнө. (Жишээ нь: Хайчны амыг хаах,
харандааны үзүүрийг доош харуулж өгөх)
1 2 3 4 5
Нийт оноо IX-X
сар
IV-V
сарГүйцэтгэлийн дундаж
Хөдөлгөөн, эрүүл мэндийн чадамжийн нийт оноо: _____
Гүйцэтгэлийн дундаж: _____
1. ХӨДӨЛГӨӨН, ЭРҮҮЛ МЭНДИЙН ЧАДАМЖ
1.1.1
Тэнцвэрээ хадгалан 20 см өргөн зураасан дундуур давж
гишгэхгүйгээр арагш ухарч явна.
1 2 3 4 5
1.1.2
Дүүрэн устай ундааны шилэн аяга (стакан)-ыг нэг гартаа бариад
усыг цалгиулахгүйгээр өрөөний нэг талаас нөгөө тал хүртэл
алхана.
1 2 3 4 5
1.1.3 Тасалгаан дотор хурдаа тохируулж гүйнэ. 1 2 3 4 5
1.1.4 Хөлийг салгалгүйгээр зураасны дагуу үсэрнэ. 1 2 3 4 5
1.1.5
Шаланд ойлгож дамжуулсан бөмбөгийг алдахгүйгээр хоёр
гараараа барьж авна.
1 2 3 4 5
1.1.6
Хоёр гараараа дундаж хэмжээтэй (диаметр нь 10 см орчим)
бөмбөгийг дээш шидээд, алдахгүй барьж авна.
1 2 3 4 5
1.1.7
Нэг гараараа жижиг бөмбөгийг 1 метр орчим өндөрт шидээд,
унагахгүй барьж авна.
1 2 3 4 5
1.1.8 Байг алдахгүй ононо. 1 2 3 4 5
1.1.9 Цагаригийг нэг гараараа түрж өнхрүүлнэ. 1 2 3 4 5
1.1.10 Налуу шатанд авирна. 1 2 3 4 5
1.1.11
Хүүхдийн өндөрт тохирсон савлуураас нэг нэг гараараа ээлжлэн
барьж, 1 метр зайд явна.
1 2 3 4 5
1.1.12 Дээсэнд алдахгүйгээр 5 удаа үсэрнэ. 1 2 3 4 5
1.1.13 Өгсөн дохионы дагуу хөдөлгөөнөө эхэлж, дуусгана. 1 2 3 4 5
Нийт оноо IX-X
сар
IV-V
сарГүйцэтгэлийн дундаж
1.1. Биеийн хөдөлгөөнөө удирдах
ХҮҮХДИЙН ХӨГЖЛИЙН АХИЦЫГ ҮНЭЛЭХ АЖИГЛАЛТЫН ХУУДАС
2. НИЙГЭМШИХҮЙН ЧАДАМЖ
2.1.1 Шинэ дасгал, даалгаврыг хийж үзэхдээ итгэлтэй байна. 1 2 3 4 5
2.1.2
Өөрийн хийх үйлээ сонгоно. (Жишээ нь: Сургалтын аль төвд
ажиллах, ямар дүрд тоглох)
1 2 3 4 5
2.1.3
Чадах зүйлээ бие даан гүйцэтгэнэ. (Жишээ нь: Тоглоомоо
хураах, хувцсаа өмсөх, тайлах)
1 2 3 4 5
2.1.4 Хийж бүтээсэн зүйлдээ баярлана. 1 2 3 4 5
2.1.5 Эхэлсэн зүйлээ хийж дуусгана. 1 2 3 4 5
2.1.6 “Болно, болохгүй”, “Сайн, муу”-г ялгана. 1 2 3 4 5
2.1.7 Шинэ зүйлд соргог хандаж сонирхоно, оролдож, туршиж үзнэ. 1 2 3 4 5
2.1.8
Бусад хүүхэд, томчуудаас өөр санал бодолтой байвал
эмээхгүйгээр өөрийнхөө санааг хэлнэ.
1 2 3 4 5
2.1.9 Асуудал, зөрчлийг өөрийн хэр хэмжээнд шийдвэрлэнэ. 1 2 3 4 5
Нийт оноо IX-X
сар
IV-V
сарГүйцэтгэлийн дундаж
2.1. Зан чанар
2.2.10
Тухайн нөхцөл байдалд тохирсон сэтгэл хөдлөлийг үзүүлж
чадна. (Жишээ нь: Жүжгийн инээдэмтэй хэсгийг үзээд баясан инээх)
1 2 3 4 5
2.2.11
Магтаал, зэмлэлийг мэдэрч сэтгэгдлээ илэрхийлнэ. (Жишээ нь:
Зэмлэхэд дуугаа хурааж дүнсийх, магтуулсан бол урамшин хийж буй
зүйлдээ шамдах, нүүр царайд нь баясал тодрох)
1 2 3 4 5
2.2.12
Өөрийнхөө сэтгэл хөдлөлийн шалтгааныг тайлбарлана. (Жишээ
нь: Яагаад уурласан, яагаад уйтгартай байгаа)
1 2 3 4 5
2.2.13
Уур бухимдлаа тайван давж гарна. (Жишээ нь: Багшаараа
аргадуулах, өөр зүйлд анхаарч хийх)
1 2 3 4 5
2.2.14
Бусдыг мэдэрч, зохицон харилцана. (Жишээ нь: Нэгнийгээ уйлбал
аргадах, найзынхаа тоглоомыг авахад дургүйцвэл буцаан өгөх)
1 2 3 4 5
Нийт оноо IX-X
сар
IV-V
сарГүйцэтгэлийн дундаж
2.2. Сэтгэлийн хөдөлгөөнөө илэрхийлэх, удирдах
2.3.15 Бусдын баяр баясгаланг хуваалцана. 1 2 3 4 5
2.3.16 Цэцэрлэгтээ дуртай ирж, чөлөөтэй, таатай байдаг. 1 2 3 4 5
2.3.17 Өөрөө санаачилж, бусадтай харилцаа тогтооно. 1 2 3 4 5
2.3.18
Олны өмнө гарахаасаа айж сандрахгүй байна. (Жишээ нь: Үлгэр
өгүүллэг ярих, дуулах, жүжигчлэн тоглох)
1 2 3 4 5
2.3.19
“Баярлалаа”, “Уучлаарай” үгийг зохих тохиолдолд тогтмол
хэрэглэнэ.
1 2 3 4 5
2.3.20 Бусдын тоглоом, эд зүйлсийг хэрэглэхдээ зөвшөөрөл авна. 1 2 3 4 5
2.3.21 Аливаа үйлийг гүйцэтгэхдээ өөрийн ээлжийг хүлээнэ. 1 2 3 4 5
2.3.22 Амлалтаа биелүүлнэ, бусдаас амлалтандаа хүрэхийг шаардана. 1 2 3 4 5
2.3.23 Дүрэм журам, зааврыг дагаж биелүүлнэ. 1 2 3 4 5
Нийт оноо IX-X
сар
IV-V
сарГүйцэтгэлийн дундаж
2.3. Бусадтай харилцах
Нийгэмшихүйн чадамжийн нийт оноо: _____
Гүйцэтгэлийн дундаж: _____
60 61
ХҮҮХДИЙН ХӨГЖЛИЙН АХИЦЫГ ҮНЭЛЭХ АЖИГЛАЛТЫН ХУУДАС
3. ХЭЛ ЯРИАНЫ ЧАДАМЖ
3.1. Сонсох, ойлгох
3.1.1
Байгалийн дуу чимээ, амьтдын дуу авиаг сонсож ялгана.
(Жишээ нь: Усны чимээ, тэнгэрийн дуу, шувуудын жиргээ)
1 2 3 4 5
3.1.2
Урт, богино эгшигтэй үгийг ялгаж сонсоно.
(Жишээ нь: сар-саар, ул-уул)
1 2 3 4 5
3.1.3
Ойролцоо дуудлагатай үгийг ялгаж сонсоно.
(Жишээ нь: Энх мөнх, дэлгэр цэлгэр, яруу даруу)
1 2 3 4 5
3.1.4
Үлгэр зохиолыг анхааралтай, идэвхтэй сонсоно.
(Жишээ нь: Ярьж байгаа хүний нүүр рүү харах, ойлгосон хэсгээ
бусаддаа ярих, тайлбарлах, ойлгоогүй зүйлээ тодруулан асуух)
1 2 3 4 5
3.1.5
Үлгэр зохиолоос төрсөн мэдрэмжээ илэрхийлнэ.
(Жишээ нь: Инээх, хөмсгөө зангидах, алга таших)
1 2 3 4 5
3.1.6
2-оос цөөнгүй үйлдэл шаардах зааварчилгааг дагаж
биелүүлнэ. (Жишээ нь: Эхлээд тоглоомоо хураана, дараа нь
зурагтай номоо авч үзнэ)
1 2 3 4 5
Нийт оноо IX-X
сар
IV-V
сарГүйцэтгэлийн дундаж
3.2. Ярих
3.2.7
Бусдын асуултыг анхааралтай сонсож, тохирох хариулт
өгнө.
1 2 3 4 5
3.2.8 Өөрийн санаа бодлоо ойлгомжтой илэрхийлнэ. 1 2 3 4 5
3.2.9 Үлгэр, өгүүллэг, болсон үйл явдлыг бусдад ярина. 1 2 3 4 5
3.2.10
Ангиараа хийж буй ярилцлага, хэлэлцүүлэгт идэвхтэй
оролцоно. (Жишээ нь: Санаачилгаараа ярих, асуулт тавих)
1 2 3 4 5
3.2.11
Үлгэр, өгүүллэгийн өрнөл, төгсгөлийг гүйцээн зохиомжлон
ярина.
1 2 3 4 5
3.2.12
Сайн мэдэх үлгэрийн агуулгыг зургийн дарааллын дагуу
ярина.
1 2 3 4 5
3.2.13 Оньсого, түргэн хэллэг, зүйр цэцэн үг хэлнэ. 1 2 3 4 5
3.2.14 Өөрөө зурагт ном бүтээж агуулгыг тайлбарлана. 1 2 3 4 5
Нийт оноо IX-X
сар
IV-V
сарГүйцэтгэлийн дундаж
3.3. Унших, бичих бэлтгэл
Хэл ярианы чадамжийн нийт оноо: _____
Гүйцэтгэлийн дундаж: _____
3.3.15 Номын зургийг тайлбарлан ярина. 1 2 3 4 5
3.3.16
Ойр орчиндоо буй тэмдэг, тэмдэглэгээг “уншиж” чадна.
(Жишээ нь: Явган хүний гарц, автобусны зогсоол, түргэн
тусламжийн машин)
1 2 3 4 5
3.3.17 Богино хэмжээний шүлэг уншина. 1 2 3 4 5
3.3.18 Зурган бүдүүвч ашиглан өгүүлбэр зохионо. 1 2 3 4 5
3.3.19 Өөрийн дуртай үлгэрийн баатрыг зурна. 1 2 3 4 5
3.3.20
Төрөл бүрийн зураас зурна.
(Жишээ нь: Цэг, ташуу, махир, тахир, нуман зураас)
1 2 3 4 5
Нийт оноо IX-X
сар
IV-V
сарГүйцэтгэлийн дундаж
ХҮҮХДИЙН ХӨГЖЛИЙН АХИЦЫГ ҮНЭЛЭХ АЖИГЛАЛТЫН ХУУДАС
4. ОРЧНОО ТАНЬЖ МЭДЭХ, ОРЧИНТОЙГОО
ХАРИЛЦАХ ЧАДАМЖ
4.1. Орчноо шинжлэн судлах
4.1.1
Байгаль орчинд болон туршилтын явцад ажигласан
үзэгдлийн учир шалтгааны талаар асуулт тавьж, таамаглал
дэвшүүлнэ.
1 2 3 4 5
4.1.2
Үйл явдал, учир шалтгааны талаар лавлана.
(Жишээ нь: Яагаад ийм байдаг гэж?, Яагаад оройтсон бэ?)
1 2 3 4 5
4.1.3
Ургамлын ургалтад агаар, ус, гэрэл, дулаан яаж
нөлөөлдгийг тайлбарлан ярина.
1 2 3 4 5
4.1.4
Байгаль шинжлэлийн туршилтад дуртай оролцоно.
(Жишээ нь: Хөвөх, живэх, унах, хийсэх)
1 2 3 4 5
4.1.5
Юмсын шинж чанарыг сонирхоно, ялгана.
(Жишээ нь: Хатуу-зөөлөн, хүнд-хөнгөн, гөлгөр-барзгар, гашуун-
чихэрлэг, чанга-сул)
1 2 3 4 5
Нийт оноо IX-X
сар
IV-V
сарГүйцэтгэлийн дундаж
4.2.6 Байгальд юу нь гоё сайхан байгааг илэрхийлэн ярина. 1 2 3 4 5
4.2.7 Орчноо цэвэр байлгана. (Жишээ нь: Хогоо хогийн саванд хийнэ) 1 2 3 4 5
4.2.8 Тоглосон, хэрэглэсэн зүйлээ буцааж байранд нь хураана. 1 2 3 4 5
4.2.9
Ургамлыг арчилж ургуулна. (Жишээ нь: Услах, арчих, хөрсийг
сийрэгжүүлэх, хатсан навчийг түүх)
1 2 3 4 5
4.2.10 Нутаг орныхоо гоё, сайхан зүйлийг дүрслэн зурна, тайлбарлана. 1 2 3 4 5
Нийт оноо IX-X
сар
IV-V
сарГүйцэтгэлийн дундаж
4.2. Орчинтойгоо харьцах
Орчноо таньж мэдэх, орчинтойгоо харилцах чадамжийн нийт оноо: _____
Гүйцэтгэлийн дундаж: _____
62 63
ХҮҮХДИЙН ХӨГЖЛИЙН АХИЦЫГ ҮНЭЛЭХ АЖИГЛАЛТЫН ХУУДАС
5. МАТЕМАТИКИЙН ЧАДАМЖ
5.1. Тоолох
5.2. Хэмжих
5.1.1
Тоо нь тодорхой хэмжээ илэрхийлдэгийг мэднэ.
(Жишээ нь: Энэ төвд яг 5 хүүхэд л тоглоно.)
1 2 3 4 5
5.1.2 10-ын дотор эд зүйлсийг оноон тоолж, дүн тоог хэлнэ. 1 2 3 4 5
5.1.3
Эд юмсын олон, цөөнийг ялгана. (Жишээ нь: Хоёр хэсэг
зүйлийг харьцуулахдаа илүү, дутуу, ижил байгааг олох)
1 2 3 4 5
5.1.4
Нэмэгдүүлж, хорогдуулж, 10-ын дотор бодлого бодно.
(Жишээ нь: 2 лууван дээр 2 лууванг нэмбэл 4 ширхэг лууван
болно.)
1 2 3 4 5
5.1.5 Юмсыг тоолоод тохирох цифртэй холбоно. 1 2 3 4 5
5.1.6
Тоог хоёр буюу хэд хэдэн бага тоонд задална.
(Жишээ нь: 4-ийг 1,1,1,1, мөн 3,1; 2,2 болгон задална.)
1 2 3 4 5
Нийт оноо IX-X
сар
IV-V
сарГүйцэтгэлийн дундаж
5.2.7 5 ширхэг эд зүйлсийг хэмжээгээр нь дараалуулна. 1 2 3 4 5
5.2.8
Биет ба хавтгай дүрсүүдийг ялгана.
(Жишээ нь: Дугуй, бөөрөнхий; ам дөрвөлжин, шоо)
1 2 3 4 5
5.2.9
Эд зүйлсийг хоёроос цөөнгүй шинжээр нь ялган ангилна.
(Жишээ нь: 2 болон 4 нүхтэй; бор өнгийн товч)
1 2 3 4 5
5.2.10
Юмсыг өгөгдсөн дарааллын дагуу үргэлжлүүлэн
байрлуулж, зүй тогтлыг олно. (Жишээ нь: Дөрвөлжин,
дугуй, гурвалжин, дөрвөлжин, дугуй...)
1 2 3 4 5
5.2.11
Өөрийн байрлалаас бусдын байрлалыг тодорхойлно.
(Жишээ нь: Миний баруун гар талд Туяа сууж байна.)
1 2 3 4 5
5.2.12
Юмсын байрлалыг хэлнэ.
(Жишээ нь: Дээр доор, дотор гадна, наана цаана)
1 2 3 4 5
5.2.13
Уламжлалт тоолол, хэмжүүр ашиглана.
(Жишээ нь: Төө сөөм, 12 жил)
1 2 3 4 5
5.2.14
Цаг хугацаатай холбоотой үг хэллэг хэрэглэнэ.
(Жишээ нь: Өглөө-орой, өчигдөр-өнөөдөр)
1 2 3 4 5
Нийт оноо IX-X
сар
IV-V
сарГүйцэтгэлийн дундаж
Математикийн чадамжийн нийт оноо: _____
Гүйцэтгэлийн дундаж: _____
ХҮҮХДИЙН ХӨГЖЛИЙН АХИЦЫГ ҮНЭЛЭХ АЖИГЛАЛТЫН ХУУДАС
6. ДҮРСЛЭХ УРЛАГИЙН ЧАДАМЖ
6.1 Зурах
6.1.1
Төрөл бүрийн аргаар зурна.
(Жишээ нь: Хавсарч, барлаж, дардсаар)
1 2 3 4 5
6.1.2 Бодит зүйлийг хараад адил төстэй зурна. 1 2 3 4 5
6.1.3
Хүн зурж дүрсэлнэ.
(Жишээ нь: Толгойд хөлийг залган зурах, биеийн хэсгүүд, хөл
гарыг ялгах, хүний хувцас, онцлогийг илэрхийлэн зурах)
1 2 3 4 5
6.1.4 Үндсэн өнгийг мэднэ, хэрэглэнэ. 1 2 3 4 5
6.1.5
Бэлэн дүрс, зургийг төрөл бүрийн будгаар хүрээнээс
илүү гаргалгүй будна. (Жишээ нь: Харандаан, тосон, усан
будаг)
1 2 3 4 5
6.1.6
Хээ зохиож зурна.
(Жишээ нь: геометрийн дүрс болон цэцгэн хээ)
1 2 3 4 5
Нийт оноо IX-X
сар
IV-V
сарГүйцэтгэлийн дундаж
6.2. Урлах
6.2.7
Наамал хийхдээ дуртай байна.
(Цаас, даавуу, байгалийн эд зүйлс ашиглан)
1 2 3 4 5
6.2.8
Зуурмаг, баримлын шавраар хүн, амьтны онцлогийг
илэрхийлэн дүрсэлнэ.
1 2 3 4 5
6.2.9
Өрж байгуулахдаа хэрэглэх зүйлсээ урьдчилан төлөвлөж
бэлтгэнэ. (Жишээ нь: Гүүр барихад урт тэгш өнцөгт дүрс хоёр,
тулгуур хийхэд хоёр хавтгай дүрс орно.)
1 2 3 4 5
6.2.10
Урлан бүтээхдээ бүтээлчээр хандана. (Жишээ нь: Модны
мөчир, навчийг хувирган ижил төстэй зүйлийг бүтээх)
1 2 3 4 5
6.2.11 Үзсэн харсан зүйлээ өөрийн бүтээлдээ тусгана. 1 2 3 4 5
6.2.12
Дүрслэх урлагийн бүтээлүүдийг сонирхоно, сэтгэгдлээ
хэлнэ. (Жишээ нь: Асуулт тавина, таалагдаж эсвэл
таалагдахгүй байгааг хэлнэ.)
1 2 3 4 5
Нийт оноо IX-X
сар
IV-V
сарГүйцэтгэлийн дундаж
Дүрслэх урлагийн чадамжийн нийт оноо: _____
Гүйцэтгэлийн дундаж: _____
64
СУРГУУЛИЙН ӨМНӨХ
БОЛОВСРОЛЫН СУРГАЛТЫН ЦӨМ
ХӨТӨЛБӨРИЙГ ХЭРЭГЖҮҮЛЭХ
ЗӨВЛӨМЖ
ХҮҮХДИЙН ХӨГЖЛИЙН АХИЦЫГ ҮНЭЛЭХ АЖИГЛАЛТЫН ХУУДАС
7. ХӨГЖМИЙН ЧАДАМЖ
7.1. Дуулах, хөгжимдөх
7.1.1
Хөгжмийг дуртайяа сонсож, дүрслэлээ илэрхийлнэ.
(Жишээ нь: Баяр хөөртэй, удаан, түргэн)
1 2 3 4 5
7.1.2
Хөгжмийн зэмсгийг дуугаралтаар нь ялгана.
(Жишээ нь: Морин хуур, төгөлдөр хуур)
1 2 3 4 5
7.1.3
Хөгжмийг сонсоод аялгуу, хэмнэлд тохируулан үгийг зөв
хуваарилан дуулна.
1 2 3 4 5
7.1.4
Нийтээр дуулахдаа бусдыг сонсож, хамтарч дуулна.
(Жишээ нь: Эхлэл, төгсгөл, чанга, сул, өргөлт, үгийг
тохируулан)
1 2 3 4 5
7.1.5
Хэмнэлийг мэдэрч, хөгжмийн энгийн зэмсгээр ганцаараа
болон хамтаараа тоглоно. (Жишээ нь: Дуут мод,
металлфони, бөмбөр, шагшуур )
1 2 3 4 5
Нийт оноо IX-X
сар
IV-V
сарГүйцэтгэлийн дундаж
Хөгжмийн чадамжийн нийт оноо: _____
Гүйцэтгэлийн дундаж: _____
7.2. Бүжиглэх, жүжиглэх
7.2.6
Хөгжмийн хэмнэлд тохируулан хөдөлгөөн хийнэ.
(Жишээ нь: Алга таших, хөлөө товших)
1 2 3 4 5
7.2.7
Дүрд хувирч тоглоно.
(Жишээ нь: Дуу хоолой ба нүүрний хувирлаар)
1 2 3 4 5
7.2.8
Өгөгдсөн дүрийг хөгжмийн хэмнэл, аялгуунд тохируулан
хөдөлгөөнөөр илэрхийлнэ.
(Жишээ нь: Туулай, баавгай, ишиг, ботго)
1 2 3 4 5
Нийт оноо IX-X
сар
IV-V
сарГүйцэтгэлийн дундаж
СУРГУУЛИЙНӨМНӨХБОЛОВСРОЛЫНСУРГАЛТЫНЦӨМХӨТӨЛБӨР
66 67
ХҮҮХЭДБҮХЭНДЭЭ“БИЧАДНА“ГЭСЭНИТГЭЛӨГЬЕ!
АГУУЛГА
НЭГ. СУРГУУЛИЙН ӨМНӨХ БОЛОВСРОЛЫН СУРГАЛТЫН ЦӨМ ХӨТӨЛБӨРИЙН
ТАЙЛБАР, ТОДРУУЛГА
1.1.	Сургуулийн өмнөх боловсролын сургалтын цөм хөтөлбөрийн бүтэц,
онцлог
1.2.	Сургуулийн өмнөх боловсролын сургалтын цөм хөтөлбөрийг
хэрэгжүүлэх зарчим, арга зүй
1.3.	Хүүхэд бүрийн хөгжлийн ахицыг үнэлэх нь
1.3.1	 Үнэлгээний арга хэрэгсэл
1.3.2	Хүүхдийн хөгжлийн ахицыг үнэлэх ажиглалтын хуудас,
түүнийг ашиглах нь
ХОЁР. СУРГУУЛИЙН ӨМНӨХ БОЛОВСРОЛЫН СУРГАЛТЫН ЦӨМ ХӨТӨЛБӨРИЙГ
ЦЭЦЭРЛЭГИЙН ТҮВШИНД ХЭРЭГЖҮҮЛЭХ НЬ
2.1.	 “Хүүхэд бүрийг хөгжүүлэх цэцэрлэгийн үзэл баримтлал” ба
“Сургалтын хөтөлбөр”-ийн холбоо хамаарал
2.2.	 “Хүүхэд бүрийг хөгжүүлэх цэцэрлэгийн үзэл баримтлал” - Туршлага,
сургамж
•	 Нийслэлийн 42 дугаар цэцэрлэг
•	 Баянхонгор аймгийн 9 дүгээр цэцэрлэг
•	 Орхон аймгийн10 дугаар цэцэрлэг
•	 Нийслэлийн 101 дүгээр цэцэрлэг
•	 Нийслэлийн 115 дугаар цэцэрлэг
•	 Дархан-Уул аймгийн 18 дугаар цэцэрлэг
•	 Баянхонгор аймгийн 4 дүгээр цэцэрлэг
2.3. Хүүхдийн хөгжлийн онцлог
2.4. Цэцэрлэгийн сургалтын хөтөлбөр боловсруулах, хэрэгжүүлэх алхмууд
2.5. Сэдвийн зорилго, агуулга, арга зүйд тавигдах шаардлага
2.6. Өдөр тутмын сургалтын үйл ажиллагааны төлөвлөлт
2.7. Хүүхдийн хөгжих орчин
ХАВСРАЛТ: ЦЭЦЭРЛЭГИЙН СУРГАЛТЫН ХӨТӨЛБӨРИЙН ХҮРЭЭНД
ХЭРЭГЖҮҮЛСЭН ҮЙЛ АЖИЛЛАГААНЫ ЖИШЭЭ
3.1. “Ус”сэдвийн боловсруулалт
3.4. “Өглөөний тойрог”-ийн зарим жишээ
НЭГ. СУРГУУЛИЙН ӨМНӨХ БОЛОВСРОЛЫН СУРГАЛТЫН
ЦӨМ ХӨТӨЛБӨРИЙН ТАЙЛБАР, ТОДРУУЛГА
1.	Сургуулийн өмнөх боловсролын сургалтын цөм хөтөлбөрийн бүтэц, онцлог
Сургуулийн өмнөх боловсролын сургалтын цөм хөтөлбөр нь дотроо
2 бүлэгтэй.
	 Нэгдүгээр бүлэгт сургалтын цөм хөтөлбөрийн үндэслэл, түүнийг боловсруулсан
болон хэрэгжүүлэх зарчим, зорилго, зорилт, хэрэгжүүлэх арга зүй, үйл
ажиллагааны зохион байгуулалт, сургалтын орчин, хүүхэд бүрийг үнэлэх арга,
багш, эцэг эхийн үүрэг, оролцоо зэрэг нийтлэг зүйлс тусгагдсан.
	 Хоёрдугаар бүлэгт сургуулийн өмнөх насны хүүхдийн эзэмших ерөнхий чадвар
болон сургалтын чиглэл тус бүрээр тусгай чадварууд, тэдгээрийг хэрэгжүүлэхэд
багшийн гүйцэтгэх үүрэг, оролцоог тодорхойлж, тусгай чадвар бүрд харгалзуулан
хүүхдийн гүйцэтгэх үйлийн жишгийг харуулсан.
Зураг 1. Сургалтын цөм хөтөлбөрийн бүтэц
Нэгдүгээр бүлэг.
ЕРӨНХИЙ ЗҮЙЛ
Багш, эцэг эхийн
үүрэг, оролцоо
Хүүхдийн хөгжлийн
үнэлгээ
Сургалтын орчин
Зохион байгуулалт
Aрга зүй
Зорилго, зорилт
Зарчим
Нийтлэг үндэслэл
Тусгай чадвар
Ерөнхий чадвар
Хоёрдугаар бүлэг.
АГУУЛГА, ХҮРЭХ ҮР ДҮН
Хөгжим, дүрслэх
урлаг
Математикийн
энгийн төсөөлөл
Байгаль, нийгмийн
орчин
Хэл яриа
Зан чанар, харилцаа
Хөдөлгөөн, эрүүл
мэнд
СУРГУУЛИЙНӨМНӨХБОЛОВСРОЛЫНСУРГАЛТЫНЦӨМХӨТӨЛБӨР
68 69
ХҮҮХЭДБҮХЭНДЭЭ“БИЧАДНА“ГЭСЭНИТГЭЛӨГЬЕ!
Сургуулийн өмнөх боловсролын сургалтын цөм хөтөлбөр нь өнөөг хүртэл мөрдөж ирсэн
бүлэг тус бүрийн сургалтын хөтөлбөрөөс юугаараа ялгаатайг авч үзье.
Зураг 2. Сургалтын хөтөлбөрүүдийн харьцуулалт
Сургуулийн өмнөх боловсролын сургалтын цөм хөтөлбөрийг боловсруулахдаа дараах
зарчмыг баримтлан боловсруулсан.
a.	 Хүүхэд бүрийг хөгжлийн боломжит хурдаар нь хөгжүүлэх, чадамжид
суурилах;	
	Олон тооны салангид мэдлэг, чадвараас зайлсхийж, “чадамж”-д баримжаалан хүүхдийн
эзэмших чадварыг багцлан томьёолохын зэрэгцээ төлөвшилд ач холбогдол өгч, “Зан
чанар, харилцаа” хэмээх суралцахуйн чиглэлийг хэрэгжүүлнэ. Хэдийгээр ижил настай
ч хүүхдийн хөгжлийн түвшин харилцан адилгүй байдгийг харгалзах, хүүхэд бүрд
байгаа түвшнээсээ боломжит дээд хурдаараа хөгжих боломж олгон эзэмшвэл зохих
тусгай чадварыг нас тус бүрээр бус, түвшингөөр тодорхойлсон. Чадвар бүрийг бага
насны хүүхдийн эзэмшихүйн зүй тогтолд үндэслэн хөнгөнөөс хүндрүүлэх зарчмаар
3 түвшинд авч үзсэн. Хөгжлийн ахицын үнэлгээ ч мөн хүүхэд бүрийн чадамжийг
илрүүлэхэд чиглэсэн. 	
б.	 Хүүхэд бүрийг судлах, хөгжүүлэх	
	Хүүхэд бүрийг хөгжүүлж, төлөвшүүлэх ажлыг үнэлгээнээс эхэлж, тухайн хүүхдийг
байгаа түвшнээс нь цааш хөгжүүлнэ. Ингэхдээ багш, насанд хүрэгчид бага насны
хүүхэд бүрийг үнэ цэнэтэй хүмүүн хэмээн хүндэтгэн үзэж, байгаагаар нь хүлээн
зөвшөөрнө. Хүүхэд бүр адилгүй, гэхдээ өөрийн давуу тал, онцлогтойг анхаарна.
Хүүхэд бүрийн чадамж, түүн дотор давуу тал, сонирхлыг илрүүлэн таньж мэдсэнээр
тэдний хөгжилд шаардлагатай дэмжлэг үзүүлэх боломж бүрдэнэ. 	
в.	 Хүүхэд, багш (эцэг эх) хамтдаа мэдлэг, чадвар, соёлыг бүтээх	
	Хүүхэд болон багш хэдий чинээ идэвхтэйгээр бие биедээ харилцан үйлчилж, хамтран
ажиллана (ко-конструктив), хүүхэд төдий чинээ хурдацтайгаар хөгжинө. Багш
хүүхэдтэй хамтран мэдлэг бүтээхийн тулд өөрийгөө хүүхдийн байр сууринд аваачиж,
хамтдаа эрэл хайгуул хийнэ, гаргасан санал, санаачилгыг нь дэмжинэ, зоригжуулна,
түүнчлэн аливаа зүйлийн учрыг олох боломж олгоно. Суралцах үйлийн явцад хүүхэд
орчноо идэвхтэйгээр судална, бусадтай тухайн зүйлийн талаарх ойлголт, санаа бодлоо
хуваалцана, бүтээлээрээ илэрхийлнэ. Энэ зарчмыг хэрэгжүүлэхийн тулд хөтөлбөрийн
тусгай чадвар бүрт харгалзуулан хүүхдийн гүйцэтгэх үйлийн жишиг, нөгөө талаас
багш, эцэг эхийн үүрэг, оролцоог нарийвчлан тусгасан болно.
Бэлтгэл бүлгийн сургалтын хөтөлбөр, 2012 он
Ахлах бүлгийн сургалтын хөтөлбөр, 2012 он
Дунд бүлгийн сургалтын хөтөлбөр, 2013 он
Бага бүлгийн сургалтын хөтөлбөр, 2013 он
Хүүхдийн эзэмших мэдлэг, чадвар, дадлыг
нас  бүлэг тус бүрээр томьёолсон.
Хүүхдийн эзэмших чадварыг нас/бүлгээр
бус, I-III хүртэл ахисан түвшингээр
томьёолсон.
Үнэлгээ
Юуг: Хүүхдийн чадваруудыг илрүүлэх
Яаж: Хяналтын хуудас, ажиглалтаар
Үнэлгээ
Юуг: Хүүхэд бүрийн онцлог, чадамжийг
илрүүлэх.
Яаж: Чөлөөт ажиглалт, Ажиглалтын
хуудас, Хувийн хавтсыг хамсруулж
Сургуулийн өмнөх боловсролын
сургалтын цөм хөтөлбөр
2015 он
Үндэслэл
• Хүүхэд бүрийн хөгжил адилгүй.
• Цэцэрлэг өөрийн үзэл баримтлалаар
хэрэгжүүлэх боломжтой.
• Багш нар хэрэглэхэд дөхөм.
• Салангид мэдлэгээс >> холбоо
хамаарал, учир шалтгаан, чадвараас >>
чадамж.
• Цэцэрлэг, багшийн бие даасан,
бүтээлч үйлийг дэмжсэн.
Хүүхдийн эзэмших мэдлэг, чадварыг хэт
нарийвчлан авч үзсэн.
>>> Сургуулийн өмнөх нийт насанд 268
мэдлэг, 616 чадвар эзэмшүүлэхээр заасан
Агуулгыг улирлаар заасан.
Хүүхдийн эзэмших чадварыг цогц байдал
(чадамжид ойртуулан)-аар тодорхойлсон.
>>> Сургуулийн өмнөх нийт насанд 41
тусгай чадвар >>> 7 ерөнхий чадвар
Агуулга, арга зүй нээлттэй.
Зарчим: Боловсролын чанарыг
хүүхдийн чадамж (эзэмшсэн мэдлэг,
чадвар, төлөвшил)-аар үнэлэх.
СӨБ-ын сургалтын бодлого,2013
Бэлтгэл бүлгийн сургалтын хөтөлбөр, 2012 он
Ахлах бүлгийн сургалтын хөтөлбөр, 2012 он
Дунд бүлгийн сургалтын хөтөлбөр, 2013 он
Бага бүлгийн сургалтын хөтөлбөр, 2013 он
Хүүхдийн эзэмших мэдлэг, чадвар, дадлыг
нас  бүлэг тус бүрээр томьёолсон.
Хүүхдийн эзэмших чадварыг нас/бүлгээр
бус, I-III хүртэл ахисан түвшингээр
томьёолсон.
Үнэлгээ
Юуг: Хүүхдийн чадваруудыг илрүүлэх
Яаж: Хяналтын хуудас, ажиглалтаар
Үнэлгээ
Юуг: Хүүхэд бүрийн онцлог, чадамжийг
илрүүлэх.
Яаж: Чөлөөт ажиглалт, Ажиглалтын
хуудас, Хувийн хавтсыг хамсруулж
Сургуулийн өмнөх боловсролын
сургалтын цөм хөтөлбөр
2015 он
Үндэслэл
• Хүүхэд бүрийн хөгжил адилгүй.
• Цэцэрлэг өөрийн үзэл баримтлалаар
хэрэгжүүлэх боломжтой.
• Багш нар хэрэглэхэд дөхөм.
• Салангид мэдлэгээс >> холбоо
хамаарал, учир шалтгаан, чадвараас >>
чадамж.
• Цэцэрлэг, багшийн бие даасан,
бүтээлч үйлийг дэмжсэн.
Хүүхдийн эзэмших мэдлэг, чадварыг хэт
нарийвчлан авч үзсэн.
>>> Сургуулийн өмнөх нийт насанд 268
мэдлэг, 616 чадвар эзэмшүүлэхээр заасан
Агуулгыг улирлаар заасан.
Хүүхдийн эзэмших чадварыг цогц байдал
(чадамжид ойртуулан)-аар тодорхойлсон.
>>> Сургуулийн өмнөх нийт насанд 41
тусгай чадвар >>> 7 ерөнхий чадвар
Агуулга, арга зүй нээлттэй.
Зарчим: Боловсролын чанарыг
хүүхдийн чадамж (эзэмшсэн мэдлэг,
чадвар, төлөвшил)-аар үнэлэх.
СӨБ-ын сургалтын бодлого,2013
Бэлтгэл бүлгийн сургалтын хөтөлбөр, 2012 он
Ахлах бүлгийн сургалтын хөтөлбөр, 2012 он
Дунд бүлгийн сургалтын хөтөлбөр, 2013 он
Бага бүлгийн сургалтын хөтөлбөр, 2013 он
Хүүхдийн эзэмших мэдлэг, чадвар, дадлыг
нас  бүлэг тус бүрээр томьёолсон.
Хүүхдийн эзэмших чадварыг нас/бүлгээр
бус, I-III хүртэл ахисан түвшингээр
томьёолсон.
Үнэлгээ
Юуг: Хүүхдийн чадваруудыг илрүүлэх
Яаж: Хяналтын хуудас, ажиглалтаар
Үнэлгээ
Юуг: Хүүхэд бүрийн онцлог, чадамжийг
илрүүлэх.
Яаж: Чөлөөт ажиглалт, Ажиглалтын
хуудас, Хувийн хавтсыг хамсруулж
Сургуулийн өмнөх боловсролын
сургалтын цөм хөтөлбөр
2015 он
Үндэслэл
• Хүүхэд бүрийн хөгжил адилгүй.
• Цэцэрлэг өөрийн үзэл баримтлалаар
хэрэгжүүлэх боломжтой.
• Багш нар хэрэглэхэд дөхөм.
• Салангид мэдлэгээс >> холбоо
хамаарал, учир шалтгаан, чадвараас >>
чадамж.
• Цэцэрлэг, багшийн бие даасан,
бүтээлч үйлийг дэмжсэн.
Хүүхдийн эзэмших мэдлэг, чадварыг хэт
нарийвчлан авч үзсэн.
>>> Сургуулийн өмнөх нийт насанд 268
мэдлэг, 616 чадвар эзэмшүүлэхээр заасан
Агуулгыг улирлаар заасан.
Хүүхдийн эзэмших чадварыг цогц байдал
(чадамжид ойртуулан)-аар тодорхойлсон.
>>> Сургуулийн өмнөх нийт насанд 41
тусгай чадвар >>> 7 ерөнхий чадвар
Агуулга, арга зүй нээлттэй.
Зарчим: Боловсролын чанарыг
хүүхдийн чадамж (эзэмшсэн мэдлэг,
чадвар, төлөвшил)-аар үнэлэх.
СӨБ-ын сургалтын бодлого,2013
Бэлтгэл бүлгийн сургалтын хөтөлбөр, 2012 он
Ахлах бүлгийн сургалтын хөтөлбөр, 2012 он
Дунд бүлгийн сургалтын хөтөлбөр, 2013 он
Бага бүлгийн сургалтын хөтөлбөр, 2013 он
Хүүхдийн эзэмших мэдлэг, чадвар, дадлыг
нас  бүлэг тус бүрээр томьёолсон.
Хүүхдийн эзэмших чадварыг нас/бүлгээр
бус, I-III хүртэл ахисан түвшингээр
томьёолсон.
Үнэлгээ
Юуг: Хүүхдийн чадваруудыг илрүүлэх
Яаж: Хяналтын хуудас, ажиглалтаар
Үнэлгээ
Юуг: Хүүхэд бүрийн онцлог, чадамжийг
илрүүлэх.
Яаж: Чөлөөт ажиглалт, Ажиглалтын
хуудас, Хувийн хавтсыг хамсруулж
Сургуулийн өмнөх боловсролын
сургалтын цөм хөтөлбөр
2015 он
Үндэслэл
• Хүүхэд бүрийн хөгжил адилгүй.
• Цэцэрлэг өөрийн үзэл баримтлалаар
хэрэгжүүлэх боломжтой.
• Багш нар хэрэглэхэд дөхөм.
• Салангид мэдлэгээс >> холбоо
хамаарал, учир шалтгаан, чадвараас >>
чадамж.
• Цэцэрлэг, багшийн бие даасан,
бүтээлч үйлийг дэмжсэн.
Хүүхдийн эзэмших мэдлэг, чадварыг хэт
нарийвчлан авч үзсэн.
>>> Сургуулийн өмнөх нийт насанд 268
мэдлэг, 616 чадвар эзэмшүүлэхээр заасан
Агуулгыг улирлаар заасан.
Хүүхдийн эзэмших чадварыг цогц байдал
(чадамжид ойртуулан)-аар тодорхойлсон.
>>> Сургуулийн өмнөх нийт насанд 41
тусгай чадвар >>> 7 ерөнхий чадвар
Агуулга, арга зүй нээлттэй.
Зарчим: Боловсролын чанарыг
хүүхдийн чадамж (эзэмшсэн мэдлэг,
чадвар, төлөвшил)-аар үнэлэх.
СӨБ-ын сургалтын бодлого,2013
Бэлтгэл бүлгийн сургалтын хөтөлбөр, 2012 он
Ахлах бүлгийн сургалтын хөтөлбөр, 2012 он
Дунд бүлгийн сургалтын хөтөлбөр, 2013 он
Бага бүлгийн сургалтын хөтөлбөр, 2013 он
Хүүхдийн эзэмших мэдлэг, чадвар, дадлыг
нас  бүлэг тус бүрээр томьёолсон.
Хүүхдийн эзэмших чадварыг нас/бүлгээр
бус, I-III хүртэл ахисан түвшингээр
томьёолсон.
Үнэлгээ
Юуг: Хүүхдийн чадваруудыг илрүүлэх
Яаж: Хяналтын хуудас, ажиглалтаар
Үнэлгээ
Юуг: Хүүхэд бүрийн онцлог, чадамжийг
илрүүлэх.
Яаж: Чөлөөт ажиглалт, Ажиглалтын
хуудас, Хувийн хавтсыг хамсруулж
Сургуулийн өмнөх боловсролын
сургалтын цөм хөтөлбөр
2015 он
Үндэслэл
• Хүүхэд бүрийн хөгжил адилгүй.
• Цэцэрлэг өөрийн үзэл баримтлалаар
хэрэгжүүлэх боломжтой.
• Багш нар хэрэглэхэд дөхөм.
• Салангид мэдлэгээс >> холбоо
хамаарал, учир шалтгаан, чадвараас >>
чадамж.
• Цэцэрлэг, багшийн бие даасан,
бүтээлч үйлийг дэмжсэн.
Хүүхдийн эзэмших мэдлэг, чадварыг хэт
нарийвчлан авч үзсэн.
>>> Сургуулийн өмнөх нийт насанд 268
мэдлэг, 616 чадвар эзэмшүүлэхээр заасан
Агуулгыг улирлаар заасан.
Хүүхдийн эзэмших чадварыг цогц байдал
(чадамжид ойртуулан)-аар тодорхойлсон.
>>> Сургуулийн өмнөх нийт насанд 41
тусгай чадвар >>> 7 ерөнхий чадвар
Агуулга, арга зүй нээлттэй.
Зарчим: Боловсролын чанарыг
хүүхдийн чадамж (эзэмшсэн мэдлэг,
чадвар, төлөвшил)-аар үнэлэх.
СӨБ-ын сургалтын бодлого,2013
Бэлтгэл бүлгийн сургалтын хөтөлбөр, 2012 он
Ахлах бүлгийн сургалтын хөтөлбөр, 2012 он
Дунд бүлгийн сургалтын хөтөлбөр, 2013 он
Бага бүлгийн сургалтын хөтөлбөр, 2013 он
Хүүхдийн эзэмших мэдлэг, чадвар, дадлыг
нас  бүлэг тус бүрээр томьёолсон.
Хүүхдийн эзэмших чадварыг нас/бүлгээр
бус, I-III хүртэл ахисан түвшингээр
томьёолсон.
Үнэлгээ
Юуг: Хүүхдийн чадваруудыг илрүүлэх
Яаж: Хяналтын хуудас, ажиглалтаар
Үнэлгээ
Юуг: Хүүхэд бүрийн онцлог, чадамжийг
илрүүлэх.
Яаж: Чөлөөт ажиглалт, Ажиглалтын
хуудас, Хувийн хавтсыг хамсруулж
Сургуулийн өмнөх боловсролын
сургалтын цөм хөтөлбөр
2015 он
Үндэслэл
• Хүүхэд бүрийн хөгжил адилгүй.
• Цэцэрлэг өөрийн үзэл баримтлалаар
хэрэгжүүлэх боломжтой.
• Багш нар хэрэглэхэд дөхөм.
• Салангид мэдлэгээс >> холбоо
хамаарал, учир шалтгаан, чадвараас >>
чадамж.
• Цэцэрлэг, багшийн бие даасан,
бүтээлч үйлийг дэмжсэн.
Хүүхдийн эзэмших мэдлэг, чадварыг хэт
нарийвчлан авч үзсэн.
>>> Сургуулийн өмнөх нийт насанд 268
мэдлэг, 616 чадвар эзэмшүүлэхээр заасан
Агуулгыг улирлаар заасан.
Хүүхдийн эзэмших чадварыг цогц байдал
(чадамжид ойртуулан)-аар тодорхойлсон.
>>> Сургуулийн өмнөх нийт насанд 41
тусгай чадвар >>> 7 ерөнхий чадвар
Агуулга, арга зүй нээлттэй.
Зарчим: Боловсролын чанарыг
хүүхдийн чадамж (эзэмшсэн мэдлэг,
чадвар, төлөвшил)-аар үнэлэх.
СӨБ-ын сургалтын бодлого,2013
1.2	 Сургуулийн өмнөх боловсролын сургалтын цөм хөтөлбөрийг
хэрэгжүүлэх зарчим, арга зүй
	Сургуулийн өмнөх боловсролын сургалтын цөм хөтөлбөрийг хэрэгжүүлэхдээ
цэцэрлэгийн удирдлага, багш нарын баримтлан ажиллах зарчмыг Зураг 3-д
харууллаа.
Зураг 3. Сургалтын цөм хөтөлбөрийг хэрэгжүүлэх зарчим
ЗАРЧИМ
Хүүхэд бүрийн
онцлогийг
илрүүлэх,
дэмжих,
хөгжүүлэх
Хүүхдийн нас,
сэтгэхүйн онцлогт
нийцэх
Багш, эцэг эх, олон
нийтийн оролцоог
хангах,
цэцэрлэгийн бие
даасан байдлыг
дэмжих
Хүүхэд сурах
арга барил,
чадвар
эзэмшихэд
чиглэх
Агуулга нь өргөсөх
ба гүнзгийрэх,
тасралтгүй,
чадамжийн ахицыг
хангах
Хүүхэд бүртэй
ажиллах арга зүйд
суурилах, уян
хатан төлөвлөх
Хүүхэд гэж хэн бэ?
Бага насны хүүхэд бол бие биенээсээ
ялгагдах онцлогтой, төрөлхийн
сониуч, аливааг оролдож,
туршиж, хүрээлэн буй орчноо
танин мэдэх хүсэл эрмэлзэлтэй,
баяр хөөр, зүтгэл чармайлттай,
даган дуурайгч, харилцааны явцад
зөв буруу, сайхан муухайг ялган
салгаж, бусдын дунд дасан зохицох
чадвартай, идэвхтэй суралцагч.
СУРГУУЛИЙНӨМНӨХБОЛОВСРОЛЫНСУРГАЛТЫНЦӨМХӨТӨЛБӨР
70 71
ХҮҮХЭДБҮХЭНДЭЭ“БИЧАДНА“ГЭСЭНИТГЭЛӨГЬЕ!
Ийм чадварлаг, идэвхтэй суралцагчтай багш Та хэрхэн ажиллаж, юуг анхаарах вэ?
а) Үзэл бодол, хандлага, үйл ажиллагаа өөрчлөх
Зураг 4. Багшийн хандлага, үйл ажиллагааг өөрчлөх чиглэл
Хүүхэд нэг бүрийг хөгжүүлэх
Хандлага Үйл ажиллагаа
Хүүхэд бүр адилгүй,
ижил насны хүүхэд ч
Хүүхэд бүрийг үнэлэх
(оношлох)
Хүүхдийг байгаагаар
нь хүлээн зөвшөөрөх
Хүүхэд бүр өөрийн
давуу тал, онцлогтой
Үнэлгээ нь хүүхдийг
хөгжүүлж, төлөвшүүлэх
ажлын суурь болох
Хүүхэд бүрийг
хөгжүүлэхдээ байгаа
түвшингээс нь цааш авч
явах
Хүүхэд бүрт бүх талаар, боломжит дээд
хурдаараа хөгжих боломж олгоно.
Хүүхэд нэг бүрийг боломжит дээд хурдаар нь хөгжүүлэхийн тулд багш Та Зураг 4-д
харуулснаар хандлага, үйл ажиллагаагаа өөрчлөх шаардлагатай.
б) Багш дэмжигч, чиглүүлэгч байх
Нэг бүрчилсэн үйл ажиллагааны явцад багш хүүхдийн суралцах үйлийг дараах
байдлаар дэмжиж, чиглүүлнэ.
•	 Тухайн үйлийг хүүхдэд хийж үзүүлнэ. (Загвараар буюу дуурайж суралцах)
•	 Хүүхдүүдийг үгээр удирдаж чиглүүлнэ. (Дасгалжуулах)
•	 Давтан асууж, зөв зам руу нь хөтөлнө. (Сэтгэх процессыг идэвхжүүлэх)
•	 Хүүхдэд санал бодлоо хэлнэ. (Жишээ нь: Зорилгоо биелүүлэхэд хэр зэрэг
дөхөж байгааг мэдрүүлэх)
•	 Сэдлийг нь бууруулахгүй, хамгаалахын тулд гайхаж, сонирхож байгаагаа
харуулна, магтана, зоригжуулна. (Хүч нэмэх)
•	 Туслалцаа үзүүлнэ. (Ганцаарчлан ажиллах)
в) Тухайн насны болон хүүхэд бүрийн онцлогийг харгалзах
Бага насны хүүхэд аливааг сурах чадвартай ч хүүхдэд сургах гэж буй зүйлийн
агуулга нь тэдний танин мэдэхүй, сэтгэл хөдлөл, нийгэмшихүй болон бие бялдрын
хөгжилд нийцсэн байна. Хүндэдсэн эсвэл хөнгөдсөн үйл ажиллагааны аль аль нь
хүүхдийн хөгжилд үр өгөөж өгөхгүй.
Иймд багш Л.С.Выготскийн “Ойрын хөгжлийн бүс”-ийн үзэл санааны дагуу бага
зэргийн тусламжтайгаар хүүхдийн хүрэх “боломжит түвшин”-г мэдэрч ажиллана.
Хүүхдүүд бие махбод, сэтгэлийн хөдөлгөөн, зан чанар болон харилцаа, оюун ухааны
чадавх, хөгжлийн түвшингээрээ харилцан адилгүй. Иймд хүүхэд бүрийн ялгаатай
байдлыг хүлээн зөвшөөрч, хувь хүний өвөрмөц дахин давтагдашгүй шинж чанарыг
дэмжин ажиллана.
г) Үнэлгээ нь хүүхэд нэг бүрийг хөгжүүлэх ажлын эхлэл болох
Хүүхэд нэг бүрийг хөгжүүлэхийн тулд тухайн хүүхдийг таньж мэдэх шаардлагатай.
Иймд сургалтын цөм хөтөлбөрт үнэлгээний асуудлыг чухалчлан авч үзэж, хүүхдийн
хөгжлийн ахицыг үнэлэх арга хэлбэрүүдийг тодорхойлж, хүүхэд бүрийн чадамжийг
илрүүлэх ажиглалтын хуудсыг дагалдуулан гаргасан. Үнэлгээнд тулгуурлан багш
хүүхэд бүрт үзүүлэх дэмжлэг туслалцааг дараах байдлаар хэрэгжүүлнэ.
Зураг 5. Үнэлгээ бол цогц үйл явц
д) Тоглох нь хүүхдийн суралцах үндсэн үйл байх
Тоглоом бол бага насны хүүхдийн үндсэн “ажил” нь. Тоглоомоор дамжуулан хүүхэд
хүрээлэн буй орчинтойгоо харьцаж, түүнийг таньж мэдэж, ойлгодог. Тоглох явцад
тэд сэтгэл санаа өөдрөг, баяр баясгалантай байхын зэрэгцээ ургуулан бодох,
шаламгай хөдлөх, тэвчээртэй байх, бие дааж шийдвэр гаргах, бусдад туслах, үүрэг
хариуцлага хүлээх, дүрэм, журам баримтлах, өөртөө итгэлтэй болох зэрэг бие хүний
эрхэм чанаруудыг эзэмшинэ.
е) Хүүхдийн төлөвшилд түлхүү анхаарах
Хүүхэд өөрийгөө зохих түвшинд бие даан авч явах, тулгарсан асуудлыг хэр
хэмжээндээ шийдэх, бусдын дунд зан, үйлээ зохицуулахын тулд өөрийнхөө талаар
эерэг сэтгэгдэлтэй байх, өөртөө итгэх, сурч мэдэх сонирхол, эрмэлзэлтэй байх нь
чухал. Тэд өдөр тутмын амьдралын явцад “болно, болохгүй”, “сайн, муу”, “сайхан,
муухай”-г мэдэрч ойлгоно. Багш сайн хүн болох зөв суурийг нь тавихын тулд
цэцэрлэгийн өдөр тутмын амьдрал, сургалтын үйл ажиллагаа бүрийн явцад хүүхэд
бүр эрүүл амьдрах дадал хэвшил, эерэг зан чанар, харилцааны эв дүй, чадвар
эзэмшихэд анхаарч ажиллана.
СУРГУУЛИЙНӨМНӨХБОЛОВСРОЛЫНСУРГАЛТЫНЦӨМХӨТӨЛБӨР
72 73
ХҮҮХЭДБҮХЭНДЭЭ“БИЧАДНА“ГЭСЭНИТГЭЛӨГЬЕ!
ё) Цэцэрлэг, багш нар бие даан, бүтээлчээр ажиллах
Цэцэрлэг бүр хүүхэд хөгжүүлэх үзэл баримтлалынхаа дагуу цөм хөтөлбөрийг өөрийн
онцлог арга замаар хэрэгжүүлнэ. Тухайн цэцэрлэгийн удирдлага, багш, ажилтны
санаачилга, бүтээлч үйл, хамтын ажиллагаа нь сургалтын орчин бүрдүүлэх, сургалтын
хөтөлбөрөө боловсруулан хүүхэдтэй ажиллах арга зүйг байнга сайжруулахад чухал
үүрэг гүйцэтгэнэ.
ж) Хүүхдийн хөгжлийг дэмжсэн таатай орчныг бүрдүүлэх
Хүүхдийг хүрээлж буй бүхий л зүйлс тухайлбал, гэр бүл, цэцэрлэг, мэдээллийн хэрэгсэл,
найз нөхөд, эд зүйлс, түүнчлэн хэл, соёл, өв уламжлал, зан заншил, насанд хүрэгчдээс
хандах хандлага нь хүүхдийн сэтгэл санаа, зан төлөв, харилцаа, хандлага, мэдлэг,
чадварт шууд нөлөөлнө. Олон талт үйл ажиллагаа гүйцэтгэх боломжтой, аюулгүй,
сэдэлжүүлсэн орчин болон хүүхдийг хүндэтгэж, мэдэрч ойлгосон, хайрласан ойр дотно
харилцаа нь бага насны хүүхдийн хөгжил, төлөвшил, тааламжтай сайхан байдалд маш
чухал хэрэгцээтэй.
з) Багш, эцэг эх, олон нийтийн оролцоог хангах
Эцэг эх хүүхдээ илүү сайн мэдэж, өөр өөрийн арга барилаар өсгөж, хөгжүүлдэг бол
багш нар эцэг эхтэй нээлттэй, хүндэтгэлтэй харилцаж, хүүхэдтэй ажиллахдаа гэр
бүлийн соёл, эерэг зан үйлийг тусгаж, хамтран ажиллана. Мөн сургууль, орон нутгийн
мэргэжлийн болон бусад байгууллагын дэмжлэг, оролцоог хангаж хөтөлбөрийг
амжилттай хэрэгжүүлэхэд санаачилгатай ажиллана.
1.3. Хүүхэд бүрийн хөгжлийн ахицыг үнэлэх
1.3.1. Үнэлгээний арга хэрэгсэл
Зураг 6. Хүүхдийн хөгжлийн ахицыг үнэлэх тайлбар
АНХААРАХ
ХЭЗЭЭ үнэлэх?
ЯАЖ үнэлэх?
ЮУГ үнэлэх?
ЯМАР байх?
• Сайн талыг илрүүлэх
• Багшид ачаалал багатай
• Өдөр тутмын үйл
ажиллагааны явцад
• Ажиглалт
• Баримтжуулалт
• Чадамж
• Онцлог
• Цогц
• Бодитой
• Нийтлэг дүр төрхийг
илрүүлсэн
• Ахицыг тодорхойлсон
ХҮҮХДИЙН ХӨГЖЛИЙН АХИЦЫН ҮНЭЛГЭЭ
НАРИЙВЧИЛСАН
БҮТЭЦТЭЙ
АЖИГЛАЛТ
ЧӨЛӨӨТ
АЖИГЛАЛТ
ХУВИЙН
ХАВТАС
АЖИГЛАЛТЫН
ХУУДСААР
Хүүхдийн хөгжлийн ахицыг “Чөлөөт ажиглалт”, ажиглалтын хуудсын дагуу хийгдэх
“Нарийвчилсан бүтэцтэй ажиглалт”, хүүхдийн “Хувийн хавтас” хөтлөлтийг хослуулан
үнэлнэ. Эдгээр нь харилцан бие биеэ нөхөн баяжуулж, тухайн хүүхдийн талаар цогц,
бодитой мэдээллийг бий болгоно.
	
Зураг 7. Чөлөөт ажиглалтын тэмдэглэл, “Хувийн хавтас”-ын жишээ
	 Хүүхдийн хөгжлийн ахицыг үнэлэх эдгээр арга хэлбэр нь манай цэцэрлэгийн
багш нарын хувьд цоо шинэ зүйл биш. Багш нар хүүхдэд эзэмшүүлэх чадвараа
жагсаагаад алийг нь эзэмшсэн, эзэмшээгүйг тооцож ирсэн. Энэ нь одоо хэрэглэх гэж
буй ажиглалтын хуудсын дагуу хийх нарийвчилсан бүтэцтэй ажиглалттай төстэй. Багш
нар мөн “Чөлөөт ажиглалт” явуулж, түүнийгээ эцэг эхэд танилцуулах, харилцах дэвтэрт
тэмдэглэх зэргээр ашиглаж ирсэн. “Хувийн хавтас” нь хүүхэд бүрийн “Бүтээлийн
хавтас”-тай төстэй. Гэхдээ дээрх 3 арга хэлбэрийг улам боловсронгуй болгож,
системтэй, хослуулан ашиглаж, хүүхэд бүрийн чадамж, онцлогийг илрүүлэн ажиллах
шаардлагатай.
Зураг 8. Хүүхдийн хөгжлийн ахицыг үнэлэх тайлбар, тодруулга
СУРГУУЛИЙНӨМНӨХБОЛОВСРОЛЫНСУРГАЛТЫНЦӨМХӨТӨЛБӨР
74 75
ХҮҮХЭДБҮХЭНДЭЭ“БИЧАДНА“ГЭСЭНИТГЭЛӨГЬЕ!
1.3.2	 Хүүхдийн хөгжлийн ахицыг үнэлэх ажиглалтын хуудас, түүнийг
ашиглах нь
	 “Хүүхдийн хөгжлийн ахицыг үнэлэх ажиглалтын хуудас”-ыг шинжлэх
ухааны үндэслэлтэй бөгөөд практикаар нотлогдсон ХБНГУ-ын цэцэрлэгүүдэд
ашиглагдаж буй КОМПИК ажиглалтын хуудсын зарчмыг баримтлан
боловсруулсан.
	Энэ нь 3-6 хүртэлх насны хүүхэд тус бүрийн чадамж, онцлогийг илрүүлж,
хөгжлийг дэмжих зориулалттай. Ажиглалтын хуудсаар тухайн хүүхдийн нэг
бүрчилсэн чадварыг үнэлэхгүй, харин чадамжийг үнэлнэ. “Чадамж” гэдэг нь
хүүхдийн мэдлэг, чадвар, төлөвшил (хандлага)-ийн цогц. “Онцлог” гэдгийн
дор тухайн хүүхдийн сонирхол, зан ааш, сэтгэлийн хөдөлгөөн, бие бялдрын
өвөрмөц байдал зэргийг хамруулан ойлгож болно.
	Ажиглалтын хуудсанд хүүхдийн бүх талын хөгжлийг хамарсан долоон
чадамжийг авч үзсэн бөгөөд тус бүрдээ 2-3 хэсэгтэй. 	
1 2 3 4 5 6 7
Хөдөлгөөн,
эрүүл мэндийн
чадамж
Нийгэм-
шихүйн
чадамж
Хэл ярианы
чадамж
Орчноо
таньж мэдэх,
opчин-тойгоо
харилцах
чадамж
Матема-
тикийн
чадамж
Дүрслэх
урлагийн
чадамж
Хөгжмийн
чадамж
•	Биеийн
хөдөлгөөнөө
удирдах
•	Гар хурууны
хөдөлгөөнөө
зохицуулах
•	Эрүүл мэндээ
хамгаалах
•	Зан чанар
•	Сэтгэлийн
хөдөлгөөнөө
удирдах
•	Бусадтай
харилцах
•	Сонсох,
ойлгох
•	Ярих
•	Унших,
бичих
бэлтгэл
•	Орчноо
шинжлэн
судлах
•	Орчинтой-
гоо харьцах
•	Тоолох
•	Хэм-
жих
•	Зурах
•	Урлах
•	Дуулах
хөгжимдөх
•	Бүжиглэх,
жүжиглэх
Хэсэг тус бүр тухайн чадамжийг илрүүлэхтэй холбогдох асуултуудтай.
Зураг 9. Жишээ:Хөдөлгөөн, эрүүл мэндийн чадамжийн “Эрүүл мэндээ хамгаалах” хэсэг.
1.3. Эрүүл мэндээ хамгаалах
1.3.21
Гараа бохирдсон үед нь болон бие зассаны дараа
сануулгагүйгээр угаана.
1 2 3 4 5
1.3.22 Хоолой, амаа бие даан зайлна. 1 2 3 4 5
1.3.23 Бие зассаны дараа ариун цэврийн цаасыг бие даан зөв хэрэглэнэ. 1 2 3 4 5
1.3.24
Хувцсаа орчин, үйл ажиллагаандаа тохируулан өмсөнө.
(Жишээ нь: Гадаа тоглох, дасгал хөдөлгөөн хийхэд)
1 2 3 4 5
1.3.25 Сайн зажилж, тайван хооллоно. 1 2 3 4 5
1.3.26
Ямар хүнсний зүйл хүний биед сайн, мууг мэднэ. (Жишээ нь:
Сүү, сүүн бүтээгдэхүүн, хүнсний ногоо; их хэмжээтэй чихэрлэг зүйл,
хийжүүлсэн ундаа)
1 2 3 4 5
1.3.27
Хийж болохгүй, осолтой үйлдлүүдийг мэднэ. (Жишээ нь: Халуун
зуухнаас хол байх, морь малын хөлд ойртохгүй байх)
1 2 3 4 5
1.3.28
Ангийн аюулгүйн дүрмийг мөрдөнө. (Жишээ нь: Хайчны амыг
хаах, харандааны үзүүрийг доош харуулж өгөх)
1 2 3 4 5
Нийт оноо IX-X
сар
IV-V
сарГүйцэтгэлийн дундаж
Хөдөлгөөн, эрүүл мэндийн чадамжийн нийт оноо: _____
Гүйцэтгэлийн дундаж: _____
Чадамжийг илрүүлэх асуултууд хүүхдийн нас тус бүрээр өөрчлөгдөхгүй. Чадамж нь
богинохон хугацаанд хүүхдэд эзэмшигдэхгүй учир нас тус бүрээр үнэлэх боломжгүй.
Иймд энэхүү ажиглалтын хуудсанд нэрлэсэн чадамжийг хүүхэд сургуулийн өмнөх
насандаа эзэмшинэ. Нэг ижил асуултаар хүүхэд бүрийг 3 наснаас сургуульд элсэх
хүртэл нь үнэлнэ.
Ажиглалтыг цэцэрлэгт явагддаг өдөр тутмын үйл ажиллагааны явцад явуулна. Багш
ангийнхаа хүүхэд бүрийг мэдэрч, таньж мэдсэн байх нь чухал. Тийм ч учраас хүүхэд
бүрийн хичээлийн жилийн эхний үнэлгээг зөвхөн 9 дүгээр сарын эхний хоёр долоо
хоногт бус, 11 дүгээр сар хүртэлх хугацаанд хийнэ.
Ажиглалтыг явуулахдаа багш өөртөө болон хүүхдэд ачаалал дарамтгүй, аль болох
өдөр тутмын үйл ажиллагааны явцад тухайн хүүхэд ямар зан ааш гаргаж, бусадтай
хэрхэн харилцаж буй, юуг сонирхож, илүү сайн хийж чадаж байгаа гэх мэтээр бүх
талаас нь ажиглаж байх шаардлагатай.
Хүүхдээ сайн таньж мэдсэн тохиолдолд зарим асуултыг багш шууд тэмдэглэх
боломжтой. Гэхдээ ганц тохиолдол, өөрийн субьектив үнэлгээнээс зайлсхийх хэрэгтэй.
Орчноо таньж мэдэх, математик, хэл ярианы чадамжтай холбоотой зарим асуултыг
хариулахдаа зориуд тодорхой үйл ажиллагааг зохион байгуулах шаардлага гарна.
Ийм тохиолдолд тэрхүү үйл ажиллагаагаа өдөр тутмын хөгжүүлэх үйл ажиллагааны
нэг хэлбэр болгон төлөвлөж, бэлтгэн явуулж, энэ явцдаа хүүхдээ ажиглана.
Асуултыг хариулахдаа багш туслах багштайгаа хамт ажиглалтыг явуулж, мэдээллээ
солилцвол илүү бодитой болно. Ажиглалт хийхдээ аль нэг чадварыг илрүүлэх тестийн
аргыг хэрэглэхгүй. Ажиглалт явуулах хугацаа 10 минут орчим байна.
Ажиглалт явуулсныхаа дараа хуудасны асуулт бүрийн ард 5 шатлалтай хариултаас
тохирохыг нь сонгож тэмдэглэнэ. Асуултын хариулт бүр нэг бол давтамж буюу хэр
олон удаа тохиолдож байгаагаар “огт тохиолддоггүй”-гээс “байнга тохиолддог”
хүртэл, эсвэл хэр тохирч байгаа “огт тохирохгүй байна” гэдгээс “яг тохирч байна”
гэдэг хүртэл тэмдэглэнэ. Давтамж, тохиолдлыг дугуй хүрээтэй тоогоор, тохирцыг
дөрвөлжин хүрээтэй тоогоор тэмдэглэнэ.
Дөрвөлжин хүрээтэй тоо нь хүүхдийн гүйцэтгэж буй үйлийн гүйцэтгэлийн чанар ямар
байгааг “тохирцоор”, дугуй хүрээтэй тоо нь хүүхдийн сонирхол, сэдэл, дадал хэвшлийн
эзэмшилт ямар байгааг ажиглагдаж буй “давтамжаар” илрүүлнэ. Дөрвөлжин, дугуй
доторх тооны өөрчлөлтөөр хүүхдэд тухайн чиглэлээр чанарын ахиц гарч байгааг
илтгэнэ. Багш тоо буюу оноо тус бүрийн ард буй үгсийн утгыг маш сайн анхаарч,
тохирохыг нь сонгож тэмдэглэнэ.
	 Зураг 10. Асуултын хариултад сонгох оноо, түүний харгалзах утга
1
2
3
4
5
1
2
3
4
5
Огт тохиолддоггүй.
Хааяа нэг тохиолддог.
Байн байн тохиолддог.
Ихэнхдээ тохиолддог.
Дандаа / байнга тохиолддог.
Огт тохирохгүй байна.
Ховор тохирч байна.
Дундаж хэмжээнд тохирч байна.
Ихэнхдээ тохирч байна.
Яг тохирч байна.
Давтамж Тохироц
Дөрвөлжин, дугуй доторх тооны аль алиных нь 1-5 хүртэлх тоо ихсэх тусам чанарын
ахиц гарч байна гэж үзнэ. Гэхдээ 3-ын тоог дундаж гэж авчхаад хүүхэд 1 ба 2 дээр
байвал “Дундаас доогуур” тааруухан байна гэж дүгнэж болохгүй. Учир нь 3-6 хүртэлх
насны нийт хүүхдийг нэг л асуултаар үнэлэх учир хүүхдийн нас тус бүрийн онцлогийг
харгалзах шаардлагатай. Жишээлбэл, 3 настнууд гол төлөв 1 ба 2 дээр тэмдэглэгдэх
болов уу. Гэхдээ энэ насны хүүхдийн зарим асуултын хариулт 2-оос дээш тоогоор
тэмдэглэгдэхийг үгүйсгэхгүй. Гэтэл зарим 4 ба 5 настнуудын зарим асуултын хариулт
1 буюу 2 гэсэн тоогоор тэмдэглэгдэх тохиолдол ч байж мэднэ. Хүүхэд бүр өөрийн
давуу мөн сул талтай.
СУРГУУЛИЙНӨМНӨХБОЛОВСРОЛЫНСУРГАЛТЫНЦӨМХӨТӨЛБӨР
76 77
ХҮҮХЭДБҮХЭНДЭЭ“БИЧАДНА“ГЭСЭНИТГЭЛӨГЬЕ!
1.1.1
Тэнцвэрээ хадгалан 20 см өргөн зураасан дундуур давж
гишгэхгүйгээр арагш ухарч явна.
1 2 3 4 5
1.1.2
Дүүрэн устай ундааны шилэн аяга (стакан)-ыг нэг гартаа
бариад усыг цалгиулахгүйгээр өрөөний нэг талаас нөгөө тал
хүртэл алхана.
1 2 3 4 5
1.1.3 Тасалгаан дотор хурдаа тохируулж гүйнэ. 1 2 3 4 5
1.1.4 Хөлийг салгалгүйгээр зураасны дагуу үсэрнэ. 1 2 3 4 5
1.1.5
Шаланд ойлгож дамжуулсан бөмбөгийг алдахгүйгээр хоёр
гараараа барьж авна.
1 2 3 4 5
1.1.6
Хоёр гараараа дундаж хэмжээтэй (диаметр нь 10 см орчим)
бөмбөгийг дээш шидээд, алдахгүй барьж авна.
1 2 3 4 5
чадамжийг ерөнхийд нь “4” байна гэж үнэлж болно. Дараа нь тухайн чадамжийн нийт
оноог нэгтгэж, гүйцэтгэлийн дунджийг гаргана. Үнэлгээгээг “Чөлөөт ажиглалт”-ын үр
дүнгээр баталгаажуулж, баяжуулж болно.
Ажиглалтын хуудсын асуултуудын хариултыг нэгтгэж, чадамж тус бүрийн үнэлгээг
гаргасны дараа багш тухайн хүүхдийн хөгжил, онцлогийн талаар товч дүгнэлт бичнэ.
(Жилдээ 2 удаа, намар, хавар тус бүр нэг удаа) Жишээлбэл, Аль талаараа давуу
сайн байгаа, сүүлийн үед хөгжилд нь анзаарагдсан ахиц дэвшил, цаашид юун дээр
түлхүү анхаарч ажиллах гэх мэт. Энэ нь багшид хүүхэдтэй ажиллах өдөр тутмын үйл
ажиллагааны төлөвлөлтөд суурь болон ашиглагдана. Энд нийслэлийн нэгэн багшийн
ажиглалтын хуудасны дүнгийн нэгтгэл, товч дүгнэлтийг жишээ болгон харууллаа.
Тайлбар: Дөрвөлжин нүдэнд хөх өнгөөр нэг чадамжийн доторх аль нэг хэсгийн
гүйцэтгэлийн дунджийг тэмдэглэжээ. Жишээлбэл, Тухайн хүүхэд “Хөдөлгөөн эрүүл
мэндийн чадамж”-ийн Биеийн хөдөлгөөнөө удирдах хэсэгт гүйцэтгэлийн дундаж нь “1”
дээр, “Гар, хурууны хөдөлгөөнөө зохицуулах” хэсэгт гүйцэтгэлийн дундаж нь “2” дээр
байна гэсэн үг.
Зураг 11. Нийслэлийн 101 дүгээр цэцэрлэг Дунд В бүлэг, багшийн хийсэн гарааны
үнэлгээ
Ажиглалтын хуудсын зарим асуултыг хариулахад “Чөлөөт ажиглалт”-ын тэмдэглэл,
“Хувийн хавтас”-ны мэдээлэл танд хэрэг болно. Жишээлбэл, тухайн хүүхдийн зан
чанар, харилцаатай холбогдох асуултыг хариулахад “Чөлөөт ажиглалт”-ын тэмдэглэл,
зурах, урлахтай холбогдох асуултыг хариулахад “Хувийн хавтас”-ны мэдээлэл үнэтэй
хувь нэмэр оруулна. Ийнхүү олон талын мэдээллийг хамтатган хүүхэд бүрийг үнэлбэл,
үнэлгээ илүү үнэн зөв, бодитой болно.
Ажиглалтын хуудасны асуултууд бүрэн таглагдсан тохиолдолд хариултуудыг нэгтгэн
дүгнэнэ. Дүгнэлт гаргасан огноо, хүүхдийн нас, сарыг ажиглалтын хуудсын дээд талд
заавал тэмдэглэнэ. Хүүхэд бүрийн үнэлгээг чадамж тус бүрээр өөрөөр хэлбэл хөгжлийн
бүрэлдэхүүн хэсэг тус бүрээр гаргана. Жишээлбэл, хүүхдийн “Хөдөлгөөн, эрүүл мэнд”
хэсгийн “Биеийн хөдөлгөөнөө удирдах чадамж”-ийн зарим асуулт дээр тоонуудаа
хэрхэн нэгтгэн дүгнэхийг жишээ болгон авч үзье.
Нэр: ................, Нас: 4 нас 5 сартай, эмэгтэй
Тэмдэглэгдсэн тоонуудаа (4+2+4+4+5+4=23) нэмнэ. Үүгээр авсан онооны дүн гарна.
Авсан онооны дүнгээ асуултынхаа тоо буюу 6-д хуваахад (23:6=4) гүйцэтгэлийн дундаж
гарна. Гүйцэтгэлийн дунджаас үзэхэд тухайн охины биеийн хөдөлгөөнөө удирдах
Хариултыг өөр өнгөөр тэмдэглэн нэг ажиглалтын хуудсыг хичээлийн жилд намар, хавар
2 удаа ашиглаж болно. (Цаашдаа программд оруулна.) Багш ажиглалтын хуудсын
дүнгийн нэгтгэлээ тухайн насны хүүхдийн улсын дундаж үзүүлэлттэй харьцуулан үзэж
болно.
3 хүртэлх насны хүүхдийн хөгжлийн ахицыг “чадамж”-аар бус, “Биеийн хөдөлгөөнө
удирдах”, “Нийгэмшихүй”, “Оюун ухаан” гэсэн 3 төрлийн чадвараар үнэлнэ. Хүүхэд тус
бүрийн чадвараас хамааран “Чаддагүй” бол 1, “Дэмжлэгтэй” бол 2, “Чаддаг” бол 3 гэж
1-3 хүртэлх тооны аль нэгийг сонгож, чадвар тус бүрийн арын аль нэг нүдэнд бичнэ.
Төгсгөлд нь бичсэн тоо буюу оноонуудаа нэмэхэд “Онооны дүн”, онооны дүнгээ тухайн
хэсгийн чадварын тоонд хуваахад “Гүйцэтгэлийн дундаж” гарна.
Зураг 12. Гурав хүртэлх насны хүүхдийн ажиглалтын хуудсын хэсэг
1. Биеийн хөдөлгөөнөө удирдах чадвар
№ Чадвар
Чаддаг
-гүй
Дэмж-
лэгтэй
Чаддаг
1.1 Шалан дээр байгаа зүйлийг доош бөхийн барьж авна.
1.2 Ор болон өндөр сандал дээр гарч, бууж чадна.
1.3 Том хайрцагт юмсыг зөөж хийнэ.
1.4 Хөтөвч, суултуурт бие засахдаа өөрөө сууж, босно.
1.5 Шатаар өгсөж, уруудна.
1.6 Аяга, халбагаа зөв барьж хэрэглэнэ.
1.7
Зузаан (картонон) хуудастай номын хуудсыг нэг нэгээр нь
эргүүлнэ.
1.8
Бүдүүн харандаа, тосон харандаа ашиглаж, цаасан дээр
зураас татна.
1.9 Хувцсаа өөрөө тайлна.
1.10 Гараа угааж, арчина.
1.11 Цэвэрхэн хооллоно.
1.12 “Болно”, “Болохгүй” гэсэн энгийн зааврыг ойлгож биелүүлнэ.
Хугацаа
IX-X
сар
IV-V
сар
Ахиц
Онооны дүн
Гүйцэтгэлийн дундаж
Хүүхдийн хөгжлийн түвшин, онцлогийг ийнхүү тогтоосноор багшаас хүүхэд бүрд
шаардлагатай дэмжлэг туслалцаа үзүүлэх, өөрийн сургалтын арга технологио
сайжруулах, эцэг эхэд хүүхдийнх нь хөгжил, төлөвшлийн талаар бодит мэдээлэл өгөх
СУРГУУЛИЙНӨМНӨХБОЛОВСРОЛЫНСУРГАЛТЫНЦӨМХӨТӨЛБӨР
78 79
ХҮҮХЭДБҮХЭНДЭЭ“БИЧАДНА“ГЭСЭНИТГЭЛӨГЬЕ!
ТАНАЙ
ХАМТ
ОЛОН
Өөрсдийнхөө санал,
санаачлагаар бие даан,
бүтээлчээр ажилламаар байна
уу?
Хүүхэд бүрийг хөгжүүлж,
төлөвшүүлэхэд өөрсдийнхөө
чухал гэж үзсэн санааг
хэрэгжүүлмээр байна уу?
Хүн бүрийн сэтгэл, хүчин чармайлтыг
нэгтгэж, нэг зорилгын төлөө баг
хамт олноо зангидан, өөдрөгөөр
ажиллуулмаар байна уу?
Хүүхдийг хөгжүүлж,
төлөвшүүлэх өөрийн гэсэн
онцлог сургалтын хөтөлбөртэй
болмоор байна уу?
Хүүхдийн дунд хаана, хэдийд,
ямар ажил зохион байгуулахаа
өөрсдөө шийдмээр байна уу?
Анги зохион байгуулалт, өдрийн
дэглэм, хүүхдийн дунд явуулах
өдөр тутмын үйл ажиллагаагаа
өөрсдийнхөө хамгийн үр дүнтэй гэж
үзсэн хувилбараар зохицуулмаар
байна уу?
Цэцэрлэгийнхээ гадаад,
дотоод орчныг бусад
цэцэрлэгүүдээс ялгагдах
өөрийн гэсэн онцлогтойгоор
бүрдүүлмээр байна уу?
нөхцөл бүрдэнэ.
Хоёр. СУРГУУЛИЙН ӨМНӨХ БОЛОВСРОЛЫН
СУРГАЛТЫН ЦӨМ ХӨТӨЛБӨРИЙГ ЦЭЦЭРЛЭГИЙН ТҮВШИНД
ХЭРЭГЖҮҮЛЭХ НЬ
2.1.	 “Хүүхэд бүрийг хөгжүүлэх цэцэрлэгийн үзэл баримтлал” ба “Сургалтын
хөтөлбөр”-ийн холбоо хамаарал
Манай улсын цэцэрлэгүүдэд 1998 он хүртэл мөрдөж ирсэн сургалтын хөтөлбөрт
хүүхдийн дунд явуулах сургалтын зорилго, агуулгыг хичээлүүд болон хичээлээс бусад
үйл ажиллагааны хэлбэр тус бүр, мөн хүүхдийн нас (бүлэг) тус бүрээр нарийвчлан
зааж өгсөөр ирсэн. Энэ нь багш төвт үйл ажиллагаа давамгайлах хандлагыг бий болгож
байсан.
1998 оны “Сургуулийн өмнөх боловсролын агуулгын стандарт”, түүнийг дагалдан
гарсан “Сургуулийн өмнөх боловсролын үлгэрчилсэн цөм хөтөлбөр”-ийг хэрэгжүүлэх
үеэс багш нар сургалтын агуулга, арга зүй, хэрэглэгдэхүүнээ өөрөө сонгон, бүтээлчээр
ажиллах, хүүхдийн эрэлт, хэрэгцээ, сонирхлыг харгалзан “Хүүхэд төвт үйл ажиллагаа”
явуулах хандлагын эхлэл тавигдсан билээ. Энэ үеэс цэцэрлэгт “Хүүхэд хөгжүүлэх үзэл
баримтлал” гэсэн ухагдахуун бий болж, зарим бичиг баримтад тусгалаа олж ирсэн.
Энэ нь тухайн цэцэрлэг сургалтын хөтөлбөртөө ямар зорилго дэвшүүлэх, яаж (агуулга,
арга зүй, хэрэглэгдэхүүн ямар байх) ажиллавал хүүхдийг хөгжүүлж төлөвшүүлэх ажил
хамгийн сайн явагдах вэ гэдгээ өөрсдөө тодорхойлох болсонтой холбоотой.
Зарим баримт бичгийн заалтыг эргэн харъя. 2007 оны “Сургуулийн өмнөх боловсролын
сургалтын талаар баримтлахбодлого” -д “Сургалтын хөтөлбөр нь СӨБ-ын стандарт,
тухайн цэцэрлэгийн үзэл баримтлалыг хэрэгжүүлэхэд чиглэсэн байна”, 2013 оны
“Сургуулийн өмнөх боловсролын сургалтын талаар баримтлах бодлого”-д “Бие
даасан байдлыг хангах гол арга зам нь цэцэрлэг тус бүр өөрсдийн үзэл баримтлалаа
тодорхойлон Сургуулийн өмнөх боловсролын сургалтын талаар баримтлах бодлогыг
хэрэгжүүлэхэд оршино” гэжээ.
2015 оны “Сургуулийн өмнөх боловсролын сургалтын цөм хөтөлбөр”-т “Багш нар
сургалтын хөтөлбөрөө хүүхэд бүрийг хэрхэн хөгжүүлж төлөвшүүлэх арга замаа
тодорхойлсон үзэл баримтлалдаа тулгуурлан боловсруулна.” гэж тодорхойлсон.
Хүүхэд нэг бүрийг хөгжүүлэх цэцэрлэгийн үзэл баримтлал гэж юу вэ?
“Хүүхэд нэг бүрийг хөгжүүлэх цэцэрлэгийн үзэл баримтлал” (цаашид “үзэл баримтлал”
гэх) нь тухайн цэцэрлэгийн баг хамт олны хүүхдийг хөгжүүлж, төлөвшүүлэх ажлын
шийдэл, онцлог арга ухаан, өдөр тутмын ажилдаа баримтлах удирдамж юм.
Үзэл баримтлал нь Зураг 13-д буй асуултад хариулт өгч, тухайн цэцэрлэг бие даан,
өөрийн онцлогтойгоор хөгжих боломжийг бий болгоно. Гагцхүү тухайн байгууллага-
хамт олон хүүхэд
бүрийг хөгжүүлэх
ажлын чанарыг
с а й ж р у у л а х т а й
холбогдох эдгээр
болон бусад
а с у у л т у у д а д
өөрсдөө л хариулт
олж, шийдвэрээ
гаргана.
Зураг 13:
Үзэл баримтлалаар шийдэх зарим асуултууд
Хэрэв танай цэцэрлэгийн Үзэл баримтлал эдгээр болон тулгарсан бусад асуудлыг
шийдэхэд тус болохгүй, багш, ажилтнуудын хүүхэдтэй ажиллах өдөр тутмын
үйл ажиллагааны чиглэл болж, нөлөө үзүүлэхгүй байвал Үзэл баримтлал тань
шаардлагын хэмжээнд боловсруулагдаагүй, нэгэн хэрэггүй бичиг цаас байна л гэсэн
үг.
Үзэл баримтлал ямар бүтэцтэй байх вэ?
•	 Эрхэмлэх зүйлс
•	 Байгууллагын үйл ажиллагааны зохион байгуулалт (анги зохион байгуулалт,
өдрийн дэглэм, сургалтын орчин, ажлын төлөвлөлт, хүүхдийн хөгжлийн ахицын
үнэлгээ)
•	 Хамт олны соёл, хүүхдийг хөгжүүлж төлөвшүүлэхэд хүн бүрийн үүрэг, оролцоо
•	 Эцэг эхийн үүрэг, оролцоо, бусад байгууллага, хүмүүстэй хэрхэн хамтарч
ажиллах чиглэл
Үзэл баримтлал ямар ач холбогдолтой вэ?
•	 Цэцэрлэг өөрийн гэсэн өнгө төрхтэйгөөр хөгжих боломж бүрдэнэ.
•	 Хүүхдийг хөгжүүлж, төлөвшүүлэхэд тухайн хамт олны эрхэмлэх зүйл тодорхой
болж, баг хүчээ нэгтгэх боломжтой болно.
•	 Тухайн цэцэрлэгийн үзэл баримтлал нь практикаар нотлогдсон онол, өөрийн
хуримтлуулсан туршлагад суурилах тул эрсдэлгүй, бусад урсгал, чиглэл рүү
хазайхгүй, үйл ажиллагаа тогтвортой явагдана.
•	 Багш, ажилтан бүрийн үүрэг, оролцоо илүү тодорхой болж, ажлыг нь үнэлэх,
хариуцлага тооцох нөхцөл бүрдэнэ.
•	 Тухайн цэцэрлэгт хүүхэд нь хэрхэн хөгжиж, төлөвших талаар эцэг эх тодорхой
чиглэл, мэдээлэлтэй болно, тэдний оролцоо нэмэгдэнэ.
•	 Асуудлыг ихэнхдээ өөрсдөө шийдвэрлэх тул шат шатны удирдах байгууллагын
ачаалал багасна.
Үзэл баримтлалыг хэрхэн боловсруулах вэ?
Үзэл баримтлалыг боловсруулахад хүн бүрийн оролцоо, мөн багагүй цаг хугацаа
шаардагдана.
Зураг 14. Үзэл баримтлал боловсруулах үйл явц
СУРГУУЛИЙНӨМНӨХБОЛОВСРОЛЫНСУРГАЛТЫНЦӨМХӨТӨЛБӨР
80 81
ХҮҮХЭДБҮХЭНДЭЭ“БИЧАДНА“ГЭСЭНИТГЭЛӨГЬЕ!
Үзэл баримтлалыг янз бүрийн арга замаар боловсруулж болно. Гэхдээ дараах ажлууд
үзэл баримтлал боловсруулах явцад түгээмэл хийгдэнэ.
1.Байгууллагынхаа хүүхдийг хөгжүүлж, төлөвшүүлж буй үйл ажиллагаанд
шинжилгээ хийх
Үүнийг маш энгийн аргаар хийвэл илүү үр дүнтэй. Жишээлбэл, Хүүхэд бүрийг
хөгжүүлж, төлөвшүүлэх ажлаа сайжруулахад бид юу хийж, яаж ажиллах вэ гэсэн
асуултуудын жагсаалтыг хамтаараа гаргана. Хүн бүр асуулт бүрт хариулт олно. Хүн
бүрийн хариултыг нийтээрээ хэлэлцэн асуулт тус бүрээр нэгдсэн шийдэлд хүрнэ.
2.Хамт олныхоо эрхэмлэх зүйлсийг тодорхойлох
Энэ нь хамгийн чухал бөгөөд хамгийн их цаг зарцуулдаг ажил. Эрхэмлэх зүйлсээ
тодорхойлохын тулд уншиж судлах, орчин нөхцөл, давуу тал, өөрийн туршлагаа
эргэн харах, удаа дараагийн хэлэлцүүлгүүд хийх зэрэг олон ажил өрнөнө. Эрхэмлэх
зүйлсээс тухайн хамт олон хүүхэдтэй хэрхэн, ямар онцлогтойгоор ажиллах “улаан
шугам” нь гарч ирнэ. Тухайлбал, юуг чухалчлан ажиллах буюу ямар арга зүйг түлхүү
баримтлах, ямар сургалтын орчин бүрдүүлэх гэх мэт.
3.Байгууллагынхаа үйл ажиллагааны зохион байгуулалтыг тодорхойлох
Эрхэмлэх зүйлээ хэрэгжүүлэхийн тулд бид цэцэрлэгийнхээ өдөр тутмын үйл ажиллагааг
хэрхэн зохион байгуулах вэ гэдэг асуудал энд шийдэгдэнэ. Анги зохион байгуулалт,
өдрийн дэглэм ямар байх, сургалтын хөтөлбөрөө хэрхэн боловсруулж, хэрэгжүүлэх,
гадаад, дотоод сургалтын орчин ямар байх, хүүхдийн хөгжлийн ахицыг үнэлэх үйл
ажиллагааг хэрхэн зохион байгуулах гэх мэт. Эдгээрийн шийдэл нь үзэл баримтлалд
тусгалаа олно.
4.Хамт олон, эцэг эхийн үүрэг, оролцоог тодорхойлох
Үзэл баримтлал нь хүүхдийн төлөө хариуцлага хүлээх ёстой багш болон бусад
ажилтнуудын мэдрэмж, мэргэжлийн чадамж ямар байхыг тодорхойлсон байна.
Хүүхдийг хөгжүүлж, төлөвшүүлэхэд хүн бүр ямар хувь нэмэр оруулах, тэдний ажлыг
хэрхэн үнэлж дүгнэх, хамт олны соёл ямар байх, эцэг эхтэй хэрхэн хамтран ажиллах
зэрэг асуудлууд энэ хэсэгт хөндөгдөж, тодорхой шийдэлд хүрнэ. Түүнчлэн бусад
байгууллага, хүмүүстэй хэрхэн хамтарч ажиллах асуудлаа ч тодорхойлно.
Үзэл баримтлал бүр өөр өөрийн өвөрмөц сургалтын орчинтой
Үзэл баримтлал бүр өөр өөрийн өвөрмөц сургалтын агуулга, арга зүй, орчинтой. Энд
зарим цэцэрлэгийн сургалтын материаллаг орчин үзэл баримтлалаа дагаад хэрхэн
өөрчлөгдөж байгааг жишээ болгон харууллаа.
Бид ардын сурган хүмүүжүүлэх ухаанд тулгуурлан бодит амьдрал дунд хүүхдийг
үлгэрлэн дагуулж, хамтдаа хөгжинө.
(Баянхонгор аймгийн 4 дүгээр цэцэрлэгийн үзэл баримтлалаас)
Зураг 15. Баянхонгор
аймгийн 4 дүгээр
цэцэрлэгийн
сургалтын орчноос
“Хүүхэд 100 хэлээр ярьдаг” Хүүхэд бүрийг адил тэгш хөгжүүлэх нь бидний эрхэмлэх
нэгэн чухал зүйл. Иймд бид хүүхдэд урлан бүтээх өргөн боломж олгоно. (Дархан-
Уул аймгийн 18 дугаар цэцэрлэгийн Үзэл баримтлалаас)
Зураг 16. Дархан-Уул аймгийн 18 дугаар цэцэрлэгийн Урлангийн өрөөнд
Бид “Цэцэрлэг нь хүүхэд тоглох явцдаа өөрөө суралцах, хөгжих орчин байна.” гэж
эрхэмлэх зүйлээ тодорхойлоод “тоглох”, “чөлөөт”, “амьд” гэсэн 3 орчинг бүрдүүлбэл
хүүхэд бүр хамгийн сайн хөгжинө гэж үзсэн. (Нийслэлийн42 дугаар цэцэрлэгийн Үзэл
баримтлалаас)
	
Зураг 17. Нийслэлийн 42 дугаар цэцэрлэгийн хүүхдүүд
СУРГУУЛИЙНӨМНӨХБОЛОВСРОЛЫНСУРГАЛТЫНЦӨМХӨТӨЛБӨР
82 83
ХҮҮХЭДБҮХЭНДЭЭ“БИЧАДНА“ГЭСЭНИТГЭЛӨГЬЕ!
Манай цэцэрлэг “Нээлттэй цэцэрлэг”, хүүхдүүд монгол ардын уламжлалт сургалтын
аргаар даган дуурайж, тоглонгоо суралцана. Хүүхдүүд өдөр бүр 9.00-11.00 цагийн
хооронд өөрөө ангиа сонгож, сургалтад хамрагдана. (Завхан аймгийн 1 дүгээр
цэцэрлэгийн Үзэл баримтлалаас)
Зураг 18. Завхан аймгийн 1 дүгээр цэцэрлэг, Анги бүр нэг сургалтын төв
Ийнхүү цэцэрлэг бүр “Хүүхэд хөгжүүлэх үзэл баримтлал”-аа “СӨБ-ын сургалтын цөм
хөтөлбөр”-төө суурилан боловсруулж, улмаар байгууллагынхаа түвшний “Сургалтын
хөтөлбөр”-өөрөө ямар орчин нөхцөл бүрдүүлж байж хэрэгжих, хүүхдийг хөгжүүлж,
төлөвшүүлэх ажлын агуулга, арга зүй ямар байх, сургалтын үйл ажиллагааг хэрхэн
зохион байгуулах зэргийг тодорхойлж амжилттай хамтран ажиллаж байна.
Цэцэрлэгийн үзэл баримтлалыг хэрэгжүүлэх тусгай төлөвлөгөө гаргах шаардлагагүй
бөгөөд энэ нь танай байгууллагын сургалтын хөтөлбөр (сэдвүүдийн боловсруулалт,
тэдгээрийг хэрэгжүүлэх үйл явц)-өөр л хэрэгжинэ.
2.2.“Хүүхэд бүрийг хөгжүүлэх цэцэрлэгийн
үзэл баримтлал” - Туршлага, сургамж
Цэцэрлэгүүд үзэл баримтлалаа хэрхэн боловсруулж, хэрэгжүүлж байгаа туршлага,
сургамжаасаа хуваалцаж байна.
Нийслэлийн 42 дугаар цэцэрлэг
Бид үзэл баримтлалаа боловсруулахын тулд эхлээд эрхлэгч, арга зүйч, эмч, бүх багш
нар, туслах багш нартаа бага насны хүүхдийг хөгжүүлж, төлөвшүүлэхтэй холбогдох
эрдэмтдийн онолыг хэвлэж тараагаад, хугацаа өгч судлуулсан. Тухайлбал, Вальдорф,
Селестан Фрэнэ, Рижжио, Мариа Монтессори, Зегмут Фрейд, Фриедрих Фребел, Жан
Пиаже, Л.С.Выготский нарын онол үзэл санааг судлаад онцлох санааг тодруулаад хүн
тус бүр өөрийн санаагаа бэлтгэн хэлэлцүүлэгт оруулж, хамтран ярилцдаг байсан.
Түүнчлэн цэцэрлэгийнхээ бусад цэцэрлэгээс ялгагдах онцлог, ямар үйл ажиллагаан
дээр төвлөрч барьж хүүхдээ хөгжүүлэх вэ? гэсэн асуудлаар хэлэлцүүлэг өрнүүлсэн.
Нэн түрүүнд бид хүүхэд бүр цэцэрлэгтээ өөрийнхөөрөө, хүссэнээрээ чөлөөтэй байж
чадаж байна уу? гэдэгт анхаарлаа хандуулсан. Мэдээж хэрэг бидний уламжлалт
сургалт, үйл ажиллагаагаар багш юу л заана, түүнийг хүүхэд сурдаг байсан хандлагыг
хамгийн түрүүнд өөрчлөх шаардлагатай гэж үзээд эхлээд “Хүүхэд гэж хэн бэ?” гэдгийг
дараах байдлаар тодорхойлсон.
Бага насны хүүхэд бол уурхайгаас гарсан эрдэнэс
Түүнийг өнгөлж зүлгэвэл улам тодрон гялалзана.
“Чөлөөт”, “тоглох”, “амьд” орчин бүрд багш, туслах багш юу хийх, ямар үүрэг, оролцоотой
байхыг үзэл баримтлалдаа нэг бүрчлэн тусгаж, орчин тус бүрээр дамжуулан хүүхэд
бүр хөгжих боломжийг бүрдүүлэхэд бүх баг хамт олноороо анхаарч ажиллаж байна.
Багш бүр өөр өөрийн ажиллах онцлог боломж, давуу талаа ашиглан хөгжүүлэх үйл
ажиллагаагаа төлөвлөж явуулах нөхцөлийг хангаж өгснөөр нэгэн хэвийн загварт
баригдсан хандлага өөрчлөгдөж, багшийн бүтээлч үйл ажиллагаа нэмэгдсэн.
Үзэл баримтлалдаа баг хамт олон дунд ажиллаж байгаа бүх хүн, түүнчлэн эцэг эх,
асран хамгаалагчийн үүрэг оролцоог нарийн тусгасан учраас “Хэн юу хийх ёстой вэ, би
юу хийх вэ, яаж оролцох вэ?” гэдэг нь тодорхой болж өгсөн.
Иймээс манай цэцэрлэгийн аль ч ажил мэргэжлийн хүн тухайлбал, манаач, жижүүр,
тогооч маань “амьд” орчинд аялахад уриалгахан найрсгаар тусалдаг. Энэ нь үзэл
баримтлалаа бүгд зөвшөөрч, хамтран боловсруулсны үр дүн. Төвийн байршилтай
манай цэцэрлэгийн тухайд ч хүүхдүүдийг хоттой тэр бүр танилцуулаад байдаггүй
байсан. Иймд бид хүүхдүүдээ хамгийн түрүүнд цэцэрлэгийнхээ эргэн тойронд байгаа
байгууллага, театр, музей, үзэсгэлэн, номын сан, талбай гэх мэт газруудаар дагуулан
аялал хийж танилцуулангаа агаар салхинд гардаг болсон.
Хүүхдүүд ч сонирхолтой байдаг учраас бид энэ үйл ажиллагаагаа эцэг эх, хамт олны
оролцоотойгоор одоог хүртэл өргөжүүлсээр байгаа. Хүүхдүүд үзэж харсан зүйлээ
өөрийнхөө тусгаж авснаар бүтээлээрээ илэрхийлдэг, тэдний хийсэн бүтээл, аяллаар
явж буй үйл явц, хөгжүүлэх үйл ажиллагаанд оролцож буй явцыг фото зургаар гаргаж,
эцэг эхэд танилцуулдаг, өөрийнх нь “Хувийн хавтас”-т хийдэг. Энэ бүхний эцэст тухайн
хүүхдийн хөгжлийн ахиц дэвшил тодорхой харагддаг ач холбогдолтой.
Тулгарч байсан бэрхшээл, сургамж
Үзэл баримтлал боловсруулж байх үед, дараа нь ч бэрхшээлүүд тулгарч байсан.
Үүнд, багш бүрийн чадвар харилцан адилгүй байх, үзэл баримтлалаа сайн ойлгоогүй
уламжлалт хичээллэх системээсээ салж чадахгүй, хүүхдүүдээ зөв зохион байгуулж
чадахгүйгээс анги зохион байгуулалт алдагдах гэх мэт. Хүүхдүүд ч өөрсдийн дуртай
сонирхолтой зүйлээ олж мэдрэхгүй бүхий л зүйл рүү үсчих, барьж тавих, анхаарлаа
төвлөрүүлж гүйцэд хийхгүй орхих зэрэг үзэгдлүүд алхам тутамд тулгарч байсан.
Ер нь хүүхэд хөгжүүлэх цэцэрлэгийн үзэл баримтлалыг боловсруулахад хүн бүр
өөрийгөө голохгүй уншиж судлах, тэгээд сэтгэл харамгүй ярилцах нь чухал юм билээ.
Өөрөө уншсан тэгээд хэрэгтэй гэж сонгосон санаагаа үзэл баримтлалдаа оруулах гээд
чармайж ажилласан тэр багш, туслах багш, ажилчид түүний хэрэгжилтэд анхаарах нь
мэдээж.
Бид үзэл баримтлалаа одоо ч эргэж харж, болж, болохгүй байгаа зүйлийг ярилцаж
засаж залруулдаг. Хамгийн гол нь бүгд хандлагаа өөрчилж, хийе бүтээе гэвэл аливаа
ажил бүтдэг юм билээ.
Нийслэлийн 42 дугаар цэцэрлэгийн эрхлэгч Я.Отгонжаргал
СУРГУУЛИЙНӨМНӨХБОЛОВСРОЛЫНСУРГАЛТЫНЦӨМХӨТӨЛБӨР
84 85
ХҮҮХЭДБҮХЭНДЭЭ“БИЧАДНА“ГЭСЭНИТГЭЛӨГЬЕ!
Баянхонгор аймгийн 9 дүгээр цэцэрлэг
Бид үзэл баримтлалаа боловсруулахын тулд эхлээд цэцэрлэгийнхээ үйл ажиллагаанд
хамт олноороо дүн шинжилгээ хийж, хүн бүр юуг сайн хийж чаддагаа тодорхойлсон,
хүүхдийг хөгжүүлж, төлөвшүүлэхтэй холбогдох онол, үзэл санаануудыг эргэн харсан.
Бид эрхэм зорилгоо “Хүүхэд хөгжих таатай орчинд хүүхэд бүрийн хөгжлийг
дэмжинэ, тэдний урлан бүтээх, өөртөө үйлчлэх чадварыг чухалчилна.” хэмээн
тодорхойлсон. Ингээд бид бүлэг бүр өөр өөрийн онцлогтой орчинг бүрдүүлэхээр
зорьж ажилласан. Байгууллагын бүх багш, ажилчид гурван багт хуваагдан өөр өөрийн
өвөрмөц онцлогтой орчинг бий болгосон. Ингэхдээ сургалтын орчны 50%-ийг хамт
олон өөрсдийн бүтээлч үйлээрээ хийж гүйцэтгэсэн.
Ангиудын тавилга, сургалтын хэрэглэгдэхүүний тавиурын загваруудыг өөрсдөө гаргаж,
манай харуул хамгаалалтын ажилтнууд цэцэрлэгийн бүх тавилга хэрэгслийг модоор
хийж өгсөн. Бас нэгэн онцлог нь ангийн өрөөний тавилгуудыг дан нэг түвшинд бус,
ангийн зарим хэсэгт хүүхдүүд шатаар дээшээ гараад тэндээ тоглох, мөн гулсан буух
зэрэг тоглох явцдаа төрөл бүрийн хөдөлгөөн хийх боломжтойгоор хийсэн. Энэ нь
хүүхэд хөдөлгөөнтэй байх, тэдний хөдөлгөөний чадвар сайжрахад багагүй тустайгаас
гадна сонирхолтой байдаг. Бүлгүүдийн авирдаг шат нь өөр өөр загвартай. Хүүхдүүд
дээд талын тавцан дээр голдуу “Айл гэр” сэдэвт тоглоомоор тоглодог бол доод талд нь
өрж байгуулах тоглоомоор тоглоно эсвэл жүжигчилсэн тоглолт хийнэ.Мөн багш, туслах
багш, ажилчид даавуу, пролон болон бусад хаягдал материал ашиглан тоглоомуудыг
хамтарч хийсэн.
Зураг 19. Баянхонгор аймгийн 9 дүгээр цэцэрлэгийн харуул хамгаалалтын ажилтан
Б.Бямбасүрэнгийн хийсэн тавилга хэрэгсэл, тоглоом наадгай
Зураг 20.
Баянхонгор аймгийн 9 дүгээр
цэцэрлэгийн хүүхдүүдийн бүтээл,
“Үлэг гүрвэл” ханын зураг
“Энэ сайхан сэтгэлтэй гүрвэл
таван давхар байшинтай адилхан
өндөр гэсэн. Бид үүнийг өөрсдөө
будаж хийж, ангийнхаа ханыг
чимэглэсэн”.
	 Бид хүүхэд бүрийг хөгжүүлэх
үзэл баримтлалынхаа үр нөлөөг
хэрхэн сайжруулах вэ? гэдэгт эрэл
хайгуул хийсээр байна.
	
Баянхонгор аймгийн 9 дүгээр
цэцэрлэгийн эрхлэгч Ц.Оюунчимэг
Орхон аймгийн 10 дугаар цэцэрлэг
Манай хамт олон дараах зүйлүүдийг нэн чухал гэж үзэж, өөрийн цэцэрлэгийн үзэл
баримтлалдаа тусгасан. Үүнд:
•	 “Хамтрагч хөгжвөл би хөгжинө, би хөгжвөл бид бүгд хөгжинө.” Багш хүүхэд
хоёрыг хамтрагч гэж үзээд “Багш хөгжвөл хүүхэд хөгжинө, хүүхэд хөгжвөл багш
хөгжинө.” гэж тодорхойлсон.
•	 “Үлгэр дуурайлал ба даган дуурайлт” - Томчууд хүний мөс чанарыг үлгэрлэн
харуулж, тодорхой хэмжээнд хөгжлийн орон зайг үүсгэн бий болгох бөгөөд энэ
хүрээнд хүүхэд чөлөөтэй, аяндаа бие даан үйлээ зохицуулна. (Ардын сурган
хүмүүжүүлэх уламжлалаас)
•	 “Цэцэрлэгийн баялаг амьдрал бол хүүхдийг хөгжлийг дэмжсэн суралцах талбар”
(/Вальдорф)- Цэцэрлэг хэдий чинээ баялаг амьдралтай байнахүүхдийн суралцах
үйлийг төдий чинээгээр дэмжинэ. (Түлхүүр үгс: Хөгжилтэй байх, амьдралын баяр
баясгалан)
•	 “Хүүхэд бол бүхэлдээ мэдрэхийг эрмэлзэгч” (Р.Штейнер) - Цэцэрлэгийн амьдрал
хүүхдийн хэрэгцээнд нийцэхдээ бодит, зүй ёсоороо явагдаж буй, мэдрэхүйгээрээ
тусгаж авч болохуйц үзэгдэл, үйл явдлаар баялаг “бүхэл бүтэн”,“буцалсан”орчин
байх нь чухал.
Үзэл баримтлалаа бид “Хүүхэд, багш, гэр
бүл” гэсэн 3 талаас цогцоор нь авч үзэхийг
эрмэлзсэн.
Үзэл баримтлал боловсруулан хэрэгжүүлснээр
манай цэцэрлэгт дараах өөрчлөлт гарч байна.
Сургалтын орчинд: Бид хүүхэд тоглонгоо хөгжих
орчинг бүрдүүлэхийг хичээсэн бөгөөд орчин нь
аль болох тэдний нас, сэтгэхүй, хувийн онцлогт
тохирсон “бодитоороо байх”, “бие даан үйлээ
зохицуулах” боломжтой байхыг чухалчилсан.
Сургалтын хөтөлбөрт: Хүүхдийн сонирхол,
хөгжлийн хэрэгцээнд тулгуурлан сургалтын
сэдвээ сонгодог болсон ба нэг сэдэв дээр ажиллах
хугацаа 21-30 хоног үргэлжилнэ.
"Хамтрагч
хөгжвөл би
хөгжинө, би
хөгжвөл бид
бүгд
хөгжинө."
Хүүхдээ
хөгжүүль.
Гэр бүлийг
дэмжье.
Багшаа
хөгжүүлье.
"Хамтрагч
хөгжвөл би
хөгжинө, би
хөгжвөл бид
бүгд
хөгжинө."
Хүүхдээ
хөгжүүль.
Гэр бүлийг
дэмжье.
Багшаа
хөгжүүлье.
СУРГУУЛИЙНӨМНӨХБОЛОВСРОЛЫНСУРГАЛТЫНЦӨМХӨТӨЛБӨР
86 87
ХҮҮХЭДБҮХЭНДЭЭ“БИЧАДНА“ГЭСЭНИТГЭЛӨГЬЕ!
Үзэл баримтлалынхаа онцлогийн дагуу сэдвийн эхэнд заавал зугаалга, аялал,
экскурсийг зохион байгуулж, хүүхдийг бодит орчинтой танилцуулж байна. Хүүхэд бодит
орчноос олж авсан ойлголт, төсөөллөө өөрийн чадлынхаа хэрээр урлан бүтээж, гарсан
бүтээлийг сургалтын хэрэглэгдэхүүн болгон ашигладаг. Ингэж ажилласнаар хүүхдийн
идэвх, сонирхол, бүтээлч байдал нэмэгдэж, хөдөлгөөн, хэл яриа, урлан бүтээх чадвар
нь сайжирч байна.
Зураг 21. Орхон аймгийн 10 цэцэрлэг, “Тагтаа хөөрхөн” аялал
Хүүхдийн үнэлгээнд: Хүүхдийн хөгжлийн ахицыг бүтээлээр үнэлэх боломжийг хайсан
бөгөөд бүтээлийг нь олон янзын арга, хувилбараар хийлгэж ирсэн. Ингэснээр эцэг
эх, асран хамгаалагчид хүүхдийнхээ бүтээлтэй танилцаж, оролцоо сайжирч, бидний
ажилд тусалъя гэсэн эерэг хандлага дээшилсэн.
Багш, эцэг эх, хүүхдэд:
•	 Цэцэрлэгийн багш, ажилтан бүгд хүүхдийн төлөө гэсэн нэгдмэл сэтгэлтэй болсон.
(Өмнө нь зөвхөн багшийн үүрэг мэт ойлгодог байсан.)
•	 Багш ажилчдын багаар ажиллах чадвар нэмэгдсэн ба ажлын төлөвлөлт болон дүгнэх
үзүүлэлтэд үзэл баримтлалын санааг тусгаж өгснөөр бүтээлч хандлага нь өссөн.
•	 Ажилтан бүр өөрийн ажил үүргийн дагуу “Хүүхдийн нүдээр харж” тэдэнд таатай
орчин бүрдүүлэх, хөгжлийг нь дэмжинажиллахад хувь нэмрээ оруулдаг болсон.
•	 Эцэг эх, асран хамгаалагчбүр хүүхдээ хөгжүүлэх, эрүүл, аюулгүй орчинг
бүрдүүлэхэд анхаарч, тэднийг сонсох, хүндэтгэхэд ахиц гарч байна.
•	 Бусад цэцэрлэгээс ялгагдах, сургалтын хөтөлбөрийг боловсруулан зохих орчныг
бүрдүүлсэн.
•	 Хүүхэд цэцэрлэгтээ ирэх дуртай, явахгүй гэж зүтгэдэг, мөн хүүхэд “тоглонгоо”
суралцаж байгаа.
•	 Эцэг эх, асран хамгаалагчийн сэтгэл ханамж нэмэгдэж, аль болох хүүхэд, багш,
цэцэрлэгийг дэмжих хандлагатай болсон.
Зураг 22. Орхон аймгийн 10 дугаар цэцэрлэг, Эцэг эхчүүдийн бүтээсэн машин
Тулгарч байсан бэрхшээл, сургамж
•	 Эрдэмтдийн онол, санааг зөвхөн 1 талаас нь авч үзсэнээр туйлшрах хандлага бий
болж байсан.
•	 Тогтсон үйл ажиллагаа, цагийн хуваарь, өдрийн дэглэмд өөрчлөлт оруулахад
хугацаа их шаардагдсан.
•	 Үзэл баримтлалынхаа мөн чанарыг ойлгохгүй бие биенээ даган дуурайх үзэгдэл их
байсан. Тухайлбал, нэг багшийн хийсэн бүтээлийг шууд хуулбарлан хийх гэх мэт.
•	 Ихэвчлэн гарын доорх материал, өөрсдийн нөөц бололцоог ашиглан орчныг
бүрдүүлж байгаа учир чанарын шаардлага хангахгүй байхтохиолдол гарсаар байна.
•	 Цэцэрлэгийн орчин, тоглоом, тоног төхөөрөмжийг сайжруулахад чиглэгдсэн төсөв
хангалтгүй.
Орхон аймгийн 10 дугаар цэцэрлэгийн эрхлэгч Т.Энхмаа
СУРГУУЛИЙНӨМНӨХБОЛОВСРОЛЫНСУРГАЛТЫНЦӨМХӨТӨЛБӨР
88 89
ХҮҮХЭДБҮХЭНДЭЭ“БИЧАДНА“ГЭСЭНИТГЭЛӨГЬЕ!
Нийслэлийн 101 дүгээр цэцэрлэг
	 Үзэл баримтлал боловсруулсан түүх, сургамж
Бид эхлээд бага насны хүүхдийн хөгжил нь зөвхөн бүлгийн багш, туслах багшаас шалгаалах
бус, тус цэцэрлэгт ажиллаж буй нийт хүмүүсийн хамтын үйл ажиллагаатай шууд холбоотой гэдэг
дээр санал нэгдэж ойлголцсон. Ингээд цэцэрлэгийн багш, туслах багш, ажилтан нараас хүүхэд
хөгжүүлэх үзэл баримтлалаа хэрхэн боловсруулах, үзэл баримтлал дотор юу юу багтах, хүн
бүрийн ажлын үр дүнг хэрхэн үнэлэх талаар 3 баг бүрдүүлж, уншиж судлах, бичиж боловсруулах
ажилд орсон.
Мөн тус цэцэрлэгийн хүүхдийн 360 эцэг эх, асран хамгаалагчдаас “Хүүхдийн цэцэрлэг ямар
өнгө төрх, үйл ажиллагаатай байх вэ?” гэсэн санал асуулга авахад дийлэнх нь “Тав тухтай,
тайван амгалан, дулаан, өнгөлөг, хүүхдийг минь сайн хүн болгон өсгөн бойжуулахад
их тустай байгаасай.” гэсэн санааг өгсөн байсан.
Бид цэцэрлэгийнхээ үзэл баримтлалыг боловсруулахын тулд юуны өмнө бага насны
хүүхдийн хөгжлийн талаарх эрдэмтэн, судлаачдын онол, үзэл санааг сайтар судлах
шаардлагатайг анхаарч, уншин судлах, өөрсдөдөө чухал гэсэн санааг цуглуулах,
харьцуулан жиших, ярилцлага, маргаан, мэтгэлцээн хийх ажлыг хийсэн. Ингээд
хүүхдийг хөгжүүлэхэд чухал гэсэн асуудлууд дээрээ нийтээрээ тогтож боловсруулах
ажилд орсон.
Эхэндээ “Үзэл баримтлал” гэдэг нэр томьёо их том сонсогдож, хэрхэн хийх арга ухаанаа олохгүй,
ер нь огт бүтэхгүй зүйл ч мэт санагдаж байсан. Заримдаа энэ нь хэнд ямар хэрэгтэй болох, ямар
үр ашиг өгөх, бас л цаасан дээр бичсэн нэг тунхаглал байх вий гэсэн эргэлзээ төрж, нэлээдгүй
бухимдаж, “зөв”, “буруу” байна, хийх, хийхгүй талаар маргаан мэтгэлцээн ч өрнөж байлаа. Ингээд
юутай ч багуудын боловсруулсан санаануудыг нэгтгэн маш дэлгэрэнгүй тайлбар маягтай олон
хуудастай бичиг баримтыг боловсруулсан. Түүнийгээ баг бүр тал бүрээс нь хэлэлцэн хянаж, дахин
судалгаа хийсэн.
Нэлээд орны цэцэрлэгийн үзэл баримтлалыг судалж, мөн хэвлэл мэдээлэлд байгаа зөвлөмж,
аргачлал, материалуудаас уншиж ойлголтоо гүнзгийрүүлсэн. Ингээд сурган хүмүүжүүлэх үзэл
баримтлалын ач холбогдол, үзүүлэх нөлөө маш өндөр байдаг тухай ойлголтыг авч эхний хувилбараа
дахин засаж, хүүхэдтэй ажиллахад хамгийн чухал гэсэн зүйлсээ үлдээж, товчилж цэгцэлсэн.
Ийнхүү асуудал нэлээд цэгцэрч, үзэл баримтлал боловсруулах ажил харин ч сонирхолтой, ажил
хэрэгч, бодитой болж, олон багш ажилтны дуу хоолой, санал хүсэлт нэмэгдэж, чанаржиж ирсэн.
Энд манай үзэл баримтлалд томьёологдсон багш нарын үйл ажиллагаанд чиглүүлэг өгч
буй зарим санааг жишээ болгон авлаа.
-	 Тус цэцэрлэгийн багш нар нь СӨНХ-ийн хөгжлийн гол хэрэгцээ болох тоглоомын үйл
ажиллагаанд тулгуурласан хөгжүүлэх үйл ажиллагааг төгс явуулж, хүүхдийн хөгжлийн гол
хөдөлгөгч хүч болсон сониуч гярхай, хөдөлгөөнт шинж чанарыг хөгжүүлэн ажиллана.
-	 Багш нь хүүхэд нэг бүрийг судалж, хэнийг хэн болгохыг зорьж байгаагаа тодорхойлж
ажиллана. (Хэн нь хэн бэ?, Хэн юуг сонирхож байна?, Хэнд ямар бололцоо байна вэ?
Хэнийг юунд, яаж сургах вэ?)
Зураг 23. Нийслэлийн 101 дүгээр цэцэрлэг, Бага бүлгийнхэн, Элсэн самбар
-	 Багш нь хүүхэд нэг бүрийг судалж, хэнийг хэн болгохыг зорьж байгаагаа тодорхойлж
ажиллана. (Хэн нь хэн бэ?, Хэн юуг сонирхож байна?, Хэнд ямар бололцоо байна вэ?
Хэнийг юунд, яаж сургах вэ?)
-	 Багш хүүхдийн хөгжлийн эрэлт хэрэгцээнд тохируулан хөгжүүлэх үйл ажиллагааны орчинг
бүрдүүлж ажиллана.
-	 Багш тухайн бүлэгт явагдаж байгаа үйл ажиллагааны эцсийн үр дүн нь хүүхдээс харагдаж
байхаар төлөвлөж, тэднийг “үйлийн эзэн”, “идэвхтэй харилцагч” байхаар үйл ажиллагааг
зохион байгуулдаг байна.
	 Нийслэлийн 101 дүгээр цэцэрлэг, Хүүхдүүд биеийн тамирын өрөөнд
-	 Багш хүүхдэд бусадтай харилцаж сурах өргөн боломж олгож, хүүхэд бүр үүргээ биелүүлэхэд
нь урам зориг өгч, тусалж дэмждэг байна.
-	 Багш нар хүүхдийн зан төрхөд гарч байгаа шинж тэмдэгт мэдрэмтгий байж, аливаа
дарамтыг багасгах зохистой арга замыг мэддэг байна.
		 Нийслэлийн 101 дүгээр цэцэрлэгийн эрхлэгч Ч.Баянцэцэг
Нийслэлийн 115 дугаар цэцэрлэг
Бид яамнаас,нийслэлээс,дүүргээс,бусад удирдах байгууллагуудаас ямар чиглэл өгөх
бол,яаж шалгах бол,уралдаж тэмцэлдэхгүй бол ажлаа үнэлүүлж чадахгүй нь ээ гэж бусдад
нийцүүлж ажиллахаа больсон.Яагаад гэвэл бид өөрийн байгууллагынхаа хаачих гээд байгаа,юунд
зорьж тэмүүлээд байгаа,юуны төлөө хэрхэн ажиллахаа тодорхойлж,түүнийгээ шинжлэх ухааны
үндэслэлтэй, бага насны хүүхдийг хөгжүүлж,төлөвшүүлэх чиглэлээр олон жил ажиллаж, судалсан
эрдэмтдийн онол, сургаал дээр тулгуурлан цэцэрлэгийнхээ ”Хүүхэд хөгжүүлэх үзэл баримтлал”-ыг
боловсруулж, хэрэгжүүлж байгаад учир нь байгаа юм. Өөрөөр хэлбэл, ”Дээшээ тэнгэр хол, доошоо
газар хатуу”-гийн үлгэр бидний хувьд алга болсон. Бид (багш ажилтнууд, хүүхдүүд,эцэг эхчүүд)
өөрийн гэсэн зорилго чиглэлдээ, хүрэх түвшин, хийх ажлаа, алсын ирээдүйгээ олж харсан. Түүндээ
хүрэх арга замаа тодорхой болгож, түүнийхээ төлөө зорилго шулуудсан гэсэн үг.
Манай улс өргөн уудам нутагтай, багийн, сумын, аймгийн төвийн, нийслэлийн төвийн, захын
цэцэрлэг, сургууль бүр өөр өөр онцлог, нөхцөлтэй байдаг. Энэ тохиолдолд байгууллага бүр өөрсдийн
онцлог, давуу тал дээрээ тулгуурлан хүүхдийг хөгжүүлэх арга замаа тодорхойлон хэрэгжүүлэх
боломж олдсонд бид талархалтай байдаг.
СУРГУУЛИЙНӨМНӨХБОЛОВСРОЛЫНСУРГАЛТЫНЦӨМХӨТӨЛБӨР
90 91
ХҮҮХЭДБҮХЭНДЭЭ“БИЧАДНА“ГЭСЭНИТГЭЛӨГЬЕ!
Туршлага, сургамж
Манай цэцэрлэг дараах үзэл санаа, онолд тулгуурлан үзэл баримтлалаа
боловсруулсан.
	 Итали улсын Рижжио Эмила хотын цэцэрлэгүүдийн “Хүүхэд бол өөрийн гэсэн онцлог,
уугуул шинж чанартай хамгийн үнэ цэнэтэй хүмүүн” гэсэн үзэл санаа.
	 Цэцэрлэг бол хүүхдэд  аливааг судлах, ургуулан асуулт тавих, хянан үзэх, суралцах
сонирхол-баяр баясгаланг бий болгох талбар байх.
	 Багшийн үйл бүр хүүхэд ямагт өөрөө хийх, өөрөө туршлага хуримтлуулахыг нь дэмжсэн
байна.
	 Хүүхэд юу хийхээ мэддэг байвал тэд хөдөлгөөнөө чөлөөтэй зохицуулах, тоглоомоо бие
даан өөрөө зохион байгуулах боломжтой, хүүхдэд “Давталт” бол чухал. (Вальдорф)
	 Цэцэрлэгдэх өргөн хүрээтэй баялаг амьдрал нь хүүхдийг дэмжсэн суралцах талбар нь
байна.
Зураг 25. Нийслэлийн 115 дугаар цэцэрлэг, “Хүүхдүүдийн багштайгаа хамтран хийсэн
сургалтын хэрэглэгдэхүүн”
Ахиц өөрчлөлт
-	 Хандлагаа өөрчилж, шинийг эрэлхийлдэг болсноор бичиг цаасанд дарагдах,худлаа цаас
үйлдвэрлэхээс аяндаа холдож,хүүхэд бүртэй ажиллах арга зүй, орчин шинэчлэгдсэн.
-	 Байгууллагын үзэл баримтлал, зорилгод нийцэж ажиллах, нэгэн зорилго чиглэлтэй байх
талаарбагш, ажилтнуудын сэтгэлгээнд чанарын өөрчлөлт гарсан.
-	 Байгууллагын үйл ажиллагаа тасралтгүй нээлттэй, хүртээмжтэй, ил тод, өргөн хүрээтэй
болж, бусдад туршлагаа хуваалцах түвшинд хүрсэн.
-	 Багш бүр сургалтын хөтөлбөртэй, бүлэг бүр өөр өөр өдрийн дэглэмтэй болсон.
-	 Хүүхэд бүр цэцэрлэгтээ таатай, өөрийнхөөрөө байх сэтгэл зүй,материаллаг,үйлийн орчин
бүрдсэн.
Бэрхшээл, сургамж
•	 Багш, ажилтнууд хандлагаа өөрчлөхөд хугацаа их зарцуулсан.
•	 Эрдэмтдийн үзэл, онолыг өөрийн байгууллагын онцлог, нөхцөлтэй уялдуулж,
холбоход цаг хугацаа, идэвх, санаачилга, бүтээлч байдал маш чухал нөлөөтэй
юм билээ.
•	 Бүх хүн (багш ажилтнууд, эцэг эхчүүд, хамтран ажилладаг байгууллагуудын ажилтнууд)
хүүхдийн төлөө, байгууллагын хөгжлийн төлөө зүрх сэтгэлтэй, үнэнч, бие биедээ туслах
эрмэлзлэлтэй байх нь чухал.
Бид цэцэрлэгийнхээ өглөө бүрийг ШИНЭ, хүүхэд бүрийг БАЯР БАЯСГАЛАНТАЙ
байлгахыг зорин ажиллаж байна.
Нийслэлийн 115 дугаар цэцэрлэгийн эрхлэгч Б.Гэрэлцэцэг
Дархан-Уул аймгийн 18 дугаар цэцэрлэг
Үзэл баримтлал боловсруулсан түүх-сургамж
Бид үзэл баримтлалаа боловсруулахын тулд эхлээд хүүхэд бүрээ таньж мэдэх зорилго тавьсны
дээр эцэг эх, асран хамгаалагчдын хэрэгцээ сонирхлыг тандан судалсан. Үүний тулд “Аавуудын
өдөр”, “Эмээ, өвөө нарын өдөр”-ийг зохион явуулж, тэд ангид нэг өдрийн туршбагштай хамтран
ажиллаж, дараа нь ойр дотны яриа өрнүүлж, хүүхэд бүрийн онцлог, өдрийн үйл ажиллагаанд
тэдхэрхэн оролцсон талаар санаа бодлоо солилцсон. Мөн багш бүр өөр өөрсдийн ангийн хүүхдийн
ээж аав, эмээ өвөө нараас хүүхэдбүрийн талаар (юу хүсэж байдаг, юу ярьдаг, яаж тоглодог,
идэж уух дуртай зүйл, юуг сонирхдог гэх мэт) асуултын аргаарсудалгаа авсан.
Ийнхүүнийт 300 гаруй эцэг эх, эмээ өвөө нараас манай хамт олны үйл ажиллагаанд
хэрэгжүүлэх, өөрчлөх шаардлагатай зүйлсийн талаар үнэ цэнэтэй саналууд гарсныг бид хэлэлцэн
үзэл баримтлалдаа тусгасан. Жишээ нь: Цэцэрлэг өглөө 8.30-д хаалгаа барьж, түүнээс хойш ирсэн
хүүхэд орж чаддаггүйгээсболж олон ээж аав бухимдаж, гомдолтой байдаг нь илэрхий болсон.
Иймдбид эцэг эхчүүдтэйгээ ярилцаж тохироод өглөө 7.30-10.00 хүртэлх хугацаандхүүхдээ хүлээж
авч байхаар шийдвэрлэсэн нь тэдний таашаалд нийцэж, сургалтын үйл ажиллагаанд эерэгээр
нөлөөлөх болсон.
“Хүүхдийг хөгжүүлэх үзэл баримтлал гэдэг нь тухайн цэцэрлэгийн хамт олон хүүхэдтэй
ажиллахдаа хэрхэн хандаж, ямар боломж олгож, яаж ажиллавал тэд хамгийн сайн хөгжиж,
төлөвших вэ? гэдэг дээр үзэл санаагаа нэгтгэн тогтож, түүнийгээ томьёолсон баримт бичиг”
гэдгийг ойлгох нь хамгийн чухал.
Эхний 3 сардаа бид хүүхэдтэй ажиллахдаа эрхэмлэх зүйлээ уриа лоозонгийн маягаар бичих,
учраа олохгүй будилах зэрэг бэрхшээлүүд тулгарч байсан. Эрхэмлэх зүйл бол мэдээж шинжлэх
ухааны үндэслэлтэй, амьдрал практик дээр үр дүн нь мэдрэгдсэн байх шаардлагатай.
Бид өөрийн цэцэрлэгийн үзэл баримтлалаа бага насны хүүхдийг хөгжүүлж, төлөвшүүлэхтэй
холбогдох эрдэмтдийн онолоос гадна үндэсний уламжлалт сурган хүмүүжүүлэх арга ухаанаас
сургалтын арга зүйн санааг авч боловсруулсан. Эрдэмтэн бүрийн бага насны хүүхдийг хөгжүүлэх
арга зүй, технологийг тухайн цэцэрлэгийн хамт олон, багш нар, эцэг эхчүүд олон дахин ярилцаж,
чухал гэж үзсэнээ сонгож, түүнийгээ маш сайн ойлгон, хүлээн зөвшөөрсөн байж үзэл баримтлалдаа
суулгасан.
Багшийн хандлага өөрчлөлтийн тал дээр бид өмнө нь зөндөө л олон сургалтаас “Сайн багш”,
“Хөгжсөн багш” гэж хэнийг хэлэх вэ? гэсэн чиглэлээр сонсож мэддэг хэдий ч энэ нь багш болгоны
үйл ажиллагаанд хэрэгждэггүй байсан. Гэтэл өнөөдөр манай цэцэрлэгийн багш нарын хандлага
өөрчлөгдсөннь багш нарын үйл ажиллагаа, эцэг эхчүүдээс авсан судалгаанаас харагдаж байгаа.
Хүүхдэд гарч буй өөрчлөлт
	 Сургалтын материаллаг орчин, арга барилд өөрчлөлт хийгдсэнээр хүүхэд бүрийн хэрэгцээ
сонирхол, хувийн онцлог нь илүү ажиглагддаг болсон.
	 Хүүхэд өөртөө итгэлтэй болж, аливаа юмыг бие даан хийх чадвар нь эрс сайжирсан.
	 Хүүхдүүд хамтарч тоглох явцдаа бие биенээсээ суралцаж, дүрд хувирч бодит амьдралыг
дүрслэн үзүүлж, өөрийгөө илэрхийлж байна.
	 Хүүхэд цэцэрлэгтээ ирэх дуртай, орой гэртээ харихгүйгээр удаан хугацаагаар тоглох нь
ажиглагддаг.
	 Сонирхолтой хөгжүүлэх төвүүдийг бий болгосноор хүүхдийн хэл яриа, сэтгэн бодох, өөртөө
үйлчлэх, бие даах, бусадтай харилцах чадвар сайжирч байна.
Зураг 26. Дархан-Уул аймгийн 18 дугаар цэцэрлэг, Хүүхдүүдийн тоглох үйл явц
СУРГУУЛИЙНӨМНӨХБОЛОВСРОЛЫНСУРГАЛТЫНЦӨМХӨТӨЛБӨР
92 93
ХҮҮХЭДБҮХЭНДЭЭ“БИЧАДНА“ГЭСЭНИТГЭЛӨГЬЕ!
Зарим сургамж
	 Багш, ажилтнуудад эхний ээлжинд “Чи чадна”, “Бид чадаж байна”, “Ахиад нэг үзье” гэх
мэт дэмжлэг, урам их хэрэгтэй юм шиг санагдсан. Шинэ ажил тул ойлгохгүй шантрах,
маргалдах, тээнэгэлзэх, хуулбарлах зүйл алхам тутамд таарч байсан.
	 Эхнээсээ үзэл баримтлалаа сайн гаргаж чадвал багш нар бие даан,бүтээлчээр мөн хамтран
ажиллаж чаддаг.
	 Багш, ажилтнуудүйл ажиллагаагаа маш их томоор, хүндрүүлж бодож, хийдэг хандлагаа
орхиж, хүүхдэд дарамтгүй, багшид ачаалалгүйгээр тоглох явцад нь хүүхдийг
хөгжүүлэхэд анхаарах шаардлагатай.
	 Гэхдээ энэ бүх үйл ажиллагаанд цаг хугацаа бас шаардлагатай байдгийгойлгох, гэхдээ хэт
удааширвал мартагдаж, хугацаа алдаж ажлын бүтээмж буурч мэднэ.
Дархан-Уул аймгийн 18 дугаар цэцэрлэгийн эрхлэгч Ж.Дэжидмаа
Баянхонгор аймгийн 4 дүгээр цэцэрлэг
Бид хүүхдийг хөгжүүлж, төлөвшүүлэхдээ дараах 3 зүйлийг эрхэмлэн ажиллахаар хүүхэд бүрийг
хөгжүүлж төлөвшүүлэхүзэл баримтлалдаа тусгасан.
1.	 Үлгэрлэх, дагуулах нь ардын уламжлалт арга
	 Хүүхэд орчныхоо юмс, үйл явдлыг тусган хүлээж авахаас гадна уур амьсгал, томчуудын
дотоод хандлага, үзэл бодлыг тусган хүлээж авах, даган дуурайх чадвартай. (Рудольф
Штайнер)
	 Монгол ардын тоглоом наадгай, аман зохиолоор дамжуулан хүүхдийг хөгжүүлнэ.
2.	 Эрүүл, баяр баясгалантай хүүхэд.
Эрүүл амьдралын баяр баясгалантай хүүхдээс түүний ертөнцийг үзэх үзэл, оюуны хөгжил,
өөрийнхөө хүч чадалд итгэх итгэл зэрэг бүх талын хөгжил хамаарна. (В.А.Сухомлинский)
3.	 Хүүхдүүд тоглонгоо суралцана.
Тоглоом бол бага насны хүүхдийн мөн чанарт зохицсон сургах, хөгжүүлэх, төлөвшүүлэх
хэрэгсэл.(Фриедрих Фребел)
Үзэл баримтлалын боловсруулалт, хэрэгжүүлэлт
Үзэл баримтлал боловсруулахдаа бид эхлээд өөрийн байгууллагын нөхцөл байдалд дүн
шинжилгээ хийсний зэрэгцээ хүүхдийг хөгжүүлж, төлөвшүүлж ирсэн ардын сурган хүмүүжүүлэх
ухаан, арга барил, эрдэмтдийн сурган хүмүүжүүлэх онолоос судалсан. Саналын хуудас аялуулсан.
Энд хүн бүхэн өөрсдийн санаа бодлоо нэмэрлэсэн.
Манай цэцэрлэг хүүхэдтэй ажиллахдаа чухам ямар үзэл санаа, юуг чухалчлан үзэх вэ? гэдэг
дээр багш, ажилтнууд хэд хэдэн удаа хэлэлцүүлэг хийсэн.
Ингээдхүүхдийн бие, сэтгэлийн эрүүл мэндийг эрхэмлэн хүүхэдтэй ажиллахдаа үлгэрлэн
дагуулах ардын уламжлалт арга, тоглоом (түүн дотроо ардын тоглоом наадам)-ын аргыг
чухалчлан ажиллавал хүүхэд бүрийг боломжит дээд хурдаар нь хөгжүүлж болно гэж
үзэж тогтсон.
Үзэлбаримтлалаахэрэгжүүлэхийнтулдэхлээддээрх3чиглэлээрорчнообүрдүүлэхшаардлага
тулгарсан. Багш ажилчид дөрвөн багт хуваагдаж бүтээлч ажлын аян өрнүүлж ажилласан. Эхлээд
хөрөнгө мөнгө, хүн хүчний асуудал тулгарч байсан. Үзэл баримтлалаа эцэг эхэд танилцуулахад
тэд дэмжиж, оролцоо нь нэмэгдэж эхэлсэн. Багш ажилчид өөрсдийн нөөц боломжоо дайчилсан.
Боловсролын газраас аймгийн удирдлагуудад хандаж, Иргэдийн Төлөөлөөгчдийн хуралд асуудал
оруулсны дүнд“ Аймаг хөгжүүлэх сан”-гаас манай цэцэрлэгт 7.0 сая төгрөгийн дэмжлэг үзүүлсэн
нь орчноо бүрдүүлэхэд дорвитой хувь нэмэр болсон. Мөн сум хөгжүүлэх сан, цэцэрлэгийн зөвлөл,
багш, ажилтнууд өөрсдийн дэмжлэг туслалцаа үзүүлсэн.
Энд үзэл баримтлалын маань нэг чухал хэсэг болсон хүүхдийн тоглоом наадамтай холбогдох
хэсгийг тодрууллаа.
Хамгийн эхний ажил “Монгол наадгай”-н өргөөг тохижуулан тоглоом наадгайг хүүхдэд
сонголттой, хүртээмжтэйгээр бүрдүүлж, баяжуулж эхэлсэн.Бүлэг бүр монгол наадгайн төвийг
байгуулж түүнийгээ хүүхдийн насны онцлогт тохирсон сургалтын хэрэглэгдэхүүнээр баяжуулан
тэдгээрийг хэрэглэх арга аргачлал боловсруулан хэрэгжүүлсэн. Монгол тоглоом наадгайгаар
зөвхөнхүүхдийг хөгжүүлнэ гэж өрөөсгөл хандалгүй сэтгэхүй хөгжүүлэх, өрж байгуулах, сэдэвт
тоглоомоор сургалтын орчноо ч баяжуулж бүрдүүлсэн. Багш, ажилтан бүр дунд, ахлах, бэлтгэл
бүлгийн хүүхдүүдийг хуваарилж нэг хүн 7-8 хүүхэдтэй ганцаарчлан ажиллаж, уламжлалт тоглоом
наадгайгаар хамтран тоглодог болсон.
Үйл ажиллагаа, хүүхдэд гарсан өөрчлөлт
“Сургуулийн өмнөх боловсролын сургалтын талаар баримтлах бодлого” (2013
он)-ын дагуу хүүхэдтэй ажиллах нийт хугацааг хөгжүүлэх цаг болгосноор тэд чөлөөтэй
тоглож, сэтгэж байгаагаас гадна хамтран тоглох, баг бүрдүүлэх талаар нэлээд ахицтай
байна. Хүүхдүүд илүү нээлттэй, идэвхтэй болсон. Танин мэдэхүйн үйл ажиллагаанд
сонирхлоороо оролцдог болсон.Монгол наадгай, оньсон тоглоомуудыг бие даан маш
сайн тоглож чаддаг болж байна. Хүүхэд өөрсдийн сонирхолтой зүйлийг хийдэг болсноор
идэвх оролцоо нь нэмэгдсэн. Найз нөхдөдөө туслах, багштай болон бусад хүмүүстэй
мэндлэх, талархах, уйчлал гуйх зэрэг харилцааны чадвар, эв дүйд өөрчлөлт гарч байна.
Зураг 27. Баянхонгор аймгийн 4 дүгээр цэцэрлэг,
Хүүхдүүд “Монгол наадгай”-н өргөөнд
Хүүхэд хүүхдээсээ суралцах арга амжилттай хэрэгжиж байна.
Монгол тоглоом наадгайгаар тоглосноор хүртэхүй, сэтгэхүй,
анхаарал, ой тогтоолт, зохион бодохуй, хэл яриа нь хөгжиж
байгаа. Зааврын дагуу хамтарч ажиллах чадвар төлөвшсөн.
Хэд хэдэн тоглоомоор олон үйлдэл хийж тоглодог болсон.
Ажиглах, турших, юманд нухацтай хандах чадвар нь нэмэгдсэн.
Тоглоомын дарааллыг тогтоож  нүдэлдэг болсон. Математик
сэтгэлгээ нь чхөгжиж байна.
Дүрэм зааврыг ойлгож тоглодог болсон.Тоглоомыг хайрцаг тавиур саванд хийж хураах, ээлжээ
хүлээж тоглох зэргээр хариуцлага нь нэмэгдсэн. Өөртөөитгэдэг, өөрийгөө үнэлэх чадвартай
болсон.Хамтарч тоглох, багийн үйл ажиллагаанд оролцох оролцоо нэмэгдсэн. Уламжлалт соёл,
зан заншлаас суралцаж байгаа. Аливаа ажил үйл, даалгаврыг бүрэн гүйцэтгэлтэй хийж чаддаг
болсон. Насанд хүрэгчидтэй аль ч нөхцөлд хамтран тоглодог болсон.
Манай цэцэрлэгийн үзэл баримтлал бүрэн дүүрэн, сайн болсон гэж бид үзэхгүй. Иймд улам
боловсронгуй болгохоор ажиллаж байна.
	 Баянхонгор аймгийн 4 дүгээр цэцэрлэгийн эрхлэгч Д.Мөнхзул
СУРГУУЛИЙНӨМНӨХБОЛОВСРОЛЫНСУРГАЛТЫНЦӨМХӨТӨЛБӨР
94 95
ХҮҮХЭДБҮХЭНДЭЭ“БИЧАДНА“ГЭСЭНИТГЭЛӨГЬЕ!
2.3 Хүүхдийн хөгжлийн онцлог
Цэцэрлэгийн удирдлага, багш нарын Сургуулийн өмнөх боловсролын цөм хөтөлбөрийг
хэрэгжүүлэхдээ баримтлах нэг зарчим бол “Хүүхдийн нас, сэтгэхүй, хөгжлийн онцлогт
нийцэх”.
Сургуулийн өмнөх насны хүүхдийн хөгжлийн нийтлэг онцлогийг нас тус бүрээр дараах
хүснэгтэд харууллаа. Та хүүхдийнхээ онцлог болон дотоод ертөнц рүү хэдий чинээ сайн нэвтрэн
орж чадна, төдий чинээгээр хүүхэд бүрийн хөгжлийг үр дүнтэйгээр залж чадна.
Нас Хөгжлийн онцлог
3 хүртэл
	 Өнхрөх, мөлхөх, авирах, алхах, гүйх, үсрэх зэргээр нэг газраас нөгөө газарт хүрч чадна.
	 Налуу замаар хурдан явна.
	 Хөлөө нэг нэгээр нь зөөж шатаар дээш, доош алхана.
	 Намхан саад бартааны дээгүүр, доогуур нь гарна.
	 Харайхдаа нэг хөл дээрээ тулах ёстойг ойлгож эхэлнэ.
	 Том бөмбөгийг өшиглөнө, өнхөрч буй бөмбөгийг барьж авна.
	 Шидсэн бөмбөгийг барьж авахыг оролдоно.
	 Бөмбөгийг бага хүчээр ямар ч чиглэлд шиднэ.
	 Хаалганы дугуй бариулыг эргүүлнэ.
	 Бие даан хоолоо халбагаар иднэ.
	 Ямар нэг зүйлийн хальсыг арилгана, гаднах уут боолтыг тайлна.
	 Том шүрийг хэлхэнэ.
	 Хувцаслах болон хувцсаа тайлах зэрэгт оролцоно.
	 Өдөр тутам хэрэглэгддэг, нийтлэг 500-700 түүнээс дээш үгсийг ойлгоно.
	 “Яагаад?”, “Юу?”, “Яаж?” зэрэг асуулт асууна.
	 Ном уншиж өгөхөд дуртай, өөрийн таньдаг номоо хараад уншиж байгаа мэт дүр үзүүлнэ.
	 Ойр дотны хүмүүсээ таньж, нэрийг нь мэддэг болно.
	 Гэр орны эд хогшлыг нэрлэх чадвартай болж, байгалийн энгийн үзэгдлийг ажиглан
бороо орох, нар гарах, шөнө болохыг мэдэрнэ.
	 Мэдрэхүй болон хөдөлгөөнийхөө тусламжтайгаар мэдээллийг хуримтлуулж чадна.
	 Гомдсон, уйлж буй найзаа энхрийлж тайвшруулахыг эрмэлзэнэ.
	 Нэг төрлийн үйлдлийг олон удаа давтан хийнэ.
	 Олон, цөөн гэсэн үгсийн утгыг ойлгож эхэлнэ.
	 Юмс янз бүрийн хэлбэртэй байдгийг мэднэ.
	 Жигд зураасаар сараачна, дан өнгөөр зурна, зурагт нь дүрс зонхилно.
	 Хайчлах үйл хийхийг оролдоно, цаасанд цавуу түрхэж наадгийг мэднэ.
	 Баримлыг алганыхаа хонхорт бөөрөнхийлөх, цувих, сунгах, хавтгайлах үйлийг хийж
чадна.
	 Өөрийн сайн мэддэг зүйлийг өрж байгуулан, юутай төстэйг хэлнэ.
	 Хөгжим сонсоод мэдрэмжээ илэрхийлнэ. (Биеэрээ найгах, алга таших гэх мэтээр)
	 Насанд хүрэгчдийн дуурайн дагаж дуулна.
	 Алга таших, дороо дэвсэх,тойрог болох зэрэг энгийн хөдөлгөөн хийнэ.
4 хүртэл
	Гүйх, авирах зэргээр булчингийн ажиллагаа шаардсан хөдөлгөөн хийнэ.
	Гурван дугуйтай дугуйг унана, савлуурыг түлхэж чадна.
	Том хэмжээтэй бөмбөгийг барьж авна.
	Ухарч алхана, хурдтайгаар уралдана.
	Үсрээд хоёр хөл дээрээ буухдаа тэнцвэрээ сайн хадгалж чадахгүй.
	Нэг хөл дээрээ тогтвортой зогсож чадахгүй.
	Бөмбөгийг шидэх, барьж авах, өшиглөх үйл хийнэ.
	Өшиглөсөн бөмбөг нь 2 метр орчим зайд холдоно. Ахин түүнийхээ араас гүйгээд өшиглөж
тоглоно.
	Талхан дээр мохоо хутгаар зөөлөн маслыг түрхэнэ, бага зэрэг асгаж шингэн зүйлийг
савлана.
	Хувцсаа тайлна, бусдын тусламжтай өмсөнө.
	Энгийн хялбар тоглоомыг эвлүүлнэ.
	Гар нь амархан цуцна.
	Санаа бодлоо үг яриагаар илэрхийлнэ, бусдын яриаг ойлгож харилцана.
	Үлгэр, дуу, шүлэг сонсож, ойлгоно.
	1000 түүнээс олон үг ойлгоно.
	Төлөөний үг, нэр, үйл үг ба тооны нэр, асуух, байрлал заасан, сэтгэл хөдлөл
илэрхийлсэн үгсээр үгийн сан нь нэмэгдэнэ.
	Олон үйлдэлтэй даалгаврыг дэс дараагаар нь ойлгож гүйцэтгэнэ. (Жишээ нь: Хувцсаа
тайлж өлгүүрт өлгөсний хивсэн дээр суугаад тойргийн цагтаа бэлдээрэй гэх мэт)
	Тайлбарлахтай зэрэгцэн үйлдлийг гүйцэтгүүлбэл сайн ойлгоно. (Жишээ нь: Жижиг
аягатай арвай будааг асгахгүйгээр том аяга руу хийгээрэй)
	Дуу хоолойны өнгөөр уншиж, ярьж буй зүйлийг ойлгож ялгана.
	Тоглоомтойгоо ярих нь түгээмэл ажиглагдана.
	Заримдаа худлаа ярина.
	Тодорхой нэг санааг олтлоо асуудалд хариу хайна, ажиглалт, туршилтынхаа талаар
ярина.
	Амьтан, ургамлын онцлогийг ялгана.
	Амьд зүйлсэд хэрэгцээ шаардлага байдаг талаар ойлголттой болно.
	Орчиндоо байгаа зүйлийг сонирхохын зэрэгцээ учир шалтгааныг нь олох гэж эрмэлзэнэ.
	Хүмүүс дулааны улиралд хөнгөхөн, хүйтний улиралд дулаан хувцас өмсдөгийг мэднэ.
	Ойр орчных нь хүмүүс ямар ажил хөдөлмөр хийдгийг мэднэ.
	Цэвэрч байхыг эрмэлзэнэ, эмх цэгцтэй байдалд суралцаж эхэлнэ.
	Урт богино, өндөр нам гэх мэт үгсийгойлгоно, жишиж ялгааг хэлнэ.
	Олон юмнаас нэгийг ялгана, юмсыг нэг нэгээр нийлүүлж олон болгоно.
	Тоглоом ба юмсыг хэлбэрээр нь танина, дугуй, дөрвөлжин, гурвалжин дүрсийг харьцуулна.
	Юмсыг адил ба ялгаатай талаар нь бүлэглэнэ.
	Цаасны голд, захад, доор, хол, ойр зэрэг орон зай заасан үгийг мэднэ.
	Одоо,дараагэсэнцагхугацаагилэрхийлсэнүгсийнутгыгмэднэ.Бусдынтусламжтайгаар
цаг хугацааг илэрхийлсэн үгсийг яриандаа хэрэглэнэ.
	Гарын хөдөлгөөний хурд, уян хатан чанар нэмэгдэнэ, дүрслэх чадвар сайжирна.
	Толгой, их биеэс бүрдсэн хүн зурна.
	Зурагтаа 4-5 өнгийг хэрэглэнэ, чухал гэж мэдэрсэн зүйлээ орхигдуулалгүй зурна.
(Жишээ нь: Хүн зурахдаа хүйсний нүхийг зурах)
	Зурж дүрслэх материалыг хэрэглэх чадвар нь дутмаг байна.
	Гарын эвсэл сайжирч, хайчаар хайчилна, дагуулж хийхэд 4-5 нугалаасыг төвөггүй
эвхэнэ.
	Юмсын хэсгүүдийн хэлбэр, харьцааг тохируулан дүрсэлнэ.
	Шаврыг тэнцүү хувааж тасална, шавна, хийх зүйлд тохируулан өнгө сонгоно, сэдвийг
нэмж баяжуулна.
	Барьж бүтээсэн зүйлээ тайлбарлан үзүүлнэ.
	Дүрсийг оновчтой сонгож өрж байгуулна.
	Хөгжмийн өнгө, аясыг ялгана, илэрхийлнэ. (Сэргэлэн цовоо, намуун тайван)
	Сонорын мэдрэхүйн хувийн ялгаа энэ насанд хурц тод илэрнэ.
	Хөгжмийн хэмнэлийг мэдэрнэ, илэрхийлнэ.
	Хөгжмийн зэмсгийг сонирхоно, тоглохыг оролдоно.
	Кварт квинтын цараанд 3-4 үетэй үгийг хурдавтар дуулна. Тэд энэ цараанаас хальж
дуулах боловч ашигтай цараа нь кварт квинт байна.
	Бүжгийн энгийн хөдөлгөөн(биеэр найгах, хөлөөр товших гэх мэт)-ийг эзэмшиж эхэлнэ.
СУРГУУЛИЙНӨМНӨХБОЛОВСРОЛЫНСУРГАЛТЫНЦӨМХӨТӨЛБӨР
96 97
ХҮҮХЭДБҮХЭНДЭЭ“БИЧАДНА“ГЭСЭНИТГЭЛӨГЬЕ!
5 хүртэл
	Алхах, авирах, үсрэх, харайх, гүйх, гулгах зэрэг хөдөлгөөнийг чадварлаг гүйцэтгэнэ,
тэнцвэрээ хадгална.
	Бөмбөгийг шидэж, барьж, өшиглөж, залж чадна.
	Том бөмбөгийг ойлгож, мөн барьж авна.
	Нэг хөл дээрээ 5 болон түүнээс дээш секунд тогтож чадна.
	Намхан бөгөөд 10 орчим см өргөнтэй дамнуурган дээр алхаж явж чадах ч нарийхан
дамнуурга дээр хөлөө харалгүйгээр явж чадахгүй.
	Эвлүүлдэг тоглоомоор тоглоно, мөн хүүхэлдэйнд хувцас өмсгөх, тайлах зэргийг бусдын
тусламжгүйгээр гүйцэтгэж чадна.
	Тоглоомыг жижиг нүхэнд хийх, багаж ашиглах (алх, боолтын түлхүүр гэх мэт), жижиг
саванд элс, шингэн зүйлсийг хийх зэрэг үйлдэл гүйцэтгэж чадна.
	Хүний туслалцаагүйгээр хувцсаа өмсөнө. Гутлаа үддэг ч уяж чадахгүй.
	Үсээ самнана.
	Цэвэр хооллоно, хоол идэхээсээ өмнө болон бие зассаны дараа гараа угааж,
хатаана.
	Эрүүл мэндийн болон аюулгүйн дүрэм (галын, замын хөдөлгөөний )-ийг баримтлах
ёстойг мэднэ.
	Хэл ярианы чадвар эрс нэмэгдэж, нийлмэл өгүүлбэрээр ярина.
	Өөрөө харилцан яриа эхлүүлнэ, хувийн туршлагаа хуваалцах чадвартай болно.
	Өдөрт дунджаар 2-4 шинэ үг мэдэх ба үгийн нөөц 2500-3000, түүнээс дээш байна.
	Цаг хугацааг илэрхийлсэн үгсийг ойлгож эхэлнэ.
	Харилцан ярианд түгээмэл хэрэглэгддэг сэтгэл санааны байдлыг илэрхийлсэн үгсийг
сайн ойлгоно.
	Номыг зөв барьж, зургаар нь утгыг ойлгоно.
	Олон төрлийн ном сонирхож эхэлнэ.
	Тоо, үсэгний ялгааг мэднэ.
	Үгийн эхний авиаг ялгаж чадна.
	Хүрээлэн буй орчиндоо байгаа материаллаг эд зүйлсийн шинж чанарын ялгааг мэднэ.
	Хийх зүйлээ урьдчилан төлөвлөнө.
	Ажигласан зүйлийнхээ тодорхой шинж чанарыг тайлбарлаж чадна.
	Амьтдын хөдөлгөөнийг сонирхоно, ажигласнаа тайлбарлаж ярина.
	Орчин тойрондоо ургадаг цэцэг, ургамлыг нэрлэх ба хэд хэдэн модыг навчны хэлбэрээр
нь ялгаж нэрлэнэ.
	Жилийн дөрвөн улиралд гарч байгаа байгалийн өөрчлөлтийг ажиглаж харьцуулна.
	 Хүний хэрэглэдэг гэр, цэцэрлэг дэх юмсыг зарим шинж чанар, хэрэглээгээр нь ялгана.
	Хүмүүстэй элэгсэг мэндэлнэ, хүндэлнэ, талархлаа илэрхийлнэ.
	 Гэр орон, ангийнхаа дүрэм журам, дэглэмийг сахина.
	2 бүлэг юмсыг тоогоор нь жишихдээ тооны нэрийг дэс дараагаар нь нэрлэнэ.
	Орчиндоо байгаа 3-5 юмсын тэнцүү ба тэнцүү бишийг тогтооно, их, бага, тэнцүү, тэнцүү
биш гэх мэт үгсийг яриандаа хэрэглэнэ.
	2 бүлэг юмсыг харьцуулан, шинэ тоотой танилцана.
	5 хүртэл бодит юмсыг зааж, тооны нэрийг чанга хэлж тоолно.
	Урт богино, өндөр нам, өргөн нарийн, бүдүүн нарийн юмсыг хэмжээгээр нь харьцуулан,
үгээр илэрхийлнэ.
	Харааны тусламжтайгаар юмсын хэмжээг бүхэлд нь хүртэнэ.
	Геометрийн дүрсүүдийг мэднэ, нэрлэнэ.
	Өөрийн байрлалаас бусад юмсын байрлалыг тодорхойлно, байрлал заасан үгийг
яриандаа хэрэглэнэ.
	Энгийн үйл явдлыг багцаалж ярихаас гадна цаг хугацаа илэрхийлсэн үг хэллэгийг
хэрэглэнэ. Хоногийн хэсгийн тухай мэднэ.
	Зурах сэдвийн хүрээ өргөжнө, аажмаар өөрийн сонирхсон үлгэр, зохиол, адал явдал,
хүрээлэн байгаа орчноо тухай санаачилгаараа зурж илэрхийлнэ.
	Олон өнгө хэрэглэнэ.
	Эд юмсыг өнгө, дүрс, хэлбэр, хэмжээ, хөдөлгөөнөөр нь илэрхийлэн наана.
	Дүрийн тухай ойлголттой болсон байдаг тул аливаа амьтны дүр төрх, зан араншинг
харуулсан зохиомж хийж чадна.
	Бодит зүйл, хүн, амьтны онцлог, үлгэрийн үйл явдлыг дүрслэн барина.
	Бүтээлээ байгалийн болон гарын доорх материал ашиглан баяжуулна.
	Загвар, зааврын дагуу бие даан сэтгэж өрж байгуулна, угсарч эвлүүлэх тоглоомоор
бүтээл хийнэ.
	Өнгийн цаасаар 5-6 эвхэлтээр амьтан, эд зүйлс эвхэнэ.
	Хөгжмийн хэмнэл, аялгууны удаан түргэн, чанга сулыг ялгана, илэрхийлнэ.
	Ямар хөгжмийн зэмсгээр тоглож байгааг нэрлэнэ.
	Хөгжимд хоолойныхоо өнгийг тохируулан дуулна.
	Хоолойн цараа Ре1 – Си1 байна.
	Хөдөлгөөний эвсэл нь сайжирна.
6 хүртэл
	Байнгын энерги, эрч хүчтэй байх ба барагтай л ядарч сульдахгүй.
	Идэвхгүй байхыг үл тэвчиж, байнгын идэвхтэй хөдөлгөөнтэй байна.
	Ухарч хурдан алхана.
	Нэг хөл дээрээ үсэрнэ.
	8-10 сек-ийн турш тэнцвэрээ хадгалж чадна.
	Ямар нэг зүйл дээрээс үсэрч буухдаа тэнцвэрээ хадгална.
	10 см өргөнтэй дамнуурга дээр явна.
	2 дугуйтай дугуй унана.
	Үсэрч эргэлдэх,гүйх явцдаа бөмбөг өшиглөх зэрэг хөдөлгөөнийг гүйцэтгэж чадна.
	Жижиг бөмбөгийг шидээд мөн газар ойлгоод барьж авч чадна.
	4 метрийн зайд байг ононо.
	Зарим үед хэтэрхий өөртөө итгэлтэй байх ч, хэм хэмжээ, дүрмийг баримтална.
	Дээсэнд үсрэх ба түүнийг илүү олон удаа гүйцэтгэж чадна.
	Хувцсаа хурдан өмсөнө, хүрмээ цахилгаандаж, товчоо чадварлагаар товчилж,
тайлах ба мөн үдээсээ үднэ.
	Эрүүл мэндийн болон аюулгүй байдлын дүрмүүдийг мөрдөнө.
	Үгийг цэвэр дуудна, үгсийн нөөц 4000-5000 орчим байна.
	Харилцан яриаг эхлүүлэх сонирхолтой байна.
	Бусадтай ярилцахдаа өөрийн ээлжээ хүлээнэ, санаа бодлоо хуваалцах чадвартай
болно.
	Үлгэр зохиолын талаар бусдад ярина, мөн өөрт тохиолдсон зүйлээ чөлөөтэй
илэрхийлнэ, зарим хэлц үгийг ойлгоно.
	Олон үе шаттай даалгаврыг сонсоод ойлгоно, гүйцэтгэнэ.
	Дуу хоолойны өнгө, ярианы хурд зэргээ ярих гэж буй зүйлдээ тохируулан өөрчилнө.
	Хэмжих багажийг ашиглан хэмжиж чадах ба энгийн туршилтуудыг бие даан хийнэ.
	Мэдээллийг дамжуулна, асуулт асууна, тайлбарлана.
	Цэцэрлэг, гэрийнхээ орчин, гудамж талбайн нэр хаяг, байршлыг сайн мэднэ, замын
хөдөлгөөний дүрмийг ойлгоно.
	Ахмад хүмүүсийн ажил хөдөлмөр, хийж буй үйлийг сонирхоно, хүндэтгэнэ.
	Гэр ахуйн янз бүрийн хөдөлмөр, багаж хэрэгслийг мэднэ, заримыг нь хэрэглэнэ.
	Жилийн дөрвөн улирлын тухай мэдлэг, туршлага нь өргөжиж, харьцуулан ярина.
	Байгалийн гоо сайхныг таашаана, сонирхоно.
	Тодорхой юмсаас бүтсэн 2 бүлэг юмсыг харьцуулах замаар эхний аравтын дотор
тоолно.
	2 бүлэг юмсыг харьцуулж, дараагийн шинэ тоотой танилцана.
	Дэс дараагаар нь чимээгүй тоолдог болно. Тухайн тооны өмнөх ба дараагийн тоог хэлнэ.
	Гурав, дөрөв, цаашилбал таван юмсыг хэмжээгээр нь харьцуулж, өгсөх буурах
дарааллаар байрлуулна. Мөн төрөл бүрийн хэмжүүрийн хэрэгслээр юмсыг хэмждэгийг
мэднэ, хэмжинэ.
	Орчиндоо байгаа юмсыг геометрийн дүрстэй харьцуулан хэлбэрийг нь тогтооно.
	Орон зай, зүг чигийг ялгана, юмсын байрлалыг өөрийн байрлалаас тодорхойлно.
	Одоо цагийг өнөөдөр, өнгөрсөн цагийг өчигдөр, болоогүй, ирээдүй цагийг маргааш гэдэг
болохыг ойлгож эхэлнэ.
	Зурсан зургийн бүтсэн хэсгүүд нь тодорхой харьцаатай болно.
	Өнгө ялгаж зурах дуртай, бусдын туслалцаагүй өнгийг тохируулж сонгож будна.
	Зурсан зургаа тайлбарлахдаа зохиож ярина.
	Үлгэр, киноны баатрыг зурах нь элбэг.
	Хүрээлэн байгаа юмсын онцлог шинжийг тодруулан гаргана.
	Барьж бүтээх зүйлээ төлөвлөнө, хүн, амьтны хөдөлгөөнийг дүрслэхийг оролдоно.
	Жижиг хэсгийг тусад нь хийгээд холбоно, чимэглэлийг төвөггүй хийнэ.
	Баримлаар барихдаа өнгийн шаврыг холихгүй байхыг мэднэ.
	Эвхэх, угсрах, эвлүүлэх, өрж байгуулах тоглоомоор тоглох дуртай.
	Бие даан сэдвийн дагуу бүтээл хийнэ.
	Утас, сүрэл, цаасаар энгийн сүлжээс хийнэ.
	Хөгжим, дуу сонсоод, аялгууг нь тодорхойлон хэлнэ.(Уйтгартай, хөгжилтэй гэх мэт.)
	Хөгжмийн ая сонсоод төрсөн сэтгэгдлээ илэрхийлнэ.
	Хүүхдийн хоолойн аппарат бэхжинэ, багтаамж нь мэдэгдэхүйц ихэснэ, чанга цангинам
болно. Эрэгтэй эмэгтэй гэсэн ялгаа байхгүй.
	Дуу, бүжиг, хөгжмийн хамтлагийн идэвхтэй оролцогч болно.
СУРГУУЛИЙНӨМНӨХБОЛОВСРОЛЫНСУРГАЛТЫНЦӨМХӨТӨЛБӨР
98 99
ХҮҮХЭДБҮХЭНДЭЭ“БИЧАДНА“ГЭСЭНИТГЭЛӨГЬЕ!
2.4 цэцэрлэгийн сургалтын хөтөлбөр
боловсруулах, хэрэгжүүлэх алхмууд
Сургуулийн өмнөх боловсролын сургалтын цөм хөтөлбөрийг цэцэрлэгүүд өөрсдийн
сургалтын хөтөлбөрөөр хэрэгжүүлнэ.
Хүүхдийн суралцах зүйлийн агуулга, хөтөлбөрийн зорилгод хүүхэд хэрхэн хүрэх үйл явц,
зорилгод хүрэхэд багш хүүхдэд хэрхэн туслахыг багтаасан зохион байгуулалттай үйл ажиллагааны
хүрээ(H.Burton) хэмээн сургалтын хөтөлбөрийг тодорхойлжээ.
Багш нар сургалтын хөтөлбөрөө дараах алхмаар боловсруулж, хэрэгжүүлэхийг санал
болгож байна.
1 дүгээр алхам:Судлах
Сургалтын цөм хөтөлбөрийн Ерөнхий зүйл
Сургалтын цөм хөтөлбөрийн зорилго, зорилт
Хүүхдийн эзэмших ерөнхий ба тусгай чадвар
(агуулга)
Сургалтын чиглэл бүрээр хүрэх түвшин
Тусгай чадваруудын I, II, III түвшин
Хүүхдээ судлах
(Тухайн цэцэрлэгбүлгийн хүүхдийн хөгжил,
онцлог)
2 дугаар алхам: Боловсруулах
Хичээлийн жилийн зорилго
Сэдэв
Агуулгын задаргаа (Сургалтын чиглэлүүдээр)
Сэдвийн зорилго (мэдлэг, чадвар, төлөвшил)
Үйл ажиллагааны төлөвлөгөө
(Календарьчилсан: сэдэв, зохион
байгуулалтын хэлбэр)
Үйл ажиллагаа бүрийн боловсруулалт
(зорилго, хэрэглэгдэхүүн, аргачлал/
технологи)
3 дугаар алхам: Хэрэгжүүлэх
Өдөр тутам төлөвлөсөн үйл ажиллагаануудаа явуулна.
4 дүгээр алхам: Үнэлэх
Тухайн сэдвийн хүрээнд явуулсан үйл ажиллагааны үр дүнг үнэлнэ.
•	 Хүүхдийн сонирхол, оролцоо ямар байсан
•	 Сэдвийн зорилго хэрхэн биелэгдсэн
•	 Сэдвийн боловсруулалтдаа цаашид засан сайжруулах зүйлс
Хүүхэд бүрийн хөгжлийн ахицын үнэлгээ
•	 Чөлөөт ажиглалт (Байнга)
•	 Хувийн хавтас (Байнга)
•	 Нарийвчилсан бүтэцтэй ажиглалт (Жилд 2 удаа)
2.5 Сэдвийн зорилго, агуулга, арга зүйд тавигдах шаардлага
Сэдэвт юу юу хамрагдах вэ?
o	 Зорилго (зорилт)
o	 Агуулга
o	 Арга зүй
o	 Орчин, хэрэглэгдэхүүн
o	 Үнэлгээ
Сэдвийг хаанаас сонгох вэ?
o	 Хүүхдээс ирж буй сигналь-дохио
o	 Цаг үеийн үйл явдал(баяр ёслол гэх мэт)
o	 Гэр бүл, цэцэрлэгийн өдөр тутмын амьдрал
o	 Улирлын онцлог
o	 Сургалтын цөм хөтөлбөрийн агуулга (чадварууд)
o	 Орон нутгийн онцлог гэх мэт.
Сэдэв ямар ач холбогдолтой вэ?
o	 Агуулгыг интеграцчилах
o	 Хүүхдийн сонирхлыг татах, сэтгэл хөдлөлд нөлөөлөх
o	 Онцлог орчин бүрдүүлэх
Сэдэв ямар шаардлага хангасан байх вэ?
o	 Хүүхдэд ойр, хүүхдийн нүдэнд харагдахуйц
o	 Хүүхдэд сонирхолтой, ойлгомжтой
o	 Хүүхдийн өдөр тутмын амьдралтай холбоотой
-	 Тохиромжтой сэдэв, Жишээлбэл:
o	 Ном
o	 Бөмбөг
o	 Ус гэх мэт.
-	 Тохиромжгүй сэдэв, Жишээлбэл:
o	 Ёс заншил
o	 Ургамал
o	 Билэгдэл гэх мэт.
Зорилго ямар шаардлага хангасан байх вэ?
o	 Биелэгдсэн эсэх нь хэмжигдэхээр тодорхой
o	 Хүүхдийн бүх талын хөгжлийг хамарсан
o	 Хүүхдийн хөгжлийн түвшний онцлогт тохирсон
o	 Хүүхдийн мэддэг,чаддаг зүйл дээр тулгуурласан
Суралцахуйн чиглэл тус бүрээр хүүхдийн эзэмших тусгай чадварыг хүүхэд бүр сургуулийн
өмнөх нийт насандаа эзэмшинэ. Иймд сэдвийн зорилгод цөм хөтөлбөрийн тусгай чадварууд
(Жишээлбэл, Гар хурууны хөдөлгөөнөө зохицуулах, Зураг, тэмдэглэгээний утгыг хэлэх гэх мэт)-
ыг шууд буулган тавих нь хэт ерөнхий болно. Сургалтын цөм хөтөлбөрт баримжаалан томьёолсон
тухайн бүлгийн хичээлийн жилийн зорилгын хэрэгжилтэд сэдэв бүр хувь нэмрээ оруулна. Өөрөөр
хэлбэл, тухайн бүлгийн хичээлийн жилийн зорилго (гарын арван хуруу юм аа гэж бодоход)-ыг
хэрэгжүүлэхэд сэдвийн зорилго “хуруу”-н чинээ, нэг бүрчилсэн үйл ажиллагааны зорилго
“хумс”-ын чинээ хувь нэмэр оруулахаар уялдаа холбоотойгоор, тодорхой томьёологдоно.
Агуулга ямар шаардлага хангасан байх вэ?
o	 Амьдралд нь ойр, хүүхдийн ойр орчны нүдэнд харагдаж, гарт нь баригдах зүйлс байх
o	 Хүүхдийн өдөр тутмын амьдралд зайлшгүй хэрэгцээтэй мэдлэг, чадвар, харилцахуйн ур
ухаан байх
o	 Хүүхдийн хөгжлийн “Ойрын бүс” - д тохирсон, давтамжтай
o	 Хүүхэд болон багшид аль алинд нь сонирхолтой
o	 Хүүхдийн бүх талын хөгжлийг хамарсан байх (Бие бялдар, сэтгэл санааны эрүүл мэнд, зан
чанар, бусадтай харилцах, оюун ухаан, сэтгэл хөдлөл, өөрийгөө илэрхийлэх, орчноо таних)
o	 Хүүхдийн эзэмших мэдлэг, чадвар, туршлага нь хоорондоо уялдаа холбоотой нэгдмэл байх
o	 Уян хатан, олон хувилбараар ажиллаж болохоор байх (орчин нөхцөл, хүүхдийн хөгжлийн
түвшин, хувийн онцлогт тохируулан ашиглаж болох.)
Арга зүйд ямар шаардлага тавигдах вэ?
	Сургуулийн өмнөх боловсролын сургалтын цөм хөтөлбөрт заасан дараах арга
зүйг хэрэгжүүлнэ. Үүнд:
o	 Сэтгэлийн ойр дотно холбоо
o	 Багш-хүүхдийн хамтын үйл
o	 Сонирхол, баяр баясгалантай
o	 Даган дуурайлт
СУРГУУЛИЙНӨМНӨХБОЛОВСРОЛЫНСУРГАЛТЫНЦӨМХӨТӨЛБӨР
100 101
ХҮҮХЭДБҮХЭНДЭЭ“БИЧАДНА“ГЭСЭНИТГЭЛӨГЬЕ!
o	 Мэдрэхүй, бүтээлч үйл
o	 Давталт
o	 Алдаанаас суралцахуй
Багш Та “Арга зүйн шинэчлэл” гэж чухам юу болохыг дараах жишээнээс харна уу.
Багш: Өнөөдөр цэцэг зурцгаая гэжээ. Бяцхан хүү зураг зурах их дуртай гэнэ. Олон янзын
зураг зурж чаддаг ажээ. Арслан, бар, тахиа, үхэр, галт тэрэг, хөлөг онгоц гээд л…
Хүү будгийн харандаагаа гаргаад зурж эхэллээ.
Гэтэл багш нь: “Хүлээгээрэй, эхлэх болоогүй шүү!” гэж чанга дуугаар хэллээ. Тэгээд бүгд
бэлэн болохыг хүлээв.“За одоо цэцэг зурцгаана.” гэлээ. Бяцхан хүү ихэд хөөрч гоё цэцэг зурж
эхэллээ. Ягаан, алтан шар, цэнхэр янз бүрийн өнгөтэй.Гэтэл багш ахиад л “Хүлээгээрэй, Би та нарт
яаж зурахыг зааж өгнө.” гэлээ. Самбарт нэг цэцэг зурж гэнэ. Иш нь ногоон, дэлбээ нь улаан, за ийм
байна! Одоо эхэлцгээ.” гэлээ. Бяцхан хүү багшийнхаа зурсныг харлаа. Дараа нь өөрийнхийгөө…
.Өөрийнх нь зурсан зураг илүү таалагджээ. Гэхдээ үүнийгээ хэлсэнгүй. Цаасаа эргүүлээд нөгөө тал
дээр нь багшийнхаа зурсан цэцэгтэй адилхныг зуржээ. Ногоон иштэй улаан дэлбээтэй …
Ийм зүйл давтагдсаар.
Удалгүй хүүгийнх өөр газар амьдрах болж, шинэ цэцэрлэгт элсэж гэнэ.
Анхны өдөр нь багш: “Өнөөдөр зураг зурцгаана.” гэжээ. Бяцхан хүү ихэд баярлаж гэнэ. Багшийнхаа
тушаахыг хүлээлээ. Гэтэл багш нь юу ч хэлсэнгүй. Зүгээр л хүүхдүүдийн дундуур алхаж байх юм
гэнэ.
Бяцхан хүүгийн хажууд ирээд “Зураг зурах дургүй юмуу? гэж асуужээ. “Дуртай гэхдээ юу
зурах юм бэ?” гэж хүү асуулаа. “Yүнийг чи шийднэ шүү дээ.” гэж багш хэллээ. “Ямар будгаар будах
юм бэ?” гэж хүү дахин асуулаа. “Ямар будгаар будмаар байна, хүссэнээрээ” гэж багш хариуллаа.
“Хэрэв бүгд адилхан зураг зурвал, адилхан өнгөөр будвал хэн нь хийснийг яаж мэдэх юм бэ?” гэж
багш нь асуув. “Мэдэхгүй” гэж бяцхан хүү хариуллаа.
Хүүхэд мэдрэхүйн эрхтнийхээ тусламжтайгаар суралцана.
Хүүхэд үйл ажиллагааны явцад суралцана.
Хүүхэд өөрийн хурдаар суралцана.
Хүүхэд суралцахад үйл явц нь үр дүнгээсээ илүү чухал.
(Жан Пиаже)
Суралцахуйн чиглэлүүдийг хэрхэн интеграцчилах вэ?
Хүүхдийг хөгжүүлэх үйл ажиллагааг хэрхэн интеграцчилан зохион байгуулахыг хүүхдийн
“Бие бялдрын хөгжил”–ийн жишээн дээр танилцуулья. Хүүхдийн бие бялдрын хөгжилд зөвхөн
тусгайлсан спорт тоглоом, хөдөлгөөнт тоглоом, дасгалын үед биш хүүхдийн өдөр тутмын бүх үйл
ажиллагааны явцад нөлөөлж болно. Тухайлбал, алжаал тайлах хөгжөөнт мөчид, хөдөлгөөн бүхий
сургах тоглоомын үед, ярих чадвар, математик сэтгэлгээ хөгжүүлэх хөдөлгөөнт тоглоомоор толгох
үед, зохион бүтээх үйл хосолсон хөдөлгөөнт тоглоомын явцад гэх мэт. Хүүхдийн үйл ажиллагааг
заавал хөдөлгөөн шаардсан үйл хийхээр төлөвлөнө. Жишээлбэл,багшийн асуултадхүүхэд үгээр
хариулаад зогсохгүй, алга таших, бөмбөг дамжуулах зэргээр хариулт өгнө.
Хүүхдийн бие бялдрыг хөгжүүлэх ажлыг дараах үйл ажиллагааны чиглэлтэй интеграцчилан
зохион байгуулж, тодорхой чадвар дадлыг эзэмшүүлж болно.
	 Хөдөлгөөнт ба спорт тоглоомоор тоглох явцад хэрэглэлтэй аюул осолгүй, зөв харьцах
чадвар эзэмшүүлэх (осол аюулгүй байх);
	 Бие бялдрыг хөгжүүлэх явцад зоригтой, авхаалж самбаатай байх, харилцан бие биедээ
итгэж туслах, биеэ барьж тэсвэртэй байх, өөрийн ба үеийн хүүхдийн үйлдэлд үнэлгээ /зөв,
буруу/ өгөх(нийгэмшихүй);
	 Биеийн тамирын хэрэглэлүүдийг хураах (хөдөлмөр)
	 Хөдөлгөөнт тоглоомын хэрэглэгдэхүүнийг өөрөө сонгох, тэдгээрийг тоолох, дасгал,
хөдөлгөөнт тоглоомын үед орон зайг баримжаалах, амьтны хөдөлгөөнийг дуурайх, дүрд
хувирах, дасгал хөдөлгөөнт тоглоомд зориулж зөөлөн өрж байгуулах материалаар бүтээн
байгуулалт хийх, танин мэдэхүйн ач холбогдолтой ном үзэж ярилцах, спорт, эрүүл аж
амьдралын тухай кино үзэх (танин мэдэхүй);
	 Дасгал, хөдөлгөөн, чийрэгжүүлэх ажлын ач холбогдлын талаар ярилцах (харилцаа);
	 Тоглоом, дасгалыг шүлэг, аман наадам, зүйр үгтэй хослуулан гүйцэтгэх, уншиж сонссон
үлгэр, зохиолын үйл явдлыг илэрхийлсэн сэдэвчилсэн дасгал хийх, тоглоом тоглох (хэл
яриа);
	 Бие бялдар хөгжүүлэх дасгал, хөдөлгөөнийявцад багш өөрийнхөө ба хүүхдүүдийн гадаад
үзэмж, өрөө тасалгааг гоё сайхан чимэглэлтэй байхад анхаарах. Жишээлбэл, хүүхдүүдээр
туг дарцаг, зөөлөн бөмбөг хийлгэж ашиглах, шохойгоор хөдөлгөөнт тоглоомын тэмдэглэгээг
зуруулан тоглуулах. (дүрслэх урлаг);
	 Хөгжимт хөдөлгөөн, дасгалыг хөгжим, дууны аянд хийж гүйцэтгэх, спортын уралдаан
тэмцээнийг хөгжимтэй хослуулан зохиомжлох, хүүхдээр нүүр царайны хувирал бүхий
хөдөлгөөнт тоглоом тоглуулж, жүжиглэх чадварыг хөгжүүлэх (хөгжим).
2.6 Өдөр тутмын үйл ажиллагааны төлөвлөлт
		 Цэцэрлэгийн багшийн өдөр тутмын ажлыг дараах 3 хэсэгт хуваан авч үзэж
болох юм. Эдгээрийн аль аль нь адил тэгш ач холбогдолтой бөгөөд хоорондоо уялдаа
холбоотой. Жишээлбэл, багш хүүхдээс ирэх дохио, ангид үүсэж буй тохиолдлын үйл
явдлуудыг мэдэрснээр хүүхдийн хөгжилд хэрэгцээтэй ямар үйл ажиллагаа төлөвлөн
явуулах вэ? гэдэг асуултад зарим хариултыг олно.
Зураг 28. Цэцэрлэг дэх өдөр тутмын үйл ажиллагаа
Байгаль, нийгмийн
орчин
	 Цэцэрлэг дэх үйл ажиллагаа өдрийн дэглэмийн дагуу явагдана. Энд өдрийн дэглэмийн
нэгэн нийтлэг жишгийг харууллаа. Энэхүү нийтлэг жишиг нь улирлын онцлогоос
шалтгаалан хувилбартай байж болно. Мөн бүлгийн хүүхдийн насны онцлогоос хамаарч
өөрчлөгдөнө.
СУРГУУЛИЙНӨМНӨХБОЛОВСРОЛЫНСУРГАЛТЫНЦӨМХӨТӨЛБӨР
102 103
ХҮҮХЭДБҮХЭНДЭЭ“БИЧАДНА“ГЭСЭНИТГЭЛӨГЬЕ!
Өдрийн дэглэм (хувилбар)
№
Үйл
ажиллагааны
төрөл
Хугацаа Бүтэц
1
Өглөөний
хүлээн авалт
07.30-
8.30
- Мэндлэх, ярилцах
- Эрүүл мэндийг ажиглах, тандах
- Бие даасан үйл ажиллагаа (тоглох, ном үзэх, зурж
урлах, хоорондоо ярилцах гэх мэт)
2 Тойргийн цаг
8.30-
8.45
-Өдрийг таатай эхлэх уур амьсгал бүрдүүлэх
-Өдрийн явагдах үйл ажиллагаанд хүүхдийг чиглүүлж,
сэдэлжүүлэх
-Хүүхдэд сэтгэл санаагаа илэрхийлэх боломж олгох гэх
мэт.
3
Өглөөний
дасгал
8.45-
8.55
-Өглөөний дасгал хийх бэлтгэл
- Дасгал хийх
4 Өглөөний цай
8.55-
9.20
-Гар угаах
-Цайнд бэлтгэхэд оролцох
-Цайлах
5
Зориуд
зохион
байгуулах
сургалтын
үйл
ажиллагаа
9.20-
11.00
-Сургалтын үйл ажиллагаанд бэлтгэх
-Сургалтын тодорхой чиглэлээр (хөдөлгөөн, эрүүл мэнд,
хэл яриа, хүрээлэн буй орчин, математикийн энгийн
төсөөлөл, хөгжим, дүрслэх), аль нэг сэдвийн дор зориуд
зохион байгуулах үйл ажиллагаа
-Тоглох
6 Зугаалга
11.00-
12.00
-Бэлтгэх
-Ажиглах, ярилцах
-Хөдөлмөрлөх
-Тоглох
7 Өдрийн хоол
12.00-
13.00
-Гар угаах
-Хооллолтод бэлтгэх
-Хооллох
8 Нойрсолт
13.00-
15.30
-Бие даах үйл ажиллагаа (Ороо засах, унтлагын хувцсаа
өмсөх)
-Үлгэр, зохиол, хөгжим сонсох
-Нойрсох
-Бие даах үйл ажиллагаа (ороо хураах, хувцсаа өмсөх,
гараа угаах, үсээ самнах)
-Тоглох
9 Оройн цай
15.30-
15.50
-Цайнд бэлтгэх
-Цайлах
10
Чөлөөт үйл
ажиллагаа
15.50-
17.00
- Хөгжөөн баясгах ажил
-Тоглох
-Зугаалах
-Бусад
11 Таралт
17.00-
17.30
-Бие даасан үйл ажиллагаа (тоглох, тарахад бэлтгэх)
-Эцэг эхтэй ярилцах
Өдрийн дэглэмийн “Зориуд зохион байгуулах сургалтын үйл ажиллагаа” нь хуучнаар
бидний явуулж ирсэн “хичээл”-тэй төстэй, багшаас бэлтгэж, зориуд зохион байгуулж
явуулах “хөгжүүлэх үйл ажиллагаа”-нууд юм. Үүгээр багш хүүхдийн суралцахуйн чиглэл
бүрийг хамарсан үйл ажиллагаануудыг аль нэг сэдэвт зангидан интеграцчилан явуулна.
Сэдвийн хүрээнд төлөвлөн явуулах үйл ажиллагаанууд нь хүүхдэд тухайн сэдвийн талаар
танилцуулахад голлон төвлөрөх бус, тухайн сэдвээр дамжуулан хүүхдийн эзэмших
тусгай чадваруудыг хөгжүүлэхэд хэрхэн хувь нэмэр оруулах талаар онцгой анхаарна.
Багш сургуулийн өмнөх насанд хүүхэд хүмүүний зан чанарын үнэт зүйлсийн суурь,
насан туршийнх нь амьдралд хэрэг болох дадал хэвшил, орчиндоо болон бусдын дунд
зохицон амьдрах чадвар эзэмшихэд онцгой анхаарна. Үүний тулд багш өдөр тутмын
амьдрал, ялангуяа зориуд зохион байгуулах үйл ажиллагаа бүрд хүүхэд зан чанар,
харилцааны чадвар, эв дүй эзэмших, орчинтойгоо зохистой харьцаж сурахтай холбогдох
зорилго, агуулгыг хэрэгжүүлэхийг онцгой анхаарч ажиллана.
Сургалт хэдий чинээ албан ёсны байх тусам хүүхдийн жам ёсны хөгжих, сурах
үйлийг хязгаарладаг тал бий. Багш зөвхөн ойлгуулах, мэдүүлэхийн тулд биш ямарваа
зүйлдсуралцах сонирхлыг өдөөх, хийх арга барил эзэмшүүлэх, бусдад болон хийж буй
зүйлдээ хандах эерэг хандлагыг төлөвшүүлэхийг үндсэн зорилгоо болгож чадвал сургалт
нь хүүхдийг хөгжүүлж, төлөвшүүлэх гол шинжээ хадгалж чадна.
Багшийн зориуд зохион байгуулан явуулж буй сургалтын үйл ажиллагаа нь эцэг эх,
асран хамгаалагч болон цэцэрлэгийн бусад хүмүүст ил тод харагдаж байх шаардлагатай.
Жишээлбэл, багш “Ус” (Хавсралтад буй) сэдвээр өдөр тутам явуулах үйл ажиллагаагаа
дараах календарчилсан төлөвлөгөө байдлаар харуулан үүдний самбартаа байршуулна.
	 Сэдэв: “УС”
Бүлэг: ...... Сар:........ Долоо хоног: ......			
Даваа Мягмар Лхагва Пүрэв Баасан
Цастай уул
(Аялал зугаалга)
Миний бүтээл
(Өгүүллэг
сонсох)
Устай танилцъя
(Туршилт)
Хүүхэлдэйгээ
цайлъя (Сургах
тоглоом)
Ус дамжуулъя
(Хөдөлгөөнт
тоглоом)
Даваа Мягмар Лхагва Пүрэв Баасан
Гайхамшигт
дуслууд
(Туршилт)
Бороо (Зохион
бүтээх)
Ус ба загас
(Тоолох)
Хорготой загас
(Зохион бүтээх)
Ус зөөцгөөе
(Хөдөлгөөнт
тоглоом )
2.7. Хүүхдийн хөгжих орчин
Бага насны хүүхэд олон зүйлийг өдөр тутмын амьдралын туршлагаасаа “жам ёсоор”
аяндаа сурдаг. Тэд гэртээ, цэцэрлэгт байхдаа өглөөнөөс орой хүртэл цаг ямагт суралцсаар
байдаг. Хүүхдийн бага насны амьдрал хэдий чинээ баялаг агуулгатай байна тэд төдий
чинээгээр цаашдынхаа амьдралд хэрэгцээтэй мэдлэг, чадвар, туршлага хуримтлуулдаг.
Иймд тэдний амьдралыг сонирхолтой, үр өгөөжтэй болгохын тулд багш, эцэг эх бие биеэ нөхөж,
янз бүрийн орчин нөхцөлд хүүхдээ төрөл бүрийн үйл ажиллагаанд оролцуулах нь чухал юм. Нэн
ялангуяа хот, төв суурин газрын тохилог орон сууцанд амьдардаг хүүхдийн хөдөлгөөний эрэлт
хэрэгцээг хангах, тэднийг эрүүл чийрэг байлгах, сорилт саадыг давж гарах арга ухаанд сургахад
түлхүү анхаарах шаардлагатай.
Зарим жишээг зургаар харууллаа.
Бага насны хүүхдийн амьдрал нь түүнийг бүх талын цогц хөгжилд хөтөлсөн суралцахуйн зүй
ёсны үйл явц мөн.	 	
	 Зураг 29. Тоглох нь хүүхдийн үндсэн суралцах үйл
СУРГУУЛИЙНӨМНӨХБОЛОВСРОЛЫНСУРГАЛТЫНЦӨМХӨТӨЛБӨР
104 105
ХҮҮХЭДБҮХЭНДЭЭ“БИЧАДНА“ГЭСЭНИТГЭЛӨГЬЕ!
ХАВСРАЛТ: ЦЭЦЭРЛЭГИЙН СУРГАЛТЫН ХӨТӨЛБӨРИЙН ХҮРЭЭНД
ХЭРЭГЖҮҮЛСЭН ҮЙЛ АЖИЛЛАГААНЫ ЖИШЭЭ
3.1. “УС” сэдвийн боловсруулалт
Хүүхдийн хэрэгцээ, сонирхлыг харгалзан аливаа үйл ажиллагааг өөр хооронд нь уялдуулан
тодорхой сэдвийн дор зангидан явуулахыг “Ус” сэдвийн хүрээнд харуулъя.
Сэдвийн зорилго:
1.	 Усны онцлог, шинж чанарыг судалж, олж нээх
2.	 Ус нь хүн, амьтан, ургамалд ямар ач холбогдолтойг мэдэх
3.	 Устай зөв зохистой харьцах
Сэдвийн зорилтууд:
Агуулгын задаргаа
Сургалтын
чиглэл
Агуулга
Хөдөлгөөн,
эрүүл мэнд
•	 Ус уух нь эрүүл мэндэд хэрэгтэйг мэдэх
•	 Түүхий ус уухгүйг мэдэх
•	 Зуны улиралд нар, ус, агаараар чийрэгжих (насанд хүрэгчдийн тусламжтай)
•	 Усанд санд тоглох, сэлэх
•	 Ус, элсээр тоглох
•	 Өвлийн улиралд чаргаар гулгах
•	 Цасаар тоглох
•	 Цасаар янз бүрийн зүйл хийх
Хэл яриа
•	 Усны шинж шинж чанарыг тодорхойлон ярилцах
•	 Ус нь бохирдож мууддаг талаар ярилцах
•	 Цас, мөсийг харьцуулж, туршиж үзэх
•	 “Ус хөлддөг”-ийг туршилтаар таньж мэдэх
•	 Усны нэр төрлийг тодорхойлон хэлэх
•	 Усны ач холбогдлын талаар ярилцах
•	 Устай хэрхэн харьцах ёс заншлын талаар ярилцах
Математик
•	 Усыг хэмжих (их, бага, халуун, хүйтэн)
•	 Устай савыг тоолох, харьцуулах
•	 Усан доторх загас, дун зэргийг тоо ширхэг, өнгө, хэлбэр, орон зайн байрлалаар жишин
харьцуулах
•	 Хүнд ба хөнгөн зүйлсийг ус ашиглан ялгах
•	 Шингэн ба бутархай зүйлсийг хэмжих (Шанагатай усыг аягаар хэмжиж хэдэн аяга ус
шанаганд багтсаныг тодорхойлох гэх мэт.)
Байгаль,
нийгмийн
орчин,
Дүрслэх урлаг
•	 Усны шинж чанарыг таньж мэдэх
•	 Гараа угаахдаа крантны усыг багаар гоожуулах
•	 Шүдээ угаах үедээ крантны усаа түр хааж байх
•	 Бохир болон цэвэр усны ялгааг олж мэдэх
•	 Өөрийн нутгийн хүрхрээ, гол, нуур, цөөрөм, булаг, шанд, рашаан (худаг) мэдэх, нэрлэх,
хүн, амьтан, ургамал усаар ундаалдаг ач холбогдлыг мэдэх, дүрслэн зурах, бүтээх
•	 Усаа тохируулан зуурмаг бэлтгэх
•	 Усны давалгааг дүрслэх
•	 Усаар шүршиж бүтээл гаргах
зогсоно. Хүүхдүүд нэг нэгээрээ аягатай усаа барьж
тодорхой зайнд байрлуулсан дарцгийг тойрч ирээд,
дараагийн хүүхдэд цалгиулахгүйгээр дамжуулна.
Түрүүлж бүх хүүхэд нь усаа дамжуулж зөөсөн баг хожно. Хожсон багт баяр хүргэнэ. Ус
зөөх зайг эхлээд ойрхон дараагийн үед холдуулж болно.
Ус зөөцгөөе
Зорилго:
•	 Биеийн тэнцвэрээ хадгалан даалгавар гүйцэтгэх
•	 Усыг цалгиулж асгахгүйгээр зөөх
•	 Багийнхаа хожлын төлөө хичээх
Хөгжим
•	 Амьд ба амьгүй байгалийн дуу чимээг ялгаж сонсох
•	 Усны чимээг сонсож таних, ялгах, нэрлэх
•	 Ус, улирал, амьтдын тухай дуу сурах
•	 Ус, байгаль, хөдөлмөрийн тухай хөгжимт хөдөлгөөн хийх
ХӨГЖҮҮЛЭХ ҮЙЛ АЖИЛЛАГАА
ХӨДӨЛГӨӨН, ЭРҮҮЛ МЭНД
Цастай уул
Зорилго:
•	Цас нь усны нэгэн хэлбэр болохыг мэдэх, цасны шинж чанарыг өөрийн биеэр
мэдэрч ажигласнаа илэрхийлэн ярих
•	Байгальд зугаалахын сайхныг мэдрэх
•	Хамтаараа цасан өвгөн хийх
Бэлтгэл: Хүүхдүүд аялал зугаалгад тохируулан дулаан хувцаслах
Аргачлал: Цаг агаарын байдлыг харгалзан аялал зугаалгаар явах өдрөө хүүхдүүд, эцэг
эхтэй хамтарч тохиролцсон байна. (Гадаа хэдэн хэмтэй байна. Цас ороод хэд хонож
байна гэх мэт ярилцлагуудыг хийсэн байна.)
Аяллаар очих газраа танилцуулж очоод юу хийхээ, ямар дүрэм баримталж явах
талаар ярилцана.
Аяллын газраа очоод явах маршрутаа танилцуулна. Хүүхдүүд алхаж явангаа
цасан дээгүүр явах, цасгүй газраар явахаас өөр байгаа талаар ярилцаж, ямар чимээ
гарч байгааг сонсоно. Яагаад ингэж дуугарч байгаа талаар ярилцаж хүүхдүүдийн
таамаглалыг сонсоно.
Хүүхдүүд бүгдээрээ тойрог болон зогсоод цасан дээр дүрс гарган хэвтэнэ. Гаргасан
мөрөө эвдэхгүйг хичээн босож ирээд гаргасан дүрсээ харцгаана. Багшийнх-аа цасан
дээр гаргасан гутлын мөрөөр дагаж алхана. (Могойчлох, диагональдах гэх мэтээр). 10
орчим метр зайд уралдаж болно.
Хүүхдүүд цасыг дээш нь шидэж тоглоно. Бүгдээрээ нийлээд цасан өвгөн хийнэ.
Саванд цас хийж ангидаа оруулж тавиад, цас нь хайлахаараа ус болдгийг ажиглана.
Үнэлгээ: Хүүхдийн хөгжлийн ахицыг үнэлэхдээ 1.3.24 - Хувцсаа орчин, үйл ажиллагаандаа
тохируулан өмсөнө. Жишээ нь: Гадаа тоглох, дасгал хөдөлгөөн хийхэд; 2.1.7 - Шинэ
зүйлд сониуч хандаж сонирхоно, оролдож, туршиж үзнэ; 2.3.23 - Дүрэм журам, зааврыг
дагаж биелүүлнэ; 4.1.1 - Байгаль орчинд болон туршилтын явцад ажигласан үзэгдлийн
учир шалтгааны талаар асуулт тавьж, таамаглал дэвшүүлнэ; 4.1.2 - Үйл явдал, учир
шалтгааны талаар лавлана зэрэгт чиглэсэн ажиглалт хийж болно.
Ус дамжуулъя
Зорилго:
•	 Хөдөлгөөнөө зохицуулан аягатай усыг
цалгиулахгүйгээр зөөх
•	 Багийнхаа хожлын төлөө хичээх
Хэрэглэгдэхүүн: Аягатай ус ...
Аргачлал:Хэд хэдэн багаар тоглож болно. Багийн
гишүүдийн тоо адилхан байх бөгөөд ар араасаа цувран
СУРГУУЛИЙНӨМНӨХБОЛОВСРОЛЫНСУРГАЛТЫНЦӨМХӨТӨЛБӨР
106 107
ХҮҮХЭДБҮХЭНДЭЭ“БИЧАДНА“ГЭСЭНИТГЭЛӨГЬЕ!
Хэрэглэгдэхүүн: Багийн тоогоор савтай ус,
хэмжүүртэй сав, хуванцар аяга, гарааны
цэгийг тодорхойлох зураас (цагираг, олс гэх
мэт байж болно), тодорхой хугацааг заадаг
дуугардаг дохио эсвэл элсэн цаг
Аргачлал: Хүүхдүүд хэдэн ч багт хуваагдан
тоглож болно. Хүүхэд дохио дуугарахад том
савнаас аяганд ус дүүргэж аваад хэмжүүртэй
саванд хийгээд, аягаа дараагийн хүүхдэд
дамжуулна. Зогсох дохио дуугартал ус зөөх
ажил үргэлжилнэ. Дохио дуугарсны дараа
хэмжүүртэй саван дахь усыг харьцуулан, их ус
хийсэн баг нь ялагч болно.
Дүрэм:
Дохио дуугарахад тоглоом эхлээд зогсох дохио дуугарсны дараа хэмжигч сав руу
ус хийж болохгүй.
Үнэлгээ: Хүүхдийн хөгжлийн ахицыг үнэлэхдээ 1.1.13 - Өгсөн дохионы дагуу
хөдөлгөөнөө эхэлж, дуусгана; 1.1.2 - Дүүрэн устай ундааны шилэн аяга (стакан)-
ыг нэг гартаа бариад усыг цалгиулахгүйгээр өрөөний нэг талаас нөгөө тал хүртэл
алхана гэсэн асуултын дагуу ажиглалт хийж болно.
Том загас ба жараахай
Зорилго:
•	 Тоглоомыг дүрмийг баримтлан тоглох
•	 Авхаалж самбаатай байх
•	 Орон зайд хурдаа тохируулан гүйх
Хэрэглэгдэхүүн:Хүүхдүүд сэдвийн хүрээнд өмнө нь хийсэн төрөл бүрийн загасны баг, усан
доторх орчинг ашиглаж болно. Усны ургамал, хад, чулууг дүрсэлсэн хайрцгууд
Аргачлал:Танхимын голд усны ургамал, чулууг дүрсэлсэн хайрцгаа байрлуулна. Жараахай
болсон хүүхдүүд багшийг үг хэлж байх үед усны ургамал, чулууг тойрон нэг зүгт гүйлдэнэ.
Цэв цэнхэр нууранд
Сүрэг жараахай сэлж байна
Гэнэт тэдний араас
Том загас ирлээ
Хурдан хурдан зугтаарай
Хад, чулуундаа нуугдаарай.
Багшийг “Нуугдаарай” гэж хэлэнгүүт хүүхдүүд хад, чулууны хайрцгийг налан бөөгнөрнө. “Том
загас” хайрцагт ойртоогүй жараахайг барина.
Үнэлгээ: Хүүхдийн хөгжлийн ахицыг үнэлэхдээ 1.1.3 - Тасалгаан дотор хурдаа тохируулж гүйнэ;
2.2.10 - Тухайн нөхцөл байдалд тохирсон сэтгэл хөдлөлийг үзүүлж чадна. Жишээ нь: Жүжгийн
инээдэмтэй хэсгийг үзээд баясан инээх гэсэн асуултын дагуу ажиглалт хийж болно.
ХЭЛ ЯРИА
Миний бүтээл
Зорилго:
•	 Өөрийнхөө санааг илэрхийлэн ярих
•	 Гол усаа хайрлах, хамгаалахын чухлыг мэдэх
•	 Устай холбогдох оньсого зохиох, таах
Хэрэглэгдэхүүн: Зургийн дэвтэр, усан будаг
Аргачлал: Багш “Миний бүтээл” өгүүллэгийг уншиж
өгнө. Нэгэн өдөр хүүхэд бүр өөр өөрсдийн зурсан
зургаа багш болон найз нөхөддөө ярьж өгч байлаа.
Гэтэл Туяагийн ээлж иртэл тэр ганцхан цэнхэр өнгөөр
цаасаа дүүрэн будсан байв.
-Чи яагаад өөр юм зураагүй юм бэ? гэж найзууд нь
асуухад
Туяа: –Би зурсан. Энэ бол “гол” гэж хэлэв.	
Нэг найз нь “Голд загас зурж болно. Тиймээ, багшаа.”
гэхэд
Туяа:“Би гол усыг ийм тунгалаг байгаасай гэж бодож
байна. Яагаад гэвэл манай гэрийн дэргэд байдаг голын
ус бохир болсон болохоор нэг ч загас үлдээгүй.” гээд
дуугүй болчихлоо.
Багш: -”Маш тунгалаг цэвэрхэн гол зурсан Туяадаа
баяр хүргэе.” гээд хүүхдүүдийн хамт алга ташив.
-Гол усаа хэрхэн яаж хамгаалах талаар багш
хүүхдүүдтэйгээ харилцан ярилцана.
Асуултууд:
-	 Голын ус яагаад бохирддог вэ?
-	 Голын усыг хэн, юу бохирдуулдаг вэ?
-	 Голын усанд ямар ямар амьтан амьдардаг вэ?
-	 Голын ус бохирдвол загас амьдарч чадах уу?
Хүүхдүүдээр “Ус” сэвдээр оньсого зохиолгоно, таалгана. Зарим оньсогыг багш хэлж
өгнө. Жишээлбэл,
Харахад хөвөн шиг
Барихад ус шиг цас
Довон дээрх
Долоон өнгийн торгыг
Чи ч авч чадахгүй
Би ч авч чадахгүй солонго
Дэнжээр дэржигнэнэ
Хотгороор хоржигноно /гол/Зуны өдөр зөөлөн биетэй
Өвлийн өдөр хатуу биетэй /ус, мөс/
Миний урд мэлсхийв.
Уулын ард улсхийв. цахилгаан цахих
Биеий минь битгий хөндөөрэй.
Бяцарна гэж байна аа би. шүүдэр
Үнэлгээ: Хүүхдийн хөгжлийн ахицыг үнэлэхдээ 2.1.2 - Өөрийн хийх зүйлээ сонгоно;
2.1.4 -Хийж бүтээсэн зүйлдээ баярлана; 2.1.5 - Эхэлсэн зүйлээ хийж дуусгана гэсэн
асуултын дагуу ажиглалт хийж болно.
СУРГУУЛИЙНӨМНӨХБОЛОВСРОЛЫНСУРГАЛТЫНЦӨМХӨТӨЛБӨР
108 109
ХҮҮХЭДБҮХЭНДЭЭ“БИЧАДНА“ГЭСЭНИТГЭЛӨГЬЕ!
Бяцхан дусал
Зорилго:
•	 Бусдад тусламж хэрэгтэйг мэдэрч, туслах
•	 Усны ач холбогдлыг мэдэх
Хэрэглэгдэхүүн: “Бяцхан дусал” өгүүллэг
Аргачлал: Өгүүллэгийг уншиж өгөөд ярилцана.
Нэгэн өдөр бяцхан дусал хийх зүйлгүй агаарт хөөрч явлаа.
Хийх зүйл байдаг ч болоосой гээд бодож явтал маш олон цэцэг гандсан байхыг олж
харжээ.
Тэгээд өнгө өнгийн цэцгүүд дээр очоод: “Та нар надтай
яриач, би уйдаад байна.” гэхэд нэгэн цэцэг:
-Бид маш их цангаж байгаа болохоор ярьж, тоглож
чадахгүй нь
Дусал: - “Би та нарт тусалъя.” гэсэнд
Цэцгүүд бүгдээрээ: - “Чи бяцхан юм чинь яаж туслах
вэ?” гэлээ.
Дусал: “Би бодоод олчихлоо. Бүх найзуудаа аваад
ирье.” гээд хөөрөөд явлаа. Цэцгүүд гуниглан байтал,
бороон дусал нэг нэгээр дусалсанд тэд бүгдээрээ дээш харлаа. Тэгтэл бяцхан дусал би
энд байна.
Энд миний бүх найзууд байна.” гэж хашгирав. Олон найз дуслууд нийлж маш их бороог
орууллаа.
Цэцгүүд:
-“Бяцхан дусал чамд их баярлалаа.”
гэж дахин дахин хэлж байв.
Борооны дараа солонго татаж
цэцгүүд баярлаж, өнгө нь сэргэж,
баяртай байлаа.
Асуултууд:
- Цэцгүүдэд юу тусалсан бэ?
-	 Яагаад цэцгүүд дусалтай ярихыг хүсээгүй вэ?
-	 Бяцхан дусалд юу тусалсан бэ?
-	 Цэцгүүдэд туслаагүй бол яах байсан бол?
Хувилбар 2: Энэ өгүүллэгээр жүжигчлэн тоглож болно.
Үнэлгээ: Хүүхдийн хөгжлийн ахицыг үнэлэхдээ 2.2.13 - Уур бухимдлаа тайван
давж гарна; 2.2.14 - Бусдыг мэдэрч зохицон ажиллана гэсэн асуултын дагуу
ажиглалт хийж болно.
Хүрхрээ
Зорилго:
•	 “Хүрхрээ”-ний онцлог байдлыг илэрхийлэн ярих 
•	 Дуу чимээг ялгаж сонсох 
•	 “Хүрхрээ” дуут тоглоомын үгийг тогтоож тоглох, “р” авиаг зөв тод дуудах  
Хэрэглэгдэхүүн:
•	 Хүрхрээний тухай бичлэг, кино, өнгөт зураг, цомог,зурагт үзүүлэн
Аргачлал:
Хүүхдийн сонголтоор баг болгож зохион байгуулна.
Урьдчилсан ажиглалт, ярилцлага:
Хүрхрээ гэж юу болох талаар зурагт үзүүлэн ашиглан ярилцана. Хүүхдэд хүрхрээний
тухай кино, бичлэг үзүүлж ярилцана. Бичлэг болон зурагт үзүүлэн дээр хүрхрээ ямар
өнгөтэй болох, ямар дуу чимээ гаргадаг болохыг ярилцана. Хүрхрээ нь өвөл хөлдөж мөс
болдог талаар ярилцана.“Хүрхрээ” үгийг давтан, дагуулан хэлүүлнэ.
Багш “Р” үсгийг тод зөв дуудахад тусална. “Хүрхрээ” тоглоом тоглоно. Хүүхдүүд тоглоомын
үгийг хэлээд гарыг алдлан дээш өргөх, долгилуулан доош буулгах зэргээр сүрлэг хад,
асар өндрөөс буух хүрхрээг дүрслэн хөдөлгөөн хийж тоглоно. Үгийг аялгуулан хэлж
тоглож болно.
Сүрлэг хүрэн хаднаас
Сүртэй хүрхрээ бууна
Хүрхрэн шуугих хүрхрээг
Хүүхдүүд гайхаад зогсож байна.
Түргэн хэллэг хэлнэ.
Гол, гол урсана
Горхи, горхи хоржигноно
Далай, далай давалгаална
Хүрхрээ, хүрхрээ хүрхэрнэ.
Үнэлгээ:
Хүүхдийн хөгжлийн ахицыг үнэлэхдээ 6.1.5 - Бэлэн дүрс, зургийг янз бүрийн будгаар
хүрээнээс илүү гаргалгүй будна; 6.2.10 - Урлан бүтээхдээ бүтээлчээр хандана гэсэн
асуултын дагуу ажиглалт хийж болно.
Устай танилцъя
Зорилго:
•	 Ус хөлдөхөөрөө мөс болдог, цас хайлахаараа ус болдгийг мэдэх
•	 Усанд хөнгөн зүйл хөвдөг, хүнд зүйл живдэг болохыг нотлох
Хэрэглэгдэхүүн: Савтай ус, мөс, цас, тагтай шил, гуашь, бийр, том савтай ус, чулуу,
навч (хүүхдийн тоогоор)
Аргачлал:
Багш, хүүхдүүдтэй хамтран усаар туршилт хийнэ.
-	 Туршилт эхлэхээс өмнө саванд ус хийн хөлдөөгчид хөлдөөх
-	 Цас орсон үед цэвэр цас бэлдэх
-	 Устай савны таганд гуашь түрхэх
Багш бүлгийн хүүхдийг сонирхлынх нь дагуу 3 багт хуваана. Алийг нь илүү сонирхож
байгааг асуун, сонголтыг хүүхдэд үлдээнэ.
I баг: Хөлдөөгчөөс мөс гарган савтай устайгаа харьцуулан шинж чанарын талаар
харилцан ярилцана.
Асуултууд:
-	 Ус, мөс 2-ын аль нь хатуу байна вэ?
-	 Мөсийг ууж болох уу?
-	 Энэ 2-ын алийг нь барьж болох вэ?
-	 Мөсөөр юм угааж болох уу?
-	 Усан дээр гулгаж болох уу?
-	 Мөсийгтасалгаанд удаан байлгавал ямар болох бол? гэх мэт.
II баг: Багш, туслах багш хамтран гаднаас бэлдэж ирсэн мөсөө саванд байгаа устайгаа
харьцуулан шинж чанарыг ярилцана.
Асуултууд:
-	 Цас ямар өнгөтэй байна вэ?
-	 Ус ямар өнгөтэй байна вэ?
-	 Цасаар юу хийж болох вэ?
-	 Усаар өвлийн өвгөн хийж болох уу?
-	 Цасыг тасалгаанд удаан байлгавал ямар болох бол?
III баг – Энэ савтай усны өнгийг хувиргая. Багштайгаа цуг 10 хүртэл тоолоод савтай
усаа ямар өнгөтэй болсон байгааг харцгаая.
Багш савны таганд сонгосон өнгийн гуашаа түрхэж таглаад хүүхдүүдтэй хамт 10 хүртэл
тоолно. Ямар өнгөтэй болсон байгааг хүүхдүүдээс асууна.
Багууд тус бүрдээ туршилтаа хийж дууссаны дараа хүүхдүүд өөрт байгаа чулуу болон
навчаа усанд хийх бөгөөд хөвдөг, хөвдөггүйг ялган нэрлэж, ярилцана.
Хувилбар: Хүүхэд бүрд будаа, элсэн чихэр өгч усанд уусдаг, уусдаггүй талаар ойлголт,
мэдлэг өгч болно.
Үнэлгээ: Хүүхдийн хөгжлийн ахицыг үнэлэхдээ 4.1.2 - Үйл явдал, учир шалтгааны талаар
СУРГУУЛИЙНӨМНӨХБОЛОВСРОЛЫНСУРГАЛТЫНЦӨМХӨТӨЛБӨР
110 111
ХҮҮХЭДБҮХЭНДЭЭ“БИЧАДНА“ГЭСЭНИТГЭЛӨГЬЕ!
лавлана; 4.1.4 - Байгаль шинжлэлийн туршилтад дуртайяа оролцоно гэсэн асуултын
дагуу ажиглалт хийж болно.
Гайхамшигт дуслууд
Зорилго:
•	 Усны тухай ойлголтоо цэгцлэх, өргөжүүлэх,
•	 Ус хүний амьдрал, эрүүл мэндэд ямар ач холбогдолтойг мэдэх
•	 Устай хайр гамтай харьцах
Хэрэглэгдэхүүн:
Дэлхийн бөмбөрцөг, нар, үүл, хувингийн болон 2 ширхэг усан дуслын дүрс, халуун
савтай буцалсан ус, толь, хэмнэлтэй хөгжилтэй ая бүхий хуурцаг
Аргачлал:
Өнөөдөр бид «Яагаадхан» өрөөнд ажиллана. Биднийг маш сонирхолтой туршилтууд,
нээлтүүд хүлээж байна.
1. “Ариг гамтай усан дусал”
-Багш эхний усан дуслыг үзүүлээд “Ариг гамтай усан дусал” та нарт бөмбөрцөг авч
иржээ.
-Хүүхдүүд ээ! Энэ юу вэ, та нар мэдэх үү? /Дэлхийн бөмбөрцөг/
Бөмбөрцөг дээрх цэнхэр өнгө юуг илэрхийлж байна вэ? /Ус/
Манай дэлхий дээр хэр их ус байдаг бол? Маш их. За бүгдээрээ бөмбөрцгөө хурдан
эргүүлээд үзье. Манай дэлхий бүхлээрээ цэнхэр юм шиг харагдаж байгаа биз./Усаар
бүрхэгдсэн./ Тиймээ манай дэлхий маш их устай. Гэхдээ ихэнх нь далай тэнгисийн ус
буюу давстай ус юм. Давсгүй буюу цэнгэг ус манай дэлхий дээр тийм ч их байхгүй. Иймд
бид цэвэр усыг ариг гамтай хэмнэж хэрэглэж сурах хэрэгтэй. Одоо бүгдээрээ ариун
цэврийн өрөөнд орж «Усаа гамнаж хайрлая» нэртэй туршилтаа хийцгээе. Хүүхдүүд
крантаа нээнэ, дараа нь хаана, гэхдээ нарийхан дусал гоожиж байхаар нээлттэй орхино.
За энэ дуслынхаа доор хувин тосъё,хэсэг хугацааны дараа үзэцгээе.
Одоо “Ариг гамтай дусал” маань бидний хувинд хэр их дүүрсэн байгааг шалгах цаг
болсныг сануулж байна. Хардаа, жижигхэн дуслуудаас хувин дүүрэнус цугласан байна.
Ийм их ус хий дэмий урсах байсан байна шүү дээ.
-Хүүхдүүдээ! Энэ хувинд байгаа усаар бүгдээрээ юу хийх вэ? Саналаа хэлээрэй.
-Цэцгүүдээ усалъя, цэвэрлэгээ хийхэд хэрэглэе, аяга угаахад,зураг зурахдаа ч ашиглая.
2. “Сургагч –дусал”
Энэ 2 дахь дусал маань бидэнд ус хэрхэн аялдаг тухай танилцуулна.
-Ус бол бидний гэрт олон төрлийн хоолойгоор дамжин гол болон нуураас ирдэг. Бид
усыг юунд хэрэглэдэг вэ?
Хоол унд бэлтгэхдээ хэрэглэнэ, усаар бие болон бусад зүйлийг угаана, цэвэрлэгээ
хийхдээ хэрэглэнэ, ургамал ногоогоо усална. Үүнд ус их шаардагдах уу? Их. Тэгээд
яагаад хүмүүс одоо хүртэл бүх усаа хэрэглээд дуусахгүй байгаа юм бол, яагаад гэдгийг
“Сургагч-дусал” маань ярьж өгнө.
Хүүхдүүд ээ! Өмнөө зургуудаа тавиад усны дуслыг гол руу хийгээрэй.
Өдөр болгон нар тэнгэрт манддаг. Зурган дээрээ нараа байрлуулаарай. Нар, гол
болон далайн усыг халаадаг.
Энэ саванд би халуун ус хийсэн. Одоо тагийг нь аваад халаасан ус яахыг харцгаая.
Халуун савыг онгойлгоход түүнээс халуун уур гарч байна.
За тэгэхээр усыг халаахад ус юу болон хувирч байна? Уур. Усны уур хаашаа явж
байна? /Дээшээ/
Яг ийм байдлаар бидний хийсэн дусал халаад дээшээ уур болон ууршлаа. Усны
дуслаа тэнгэрт үүлэн дээр байрлуулаарай.
Усны дусал тэнгэрт гарлаа, царцлаа. Учир нь тэнгэрт хэдий чинээ өндөрт гарна,
төдий чинээ агаар хүйтэн болдог.
Одоо халуун саваа онгойлгоод гарч буй уурны дээр толь бариад үзье. Хөргөе.
хөргөсний дараа усны уур юу болж хувирсан байна? /Ус/
Ийнхүү борооны үүл болж байна. Цав цагаан үүлээ борооны үүлээр хаагаарай.
Ингээд удалгүй бороо орж нөгөө дусал газарт бууж байна. Дуслаа газарт байрлуулаарай.
-Борооны дуслууд газарт бууж гол мөрөн далай тэнгис рүү урсан орж байна.
Хувилбар-1: Гадаа талбайнзасмал зам дээр ус асгуулаад тогтсон шалбаагийг
хүрээлүүлэн шохойгоор зурна. Хүүхдүүд өдрийн өөр өөр цагт хүрч ирж, шинээр
шалбаагны хүрээг зурна. Юу болоод байгаа юм бол? Юу усыг ууршихад нөлөөлөөд
байна вэ?
Хувилбар-2:
“Амьдруулагч дусал”
Борооны үеэр бидний ногоон найз-модод угаагдаж ундаалж авдаг. Шувууд, амьтад
ус ууж, усанд орох хэрэгтэй байдаг. Хүн мөн адил усгүйгээр амьдарч чадахгүй.
-Бид гэртээ, ангидаа байгаа цэцгээ услахгүй бол юу болдог билээ? Хорчийж үхдэг.
Манай анги шалаа угаах усгүй бол ямар болох бол? Анги бохир заваан болно. Хэрэв бид
гараа угаахгүй бол яах вэ? Халтар гараасаа болоод өвчин тусна. Харин хүн ус уухгүй бол
3 хоногоос илүү амьдарч чадахгүй.
Усгүй бол усанд орж, цангаагаа ч тайлж чадахгүй.
Усгүй бол навч цэцэг дэлгэрч чадахгүй.
Усгүйгээр хүн, амьтан шувууд амьдарч чадахгүй.
Ийм учраас бүгдэд ус хэрэгтэй байдаг.
Үнэлгээ: Хүүхдийн хөгжлийн ахицыг үнэлэхдээ 4.1.1 - Байгаль орчинд болон туршилтын
явцад ажигласан үзэгдлийн учир шалтгааны талаар асуулт тавьж, таамаглал дэвшүүлнэ;
4.1.3 - Ургамлын ургалтад агаар, ус, гэрэл, дулаан яаж нөлөөлдгийг тайлбарлан ярина
гэсэн асуултад ажиглалт хийж болно.
МАТЕМАТИК
Ус ба загас
Тайлбар: Энэ үйл ажиллагаа нь хэл яриа, математик, хөгжим, хөдөлгөөн, дүрслэх урлаг
зэрэг олон үйл ажиллагааг нэгэн дор хэрхэн зохион байгуулж болохын жишээ юм. Гэхдээ
бүгдийг нэг удаагийн үйл ажиллагаагаар явуулах шаардлагагүй.
Зорилго:
•	 Асуултад оновчтой хариулах
•	 Загасны биеийн бүтцийг нэрлэх, хөдөлгөөнийг ажиглан ярих
•	 Шилэн хорго, сэлүүр, сэлэх, шумбах зэрэг шинэ үгсийн утгыг мэдэх
•	 Юмсыг тоо, хэмжээ, хэлбэр дүрс, орон зай, өнгөөр нь ялгах
Хэрэглэгдэхүүн:
Шилэн хорго, том, жижиг, олон өнгө бүхий 5-10 загас (дун, чулуу), өнгөт зурагт үзүүлэн,
баримлын шавар, зургийн цаас, өнгийн харандаа, усан будаг, өнгийн цаас, цавуу гэх
мэт.
Аргачлал: Хүүхдүүдийг олон төрлийн өнгө,тоо, хэлбэр, хэмжээтэй загастай шилэн хорго
байрласан хэсэгт урина. Хажууд нь загасны амьдралыг харуулсан өнгөт зурагт үзүүлэнг
байрлуулсан байна. Хүүхдүүдийг найз нартаа саад болохгүйгээр харагдахуйц байдлаар
бие биеэ хүндэтгэн зогсохыг хүснэ. Багш хүүхдүүдээс харилцан ярилцах, турших замаар
загасны тухай туршлагаас нь хуваалцана. Харж ажигласан зүйлээ нэрлэж, тоолж,
харьцуулж ярилцана. Үүнд:
СУРГУУЛИЙНӨМНӨХБОЛОВСРОЛЫНСУРГАЛТЫНЦӨМХӨТӨЛБӨР
112 113
ХҮҮХЭДБҮХЭНДЭЭ“БИЧАДНА“ГЭСЭНИТГЭЛӨГЬЕ!
Та нарын өмнө юу байна вэ? – (аквариум гэж хэлбэл – өөр юу гэж хэлж болохыг
асууж, “шилэн хорго” гэж нэрлүүлнэ.)
Шилэн хорго дотор та нар юу, юуг харж байна вэ?
Загас хаана амьдардаг вэ? Энэ загас хаана амьдарч байна. Тэжээмэл загасны хувьд
шилэн хорго бол түүний гэр юм байна. Тэгвэл шилэн хоргонууд ямар ямар хэлбэртэй
байж болох вэ? Танайд байдаг уу? Хэлбэр, хэмжээ нь ямар вэ? (дугуй, дөрвөлжин)
Загасны амьдралд хамгийн чухал зүйл юу вэ? (ус, дулаан, гэрэл, хоол)
Хамгийн чухал нь? Ус юм байна. Яагаад? Хүүхэд тайлбарлана.
Манай бүлэгт загас шилэн хоргонд амьдарч байна. Өөр хаана загас амьдардаг
болохыг та нар нэрлэнэ үү? (Далайд, нууранд, голд-хүүхэд эдгээрийг төсөөлөн хэлж
байвал багш дэмжиж хамтдаа мэдлэг бүтээнэ.)
Далай, нуур, гол, шилэн хоргонд адилхан нэг зүйл юу байна вэ? (Бүгдэд нь ус байна.)
Багш хүүхдүүдийг зурагт үзүүлэнг сайтар ажиглахыг хүснэ. Зурагт үзүүлэнд ойд,
нугад, тэнгэрт загас байгаагаар зурсан байна. Багш хүүхдийн гайхсан, асуух гэсэн
байдлыг ажиглаад тэдэн рүү лавласан, тусламж хайсан асуулт асууж, хариултыг авна.
Энэ зурагт юу байна. Энэ зөв үү? Загас ойд амьдарч чадах уу, бас тэнгэрт байж
болох уу?, Нуга талд бас байдаг гэж үү? Хүүхдүүд “болохгүй”, “байхгүй” гэсэн хариулт
хэлж яагаад вэ? гэдгийг өөрсдийн ойлголтоор тайлбарлана. Багш:
Тийм ээ, тэнд бүгдэд нь ус байхгүй. Зүйтэй, усгүй бол загас амьдарч чадахгүй. Загас
усанд л амьдарч чадна.
Тэгвэл загасны тухай та нар юу мэдэх вэ? энэ шилэн хоргонд ямар загас байна
вэ? Хүүхдүүд шилэн хоргон дахь загаснуудыг өнгө, хэлбэр, хэмжээ, олон цөөнөөр нь
тодорхойлж хэлнэ. Түүнчлэн шилэн хорго доторх бусад чулуу, ургамал, дун зэргийг
нэрлэж, хаана, аль хэсэгт ямар загас сэлж байгааг хэлүүлнэ. (Хүүхэд эрэл хайгуул
хийж, харьцуулан жишиж шинэ нээлт хийхээр багш орчинг бүрдүүлсэн байна.)
“Загасны тухай юу мэдэхээ ярьцгаая.” гээд биеийн хэсгүүдийг нь нэрлэнэ. Толгой, эх
бие, сүүл, сэлүүр гэх мэтээр хүүхдүүд хэлнэ.
Багш хүүхдүүдийг “Загас сэлнэ” хөгжилтэй тоглоом хамтран тоглохыг урина, дүрмийг
танилцуулна. Хөгжмийн аянд загасууд сэлж шумбана. Хөгжмийн цоглог аяс түргэн болон
намуун удаан хэмнэлд загас ямар хөдөлгөөн хийж болохыг үзүүлэхийг хүснэ. Хоёроос
гурван удаа давтан тоглосны дараа багш хүүхдүүдэд хандаж: “Загас ямар хоол иддэг
вэ?” гэсэн асуулт тавина. Хүүхдүүд хариулт хэлнэ, энэ дотроос зөв хариултыг өөрсдөөр
нь олуулна. Хүүхдүүдийг урамшуулаад загасны хоол болох чийгийн улаан хорхойг
зурах, барих, наах, зохион бүтээх үйл ажиллагаанд оролцохыг урина. Хүүхдүүд өөр
өөрийн сонголтоор баг бүрдүүлж, хийх хэрэгслээ сонгоход багш чиглүүлж тусална.
Үнэлгээ: Хүүхдийн хөгжлийн ахицыг үнэлэхдээ 5.1.1 - Тоо нь тодорхой хэмжээ
илэрхийлдгийг мэднэ; 5.1.3 - Эд юмсын олон, цөөнийг ялгана; 5.2.12 - Юмсын байршлыг
хэлнэ; 5.2.8 - Биет ба хавтгай дүрсүүдийг ялгана гэсэн асуултад ажиглалт хийж болно.
Хүнд үү?, Хөнгөн үү?
Зорилго:
•	 “Хүнд, хөнгөн” гэсэн ойлголтыг туршиж мэдэх
•	 Хүндхөнгөн, живдэг живдэггүй, хөвдөг зэрэг үгсийн утгыг ойлгох
Хэрэглэгдэхүүн: Чүдэнзний мод, мөхөөлдөсний модон иш, хадаас, төмөр тоглоомын
хэсэг, савтай ус
Аргачлал:
Хүүхэд өөрийнхөө бодол саналыг хамгаалах, илэрхийлэх, бусдыг сонсох, үнэлэх
болон бусадтай тоглох, ажил үйл гүйцэтгэхдээ дуртай баяртай байх боломжийг бүрдүүлсэн
байна. Багш хүүхдүүдэд “хүнд, хөнгөн” гэдэг үгсийн утгыг хэрхэн тайлбарлах вэ? гэсэн
асуултыг тавьж, хариултыг сонсоно. Хариултаа батлан нотлох туршилтыг хийлгэнэ.
Эхлээд устай шилэн саванд шүдэнзний мод, мөхөөлдөсний модон иш, хадаас,
угсардаг төмөр тоглоомын хэсгийг хийж, гарах үр дүнг нь ажиглуулна. Хүүхдүүд өөр
хоорондоо хийж туршсан зүйлийнхээ тухай санал солилцоно.
Дараа нь өөр байдлаар туршина. Улаан, шар өнгийн хоёр завийг усан дотор чулууны
тусламжтайгаар живүүлэх, хөвүүлэх туршилт хийлгэнэ.Хүүхдээр таамаглал дэвшүүлэн,
тэр таамаглал нь үнэнүү, үгүй юу гэдгийг батлуулна. Хүүхдүүд зааврын дагуу туршилтыг
хийж, ажиглан дүгнэлт хийгээд “Яагаад?”, “Ямар учраас амархан живсэн”, “Яагаад?,
Ямар учраас живэхгүй үлдэв” гэсэн асуултад тайлбарлана.
Үнэлгээ: Хүүхдийн хөгжлийн ахицыг үнэлэхдээ 5.1.1 - Тоо нь тодорхой хэмжээ
илэрхийлдгийг мэднэ; 5.1.2 - 10-ын дотор эд зүйлсийг оноон тоолж, дүн тоог хэлнэ
гэсэн асуултад ажиглалт хийж болно.
Сүү ба ааруул
Зорилго:
•	 1-5-ын дотор тоолох, тэмдэглэх
•	 Шингэн ба бутармаг зүйлсийг хэрхэн хэмждэгийг ойлгох, хэмжих
•	 Өтгөн, шингэн, хатуу, зөөлөн зэрэг харьцуулсан үгсийг хэрэглэх
Хэрэглэгдэхүүн:Сүү,тараг, ааруул, бяслаг, шилэн сав, аяга, тоон тэмдэглэгээ бүхий
жинлүүр
Аргачлал:Хүүхдүүдийг хүсэлтээр нь баг болгоод ээлж дараалан шингэн, бутармаг
зүйлсийг хэмжих боломж олгоно.Эхлээд хоёр өөр хэмжээтэй сүү болон таргийг шилэн
савнаас жижигаягаар хэмжүүлнэ. Хэмжилтийн дараа дараах асуултын дагуухүүхдүүд
хамтдаа хэлэлцээд хариулт өгнө.
	 Сүү, тараг хоёрыг хэмжихэд ямар ялгаа гарч байсан бэ?
	 Сүү хэдэн аяга, тараг хэдэн аяга болсон бэ?
	 Тоолж харьцуулаад аль нь их, бага, дүүрэн, дундуур байна вэ? Тохирох үгийг
зөв сонгож хэлээрэй.
Ааруул, бяслагзэргийг тоон тэмдэглэгээ бүхий жинлүүр ашиглан хэмжүүлж харьцуулна.
Шингэн, бутармаг зүйлийг хэмжихэд гарсан бэрхшээл, ялгаатай зүйл юу байсныг
тайлбарлуулна. Хүүхдүүд сурсан зүйлсээ ашиглан “Дэлгүүр” сэдэвт тоглоомоор тоглоно.
Үнэлгээ:Хүүхдийн хөгжлийн ахицыг үнэлэхдээ 5.1.1 - Тоо нь тодорхой хэмжээ
илэрхийлдгийг мэднэ; 5.2.7 - 5 ширхэг эд зүйлсийг хэмжээгээр нь дараалуулна гэсэн
асуултын дагуу ажиглалт хийж болно.
Загас барья
Зорилго:
•	 Том жижиг, олон цөөнийг ялгах
•	 Оноож тоолох, өнгө нэрлэх
Хэрэглэгдэхүүн: Элс, савтай ус, хавчаар, хүүхдийн
урлаж бүтээсэн загас
Аргачлал:
Савтай ус эсвэл усыг дүрсэлсэн дэвсгэр болон
элсний хайрцганд загаснуудыг хийж тавьсан байна.
Өнгөөр нь, хэлбэр дүрсээр нь, том жижгээр нь
харгалзуулан тоолно, ялгана.
Харгалзах тоонд нь тааруулан загасаа барина.
Үнэлгээ:Хүүхдийн хөгжлийн ахицыг үнэлэхдээ 5.1.1-
Тоо нь тодорхой хэмжээ илэрхийлдгийг мэднэ; 5.2.7
- 5 ширхэг эд зүйлсийг хэмжээгээр нь дараалуулна
гэсэн асуултын дагуу ажиглалт хийж болно.
ДҮРСЛЭХ УРЛАГ
Хүрхрээ
Зорилго:
•	 Нэг өнгө (хөх өнгө) тод, гүн, цайвар зэрэг олон янз байдгийг турших 
•	 Хүрээ дагуулан хайчлах, урах, наах, цаас хуйлах аргуудыг сурах
•	 “Хүрхрээ»-ний онцлог байдлыг зохиомжлон дүрслэх
Хэрэглэгдэхүүн: Хүрхрээний тухай бичлэг, кино, өнгөт зураг, цомог, усан будаг, гуашь,
СУРГУУЛИЙНӨМНӨХБОЛОВСРОЛЫНСУРГАЛТЫНЦӨМХӨТӨЛБӨР
114 115
ХҮҮХЭДБҮХЭНДЭЭ“БИЧАДНА“ГЭСЭНИТГЭЛӨГЬЕ!
бийр, жижиг багс, иштэй хөвөн, пролон, ватум цаас, цагаан болон өнгийн цаас, цавуу,
хайч, харандаа, савх
Аргачлал:
Урьдчилсан ажиглалт, ярилцлага:
Хүүхдэд хүрхрээний тухай кино, бичлэг үзүүлж ярилцана. Хүрхрээ дүрслэн урлах
хүүхдийн саналыг өдөөж, дэмжинэ.
Дүрслэх үйл:
Том ватум цаасан дээр том хад зурж будна.
Зурсан хадыг хүрээлэн хайчилж аваад самбар болон хананд байрлуулан наана.
Том цаасыг баримжаалан 1 см өргөнтэй нарийн туузан цаас болгон хайчлах, урах үйл
хийнэ. Урсан, хайчилсан туузан цаасыг хөх, хар хөх, цэнхэр, номин цэнхэр өнгөөр
будна. Будсан туузан цаасны нэг үзүүрийг хаданд нааж нөгөө үзүүрийг харандаа, савх
модоор ороож хуйлан хүрхрээний усны хүчтэй урсгал, хөөсрөх шуугих байдлыг дүрсэлнэ.
Хүүхдүүд хүрхрээ дүрслэх үйлийн явцдаа түргэн хэллэгийг хэлцгээнэ.
Түргэн хэллэг
Гол, урсана
Горхи хоржигноно
Хүрхрээ, хүрхэрнэ
Өндрөөс буух хүрхрээний доор бяцхан гүн цөөрмийг дүрслэн том цаасыг цэнхэр,
гүн цэнхрээр будаж байрлуулна. Хүүхдүүд санаачилгаараа цөөрмийн захаар мод өвс,
цэцэг ургуулан наах зэрэг баяжилтыг хийнэ.
Хүүхдүүд хүрхрээ дүрслэн хийж дуусаад өмнө сурсан «Хүрхрээ» тоглоомыг бататган
тоглоно. Хүүхдүүд тоглоомын үгийг хэлээд гарыг алдлан дээш өргөх, долгилуулан доош
буулгах зэргээр сүрлэг хад, асар өндрөөс хүрхрэн буух усыг дүрслэн хөдөлгөөн хийж
тоглоно. Тоглоомын үгийг аялгуулан хэлж тоглож болно.
Эгц өндрөөс
Эрчлэн буух
Хүрхрэн шуугина
Хүүхдүүд биширнэ
Үнэлгээ:
Хүүхдийн хөгжлийн ахицыг үнэлэхдээ 6.1.5 - Бэлэн дүрс, зургийг янз бүрийн будгаар
хүрээнээс илүү гаргалгүй будна; 6.2.10 - Урлан бүтээхдээ бүтээлчээр хандана гэсэн
асуулгын дагуу ажиглалт хийж болно.
Бороо
Зорилго:
•	 Хүүхдүүд хамтаараа «Бороо орж буй» онцлог
байдлыг илэрхийлэн дүрслэх 
•	 Нэг өнгө (хөх, хар өнгө) тод, гүн, цайвар зэрэг олон
янз байдгийг турших 
•	 Хүрээ дагуулан хайчлах, уяж зангидах, наах,
зохиомж хийх
Хэрэглэгдэхүүн:
Борооны тухай бичлэг, кино, өнгөт зураг, цомог, харандаа, усан будаг,гуашь, бийр,
жижиг багс, иштэй хөвөн, пролон, ватум цаас,цагаан болон өнгийн цаас, цавуу,
наалдамхай тууз, утас, хайч
Аргачлал:
Урьдчилсан ажиглалт, ярилцлага:
Хүүхдэд борооны тухай кино, бичлэг үзүүлнэ, сэргээн ярилцана. Борооны дараа усан
дуслууд хэрхэн алга болдог, юу үүсгэдэг тухай ярилцана.
Дүрслэх үйл:
Ватум цаасан дээр борооны том үүл зурж будна. Зурсан үүлийг хүрээлэн хайчилж
аваад самбар болон хананд байрлуулан наана. Цаасан дээр борооны дуслыг дуурайлган
зураад будна. Дуслуудыг будаж дуусаад хүрээлэн хайчилж авна.
Утас, наалдамхай тууз ашиглан хайчилсан борооны дуслуудыг үүлнээс бороо орж буй
мэт зүүж дүүжилнэ. Борооны үүлийг том, жижиг хэд хэдийг хийж болно. Хүүхдүүд усан
дуслуудыг олноор нь хийвэл бороо орох мэт болно. “Бороо” хөдөлгөөнт тоглоом тоглоно.
Тайлбар:
Хүүхдүүд борооны дуслыг зураад будахаас гадна хөх, цэнхэр өнгийн цаасан дээр зураад
хүрээлэн хайчилж дүрсэлж болно.
Үнэлгээ:
Хүүхдийн хөгжлийн ахицыг үнэлэхдээ 6.1.4 - Үндсэн өнгийг мэднэ, хэрэглэнэ; 6.1.11
- Үзсэн харсан зүйлээ өөрийн бүтээлдээ тусгана гэсэн асуултын дагуу ажиглалт хийж
болно.
Хорготой загас
Зорилго:
•	 Туузан цаасыг уртаар нь тэнцүү нугалах, давхраар цэг хүртэл хайчлах, дэлгээд
ус дүрслэх
•	 Ам дөрвөлжин цаасаар загас эвхэх
•	 Бийрийн мөр, толбоор загас зурж дүрслэх
Хэрэглэгдэхүүн: Хорготой загас, загасны тухай бичлэг, кино, өнгөт зураг, цомог, ватум
том цаас, цагаан цаас, цэнхэр өнгийн туузан (А-4 хэмжээтэй цаасыг уртаар нь тэнцүү
хуваана.) цаас, хайч, цавуу, жижиг өнгийн цаас 2-5 ширхэг, усан будаг, гуашь, бийр
Аргачлал:
Урьдчилсан ажиглалт, ярилцлага:
Загасны амьдралын тухай бичлэг, кино, өнгөт зураг, цомогтой танилцаж ярилцана.
Бүлгийн шилэн хорготой загасыг ажиглан ярилцана.
Өмнө сурсан ам дөрвөлжин цаасаар төрөл бүрийн загас эвхэх аргыг сэргээн бататгана.
Дүрслэх үйл:
Цэнхэр өнгийн туузан цаасны урт хоёр ирмэгийг давхцуулан тэнцүү нугална. Цаасны
урт хоёр ирмэгийг голын нугалаастай давхцуулан уулзуулж дахин нугална. Ингэснээр
туузан цаас уртаараа дөрөв тэнцүү нугалагдана.
Дөрөв тэнцүү нугалсан урт цаасыг давхраар нь нарийн тууз хэлбэртэй хайчилна.
Гэхдээ бүр хуваахгүй, зурагт үзүүлсний дагуу чигчий хуруу хэрийн өргөн зай үлдээж
хоёр талаас нь хайчилна.
Хайчилсан туузан цаасыг болгоомжтой дэлгэнэ. Зурагт үзүүлсний дагуу өргөөш
нь бага зэрэг сунгаж татахад усны долгио хэлбэр үүснэ. Үүссэн усны долгиог цагаан
цаасанд нааж усыг дүрсэлнэ.
Өнгийн жижиг цаасаар загас эвхэж усны долгион дээр нааж байрлуулна. Эсвэл
хайчилсан усны долгионы хоорондын зайд бийрийн мөр толбоор загас дүрслэн зурж
болно.
Бүтээлээ хананд байрлуулж нөхдийнхөө бүтээлтэй танилцана.
Үнэлгээ:
Хүүхдийн хөгжлийн ахицыг үнэлэхдээ 6.2.10 - Урлан бүтээхдээ бүтээлчээр хандана;
6.2.11- Үзсэн харсан зүйлээ өөрийн бүтээлдээ тусгана гэсэн асуултын дагуу ажиглалт
хийж болно.
СУРГУУЛИЙНӨМНӨХБОЛОВСРОЛЫНСУРГАЛТЫНЦӨМХӨТӨЛБӨР
116 117
ХҮҮХЭДБҮХЭНДЭЭ“БИЧАДНА“ГЭСЭНИТГЭЛӨГЬЕ!
Ус
Зорилго:
•	 Хавсран зурах аргад суралцах
•	 Хавсран зурах аргаар ус дүрслэх
Хэрэглэгдэхүүн: Усан будаг, зургийн дэвтэр, лаа
Аргачлал:
Багш муруй зураасыг ашиглан усны давалгаа дүрслэн зурна. Зурсан давалгааныхаа
зургийг лаагаар давхарлан зурна. Хүүхдүүд усан будгаар зургийн дэвтрийн цаасыг жигд
бүтэн будна. Лаагаар зурсан хэсэг тодорч харагдана.
Тайлбар:
Шулуун зураасыг ашиглан хүрхрээ зурж болно.Цаасан дээр харандаагаар тахир
зураасаар усны долгио дүрслэн зурна.
Баримлын шаврыг урт нарийн цувьж, цаасан дээрх усны долгиог дагуулан тавьж зөөлөн
дарж тогтоон ус дүрсэлнэ.
Үнэлгээ:
•	 Хүүхдийн хөгжлийн ахицыг үнэлэхдээ 6.1.1 - Янз бүрийн аргаар зурна; 6.1.5
-Бэлэн дүрс, зургийг янз бүрийн будгаар хүрээнээс илүү гаргалгүй будна гэсэн
асуултын дагуу ажиглалт хийж болно.
Цасан ширхэг
Зорилго:
•	 Зураас дагуулан хайчлах, урах
•	 Туузан цаасаар цасан ширхэг
дүрслэх,наах
•	 Цасан ширхэг давтагдашгүй өөр
өөр байдгийг мэдэх
Хэрэглэгдэхүүн: Цагаан, хөх, цэнхэр өнгийн цаас, цавуу
Аргачлал:
Хүүхдүүд цагаан цаасан дээрх зураасыг дагуулан хайчлах, урах үйл хийнэ. Хүүхдүүд
хайчилж, урсан туузан цаасаар цасан ширхэг дүрслэн хөх, цэнхэр өнгийн том цаасан
дээр байрлуулж наана.
Хүүхдүүд аль болох олон янзын хэлбэр, хэмжээтэй цасан ширхэг дүрслэхийг
дэмжинэ.
Хүүхдүүд нөхдийнхөө наасан цасан ширхэгийг ажиглаж янз бүрийн хэлбэр дүрс,
хэмжээтэй байгаагажиглан ярилцана. Хийсэн цасан ширхгээ утсаар оосорлон дээрээс
зүүж цас оруулж тоглоно.
Үнэлгээ:
Хүүхдийн хөгжлийн ахицыг үнэлэхдээ 6.2.10 - Урлан бүтээхдээ бүтээлчээр хандана;
6.2.7 - Наамал хийхдээ дуртай байна гэсэн асуултын дагуу ажиглалт хийж болно.
Тайлбар:
Шулуун зураасыг янз бүрийн чиглэлд зурах аргаар цасан ширхгийг дүрсэлж болно.
Зурсан цасан ширхгээ хүрээлэн хайчилж оосорлон зүүнэ.
ХӨГЖИМ
Ая Р. Түвшинсайхан Үг В. Нэргүй
Том, жижиг
I.Заан чи яагаад II. Эрвээхий чи яагаад
Загаснаас өөр юм бэ? Элээнээс өөр юм бэ?
Загас чи яагаад Элээ чи яагаад
Заан шиг нүдтэй юм бэ? Эрвээхий шиг нисдэг юм бэ?
Заан том уу? Загас том уу? Эрвээхий жижиг үү, элээ жижиг үү?
Заан том заан том Эрвээхий жижиг Эрвээхий жижиг
Зантгар толгойтой Эрээн далавчтай
Заан том Эрвээхий жаахан жаахан
Зорилго:
•	 Дууны үгийг тогтоох
•	 Хөгжмийг сонсоод аялгуу, хэмнэлд тохируулан үгийг зөв хуваарилан дуулах
Хэрэглэгдэхүүн: Даралтад хөгжим, төгөлдөр хуур, зурагт үзүүлэн
Аргачлал:
Дууг дуулж сонсгоно. Үзүүлэн ашиглан утгыг ярилцана. Дууны үгийг мөр мөрөөр
аялгуутай холбон дуулна. Алдаатай болон хүндрэлтэй хэсгүүд дээр дахин ажиллана.
Дууны хэмнэлд тохируулан хөдөлгөөн хийнэ Утга санааг үйл хөдлөл, нүүрний хувирлаар
илэрхийлнэ.
Үнэлгээ:Хүүхдийн хөгжлийн ахицыг үнэлэхдээ 7.1.3 - Хөгжмийг сонсоод аялгуу, хэмнэлд
тохируулан үгийг зөв хуваарилан дуулна; 7.1.4 - Нийтээр дуулахдаа бусдыг сонсож,
хамтарч дуулна гэсэн асуултын дагуу ажиглалт хийж болно.
Сонсоод гүйцэтгэ
Зорилго:
•	 Чимээг сонсоод юуны чимээ болохыг мэдэх
•	 Мэдрэмж, төсөөллөө дүрслэн зурах
Хэрэглэгдэхүүн: Усны урсгал, хүрхрээний чимээ, хуурцагт хөгжим, цаас, өнгийн
харандаа
Аргачлал:
Хөгжмийг сонсоод аялгууг ямар зураасаар дүрсэлж болох вэ?
Хөгжмийг сонсоод аялгууг ямар өнгөөр илэрхийлэх вэ?
СУРГУУЛИЙНӨМНӨХБОЛОВСРОЛЫНСУРГАЛТЫНЦӨМХӨТӨЛБӨР
118 119
ХҮҮХЭДБҮХЭНДЭЭ“БИЧАДНА“ГЭСЭНИТГЭЛӨГЬЕ!
Үнэлгээ:
Хүүхдийн хөгжлийн ахицыг үнэлэхдээ 7.1.1 - Хөгжмийг дуртайяа сонсож, дүрслэлээ
илэрхийлнэ гэсэн асуултын дагуу ажиглалт хийж болно.
3.2. “Өглөөний тойрог”-ийн зарим жишээ
Шинэ өглөөг таатай угтах, хүүхдийн зан байдлыг эерэгээр удирдах, тухайн өдөр
явагдах үйл ажиллагаанд хүүхдийг өдөөх, хүүхдүүдэд бие биеэ сонсох, сэтгэл санаагаа
хуваалцах боломж олгох үүднээс цэцэрлэгүүд “Өглөөний тойрог”-ийг янз бүрийн арга
хэлбэрээр явуулдаг туршлагатай болж байна.
Тойргийн цагт бүх хүүхэд оролцоно. Хүүхдүүд хивсэн дээр эсвэл сандлаа тойрог
хэлбэрээр байрлуулан сууна. Тойргийн цаг нь өдөр бүр тогтмол цагт явагддаг учраас
яваандаа хүүхдүүд өөрсдөө багшийн сануулгагүйгээр суудлаа эзэлдэг болно. Хүүхдүүдийг
хүлээлгэж сонирхлыг нь бууруулахгүйн тулд багштухайн өдөр хэрэглэх хэрэглэгдэхүүнээ
бэлтгэсэн байна.Хүүхдэд өмнө нь сурч мэдсэн зүйл, оролцсон үйл явдлыг сэргээх, тухайн
өдөр юу хийх гэж байгаа зэргийг тайлбарлахад багшид карт, ном, зураг, биет үзүүлэн,
зургийн хэрэгсэл гэх мэт зүйлс хэрэг болно.
Тойргийн цагийн үргэлжлэх хугацааг нас болон хүүхдүүдийн тухайн өдрийн зан
байдалд тохируулан тогтооно. Хүүхдүүд идэвхтэй, оролцоо сайн байвал цаг амархан
өнгөрнө. Хүүхдүүд тухайн өдөр их хөдөлгөөнтэй байвал хугацааг богиносгож болно.
Ихэвчлэн 15-20 минут үргэлжилнэ, бага ангид үүнээс богино хугацаатай байж болно.
“Өглөөний тойрог”-ийг эхлэх
Хүүхдийг цэцэрлэгтээ буюу яг одоо тойргийн цагтаа цуглараад байгааг илтгэсэн дуугаар
эхэлбэл илүү зохистой.
Дорнод аймгийн 1 дүгээр цэцэрлэгийн тойргийн мэндчилгээнээс
Өглөөний тойргийг дасгалаа хийж, төрийн дуулал сонсож хүндэтгэл үзүүлсний дараа
хийнэ. Багш, хүүхдүүдтэй хамт:
Гар гараасаа бариарай
Гар гараасаа бариарай
Том тойрог болоорой
Том тойрог болоорой гэж дуулахад хүүхдүүд гар гараасаа барин том тойрог болж
зогсоно. Сайн байна уу? мэндчилгээний дууг бүгдээрээ хамтран дуулна.
Сайн байна уу? Сайн байна уу? Найзуудаа
Баруун,зүүн гараараа ээлжлэн даллах хөдөлгөөн хийнэ.“Найзуудаа” гэхэд хоёр гараа
дээш өргөн даллана.
Сайн байна уу? Сайн байна уу? Багшаа
Хоёр гараа урагш болгоно. Золгож буй хөдөлгөөн хийнэ.
Бүгдээрээ уулзсандаа баяртай байна.(Хөгжмийн хэмнэлд тохируулан алгаа ташна.)
Сайхан амарцгаасан уу? (2 гараа дээш өргөн даллана.)
Дуугаа дуулж дуусаад хүүхдүүд тойргоор өвдгөө нугалан сууж найзтайгаа мэндэлнэ.
(Өвдгөө нугалан суух нь эрүүл мэндэд ач холбогдолтой.)
Найзтайгаа мэндлэхдээ нэрийг нь бүтэн хэлнэ.
Жишээ нь: Сайн байна уу? Пүрэврагчаа, Сайхан амарсан уу?
Мэндчилгээг багш хэсгээр буюу нийтээр нь хийлгэж болно. Мэндчилгээ хийж дуусаад
дараагийн үйл ажиллагаанд шилжинэ.
Мөн багш нар өөрсдөө мэндчилгээний дуу зохиож, хүүхдүүдтэйгээ хамтдаа дуулж болно.
Жишээ нь: “Тавтай морил”, “Өглөөний мэнд”. Дууны үгсийг аль нэг цоглог дууны аянд
эсвэл өөрөө ая зохион тогтсон дуутай болоод авч ч болох юм.
“Тавтай морил” дуу
Өнөөдөр Болд энд байна
Өнөөдөр Болд энд байна
На на на на на на
Өнөөдөр Болд энд байна
(Хүүхэд нэг бүрийн нэрийг хэлж, алгаа ташиж, багш хамтран дуулна. Хүүхэд үлгэр
зохиол, дуу шүлгэнд өөрийнх нь нэрийг оруулан хэлэхэд их дуртай байдаг бөгөөд
тойргийн цагаар ингэж дуулах нь ирцийг давхар бүртгэх сайн талтай.)
“Өглөөний мэнд” дуу
Өглөөний мэнд, өглөөний мэнд
Өглөөний мэнд чамд хүргэе
Бидний өдөр эхэлж байна
Бүгдээрээ их зүйлийг хийцгээе ээ
(Багш, хүүхдүүд хамтран алгаа ташин дуулна. Хүүхэд бүрийг тухайн өдөр асар олон зүйл
хийх болно гэсэн эрч хүч, дохио өгч сэдэлжүүлнэ.)
Орхон аймгийн 10 дугаар цэцэрлэгийн
“Өглөөний тойрог”-ийн үйл ажиллагаанаас
Хүүхэд бүр тухайн өдрийн сэтгэл
санааныхаа байдлыг зураг болон
яриагаар илэрхийлнэ.
Хэрэглэгдэхүүн: Сэтгэл санааны
байдлыг илэрхийлсэн зурагт хуудас,
хүүхэд бүрийн таних тэмдэг
Явц: Хүүхэд цэцэрлэгтээ ирээд
	 Айсан
	 Ичсэн
	 Гайхсан
	 Нойрмоглосон
	 Өвдсөн
	 Уурласан
	 Баярласан зэрэг сэтгэлийн хөдөлгөөн илэрхийлсэн зурагт хуудасны аль нэг
дээрсэтгэл санаа нь ямар байгааг илэрхийлж, таних тэмдгээ тогтооно. Найз нөхдөдөө
мэндчилгээ дэвшүүлсний дараагаар өөрийнхөө сэтгэл санааны байдлыг илэрхийлнэ.
Жишээ нь:
-	 Би цэцэрлэгтээ ирэхдээ ааваараа хүргүүлсэн болохоор баяртай ирсэн.
-	 Цас орсон болохоор гайхсан.
-	 Би өглөө босохдоо нойрмоглосон. Яагаад гэвэл би их орой унтсан гэх мэтээр
ярилцах ба бусад нөхөд нь сонсож, өөрийн ээлж ирэхэд мөн ярина.
Дараа нь хүүхдүүд оюун ухаан хөгжүүлэх цэгт иллэг хийнэ.
Тойргийн цагийг бид хэл яриа хөгжүүлэх цаг гэж чухалчлан үздэг учраас багш
заримдаа тодорхой сэдвээр чиглүүлж өгдөг.
“Өглөөний тойрог”-ийн зарим санаа
-	 Хэрвээ 1 дэх өдөр бол амралтын өдрүүдээр юу хийсэн тухай ярилцана. Бусад өдөр нь
өчигдөр цэцэрлэгээ тараад гэртээ юу хийсэн тухай, мөн тухайн өдрийн тухай ярихыг
хүсэж буй хүүхдээр яриулж болно. Заримдаа ярих сонирхолгүй хүүхдийг багш өдөөн
яриулж бас болно.
-	 Цаг агаарын тухай асууж ярилцана. Хүүхдүүдтэйгээ хамт бүтээсэн цаг агаарын хуанли
ашиглаж, тэмдэглэж болно.
СУРГУУЛИЙНӨМНӨХБОЛОВСРОЛЫНСУРГАЛТЫНЦӨМХӨТӨЛБӨР
120 121
ХҮҮХЭДБҮХЭНДЭЭ“БИЧАДНА“ГЭСЭНИТГЭЛӨГЬЕ!
-	 Өмнө нь сурсан зүйлсийг сэргээн сануулж ярилцана. Санаж ярьсан хүүхдийг стикер,
таван хошуу зэргээр урамшуулж болно.
-	 Өнөөдөр ямар хөгжүүлэх үйл ажиллагаа явуулах, ач холбогдол нь юуболох, хэрхэн
түүнд оролцох, “Багш нь тэднийг сайн байна.” гэдэгт итгэж байгаагаа хэлэх зэргээр
хүүхдийг тухайн өдрийн явуулах үйл ажиллагаанд идэвхтэй оролцохыг уриалан,
сэдэлжүүлнэ.
-	 Хүүхэд тухайн өдөр өөрсдөө юу хийхээр төлөвлөж ирснээ ярьж танилцуулна.
Дээрх санаануудыг бүгдийг нэг дор гүйцэлдүүлнэ гэж үгүй. Багш та өөр олон сайхан
шинэлэг санаа олж, тойргийн цагаа хөгжилтэй, үр дүнтэй зохион байгуулаарай.
	 Зарим жишээ
Тухайн үед ажиллаж байгаа сэдэвтэйгээ уялдуулан “Тойргийн цаг”-аар тодорхой үйл
ажиллагаануудыг бэлтгэн явуулж бас болно. Энд зарим жишээг харууллаа.
Юу алга болов?
Хэд хэдэн жижиг зүйлсийг цар дээр байрлуулсан байна.Нэг бүрээр нь хүүхдүүдэд
харуулж, нэрлүүлнэ. Цар дээр байгаа зүйлсийг алчуураар бүтээнэ. Бүтээх үедээ ямар
нэг зүйлийг сугалан авна. Алчуурыг буцаан аваад юу байхгүй болсныг хүүхдүүдээр
олуулна, тайлбарлаж ярилцана. Тэр олсон зүйл нь тухайн өдөр явуулах хөгжүүлэх үйл
ажиллагааны сэдэвтэй уялдсан байвал зохистой.
“Хувцаслах” тоглоом
Нарны шил, малгай, ороолт, цамц, бээлий гэх мэт хувцас, хэрэгслээр дүүргэсэн уут байна.
Хөгжим тавихад хувцастай уутыг хүүхдүүд тойруулан бие биедээ дамжуулна. Хөгжим
зогсмогц ууттай хувцсыг барьж буй хүүхэд ямар нэгэн хувцсыг сонгон авч өмсөнө. Юу
авсан, түүнийгээ өмсөнө. Хүүхдүүд өмссөн хувцсаа хараад маш их хөгжилддөг бөгөөд энэ
тоглоомд их дуртай байх болно. Уутыг хоосортол нь тойруулж, тоглоомыг үргэлжлүүлнэ.
Нохой, муурны хөөцөлдөөн
Тойргоор сууж буй хүүхдүүдэд зөөлөн материалаар хийсэн муур өгнө. Эхний хүүхдээс
дараагийн хүүхдэд гэх мэтээр тойруулан дамжуулна. Муур тойргоор хэд хэд дамжсаны
дараа өөр нэг хүүхдэд нохой өгнө. Хоёулаа зэрэг хүүхдүүдийн гардамжинтойрно.“Нохой
муурыг барьж чадах нь уу?” гэдгийг харна. Үүний үр дүн нь асар их хөгжилдөөн инээдэм
болдог.
Бамбаруушийг дуурайх
Багш чихмэл бамбарууш өвдөг дээрээ авч суусан байна. Хүүхдүүдийг тойрог хэлбэрээр
зогсоон бамбаруушийн хөдөлгөөнийг дуурайлгана. Бамбаруушийг дээш үсэргэнэ, гараа
хөлд нь хүргэнэ, гарыг нь толгойд хүргэнэ, алга ташна, хөлөө дэвсэлнэ, гараа даллана
... гэх мэт. Энэ нь хөгжмийн аяар явагдана.
Олбогоо солих
Хүүхдүүд олбогон дээрээ (Мөн сандлынхаа урд зогсож болно.) зогсоно. Хүүхдүүдийн
дуртай зүйлсийг нэрлүүлнэ. Жишээ нь: Тэд “Миний дуртай зайрмаг бол ...”, “Би эрвээхий
харах дуртай.”, “Манай нохой хөөрхөн”, “Би тоглоомон морь жолоодох дуртай.” гэх мэтээр
хариулна. Аль нэг хүүхдийн хэлсэн дуртай зүйл өөрт нь таалагдвал хүүхэд түүнтэй
олбогоо (сандлаа) сольж зогсоно. Энэ нь хүүхэд бусдынхаа талаар энгийн зүйлсийг
мэдэж авах сайн талтай.
…Зоригтой хүн ажлыг эхлүүлж,
хариуцлагатай хүн амжилттай хийж,
сэтгэлтэй хүн чанартай дуусгадаг.
Зөвлөмж боловсруулсан:
Сургуулийн өмнөх боловсролын сургалтын цөм хөтөлбөрийн багийн гишүүд
Ном зүй:
1.	 Сургуулийн өмнөх боловсролын сургалтын цөм хөтөлбөр, БСШУ-ы сайдын 2015
оны ... тушаал
2.	 KOMPIK Beobachtungs-und Einzaetzungsbogen fuer Kinder von 3,5 bis 6 Jahre,
Toni Mayr, Christina Bauer und Martin Krause/ Dezember 2010, Staatsinstitut fuer
Fruehpaedagogik
3.	 Монгол улсын стандарт, БАГА,ДУНД БОЛОВСРОЛ, 1-р хэсэг: Сургуулийн өмнөх
боловсролын агуулга, Стандарт, хэмжил зүйн үндэсний төв, 1998 оны 13 дугаар
тогтоол
4.	 Сургуулийн өмнөх боловсролын сургалтын үлгэрчилсэн цөм хөтөлбөр
2000	 он, Улаанбаатар, Гэгээрлийн яам, Боловсролын хөгжлийн сургууль
5.	 “Сургуулийн өмнөх боловсролын сургалтын талаар баримтлах бодлого”,
БСШУ-ы сайдын 2007 оны 20 дугаар тушаал
6.	 “Сургуулийн өмнөх боловсролын сургалтын талаар баримтлах бодлого”,
БШУ-ы сайдын 2013 оны А327 тоот тушаал
7.	 Т.Эрдэнэчимэг, “Багачуудынбиебялдрыгхөгжүүлэхсургалтыноноларгазүй”,
2014 он, УБ
8.	 Л.Алтансувд, “Бага насны хүүхдийн математикийн энгийн төсөөлөл хөгжүүлэх
арга зүй”, 2008 он, УБ
9.	 Ц.Наранцэцэг, Сургуулийнөмнөхнасныхүүхдийнхэляриагхөгжүүлэхаргазүй,
2008 он, УБ
10.	 Н.Норжхорлоо, Т.Энхмаа. Я.Отгонжаргал “Бага насны хүүхдийн сургалтын
хөтөлбөр” 2007 он, УБ
11.	 Л.Алтансувд, “Сургуулийн өмнөх насны хүүхдийн сэтгэцийн хөгжлийн
оношилгоо”, 1999 он, УБ
12.	 “Багшид өгөх зөвлөмж”, Emthaty хэвлэлийн газар
13.	 М.Шинэцэцэг, “Ус- Чандмань эрдэнэ” /Монтессори хичээл/, 2012 он, УБ
------- о О о ------
ХАВСРАЛТ
•	 Төрөөс боловсролын талаар баримтлах бодлого
2014-2024
•	 Сургуулийн өмнөх боловсролын сургалтын талаар
баримтлах бодлого
•	 Сайдын зурвас
125
124
СУРГУУЛИЙНӨМНӨХБОЛОВСРОЛЫНСУРГАЛТЫНЦӨМХӨТӨЛБӨР
ТӨРӨӨС БОЛОВСРОЛЫН ТАЛААР
БАРИМТЛАХ БОДЛОГО
СУРГУУЛИЙНӨМНӨХБОЛОВСРОЛЫНСУРГАЛТЫНЦӨМХӨТӨЛБӨР
126 127
ХҮҮХЭДБҮХЭНДЭЭ“БИЧАДНА“ГЭСЭНИТГЭЛӨГЬЕ!
Монгол Улсын Их Хурлын 2015 оны
12 дугаар тогтоолын хавсралт
ТӨРӨӨС БОЛОВСРОЛЫН ТАЛААР БАРИМТЛАХ БОДЛОГО
/2014-2024 он/
Нэг. Нийтлэг үндэслэл
1.1.	 Боловсрол нь иргэн бүрийн насан туршийн амьдралын чанарыг дэмжин баталгаажуулах,
улс орны нийгэм, эдийн засаг, шинжлэх ухаан, технологийн хөгжлийн түлхүүр хүчин зүйл, үндэсний
тусгаар тогтнол, аюулгүй байдлын баталгаа хэмээн үзэж, Монгол Улсын төрөөс боловсролыг
нийгмийн тэргүүлэх салбар болгон хөгжүүлнэ.
1.2.	 Төрөөс боловсролын талаар баримтлах бодлогын зорилго нь иргэн бүр авьяас, чадвараа
хөгжүүлэн, үр бүтээлтэй хөдөлмөрлөж, аз жаргалтай амьдрахад шаардагдах мэдлэг,
чадвар, чадамжийг эзэмшин, ёс суртахуун, хүмүүнлэг ёсыг дээдлэн сахиж, үндэсний
нийтлэг үнэт зүйлсийг өвлөн насан туршдаа суралцах боломжоор хангах зорилго бүхий үйл
ажиллагааны цогц тогтолцоо бүрдүүлэхэд оршино.
1.3.	 Төрөөс боловсролын талаар баримтлах бодлого нь дараах зорилтыг хэрэгжүүлэхэд
чиглэнэ:
1.3.1.	боловсролыг хөгжүүлэх бодлого, стратеги, төлөвлөгөө, хөтөлбөр, төсөл
боловсруулах, хэрэгжүүлэхэд бодлого боловсруулагч, хэрэгжүүлэгч, мэргэжлийн
холбоо, эрдэм шинжилгээний байгууллага, судлаач, иргэний оролцоог хангах;
1.3.2.	 боловсролын талаар шийдвэр гаргах үйл явц нь нээлттэй, ил тод, судалгаа,
нотолгоонд суурилсан, сайн засаглалын зарчимд нийцсэн байх;
1.3.3.	 боловсролын байгууллагын хөгжлийн бодлого, төлөвлөлтийг бүтэц, байршил,
онцлог хэв шинжид уялдуулан уян хатан тогтоож байх;
1.3.4.	 боловсролын удирдлагын бүх түвшинд төрийн болон орон нутгийн, мэргэжлийн,
олон нийтийн төлөөллийн байгууллагын бүрэн эрх, үйл ажиллагааны зааг ялгаа,
уялдаа холбоог тогтоож, эрх зүйн хувьд баталгаажуулах;
1.3.5.	 боловсролын салбарын удирдлагын мэдээллийн нэгдсэн системийг хөгжүүлж,
мэдээллийн ил тод, аюулгүй байдлыг хангах, дэд бүтцийг өргөтгөх.
Хоёр.Боловсролын хөгжлийн талаар
баримтлах зарчим
2.1.	 Төрөөс боловсролын талаар баримтлах бодлогыг хэрэгжүүлэхэд дараах зарчмыг
баримтална:
2.1.1.	 иргэн бүрд үзүүлэх боловсролын үйлчилгээ нь олон улсад хүлээн зөвшөөрөгдөхүйц
чанартай, хүртээмжтэй байх;
2.1.2.	 уламжлалт зан заншил, түүх, соёлын онцлогийг шингээсэн ерөнхий боловсролыг
иргэн бүр заавал эзэмших, малчин өрхийн хүүхдийн хэрэгцээ, шаардлагыг
харгалзсан бодлого явуулах;
2.1.3.	 боловсролын үйл хэргийг төрийн зүгээс нэгдсэн бодлого зохицуулалт, санхүүгийн
тогтвортой эх үүсвэрээр хангаж, аж ахуйн нэгж, олон нийт, иргэдийн оролцоог
дэмжин, ил тод, нээлттэй, хяналттай байлгах;
2.1.4.	 хүний эрх, эрх чөлөө, нэр төр, эрдмийн эрх чөлөө, ардчиллын үнэт зүйлс, үндэсний
түүх, хэл, соёл, өв уламжлал, зан заншлыг хүндэтгэх;
2.1.5.	 боловсролын байгууллагын үйл ажиллагаа нь ялгаварлан гадуурхалтаас ангид,
иргэдийн эрх ашиг, эрүүл мэнд, ёс суртахуун, нийгмийн аюулгүй байдалд харшлахгүй
байх;
2.1.6	 боловсролын байгууллагын багш, ажилтан, суралцагчийн эрхийг хүндэтгэж, тэдний
эрх зөрчигдөхөөс урьдчилан сэргийлэх;
2.1.7	 боловсролын бодлого, үйл ажиллагаа тогтвортой, тасралтгүй, нээлттэй, техник,
технологийн дэвшилд суурилсан, залгамж холбоотой байх;
2.1.8.	 иргэдийн насан туршид суралцах хэрэгцээ, суралцагчийн сонирхол, авьяас,
чадвар, хөгжлийн онцлогт нийцсэн, тэдэнд тэгш боломж олгосон, олон хувилбартай,
чөлөөтэй, нээлттэй байх;
2.1.9.	 албан болон албан бус боловсролын нийт байгууллагыг бүх насны иргэдийн
боловсролын хэрэгцээнд нийцсэн үйлчилгээ үзүүлэх чадамжтай болгох;
2.1.10.	бүх шатны боловсролын үйл ажиллагаанд иргэдийн эрх ашиг, эрүүл мэнд, ёс
суртахуун, нийгмийн аюулгүй байдалд сөрөг нөлөө үзүүлж болзошгүй хүмүүнлэг
бус үзэл, онол сурталчлах, аль нэг нам, эвслийн үзэл суртал тулгах, мансууруулах
бодис, хүн болон байгаль орчинд ноцтой сөрөг нөлөө үзүүлэхүйц үйлдвэрлэл, ажил,
үйлчилгээг зохион байгуулахыг хориглох.
Гурав.Боловсролын хөгжлийн стратеги,
удирдлага, зохион байгуулалт
3.1.	 Боловсролын үйл хэргийг удирдахад төрийн болон нутгийн захиргааны, иргэний нийгмийн
байгууллага, гэр бүл, нийгмийн бүх салбарын оролцоонд суурилсан хамтын ажиллагааг
бэхжүүлнэ.
3.2.	 Сургуулийн өмнөх боловсролыг “хүүхдийг сургах, сургуульд бэлтгэх” гэсэн зорилгоос
илүүтэйгээр хүний хөгжлийн үндэс, өөрийн онцлог, чадвар, бүтээлч үйлээрээ хөгжих, насан
туршийн боловсролын суурь үе хэмээн хөгжүүлнэ.
3.3.	 Бага боловсролыг эх хэлний чадамжийг эзэмших боломжийг бүрдүүлэн бүтээлч, сурах арга
барилтай монгол хүүхэд төлөвших үе хэмээн хөгжүүлнэ.
3.4.	 Суурь боловсролыг амьдрах ухаан, шинжлэх ухааны суурь мэдлэг, чадвар, бие даан
бүтээлчээр суралцах чадамж эзэмших үе хэмээн хөгжүүлнэ.
3.5.	 Бүрэн дунд боловсролыг сонголттой, уян хатан хөтөлбөрөөр мэдээлэл боловсруулах,
шийдвэр гаргах чадвар бүхий, ирээдүйд эзэмших мэргэжлийн суурь баримжаа олгох үе
хэмээн хөгжүүлнэ.
3.6.	 Дээд болон мэргэжлийн боловсрол нь хөдөлмөрийн даяарчлагдсан зах зээлд амжилттай
өрсөлдөх, бие даан ажлын байр бий болгох, улс үндэстний болон орон нутагт тулгамдаж
байгаа асуудлыг үндэсний онцлогт тулгуурлан шийдвэрлэх, үндэсний инновацийн чадавхыг
бэхжүүлэхэд хувь нэмрээ оруулах чадамж эзэмших үе хэмээн хөгжүүлнэ.
3.7.	 Бүрэн дунд, мэргэжлийн, дээд боловсролын агуулга, боловсролын зэргийг харилцан хүлээн
зөвшөөрөх тогтолцоог бүрдүүлнэ.
3.8.	 Боловсролын байгууллагад өмчийн хэлбэр харгалзахгүй адил тэгш шаардлага тавьж, хууль
тогтоомжийн хүрээнд дэмжлэг үзүүлнэ.
3.9.	 Ерөнхий боловсрол нь 12 жилийн тогтолцоотой байх бөгөөд ерөнхий боловсрол эзэмших
сургалтын тасралтгүй, залгамж чанарыг хангаж, олон улсад хүлээн зөвшөөрөгдсөн шатлал,
бүтцийг баримтална.
3.10.	Боловсролын байгууллагын орчинд суралцагчийг эрсдэлд өртөхөөс урьдчилан сэргийлэх,
нийгмийн сөрөг үзэгдлээс хамгаалах нөхцөл, боломжийг бүрдүүлнэ.
3.11.	 Боловсролын салбарт гарч байгаа бүтээлч санал, санаачилга, үйл ажиллагааг дэмжин, түгээн
дэлгэрүүлнэ.
3.12.	Боловсролын салбарт жендэрийн тэгш байдлыг хангах бодлого боловсруулж, үе шаттай
хэрэгжүүлнэ.
3.13.	 Боловсролын хөгжлийн стратегийг тодорхойлох, нийтлэг зохицуулалт хийхэд зөвлөх эрх бүхий
мэргэжлийн гишүүдээс бүрдсэн боловсролын зөвлөлийг байгуулж, тогтвортой ажиллуулна.
3.14.	 Насантуршийнболовсролынүйлчилгээнийтөрөл,хэлбэр,сургалтынбайгууллагыгөргөжүүлэн
бэхжүүлнэ.
3.15.	Боловсролын байгууллагын хараат бус, бие даасан байдал, дээд болон мэргэжлийн
боловсролын байгууллагын академик эрх чөлөөг хангана.
3.16.	 Дээд боловсролын байгууллагын судалгааны үйл ажиллагааг дэмжинэ.
3.17.	 Дээд болон мэргэжлийн боловсролыг хөгжлийн бодлого, хөдөлмөрийн зах зээлийн эрэлт,
нийлүүлэлттэй уялдуулна.
3.18.	Бүх шатны боловсролын байгууллагын үйл ажиллагаанд өөрийн үнэлгээ, дотоод
мониторингийн тогтолцоог хөгжүүлнэ.
СУРГУУЛИЙНӨМНӨХБОЛОВСРОЛЫНСУРГАЛТЫНЦӨМХӨТӨЛБӨР
128 129
ХҮҮХЭДБҮХЭНДЭЭ“БИЧАДНА“ГЭСЭНИТГЭЛӨГЬЕ!
Дөрөв. Боловсролын агуулга, стандарт, сургалтын
технологи, чанарын үнэлгээ
4.1.	 Иргэн бүрд насан туршдаа боловсрол эзэмших орчин, нөхцөл, боломжийг бүрдүүлэн, нас,
бие, сэтгэцийн онцлог, авьяас, хүсэл, сонирхолд нийцүүлж мэргэжил, чадвараа дээшлүүлэх
сургалтын төрөл, хэлбэрийг дэмжин хөгжүүлнэ.
4.2.	 Боловсролын олон улсын хөгжлийн чиг хандлагад нийцүүлэн орон нутаг, үндэсний онцлогт
суурилсан музей, кино, хэрэглэгдэхүүн, лабораторид түшиглэн үйлийн явцад суралцах
боломжийг бүрдүүлэхэд бүх талын оролцоог хангана.
4.3.	 Боловсролын агуулга, стандарт, сургалтын технологи, сурах бичиг, бусад хэрэглэгдэхүүн,
сургалтын байгууллагын үйлчилгээнд тавих стандарт, шаардлагыг тогтвортой мөрдөн, чанар,
үр дүнг тогтмол үнэлж зохицуулалт хийнэ.
4.4.	 Бүх шатны сургалтыг төрийн албан ёсны хэл, бичгээр явуулж, уламжлалт монгол бичгийн
сургалт, хэрэглээг үе шаттай нэмэгдүүлнэ. Суралцагчдын дийлэнх олонх нь хүн амын өөр
хэл бүхий үндэстний цөөнх байвал эх хэлээрээ бага боловсрол эзэмших нөхцөл, боломжоор
хангаж, хос хэлний сургалтын бодлого, хөтөлбөр хэрэгжүүлнэ.
4.5.	 Гадаад улсад амьдарч байгаа монгол хүүхдэд үндэсний боловсролын суурь чадамж
эзэмшүүлэх хөтөлбөр хэрэгжүүлнэ.
4.6.	 Бүх шатны сургалтын хөтөлбөр, агуулга, арга зүйд монголын түүх, хэл, соёл, үндэсний өв
уламжлал, зан заншил, эх оронч сэтгэлгээ, хувь хүний төлөвшил, хөгжил, хүн төрөлхтний
нийтлэг үнэт зүйлийг тусган хэрэгжүүлнэ.
4.7.	 Гадаад хэлний сургалтыг эх хэлний суурь чадамжийг бүрэн эзэмшүүлэхтэй уялдуулан зохион
байгуулах ба сургуульд заах үндсэн гадаад хэл нь англи хэл байна.
4.8.	 Сургуулийн өмнөх, бага, суурь, бүрэн дунд боловсролын стандарт, цөм хөтөлбөрийг төрөөс
тогтоож, чанар, үр дүнг үнэлнэ.
4.9.	 Суралцагч бүрийн авьяас, чадвар, сонирхлыг харгалзан ахлах ангид стандартаас давсан
агуулгаар сургалт зохион байгуулахыг дэмжинэ.
4.10.	 Бүх шатны боловсролын хөтөлбөрт сайн дурын үйл ажиллагааны төрөл, агуулга, хэлбэрийг
тодорхойлж хэрэгжүүлнэ.
4.11.	Дээд болон мэргэжлийн боловсролын сургалтын хөтөлбөрийг хөгжлийн бодлого,
хөдөлмөрийн зах зээлийн эрэлт, нийлүүлэлт, шинжлэх ухаан, технологийн дэвшил, иргэдийн
сурах хэрэгцээ, ажлын байранд тавих шаардлагатай уялдуулан тасралтгүй хөгжүүлнэ.
4.12.	Дээд болон мэргэжлийн боловсролын чанарын баталгаажилт, магадлан итгэмжлэлийн
тогтолцоог төгөлдөржүүлэх, олон улсын сургалтын хөтөлбөр, боловсролын зэргийг харилцан
хүлээн зөвшөөрөх нөхцөлийг бүрдүүлнэ.
4.13.	Дээд болон мэргэжлийн боловсролыг олон улсын нийтлэг жишгийг баримжаалан төрөл
бүрийн хэв шинжтэйгээр хөгжүүлнэ.
	 Тав. Хүний нөөцийн хөгжлийг дэмжих тогтолцоо
5.1.	 Багш бэлтгэх сургалтын байгууллагын хөгжлийг дэмжсэн эрх зүйн орчныг сайжруулж, бүх
талын дэмжлэг үзүүлнэ.
5.2.	 Багшийн мэргэжлийн ур чадвар, нэр хүнд, ёс зүй, шаардлага, хариуцлагыг өндөржүүлэн,
хөдөлмөрийг бодитой үнэлэх тогтолцоог бүрдүүлнэ.
5.3.	 Боловсролын мэргэшсэн удирдах болон бусад ажилтныг хүний нөөцийн төлөвлөлт,
бодлоготой уялдуулан сургаж бэлтгэх, дадлагажуулах, тогтвор суурьшилтай ажиллах
нөхцөлийг бүрдүүлнэ.
Зургаа. Боловсролыг тогтвортой хөгжүүлэх
эдийн засаг, санхүүжилтийн тогтолцоо
6.1.	 Бүх шатны боловсролын байгууллагын үйл ажиллагааны санхүүжилт, хөрөнгө оруулалтын
хэмжээг үйлчилгээний стандарт, чанар, хүрэх үр дүнтэй уялдуулан тогтооно.
6.2.	 Боловсролын санхүүжилтийг олон эх үүсвэртэй болгох, зориулалтын дагуу үр өгөөжтэй
ашиглана.
6.3.	 Багш, ажилтан, суралцагчийн хөгжлийг дэмжих, нийгмийн асуудлыг шийдвэрлэх санхүүгийн
уян хатан, үр дүнтэй тогтолцоог бүрдүүлнэ.
6.4.	 Сургалтын материаллаг баазыг бэхжүүлэхэд үндэсний үйлдвэрлэл, хөрөнгө оруулагчдыг
дэмжинэ.
6.5.	 Бүх шатны сургалтын байгууллагыг хүний нөөцийн хөгжил, хөрөнгө оруулалт, санхүүжилтээр
дэмжсэн аж ахуйн нэгж, байгууллага, олон улсын байгууллага, хандивлагч орны зээл,
тусламж, иргэдийн бодит дэмжлэгийг хөхиүлэн дэмжинэ.
6.6.	 Боловсролын салбарын төсвийг дотоодын нийт бүтээгдэхүүний өсөлттэй уялдуулан
тогтвортой нэмэгдүүлж, захиран зарцуулах эрх мэдлийг орон нутагт шилжүүлнэ.
6.7.	 Сургуулийн өмнөх боловсролын үндсэн зардлыг төрөөс санхүүжүүлж, хоолны зардлыг эцэг
эх, асран хамгаалагч нь хуваалцах зарчмыг баримтална.
Долоо. Боловсролын салбар дахь хамтын ажиллагаа,
бодлогын хэрэгжилт, үнэлгээ, шалгуур
А.Хамтын ажиллагаа, түншлэл:
7.1.	 Иргэдийн насан туршийн боловсрол эзэмших үйл хэргийг хөгжүүлэхэд төр, дотоод, гадаадын
олон нийт, мэргэжлийн байгууллага, аж ахуйн нэгж, иргэдийн оролцоо, хувь нэмрийг хөхиүлэн
дэмжиж, түншлэлийг өргөжүүлэн хүлээх үүрэг, хариуцлагыг дээшлүүлнэ.
7.2.	 Олон улс, бүс нутгийн боловсролын байгууллагын үйл ажиллагаанд идэвхтэй оролцох,
хамтарсан хөтөлбөр, төсөл хэрэгжүүлэх, харилцан мэдээлэл солилцох, бодлогыг уялдуулан
зохицуулна.
7.3.	 Дэлхийн болон олон улсын боловсролын төрөлжсөн байгууллагад гишүүнээр элсэх, салбар,
нэгж байгуулах, конвенцид нэгдэн орохыг дэмжинэ.
Б.Бодлогын хэрэгжилт, үнэлгээ:
7.4.	 Боловсролын хууль, эрх зүйн баримт бичиг, хөгжлийн хөтөлбөр, бодлого, стратеги төлөвлөгөө
боловсруулж хэрэгжүүлэхэд энэхүү бодлогыг иш үндэс болгож, шаардагдах хөрөнгийг жил
бүрийн улсын төсөвт тусган хэрэгжүүлнэ.
7.5.	 Төрөөс боловсролын талаар баримтлах бодлогын хэрэгжилтийн явцад хяналт-шинжилгээ,
үнэлгээ хийж, хоёр жил тутам Монгол Улсын Засгийн газар Улсын Их Хуралд тайлагнаж,
боловсролын чанарын үр дүнд тогтмол үнэлэлт, дүгнэлт өгч байна.
В.Бодлогын хэрэгжилтийн шалгуур үзүүлэлт:
7.6.	 Монгол хүүхэд бүр үндсэн, цагийн, улирлын, ээлжийн, явуулын багшийн, нүүдлийн зэрэг
хэлбэрээр сургуулийн өмнөх боловсролын үйлчилгээнд хамрагдсан байна.
7.7.	 Ерөнхий боловсролын сургалтын олон улсад хүлээн зөвшөөрөгдсөн стандарттай дүйцэхүйц
үндэсний хөтөлбөрийг нэвтрүүлж, олон улсын хөтөлбөрийн магадлан итгэмжлэлд 2018-2019
оны хичээлийн жилд хамрагдсан байна.
7.8.	 Сурлагын амжилтын олон улсын чанарын үнэлгээний судалгаанд 2021 онд хамрагдана.
7.9.	 Ерөнхий боловсролын сургуульд заах арга зүй, сургалтын технологиор мэргэшсэн магистр
зэрэгтэй багшийн эзлэх хувийг 70 хувьд хүргэнэ.
7.10.	 Ерөнхий боловсролын сургууль нэг ээлжээр хичээллэх боломж бүрдсэн байна.
7.11.	 Боловсролын удирдлага, мэдээллийн нэгдсэн системийг 2016-2017 оны хичээлийн жилээс
үндэсний хэмжээнд бүрэн нэвтрүүлсэн байна.
7.12.	 Тэргүүлэх чиглэлийн дээд болон мэргэжлийн боловсролын 20-оос доошгүй хөтөлбөр олон
улсад магадлан итгэмжлэгдсэн байна.
7.13.	Монгол Улсын дөрвөөс доошгүй их сургуулийг Азийн шилдэг 100 их сургуулийн эгнээнд
хүргэсэн байна.
7.14.	 Боловсролд мэдээллийн технологи, нээлттэй агуулга, хөтөлбөрийг хөгжүүлсэн байна.
-------оОо-------
Сургуулийн
өмнөх боловсролын
сургалтын талаар
баримтлах бодлого
132 133
СУРГУУЛИЙНӨМНӨХБОЛОВСРОЛЫНСУРГАЛТЫНЦӨМХӨТӨЛБӨР
ХҮҮХЭДБҮХЭНДЭЭ“БИЧАДНА“ГЭСЭНИТГЭЛӨГЬЕ!
МОНГОЛ УЛСЫН
БОЛОВСРОЛ, ШИНЖЛЭХ УХААНЫ
САЙДЫН ТУШААЛ
2013 оны 08 сарын 28 өдөр		Дугаар А/327		
Улаанбаатар хот
Бодлого батлах тухай
	Монгол Улсын Засгийн газрын тухай хуулийн 24 дүгээр зүйлийн 24.2 дахь
хэсэг, Сургуулийн өмнөх боловсролын тухай хуулийн 5 дугаар зүйлийн 5.3
дахь хэсгийг тус тус үндэслэн ТУШААХ нь:
	 1. “Сургуулийн өмнөх боловсролын сургалтын талаар баримтлах
бодлого”-ыг нэгдүгээр, “Сургуулийн өмнөх боловсролын сургалтын зохион
байгуулалт”-ыг хоёрдугаар хавсралт ёсоор тус тус баталсугай.
	 2. Бодлого хэрэгжүүлэх ажлыг арга зүйн удирдлагаар хангаж ажиллахыг
Стратегийн бодлого, төлөвлөлтийн газар /Б.Насанбаяр/, Бодлогын
хэрэгжилтийг зохицуулах газар /Д.Эрдэнэчимэг/, хэрэгжилтийг үр дүнтэй
зохион байгуулж ажиллахыг аймаг, нийслэлийн Боловсролын газрын дарга
нарт тус тус үүрэг болгосугай.
	 3. Энэхүү тушаал батлагдсантай холбогдуулан Боловсрол, соёл, шинжлэх
ухааны сайдын “Бодлого, төлөвлөгөө батлах тухай” 2007 оны 20 дугаар
тушаалыг хүчингүй болсонд тооцсугай.
Л.ГАНТӨМӨР
Сургуулийн өмнөх боловсролын сургалтын
талаар баримтлах бодлого
Нэг. Нийтлэг үндэслэл	 	
Монгол Улсын Их Хурлын 2008 оны 12
дугаар тогтоолоор баталсан “Мянганы
хөгжлийн зорилтод суурилсан Үндэсний
хөгжлийн цогц бодлого”-ын баримт бичигт
“Суралцагчдад хүртээмжтэй, чанартай,
хэрэгцээнд нь нийцсэн боловсрол эзэмших
тэгш боломж бүрдүүлнэ. Боловсролын бүх
шатны стандарт, сургалтын хөтөлбөрийг
тухайн үеийн суралцагчийн хэрэгцээ,
нийгмийн шаардлагад нийцүүлэн
боловсронгуй болгоно” гэсэн зорилтууд
дэвшүүлсэн.
Төрөөс бага насны хүүхдийг хөгжүүлэхэд
анхаарал тавьж, цэцэрлэгийн чанар,
хүртээмжийг нэмэгдүүлэх, сургуулийн
өмнөх боловсролын үйлчилгээнд
хамрагдаж чадахгүй байгаа малчдын
болон төв суурин газрын хүүхдүүдэд
хувилбарт сургалтаар сурч хөгжих боломж
олгох бодлогыг хэрэгжүүлж ирлээ. 2012-
2013 оны хичээлийн жилийн мэдээгээр
улсын хэмжээнд сургуулийн өмнөх
боловсролд хамрагдвал зохих 2-5 насны
нийт хүүхдийн 77,6% болох 181,0 мянган
хүүхэд сургуулийн өмнөх боловсролд
хамрагдсаны 83,0% нь цэцэрлэгт, 17,0%
нь хувилбарт сургалтад хамрагдаж байна.
Сургуулийн өмнөх боловсролын эрэлт
хэрэгцээ нь цэцэрлэгийн хүрэлцээ
хангамжийн асуудлаас гадна чанарын
асуудалтай холбоотой. Цэцэрлэгт явагдаж
буй өдөр тутмын үйл ажиллагаа нэгэн хэв
загварт баригдсан, “хичээл төвт” сургалт
давамгайлсан, хүүхдэд өөрийнхөө онцлог
болон эрэлт хэрэгцээнд нийцсэн дэмжлэг
туслалцаа авах, аливаа үйлд сонголттой,
идэвхтэй, бүтээлчээр оролцох боломж бага
байна.
Сургуулийн өмнөх боловсролын сургалтын
талаар баримтлах бодлогын зорилго нь
хүүхэд бүрийг бие, сэтгэлээр эрүүл өсгөн
бойжуулахад багш, судлаач, эцэг эх
хамтарч ажиллахад чиглэл өгч, дэмжлэг
үзүүлэхэд оршино.
Сургуулийн өмнөх боловсролын
сургалтын талаар баримтлах бодлого нь
хурдацтайгаар өөрчлөгдөн байгаа нээлттэй,
өрсөлдөөнтэй, мэдээлэлжсэн нийгэмд
Боловсрол, шинжлэх ухааны сайдын 2013 оны 8 сарын 28-ны өдрийн
327 тоот тушаалын нэгдүгээр хавсралт
134 135
СУРГУУЛИЙНӨМНӨХБОЛОВСРОЛЫНСУРГАЛТЫНЦӨМХӨТӨЛБӨР
ХҮҮХЭДБҮХЭНДЭЭ“БИЧАДНА“ГЭСЭНИТГЭЛӨГЬЕ!
зохицон амьдрах чадвартай хүүхдийг
бага наснаас нь хөгжүүлэхэд өөрийн орны
уламжлал, онцлогт түшиглэн, олон улсын
чиг хандлагатай нийцүүлж, эцэг эх, багш,
судлаач, олон нийтийн оролцоог ханган
хамтран ажиллах зарчимд тулгуурлана.
Эрдэмтэн, судлаачдын олон төрлийн
судалгаагаар сургуулийн өмнөх насны
хүүхдийн тархи хамгийн уян хатан,
суралцах өргөн боломжийг агуулдаг
онцлогтой нь тогтоогдсон. Мөн энэ насанд
хүний төлөвшлийн суурь тавигддаг. Иймээс
сургуулийн өмнөх боловсролыг “хүүхдийг
сургах, сургуульд бэлтгэх” гэсэн зорилгоос
илүүтэйгээр хүний хөгжлийн үндэс суурь,
өөрийн онцлог, чадвар, бүтээлч үйлээрээ
хөгжих, насан туршийн боловсролын чухал
үе хэмээн хөгжүүлэх шаардлага урган гарч
байна.
ХОЁР. БОДЛОГЫН ҮНДСЭН ЧИГЛЭЛ
Сургуулийн өмнөх боловсролын сургалтын
талаар баримтлах бодлогыг дараах үндсэн
чиглэлээр хэрэгжүүлнэ. Үүнд:
1. Сургалтын стандарт, хөтөлбөрийг
боловсруулах;
2. Хүүхэд бүрийн хөгжлийг дэмжих
сургалтын арга зүй, технологийг
хөгжүүлэх;
3. Сургуулийн өмнөх боловсролын чанарын
үнэлгээний тогтолцоог бий болгох;
4. Хүний нөөцийг бэлтгэх, чадваржуулах;
5. Сургуулийн өмнөх боловсролын
сургалтын орчныг сайжруулах;
6. Сургуулийн өмнөх боловсролын
байгууллагын бие даасан байдал, хамт
олны бүтээлч үйл ажиллагааг дэмжих зэрэг
багтана.
ГУРАВ. БОДЛОГЫГ ХЭРЭГЖҮҮЛЭХЭД
БАРИМТЛАХ ЗАРЧИМ
Сургуулийн өмнөх боловсролын сургалтын
талаар баримтлах бодлогыг хэрэгжүүлэхэд
дараах үндсэн зарчмыг баримтална. Үүнд:
1. Хүүхдийн нас, сэтгэц, хөгжлийн онцлогт
нийцэх;
2. Хүүхэд бүрийн онцлогийг харгалзах;
3. Хүүхдийн тал бүрийн хөгжлийг хангах;
4. Хүүхэд бүрийг сургуулийн өмнөх
боловсрол эзэмших тэгш боломжоор
хангах;
5. Боловсролын чанарыг хүүхдийн чадамж
(эзэмшсэн мэдлэг, чадвар, төлөвшил)-аар
үнэлэх;
6. Тоглох нь хүүхдийн суралцах үндсэн
үйл байх;
7. Сургалтын арга зүй, технологийг
боловсронгуй болгоход чиглэсэн байх;
8. Эцэг эх, багш хамтран ажиллах түншүүд
байх.
ДӨРӨВ. ҮЙЛ АЖИЛЛАГААНЫ ЧИГЛЭЛ
	
4.1. Сургалтын стандарт, хөтөлбөрийг
боловсруулах чиглэл
Сургуулийн өмнөх боловсролын сургалтын
талаар баримтлах бодлого, стратеги,
бага насны хүүхдийн суралцахуйн
талаар дэлхийн улс орнуудын баримталж
буй чиг хандлага, монгол хүүхдийн
онцлогт баримжаалан сургуулийн өмнөх
насны хүүхдийн сургалтын хөтөлбөрийг
хөгжүүлнэ.
Сургалтын хөтөлбөрийн зорилго, агуулга,
арга зүй, хэрэглэгдэхүүн, үнэлгээ нь
хүүхдийн хөгжлийн ахиц, амжилтын үр
дүнд чиглэсэн, нээлттэй байна. Цэцэрлэг
сургалтын хөтөлбөрөө байгууллагынхаа
үзэл баримтлалыг үндэслэн боловсруулна.
4.1.1. Хүүхдийн суралцах үйлийн онцлог
Бага насны хүүхэд бол төрөлхийн сониуч
зангаараа хүрээлэн буй орчноо таньж
мэдэх их хүсэл эрмэлзэлтэй, аливааг
оролдож, хийхийг чармайж байдаг, хүлээж
авсан мэдээллээ боловсруулж чаддаг,
харилцааны явцад зөв буруу, сайхан
муухайг ялган салгаж, бусдын дунд дасан
зохицох чадвартай, идэвхтэй суралцагч
билээ.
Хүүхдийн суралцах үйлд дараах онцлогийг
харгалзан үзнэ.
-Хүүхэд хайр халамжтай, тайван амгалан,
чөлөөтэй, хөдөлгөөнтэй байх нөхцөлд
идэвхтэй суралцдаг.
-Хүүхэд ямар нэг юм, түүний онцлог,
үзэгдэл, үйл явдлын учир холбогдлын
талаар бусадтай санаагаа солилцож
байж хорвоо ертөнцийн талаарх мэдлэгээ
бүтээдэг.
-Хүүхэд сонирхсон, сэтгэлийг нь
хөдөлгөсөн зүйлийг удаан хугацаанд
мартдаггүй.
-Аливаа зүйлд өөрийн дур сонирхлоор
дуртай, баяр баясгалантай, хөгжилтэй
оролцох тохиолдолд илүү бүтээлчээр
суралцдаг.
-Даган дуурайх нь хүүхдийн суралцах гол
үйл явц болдог.
-Хүүхэд бодит амьдралын орчны үйл явцад
томчуудтай хамтран оролцож, өөрийг
нь итгэлтэй хамтрагч гэж үзэж байгааг
мэдэрсэн тохиолдолд илүү хурдтай
суралцдаг.
-Хүүхэд бүхий л мэдрэхүйнхээ
тусламжтайгаар туршлага хуримтлуулж,
тухайн үйлд идэвхтэй оролцож, өөрөө
хийж гүйцэтгэх, турших, бодох боломжтой
үед илүү суралцан хөгждөг.
4.1.2. Сургалтын зарчим
	
Нэгдмэл (интеграцчилсан) сургалт
Хүүхэд хуучин мэддэг зүйлээ шинээр сурч
буй зүйлтэйгээ холбож, юмс, үзэгдлийн
учир шалтгаан, холбоо хамаарлыг
ухаарч ойлгох, үлдэцтэй мэдлэг, чадвар
эзэмшихэд нь дөхөмтэй, нэгдмэл агуулгаар
сургуулийн өмнөх боловсролын үйл
ажиллагааг зохион байгуулна.
Багш хүүхдийн суралцах үйлийг дэмжигч
Хүүхдийн суралцах үйлийг дэмжигчийн
хувьд багш хүүхдэд хэрэгтэй, сонирхолтой
өргөн агуулгыг сонгож, сургалтын олон
төрлийн арга барилыг ашиглан, хүүхдийг
идэвхжүүлнэ. Багш хүүхдэд тодорхой
мэдлэг, нарийн ур чадвар эзэмшүүлэх
гэхээс илүүтэй тэдний эзэмшсэн мэдлэг,
чадваруудыг өдөр тутмынх нь амьдралтай
холбох, хэрэглээ болгох, шинэ санаа
өгөхөд анхаарна.
Хүүхэд бол мэдлэгээ өөрөө бүтээгч
Хүүхэд өмнөх мэдлэгээ хэрэглэж, түүгээрээ
дамжуулан шинэ мэдлэг бүтээх чадвартай
байх нь чухал. Тэгэхээр томчуудын
дэмжлэг, заавраар тухайн хүүхдийн хүрч
чадах түвшинг багш тогтоож, хүүхэдтэй
чин сэтгэлээсээ ойр дотно харилцаж
дараагийн шат руу хөтөлж чиглүүлнэ.
Орчин бол “гуравдагч багш”
Оновчтой бүрдүүлсэн сургалтын орчин нь
хүүхдийн сонирхол, сэтгэлийг татаж, урам
зориг оруулж, тэдний бүх талын хөгжилд
нөлөөлдөг тул багш, эцэг эхээс гадна
“гуравдагч багш”-ийн үүрэг гүйцэтгэнэ.
Орчин нь хүүхдийн суралцах үйлийг
өдөөж эрэл хайгуул хийх боломж олгосон,
хөдөлгөөнийг дэмжсэн, өөрийн орны
соёлыг тусгасан, осол аюулгүй болон ариун
цэврийн шаардлагыг хангасан байна.
4.2. Хүүхэд бүрийн хөгжлийг дэмжих
сургалтын арга зүй, технологийг
хөгжүүлэх чиглэл
Багш нарт хүүхэд бүрийг мэдэрч,
ойлгож, хүндэтгэж харилцах хандлагыг
төлөвшүүлж, хүүхэд бүрийг хөгжүүлэх
арга зүй эзэмшихэд дэмжлэг үзүүлэх нь
сургуулийн өмнөх боловсролын талаар
баримтлах бодлогын чухал хэсэг гэж үзнэ.
Арга зүй нь бага насны хүүхдийн сургалтын
зарчмуудыг хэрэгжүүлэхэд чиглэнэ.
Цэцэрлэг сургалтын хөтөлбөрөө
боловсруулахдаа сонгосон сэдвийн
хүрээний зорилго, үйл ажиллагааны
хувилбарууд, арга, хэрэглэгдэхүүн, үнэлгээ
хийхэд шаардагдах мэдээллийг цуглуулах
арга зам зэргийг нэгдмэл байдлаар тусгаж
төлөвлөнө.
4.3. Сургуулийн өмнөх боловсролын
чанарын үнэлгээний тогтолцоог бий
болгох чиглэл
4.3.1. Хүүхдийн хөгжлийн үнэлгээ
Хүүхдэд гарч буй ахиц, өөрчлөлтийг үнэлэх
нь тэдний цаашдын хөгжил, суралцах үйлд
оновчтой дэмжлэг үзүүлэх боломжийг
бүрдүүлнэ. Тухайн хүүхдийн онцлогийг
илрүүлэх, хөгжлийн ахицыг тогтоохын тулд
шаардлагатай мэдээллүүдийг цуглуулж,
баримтжуулна.
4.3.2. Багшийн үнэлгээ
Багшийн ажлын үнэлгээний үндсэн шалгуур
нь хүүхдийн хөгжлийн ахиц болон багшийн
хүүхдүүдтэй харилцаж, ажиллаж буй арга
барил, чадвар байна. Багшийн үнэлгээ нь
өөрийн болон хөндлөнгийн (эцэг эх, хамт
олон) үнэлгээгээр хийгдэнэ.
4.4. Хүний нөөцийг бэлтгэх,
чадваржуулах чиглэл
Багш болох хүсэл сонирхолтой, авьяас
чадвартай сурагчдыг цэцэрлэгийн багшийн
мэргэжлийг сонгон суралцахад дэмжсэн
сургалтын төлбөрийн хөнгөлөлтийн
бодлогыг хэрэгжүүлнэ.
136 137
СУРГУУЛИЙНӨМНӨХБОЛОВСРОЛЫНСУРГАЛТЫНЦӨМХӨТӨЛБӨР
ХҮҮХЭДБҮХЭНДЭЭ“БИЧАДНА“ГЭСЭНИТГЭЛӨГЬЕ!
Багшийн мэргэжил гэдэг бол хүний сэтгэлийн
эмзэг нандин ертөнцөд тасралтгүй нэвтрэн
орох, хүн судлалын мэргэжил билээ.
“
”
В.А.Сухомлинский
Цэцэрлэгийн багшийг дипломын дээд,
бакалавр зэрэгтэй, арга зүйч, эрхлэгчдийг
магистр болон түүнээс дээш зэрэгтэй
байхаар бэлтгэх тогтолцоог бий болгож,
сургалтын төлөвлөгөө, хөтөлбөрийг
шинэчилнэ.
Хөгжингүй орнуудад магистр, докторын
сургалтад суралцах иргэнд сургалтын
төлбөрийнхөнгөлөлтүзүүлэх,суралцагчдыг
оюутны солилцооны хөтөлбөрт хамруулах
бодлогыг хэрэгжүүлнэ.
Гадаадаас сургуулийн өмнөх боловсролын
мэргэжилтэн урьж ажиллуулах, харилцан
туршлага солилцох, цэцэрлэгийн багш,
удирдах ажилтныг багш солилцооны
хөтөлбөрт хамруулахад дэмжлэг үзүүлнэ.
Хөгжлийн бэрхшээлтэй хүүхэдтэй ажиллах
багш нарын чадавхыг сайжруулах, багшийг
шинээр бэлтгэх бодлогыг хэрэгжүүлнэ.
Багшид мэдээлэл, харилцааны техник
технологийг ашиглан мэдлэг, чадвараа
дээшлүүлэх, мэргэжил нэгт нөхөдтэйгээ
арга туршлагаа хуваалцах, хамтран
ажиллах интернэт орчныг бий болгоно.
4.5. Сургуулийн өмнөх боловсролын
сургалтын орчныг сайжруулах чиглэл
Төрийн болон төрийн бус өмчийн
цэцэрлэгүүдийг нэмэгдүүлэх ажлыг
эрчимжүүлж, цэцэрлэгийн ачааллыг
багасган нэг багшид ногдох хүүхдийн
тоог норм хэмжээнд нь хүргэх чиглэл
баримтална.
Цэцэрлэг ээлжийн багштай болох
асуудлыг шат дараатайгаар шийдвэрлэнэ.
Цэцэрлэгийн орчны стандартыг шинээр
боловсруулж мөрдөнө.
Цэцэрлэгийн ангиудыг стандартын
шаардлага хангасан тавилга, тоглоом
наадгай, сургалтын хэрэглэгдэхүүнээр
хангах ажлыг орон нутгийн төсөв, эцэг
эх, олон нийтийн санаачилгад тулгуурлан
гүйцэтгэнэ.
Ердийн болон тусгай цэцэрлэгт шаардагдах
орчныг бий болгон, хөгжлийн бэрхшээлтэй
хүүхдийн сурч, хөгжих нөхцөлийг
бүрдүүлнэ.
4.6. Сургуулийн өмнөх боловсролын
байгууллагын бие даасан байдал,
хамт олны бүтээлч үйл ажиллагааг
дэмжих чиглэл
Бие даасан байдлыг хангах гол арга
зам нь цэцэрлэг тус бүр өөрсдийн үзэл
баримтлалаа тодорхойлон “Сургуулийн
өмнөх боловсролын сургалтын талаар
баримтлах бодлого”-ыг хэрэгжүүлэхэд
оршино.
Ажлаа төлөвлөх, санхүүжилт, зохион
байгуулалтыг хангах зэрэг шийдвэр гаргах
түвшинд эцэг эх, асран хамгаалагчдыг
оролцуулна.
Хүүхэд бүрийн хөгжлийг дэмжихэд
санаачилга гарган ажиллаж буй эцэг
эх, асран хамгаалагч, иргэн, иргэний
нийгмийн болон бусад байгууллага, олон
улсын байгууллагын оролцоог дэмжинэ.
139
ХҮҮХЭДБҮХЭНДЭЭ“БИЧАДНА“ГЭСЭНИТГЭЛӨГЬЕ!
СУРГУУЛИЙНӨМНӨХБОЛОВСРОЛЫНСУРГАЛТЫНЦӨМХӨТӨЛБӨР
138
Би гурав дахиа УИХ-д сонгогдсон,
залуу гишүүн. УИХ-ын Эдийн засгийн
байнгын хорооны дарга, бүлгийн
орлогч дарга, Ёс зүйн дэд хорооны
дарга гээд олон хариуцлагатай алба
хашсан. Өмнөх найман жилийн
хугацаанд сайн, саар зөндөө л шийдвэр
гаргалаа. Гэхдээ нэг л зүйл давтамжтай
ажиглагдаад байсан юм. Бид өмнөө
байгаа гарцаагүй шийдэх ёстой зарим
асуудлыг шийдэж чаддаггүй. Жишээ
нь, Тавантолгойг эргэлтэнд оруулж
чадахгүй байсан. Уул уурхайн сайн
хөгжил, хөрөнгө оруулалтын сайн
орчныг бий болгож болох байсан ч,
чадаагүй. Гэх мэтчилэн яг эцсийн
мөчид шийдвэр гаргах чадвараа манай
үе үеийн парламент алддаг. Өөрөөр
хэлбэл бидний үеийнхэн шийдвэр
гаргах чадварыг эзэмшээгүй юм
байна. Хүмүүс их олон зүйл уншсан,
сонссон, мэдсэн ч амьдрал дээрээ ярьж
байгаа шигээ байж чаддаг уу? гэвэл
харамсалтай нь үгүй байна. Нөгөөх нь
шийдвэр гаргах түвшний хүмүүс мэдэж
байгаа шигээ шийдвэр гаргаж чадаж
байна уу гэвэл бас л үгүй.
Найман жил УИХ-д суучихлаа.
Дахиад сонгогдлоо. Цаг хугацаа гэдэг маш хурдан. Анх би УИХ-д нэр дэвшиж
байхдаа хүүхдүүдэд спортын хувцас бэлэглэж байлаа. Намайг 2012 оны сонгуульд
оролцоод явж байхад нөгөө хүүхдүүд маань их сургуулийн оюутан болчихсон “таны
өгч байсан кет байгаа юм. Би тухайн үед их баярлаж байсан шүү” гэж хэлсэн. Юу
юугүй л дараа үеийнхэн ингээд өсч хөгжөөд гараад ирдэг. Монголчууд бид их залуу
ард түмэн шүү дээ. Боловсролын салбарт л гэхэд нийт хүн амын 40 шахам хувь нь
ажиллаж, сурч байна. Гэтэл зарим ард түмний хувьд нийт хүн амынх нь 40 хувь нь
тэтгэвэрт гарчихсан байгаа. Тэгэхээр ийм сайхан улс оронд хамгийн чухал зүйл бол
хүн, хүүхэд юм. Хүүхдийн ирээдүйг тодорхойлох гол зүйл нь боловсрол.
Улстөрчийн хувьд улс эх орондоо хэрэгтэй юм хийе гэвэл боловсролыг
чанаржуулахын төлөө ажиллах хэрэгтэй гэж бодсон. Тэгээд 2010 оноос боловсролын
салбарын мэргэжлийн найзуудтайгаа нийлээд дэлхийн боловсрол, түүний онцлог,
монголын боловсрол ямар түвшинд байгаа талаар нилээд судалсан. Үүний үр дүнд
боловсролын салбарт хоёр зүйл зайлшгүй шинэчлэх хэрэгтэй гэж дүгнэлт хийсэн.
Нэгдүгээрт, системээ цаг үетэйгээ тааруулсан шинэчлэл. Систем гэдэг нь яам,
удирдах ажилтан, сургуулийн удирдлагууд, сургууль цэцэрлэгийн багш нар болон
тэдний харилцаа, эрх үүргийн асуудлыг хэлж байгаа юм. Гэтэл бүх эрх мэдэл яаман
дээр төвлөрчихсөн сургууль, аймаг, дүүрэг болон багш нарт ямар ч эрх мэдэл
байгаагүй. Яам сургалтын хөтөлбөр төлөвлөгөөг баталдаг, түүнийг нь бүгд ягштал
мөрддөг, сайн мөрдсөн багш их сайнд тооцогдоно. Өөрийнхөөрөө ямар нэгэн зүйлийг
сэтгэсэн нь алдаатай юм шиг харагддаг. Зарим сургалтын менежерүүд өөрийнхөөрөө
ИРЭЭДҮЙТЭЙГЭЭ
НОЦОЛДЪЁ
САЙДЫН ЗУРВАС
Эх сурвалж: www.gogo.mn
хийсний төлөө ажлаасаа халагдсан тохиолдол ч бий. Хичээлээ хэзээ яаж орвол илүү
үр дүнтэй, ашигтай вэ гэдгийг санаачилж хийснийхээ төлөө шүү дээ. Тиймээс энэ
харилцааны шинэчлэлийг хийж байж чанарын өөрчлөлт гарах ёстой юм байна гэдгийг
олж харсан. Жишээ нь, сургууль, багш нар эрх мэдэлтэй болох ёстой.
Эрх мэдэл гэдэг нь хүүхдүүдээ сайн сургахын тулд яавал хамгийн сайн, зөв бэ гэж
багш хичээж ажиллахыг хэлж байгаа хэрэг. Энэ салбарын 40 орчим мянган багш бүр
хүүхдийн хөгжлийн төлөө бодлого бодох хэрэгтэй. Харамсалтай нь яаман дээр байдаг
хоёр, гуравхан хүн бодоод, түүнийг нь бүхлээрээ дагадаг байсан. Энэ босоо удирдлагын
систем өөрөө амьдрахгүй юм байна гэдэг нэг дэх дүгнэлт байсан.
Хоёрдугаарт, боловсролын систем нь өөрөө хүүхдийг багаас нь муу сурдаг гэж
тодруулаад, сүүлдээ хүмүүжил муутай хүн гэж тодотгоод нийгмийн нөгөө зах руу
түлхчихдэг. Нэг хэсгийг нь болохоор лидер гэж товойлгоод одон медаль зүүж өгөөд,
аваргууд болгочихдог. Тэгэхээр үүнийг өөрчлөхийн тулд хүүхэд бүр хөгждөг гэдгийг
хүлээн зөвшөөрүүлж байж боловсрол чанарын хувьд сайжрах юм гэж бодсон. Нэг
үгээр хэлбэл, монголчууд бид хүн болж төрөхийг арвай буудай тэвнийн үзүүр дээр
торж тогтохтой ижил ховор хувь тохиол гэж үздэг. Хүний үнэ цэнийг ингэж дээдэлдэг
монгол ухаанд суурилан хүүхэд бүрийг хөгжүүлснээр шийдвэр гаргах чадвартай,
өөртөө итгэлтэй ирээдүйн монгол иргэнийг бэлтгэдэг систем хөгжүүлэхийг мөрөөдсөн.
Би өөрөө инженер хүн. Тэгэхээр өнөөдөртэйгээ ноцолдсоноос ирээдүйтэйгээ ноцолдъё
гэж бодож боловсролын сайд руу зүтгэсэн дээ.
	Гурван нас хүртэл нь хүүхдийг дураар нь байлгавал шийдвэр гаргах чадвар
өөрийгөө илэрхийлэх чадвар, амьдрах чадвар сайтай болно.
Эцэг эхчүүд гэртээ хүүхдийн шийдвэрт хүндэтгэлтэй хандвал сургууль дээр бид
ингэж биеэ зовоох хэрэггүй юм л даа. Харамсалтай нь гурван нас хүртэл нь бид “Чи
унт”, тэгж болохгүй, ингэж болохгүй, яаж байгаа юм гээд дандаа хориглох үг хэлээд
байдаг. Бас эрхлүүлнэ. Түүнээс биш хүүхдийн хийж байгаа зүйлийг нь ойлгохыг хэн
ч хичээхгүй, хэлэх гээд байгаа санааг нь хэн ч сонсдоггүй. Манай бага хүүхэд нэг
настай “товариш” бий. “Хэн ч түүнд болохгүй гэсэн үг бүү хэрэглэ” гээд гэрийн дүрэм
тогтоосон.
Манай том хүүхдүүд өвөө, эмээтэйгээ ойрхон өссөн.
Настай хүмүүс хүүхдийг боль гэхдээ зөв ярьдаг, учрыг нь гаргаж хэлдэг бол залуу
хүмүүс шууд хориглодог юм байна. Манай хүүхдүүдийн хувьд өөрийнхөөрөө байж
шийдвэр гаргах, гаргасан шийдвэртээ үнэнч байдаг чанар том хоёрт нь бий. Яг гардаад
өсгөсөн хүүхдэд маань тэр чанар дутагддаг.
Миний хувьд, би хүнээр загнуулж өсөөгүй. Энэ л намайг амжилт гаргахад нөлөөлсөн
болов уу. Бидний үеийнхний нэг давуу тал олуулаа өссөн. Аав, ээж завгүй, үглэж
яншдаг хүн байхгүй. Гэртээ хүүхдүүд л байдаг. Дөрөв, таван хүүхэд хамт байхад маш
хурдан хөгждөг. Асуудлаа өөрсдөө шийднэ. Ямар хоол идэх вэ. Түлээгээ хэн хагалах
вэ, усандаа хэн явах вэ, хашаа хороогоо хэн цэвэрлэх вэ гэдэг амьдралын үйл явцад
хэн нэг хүн зааж зааварлахгүй. Аав тээврийн жолооч. Ээж ажилтай болохоор өглөөнөөс
орой хүртэл эзгүй. Тэгэхээр нөхдүүд айдас байхгүй. Миний ах намайг захирах гэж
оролдоогүй. Тэр бол гайхамшиг байсан.
лу.гантөмөр:
Гурван нас хүртэл нь хүүхдийг дураар нь байлгавал шийдвэр гаргах,
амьдрах чадвар сайтай болно
Эх сурвалж: Өдрийн сонин
141140
СУРГУУЛИЙНӨМНӨХБОЛОВСРОЛЫНСУРГАЛТЫНЦӨМХӨТӨЛБӨР
Албан даалгавар
Суурь боловсрол, сургуулийн өмнөх боловсролын сургалтын			
цөм хөтөлбөрийг үндэсний түвшинд хэрэгжүүлэх тухай ........................ 08-10
2015-2016 оны хичээлийн жилийн зорилт ......................................... 11-12
Сургуулийн өмнөх боловсролын сургалтын цөм хөтөлбөр ..................... 13
•	 БСШУ-ы сайдын 2015 оны 7 дугаар сарын 10-ны өдрийн			
301 дугаар тушаал ............................................................................ 14
•	 Цөм хөтөлбөрийн агуулга ................................................................... 15
•	 Цөм хөтөлбөрийн ерөнхий зүйл ..................................................... 16-20
•	 Цөм хөтөлбөрийн агуулга, хүрэх үр дүн ......................................... 21-54
•	 Ажиглалтын хуудас /3 хүртэлх насны хүүхэд/ ................................. 55-56
•	 Ажиглалтын хуудас /3-6 насны хүүхэд/ .......................................... 57-64
Сургуулийн өмнөх боловсролын сургалтын
цөм хөтөлбөрийг хэрэгжүүлэх зөвлөмж .......................................... 65-122
Хавсралт
•	 Төрөөс боловсролын талаар баримтлах бодлого ........................... 124-130
•	 Сургуулийн өмнөх боловсролын					
сургалтын талаар баримтлах бодлого .......................................... 131-137
•	 Сайдын зурвас .......................................................................... 138-139
АГУУЛГА
142
Эмхэтгэж, хянан тохиолдуулсан:
Б.Насанбаяр 		 БСШУЯ-ны СБТГ-ын дарга
Н.Норжхорлоо		СӨБ-ын чанарын шинэчлэлийн 	
				 хэрэгжилтийн багийн ахлагч
Ж.Нарантуяа		 БСШУЯ-ны мэргэжилтэн
Хэвлэлийн эх бэлтгэсэн:	Г.Чинзориг
Техник редактор:		Г.Эрдэнэцогт
Хэвлэлийн хуудас:		 12 х.х
Хэмжээ:				В5
Сургуулийн өмнөх боловсролын сургалтын
цөм хөтөлбөрийн талаарх дэлгэрэнгүй мэдээллийг
www.meds.gov.mn/preschooleducation
Боловсрол, соёл, шинжлэх ухааны яам
Улаанбаатар хот, Сүхбаатар дүүрэг,
Бага тойруу-44, Засгийн газрын III байр
strategy@mecs.gov.mn
145
2015 он
СУРГУУЛИЙН ӨМНӨХ
БОЛОВСРОЛЫН СУРГАЛТЫН
ЦӨМ ХӨТӨЛБӨР
ГАРЫН АВЛАГА
СУРГУУЛИЙНӨМНӨХБОЛОВСРОЛЫНСУРГАЛТЫНЦӨМХӨТӨЛБӨР

Sob0727 tsum

  • 1.
    Боловсрол, соёл, шинжлэхухааны сайд лувсаннямын гантөмөр Хүүхэд бүхэндээ “Би чадна” гэсэн итгэл өгье.
  • 2.
    Өөр бай Хөгжлийн оргилдхүрэх зам бол боловсрол олох. Боловсрохын төлөө бүхнээ зориулсан хүн илүү ихийг бүтээдэг, хураадаг. Багш хүн бусдаас өөр, онцгой сэтгэлгээтэй байх ёстой. Энэ сайхан орчлонгийн цэцэг нь болсон хүүхдэд эрдэм бэлэглэ, инээд бэлэглэ. Арга барилаа өөрчил. Цаг хугацаанаас хоцрогдох гэдэг зүйл багш хүнд байх ёсгүй гэдгийг үргэлж санаж яваарай. Хүүхэд бүхэн өөр өөрийн ертөнцтэй. Ертөнцийн наран ганцхан байдаг ч хүүхэд бүрт өөр өөрийн наран мандаж байдгийг санаж, тэднийг дэмнэж байгаарай. Багш гагцхүү мөнх хөх тэнгэр шиг уужимхан ухаантай байх ёстой. Таны сурагч өсч том болоод ирээдүйн Монгол Улсыг бүтээж, авч явна. Хүүхэдтэйгээ хамтарч ярьж, хүүхэдтэйгээ хамтарч ажилладаг багш л хамгийн сайн багш. Хүүхдийг ялгаварлаж болохгүй. “Аяганы алгаас адууны алаг нь дээр” гэж үг бий. Хамгийн дотно үгээ Танд хэлэхгүй л байгаа бол, хамгийн сайхан үгийг нь Та шавь нараасаа сонсож чадахгүй л байгаа бол өөрийгөө өөрчлөх цаг болжээ. Өөр байгаарай. Багш нарын маань оюун бодол дэлгэр, бие эрүүл байх болтугай. Цахиагийн ЭЛБЭГДОРЖ Монгол улсын Ерөнхийлөгч Улаанбаатар Боловсрол бол аливаа улс үндэстэн хөгжин цэцэглэх, эрүүл, тэгш нийгмийг бүтээх хамгийн сайн хөрөнгө оруулалт юм. Тийм учраас “Боловсролыг нэгдүгээрт” санаачилгыг гаргаж, боловсролыг нийгэм, улс төр, хөгжлийн хөтөлбөрийн голд нь байлгахыг хүссэн. “Боловсролыг нэгдүгээрт” санаачилга нь гурван зүйлд чиглэгдэнэ: Нэгдүгээрт, хүүхэд бүрийг сургуульд сургах. Нас, хүйс, нийгмийн гарал үүсэл, үндэс угсаа, эх хэл, амьдарч буй газраасаа үл хамааран хүүхэд бүрийн боловсрол эзэмших тэгш эрхийг бид хангаж өгөх үүрэгтэй. Хоёрдугаарт, боловсролын чанарыг дээшлүүлэх. Зөвхөн сургуульд сурах нь хангалттай бус. Хүүхдийн амжилттай суралцах үйлд гол нөлөө үзүүлэх багшийн чанарт бид мөн анхаарах хэрэгтэй. Багш нар нийгэмд ямар үнэ цэнэтэй гэдэгт бид тэр бүр анхаарал тавьж чадахгүй байна. Гуравдугаарт, дэлхийн иргэнийг хөгжүүлэх. Боловсрол эзэмшинэ гэдэг нь зөвхөн хөдөлмөрийн зах зээлд орох бэлтгэл гэхээс илүү амьдралын үнэт зүйл, үнэ цэнийг авчирдаг. Боловсролоор дамжуулан харилцан ойлголцол, итгэлцэл, хүндэтгэлд суралцсанаар хамтдаа амьдрахад илүү дөхөм болно. Боловсролыг нэгдүгээрт Бан Ги Мүүн НҮБ-ийн Ерөнхий нарийн бичгийн дарга Нью Иорк
  • 3.
    Лувсаннямын Гантөмөр Боловсрол, соёл,шинжлэх ухааны сайд Монгол Улсын “Боловсролын чанар” дэлхийд өрсөлдөх амжилтын төлөө хамтдаа зүтгэцгээе Монгол Улсын боловсролын салбарын чанарыг багш, оюутан, сурагч, хүүхэд нэг бүрийн хөгжлөөр батлан тодорхойлж, өндөр үүрэг, хариуцлагатай ажиллаж буй хамт олондоо 2015-2016 оны хичээлийн шинэ жилийн мэнд дэвшүүлж, Засгийн газар, Боловсрол, соёл, шинжлэх ухааны яамны нэрийн өмнөөс болон хувиасаа энэ хорвоогийн хамгийн сайн сайхан бүхнийг хүсэн ерөөж мэндчилье. Боловсрол, соёл, шинжлэх ухааны сайдын 2015-2016 оны хичээлийн шинэ жилийн мэндчилгээ Хүн төрөлхтний хөгжлийн гарц нь мэдлэгийн нийгэмд шилжиж, мэдлэг шингэсэн бүтээгдэхүүнийг дэлхийн зах зээлд гарган мэдлэгийн эдийн засгийг бэхжүүлж чадсан улс орон хөгждөг тийм цаг үе ирлээ. Иймээс Боловсролын чанарын шинэчлэлийн бодлогын алсын хараа, эрхэм зорилгыг ХҮҮХЭД бүрийг өөртөө итгэлтэй, бүтээлч, шийдвэр гаргах чадвартай иргэн болгон төлөвшүүлж, мэдлэгт суурилсан нийгмийг бүтээн байгуулах Дэлхийд өрсөлдөх “МОНГОЛ ХҮН”-ий төлөө хэмээн тодорхойлон хэрэгжүүлж байна. Нэгдсэн Үндэстний Байгууллагын Боловсрол, Соёл, Шинжлэх ухааны байгууллагаас 2015 оны 5 сард Тогтвортой хөгжлийн 4 дүгээр зорилтын хүрээнд боловсролын форумыг зохион байгуулж 2030 он хүртэлх Дэлхийн боловсролын алсын харааг “Нэгдсэн зорилго, хүсэл эрмэлзэлтэй, хүн бүрт хүрсэн боловсролын хөтөлбөрийг боловсруулна.” хэмээн Инчеоны тунхаглалаар тодорхойлсон. Мөн “Чанартай боловсрол нь бүтээмж болон мэдлэгийг дэмжин хөгжүүлж, бичиг үсэг, математикт суралцахтай ижил задлан шинжилгээ хийх, асуудал шийдвэрлэх, танин мэдэхүйн чадвар, хувь хүний хөгжил буюу ХҮН болж төлөвших харилцааны чадваруудыг хөгжүүлдэг” гэдгийг онцлон тэмдэглэжээ. Үндэсний болон дэлхийн нийтийн боловсролын алсын хараа, бодлогын дагуу бид 2015-2016 оны хичээлийн жилд үндэсний түвшинд хүүхэд бүрийг хөгжүүлэх бага боловсролын цөм хөтөлбөрийг улам батжуулан, сургуулийн өмнөх болон суурь боловсролын сургалтын цөм хөтөлбөрийг сургууль, цэцэрлэг бүр дээр амжилттай хэрэгжүүлэх түүхэн хариуцлагатай үе ирээд байна. Сургуулийн өмнөх болон ерөнхий боловсролын байгууллагын удирдлага, багш, ажилтан, эрдэмтэн судлаачид, эцэг эх, асран хамгаалагчид “хүүхэд аз жаргалтай, баяр баясгалантай, дуртай, хөгжилтэйгөөр суралцах үйлд оролцсон тэр үед өөрсдийн бүхий л боломж, чадвараа дайчлан илүү бүтээлчээр суралцдаг” гэдгийг өдөр бүхэн санаж хамтран ажиллахыг та бүхнээс хичээнгүйлэн хүсч байна. Дээд боловсролын байгууллагын удирдлага, эрдэмтэн, багш, ажилтан, ажиллагсад “ур чадвартай залуу үе, ард түмэн, тэдний мэдлэг, тасралтгүй суралцах чадвар нь тогтвортой хөгжил, эдийн засгийн нөөцийн хамгийн чухал хүчин зүйл, үр ашиг, өрсөлдөх чадварыг дээшлүүлэх үндэс” хэмээн харж сургалт, судалгаа, инновацийг хөгжүүлэх ажилдаа эзэн болж, үр бүтээлтэй хамтран ажиллана гэдэгт итгэлтэй байна. Боловсролын салбарын бүтээлч, оюунлаг, ажилсаг, эвсэг хамт олон Монгол улсын хөгжлийн хурдасгуур, манлайлагчид байгаад тань талархаж, эрүүл энх, аз жаргалын дээдийг хүсэн ерөөе.
  • 5.
    8 9 СУРГУУЛИЙНӨМНӨХБОЛОВСРОЛЫНСУРГАЛТЫНЦӨМХӨТӨЛБӨР ХҮҮХЭДБҮХЭНДЭЭ“БИЧАДНА“ГЭСЭНИТГЭЛӨГЬЕ! 2015-2016 оныхичээлийн жилээс суурь боловсрол, сургуулийн өмнөх боловсролын сургалтын цөм хөтөлбөрийг үндэсний түвшинд хэрэгжүүлэхтэй холбогдуулан аймаг, нийслэл, дүүргийн Боловсролын газар, хэлтэс, ерөнхий боловсролын сургууль, цэцэрлэгийн холбогдох албан тушаалтанд дор дурдсан чиглэлээр үйл ажиллагаа зохион байгуулж ажиллахыг даалган, албан даалгавар хүргүүлж байна. АЙМАГ, НИЙСЛЭЛ, ДҮҮРГИЙН БОЛОВСРОЛ, СОЁЛЫН ГАЗАР, ХЭЛТСИЙН ДАРГА НАРТ ҮҮРЭГ БОЛГОХ НЬ: 1. Суурь боловсрол, сургуулийн өмнөх боловсролын сургалтын цөм хөтөлбөрийг хэрэгжүүлэхтэй холбогдуулан боловсролын асуудал эрхэлсэн төрийн захиргааны төв байгууллагын шийдвэрийг орон нутагт хэрэгжүүлэхэд манлайлан ажиллах, ерөнхий боловсролын сургуулийн захирал, цэцэрлэгийн эрхлэгч, нийт багш нарт мэргэжил арга зүйн дэмжлэг үзүүлэх; 2. Ерөнхий боловсролын сургууль, цэцэрлэг бүр өөрийн онцлог давуу тал дээр суурилан хөгжихийг дэмжин чиглүүлэх; 3. Хүүхэд бүрийн ахиц амжилт, хөгжлийн төлөө сургууль, цэцэрлэг багш нартай хамтран, судалгаанд суурилсан мэргэжлийн удирдлагаар ханган, зөвлөн тусалж ажиллах; 4. Багш ажилтны хүүхэд бүрийг хөгжүүлэх үндсэн үйл ажиллагааг тасралтгүй дэмжиж, ажлын үр дүнг цаасаар бус, хүүхэд бүр дээр гарсан ахиц амжилт, үр дүнгээр үнэлэх; 5. Багш, ажилтан, ажиллагсдын сайн туршлага, бүтээлч санаачилгыг түгээн дэлгэрүүлэх, багшийн мэргэжил дээшлүүлэх, цөм хөтөлбөрийг хэрэгжүүлэх ажлыг үр дүнтэй зохион байгуулж, 7 хоногт 2-оос доошгүй сургууль, цэцэрлэг дээр очиж сургалт үйл ажиллагаанд оролцож, хамтран ажиллах; 6. Орон нутгийн төрийн болон төрийн бус, аж ахуйн нэгж, байгууллага, иргэд, эцэг эхийн 3-5 хүний төлөөллийг сургууль, цэцэрлэг бүр дээр сард нэг удаа урьж, багш суралцагчдын ахиц амжилтыг тайлагнах, хамтран ажиллах, харилцаа холбоог бэхжүүлэх ажлыг үр дүнтэй тогтмол зохион байгуулах; 7. Хүүхэд бүрийн хөгжих орчинг бүрдүүлэх, сургалтын хэрэглэгдэхүүн, лаборатори болон бусад тоног төхөөрөмжөөр хангах хөрөнгө оруулалт, санхүүжилтийн санг орон нутгийн түвшинд бүрдүүлж хуулийн хүрээнд зохион байгуулж санаачилгатай ажиллах; 8. Суурь боловсрол, сургуулийн өмнөх боловсролын сургалтын цөм хөтөлбөрийн хэрэгжилтийн ажлын мэдээ, тайланг улиралд нэг удаа яаманд ирүүлж байх. АЙМАГ, НИЙСЛЭЛ, ДҮҮРГИЙН БОЛОВСРОЛ, СОЁЛЫН ГАЗАР, ХЭЛТСИЙН МЭРГЭЖИЛТЭН НАРТ ҮҮРЭГ БОЛГОХ НЬ: 1. Суурь боловсрол, сургуулийн өмнөх боловсролын цөм хөтөлбөрийг хэрэгжүүлэх ажлыг үндэсний түвшний ажлын хэсэгтэй хамтран аймаг, орон нутагтаа хариуцлагатай зохион байгуулах; 2. Хүүхэд бүрийн ахиц амжилт, хөгжлийн үр дүнг судлан, 7 хоногт 3-аас доошгүй хичээл, үйл ажиллагаанд оролцон ажиглалт хийх, хамтран заах, хэлэлцүүлэг хийх, мэргэжлийн зөвлөгөө өгөх замаар багшийн арга зүйг тасралтгүй сайжруулах; 3. Сургууль, цэцэрлэг, багш хоорондын багаар ажиллах үйл ажиллагааг дэмжин, харилцан суралцах, туршлагаа солилцох, түгээн дэлгэрүүлэх зөвлөгөөн, уулзалтыг сард нэгээс доошгүй удаа зохион байгуулах; 4. Хүүхэд бүрийг хөгжүүлэх сургууль, цэцэрлэг, багшийн үндсэн үйл ажиллагааг тасралтгүй дэмжиж ажлын үр дүнг цаасаар бус, хүүхэд бүр дээр гарсан ахиц амжилт, үр дүнгээр үнэлж зөвлөн туслах; 5. Сургууль, цэцэрлэг бүрийн зорилгыг хэрэгжүүлэх ажлын хүрээнд эцэг эх, орон нутгийн иргэд, байгууллагуудтай үр дүнтэй харилцаа тогтоон, хамтран ажиллахыг дэмжиж, санаачилгатай зохион байгуулах. ЕРӨНХИЙ БОЛОВСРОЛЫН СУРГУУЛИЙН ЗАХИРАЛ, ЦЭЦЭРЛЭГИЙН ЭРХЛЭГЧ НАРТ ҮҮРЭГ БОЛГОХ НЬ: 1. Сургууль, цэцэрлэгийн зорилгыг багш, суралцагч, эцэг эхийн оролцоо, орон нутгийн болон сургуулийн хөгжлийн төлөвлөлт, цэцэрлэгийн үзэл баримтлал, хэрэгцээнд тулгуурлан бодитой, хэрэгжихүйц байдлаар тодорхойлж, манлайлан удирдах; 2. Хүүхэд бүрийн хөгжлийн үр дүн, ахиц амжилттай өөрийн биеэр танилцаж, 7 хоногт 3-аас доошгүй хичээл, үйл ажиллагаанд оролцож, зөвлөн туслах; 3. Багш, ажилтны хүүхэд бүрийг хөгжүүлэх үндсэн үйл ажиллагааг тасралтгүй дэмжиж, ажлын үр дүнг цаасаар бус, хүүхэд бүр дээр гарсан ахиц амжилт, үр дүнгээр үнэлэх; 4. Багш, ажилтан, ажиллагсдын сайн туршлага, бүтээлч санаачилгыг түгээн дэргэрүүлэх ажлыг үр дүнтэй зохион байгуулж, хамт олноо эвсэг, ажилсаг, тусархаг баг болж хамтран ажиллахад манлайлах; 5. Орон нутгийн төрийн болон төрийн бус, аж ахуйн нэгж, байгууллага, иргэдийн 3-5 хүний төлөөллийг сард нэг удаа урьж, багш, хүүхэд, суралцагчдын ахиц амжилтыг тайлагнах, хамтран ажиллах, харилцаа холбоог бэхжүүлэх ажлыг үр дүнтэй тогтмол зохион байгуулах; 6. Хүүхэд бүрийн хөгжих орчинг бүрдүүлж, сургалтын хэрэглэгдэхүүн, лаборатори болон бусад тоног төхөөрөмжөөр хангах хөрөнгө оруулалт, санхүүжилтийн олон эх үүсвэрийг бүрдүүлж, хуулийн хүрээнд зохион байгуулж санаачилгатай ажиллах; 7. Эцэг эхэд сургууль, цэцэрлэгийн үйл ажиллагаа, хүүхэд бүрийн ахиц амжилт, хөгжлийн мэдээллийг тогтмол, улиралд нэгээс доошгүй удаа эцэг эхийн уулзалт, тайлангаар хүргэж, тэднийг сургалт, үйл ажиллагааны чанарт хувь нэмрээ оруулан, хамтран ажиллах боломжийг бүрдүүлэх.
  • 6.
    10 11 СУРГУУЛИЙНӨМНӨХБОЛОВСРОЛЫНСУРГАЛТЫНЦӨМХӨТӨЛБӨР ХҮҮХЭДБҮХЭНДЭЭ“БИЧАДНА“ГЭСЭНИТГЭЛӨГЬЕ! Монгол УлсынИх Хурлын 2008 оны 12 дугаар тогтоолоор баталсан “Мянганы хөгжлийн зорилтод суурилсан Үндэсний хөгжлийн цогц бодлого”-д “Суралцагчдад хүртээмжтэй, чанартай, хэрэгцээнд нь нийцсэн боловсрол эзэмших тэгш боломж бүрдүүлнэ. Боловсролын бүх шатны стандарт, сургалтын хөтөлбөрийг тухайн үеийн суралцагчийн хэрэгцээ, нийгмийн шаардлагад нийцүүлэн боловсронгуй болгоно” зэрэг зорилтууд дэвшүүлсэн. Улсын Их Хурлаас баталсан Монгол Улсын Засгийн газрын 2012-2016 оны үйл ажиллагааны хөтөлбөрт: “... эх оронч сэтгэлгээтэй, амьдрах ухаанд суралцсан иргэн төлөвшүүлэхэд чиглэсэн “Зөв монгол хүүхэд” хөтөлбөр боловсруулж хэрэгжүүлнэ”, шинэ стандарт нэвтрүүлнэ” гэж тус тус заасан. Улсын Их Хурлаас 2015 онд баталсан “Төрөөс боловсролын талаар баримтлах бодлого”-ын гуравдугаар бүлэгт Боловсролын хөгжлийн стратегийг дараах байдлаар тодорхойлсон: 3.2. Сургуулийн өмнөх боловсролыг “хүүхдийг сургах, сургуульд бэлтгэх” гэсэн зорилгоос илүүтэйгээр хүний хөгжлийн үндэс, өөрийн онцлог, чадвар, бүтээлч үйлээрээ хөгжих, насан туршийн боловсролын суурь үе хэмээн хөгжүүлнэ. 3.3. Бага боловсролыг эх хэлний чадамжийг эзэмших боломжийг бүрдүүлэн бүтээлч, сурах арга барилтай монгол хүүхэд төлөвших үе хэмээн хөгжүүлнэ. 3.4. Суурь боловсролыг амьдрах ухаан, шинжлэх ухааны суурь мэдлэг, чадвар, бие даан бүтээлчээр суралцах чадамж эзэмших үе хэмээн хөгжүүлнэ. 3.5. Бүрэн дунд боловсролыг сонголттой, уян хатан хөтөлбөрөөр мэдээлэл боловсруулах, шийдвэр гаргах чадвар бүхий, ирээдүйд эзэмших мэргэжлийн суурь баримжаа олгох үе хэмээн хөгжүүлнэ. 3.6. Дээд болон мэргэжлийн боловсрол нь хөдөлмөрийн даяарчлагдсан зах зээлд амжилттай өрсөлдөх, бие даан ажлын байр бий болгох, улс үндэстний болон орон нутагт тулгамдаж байгаа асуудлыг үндэсний онцлогт тулгуурлан шийдвэрлэх, үндэсний инновацийн тогтолцоог бэхжүүлэхэд хувь нэмрээ оруулах чадамж эзэмших үе хэмээн хөгжүүлнэ. ХОЁР. ЗОРИЛТ 2.1. Боловсролын салбарын эрх зүйн орчныг боловсронгуй болгох, хэрэгжилтийг хангах, хөгжлийн зорилтыг хэрэгжүүлэх: i. Монгол Улсын Их Хурал, Засгийн газраас баталсан хууль, тогтоол шийдвэрийг хэрэгжүүлэх ажлыг зохион байгуулна. Тухайлбал, “Төрөөс боловсролын талаар баримтлах бодлого (2014-2024 он), Монгол хэлний тухай хууль болон бусад хууль тогтоомж, төсөл, хөтөлбөр. ii. Бүх нийтийн боловсролын Инчеоны тунхаглалыг төр, иргэний нийгмийн байгууллага, иргэд, олон нийтэд сурталчлах, 2015 оноос хойшхи бүх нийтийн боловсролын тогтвортой хөгжлийн боловсролын зорилт, стратеги (2015-2030)-ийг сонирхогч тал, түншүүдийн оролцоо, хамтын ажиллагаанд тулгуурлан хэрэгжүүлнэ. iii. Боловсролын тухай багц хуульд нэмэлт, өөрчлөлт оруулах тухай хуулийн төсөл боловсруулж, Засгийн газар, Улсын Их Хуралд өргөн барина. 2.2. Сургуулийн өмнөх болон бага, дунд боловсролын чанарын шинэчлэлийг эрчимжүүлэх, чанартай боловсролын үйлчилгээ үзүүлэх: i. Сургуулийн өмнөх боловсролын цөм хөтөлбөрийг үндэсний хэмжээнд хэрэгжүүлнэ. ii. Суурь боловсролын цөм хөтөлбөрийг үндэсний хэмжээнд хэрэгжүүлнэ. iii. Бүрэн дунд боловсролын сургалтын хөтөлбөрийг шинээр боловсруулж, ерөнхий боловсролын лаборатори 40 сургуульд тохирцыг шалгаж, 2016-2017 оны хичээлийн жилд үндэсний хэмжээнд хэрэгжүүлэх бэлтгэлийг хангана. iv. Багшийн хөгжлийн хэрэгцээнд үндэслэн мэргэжил дээшлүүлэх танхимын болон зайн сургалтыг хэрэгжүүлнэ. v. Хүүхэд бүрийг хөгжүүлэх тэргүүн туршлага бүхий арга зүй, технологийг түгээн дэлгэрүүлж, сайн хичээл, үйл ажиллагааны соёлыг сургуулийн өмнөх болон бага, дунд боловсролын түвшинд төлөвшүүлэн хөгжүүлнэ. ЕРӨНХИЙ БОЛОВСРОЛЫН СУРГУУЛИЙН СУРГАЛТЫН МЕНЕЖЕР, НИЙГМИЙН АЖИЛТАН, ЦЭЦЭРЛЭГИЙН АРГА ЗҮЙЧ НАРТ ҮҮРЭГ БОЛГОХ НЬ: 1. Багш бүрээ судлан, ахиц амжилтыг нь урамшуулан, давуу тал болон багшийн хамгийн сайн ур чадварт тулгуурлан хөгжүүлэх; 2. Хүүхэд бүрийн ахиц амжилт, хөгжлийн үр дүнг судлан, өдөр бүр 2-оос доошгүй хичээл, үйл ажиллагаанд ажиглалт хийх, хамтран заах, хэлэлцүүлэг хийх, мэргэжлийн зөвлөгөө өгөх замаар багшийн арга зүйг тасралтгүй сайжруулах; 3. Багш нарын багаар ажиллах үйл ажиллагааг дэмжин, харилцан суралцах, туршлагаа солилцох, түгээн дэлгэрүүлэх зөвлөгөөн, уулзалтыг 7 хоногт 1-ээс доошгүй удаа зохион байгуулах; 4. Хүүхэд бүрийг хөгжүүлэх багшийн үндсэн үйл ажиллагааг тасралтгүй дэмжиж, ажлын үр дүнг цаасаар бус, хүүхэд бүр дээр гарсан ахиц амжилт, үр дүнгээр үнэлэх; 5. Сургуулийн зорилго, цэцэрлэгийн үзэл баримтлалыг хэрэгжүүлэх хүрээнд эцэг эх, орон нутгийн иргэд, байгууллагуудтай үр дүнтэй харилцаа тогтоон, хамтран ажиллахыг дэмжиж, санаачилгатай зохион байгуулах. ЕРӨНХИЙ БОЛОВСРОЛЫН СУРГУУЛЬ, ЦЭЦЭРЛЭГИЙН БАГШ НАРТ ҮҮРЭГ БОЛГОХ НЬ: 1. Хүүхэд бүрээ судлан ахиц амжилтыг нь урамшуулан, өөртөө итгэлтэй, эрүүл чийрэг, зөв дадал хэвшил, зан чанартай, шинжлэх ухааны суурь мэдлэг чадвартай, сурах арга барил, суралцах хүсэл эрмэлзэлтэй болж хөгжин төлөвшихөд тасралтгүй туслан дэмжих; 2. Хүүхэд бүрийн ахиц амжилтын зорилго, төлөвлөлтийг хүүхэд, эцэг эхтэйгээ хамтран төлөвлөж, явц, үр дүнг нь тогтмол тайлагнах; 3. Хүүхэд бүрийн хөгжих сэтгэл зүйн болон үйлийн орчинг бүрдүүлж, хичээл, үйл ажиллагааг өдөр бүр хүүхдийн сурч мэдэх, хүсэл сонирхлыг төрүүлэхүйц байдлаар бэлтгэн хэрэгжүүлэх; 4. Сайн туршлага хуваалцах харилцан суралцах, зэргээр багаар үр дүнтэй хамтран ажиллаж, мэргэжлийн мэдлэг, ур чадвар, арга зүйгээ тасралтгүй хөгжүүлэх; 5. Сургалт дэмжсэн үйл ажиллагаанд эцэг эх, орон нутгийн иргэд, байгууллагуудыг урьж оролцуулах,үр дүнтэй харилцаа холбоо тогтоох ажлыг зохион байгуулах; 6. Багш бүр Монгол улсын ирээдүй, боловсролын хөгжлийн түүчээ, тулгуур багана, эд эс гэдгээ ухаарч, өөртөө итгэлтэй, шавь нараа хайрлан урам зоригтойгоор ажиллах.
  • 7.
    12 СУРГУУЛИЙНӨМНӨХБОЛОВСРОЛЫНСУРГАЛТЫНЦӨМХӨТӨЛБӨР vi. Сургалтын хөтөлбөрийншинэчлэлтэй уялдуулан ерөнхий боловсролын сургуулийн сурах бичиг шинэчлэх ажлыг үргэлжлүүлнэ. Цэцэрлэг, сургуулийн орчинд хүүхдийг болзошгүй эрсдэлээс хамгаалах, хоол, хүнсний хангамжийн үйлчилгээ болон ус, ариун цэврийн байгууламжийн аюулгүй байдлыг хангах, нэгж байгууллага, холбогдох албан тушаалтны үүрэг, хариуцлагыг чанд мөрдүүлнэ. vii. Сургуулийн өмнөх боловсролын үйлчилгээнд тогтмол хамрагдаж чадахгүй байгаа хүүхдийг гэр бүлийн орчинд хөгжүүлэх талаар бий болсон арга зүй, технологи, туршлага, санал санаачилгыг түгээн дэлгэрүүлэхэд төр, иргэний нийгмийн байгууллага, эцэг эх, асран хамгаалагчийн оролцоо, хамтын ажиллагааг сайжруулах, хөрөнгө оруулалтыг нэмэгдүүлнэ. viii. Боловсролын салбарын мэдээллийн нэгдсэн системийн хүний нөөц, суралцагчийн удирдлагын модулийг бага, дунд болон дээд боловсролын сургалтын байгууллагад нэвтрүүлж эхэлнэ. ix. Хүүхдийн дунд номыг бүтээлчээр унших хөдөлгөөн өрнүүлж, ном зохиох, хэвлэн нийтлэх, гэрийн болон явуулын номын сан ажиллуулах зэрэг үйл ажиллагааг зохион байгуулж байгаа иргэд, төр, иргэний нийгмийн байгууллагатай хамтран ажиллана. x. Хүүхдийн үүсгэл санаачилгын байгууллагад дэмжлэг үзүүлж, суралцагчийн авьяас чадварт тулгуурлан сурах арга барил, мэргэжлийн чиг баримжаа эзэмшүүлэх үйл ажиллагааг сургалтын байгууллага, орон нутгийн онцлогт нийцүүлэн зохион байгуулна. xi. Хамран сургалт /цэвэр жин/-ыг өмнөх хичээлийн жилээс сургуулийн өмнөх боловсролд 1.0%, бага боловсролд 0.4%, дунд боловсролд 0.2 хувиар тус тус ахиулна. Ерөнхий боловсролын сургуулийн мэргэжлийн багшийн хангалтыг 0.2 хувиар нэмэгдүүлж, 100 хувьд хүргэнэ. 2.3. Тусгай хэрэгцээт боловсрол i. Хөгжлийн бэрхшээлтэй бага насны хүүхдийг эрт илрүүлж оношлох, боловсролын үйлчилгээнд хамруулах ажлыг үе шаттай зохион байгуулна. ii. Хөгжлийн бэрхшээлтэй хүүхэд, залуучуудыг боловсролд тэгш хамруулах, онцлог, хэрэгцээг харгалзсан боловсролын хөтөлбөрийг боловсруулж хэрэгжүүлнэ. iii. Тусгай хэрэгцээт боловсрлын багш бэлтгэх, сургалтын хөтөлбөр, сурах бичгийг шинэчлэн боловсруулах, сургалтын орчинг сайжруулна. 2.4. Насан туршийн боловсролын тогтолцоог төлөвшүүлэх: i. Насан туршийн боловсролын үндэсний хөтөлбөр боловсруулан хэрэгжүүлж, иргэдэд насан туршийн тасралтгүй боловсрол эзэмшүүлэхэд чиглэсэн боловсрол, эрүүл мэнд, нийгмийн хамгаалал, соёл, эдийн засаг, эрх зүй, байгаль орчин зэрэг салбар дундын зохицуулалтын суурийг тавина. ii. Насан туршийн боловсролын сургалтын цөм хөтөлбөрийг салбар дундын оролцоотойгоор боловсруулж, багш, мэргэжилтний ур чадварыг дээшлүүлэх сургалтыг үе шаттайгаар зохион байгуулна. 2.5. Дээд боловсролын шинэчлэлийг гүнзгийрүүлж, сургалтын байгууллагын академик эрх чөлөө, бие даасан байдлыг хангаж, хөтөлбөрт суурилсан сургалтыг хөгжүүлэх: i. Дээд боловсролын зэрэг, баримт бичгийг харилцан хүлээн зөвшөөрөх тухай Ази Номхон далайн бүсийн конвецэд нэгдэж, Монгол улсад эзэмшсэн боловсролыг Олон улсад хүлээн зөвшөөрүүлэхэд ахиц гаргана. ii. Бакалавр, магистр, докторын хөтөлбөрт тавигдах шаардалгын хэрэгжилтийг эрчимжүүлнэ. iii. Инженерийн боловсролын шинэчлэлийг хэрэгжүүлж, олон улсын CDIO загварыг туршин хэрэгжүүлнэ. iv. Байгалийн ухаан, инженер технологи, анагаах, хөдөө аж ахуйн хөтөлбөрүүдийг Олон улсад магадлан итгэмжлүүлэх дэмжлэгийг нэмэгдүүлнэ. v. Япон Улсын Засгийн газрын буцалтгүй тусламжаар Анагаахын шинжлэх ухааны үндэсний их сургуулийн сургалтын эмнэлэг барих бүтээн байгуулалтын ажлыг эхлүүлнэ. vi. Япон Улсын Засгийн газрын зээлийн хөрөнгөөр хэрэгжиж буй “Инженер, технологийн дээд боловсрол” төслийн хүрээнд Япон Улстай хамтарсан бакалаврын хөтөлбөрийг нээн хичээллүүлж, коосэн, магистр, докторын хөтөлбөр, зэргийн бус мэргэжил дээшлүүлэх хөтөлбөрт судлаач багш, инженерүүдийг сургана. vii. Дэлхийн шилдэг сургуулиудын бакалавр, магистр, докторын хөтөлбөрт оюутан сургах арга хэмжээг үе шаттай авч хэрэгжүүлнэ. viii. Дээд боловсролын сургалтын байгууллагын сургалтын бааз, сургалт, судалгааны лабораторийн хүчин чадлыг нэмэгдүүлж, ашиглалтыг сайжруулна. БОЛОВСРОЛ, СОЁЛ, ШИНЖЛЭХ УХААНЫ ЯАМ СУРГУУЛИЙН ӨМНӨХ БОЛОВСРОЛЫН СУРГАЛТЫН ЦӨМ ХӨТӨЛБӨР
  • 8.
  • 9.
    СУРГУУЛИЙНӨМНӨХБОЛОВСРОЛЫНСУРГАЛТЫНЦӨМХӨТӨЛБӨР 16 17 ХҮҮХЭДБҮХЭНДЭЭ“БИЧАДНА“ГЭСЭНИТГЭЛӨГЬЕ! НЭГДҮГЭЭР БҮЛЭГ:ЦӨМ ХӨТӨЛБӨРИЙН ЕРӨНХИЙ ЗҮЙЛ 1.1. НИЙТЛЭГ ҮНДЭСЛЭЛ Монгол Улсын Боловсролын тухай хуульд “Монгол улсын боловсролын зорилго нь иргэнийг оюун ухаан, ёс суртахуун, бие бялдрын зохих чадавхтай, хүмүүнлэг ёсыг дээдлэн сахидаг, бие даан сурах, ажиллах, амьдрах чадвартай болгон төлөвшүүлэхэд оршино” гэж заасан. Монгол Улсын Их Хурлаас баталсан “Төрөөс боловсролын талаар баримтлах бодлого”-ын 3 дугаар бүлгийн 3.2-т “Сургуулийн өмнөх боловсролыг “хүүхдийг сургах, сургуульд бэлтгэх” гэсэн зорилгоос илүүтэйгээр хүний хөгжлийн үндэс, өөрийн онцлог, чадвар, бүтээлч үйлээрээ хөгжих, насан туршийн боловсролын суурь үе хэмээн хөгжүүлнэ” гэж, Монгол улсын Засгийн газрын 295 дугаар тогтоолоор баталсан “Зөв монгол хүүхэд” үндэсний хөтөлбөрийн 6.1.2.-т “Сургуулийн өмнөх насны хүүхдийн эзэмших чадвар болон хүүхдийн жам ёсны хөгжилд суурилан боловсруулсан сургалтын үндсэн хүрээг цэцэрлэгийн түвшний хөтөлбөрөөр хэрэгжүүлнэ” гэж, Боловсрол, шинжлэх ухааны сайдын 2013 оны 327 тоот тушаалаар баталсан “Сургуулийн өмнөх боловсролын сургалтын талаар баримтлах бодлого”-ын 4.1-т “Сургуулийн өмнөх боловсролын сургалтын талаар баримтлах бодлого, стратеги, бага насны хүүхдийн суралцахуйн талаар дэлхийн улс орнуудын баримталж буй чиг хандлага, монгол хүүхдийн онцлогт баримжаалан сургуулийн өмнөх насны хүүхдийн сургалтын хөтөлбөрийг хөгжүүлнэ”, “Сургалтын хөтөлбөрийн зорилго, агуулга, арга зүй, хэрэглэгдэхүүн, үнэлгээ нь хүүхдийн хөгжлийн ахиц, амжилтын үр дүнд чиглэсэн, нээлттэй байна. Цэцэрлэг сургалтын хөтөлбөрөө байгууллагынхаа үзэл баримтлалыг үндэслэн боловсруулна.” хэмээн тус тус заасны дагуу энэхүү сургалтын цөм хөтөлбөрийг боловсруулсан болно. Бага насны хүүхдийн талаарх судалгааны ажил дэлхий нийтэд эрчимжиж, хүүхдийн хөгжлийн онцлог, боломжийн талаар, шинэ нотолгоо, мэдлэг, мэдээлэл бий болсоор байна. Тухайлбал, сургуулийн өмнөх насанд хүүхдийн тархи маш эрчимтэй хөгждөг бөгөөд уян хатан чанартай, суралцах орчин, түүнчлэн ойр дотны харилцаа нь тэдний хөгжил, төлөвшилд чухлаар нөлөөлдөг, хүүхэд боловсролын нэг түвшнээс нөгөө түвшинд (цэцэрлэгээс сургуульд) шилжих шилжилтийг зөв хийх нь тэдний суралцах үйлд эерэг нөлөө үзүүлж, насан туршийн амьдралын суурь болдог гэдгийг судлаач, эрдэмтэд баталж байна. Мэдлэгтсуурилсаннийгэм,мэдээлэл,харилцаанытехнологийнхурдацтайхөгжлийнэнээринүед хүүхдийг бага наснаас нь янз бүрийн мэдлэг эзэмшүүлэх гэхээс илүүтэй тэдний төрөлхийн суралцах хүсэл эрмэлзэл, дур сонирхол, баяр баясгаланг хадгалан батжуулах, тэдэнд орчинтойгоо идэвхтэй харьцаж, өөрөө судлан шинжилж учир холбогдлыг нь олж нээх боломж олгох, өөрийгөө хариуцан авч явах чадвартай болоход нь дэмжлэг туслалцаа үзүүлэхэд түлхүү анхаарах шаардлагатай байна. Монголчууд үр хүүхдээ сайн хүн болгон төлөвшүүлэх уламжлалт сэтгэлгээ, ёс заншилтай ард түмэн. Эцэг эхчүүд хүүхэддээ багаас нь эрдэнэт хүний биеийн үнэ цэнэ, нүгэл буян, үйлийн үрийн сургаал, бусдыг энэрэн нигүүлсэх, хайрлан халамжлах, байгаль дэлхийтэйгээ зөв харьцах арга ухаан, эцэг эх, ахмадыг хүндэтгэх, ач тусыг нь санахыг ухааруулан, сургасаар ирсэн. Энэхүү уламжлалт арга ухаанаа эрхэмлэн хүүхэд бүрийн ХҮН БОЛОХ төлөвшилд илүү анхаарах нь өнөөгийн нийгэм, хөгжлийн хэрэгцээ, шаардлага болоод байна. Сургалтын цөм хөтөлбөрийг “Зургаан настай хүүхдийн сургуульд бэлтгэгдсэн байдал судалгааны тайлан” 2008, “Бага насны хүүхдийн бие бялдар-сэтгэцийн судалгаа” зэрэг өөрийн орны эрдэмтэн, судлаачдын судалгааны үр дүн, сургуулийн өмнөх боловсролд мөрдөж ирсэн сургалтын хөтөлбөр, стандарт, зөвлөмжид хийсэн судалгаа, дэлхийн зарим улс орны цэцэрлэгийн сургалтын хүрээ, үндэсний хөтөлбөрт хийсэн харьцуулсан судалгаа, түшиц цэцэрлэгийн багш нарын боловсруулан хэрэгжүүлсэн хүүхдийн эзэмшвэл зохих чадварын шалгуурт тулгуурлан боловсруулсан болно. Сургалтын цөм хөтөлбөр нь орон нутаг, цэцэрлэгийн онцлог, давуу тал, судалгааны шинэ ололт, багш нарын бүтээлч үйлээр баяжигдах бөгөөд энэхүү баримт бичиг нь сургуульд элсэх хүртэлх насны хүүхэдтэй эцэг эхчүүдийн хувьд гарын авлага, зөвлөмж материал байх болно. 1.2. СУРГАЛТЫН ЦӨМ ХӨТӨЛБӨРИЙН ЗАРЧИМ 1.2.1. Сургалтын цөм хөтөлбөрийг боловсруулахад баримталсан зарчим I. Хүүхэд бүрийг хөгжлийн боломжит хурдаар нь хөгжүүлэх, чадамжид суурилах; II. Хүүхдийн чадамж, давуу тал, сонирхлыг илрүүлэн хүүхэд бүрийг судлах, хөгжүүлэх; III. Хүүхэд, багш, эцэг эх, асран хамгаалагчид идэвхтэйгээр хамтран ажиллаж, хамтдаа мэдлэг, чадвар, соёлыг бүтээх. 1.2.2. Сургалтын цөм хөтөлбөрийг хэрэгжүүлэх зарчим i. Хүүхэд бүрийн авьяас, сонирхол, чадвар, хувийн онцлог шинжийг нээх, дэмжих, хөгжүүлэх үндэс болох; ii. Агуулга нь өргөсөх ба гүнзгийрэх залгамж холбоотой, тасралтгүй, чадамжийн ахиц дэвшлийг хангахуйц байх; iii. Хүүхдийн нас, сэтгэхүй, хөгжлийн онцлогт нийцсэн байх; iv. Хүүхэд сурах арга барил, чадвар эзэмшихэд чиглэсэн байх; v. Хүүхэд бүртэй ажиллах арга зүйд суурилан сургалтыг уян хатан төлөвлөх, зохион байгуулах нөхцөлийг бүрдүүлсэн байх; vi. Эцэг эх, асран хамгаалагч, олон нийтийн оролцоог хангасан, цэцэрлэгийн менежмент, бие даасан байдал, багш нарын бүтээлч үйлийг дэмжсэн байх. 1.3. СУРГАЛТЫН ЦӨМ ХӨТӨЛБӨРИЙН ЗОРИЛГО, ЗОРИЛТ 1.3.1. Сургалтын цөм хөтөлбөрийн зорилго • Сургалтын цөм хөтөлбөрийн зорилго нь хүүхэд бүрийг бие, сэтгэлээр эрүүл өсгөн бойжуулахад багш, судлаач, эцэг эх хамтран ажиллахад дэмжлэг үзүүлж, хүүхэд бүр өөрийн онцлог, бүтээлч үйлээрээ хөгжих боломж олгоход оршино. 1.3.2. Сургалтын цөм хөтөлбөрийн зорилт i. Биеийн болон гар хурууны хөдөлгөөнөө зохицуулах, эрүүл амьдрах дадал хэвшил эзэмших, болзошгүй осол гэмтлээс сэргийлэх чадварт суралцах; ii. Өөртөө итгэлтэй, эерэг мэдрэмжтэй, идэвхтэй, оролдлого зүтгэлтэй, суралцах сонирхол хүсэлтэй байх; iii. Сэтгэлийн хөдөлгөөн, зан, үйл, бусадтай харилцах харилцаагаа удирдаж зохицуулах; iv. Санаа бодол, мэдлэг төсөөллөө хэл яриа болон зурж дүрслэх, урлан бүтээх үйлээрээ илэрхийлэх; v. Тойрон хүрээлж буй байгаль, нийгмийн орчныг сонирхох, судлах, тэдгээрийн харилцан хамаарлыг олох, ойлгох, орчинтойгоо зохистой харилцах; vi. Тоо, хэмжээ, хэлбэр дүрс, орон зай, цаг хугацааны талаар ойлголт төсөөлөлтэй болох, түүнийгээ амьдралдаа хэрэглэх; vii. Хөгжим, дүрслэх урлагийг сонирхон таашаах, дуулах, хөгжмийн хэмнэлийг мэдэрч хөдөлгөөн хийх. 1.3.3. Сургалтын цөм хөтөлбөрийн хэрэглээний зорилго i. Цэцэрлэгийн удирдлага нь хөтөлбөрийг хэрэгжүүлэх үйл ажиллагааг удирдан зохион байгуулах, сургалтын орчныг бүрдүүлэхэд дэмжлэг үзүүлэх, өөрийн үнэлгээ хийх; ii. Багш хүүхдийг хөгжүүлэх үйл ажиллагааг зохион байгуулах, чиглүүлэх, үнэлэх, үр дүнг тооцох; iii. Боловсролын мэргэжлийн байгууллагын ажилтан хөтөлбөрийн хэрэгжилтэд хяналт, үнэлгээ хийх, цэцэрлэгийн удирдлага, багш, боловсролын байгууллагын ажилтнуудад мэргэжил, арга зүйн зөвлөгөө өгөх, дэмжлэг үзүүлэх; iv. Эцэг эх хүүхдийнхээ хөгжил, төлөвшлийг дэмжих, үнэлэх, цэцэрлэг, багштай холбоо тогтоох, хамтран ажиллах; v. Олон нийт болон нийгмийн бүлгүүд нь боловсрол эзэмших үйл ажиллагааны явц, үр дүнг хянах, тооцох, дэмжих. 1.4. СУРГАЛТЫН ЦӨМ ХӨТӨЛБӨРИЙГ ХЭРЭГЖҮҮЛЭХ АРГА ЗҮЙ i. Сэтгэлийн ойр дотно холбоо. Бага насны хүүхэд дотны хүнтэйгээ бие, сэтгэлээр ойр байж, хайр халамж, хамгаалагдсан байдлыг мэдэрсэн, тайван амгалан, чөлөөтэй байх үедээ идэвхтэй суралцдаг. ii. Багш-хүүхдийн хамтын үйл. Хүүхэд өмнө нь олж авсан мэдлэгтээ суурилан багш, аав, ээж болон бусадтай хамт үйл хийж, идэвхтэй харилцах явцад өөрийг нь итгэлтэй хамтрагч гэж хүлээн зөвшөөрч байгааг мэдэрсэн, тухайн зүйлийн учрыг олж, тулгарсан асуудлыг шийдвэрлэх үедээ шинэ зүйлийг илүү хурдтай суралцдаг. iii. Сонирхол, баяр баясгалан. Баяртай, сайхан мэдрэмж төрүүлсэн зүйл хүүхдийн сэтгэл, оюун ухаанд хоногшин үлддэг. Хүүхэд аз жаргалтай, дуртай, баяр баясгалантай, хөгжилтэйгөөр аливаа үйлд оролцоход бүхий л боломж, чадвараа дайчлан илүү бүтээлчээр суралцдаг.
  • 10.
    СУРГУУЛИЙНӨМНӨХБОЛОВСРОЛЫНСУРГАЛТЫНЦӨМХӨТӨЛБӨР 18 19 ХҮҮХЭДБҮХЭНДЭЭ“БИЧАДНА“ГЭСЭНИТГЭЛӨГЬЕ! iv. Дагандуурайлт. Бага насны хүүхэд даган дуурайж суралцдаг бөгөөд үлгэрлэн дагуулж буй зан үйлийн эерэг, сөрөг хандлага, үзэл бодлыг мэдэрч, илэрхийлэх, түүнд суралцах чадвартай. v. Мэдрэхүй, бүтээлч үйл. Хүүхэд бүхий л мэдрэхүйгээрээ мэдээлэл хүлээн авч, эргэцүүлэн бодож, туршиж судлах явцдаа төвлөрч, сонголт хийх, бүтээлчээр ажиллах, асуудал шийдвэрлэх арга замаа олдог. vi. Давталт. Бага насны хүүхдийн хөгжилд аливаа үйлийн үр дүнгээс илүү тухайн үйлийг гүйцэтгэж буй үйл явц нь ач тустай. Нэг үйлийг олон дахин давтан гүйцэтгэхэд чадвар нь улам сайжирсаар байдаг. vii. Алдаанаас суралцахуй. Алдаа гаргахыг хүлээн зөвшөөрч, буруу зөвийг тайлбарлан, ухааруулж байх нь хүүхдэд алдаж, онох, түүнээсээ суралцах боломж олгодог. 1.5. СУРГАЛТЫН ЦӨМ ХӨТӨЛБӨРИЙГ ХЭРЭГЖҮҮЛЭХ ЗОХИОН БАЙГУУЛАЛТ i. Хүүхдийг хөгжүүлэх үйл ажиллагааны зорилгыг сургалтын цөм хөтөлбөрт заасан ерөнхий болон тусгай чадварууд, хүүхдийн хөгжлийн эрэлт хэрэгцээнд тулгуурлан хичээлийн жилийн, сэдвийн, өдөр тутмын зорилго гэсэн эрэмбээр хооронд нь уялдаатайгаар тодорхойлно. ii. Үйл ажиллагааны агуулга, арга зүй нь нээлттэй, уян хатан, агуулга нь хүүхдийн нүдэнд ил харагдахуйц, өөртэй нь холбоотой байна. Хүүхдийг хөгжүүлж, төлөвшүүлэх ажлыг төлөвлөхдөө сургалтын чиглэл тус бүрт буй багшийн үүрэг оролцоо, хүүхдийн хийх үйлийн жишгээс санаа авч болно. iii. Сургалтын цөм хөтөлбөр нь багш, хүүхдийн харилцан хамаарал бүхий идэвхтэй, бүтээлч үйлээс гадна эцэг эх, асран хамгаалагч болон нийгмийн бүлгүүдийн оролцоо, хамтын ажиллагааны үр дүнд хэрэгжинэ. iv. Сургалтын цөм хөтөлбөрийг цэцэрлэг тус бүр өөрийн сургалтын хөтөлбөрөөр хэрэгжүүлнэ. Багш нар сургалтын хөтөлбөрөө хүүхэд бүрийг хэрхэн хөгжүүлж төлөвшүүлэх арга замаа тодорхойлсон үзэл баримтлалдаа тулгуурлан боловсруулна. v. Хүүхэд бүрийг хөгжүүлэх цаг нь тухайн цэцэрлэг, бүлгийн өдрийн дэглэмийн дагуу зохион байгуулагдана. Хүүхэд бүрийн хөгжлийг үнэлэх нь тухайн хүүхдийн суралцахуйн үйлийг дэмжсэн, шаардлагатай дэмжлэг, үйл ажиллагааг тодорхойлж, төлөвлөх суурь болно. vi. Багш хүүхдийн хөгжин, төлөвших үйл ажиллагааг аль нэг сэдвийн дор зорилго, агуулга, арга зүй, хэрэглэгдэхүүнийг сонгон, нэгдмэл байдлаар (интеграцчилан) төлөвлөж явуулна. 1.6. СУРГАЛТЫН ЦӨМ ХӨТӨЛБӨРИЙГ ХЭРЭГЖҮҮЛЭХ СУРГАЛТЫН ОРЧИН i. Хүүхдийн орчин нь ая тухтай, эрүүл мэнд, хөдөлгөөн, тоглох үйлийг дэмжсэн, эерэг харилцааг үүсгэх, эрэл хайгуул хийхэд өдөөсөн суралцахуйн хөгжлийг дэмжсэн байна. ii. Хүүхдийн бие махбод, сэтгэл хөдлөл, зан чанар, харилцаа, сэтгэн бодох болон сурах арга барилын хөгжилд нөлөөлөхийн зэрэгцээ харилцан хамааралтай, уян хатан байна. iii. Сургалтын материаллаг орчин, үйлийн орчин, сэтгэл зүйн орчин нь дараах шаардлагыг хангасан байна. - Материаллаг орчин: • Хүүхэд бүлгээр ажиллахад хүртээмжтэй; • Сонирхлыг татахуйц; • Хэрэглэхэд ойр, хялбар; • Хүүхдийн тоглонгоо суралцах хэрэгцээг хангах. - Үйлийн орчин: • Сонголт хийх боломжтой; • Бодит үйл явцад оролцох; • Хөдөлгөөний хэрэгцээг хангах; • Олон талын туршлага хуримтлуулахуйц; • Үйлийн эзэн, идэвхтэй харилцагч байх; • Хангалттай цаг хугацаа олгох. - Сэтгэл зүйн орчин: • Эелдэг, дотно харилцаа; • Хүүхдэд таатай, хайр халамжийг мэдрүүлэхүйц; • Хүүхдэд баяр баясгалан төрүүлэхүйц; • Өөрийнхөө талаар эерэг мэдрэмж авахуйц; • Өрөө, танхим хангалттай орон зайтай байх. 1.7. СУРГАЛТЫН ЦӨМ ХӨТӨЛБӨРИЙН ХЭРЭГЖИЛТИЙН ҮНЭЛГЭЭ i. Хүүхдийн хөгжлийг ахицаар нь үнэлэх бөгөөд хүүхэд бүрийн үнэлгээ нь цогц, тэдний нийтлэг, онцлог “дүр төрх”-ийг тодруулсан, бодитой байна. Үнэлгээ нь өдөр тутмын үйл ажиллагааны явцад ажиглалтын аргаар хийгдэнэ. Хүүхдийг үнэлэхэд багштай туслах багш, цэцэрлэгийн удирдлага хамтран ажиллана. ii. Хүүхэд бүрийг үнэлэхдээ хүүхдийн бүх талын хөгжлийг хамарсан асуулт бүхий ажиглалтын хуудсын дагуу явагдах нарийвчилсан бүтэцтэй ажиглалт, хүүхдийн хөгжил, зан чанарын онцлог илрэлийг баримтжуулах чөлөөт ажиглалт, хүүхдийн суралцахуйд гарч буй ахиц, амжилтыг харуулсан бүтээлийн цуглуулга, бусад материалаас бүрдсэн хувийн хавтас хөтлөлтийг хослуулан хэрэглэнэ. iii. “Нарийвчилсан бүтэцтэй ажиглалт”-ыг хичээлийн жилд 2 удаа, тухайлбал 9 дүгээр сараас 11 дүгээр сар хүртэл, дараа жилийн хавар 4 дүгээр сараас 6 дугаар сар хүртэл хугацаанд явуулна. Ажиглалтын хуудас нь 3-6 хүртэл насны хүүхдийн дараах чадамж, онцлогийг илрүүлэхэд чиглэсэн асуултууд байна. • Хөдөлгөөн, эрүүл мэндийн чадамж • Нийгэмшихүйн чадамж • Хэл ярианы чадамж • Орчноо таньж мэдэх, орчинтойгоо харилцах чадамж • Математикийн чадамж • Дүрслэх урлагийн чадамж • Хөгжмийн чадамж iv. Чадамж тус бүрээр боловсруулсан асуулт нь “Сургуулийн өмнөх боловсролын сургалтын цөм хөтөлбөр”-т томьёолсон чадваруудад баримжаалах ба “Чөлөөт ажиглалт”, “Хувийн хавтас”-ын мэдээлэлтэй харьцуулан дүгнэлт хийнэ. v. Гурав хүртэлх насны хүүхдийн хөгжлийн ахицыг эзэмшсэн чадвараар нь жилдээ 2 удаа үнэлнэ. vi. “Чөлөөт ажиглалт”-аар багш хичээлийн жилийн туршид өдөр тутмын үйл ажиллагааны явцад аль нэг хүүхдийн онцлог зан авир, ахиц амжилт илэрсэн тохиолдолд тэмдэглэл хийнэ. vii. “Хувийн хавтас”-ыг хичээлийн жилийн туршид эцэг эх, хүүхэдтэй хамтран хөтөлнө. Энэ нь хүүхдийн хамгийн сайн хийсэн, түүнд гарч буй ахиц өөрчлөлтийг харуулсан бүтээл, фото зураг, ярилцлагын тэмдэглэл, бичлэг зэрэг олон зүйлийг агуулсан баялаг агуулгатай байна. viii. Хүүхдийн хөгжлийн түвшин, онцлогийг үнэлснээр хүүхэд бүрд шаардлагатай дэмжлэг туслалцаа үзүүлэх, багш өөрийн сургалтын арга зүйг боловсронгуй болгох, эцэг эх, асран хамгаалагчид хүүхдийнх нь хөгжил, төлөвшлийн талаар бодит мэдээлэл өгөх нөхцөл бүрдэнэ. ix. Багш, эцэг эх хүүхэд бүрийн үнэлгээний мэдээллийн нууцлалыг хадгалах бөгөөд дараагийн шатны боловсролын байгууллагад шилжин суралцахад суурь материал болгон ашиглана. 1.8. СУРГАЛТЫН ЦӨМ ХӨТӨЛБӨРИЙГ ХЭРЭГЖҮҮЛЭХЭД БАГШ, ЭЦЭГ ЭХ, АСРАН ХАМГААЛАГЧИЙН ҮҮРЭГ, ОРОЛЦОО 1.8.1. Багш нь хүүхдэд хайртай, хүүхэд бүр харилцан адилгүй, давуу, сул талтай, өөрийн гэсэн зан ааштай гэдгийг хүлээн зөвшөөрч, хүлээцтэй, хүндэтгэлтэй хандаж, дараах үүргийг хэрэгжүүлнэ.
  • 11.
    СУРГУУЛИЙНӨМНӨХБОЛОВСРОЛЫНСУРГАЛТЫНЦӨМХӨТӨЛБӨР 20 i. Хүүхэдтэй ойрдотно байж, тэдэнд хайр халамж, хамгаалалтыг мэдрүүлэх - Багш хүүхэд бүрийн хүсэл, санаа бодлыг анхааран сонсож, хийж буй үйлд нь ач холбогдол өгнө. Тавьсан асуултад хариулт эрж олох, хийж буй үйлээ амжилттай гүйцэтгэхэд нь тусална, зоригжуулна, өөрийн саналыг хэлнэ. ii. Анги танхимаа тохижуулах - Хүүхэд идэвхтэй үйл гүйцэтгэх, чөлөөтэй хөдлөх, бусадтай харилцах, анхаарлаа төвлөрүүлэн ажиллах, амрах боломжийг бүрдүүлнэ. Тэдэнд тоглоом наадгай, сургалтын хэрэглэгдэхүүн, багаж хэрэгсэл, техник хэрэгслийг чөлөөтэй авч ашиглах боломж олгоно. iii. Тоглоом болон сургалтын бусад үйл ажиллагааг төлөвлөж зохион байгуулах - Хүүхдийн тоглоомын явцад гаргасан сэдлийг дэмжинэ, тоглоомоо олон хувилбараар, сонирхолтой зохион байгуулахад нь сэдэл өгч дэмжинэ. Шаардлагатай тохиолдолд тоглоомын дүрмээ тохирч, хамтран зохицож тоглоход нь дэмжлэг үзүүлнэ. Цэцэрлэгийн өдөр тутмын үйл ажиллагааг төлөвлөхдөө хүүхдийн хэрэгцээ, сонирхлыг харгалзан, хүүхдийн оролцоог хангана. Цэцэрлэгийн гаднах орчинд хүүхэд суралцах, туршлага хуримтлуулах үйл ажиллагааг зохион байгуулна. iv. Хүүхдийг ажиглах, баримтжуулах - Хүүхэд бүрийн хөгжлийг дэмжихийн тулд багш тухайн хүүхэд хэрхэн суралцаж, хөгжиж буйг ажиглаж үнэлнэ. Хүүхдийн тавьж буй асуулт, сонирхол, тулгарч буй асуудал, сэдсэн санааг анзаарч, урамшуулан дэмжинэ. Хүүхдийн зан харилцааны онцлог, хөгжлийн ахиц илэрсэн тохиолдолд тэмдэглэнэ. Зураг, бүтээлээр нь баримтжуулна. Түүнчлэн тодорхой зорилго, чиглэлтэй ажиглалт явуулна. V. Эцэг эх, асран хамгаалагчтай хамтран ажиллах - Эцэг эх, асран хамгаалагчдад хүндэтгэлтэй, нээлттэй, ойр дотно эерэгээр харилцаж, ойлгон, хүлээн зөвшөөрч, эрэлт хэрэгцээ, хүсэлд нь нийцсэн үйл ажиллагаа явуулж, хүүхдийнх нь хөгжлийн талаар тогтмол ярилцан, санаа бодлыг нь хуваалцана. 1.8.2. Гэр бүл нь хүүхдэд бүхий л талаар, тасралтгүй, хамгийн хүчтэй нөлөөлдөг анхдагч боловсролын орчин бөгөөд бага насны хүүхдийн хөгжилд гэр бүл шийдвэрлэх үүрэгтэй. i. Эцэг эх, асран хамгаалагчдын оролцоо - Цэцэрлэгийн удирдлага, багш нар эцэг эх, асран хамгаалагчдад хүүхдийнхээ хөгжил төлөвшлийг дэмжин ажиллахад дараах чиглэлээр зөвлөн тусалж хамтран ажиллана. Хүүхэддээ олгох боломж • Янз бүрийн орчин, нөхцөлд туршлага хуримтлуулах (Жишээ нь: Хөдөө явах, музей үзэх); • Үндэсний ёс заншил, гэр бүлийн үнэт зүйлс, өв уламжлалыг мэдэрч ойлгох, дагаж биелүүлэх; • Харилцааны соёл, хэм хэмжээ, ёс зүйг мэдэрч, дуурайх (Жишээ нь: Мэндлэх, талархах, уучлалт хүсэх, болно-болохгүйг мэдэх, үнэнч, шударга байх); • Эрүүл ахуйн хэвшил дадал эзэмших (Жишээ нь: Гар, шүдээ угаах, тогтсон цагт унтах); • Чаддаг зүйлээ бие даан хийж дуусгах; • Сонголт хийх, шийдвэр гаргах. Хүүхэддээ нөлөөлөх үйл • Хүүхдээ анхааралтай сонсож, ярилцах; • Хүүхдийнхээ асуултад ач холбогдол өгч, хариулт өгөх, хамтран хариулт олох; • Хүүхэддээ асуулт тавих, ярилцах; • Хүүхэддээ үлгэр, өгүүллэг уншиж өгөх, ярилцах; • Унтуулахдаа “Бүүвэйн дуу” аялах; • Хүүхдэд өгсөн амлалтаа биелүүлэх; • Хүүхдийнхээ зурсан зураг, бүтээлүүдийг үзэж сонирхох, саналаа хэлж, урам өгөх; • Хүүхэд, багштай хамтран “Хувийн хавтас”-ыг нь баяжуулах; • Хүүхэд бодол санаа, мэдрэмжээ зурах, урлаж бүтээх, тоглох үйлээр илэрхийлэхийг урамшуулж дэмжих; • Хүүхэд дуулах, шүлэг унших, бүжиглэх, жүжиглэхэд нь талархах, зоригжуулах; • Үзэж харсан, оролцсон үйл явдлынх нь тухай хүүхэдтэйгээ ярилцах. ХОЁРДУГААР БҮЛЭГ: ЦӨМ ХӨТӨЛБӨРИЙН ХҮРЭХ ҮР ДҮН, АГУУЛГА СУРГУУЛИЙН ӨМНӨХ БОЛОВСРОЛЫН СУРГАЛТЫН ЦӨМ ХӨТӨЛБӨР
  • 12.
    22 23 СУРГУУЛИЙНӨМНӨХБОЛОВСРОЛЫНСУРГАЛТЫНЦӨМХӨТӨЛБӨР ХҮҮХЭДБҮХЭНДЭЭ“БИЧАДНА“ГЭСЭНИТГЭЛӨГЬЕ! ЦӨМ ХӨТӨЛБӨРИЙНХҮРЭХ ҮР ДҮН, АГУУЛГА 2.1. ХҮҮХДИЙН ЭЗЭМШИХ ЕРӨНХИЙ БА ТУСГАЙ ЧАДВАР Сургалтын цөм хөтөлбөр дэх сургалтын агуулга нь хүүхдийн эзэмших чадвараар тодорхойлогдоно. Сургуулийн өмнөх насанд хүүхэд дараах ерөнхий ба тусгай чадвар эзэмшинэ. Сургалтын чиглэл Ерөнхий чадвар Тусгай чадвар Агуулгын тогтолцооны бүрэлдэхүүн хэсэг Хөдөлгөөн, эрүүл мэнд Хөдөлгөөнөө удирдан зохицуулах Эрүүл амьдрах дадал хэвшилтэй болох Эерэг зан чанартай, бусадтай зохистой харилцах Асуудал шийдвэрлэх Санаа бодол, ойлголт төсөөллөө хэл яриа, бүтээлч үйлээр илэрхийлэх Орчноо судлах, таньж мэдэх,  Алхах, гүйх  Үсрэх, харайх  Авирах  Шидэх, барьж авах  Биеийн хөдөлгөөнөө хянах, зохицуулах  Биеийн тэнцвэрийг хадгалах  Гар хурууны хөдөлгөөнөө зохицуулах  Хувийн ариун цэврийг сахих  Гэмтэхээс болгоомжлох, өвчлөхөөс сэргийлэх - Биеийн хөдөлгөөн - Гар хурууны хөдөлгөөн - Эрүүл ахуйн дадал хэвшил - Хөдөлгөөний шинж чанар (хурд, хүч, тэнцвэр, зохицуулалт) Зан чанар, харилцаа  Өөрийгөө мэдрэх, ойлгох  Орчны өөрчлөлтөд дасах  Сэтгэлийн хөдөлгөөнөө зохистой илэрхийлэх  Бусдыг мэдэрч ойлгох  Насанд хүрэгчдийг хүндэтгэн харилцах  Үеийн хүүхдүүдтэй харилцах  Бусадтай хамтарч тоглох  Хүмүүсийн хоорондох ялгаатай байдлыг ойлгох, хүндэтгэлтэй хандах  Дүрэм, журмыг ойлгох, мөрдөх - Өөртэй итгэх итгэл, идэвх - Бусдад тавих анхаарал, хайр - Мэндлэл, хүндэтгэл - Сониуч зан, шинийг олж мэдэх эрмэлзэл - Оролдлого, зүтгэл - Хариуцлага - Харилцааны хэм хэмжээ, эв дүй, (Дүрэм, журам гэр бүлийн ѐс заншил) Хэл яриа  Хүний яриа, байгаль, орчны дуу чимээг ялгаж сонсох  Үгийг зөв сонсох, ойлгох, хэрэглэх  Өгүүлбэрийг зөв сонсох, ойлгох, хэлэх  Санаа бодлоо илэрхийлэн ярих  Уншиж, ярьж өгсөн эхийн утгыг ойлгох, агуулгыг ярих  Зураг, тэмдэг тэмдэглэгээний утгыг хэлэх - Авиа, үг, өгүүлбэр, эх - Сонсох - Ойлгох - Ярих - Зураг, тэмдэг тэмдэглэгээ Байгаль, нийгмийн орчин  Орчны юмсыг сонирхох, ажиглах, судлах  Ургамал, амьтныг ажиглаж судлах, тэдгээртэй зохистой харьцах  Улирал, цаг уурын - Юмс, хэрэглээний эд зүйлс - Орчны ургамал, амьтан - Улирлын өөрчлөлт - Ойр орчны хүмүүс орчинтой зохистой харьцах Урлагийг таашаах, урлал, уран сайхны үйлд дуртай оролцох өөрчлөлтийг сонирхох, таньж мэдэх  Ойр орчныхоо хүмүүсийн амьдрал, онцлогийг таньж мэдэх - Гэр бүл, цэцэрлэгийн амьдрал Математи- кийн энгийн төсөөлөл  Тоолох, тоо бодох  Хэмжих  Ангилах, оноох, дараалуулах, давтамж үүсгэх  Орон зайг баримжаалах  Цаг хугацаа заасан үг хэрэглэх - Тоо, цифр - Хэмжээ, хэлбэр дүрс, өнгө - Байрлал - Цаг хугацаа - Зүй тогтол - Хэмжилт Хөгжим, дүрслэх урлаг  Хөгжмийн аялгууг ялгаж сонсох, мэдрэмжээ илэрхийлэх  Ганцаараа болон бусадтай дуулах  Хөгжмийн хэмнэлийг илэрхийлэх  Хөгжмийн аялгуу, хэмнэлд тохируулан хөдөлгөөн хийх  Ойлголт төсөөлөл, бодол санаагаа зурж дүрслэх  Шавраар эд зүйлс, хүн, амьтан дүрслэх  Ойлголт төсөөлөл, бодол санаагаа наамлаар дүрслэх  Барьж байгуулах, зохион бүтээх - Дуу - Хөгжим - Аялгуу, хэмнэл - Хөгжимт хөдөлгөөн - Зураг - Баримал, шавар - Наамал - Зохион бүтээх - Өрж байгуулах, угсрах  Сургалтын чиглэл бүрээр заасан тусгай чадварыг хүүхэд эзэмшсэнээр сургалтын цөм хөтөлбөрийн зорилго, зорилт хэрэгжих, тэдэнд ерөнхий чадварууд сууж бий болох нөхцөл бүрдэнэ. Хүүхдийн эзэмших тусгай чадвар тус бүр хөнгөнөөс хүндэрсэн гурван түвшинтэй байна. Тусгай чадваруудын “I” түвшин 3 хүртэлх нас, “II” түвшин 3-4 нас, “III” түвшнийг 6 хүртэлх настай хүүхдэд баримжаалж болно. Гэвч хүүхэд бүрийн хөгжил адилгүй гэдгийг онцгой анхаарч ажиллана.  Багш хүүхдүүдийн дийлэнх нь аль түвшинд байгааг тогтоож, тэдэнд чиглэсэн үйл ажиллагааг зохион байгуулна. Тухайн түвшинд хүрээгүй буюу түрүүлж яваа хүүхдэд дасгал даалгаврын хувилбарыг бэлтгэн ашиглана. Багш өдөр тутмын үйл ажиллагааг төлөвлөх, зохион байгуулахдаа сургалтын чиглэл бүрээр тодорхойлсон “Багшийн үүрэг, оролцоо”, тусгай чадвар бүрийг эзэмшихтэй холбогдох “Хүүхдийн жишиг үйл”- ээс санаа авч, баяжуулан, бүтээлчээр ажиллана.
  • 13.
    24 25 СУРГУУЛИЙНӨМНӨХБОЛОВСРОЛЫНСУРГАЛТЫНЦӨМХӨТӨЛБӨР ХҮҮХЭДБҮХЭНДЭЭ“БИЧАДНА“ГЭСЭНИТГЭЛӨГЬЕ! 2.2. ХҮҮХДИЙНСУРАЛЦАХУЙН ЧИГЛЭЛҮҮД  Хүүхдийн суралцахуйн чиглэлүүд нь хүүхдийн бие бялдар, оюун ухаан, сэтгэл хөдлөл, нийгэмшихүйн хөгжлийг бүхэлд нь хамарна. 2.2.1. ХӨДӨЛГӨӨН, ЭРҮҮЛ МЭНД Яагаад хэрэгтэй вэ?  Хүүхдийн бие эрүүл, чийрэг байх нь тэднийг идэвхтэй, эрч хүчтэй, тэсвэр хатуужилтай болгохоос гадна суралцах, хөгжих нөхцөлийг бүрдүүлнэ.  Хөдөлгөөн нь хүүхдийн тархины үйл ажиллагааг идэвхижүүлдэг. Хүүхэд хөдөлгөөний чадвар эзэмшсэнээр гэнэтийн зүйлд хариу үйлдэл үзүүлэх чадамжтай болно.  Хүүхдийн бага насандаа эзэмшсэн эрүүл амьдрах дадал хэвшил нь тэдний насан туршид нь хадгалагдан эрүүл мэндэд сайнаар нөлөөлж, ач тусаа өгнө.  Хүүхэд өөртөө итгэлтэй, өөдрөг сэтгэлтэй, баяр баясгалантай, дарамтгүй, тайван байх сэтгэл санааны эрүүл мэнд нь хүүхдийн хөгжил, төлөвшлийн хамгийн чухал суурь болдог. Ямар үр дүнд хүрэх вэ?  Биеийн болон гар, хурууны хөдөлгөөний чадвар, дадал эзэмшинэ.  Хөдөлгөөний зохицуулалт, хурд, хүч, тэнцвэр нь сайжирна.  Эрүүл амьдрах дадал хэвшилтэй болно.  Гэмтэл бэртлээс болгоомжилно, өвчлөлтөөс сэргийлнэ. Чадвар I түвшин II түвшин III түвшин 1. Алхах, гүйх Хөлд орно, явж байгаад унахгүйгээр зогсоно. Орон зайг баримжаалан алхах, гүйх хөдөлгөөнийг хослуулан гүйцэтгэнэ. Алхалт, гүйлтийг янз бүрээр (өлмий дээр алхах, ухарч алхах, хөлийг хойш хаяж гүйх, хөлийг солбиж гүйх гэх мэт) гүйцэтгэнэ. Хүүхдийн жишиг үйл  Тойргоор, цуваагаар алхана, гүйнэ.  Янз бүрээр алхах, гүйх тоглоом санаачилна, тоглоно. (Жишээ нь: Хэн олон янзаар алхах вэ?)  Хөгжмийн аянд хөдөлгөөнийхөө хурдыг тохируулан алхана, гүйнэ.  Өгсөн дохионы дагуу чиглэл, хурдаа өөрчлөн гүйнэ.  Саадыг тойрч гүйж уралдана.  Хол зай (100 метр хүртэл)-д гүйнэ. 2. Үсрэх, харайх I түвшин II түвшин III түвшин Хоѐр хөл дээрээ байрандаа болон урагш үсэрнэ. Хоѐр хөл дээрээ тодорхой (2 метр орчим) зайд үсэрнэ. 2 хөлөө нийлүүлэн олсны хоѐр талд гарч үсэрнэ. (2 метр орчим зайд) Хүүхдийн жишиг үйл  Хөгжмийн хэмнэлд тохируулан үсэрнэ.  Багштайгаа үсэрч тоглоно. (Жишээ нь: Багшийн гараас нь барин дээш үсрэх, гараа аажмаар дээшлүүлж өргөхөд хүрэх тэмүүлэлтэй үсрэх)  Төрөл бүрийн хөдөлгөөнт тоглоомоор тоглоно. (Жишээ нь: “Хэн өндөрт үсрэх вэ?”, ”Үсрээд аваарай”, “Намаг дундуур уналгүй харайя”, “Бөмбөлөгт хүр”)  Гадаа талбайд үсэрч тоглоно. (Жишээ нь: Тоо, дүрсний дагуу нэг, хоѐр хөл дээрээ, урагшаа, хойшоо, солбиж үсрэх)  Хоѐр хөл дээрээ, байрандаа, урагш, хөлөө салгаж, нийлүүлж үсрэх, нэг хөл дээрээ үсрэх тоглоом тоглоно.  Дээс, олсонд үсэрч тоглоно. (Жишээ нь: Усны давалгаа, могой болгоход дээгүүр нь хүрэлгүй харайх)  Үсрэлт, харайлт орсон буухиа болон хөдөлгөөнт тоглоомд оролцоно. 3.Авирах I түвшин II түвшин III түвшин Шатаар өгсөнө, уруудна. Өндөрлөг зүйл (авирах хана, гулсуур гэх мэт) дээр авирч гарна, давж бууна. Савлуураас хоѐр гараараа барин тоглоно. Доош унжсан олсноос барьж авирна. Хүүхдийн жишиг үйл  Сандал, буйдан, намхан шат өөд авирч гарч, бууж тоглоно.  Хананд тогтоосон шатанд дээш авирч, бууна.  Налуу хана руу авирна.  Нуман шатаар авирч, давж бууна.  Гулсуур, шон, мод, олсон шат руу авирна.  Савлуураас хоѐр гараараа барина, дүүжигнэн тоглоно.  Доош унжсан олсноос барьж авирна. 4.Шидэх, барьж авах I түвшин II түвшин III түвшин Бөмбөгийг урагш шиднэ. Шидсэн том бөмбөгийг барьж авна. Бөмбөгийг дээш шидэж, барьж авна. Бөмбөгийг бай руу чиглүүлэн шидэж ононо. Хүүхдийн жишиг үйл  Бөмбөг шидэж, барьж авч тоглоно. (Жишээ нь: Бусдад шидэж, ойлгож, өнхрүүлж дамжуулах, дээш нь шидэх, барьж авах)  Өнгө өнгийн бөмбөгийг тохирох сагс руу шиднэ.  Бөмбөгийг хананд ойлгон барьж авахдаа янз бүрийн хөдөлгөөн хийнэ. (Жишээ нь: Алгаа таших, эргэх, өвдгөндөө гараа хүргэх)  Жижиг зүйлс (бөмбөг, алчуур, ууттай элс гэх мэт)-ийг дээшээ шидэж, унагалгүйгээр барьж авна.  Олон янзын хувилбараар бөмбөгөөр байг ононо. (Жишээ нь: Ойроос, холоос, гүйлтээс, нэг гараар, хоѐр гараар)  Шидэлтийн олон хувилбарыг ашиглана. (Жишээ нь: Бөмбөгийг газар ойлгон бусдад дамжуулах, бөмбөгийг цохиураар онож тор давуулах)  Юмсыг өнхрүүлж уралдана. (Жишээ нь: Цагаригийг өнхрүүлж туг тойрох, машины дугуйг өнхрүүлж уралдах)  “Хөл бөмбөг” тоглоно. 5.Биеийн хөдөлгөө- нөө хянах, зохицуу- лах I түвшин II түвшин III түвшин Насанд хүрэгчдийн хөдөлгөөнийг даган хийнэ. Дасгал хөдөлгөөнийг дэс дарааллын дагуу хийнэ. Хөдөлгөөнийг орон зайд зохицуулан бусадтай хамтран гүйцэтгэнэ. Хүүхдийн жишиг үйл  Багшийн хийж буй дасгал, хөдөлгөөнийг дагаж хийнэ.  Багшийн үгэн зааварчилгааг анхааралтай сонсож дагана. (Жишээ нь: Орох, гарахдаа жагсах)  Өөрийн сонгосон хөдөлгөөн бүхий үйлийг бие дааж гүйцэтгэнэ.  Тоглоомыг дүрмийн дагуу тоглоно.  Тоглоомын явцад өгсөн дохионы дагуу хөдөлгөөнөө эхэлж, дуусгана.  Хөгжмийн хэмнэлд янз бүрийн хөдөлгөөнийг хослуулан гүйцэтгэнэ.
  • 14.
    26 27 СУРГУУЛИЙНӨМНӨХБОЛОВСРОЛЫНСУРГАЛТЫНЦӨМХӨТӨЛБӨР ХҮҮХЭДБҮХЭНДЭЭ“БИЧАДНА“ГЭСЭНИТГЭЛӨГЬЕ!  Бусдыгдаган дуурайж, хамт тоглоно, найздаа тусална. (Жишээ нь: Даавуун дээр тавьсан зүйлийг хамтдаа унагалгүйгээр зөөх)  Дасгал хөдөлгөөн зохионо, бусадтай хамтдаа хийнэ.  Багийн тоглоом, уралдаанд оролцоно.  Бусадтай хамтран тоглоом хэрэгслийг зөөж байрлуулна, хураана. 6.Биеийн тэнцвэр ийг хадгалах I түвшин II түвшин III түвшин Өргөн замаар биеийн тэнцвэрийг хадгалан алхана. Нарийн замаар биеийн тэнцвэрийг хадгалан алхана. Янз бүрийн хөдөлгөөн (үсрэх, харайх, шидэх) гүйцэтгэхдээ биеийн тэнцвэрээ хадгална. Хүүхдийн жишиг үйл  Өндөрлөг зүйл дээр гарч зогсоно. (Жишээ нь: Сандал, авиралтын шат)  Нэг буюу хоѐр гартаа тоглоом барьж эсвэл толгой дээрээ ууттай элс тавиад нарийн замаар алхана.  Юмсыг дамжин явна. (Жишээ нь: Том чулуунууд, өрдөг том тоглоом, модны тайрдас, дугуй, олс дээс)  Савтай ус зөөнө. (Жишээ нь: Будгийн ус солих, саваар ус зөөж элс норгох, цэцэг услах)  Нэг хөл дээрээ догонцон тоглоно. (Жишээ нь: Дүрсүүд рүү үсрэх)  Төрөл бүрийн эд юмс, тоглоом, хэрэглэгдэхүүн ашиглан биеийн тэнцвэрийг хадгалах дасгал хөдөлгөөн гүйцэтгэнэ. (Жишээ нь: Хөшөө болох, вандан сандлыг гүүр болгон дээгүүр нь алхах) 7.Гар хурууны хөдөлгөө нөө зохицуу лах I түвшин II түвшин III түвшин Жижиг тоглоом, эд зүйлсийг алдахгүй барина. Гар хуруугаараа энгийн үйл (хаалга цоожлох, шүр хэлхэх, таглааг эргэдэж таглах, цэцэг услах, товч товчлох, бүсээ бүслэх гэх мэт) гүйцэтгэнэ. Гар хуруугаараа нарийн, хүндэвтэр үйл (хайчлах, эвхэх, гутлаа үдэх, шагай няслах, үсээ сүлжих, уяж зангидах гэх мэт) гүйцэтгэнэ. Хүүхдийн жишиг үйл  Төрөл бүрийн үйл хийнэ. (Жишээ нь: Зангууг татах, тайлах, номын хуудас эргүүлэх, таглааг татаж, эргэдэж онгойлгох, элсэн дээр зурах, нойтон цаасаар бөмбөг хийх)  Шагайгаар тоглоно. (Жишээ нь: Шагай няслах, шүүрэх)  Гарын хүч, хурууны эвсэл шаардсан тоглоом тоглоно. (Жишээ нь: Савх моднууд өрөх, гартаа уяа эргүүлэх)  Шингэн, бутармаг зүйлсийг савлана, юүлнэ, зөөнө. (Жишээ нь: Савтай ус юүлэх, нэг аяганаас нөгөөд ус, будаа, гоймон, үр тариа зэргийг хийх)  Өөртөө үйлчлэх “хөдөлмөр”-ийн үйл хийнэ. (Жишээ нь: Хувцсаа товчилж тайлах, бүсээ бүслэх, гараа угаах, үсээ самнах) 8.Хувийн ариун цэврийг сахих I түвшин II түвшин III түвшин Насанд хүрэгчдийн дэмжлэгтэйгээр амаа зайлж, хамраа цэвэрлэж, нүүр, гараа угаана. Бусдын сануулгатайгаар гараа дарааллын дагуу угаана. Хоолойгоо зайлна. Бие даан гараа дарааллын дагуу угаана. Шүдээ насанд хүрэгчдийн дэмжлэгтэйгээр угаана. Бие зассаны дараа ариун цэврийн цаас хэрэглэнэ. Хүүхдийн жишиг үйл  Тоглоом, үйл ажиллагааны явцад гарсан хог хаягдлыг зориулалтын саванд хийнэ.  Хоол, ундаа асгасан даруйд арчиж цэвэрлэнэ.  Өөрийн алчуур, сам, сойзыг ашиглана.  Бусадтай гутал, оймс, алчуур зэрэг зүйлсээ солихгүй байна.  Идэж буй чихэр, бохио бусдад дамжуулахгүй байна.  Жүжигчилсэн тоглолт хийнэ. (Жишээ нь: Хог хаяж байгаа хүн)  Тоглоом болон сургалтын хэрэглэгдэхүүнийг цэвэрлэх үйлд оролцоно.  Ариун цэврийн цаасыг бусдын туслалцаатай, яваандаа бие даан хэрэглэнэ. 9.Гэмтэ- хээс бол- гоомжлох , өвчлө- хөөс сэргийлэх I түвшин II түвшин III түвшин Насанд хүрэгчдийн болгоомжлуулсан зарим үйлдэл (бохирдсон хүнсийг идэхгүй байх гэх мэт)- ийг хийхгүй байна. Өөрийн эрүүл мэндэд санаа тавих үйлдэл (түүхий ус уухгүй байх, ханиадны эсрэг массаж хийх)-үүд хийнэ. Гэмтэж болзошгүй үйлдэл (малын хөлөөс хол байх, машинаас болгоомжлох гэх мэт)- үүдээс зайлсхийнэ. Хүүхдийн жишиг үйл  Нийтээрээ хэлэлцэн бүлгийн болон сургалтын төвүүдийн дүрэм зохионо. (Жишээ нь: Дүрслэх урлагийн төвд “Харандааны үзүүрийг доош нь харуулж бие биедээ өгнө”, “Хайчны амыг хамхиж тавина”)  Болгоомжлох зүйлсийн талаар ярилцана, дасгал сургуулилалт хийнэ. (Жишээ нь: Тоглох үедээ нөхдөө түлхэхгүй, цахилгааны залгуурт хүрэхгүй, машин зам дээр тоглохгүй байх)  Аюулын дохио юунд хэрэгтэй болох, хүмүүс энэ үед ямар арга хэмжээ авдаг тухай төсөлт ажил, үзүүлэх сургуульд оролцоно.  Гал гарах, газар хөдлөх, үер болох, төөрөх үед хэрхэн өөрийгөө хамгаалах талаар дасгал сургууль хийнэ. (Жишээ нь: Толгой дээрээ ном, хатуу зүйл барих, ширээн доогуур орох, тусламж дуудах, цэцэрлэгийн ослын гарцуудтай танилцах)  Цэцэрлэг, гэр орон, орчиндоо хэрхэн аюулгүй байх тухай санаануудын жагсаалт хамтран гаргана, ярилцана. (Жишээ нь: Булан тойрох, аяга, таваг барьсан үедээ гүйхгүй байх, шатаар бие биеэ түлхэхгүй байх)  Хүүхдийн өдөр тутмын идэж хэрэглэх шаардлагатай хоол хүнсний талаар зурагт ном хийнэ. (Жишээ нь: Сүү, сүүн бүтээгдэхүүн, үр тариа, хүнсний ногоо)  Хооллоход анхаарах зөв хэвшлийн талаар ярилцана, дасгал сургуулилалт хийнэ. (Жишээ нь: Бага багаар халбагадаж идэх, хоолоо тайван, олон удаа зажилж идэх)  Шаардлагатай утасны дугааруудыг асуухад хэлнэ. (Жишээ нь: Гэр бүлийнхний утасны дугаар, 101, 102, 103, 108)  Замын хөдөлгөөнд явганаар болон тээврийн хэрэгслээр оролцох үед насанд хүрэгчдийн зааварчилгааг биелүүлнэ. (Жишээ нь: Гарцаар гарах, цонхоор толгойгоо гаргахгүй байх, арын суудалд суух, бүс бүслэх, хүүхдийн зориулалтын суудал хэрэглэх)
  • 15.
    28 29 СУРГУУЛИЙНӨМНӨХБОЛОВСРОЛЫНСУРГАЛТЫНЦӨМХӨТӨЛБӨР ХҮҮХЭДБҮХЭНДЭЭ“БИЧАДНА“ГЭСЭНИТГЭЛӨГЬЕ! Багшийн үүрэг,оролцоо  Хөдөлгөөн, эрүүл амьдрах дадал хэвшил эзэмшихэд шаардагдах орчин, хэрэглэгдэхүүнийг бэлтгэнэ.  Хөдөлгөөн гүйцэтгэх орон зай, мөн амрах тайвшрах орчин бүрдүүлнэ.  Хүүхдийн сэтгэл санааны байдал, дуртай, дургүй зүйлийг анзаарч мэднэ, ганцаарчилсан дэмжлэг туслалцаа үзүүлнэ.  Хүүхэд бүрт хэрэгцээтэй ариун цэврийн хэрэгслийг бэлэн байлгана.  Хүүхдэд тоглоом болон хэрэглэлийг бие даан сонгох, үндсэн хөдөлгөөнүүдийг гүйцэтгэхэд дэмжлэг үзүүлнэ, зоригжуулна.  Сонирхолтой дасгал, тоглоом зохионо, зохион байгуулна.  Дасгал, хөдөлгөөн гүйцэтгэх техникийг үлгэрлэн үзүүлнэ, хүүхэдтэй хамтран хийнэ.  Хүүхдэд дасгал, хөдөлгөөнийг давтан хийх явцдаа гүйцэтгэлээ сайжруулах боломж олгоно.  Тоглоомын дүрмийг баримтлахад дэмжлэг үзүүлнэ, дүгнэж ярилцана.  Хооллолтыг ая тохитой, тайван зохион байгуулна. Хүүхдэд эрүүл хооллолтын талаар ойлголт өгнө.  Хөдөлгөөнт тоглоомын зарим хэрэглэгдэхүүнийг хүүхэдтэй хамтран бэлтгэнэ.  Хэрэглэсэн зүйлээ цэвэрлэх, хураахад шаардагдах хэрэглэгдэхүүнийг бэлтгэнэ.  Гарын хөдөлгөөнийг дэмжсэн тоглоом зохион байгуулна. (Жишээ нь: Элс, усаар тоглох, гар хуруугаар тоглох үгэн наадам)  Өдрийн дэглэм, хувийн ариун цэврийг сахихтай холбоотой хэрэглэгдэхүүн (зурагт хуудас, бичлэг гэх мэт) бэлтгэж ашиглана.  Хогийн сав, алчуур, тосгуур, амны цаас (сальфетка) зэргийг хүүхэд төвөггүй авч ашиглах боломжтой байрлуулна.  Мэргэжлийн хүмүүстэй уулзалт, ярилцлага зохион байгуулна. (Жишээ нь: Шүдний эмч, хоол зүйч, нүдний эмч)  Цэцэрлэг дээр хүүхдэд эзэмшүүлж буй эрүүл ахуйн дадал хэвшлүүдийг гэрт нь бататган мөрдүүлж байх талаар эцэг эх, асран хамгаалагчид зөвлөнө, хамтран ажиллана.  Орчны аюулгүй байдлыг хангана. Ямар хэрэглэгдэхүүнээр дэмжих вэ?  Шат, гулсуур, сагсны шийд, вандан, саадтай зам, нуман шат, налуу хавтан зэрэг ангийн болон гадаа талбайн хэрэгсэл  Олс, цагираг, тууз, төрөл бүрийн бөмбөг, дарцаг, саваа мод гэх мэт хөдөлгөөнт тоглоомын хэрэглэгдэхүүн  Биеийн болон гар хурууны хөдөлгөөн шаардсан уламжлалт тоглоомууд  Том өрж байгуулах тоглоом, унаж явдаг тоглоомон машин  Хэлхэх шүр, шагай, сүвлэх, сүлжих хэрэглэл  Хувийн ариун цэврийн хэрэгсэл 2.2.2. ЗАН ЧАНАР, ХАРИЛЦАА Яагаад хэрэгтэй вэ? “Хүн болох” үндэс суурь бага насанд тавигддаг. Хүүхэд бүр хүмүүний зан чанар, харилцааны үнэт зүйлсийг багаасаа эзэмшиж, төлөвших нь тэдний насан туршийн ажил, амьдралд шийдвэрлэх үүрэгтэй. Хүний хөгжил, төлөвшлийн судалгаагаар зан чанар, харилцааны чадамж (EQ) нь оюуны чадамж (QI)-ийн суурь шийдэл буюу хүний амжилтын үндэс болохыг нотолж байна. Энэ нь манай ард түмэн хүмүүний “Зүрх сэтгэлийн хөгжил”-ийг чухалчлан “Санаа зөв бол, заяа зөв”, “Дотоод сэтгэл зөв бол, гадаад үйл зөв” хэмээх сургаал, ѐсыг эрхэмлэн хэрэгжүүлж ирсэн уламжлалтай зарчим нэг юм. Зүрх сэтгэлийн хөгжилд эцэг эх, ах дүү, бие биеэ хайрлах, хүндлэх, асрах дэмжих, хүмүүстэй нээлттэй дотно, хүнлэг харилцахыг багтаасан хайр нигүүсэл энэрэлийн уламжлалт ѐс заншил, сэтгэлийн ариусал (сайхан сэтгэл, бусдыг уучлах), байгаль дэлхийгээ хайрлах, зөв харьцах, зохицон амьдрах, амьтдыг хайрлан хамгаалах, бэлгэшээн амьдрах уламжлалт зан заншил чухал байр эзэлдэг. Иймд хүүхэд бүрт бусдад анхаарал тавих, холбоо харилцаа тогтоох, мэдээлэл солилцох, өөртөө итгэх, өөрийнхөө онцлог, давуу талыг мэдрэх, оролдлого, зүтгэлтэй байх, хийж буй үйлдээ хариуцлага хүлээх, тууштай хандах боломж, орчин нөхцөлийг бүрдүүлэх нь чухал юм. Ямар үр дүнд хүрэх вэ?  Хүүхэд өөрийгөө мэдэрч, өөрийнхөө талаар эерэг сэтгэгдэлтэй, өөртөө итгэлтэй, өрөвч нинжин сэтгэлтэй болно.  Өөрийн хүсэл, бодол санаагаа чөлөөтэй илэрхийлдэг болно, бие даасан байдал, санаачилга, тэсвэр, зүтгэл чармайлтаа харилцаа, үйлээрээ бусдад харуулна.  Өөрийн сэтгэлийн хөдөлгөөнөө мэдэрч, зохистойгоор илэрхийлнэ, хийж буй үйлийнхээ үр дагаврыг мэднэ.  Бусдыг ойлгох, бусадтай харилцах чадвар, хэм хэмжээнд суралцана.  Сурч мэдэх хүсэл эрмэлзэлтэй, шинийг эрэлхийлдэг, сониуч байна, тулгарсан асуудлыг бие даан өөрийн хэр хэмжээнд шийдвэрлэнэ. Чадвар I түвшин II түвшин III түвшин 1.Өөрийгөө мэдрэх, ойлгох Өөрийнхөө бие, сэтгэлийн тааламжтай ба тааламжгүй байдлыг мэдэрнэ, илэрхийлнэ. Өөрийн дуртай, дургүй, сонирхсон зүйлээ илэрхийлнэ. Өөрийнхөө санаа бодлыг илэрхийлнэ, хамгаална. Хүүхдийн жишиг үйл  Дуртай, дургүй зүйлээ илэрхийлж хэлнэ. (Жишээ нь:Тоглоом, хувцас)  Өлсөх, цангахаа мэдэрнэ, илэрхийлж хэлнэ.  Өөрийн чаддаг зүйл, сонирхсон зүйлээ сонгож хийнэ.  Өөрийн хүсэл, сонирхлоо хэлнэ.  Санаа бодлоо үгээр болон бүтээлээрээ илэрхийлнэ.  Багштайгаа хамтран болон бие даан тоглоно.  Гараараа төрөл бүрийн эд зүйл барьж мэдэрч дасгал, тоглоом тоглоно.  Өөрийн хүчинд тохирсон ажил үйл гүйцэтгэнэ. I түвшин II түвшин III түвшин
  • 16.
    30 31 СУРГУУЛИЙНӨМНӨХБОЛОВСРОЛЫНСУРГАЛТЫНЦӨМХӨТӨЛБӨР ХҮҮХЭДБҮХЭНДЭЭ“БИЧАДНА“ГЭСЭНИТГЭЛӨГЬЕ! 2. Орчны өөрчлөлтөд дасах Цэцэрлэгтээ ирэхдээ гэрийнхнийгээ дагажуйлахгүй үлддэг болно. Цэцэрлэгийн амьдралд дасна, үйл ажиллагаанд оролцоно. Янз бүрийн орчин (өөр анги, танхимд, шинэ хүүхдүүд)-д үйл ажиллагаанд идэвхтэй оролцоно. Хүүхдийн жишиг үйл  Бүлэгт байгаа тоглоом, эд зүйлсээр ганцаараа болон найзтайгаа тоглоно.  Өөрийн сандал,шүүгээгээ мэдэж ашиглана, андуурсан найздаа тусална.  Өдрийн дэглэмийн дагуу явагддаг үйл ажиллагааг мэднэ, нэрлэнэ, оролцоно.  Цэцэрлэгийн бусад өрөө, анги танхимд зочилно, санаа бодлоо бусадтай хуваалцана.  Найзтайгаа мэндэлнэ, өөрийгөө танилцуулна, гэр бүлийнхээ тухай ярина.  Дуртай газраа сонгож тоглоно. (Жишээ нь: Ангид буй байшин дотор орох, зөөлөн буйдан дээр хэвтэх, майхан барьж тусгаарлан тоглох)  Багшдаа хүсэлтээ хэлж, асуулт асууж, хамт тоглож дотносно.  Цэцэрлэгт таалагдаж байгаа, таалагдахгүй байгаа зүйлийнхээ талаар саналаа хэлнэ.  Үйл ажиллагаанууд (Тоглоом тоглох, дуу дуулах, шүлэг унших, сонсох, урлан бүтээх гэх мэт)-д өөрийн санаачилгаар оролцоно.  Өөр ангийн багш, хүүхдүүдтэйгээ чөлөөтэй харилцаж ярилцана. 3.Сэтгэлийн хөдөлгөөнөө зохистой илэрхийлэх I түвшин II түвшин III түвшин Өөрийн сэтгэлийн хөдөлгөөнийг мэдэрнэ, тохиолдсон зүйлээ ярина. Сэтгэлийн хөдөлгөөнийг илэрхийлсэн үг, хэллэгийг хэрэглэнэ, учир шалтгааныг нь тайлбарлана. Уур, цухлаа зохистойгоор (бусдыг гомдоохгүй, түрэмгийлэхгүй) илэрхийлж, өөрийгөө тайвшруулна. Хүүхдийн жишиг үйл  Бусадтай тоглох, харилцахдаа зан авираа хянаж зохицоно.(Жишээ нь: Хамт тоглох, сонирхсон зүйлээ хамт хийхийг хүсэх, ээлжлэн тоглох)  Хуруун хүүхэлдэй, ширээний театр, жүжигчилсэн тоглолт, сэдэвт үйлийн тоглоомоор тоглох явцдаа өөрийн сэтгэлийн хөдөлгөөнийг дуу хоолой, нүүр царайны хувирал, дохио зангаагаар илэрхийлнэ.  Сэтгэлийн хөдөлгөөнөө үг яриа, харц, дохио зангаагаараа илэрхийлнэ.  Уурлаж, бухимдсан үедээ өөрийгөө тайвшруулах арга замуудыг мэдэж хэрэглэнэ. (Жишээ нь: Бусдаас холдох, багшдаа болсон зүйлсээ хэлж тайвшрах)  Баярласан, уурласан, гомдсон, уйтгарласан шалтгаанаа бусдад тайлбарлан ярина.  Гэр бүл, найз нөхөдтэйгөө баяр тэмдэглэж, сэтгэгдлээ хуваалцана.  Сэтгэлийн хөдөлгөөнийг илэрхийлсэн зураг дээр ярилцана, өөрөө зурж илэрхийлнэ. 4.Бусдыг мэдэрч ойлгох I түвшин II түвшин III түвшин Хүмүүсийн сэтгэлийн хөдөлгөөнийг нүүрний хувирал, дуу хоолойн өнгө, хөдөлгөөнөөр ялгана. Өөрийнх нь үйлдэл бусдад нөлөөлж буйг мэдэрч харилцана. Хүмүүсийн сэтгэлийн хөдөлгөөн өөр өөр байдгийг мэдэж, зохицон харилцана. Хүүхдийн жишиг үйл  Гараараа төрөл бүрийн эд зүйл барьж мэдэрч дасгал, тоглоом тоглоно.  Өөрийн хүчинд тохирсон ажил үйл гүйцэтгэнэ. I түвшин II түвшин III түвшин  Ойр дотны болон таньдаг хүмүүстэй бодол санаагаа хуваалцана.  Хүмүүсийн дохио зангаа, нүүрний хувирал өөрчлөлтүүдийг ажиглаж, ялгааг мэдэрч хэлнэ.  Тоглоом, үйл ажиллагааны явцад бусдын хүсэлт, гуйлтыг биелүүлнэ, зарим тохиолдолд татгалзсан бол учрыг нь тайлбарлана.  Хүмүүсийн зан авир, сэтгэлийн хөдөлгөөн, сайн, муу үйлийг харуулсан богино үлгэр, өгүүллэг сонсож, төрсөн сэтгэгдлээ ярина.  Бусад хүмүүсийн баяр хөөр, уйтгар гомдлыг хуваалцана, бусдыг хайрлана, халамжилна.  Харилцааны сэдэвтэй үлгэр, өгүүллэгийн дүрд жүжигчлэн тоглоно.  Хүмүүсийг ойлгож харилцах, бусдын бодол санааг хүлээн зөвшөөрөх, хэрэгцээтэй үед нь туслах, баяр хөөр, уйтгар гунигийг хуваалцаж сурах тухай сэдэвт тоглоомууд тоглоно. 5. Насанд хүрэгчидтэй харилцах I түвшин II түвшин III түвшин Ойр байгаа хүмүүстэйгээ харилцаж тоглоно. Насанд хүрэгчидтэй мэндчилгээ, талархлын үгс хэлж харилцана, шаардлагатай үед тусламж хүснэ, хүссэн тохиолдолд тэдэнд тусална. Насанд хүрэгчдээс сонирхсон зүйлээ асууна, хүсэлт гуйлтыг нь биелүүлнэ, хүндэтгэн харилцана. Хүүхдийн жишиг үйл  Насанд хүрэгчидтэй харилцахдаа мэндлэх, хүндлэх, үдэх, талархал илэрхийлэх үгсийг хэрэглэнэ.  Асуулт асууна, тусламж хүснэ, сонирхол, санаа бодол, сурч мэдсэн туршлагаа хуваалцана.  Насанд хүрэгчдийн үгийг хүлээцтэй сонсож, хүсэлт гуйлтыг биелүүлнэ, хамтдаа тоглоно, ажил үйл гүйцэтгэнэ.  Үзэж харсан, оролцсон үйл явдлынхаа тухай ярина.  Эцэг эх, багш, бусад хүмүүстэй харилцаж мэдээлэл авна.  Өөрийн болон бусад хүүхдийн аав ээжтэй өглөөлөг, өдөрлөг, спортын арга хэмжээнд хамт оролцоно.  Багштайгаа хамт сургах, сэдэвт үйлийн, дүрд хувирах тоглоомуудыг тоглоно.  Хүмүүстэй хэрхэн харилцах тухай үлгэр, өгүүллэг сонсоно, ярилцана. 6. Үеийн хүүхдүүдтэй харилцах I түвшин II түвшин III түвшин Багшийн тусламжтайгаар өөр хүүхэдтэй эв зүйгээ ололцоно. Бусадтай хамтран тоглоно, ажил үйл гүйцэтгэнэ. Өөрийн санаа бодлыг бусдад тулгахгүйгээр найрсаг, нээлттэй харилцана. Хүүхдийн жишиг үйл  Өөрийн зөв гэж бодож байгааг тайлбарлана, хамгаална.  Буруугаа хүлээнэ.  Үе тэнгийнхэнтэйгээ яриа үүсгэж харилцана.  Найз, нөхдийнхөө үгийг хүлээцтэй сонсож, хүлээн авна.  Бусдыг шоолохгүй байна.  Бусдыг сонсож, эерэгээр харилцана.  Бусдын хэлж, хийж буй эерэг зүйлд талархлаа илэрхийлнэ.  Бусдын эд зүйлсийг зөвшөөрөл авч хэрэглэх талаар ярилцана, ангийн дүрэмдээ тусгана.  Тоглоом, үйлийн явцад нэг нэгнийхээ санааг сонсож, санал бодлоо солилцоно.  Нэг нэгэндээ саад болохгүй байна, санаачилгаараа тусална.  Найз нөхөрлөлийн тухай үлгэр, өгүүллэг сонсоно, дуу дуулна, шүлэг уншина, утгыг ярилцана. хувирал, дуу хоолойн өнгө, хөдөлгөөнөөр ялгана. буйг мэдэрч харилцана. байдгийг мэдэж, зохицон харилцана. Хүүхдийн жишиг үйл
  • 17.
    32 33 СУРГУУЛИЙНӨМНӨХБОЛОВСРОЛЫНСУРГАЛТЫНЦӨМХӨТӨЛБӨР ХҮҮХЭДБҮХЭНДЭЭ“БИЧАДНА“ГЭСЭНИТГЭЛӨГЬЕ! 7.Бусад хүүхэдтэй тоглох I түвшинII түвшин III түвшин Бусад хүүхдийн тоглож буйг ажиглана, хөдөлгөөн, үг хэллэгийг дуурайж тоглоно. Тоглоом наадгай, эд зүйлээ хуваалцана, ээлжээ хүлээн тоглоно. Тоглох явцад тулгарах асуудлыг бие даан шийдвэрлэнэ, найзтайгаа зохицож тоглоно. Хүүхдийн жишиг үйл  Хэсэг бүлгээрээ, сонирхлоороо нэгдэн хамтран тоглоно.  Барьж байгуулах, угсрах, эвлүүлэх, хөдөлгөөнт, хөлөгт гэх мэт төрөл бүрийн тоглоомд оролцоно.  Тоглох тоглоом, наадгайгаа хамтдаа ярилцаж сонгоно, тоглоомын агуулгыг бүтээлчээр илэрхийлнэ.  Сэдэвт болон жүжигчилсэн тоглоомд дүрээ харилцан тохиролцож сонгоно.  Тоглоомд шаардлагатай туслах хэрэглэгдэхүүн, материалыг багштай ярилцаж, хамтран бүтээнэ.  Тоглоомын дүрмийг баримтална, тохирсон зүйлээ биелүүлнэ.  Тоглоомд шинэ санаачилга, санал гаргах зэргээр бүтээлчээр оролцоно. 8.Хүмүүсийн хоорондох ялгаатай байдлыг ойлгох, хүндэтгэлтэй хандах I түвшин II түвшин III түвшин Хүн бүр өөр гэдгийг мэдэрнэ. Хүмүүс (хүүхдүүд) хүйс, царай зүс, зан ааш, чадвар, биеийн онцлогоороо ялгаатай гэдгийг мэднэ, хүлээн зөвшөөрч харилцана. Өөр хэл, соѐлтой хүмүүсийг сонирхож (асуулт асуух), тэдэндтэй хүндэтгэлтэй харилцана. Хүүхдийн жишиг үйл  Хүмүүсийн нас, хүйсийг ялгана. (Жишээ нь: Залуу, хөгшин, хүүхэд, эрэгтэй, эмэгтэй)  Үеийн хүүхдүүд, гэр бүлийн гишүүд, таньдаг хүмүүсийн зан чанар, сонирхол, ялгаатай байдлын тухай ярилцана.  Харах, сонсох, ярих, хөдөлгөөний болон сурах бэрхшээлтэй хүүхэд ангид нь байвал халамжилж, түүнд тусална.  Ядарсан, өвчтэй, хөгшин хүнд анхаарал тавина, тэдэнд өөрийнхөө хэр хэмжээнд тусална.  Зарим хүн (харах, сонсох, ярих, хөдөлгөөний бэрхшээл)-д ямар хүндрэл, бэрхшээл, онцлог байгааг олж харж, мэдэрнэ, түүнд хэрхэн туслаж болох тухай ярилцана.  Өөр улс, үндэстэн, ястнууд хоорондоо олон зүйлээр ялгаатай байдаг, эв найрамдалтай амьдардаг тухай кино үзэж, үлгэр, өгүүллэг сонсож ярилцана.  Бусад үндэстэн, ястны өв соѐлыг сонирхон, тэдний тоглоом, дуу, шүлгээс сурна. (Жишээ нь: Хувцасны ялгааг олж хэлэх, мэндчилгээний үг хэлэх, дуу, бүжгээс сурах)  Хэл соѐл, зан заншлаараа өөр өөр хүмүүс нь хоорондоо харилцаж, хамтран ажилладаг тухай үлгэр, өгүүллэг сонсож, ярилцлага өрнүүлнэ. 9.Дүрэм, журмыг ойлгох, мөрдөх I түвшин II түвшин III түвшин Болно, болохгүйг ойлгож, өгсөн хялбар зааврыг дагана. Тоглоомын болон ангийн дүрмийг ойлгож, бусдын сануулгатайгаар мөрдөнө. Гэр бүл, цэцэрлэг, анги, олон нийтийн газарт тогтсон дүрэм, журмыг баримтална. Хүүхдийн жишиг үйл  Өдрийн дэглэмийн дагуу үйл ажиллагаануудад оролцоно.  Багшийн өгсөн үүрэг даалгавар, зааврыг биелүүлнэ. (Жишээ нь: Тоглож дуусаад тоглоомоо хураах, бие засаад усаа татах)  Амьдралд мөрддөг энгийн дэг журмыг мэдэж биелүүлнэ. (Жишээ нь: Гаднаас орохдоо гутлаа арчих, ном, дэвтэр урахгүй, малгай газар тавихгүй байх)  Ангийн эд юмс, тоглоом наадгайтай ариг гамтай харьцаж, зориулалтаар нь ашиглан орчноо эмх цэгцтэй болгоно.  Гэр бүлийнхээ ѐс заншлыг дагаж хэрэгжүүлнэ. (Жишээ нь: Хүн юм өгөхөд алгаа тосож авах, хаалга алдлахгүй байх, гол, усанд бохир оруулахгүй байх)  Ангийн дүрмийг хамтарч гаргана, дагаж мөрдөнө.  Олон нийтийн газар биеэ зөв авч явна. (Жишээ нь: Чанга хашгирахгүй, гүйж харайхгүй байх, хогоо зориулалтын саванд хийх)  Төрөл бүрийн дүрэмтэй тоглох тоглоомыг нийтээр болон хэсгээр тоглоно. Хүүхдийн эзэмших зан чанар 1.Бие даах I түвшин II түвшин III түвшин Хувцсаа өмсөх, тайлах, хоолоо идэх зэрэг үйлийг бие даан хийнэ, чадахгүй зүйлдээ туслалцаа хүснэ. Өдөр тутмын үйл ажиллагаа (жижүүр хийх, тоглох гэх мэт)-нд бүтээлчээр, бие даан оролцоно. Тоглох, сурах үйлд өөрөө бодож, сэтгэнэ, эрэл хайгуул хийнэ, эхэлснээ дуусгана. Хүүхдийн жишиг үйл  Өөртөө үйлчлэх энгийн үйлүүдийг багшийн дэмжлэгтэйгээр болон бие даан хийнэ. (Жишээ нь: Гараа угаах, хувцсаа өмсөж тайлах, ор дэрээ хураах)  Аливаа үйлд оролцох хүсэл, сонирхлоо илэрхийлнэ, туршина.  Өөртөө тулгарч буй харилцааны болон энгийн асуудал (хувцсаа сонгох гэх мэт)-ыг бие даан шийдвэрлэнэ. (Жишээ нь: Тоглоомноос гарах, тоглоомын дүрмийг өөрчлөх)  Ангийн өрөө тасалгааг эмхэлж цэгцлэх, амьтан ургамал арчилж хамгаалахад санаачилга гарган оролцоно.  2 болон түүнээс дээш үйлээс алийг нь хийхээ сонгоно.  Багшийн зааврын дагуу ангид бие даан үүрэгт ажил (жижүүр хийх, цэцэг,ургамал тарьж ургуулах, өөрчлөлтийг тэмдэглэх гэх мэт) гүйцэтгэнэ. 2.Санаа- чилгатай, сониуч байх I түвшин II түвшин III түвшин Тоглох тоглоом, хэрэглэгдэхүүн, өмсөх хувцас зэргээ сонгоно. Тодорхой даалгаврыг сонгож хийнэ. Санаачилгаараа ажил үйл гүйцэтгэнэ. Хүүхдийн жишиг үйл  Хэрэглэгдэхүүн, материалаа сонгоно, хэрэглэгдэхүүнээр юу хийхээ шийднэ, багштай хамтарч хийх ажлынхаа бэлтгэлийг хангана.  Сонссон, үзсэн, оролцсон зүйлийнхээ тухай Яагаад?, Яаж? гэх мэт асуулт тавина.  Сонирхол, санаа бодлоо багш болон бусад хүүхэдтэй хуваалцана.  Өөрийн болон бусдын хийж бүтээсэн зүйлийг үнэлэх, шинэлэг зүйлийг нь олж харах, хэлэх зэргээр санаачилга гаргана.  Сонгосон ажил үйлээ дуустал хийж, хэрэглэгдэхүүн материалаа
  • 18.
    34 35 СУРГУУЛИЙНӨМНӨХБОЛОВСРОЛЫНСУРГАЛТЫНЦӨМХӨТӨЛБӨР ХҮҮХЭДБҮХЭНДЭЭ“БИЧАДНА“ГЭСЭНИТГЭЛӨГЬЕ! хураана.  Хугацаашаардсан төрөл бүрийн бүтээлч ажил үйлийг гүйцэтгэнэ. (Ургамал арчлах, амьтан тэжээх, урлан бүтээх үйл гэх мэт )  Багштайгаа, найз нөхөдтэйгээ хамтарч хийх үйлээ төлөвлөнө, төлөвлөснөө хийж гүйцэтгэнэ.  Өөрийн санаачилгаар төрөл бүрийн урлан бүтээх үйл хийнэ, хийсэн бүтээлээ тоглоомдоо ашиглана. 3.Оролд- логотой, тууштай байх I түвшин II түвшин III түвшин 1-2 шатлалтай зааврыг анхааралтай сонсож, биелүүлнэ. Хийж буй ажил үйлдээ оролцох хугацаа нь уртасч, олон шатлалтай зааврыг ойлгож биелүүлнэ. Гадны нөлөөнд анхаарал сарних, дасгал даалгаврын дундуур завсарлах зэрэг нь багасч, хийж буй үйлдээ анхаарлаа төвлөрүүлнэ. Хүүхдийн жишиг үйл  Багшийг анхааралтай сонсож, 1 ба түүнээс дээш шатлалтай зааврыг биелүүлэх дасгал даалгавар гүйцэтгэнэ.  Багшийн зааварчилгааг дагах тоглоом тоглоно.  Загвар, аргачлалын дагуу туршилт хийнэ. (Жишээ нь: Цэцэг, ургамал соѐолуулах, байгалийн хуанли хөтлөх, дүгнэх)  Буухиа, уралдаант тоглоомуудыг нийтээр, багаар тоглоно.  Өөртөө тохирсон үйлийг бие даан хийнэ. (Тоглоом хураах, ном эмхлэх, цэцэг услах гэх мэт)  Сурсан мэдсэн үйлээ дахин давтан хийж тоглоно.  Сонгосон ажил, үйлээ дуустал хийнэ. 4.Асуудлыг шийдвэрлэх I түвшин II түвшин III түвшин Багшийн оролцоотойгоор дасгал даалгавар гүйцэтгэнэ. Асуудал, зөрчлийг өөрийн хэр хэмжээнд шийдвэрлэнэ. Асуудлыг шийдвэрлэх боломжит хувилбаруудыг санал болгоно. Хүүхдийн жишиг үйл  Сэдвийн хүрээнд энгийн туршилт, судалгаа хийнэ. (Жишээ нь: Шинэ өнгө үүсгэх, ургамалд ус, нар хэрэгтэй эсэхийг турших)  Таамаглал дэвшүүлж, юу болохыг урьдчилан хэлнэ, тоо баримт цуглуулна, өөрчлөлт, үр дагаврыг ажиглана.  Юуг, яаж хийж буйгаа дүрсэлнэ, асуудлыг хэрхэн шийдсэн, юуг эргэцүүлэн бодсоноо багшид болон бусад хүүхдэд ярина.  Эрс тэс болон төстэй ялгааг олох, харьцуулах, ангилах, бүлэглэх тоглоомд оролцоно.  Баталсан, лавласан, таамагласан, шалтгааныг тодруулсан асуултад хариулна.  Мэдлэг, туршлагаа шинэ нөхцөл байдалд ашиглана.  Асуудлыг олон талаас нь шийдэх хувилбаруудыг бодож олох дасгал, даалгавар гүйцэтгэнэ, тоглоом тоглоно.  Асуудлыг хэрхэн шийдсэн тухай үлгэр, өгүүллэг, түүх сонсож ярилцана. Багшийн үүрэг, оролцоо  Хүүхдийг нэрээр нь дуудаж харилцана.  Хүүхдийн сэтгэл санааны байдлыг мэдэрч, ойлгож, хүндэтгэлтэй харилцана.  Сургалтын чиглэл бүрээр зохион байгуулах үйл ажиллагааг хүүхдийн зан чанар, харилцаа, төлөвшилд дэмжлэг үзүүлж байхаар төлөвлөн хэрэгжүүлнэ.  Хүүхэд бүрийг ажиглан судалж, давуу талыг олж илрүүлэн улам батжуулан хөгжүүлнэ.  Цэцэрлэгийн өдөр тутмын амьдралын явцад хүүхдээс гаргасан эерэг зан үйл бүрийг дэмжиж, сөрөг илрэлийг тухай бүр ойлгуулан, ухааруулахад анхаарч ажиллана.  Хүүхэд өөрийгөө болон бие эрхтэнээ таньж мэдэхтэй холбогдох үйл ажиллагаанууд зохион байгуулна. (Жишээ нь: Миний бие, Миний дуртай хоол, Миний чаддаг зүйл)  Хүүхдийн асуулт, хүсэлтэд ач холбогдол өгч хариулна, биелүүлнэ, гаргасан санал, санаачилгыг дэмжинэ.  Хийж буй зүйлээ гүйцээх, өөрийнхөөрөө хийхэд цаг хугацаа олгож, хэрэглэгдэхүүнээр хангана.  Хүүхдийн сэтгэл санааны таагүй үед сонсох, тэврэх, энхрийлэх зэргээр хайр, халамжийг мэдрүүлнэ.  Хүүхдэд өөрийгөө хамгаалах, хийсэн үйлдлээ тайлбарлах боломж олгоно.  Хүүхдэд ганцаараа тоглох, ажил үйл гүйцэтгэх, сонгож хийх боломж олгоно.  Хүүхдийг богино хугацаанд цэцэрлэгт дасгах аргуудыг хэрэглэнэ. (Жишээ нь: Хүүхэд цэцэрлэг, ангитайгаа танилцах, ангид аав ээжтэйгээ хамт байх, хайртай тоглоом, эд зүйлээ авч ирэх)  Хүүхдийн талаар эцэг эхээс мэдээлэл авч, ажиглан, хувийн онцлог, хөгжлийн түвшинг харгалзан ажиллана. (Жишээ нь: Бүрэг, ичимхий хүүхдэд үйл ажиллагаанд өөртөө итгэлтэй оролцоход нь дэмжлэг үзүүлэх)  Багш өөрийн сэтгэлийн хөдөлгөөн, байдлаа үгээр илэрхийлж, дуу хоолойн өнгө, үйл хөдлөл, хандлагаараа үлгэрлэн харуулна.  Мэндлэх, хүндлэх, хувцаслахтай холбоотой ѐс заншлаас үлгэрлэж үзүүлнэ.  Хүүхдэд уур уцаараа хянах аргуудыг зааж өгч, үлгэрлэн дагуулна.  Насанд хүрэгчдийг сонсох, тэдэнтэй мэдээлэл солилцох, заавар, зөвлөгөө, шаардлагыг хүлээн авч биелүүлэх, хамтран ажиллахыг дэмжинэ.  Хүүхэд бусадтай хэрхэн харилцах тухай хөгжүүлэх үйл ажиллагаанууд зохион байгуулна.  Ангийн өдрийн дэглэмийг хүлээн зөвшөөрч дагаж оролцох, өдөр тутмын амьдралд мөрдөгддөг болон тоглоом, анги, олон нийтийн газар биеэ хэрхэн авч явах дүрмийг мэдэж биелүүлэхэд дэмжлэг үзүүлнэ.  Дүрэмтэй тоглоомын дүрмийг ойлгох, дагаж биелүүлэхэд тусална.  Ангид найз нөхдөө дэмжсэн, хамтран ажиллах харилцааны эерэг уур амьсгал бүрдүүлж ажиллана.  Хүүхэд өөртөө тохиолдсон асуудлыг аюулгүй л бол өөрөө шийдэхийг санал болгоно, дэмжинэ, сэдэлжүүлнэ, бэрхшээлийг давж гарахад зоригжуулна.  Хүүхдэд өөрийнхөөрөө үйлээ төлөвлөх, төлөвлөснөө хэрэгжүүлэх, сурсан зүйл, туршлагаа давтах, сэргээн санах боломж олгоно. (Жишээ нь: Өнөөдөр юу хийхээр төлөвлөсөн бэ?, Чи дууссан уу?)  Шинэ зүйлтэй танилцах, шинэ ажил үйл санаачлах, зохион бүтээх үйл хийх зай талбай, хэрэглэгдэхүүн, материалыг бэлтгэнэ. Ямар хэрэглэгдэхүүнээр дэмжих вэ?  Ангид өрнөж буй бодит үйл явц  Сургах тоглоомын хэрэглэгдэхүүн  Сургах тоглоом, ширээний театр, жүжигчилсэн тоглолтын хувцас, хэрэглэл  Сэтгэлийн хөдөлгөөний хувирал, харилцааны сайн, муу жишээг харуулсан зурагт үзүүлэн, ижилсүүлэх, ялгаа олох картууд  Харилцааны агуулга бүхий цахим хэрэглэгдэхүүн (аудио, видео хуурцаг)  Харилцааны агуулга бүхий үлгэр, өгүүллэг, дуу, шүлэг  Энгийн хөдөлмөр гүйцэтгэх багаж хэрэгсэл  Байгалийн бичил орчин (тасалгааны цэцэг, ургамал)
  • 19.
    36 37 СУРГУУЛИЙНӨМНӨХБОЛОВСРОЛЫНСУРГАЛТЫНЦӨМХӨТӨЛБӨР ХҮҮХЭДБҮХЭНДЭЭ“БИЧАДНА“ГЭСЭНИТГЭЛӨГЬЕ! 2.2.3. ХЭЛЯРИА Яагаад хэрэгтэй вэ? Авиа, үг, өгүүлбэрийг зөв сонсох, ойлгох, хэлэх, шинэ үг сурах, үгийг хувилгаж өгүүлбэрт холбож хэрэглэх нь хүүхэд хэл яриаг эзэмших суурь нь болдог. Хэл ярианы чадвар эзэмшсэнээр тэд харилцан ярианд оролцохын зэрэгцээ, уншиж, ярьж өгсөн эх (үлгэр, өгүүллэг зэрэг)-ийн утга агуулгыг ойлгож, уялдаа холбоотойгоор эргүүлэн ярьдаг болно. Номыг сонирхоно, ач холбогдол өгнө. Хүүхэд мөн санаа бодол, ойлголт, төсөөлөл, сэтгэл хөдлөлөө бусадтай хуваалцаж, идэвхтэй харилцана, орчноо идэвхтэйгээр таньж мэднэ, суралцах хүсэл нь нэмэгдэнэ. Ямар үр дүнд хүрэх вэ?  Бусдын яриаг сонсож ойлгоно, мэдээлэл авна.  Санаа бодол, хүсэл, сонирхол болон сонссон, харсан, оролцсон үйл явдлаа илэрхийлэн ярьдаг болно, бусадтай харилцана.  Эхийг ойлгож, утгыг ярина, номыг сонирхоно, номтой ажиллаж сурна.  Тэмдэг, тэмдэглэгээг ойлгоно, ашиглана. Чадвар I түвшин II түвшин III түвшин 1.Хүний яриа, байгаль, орчны дуу чимээг ялгаж сонсох Орчны дуу авиаг сонсоно, дуурайна. Орчны дуу авиаг ялгаж сонсоно, дуурайна. Байгалийн болон хэлний авиаг ялгана, нэрлэнэ, тайлбарлана. Хүүхдийн жишиг үйл  Хүмүүсийн яриа, мал, амьтны дуу хоолой, эд юмсын дуу чимээг сонсож, дуурайна.(Жишээ нь: Хонь-майа, муур–миау, түргэний машины дуу, хонхны дуу)  Байгалийн дуу чимээг ялгаж, дуурайн дуугарна. (Жишээ нь: Салхины исгэрэх чимээ, борооны шиврээ, тэнгэрийн дуу)  Дуу авиа, чимээ бүхий тоглоом зохионо, тоглоно. (Жишээ нь: Нохойны зураг хараад, яаж дуугардаг тухай, загасны зураг хараад загас дуугарахгүй, амаа зөвхөн ангалзуулдаг тухай дуурайн тоглох)  Юмсын дуу чимээг дуу хураагуурт бичээд, сонсож, ярилцана.  Сонголтоороо чихэвчээр дуу авиа, чимээ, үлгэр, өгүүллэг сонсох боломж олгоно.  Үгэн доторх авиаг ялгаж сонсоно, хэлнэ. 2.Үгийг зөв сонсох, ойлгох, I түвшин II түвшин III түвшин Үгийг сонсоод ялгана, дуурайж дагаж хэлнэ. Өгүүлбэрийг сонсоод утгыг өөрийн үгээр илэрхийлэн хэлнэ. Ойролцоо дуудлагатай үг, урт, богино эгшигтэй үгийг ялгаж сонсоно. хэрэглэх Хүүхдийн жишиг үйл  Өөр өөр авиа, дуу хоолойны өнгө гаргана. (Жишээ нь: Аа-оо, бүдүүн-нарийн)  Ярьж байгаа зүйлийг ойлгосноо мэдэгдэнэ. (Жишээ нь: Толгой дохих, инээмсэглэх)  Ижил авиагаар эхэлсэн үгийн зурагтай карт ашиглан нэрлэж тоглоно. (Жишээ нь: Авдар, алим, асар)  Ижил авиагаар эхэлсэн үгсийг хэлнэ. (Жишээ нь: Болдоо, бөмбөг)  Өөр авиагаар эхэлсэн үгсийг олж хэлнэ. (Жишээ нь: Болжмор, боорцог, самбар)  Урт, богино эгшигтэй үгийг ялгаж сонсоно, утгыг тайлбарлана. (Жишээ нь: Цас-цаас, хол-хоол)  Ойролцоо дуудлагатай үгийг ялгаж сонсоно, утгыг тайлбарлана. (Жишээ нь: Ширээ-сэрээ, дух-тух)  Хэн бэ?,Юу вэ?, Хэзээ?, Хаана? гэсэн асуултыг ойлгоно, хариулна.  Үгийн баялагийг нэмэгдүүлэх тоглоомд оролцоно.  Хүмүүсийн хэлж ярьж буйг дуурайн хэлж, шинэ үг сурна.  Мэддэг үгнүүдээ сонирхон сонсоно, дагаж хэлнэ. 3.Өгүүл- бэрийг зөв I түвшин II түвшин III түвшин 2-3 үгтэй өгүүлбэр хэлнэ. Төлөөний үг, нэр үг, үйл үг орсон 3-аас дээш үгтэй Тэмдэг нэр, тооны нэр, байрлал заасан үгтэй  Хэн бэ?,Юу вэ?, Хэзээ?, Хаана? гэсэн асуултыг ойлгоно, хариулна.  Үгийн баялагийг нэмэгдүүлэх тоглоомд оролцоно.  Хүмүүсийн хэлж ярьж буйг дуурайн хэлж, шинэ үг сурна.  Мэддэг үгнүүдээ сонирхон сонсоно, дагаж хэлнэ. 3.Өгүүл- бэрийг зөв сонсох, ойлгох, хэлэх 4.Санаа бодлоо илэрхий- лэн ярих I түвшин II түвшин III түвшин 2-3 үгтэй өгүүлбэр хэлнэ. Төлөөний үг, нэр үг, үйл үг орсон 3-аас дээш үгтэй өгүүлбэрийг ойлгоно, хэлнэ. Тэмдэг нэр, тооны нэр, байрлал заасан үгтэй дэлгэрэнгүй өгүүлбэрийг ойлгоно, хэрэглэнэ. Хүүхдийн жишиг үйл  Энгийн (Өнөөдөр амрах уу?), учир шалтгааныг тодруулах (Яагаад?) асуулт тавина, асуултад ойлгомжтой хариулна.  Зураг харж өгүүлбэр зохионо.  Холбоо үгс, зүйр цэцэн үгс хэлнэ.  Үзсэн, сонссон зүйлтэй холбоотой асуулт тавина, хариулт авна.  Ярилцлагад оролцож, бүтэн өгүүлбэрээр хариулна.  Хэлсэн зүйлийг анхааралтай сонсч, дамжуулж хэлнэ.  Ерөнхий нэрийг олох тоглоом тоглоно. (Жишээ нь: Сүү, тараг, өрөм, бяслаг – цагаан идээ)  Төлөөний үг, нэр үг, тэмдэг нэр орсон тоглоом тоглоно.  Багшийн зориуд алдаж хэлсэн алдааг олно.  Ангид байгаа зүйлсийн байрлалыг тодорхойлж хэлнэ. I түвшин II түвшин III түвшин Өөрт тулгарсан, сонирхсон зүйлээ 1- 2 үгээр илэрхийлэн хэлнэ. Үзэж харсан, оролцсон үйл явдлынхаа тухай бусдад ярина. Санаа бодол, үзсэн, оролцсон үйл явдлаа ойлгомжтой, тайлбарлан ярина. Хүүхдийн жишиг үйл  Сурсан үгээ хэрэглэн бодол санаагаа илэрхийлж хэлнэ.  Багш, найз нөхөд, гэр бүлийнхэнтэйгээ өдөр тутмын амьдралаасаа ярилцана. (Жишээ нь: Хоол унд, өмссөн хувцасныхаа тухай)  Үзэж харсан, өөрт тохиолдсон үйл явдлынхаа тухай бусдад ярина. (Жишээ нь: Найздаа гадаа тоглосон тухай, багшдаа хөдөө явсан тухайгаа ярих)  Оньсого таавар зохиож, бусдаар таалгана.  Асуултад хариулж, нийтийн ярилцлагад оролцоно.  “Надад таалагддагтаалагддаггүй зүйл”, “Миний хүсэл” гэх мэт ярилцлагад оролцоно.  Хэрэгцээтэй, хүсэж буй зүйлээ илэрхийлж хэлнэ. (Жишээ нь: Надад будаг хэрэгтэй байна. Хоѐулаа бөмбөгөөр тоглох уу?)  Үлгэр, өгүүллэгийн үргэлжлэл, төгсгөлийг зохиож ярина.
  • 20.
    38 39 СУРГУУЛИЙНӨМНӨХБОЛОВСРОЛЫНСУРГАЛТЫНЦӨМХӨТӨЛБӨР ХҮҮХЭДБҮХЭНДЭЭ“БИЧАДНА“ГЭСЭНИТГЭЛӨГЬЕ! 5.Уншиж , ярьж өгсөн эхийн утгыг ойлгох, агуулгыг эргүүлэн ярих Iтүвшин II түвшин III түвшин Уншиж, ярьж өгсөн богино үлгэр, өгүүллэгийн агуулгыг ойлгоно, асуултад хариулна. Уншиж, ярьж өгсөн үлгэр, өгүүллэгийн агуулгыг ойлгоно, өөрийнхөөрөө эргүүлэн ярина. Үлгэр, зохиолын үйл явдлыг ойлгомжтой ярина, зохиомжлон ярина. Хүүхдийн жишиг үйл  Номыг зөв барина, номын зохиолч болон гарчгийг заана.  Номын зураг, текстийг ялгаж заана, зургийг тайлбарлан ярина.  Үлгэр, өгүүллэгийн агуулгыг эргүүлэн ярина.  Зохиолын дүрд хувиран түүнийгээ бүтээлчээр илэрхийлж ярина.  Үлгэр, өгүүллэгийн үйл явдлыг дүрслэн зурж, ярина.  Дуу, шүлгийн утга санааг илэрхийлнэ. (Жишээ нь: Бие эрхтэнтэй холбоотой дуу дуулахад тэр хэсгийг заах, өрөөнд буй эд зүйлсийг нэрлэн дуулах)  Ярих үедээ ая, дуу ашиглана. (Жишээ нь:“Өнхрүүш” үлгэрийг ярьж байх үедээ холбогдох хэсэгт нь аялгуулан дуулах)  Багш, эцэг эхтэй хамтран ном бүтээнэ.  Ном зохиол дахь дуртай хэсгийнхээ тухай ярилцана.  Үлгэр, зохиолыг сонсох явцдаа асуулт тавина, хариулна, санаа, дүрслэлээ илэрхийлнэ. 6. Зураг, тэмдэг тэмдэг- лэгээний утгыг хэлэх I түвшин II түвшин III түвшин Зургаас өөрийн мэддэг зүйлийг нэрлэнэ. Үйл явдлыг харуулсан зургийн агуулгыг ойлгоно, тайлбарлан ярина. Орчиндоо байгаа тэмдэг, тэмдэглэгээг мэднэ, утгыг тайлбарлана. Хүүхдийн жишиг үйл  Ойр орчиндоо буй тэмдэг, тэмдэглэгээний утга агуулгыг тайлбарлан ярилцана. (Жишээ нь: Галын аюулгүй байдлын тэмдэглэгээ, бие засах газар, явган хүний гарц, ангид буй зургаар дүрсэлсэн сургалтын төвүүдийн нэр)  Зурсан зураг, бүтээлийнхээ талаар ярина.  Зургийн агуулгыг өөрөө тайлж, өгүүллэг зохионо.  Ном зохиолын хэсэг болон зурган дээр тулгуурлан дараа нь юу болохыг тааварлаж ярина. (Жишээ нь: Хулгана нуугдсан найзыгаа олохоор хайж байна. Тэр олох болов уу?)  Үлгэр, өгүүллэгийн агуулгыг харуулсан зургийг дэс дарааллаар нь байрлуулна.  Тэмдэг тэмдэглэгээг дуурайлган зурна.  Баримлын шавар, эд зүйлс, тоглоом наадгайгаар тэмдэг тэмдэглэгээг дүрслэн бүтээнэ. (Жишээ нь: Товч, шүр, шагай, эвлүүлдэг болон өрж байгуулах тоглоомоор)  Санаагаа тохирох тэмдэглэгээгээр дүрсэлнэ. (Жишээ нь: Нарыг дугуй дүрсээр төлөөлүүлэх) Багшийн үүрэг, оролцоо  Эх хэлээрээ тод сайхан ярьж хүүхдэд үлгэрлэнэ.  Шаардагдах ном, зураг, дасгал, тоглоомын хэрэглэгдэхүүн, техник хэрэгсэл болон бусад хэрэглэгдэхүүнийг бэлтгэж, хүүхдэд чөлөөтэй ашиглах боломж олгоно.  Хүүхдэд орчны дуу чимээ, авиаг ялгаж сонсох боломж олгоно, сонирхол, сэдэл төрүүлнэ.  Хүүхдийн асуулт бүрт ач холбогдол өгч, хариултыг хамтран эрж олно.  Хүүхэд бүрт шинэ үг сурах, өгүүлбэр хэлэх, эх бүтээж ярихад тохирсон дэмжлэг үзүүлнэ.  Ярилцлагын явцад, оньсого таавар, үлгэр өгүүллэгээс шинэ үгийг танилцуулна, дагаж хэлүүлнэ, буруу дуудлага, хэллэгийг засна.  Хүүхдийн үгийн нөөц эрчимтэй нэмэгдэж буй үед бүдүүлэг үг хэллэг хэрэглэхээс хүүхдийг зайлсхийж сургана.  Хүүхдийн ярьж, танилцуулж буйг дэмжинэ, чөлөөтэй ярихад нь зоригжуулна.  Хүүхдийн хариултыг дэмжинэ, чиглүүлнэ. (Жишээ нь: Сонирхолтой юм байна, дахиад яриад өг дөө?)  Хүүхдийн оролцсон үйл явдал, үзэж харсан зүйлс мөн зурсан, хийсэн бүтээлийн агуулгыг асууж ярилцана.  Хүүхдүүдтэй ганцаарчилсан, хэсэгчилсэн, нийтийг хамарсан ярилцлагыг тогтмол зохион байгуулна.  Өдөр бүр ном унших, үлгэр, өгүүллэг ярих цаг гаргана. (Жишээ нь: Өдрийн унтлагын өмнө, гадаа тоглох үед, аав ээж нарын хувьд: орой унтахын өмнө, тээврийн хэрэгслээр зорчих үед)  Номыг сонирхолтой байдлаар уншина. (Жишээ нь: Зохиолын баатрын оронд хүүхдийн нэрийг орлуулан унших)  Үлгэр, өгүүллэг уншиж байхдаа инээмсэглэх, хөмсгөө зангидах зэрэг нүүрний хувирал, дууныхаа өнгө аясын өөрчлөлтөөр агуулгыг тодруулж, ярихад нь үлгэр дууриал үзүүлнэ.  Уншиж байхдаа хүүхдийн анхаарлыг нь татах үйлдэл хийнэ. (Жишээ нь: Өндөр дуугаар эхлэх, хавтсан дээрх зургийг харуулж, асуулт тавих, тайлбарлах)  Хүүхдийн сонирхон асууж байгааг өдөөн дэмжиж, “хамтдаа” уншина. (Жишээ нь: Энэ чинь чухал асуулт байна. Чи юу гэж бодож байна? Юу тохиолдох бол?)  Уншиж байх үедээ харцаараа холбогдоно. (Жишээ нь: Том харах, нүдээ ирмэх) Ямар хэрэглэгдэхүүнээр дэмжих вэ?  Төрөл бүрийн зургууд (үлгэр, өгүүллэгийн, эвлүүлдэг, сэдэвт, зурагтай модон, зурагт хуудас, ил захидал гэх мэт)  Тоглоомууд (эвлүүлдэг, лото, домино)  Аман наадам  Ардын уламжлалт тоглоом, наадгай  Танин мэдэхүйн, түүх, үлгэр зохиолын, хүүхдийн бүтээсэн ном, сэтгүүл  Хүүхэлдэйн жүжгийн дэлгэц, хүүхэлдэйнүүд  Самбар, шохой, үзэг, цаас  Хөгжим, чихэвч, хуурцаг, CD  Номын тавиур  Зөөлөн сандал,буйдан, том, жижиг зөөлөн дэр  Ном бүтээх, засварлахад ашиглах скоч, цаас, харандаа, будаг, хайч, цавуу
  • 21.
    40 41 СУРГУУЛИЙНӨМНӨХБОЛОВСРОЛЫНСУРГАЛТЫНЦӨМХӨТӨЛБӨР ХҮҮХЭДБҮХЭНДЭЭ“БИЧАДНА“ГЭСЭНИТГЭЛӨГЬЕ! 2.2.4. БАЙГАЛЬ,НИЙГМИЙН ОРЧИН Яагаад хэрэгтэй вэ? Хүүхэд тойрон хүрээлж буй эд зүйлс, ургамал, амьтныг сонирхон судалж, хүмүүс, үйл явдлын талаар мэдээлэлтэй болсноор хорвоо ертөнцийг танин мэдэж, учир шалтгааныг нь олно. Аливааг сонирхох нь тэдний суралцах үйлийн хөшүүрэг, шинжлэн судлах нь суралцах чухал арга барил юм. Тэд байгальтай зөв харьцаж өссөнөөр байгалийг хайрлан хамгаалах, амьд ба амьгүй байгальтай зохицон амьдарч болохыг ойлгоно. Монгол орны үзэсгэлэнт унаган байгаль, эрс тэс цаг агаарын өөрчлөлт бүхий дөрвөн улирал, эрүүл аж төрөн амьдрах арга ухаанд дасан зохицож суралцах нь бага насны хүүхдийн суралцахуйн нэгэн чухал чиглэл юм. Орчныхоо талаар мэдэлээлэл, төсөөлөлтэй болсноор хүүхэд өөрийгөө бие даан авч явах, орчинтойгоо зохистой харилцах боломжтой болно. Ямар үр дүнд хүрэх вэ?  Ойр орчныхоо юмс, эд зүйлсийг сонирхож судална, өөртөө шинэ зүйлийг олж нээнэ.  Байгалийн сайхныг мэдэрнэ, таашаана, ургамал, мал, амьтныг хайрлаж хамгаална.  Амьдарч буй нутаг орныхоо онцлог, ойр орчныхоо хүмүүсийн ажил үйлийг таньж мэднэ.  Орчиндоо зохистойгоор харьцана. Чадвар I түвшин II түвшин III түвшин 1.Орчны юмсыг сонирхож ажиглах, судлах Орчны юмсыг сонирхоно, оролдоно, нэрлэнэ. Орчны юмсын онцлог, шинж чанарыг судална. Орчны юмсын холбоо хамаарлыг туршиж мэднэ, ойлголтоо хэрэглэнэ. Хүүхдийн жишиг үйл  Мэдрэхүйнхээ тусламжтайгаар болон сургалтын энгийн хэрэгсэл (өсгөгч шил, хэмжих хэрэгсэл гэх мэт) ашиглан ойр орчныхоо юмс, эд зүйлс, ургамал, амьтныг судална.  Сонирхолтой ажиглалт, туршилтууд хийнэ. (Жишээ нь: Цасан дээр мөр гаргах, урсгал усанд цаасан болон модон завь тавьж урсгах, тоглоомон сэнс хийж салхины хүч ашиглан тоглох)  Ажиглаж олж мэдсэн зүйлийнхээ талаар ярилцана. (Жишээ нь: Чулууг өргөж үзэхэд хүнд бас хатуу байсан.)  Юмсын учир холбогдлын талаар таамаглал дэвшүүлнэ, туршиж үзнэ. (Жишээ нь: Живж, хөвж буй зүйлс.)  Янз бүрийн эд зүйлсийг дуу чимээ, үнэр, амт, хийсэн материалаар нь мэдрэхүйнхээ тусламжтайгаар ялгаж таних тоглоом тоглоно.  Юмсын шинж чанарыг туршиж үзнэ, тодорхойлж ярина.( Жишээ нь: Ноос хөнгөн, үлээхэд хийсдэг, баримлын шаварт халуун ус хийхэд зөөлөрдөг.)  Сургалтын энгийн хэрэгсэл ашиглан юмсын дуу чимээ, гэрлийн шинж чанарыг таних туршилт хийнэ. (Жишээ нь: Дууны өндөр нам, гэрлийн тод бүдэг байдал, гэрлээс сүүдэр үүсгэх)  Усаар тоглож, усны шинж чанарыг тодорхойлно. (Жишээ нь: Урсгах, саванд хийх, дүүргэх, халиулж асгах, хэд хэдэн шингэн зүйлийг хольж, шинэ төрлийн уусмал үүсгэх.)  Амьгүй зүйлс хөдөлдөггүй болохыг туршиж үзнэ. (Жишээ нь: Байрнаас нь хөдөлгөхийн тулд түүнийг түлхэх, татах, шидэх)  Багаж, техник хэрэгслийг хэрэглэнэ, ажиллуулна. (Жишээ нь: Алх, хадаас, гадаа талбайд ажиллах хүрз, зурагт, магнитофон) 2.Ургамал, амьтныг ажиглаж судлах, тэдгээртэй зохистой харьцах I түвшин II түвшин III түвшин Орчныхоо ургамал, амьтныг сонирхоно, нэрлэнэ. Орчны ургамал, амьтдыг онцлог шинжээр нь таньж ялгана, тайлбарлана. Ургамал, амьтантай зохистой харьцана. Хүүхдийн жишиг үйл  Амьд болон амьгүй зүйлийг ажиглан ялгаж, тайлбарлана. (Жишээ нь: Хөдөлгөөн ажигласнаар машиныг “амьтай”, харин мод явдаггүй тул “амьгүй” гэж үзэх магадлалтай)  Ургамал, амьтдыг хэмжээ, хэлбэр дүрс, өнгөөр нь харьцуулна. (Жишээ нь: Өндөр-нам, бүдүүн-нарийн мод; бод, бог мал)  Амьд байгальд туршилт хийж, тайлбарлана.(Жишээ нь: Ургамалд ус, гэрэл, агаар чухал)  Амьд байгалийн амьдралын мөчлөгт ажиглалт, дүгнэлт хийнэ. (Жишээ нь: Мод, амьтны өнгө, төрхийн өөрчлөлт, Хүн хөгшрөхөөр үс нь буурал, цагаан болдог)  Бүлэгт, туршлагын талбайд ургамал тарьж, арчилж хамгаалах, хураахад оролцоно, ажиглаж, тэмдэглэл хөтөлнө.  Чулуу, навч, мөчир, үр жимс зэрэг байгалийн материалыг сонирхон судалж, цуглуулна,түүгээрээ багштай хамтран сургалтын хэрэглэгдэхүүн бэлтгэнэ.  Ажигласан зүйлийнхээ учир шалтгааны талаар таамаглал дэвшүүлнэ, туршиж батална.  Хийсэн аялал, олж мэдсэн зүйлээ бусдадаа ярина.  Амьтан, ургамлын дүрд хувиран тоглоно.  Амьтад, таван хошуу малын онцлог, ижил төстэй ба ялгаатай талыг ажиглаж ярилцана, сонирхсон зүйлээ бусдаас асууна.  Байгаль орчинтой хэрхэн зохистой харьцах талаар саналууд гаргана, ярилцана. (Жишээ нь: Мод хугалж болохгүй, усанд бохир хог хаяхгүй, хөдөө хээр аялж, зугаалж явахдаа хог, цаас хаяхгүй.)  Байгаль хамгаалахад оролцоно. (Жишээ нь: Шувуунд тэжээл тавьж өгөх, мод тарих) 3.Улирал, цаг уурын өөрчлөлтийг сонирхох, таньж мэдэх I түвшин II түвшин III түвшин Байгалийн үзэгдэл (цас, бороо, салхи)-ийг мэднэ, нэрлэнэ. Ямар улирал болж байгаа, тухайн үед цаг агаар, амьтан, ургамалд ямар өөрчлөлт гардгийг мэднэ, тайлбарлана. Улирал, цаг агаарын нөхцөл байдалд хувцаслалт болон хийх үйлээ тохируулна. Хүүхдийн жишиг үйл  Өдөр бүр тэнгэрийн байдлыг ажиглаж, цаг агаарын хуанли хөтөлж ярилцана.  Сургах, сэдэвт, хөдөлгөөнт тоглоомоор тоглож, байгаль, улирал, цаг агаарын талаарх ойлголтоо илэрхийлнэ. (Жишээ нь: “Навчаар нь ол”, “Аль хувцсыг өмсөх вэ?”)  Байгалийн үзэгдлийн тухай ярилцана.  Цаг агаарын нөхцөл байдлыг анзаарч, зохицон харьцана. (Жишээ нь: Бороо орж байхад гадаа тоглохгүй, аянгатай ширүүн борооны үед гүйхгүй, нартай халуун өдөр малгай өмсөх)  Баримтат кино, музей, үзвэр, ном, сэтгүүл үзнэ, ярилцана.  Хийсэн аяллынхаа тухай бусдадаа сонирхуулан ярина.  Байгаль, цаг ууртай холбогдох туршилт хийж, ажиглана, тэмдэглэл хөтөлнө. (Жишээ нь: Мөс хайлах, ус цэвэршүүлэх)  Цаг агаарын өөрчлөлт, байгалийн үзэгдлийг бүтээлээрээ илэрхийлнэ.
  • 22.
    42 43 СУРГУУЛИЙНӨМНӨХБОЛОВСРОЛЫНСУРГАЛТЫНЦӨМХӨТӨЛБӨР ХҮҮХЭДБҮХЭНДЭЭ“БИЧАДНА“ГЭСЭНИТГЭЛӨГЬЕ! 4.”Хүн орчин”-ы тухай таньж мэдэх Iтүвшин II түвшин III түвшин Өөрийгөө болон гэр бүлээ танилцуулна, ойр орчныхоо хүмүүсийн хийж буй үйлийг ажиглана, сонирхоно, нэрлэнэ. Өөрийн аймаг, хот, дүүрэг, сум, хүмүүсийн ажил хөдөлмөрийн тухай мэднэ, ярина. Өөрийгөө ямар үндэстэн гэдгийг, бусад үндэстнээс ялгагдах онцлогтойг мэднэ. Хүүхдийн жишиг үйл  Цэцэрлэг, гэрийнхээ ойр байгаа барилга байгууламж, дэлгүүр, үйлчилгээний газарт очиж үзнэ, ярилцана.  Сэдэвт тоглоомоор тоглоно. (Жишээ нь: Эмч, багш, тогооч)  Бусдад хэрхэн тусалж болох талаар ярилцана, хэрэгжүүлнэ. (Жишээ нь: Үйлчлэгчид туслахын тулд гутлаа сайн арчих, гэртээ аягаа угаах)  Ямар хот, аймаг, сумд амьдардаг, нутаг орныхоо юу нь гоѐ, сайхныг ярилцана.  Өөрийнхөө нутаг орны онцлог, гоѐ, сайхан зүйлсийг зурж, урлана.  Бусад үндэстэн, ястны тоглоомоос сурч тоглоно.  Төрийн далбааг бусад улс орныхоос ялгана.  Монгол улсын төрийн далбааг бусадтай хамтран бүтээнэ, ангидаа байрлуулна.  Монголын тухай кино, бичлэг, үзнэ.  Баяр ѐслолд зориулан анги танхимаа чимэглэнэ, дуу, шүлэг сурна. Багшийн үүрэг, оролцоо  Орчны юмс (газар шороо, ус, ургамал гэх мэт)-ыг таньж мэдэх сонирхлыг өдөөж, хүүхдэд тэдгээрийг судлах боломж олгоно.  Үйл ажиллагаанд шаардагдах багаж хэрэгслүүд болон ахуйн хэрэглээний эд зүйлсийг сонгож, бэлтгэнэ.  Хүүхдийн “Яагаад?” гэсэн асуултыг хөхиүлэн дэмжинэ, хариултыг хүүхэдтэй хамтран эрж олно.  Хүүхдэд юмсын учир шалтгаан, холбоо хамаарлын талаар таамаглал дэвшүүлэх, туршиж үзэх, дүгнэж ярилцах боломж олгоно.  Хүүхдүүдээр анги, туршлагын талбайд цэцэг, ургамал тарьж арчлуулан, өсөлт өөрчлөлтийг нь ажиглуулж судлуулна.  Хүүхдэд өөрийгөө, гэр бүл, шинээр мэдсэн зүйлээ ярьж танилцуулах, боломж олгоно.  Хүүхдэд цэцэрлэгийн бусад анги танхим, ойр орчны хүмүүстэй танилцах боломж олгоно.  Амьдарч буй орон нутаг, хүмүүсийн ажил үйл, мал, тэжээмэл амьтдын ашиг тус, улирал, цаг агаарын онцлог, ургамал, амьтны амьдралд гарч буй өөрчлөлтэй танилцах аялал хийнэ.  Байгальд болон орчиндоо хүний эерэг, сөрөг хандаж буй байдал, түүний үр дагаврыг үлгэр, зохиол, бичлэг, зураг ашиглан танилцуулна, ярилцана.  Хүүхдэд олж мэдсэн, түшиж судалсан зүйлээ тэмдэглэх боломж олгоно. (Жишээ нь: Цаг агаарын өөрчлөлтийг тэмдэглэх хуанли бэлтгэж өгөх)  Хүүхдийг аль ч улиралд гадаа тоглуулна.  Хүүхдүүдтэй хамтран монгол үндэсний баяр, ѐслолд бэлтгэнэ, тэмдэглэнэ. Ямар хэрэглэгдэхүүнээр дэмжих вэ?  Элс, ус, мод, чулуу, цаас, кортон, даавуу гэх мэт янз бүрийн юмс, материал  Орчинд нь байгаа мал, амьтан, хорхой шавж, ургамал  Ахуйн хэрэглээний эд зүйлс (Сам, оо, саван, шингэн саван, утас зүү, шүүр, тосгуур, товч, шүр гэх мэт)  Янз бүрийн материалаар хийсэн эд зүйлс, тоглоом наадгай (Резин, мод, хуванцар, шаазан, төмрөөр хийсэн)  Багаж хэрэгслүүд (Ус шүршигч, жин, хэмжүүр, цаг, томруулдаг шил)  Цэцэрлэг, орон нутгийн төвшинд санаачлан бүтээх хэрэглэгдэхүүн  Эд зүйлс, амьтан, ургамлын зураг  Тоглоомууд (Барьж байгуулах, сургах, сэдэвт, хөдөлгөөнт тоглоомууд)  Дуу, чимээ бүхий бичлэг 2.2.5. МАТЕМАТИКИЙН ЭНГИЙН ТӨСӨӨЛӨЛ Яагаад хэрэгтэй вэ? Математик нь аливаа утга санаа, сэтгэлгээг тодорхой илэрхийлж байдгаараа шинжлэх ухааны хэл, байгаль нийгмийн юмс, үзэгдлийн мөн чанарт нэвтэрч орох танин мэдэхүйн арга юм. Аливаа юмс, эд зүйлс нь өнгө, хэлбэр дүрс, хэмжээ, жинтэй, үйл явдал нь цаг хугацаа, дэс дараалалтай байдаг. Хүүхэд энэ бүгдийг судалснаар хүний амьдрал, нийгэм, эд зүйлсийн мөн чанарын талаар өөрийн ойлголт, төсөөлөлтэй болно. Хүүхэд танин мэдэх эрмэлзэл, сонирхолтой болох, тооны ухагдахууныг амьдралдаа хэрэглэх, бүтээлчээр сэтгэх, аливааг цэгцтэй, олон талаас нь бодож сурахад математик чухал үүрэг гүйцэтгэдэг. Ямар үр дүнд хүрэх вэ?  Тоог өдөр тутмын амьдралд ашиглана.  Эд зүйлсийг шинж чанар (хэлбэр дүрс, хэмжээ, өнгө, жин)-аар ялгана, ангилна, дараалуулна, хэмжинэ.  Орон зай, цаг хугацааг баримжаална. Чадвар I түвшин II түвшин III түвшин 1.Тоо- лох, тоо бодох Цөөн ба олныг ялгана. Тоолно, тоогоор нь харьцуулна, нэмэгдүүлнэ, хорогдуулна, дэс тоо хэрэглэнэ. Тооны цифр, тэмдэг тэмдэглэгээ хэрэглэнэ, хялбар бодлого зохионо, бодно. Хүүхдийн жишиг үйл  Орчны зүйлсээс олон ба цөөнийг ялгаж хэлнэ. (Жишээ нь: Манай ангийн ширээ цөөн, сандал олон)  Хэд байна вэ? Хичнээн? гэсэн асуултад хариулна.  Цээжээр болон 10 хүртэл оноож тоолно.  Тоглохдоо дэс тоо хэрэглэнэ. (Жишээ нь: Би эхлээд, хоѐрдугаарт Мөнхөө, гуравдугаарт Жаргалмаа...)  Хэмжээ, өнгөөрөө ялгаатай, ижил тоотой дүрсүүдийг янз бүрийн байрлалд байрлуулж тоолох дасгал ажиллана.  Багштайгаа хамтран сургалтын хэрэглэгдэхүүн бэлтгэнэ. (Жишээ нь: Янз
  • 23.
    44 45 СУРГУУЛИЙНӨМНӨХБОЛОВСРОЛЫНСУРГАЛТЫНЦӨМХӨТӨЛБӨР ХҮҮХЭДБҮХЭНДЭЭ“БИЧАДНА“ГЭСЭНИТГЭЛӨГЬЕ! бүрийн тооныэд зүйлстэй картууд, сургах тоглоомын материал, зурагт хуудас, цифр)  Тоолоод дүн тоог олон хувилбараар илэрхийлнэ. (Жишээ нь: Нэрлэх, хуруугаараа, цифрээр, зургаар)  Төрсөн өдөр, гэрийнхээ хаалганы дугаарыг хэлнэ, утсанд дуудлага хийнэ.  Юмсыг тоогоор нь харьцуулж, тэнцүү ба тэнцүү бишийг олно.  Эд зүйлс, тоглоом наадгайг нэгээр хорогдуулна, нэмэгдүүлнэ.  Юмсыг тоолоод тохирох цифртэй холбоно.  Тоог хоѐр буюу хэд хэдэн бага тоо болгон задлах дасгал хийнэ. (Жишээ нь: 5- ийг 1,1,1,1,1 мөн 4+1, 3+2 болгон задлах)  10-ын дотор нэмэх, хасах сонирхолтой бодлого зохионо, бодно.  “Алаг мэлхий”, “Шагай түүх, шүүрэх”, “Чулуу таалцах”, “Морь уралдуулах” гэх мэт ардын тоглоомоор тоглоно. 2. Хэмжих I түвшин II түвшин III түвшин Эд юмсыг хэмжээгээр нь (том, жижиг) ялгана. Энгийн хэрэгсэл (харандаа, бичгийн хавчаар гэх мэт) ашиглан эд зүйлсийг хэмжинэ. Төө, сөөм зэрэг уламжлалт хэмжүүр ашиглан эд зүйлсийг хэмжинэ, шингэн, бутармаг зүйлсийг тохирох хэрэгсэл (халбага, аяга, шанагаар гэх мэт)-ээр хэмжинэ, тооцоолно. Хүүхдийн жишиг үйл  Эд зүйлс, тоглоомыг том, жижгээр нь ялгана. (Жишээ нь: Суварган тоглоом)  Юмс, эд зүйлсийг хэмжээгээр нь ялгаж нэрлэнэ. (Жишээ нь: Том, дунд зэрэг, жижиг)  Бүхлээс хэсэг, хэсгээс бүхэл үүсгэнэ. (Жишээ нь: Алим хуваах, угсардаг тоглоомыг задлах, угсрах)  Юмс, эд зүйлсийг хэмжээгээр нь дараалуулж тавина. ( Жишээ нь: Хамгийн өндөр, дунд зэрэг, хамгийн намхан)  Янз бүрийн хэрэгсэл (тууз, савх, харандаа, утас, үдээс) ашиглаж хэмжинэ, үр дүнг цифрээр, зургаар илэрхийлнэ.  Юмсын шинж чанараас хамаарч ямар хэрэгслээр хэмжиж болохыг туршиж үзнэ. (Жишээ нь: Шингэн ба бутармаг зүйлийг саваар хэмжих)  Тоглоомын явцад хол-ойр, хурдан-удаан гэсэн үгийг хэрэглэнэ.  Төрөл бүрийн хэмжээтэй юмсыг зурж, барьж, нааж, зохион бүтээнэ. 3. Ангилах, оноох, дараа -луулах, давтамж үүсгэх Эд зүйлсийг ижлээр нь ялгана, нэгийг нөгөөд онооно. Эд зүйлсийг аль нэг шинж чанараар нь (хэмжээ, хэлбэр дүрс, өнгө, хийсэн материал зэргийн аль нэгээр нь) ангилна. Юмсыг хоѐр буюу түүнээс дээш шинж чанараар нь (том гурвалжин дүрс эсвэл улаан дугуй дүрс гэх мэт) ангилна, дараалуулна, давтамж үүсгэнэ. Хүүхдийн жишиг үйл  Адил зүйлсийг олно, хамтад нь тавина. (Жишээ нь: Бөмбөг, машинуудыг тус тусад нь байрлуулах)  Юмсыг хослуулна. (Жишээ нь: аягыг суурь тавагтай, тугалыг үнээтэй)  Савх мод, саваа мод, олс, уяа, элс, цас зэргийг ашиглан янз бүрийн дүрс үүсгэнэ.  Эд зүйлсийг өндөр-нам, урт-богино, бүдүүн-нарийнаар нь ялгах, дараалуулах тоглоом тоглоно.  Тоглоомын явцад дүрсийг нэрлэнэ, бүтээнэ. (Жишээ нь: “Долоодой”)  Янз бүрийн хэлбэр дүрстэй өрж байгуулах, угсрах тоглоомоор тоглоно.  Тодорхой хугацаанд аль нэг өнгөөр зураг зурна.  Юмсыг өнгө, хэмжээгээр нь ялгах тоглоомууд тоглоно.  Шүрийг өнгөөр нь давтамж үүсгэн хэлхэнэ.  Дүрсийг өнгө, хэлбэр, хэмжээгээр нь ангилж, төрөлжүүлнэ.  Дүрсүүдийг тэмтэрч мэдрэн, шинж чанарыг нь тодорхойлон хэлнэ, тоолно.  Эд зүйлс, тоглоомоор өнгө, хэлбэр, хэмжээгээр нь давтамж үүсгэнэ.  Юмс, эд зүйлсийг тоо, хэмжээгээр нь дараалуулна.  Зургийг үйл явдлынх нь дагуу дараалуулна. 4. Орон зайг барим- жаалах I түвшин II түвшин III түвшин “Дээр”, “дор”, “гадаа”, “гэрт” гэсэн байрлал заасан үгийг ойлгоно, хэрэглэнэ. Өөрийн байрлал (өмнө, хойно, баруун, зүүн)- аас бусад юмсын байрлалыг тодорхойлно. Нэг юмсын байрлалаар нөгөө юмсын байрлалыг тодорхойлно, харааны баримжаагаар юмсын хол, ойрыг төсөөлөн тооцоолно.  Сургах, хөдөлгөөнт, барьж байгуулах тоглоом тоглуулна. (Жишээ нь: “Миний баруун гар талд...”)  Монгол гэрт байрлах эд хогшлыг байрлуулж тоглоно.  Орон зайд хөдөлгөөнөө зохицуулах хөдөлгөөнт тоглоом тоглоно.  Эргэн тойрондоо байдаг эд юмсын байрлалыг тодорхойлох дасгал, даалгавар гүйцэтгэнэ.  Сэдэвт тоглоомын явцад байрлал заасан үгсийг яриандаа хэрэглэнэ.  Харааны баримжаагаар юмсын хол, ойрыг төсөөлнө, баталгаажуулан хэмжиж туршина.  Орон зайн байрлал заасан агуулгатай үлгэр, шүлэг, өгүүллэгийг сонсож, жүжигчлэн тоглоно, ярилцана. (Жишээ нь: Орос ардын үлгэр “Чоно ба долоон ишиг”)  Өрж байгуулах тоглоомоор барилга байгууламж, эд зүйлс, хүн, амьтны байрлалыг илэрхийлэн бүтээж тоглоно. 5. Цаг хугацаа заасан үг хэрэглэх I түвшин II түвшин III түвшин Одоо, дараа гэсэн хугацаа илэрхийлсэн үгсийн утгыг мэднэ, хэрэглэнэ. Хоногийн хэсгүүдтэй холбоотой үг хэллэг (өглөө, өдөр, орой, шөнө) яриандаа хэрэглэнэ. Өнөөдөр, маргааш, өчигдөр гэсэн цаг хугацаа заасан үгсийг ялгана, хэрэглэнэ. Үйл явдлын үргэлжлэх хугацааг баримжаална. Хүүхдийн жишиг үйл  Бүлгийн өдрийн дэглэмийн зураглалын талаар ярилцана.  Өглөө бүр нийтийн цагаар өчигдөр орой гэртээ юу хийсэн болон өнөөдөр, маргааш юу хийх тухай ярилцана.  Тоглох явцдаа цаг хугацаатай холбогдох үг, хэллэг ашиглана. (Жишээ нь: “Өдөр ба шөнө”)  Төрсөн өдрийн булан ажиллуулж, хэн хэдэн сард төрсөн, хэдэн хүүхэд энэ сард төрсөн гэх зэргээр ярилцана.  Цаг хугацаатай холбогдох үлгэр, өгүүллэг сонсоно, ярилцана. (Жишээ нь: Л.Толстой “Маргааш өвгөн”)  Бүлэгт байгаа ургамлыг ажиглаж, гарч буй өөрчлөлтийг тэмдэглэж ярилцана.  Цаг хугацааг илэрхийлсэн дуу дуулна, шүлэг, үгэн наадам, түргэн хэллэг ашиглана.  Гэр бүлийнхээ болон өөрийнхөө фото зургийн цомог үзэж, цаг хугацааг баримжаалан харьцуулж тайлбарлана. (Жишээ нь: Миний гурван настай үеийн зураг. Өнгөрсөн зун хөдөө явж байхдаа авахуулсан зураг) Хүүхдийн жишиг үйл
  • 24.
    46 47 СУРГУУЛИЙНӨМНӨХБОЛОВСРОЛЫНСУРГАЛТЫНЦӨМХӨТӨЛБӨР ХҮҮХЭДБҮХЭНДЭЭ“БИЧАДНА“ГЭСЭНИТГЭЛӨГЬЕ! Багшийн үүрэг,оролцоо  Тоолох, хэмжих, дараалуулах, ангилах зэрэг үйлд шаардагдах төрөл бүрийн хэрэглэгдэхүүнийг бэлтгэнэ.  Өдөр тутмын амьдралд тоог хэрэглэх боломжуудыг хүүхдэд олгоно. (Жишээ нь: Ширээн дээрх өглөөний цайны жигнэмгийг тоолох, хүн бүрт халбага тараах, нэг ширээнд сууж байгаа хүүхдүүдийг тоолох)  Янз бүрийн аргаар тоолж сурахад чиглүүлнэ. (Жишээ нь: Сонсголоор, тэмтэрч тоолох)  Тоотой холбоотой дуу, шүлэг,үлгэр, өгүүлэг ашиглан сонирхолтой үйл ажиллагаануудыг зохион байгуулна.  Хэмжих янз бүрийн материал, хэрэгслүүдийг бэлтгэн, хүүхдэд хэмжиж сурах, хэмжсэн зүйлээ тэмдэглэх, тооцоолоход тусална.  Ойр орчмын зүйлсийнхээ байрлал, орон зайг төсөөлөн баримжаалахад тусална. (Жишээ нь: Манай гэр цэцэрлэгээс урагш байдаг)  Төрөл бүрийн арга, хэрэгслээр зохиомжлон давтамж үүсгэхэд дэмжлэг үзүүлнэ. (Жишээ нь: Өнгө, хэлбэр дүрс, хэмжээ, хөдөлгөөнөөр)  Хүүхдүүдээс өдөр тутмын үйл ажиллагааны явцад эд юмс, тэдгээрийн хэлбэр хэмжээ, шинж чанарын талаар асуулт асууна, ярилцана.  Зүг чиг заасан сум, лого бэлтгэж хүүхдэд ашиглуулна. (Жишээ нь: Хаалгаар гарахад аль сумыг дагах вэ? Шатаар өгсөхөд аль талын гараа барьж явах вэ? Баруун уу?, Зүүн үү?)  Цаг хугацаатай холбогдох ярилцлага, тоглоом, дүрслэн урлах үйл ажиллагаа зохион байгуулна. (Жишээ нь: Хэзээ болдог вэ? тааварт тоглоом, улирлын онцлогийг зурах, барих, наах, намрын баяр, цасны баяр тэмдэглэх)  Өглөө бүр дасгал хийх, өдөр тутам цаг агаарын байдлыг хуанлид тэмдэглэх зэрэг давтагдсан үйл ажиллагаа зохион байгуулж, хүүхдийн цаг хугацааны ойлголтод дэмжлэг үзүүлнэ. Ямар хэрэглэгдэхүүнээр дэмжих вэ?  Өдөр тутмын хэрэглээний эд зүйлс  Гарын доорх болон байгалийн материал (Жишээ нь: Чулуу, боргоцой, мөчир, товч, шүр, лааз, ундааны хуванцар сав, шүдэнзний хоосон хайрцаг)  Хэрэглэгдэхүүн (Ангилах хайрцаг, картын самбар, элсэн цаг, өнгийн утас, цаас, харандаа)  Тараах материал (Тооны цифр, төрөл бүрийн дүрс, хүнсний зүйлс, амьтан, ургамлын зураг)  Тоглоомууд (Өрж байгуулах тоглоом, шүр, шагай, картонон, цаасан тоглоомууд) 2.2.6. ХӨГЖИМ, ДҮРСЛЭХ УРЛАГ Яагаад хэрэгтэй вэ? Бага насны хүүхэд хэл ярианаас гадна нүүр царайны хувирал, хөдөлгөөн, тоглох, зурж урлах, дуулах, бүжиглэх зэрэг үйлээр өөрийгөө илэрхийлдэг. Хөгжмийн аялгууны янз бүрийн хэмнэлээр хөдлөх бүрт хүүхдийн сэтгэл сэргэж, булчин хөгжиж, хөгжмийн зэмсгээр тоглоход гар, хурууны хөдөлгөөн, харааны зохицуулалт сайжирдаг. Хөгжмийн аялгууг сонсож утга санааг илэрхийлэх, дууны үг, аяыг сурах явцад тэдний ой тогтоолт сайжирч, сэтгэн бодох чадвар хөгждөг ба өөрийн үндэсний хэл соѐлын гайхамшгийг мэдэрч эхэлнэ. Нийтээрээ дуулах, хөгжим тоглох, жүжиглэх үед хамтран ажиллах, зэмсгээ хуваалцах, тодорхой дүрэм журам дагах, бусдыг сонсох зэргээр нийгмийн харилцаанд суралцана. Зурах, урлан бүтээх үйл нь хүүхдийн тал бүрийн хөгжлийг дэмжиж, бүтээлч сэтгэлгээг хөгжүүлнэ. Дүрслэн урлах үйл нь гар, хурууны хөдөлгөөнөө зохицуулах, эхэлсэн ажлаа дуусгах, тэсвэр тэвчээртэй болох, аливааг олон талаас нь бодож төлөвлөх, гоѐ сайхныг мэдрэх, хийж бүтээхийг эрмэлзэх зэрэг олон эерэг нөлөөллийг хүүхдэд үзүүлдэг. Урлагийн бүтээлтэй танилцахад хүүхдэд зохиомж, утга агуулга, өнгө зохицол нь бүрдсэн сайхан зүйлсийг мэдэрч ойлгох боломж олддог. Ямар үр дүнд хүрэх вэ?  Дуу, хөгжим, урлагийн бүтээлийг таашаана, сайхныг нь мэдэрч баясна.  Дуулах, бүжиглэх, жүжигчлэн тоглох, хөгжимдөх, зурах, наах, баримал барих, зохион бүтээх дуртай байна.  Хөгжмийн аялгуу, хэмнэлд тохируулан хөдөлгөөн хийнэ, дуулна.  Хүрээлэн байгаа орчны юмс, үзэгдлийн талаарх ойлголт төсөөлөл, санаа бодлоо зураг, бүтээлээрээ бүтээлчээр илэрхийлнэ. Чадвар I түвшин II түвшин III түвшин 1.Хөгжмийн аялгууг ялгаж сонсох, мэдрэмжээ илэрхийлэх Хөгжмийн аялгууг сонсоод баярлах, толгой, биеэ хөдөлгөх зэргээр сэтгэл хөдлөлөө илэрхийлнэ Хөгжмийн аялгууг сонсоод танина, мэддэг дуугаа дуулна, хэмнэлд тохируулан хөдөлгөөн хийнэ. Хөгжмийн хурдан удаан, чанга сул, хэмнэлийг ялгана. Хөгжмийг сонсоод утга санаа, өнгө аясыг үгээр илэрхийлнэ. Хүүхдийн жишиг үйл  Хөгжим сонсоод, юу төсөөлөгдөж байгааг ярилцана  Орчны амьд болон амьгүй байгалийн юмс, үзэгдэл, эд зүйлсийн дуу чимээг ялгаж сонсоно, нэрлэнэ. (Жишээ нь: Салхи исгэрэх, ус урсах, зөгий дүнгэнэх, голио, царцаа шаргих, нохой хуцах, морь янцгаах, бороо шаагих)  Хөгжимт хөдөлгөөнт, жүжигчилсэн, сургах тоглоомын явцад хөгжмийн хэмнэл, аялгууны өөрчлөлтийг мэдэрч илэрхийлнэ.  Аялгууг сонсоод хөгжмийн зэмсгийг ялгана. (Жишээ нь: Төгөлдөр хуур, морин хуур)  Чулуу, мод, шил, шаазан, төмөр, хуванцар, цаасан эд зүйлсийг дуугаргаж туршин, ямар дуу чимээ гарч байгааг ялгаж сонсоно, юуны дуу чимээ болохыг нэрлэнэ.  Хөгжим сонсоод өөрт тааламжтай аялгууг ялгаж хэлнэ.  Хөгжмийн аялгууг сонсоод утга санааг үг, хөдөлгөөн, зураг, нүүрний хувирлаар илэрхийлнэ.  Сонсож байгаа зүйлийнхээ чанга сулыг тохируулна.  Хөгжмийн аялгууг сонсоод хөгжилтэй, гунигтай , уйтгартай гэх мэт өнгө аясыг илэрхийлж хэлнэ.  Сонсох эрхтнээ хэрхэн хайрлаж хамгаалах талаар ярилцана, тоглоом тоглоно. (Жишээ нь: “Хаана юу дуугарав?”, “Сонор соотон чих”, “Шувууд юу гэж жиргэв?”) 2.Хөгжмийн хэмнэлийг илэрхийлэх I түвшин II түвшин III түвшин Дуу, хөгжмийн хэмнэлийг ялган сонсож, хөдөлгөөн (биеэр ганхах, алга таших, толгойгоо дохих)-өөр илэрхийлнэ. Дуу, хөгжмийн хэмнэлийг мэдэрч, энгийн хөгжмийн зэмсэг (бөмбөр, шагшуур, дуут мод зэрэг)-ээр дагаж тоглоно. Ганцаараа болон бусадтай дуу, хөгжмийн хэмнэлийг энгийн хөгжмийн зэмсгээр илэрхийлэн тоглоно. Хүүхдийн жишиг үйл  Ойр орчныхоо дуу чимээнээс давтамжийг мэдэрч, дагаж дуурайна. (Жишээ нь: Бороо орох, цаг дуугарах, мод хөрөөдөх)  Янз бүрийн хэрэгсэл, арга техник ашиглан хэмнэл зохионо. (Биеийн хөдөлгөөн, дүрс, энгийн хөгжмийн зэмсэг гэх мэт)
  • 25.
    48 49 СУРГУУЛИЙНӨМНӨХБОЛОВСРОЛЫНСУРГАЛТЫНЦӨМХӨТӨЛБӨР ХҮҮХЭДБҮХЭНДЭЭ“БИЧАДНА“ГЭСЭНИТГЭЛӨГЬЕ!  Дуу,хөгжмийн чанга сул, удаан түргэн болон хэмнэлийг мэдэрч хэлнэ.  Урлан бүтээх үйлээр бусадтай хамтран байгалийн болон ахуйн жижиг зүйлсийг ашиглан энгийн хөгжмийн зэмсэг хийж дуугарган туршина. (Жишээ нь: Шагшуур, бөмбөр)  Хийсэн хөгжмөөрөө өндөр, нам өнгө, чанга, сул дуугаралт, хэмнэлийг ялган тоглоно.  Хөгжимт, хөдөлгөөнт, сургах тоглоомын явцад үзүүлсэн хэмнэл (алга таших, хөлөө товших, энгийн хөгжмийн зэмсэг ашиглах зэргээр)-ийг дагаж илэрхийлнэ.  Хэмнэлийг хосоор, хамтлаг, нийтээр илэрхийлж тоглоно. 3.Ганцаараа болон бусадтай дуулах I түвшин II түвшин III түвшин Дууны үгийг аялгуулан хэлнэ, дагаж аялна. Дууг дагаж болон бие даан дуулна. Ганцаараа болон бусадтай хамтарч хөгжмийн хамсраатай, хамсраагүй дуулна. Хүүхдийн жишиг үйл  Дууны утга санааг ойлгож дуулна, агуулгыг зураг ашиглан ярина.  Дууны эхлэл, төгсгөл, дахилтыг сонсож ялгана, үг, бадгийн дарааллыг тогтооно.  Холбоо үг, аман наадмыг аялгуулан хэлнэ.  Өөрийн санаачилгаар ганцаараа болон бусадтай дуулна.  Дууг дуулахдаа дохионы дагуу зэрэг эхэлж, дуусгана.  Дууны хэмнэл, утга санаад тохирсон хөдөлгөөн хийж дуулна. 4. Хөгжмийн аялгуу, хэмнэлд тохируулан хөдөлгөөн хийх I түвшин II түвшин III түвшин Хөгжмийн ая, хэмнэлд тохируулан бүжгийн энгийн хөдөлгөөн (гараасаа барьж тойргоор алхах, алга таших, дороо эргэх) хийнэ. Бүжгийн энгийн хөдөлгөөнийг бие даан болон бусадтай хамтран хийнэ, зэрэг эхэлж, дуусгана. Үйл хөдлөл, бодол санаа, мэдрэмжээ бүжгийн хөдөлгөөнөөр илэрхийлнэ. Хүүхдийн жишиг үйл  Хөгжмийн хэмнэлийг мэдэрч, тохирсон хөдөлгөөн хийнэ, бүжиглэнэ, хөгжилтэй тоглоом, тойрон бүжигт оролцоно.  Хөгжмийн хэмнэлд тохируулан биеийн тамирын дасгал, хөдөлгөөн хийнэ.  Бүжиг, хөгжимт тоглоом, тойрон бүжиг, дасгалын үед хөгжмийн хэмнэлд тохируулан хөнгөн алхана, гүйнэ, хоѐр хөлийг товшино, хоѐр хөл дээр ээлжлэн үсэрнэ, орон зайг баримжаалан эргэнэ.  Дүрс бичлэг, кино, бүжгийн хамтлагийн тоглолт үзнэ, хөдөлгөөнийг дуурайж хийнэ, санаа бодол, сэтгэгдлээ хэлнэ.  Сэтгэлийн хөдөлгөөнөө дуу хоолой, хөдөлгөөнөөрөө илэрхийлнэ, жүжигчлэн тоглох дуртай байна.  Жүжигчилсэн тоглолт, бүжгийн өдөрлөг, бүжигчинтэй хийх уулзалт зэрэг үйл ажиллагаанд оролцож, хүсэл мөрөөдөл, санал бодлоо ярилцана.  Хамтран дуулж, бүжиглэх дуртай байна, нөхдийнхөө бүжиглэхэд баясаж талархана. 5. Ойлголт төсөөлөл, бодол санаагаа зурж дүрслэх I түвшин II түвшин III түвшин Зурах үйлийг сонирхоно, орчны юмсыг өөрийнхөөрөө зурж дүрсэлнэ. Зурах багаж хэрэгслээ сонгоно, төрөл бүрийн материал (харандаа, будаг, бийр, эсгий бал гэх мэт) ашиглан олон аргаар зурж дүрсэлнэ. Хүрээлэн буй орчны юмс, үзэгдэл, үйл явдал, санаа бодол, мэдрэмжээ зургаар илэрхийлнэ, бусадтай хамтран бүтээл хийнэ, зурж буй зүйлдээ хичээл чармайлттай хандана. Хүүхдийн жишиг үйл  Зурах явцдаа төрөл бүрийн цаас, өнгийн харандаа, усан будаг, бийр, бусад зурж дүрслэх материал, хэрэгслийг туршин үзэж, ашиглана.  Эрээчиж сараачна, юутай адил болсныг ажиглана, нэрлэнэ.  Зураас, цэг, толбо, өнгө, дүрс ашиглан санаа бодлоо илэрхийлэн зурна.  Аялал, зугаалгаар хүн, амьтны хөдөлгөөнийг ажиглана, ярилцана, бүтээлдээ дүрсэлнэ.  Байгаль орчны юмс, үзэгдлийг ажиглана, өнгө, дүрс, байршлыг судалж, зураг бүтээлдээ тусгана.  Зурсан зургаа энгийн аргаар хээлж чимэглэнэ. (Жишээ нь: Геометрийн дүрс, цэцэг навчаар)  Янз бүрийн арга, хэрэгсэл ашиглан зурна. (Жишээ нь: Гар, хөлийн хуруу, улны мөр, будган дусал болон хэв дардас, гуурс ашиглан зурах)  Үндсэн өнгийг таньж нэрлэн зурагтаа ашиглана, шинэ өнгө үүсгэж хэрэглэнэ.  Юуны тухай, юугаар, яаж зурснаа бусдад тайлбарлана.  Бүтээлээрээ үзэсгэлэн гаргах, цомог хийх, самбарт байрлуулахад оролцоно.  Зураг, урлалын хэрэгслийг цэвэрлэнэ, асгасан, унагасан зүйлийг хамтран цэвэрлэж, хурааж цэгцэлнэ.  Бусадтай хамтран бүтээл хийнэ. 6. Шавраар эд зүйлс, хүн, амьтан дүрслэх I түвшин II түвшин III түвшин Баримлын болон байгалийн шавар, зуурмаг, элсээр нэг цул бүтэцтэй зүйлс хийнэ, хэв дардас ашиглан хэлбэр гаргана. Баримлын шавар, зуурмаг, цас, элсээр хялбар бүтэцтэй (2 ба 3-аас доошгүй хэсгээс бүтсэн) зүйлс дүрсэлнэ. Баримлын шавар, зуурмаг, цас, элсээр эд зүйлс, хүн, амьтан дүрсэлнэ. Хүүхдийн жишиг үйл  Баримлын болон байгалийн шавар, гурилан зуурмагны шинж чанартай танилцана.  Шаврыг бөөрөнхийлөх, хавтгайлах, сунгах, цувих, хуваах, нааж бэхлэх аргыг туршина, хэрэглэнэ.  Янз бүрийн материал (баримлын шавар, зуурмаг, элс ус)-аар эд зүйлс дүрсэлнэ.  Аялал, зугаалга, экскурсээр явах, музей үзэсгэлэн үзэх явцад амьтан, ургамал, юмс, үзэгдлийг сонирхон ажиглана, тэдгээрийн өнгө, хэлбэр, бүтэц хэсгийн болон юмс хоорондын харьцаа, хүн, амьтны хөдөлгөөнийг судалж ярилцана.  Оршин суугаа хот, аймаг сумын төв, түүх соѐлын газар, хөшөө дурсгалтай танилцана, онцлогийнх нь талаар ярилцана.  Оролцсон ажил хөдөлмөр, аялал, баяр ѐслолын үеэр өөрт нь сонирхолтой, онцгой санагдсан зүйлсийг барьж дүрсэлнэ.  Бүтээлээрээ үзэсгэлэн гаргахад оролцож санал бодлоо илэрхийлнэ.  Үлгэр, өгүүллэг, хүүхэлдэйн кино, жүжгийн өөрийн дуртай дүрийг барьж дүрсэлнэ. 7. Ойлголт төсөөлөл, бодол санаагаа наамлаар дүрслэх I түвшин II түвшин III түвшин Наамал хийх үйлийг ажиглана, бэлэн дүрсээр наамал хийнэ. Хялбар дүрс хайчлан нааж, эд зүйлс, амьтан, ургамал дүрсэлнэ. Төрөл бүрийн материал (цаас, картон, бөс даавуу, үр жимс)- аар орчноо бүтээлчээр дүрслэн наамал хийнэ.
  • 26.
    50 51 СУРГУУЛИЙНӨМНӨХБОЛОВСРОЛЫНСУРГАЛТЫНЦӨМХӨТӨЛБӨР ХҮҮХЭДБҮХЭНДЭЭ“БИЧАДНА“ГЭСЭНИТГЭЛӨГЬЕ! Хүүхдийн жишигүйл  Наамал хийх явцад юмсын гадаад онцлог, хэлбэр дүрс, бүрдэл хэсгийг ажиглана, ярилцана.  Хүн, амьтан, ургамал, эд зүйлсийг цаас, даавуу, торго, ноос, утас болон байгалийн материал ашиглан дүрслэн наана. (Жишээ нь: Навч, чулуу, элс, төрөл бүрийн үр жимс, будаа, сүрэл, боргоцой)  Төрөл бүрийн материалаар наамал хийх явцад тэдгээрийн шинж чанарыг судална.  Бэлтгэсэн дүрсүүдээ зохиомжлон байрлуулна, наана.  Бүтээлээ орон зай, дүрс, өнгийн, давтамж үүсгэж чимэглэнэ.  Янз бүрийн аргуудын ашиглан наана. (Жишээ нь: Голоор нь нугалсан цаасан дээр зураад, дагуулан хайчлах, урах аргаар тэгш хэмтэй зүйлийг дүрсэлж наах)  Үлгэр, зохиолтой танилцаж, жүжиг, кино үзсэний дараа өөрийн сэтгэгдлийг илэрхийлж, дуртай баатрууд, хайртай амьтнаа дүрслэн наана.  Аялал, зугаалга, ажил хөдөлмөр, баяр, тэмдэглэлт өдрийн өөрт сонирхолтой, онцгой санагдсан зүйлсийг наамлаар дүрслэн, бүтээлүүдээ хамтын бүтээл болгон зохиомжилж, ярилцлага хийнэ.  Наасан бүтээлээ цавуу, наалдамхай тууз, утас, үдээсээр холбон тоглоом хийж ашиглана, орчноо чимэглэнэ. 8. Барьж байгуулах, зохион бүтээх I түвшин II түвшин III түвшин Барьж байгуулах тоглоомоор эд зүйлс зохион бүтээж тоглоно. Барьж байгуулах, эвлүүлж угсрах тоглоом, хаягдал болон байгалийн материалаар зохион бүтээнэ. Зохион бүтээсэн зүйлсээрээ тоглоно, агуулга, дүрслэлийг баяжуулна. Хүүхдийн үйл  Барьж байгуулах тоглоомоор орчныхоо талаарх ойлголт, төсөөллөө илэрхийлэн бүтээнэ.  Орчны юмс, амьтан, ургамлыг цаас, даавуугаар нугалбар хийж эвхэж дүрсэлнэ.  Байгалийн болон ахуйн жижиг зүйлсийг ажиглан хараад түүгээр юуг, яаж хийж болохыг сэдэж, бусадтай саналаа солилцоно, хэрэгжүүлнэ. (Жишээ нь: Навч, цэцэг, боргоцой, чулуу, хайрцаг, сав, бөглөө)  Өөрийн бүтээлийг бусдад танилцуулан, юугаар, яаж хийснээ тайлбарлана.  Зохион бүтээсэн зүйлээ тоглох, найз нөхөд, дүүдээ бэлэглэх, анги танхимаа чимэглэхэд ашиглана.  Угсарч, эвлүүлэх тоглоомоор хүн, амьтан, эд зүйлс бүтээнэ.  Бүтээл хийхдээ няхуур ажиллаж, багаж хэрэгслийг хурааж цэгцэлнэ, ажлын байраа цэвэрлэхэд оролцоно.  Тууз, олс, цаас зэргийг ашиглан хоѐроор, гурваар сүлжин бүтээл хийнэ, тоглох үйлдээ ашиглана.  Хэрэглэх материалуудынхаа шинж чанарыг судална, хэрхэн ашиглах талаар ярилцана, шийднэ. (Жишээ нь: Барзгар, гөлгөр, бүдүүн, нарийн, урт богино, өнгө, хэлбэр)  Өөрийн болон нөхдийн бүтээлээр бахархана, бусдад тайлбарлаж танилцуулна. Багшийн үүрэг, оролцоо  Хэрэглэгдэх материал (цаас, цавуу, баримлын шавар, байгалийн материал гэх мэт) багаж хэрэгсэл (бийр, хайч гэх мэт), энгийн хөгжмийн зэмсгийг бэлтгэнэ.  Материал, багаж хэрэгсэлтэй аюулгүй, зөв харьцах арга техникийг таниулна.  Хэрэглэгдэх материалуудыг төрөлжүүлэн хайрцаглаж, хаяглан (зургаар), хүүхэд сонгож, чөлөөтэй авч ашиглаж болохоор байрлуулна.  Хүүхдэд хөгжмийн хүч (чанга, сул), хурд (удаан, түргэн), хэмнэлийг мэдрэх, тэдгээрийг янз бүрийн арга, хэрэгслээр илэрхийлэх боломж олгоно.  Хүүхдэд зурааснууд, өнгө, хэлбэр дүрсийг зураг бүтээлдээ ашиглахад тусална.  Өөрийн санаа бодол, ойлголт төсөөлөл, аялал, зугаалга, тоглоом, уран зохиолтой танилцах явцад танилцсан амьтан, ургамал, сонирхсон эд зүйлс, үйл явдлыг зурж, дүрслэх сэдэл төрүүлнэ, чиглүүлнэ.  Өдөр бүр хүүхдэд дуу, хөгжим сонсох, хөгжмөөс төрсөн сэтгэгдлээ хуваалцах, дууг ганцаараа болон бусадтай дуулах, хөгжмийн ая, хэмнэлд тохируулан хөдөлгөөн хийх боломж олгоно.  Хүүхдийн хоолойн цараанд тохирсон дууг сонгоно, утгыг ярилцана, чанга хашгирахгүй, үгийг зөв тод хэлж дуулахад тусална.  Дуулах, бүжиглэх, жүжиглэх, дүрслэн урлах чадвар хүүхэд бүрт харилцан адилгүйг хүлээн зөвшөөрнө, шаардагдах дэмжлэг туслалцаа үзүүлнэ.  Хүүхдийн бүтээлд ажиглалт судалгаа хийнэ, ахицыг баримтжуулна. Ямар хэрэглэгдэхүүнээр дэмжих вэ?  Дууны болон сонсох хөгжмийн цомог  Төрөл бүрийн энгийн хөгжмийн зэмсэг  Дуу авиа гаргах энгийн хэрэгслүүд  Дуу, бүжиг, хөгжимт хөдөлгөөнд хэрэглэгдэх тууз, дарцаг, баг маск, хүүхэлдэй, тоглоом зэрэг дагалдах хэрэгсэл  Хуруу, бээлийн, таягт хүүхэлдэй  Төрөл бүрийн цаас (цаас, зургийн цаас, өнгийн цаас, ханын цаас, картонон цаас, хуучин сонин, сэтгүүл гэх мэт)  Зургийн хэрэгслүүд (өнгийн харандаанууд, бийр, хайч, усан будаг, гуашь, тосон харандаа, өнгийн шохой гэх мэт)  Дүрслэн урлахад шаардагдах бусад хэрэглэгдэхүүнүүд (баримлын шавар, зуурмаг, хэв, дардас, цоолбор, гарын доорх болон байгалийн материал гэх мэт)  Өрж байгуулах, эвлүүлж угсрах тоглоом
  • 27.
    52 53 СУРГУУЛИЙНӨМНӨХБОЛОВСРОЛЫНСУРГАЛТЫНЦӨМХӨТӨЛБӨР ХҮҮХЭДБҮХЭНДЭЭ“БИЧАДНА“ГЭСЭНИТГЭЛӨГЬЕ! ЦӨМ ХӨТӨЛБӨРТХЭРЭГЛЭГДСЭН ЗАРИМ НЭР ТОМЬЁОНЫ ТАЙЛБАР Нэр томьёо Тайлбар Сургалтын цөм хөтөлбөр Сургуулийн өмнөх боловсролын түвшинд хүүхдийн хүрэх үр дүн буюу эзэмших мэдлэг, чадвар, хандлагыг тодорхойлсон сургалтын баримт бичиг Чадамж Мэдлэг, чадвар, төлөвшлийн цогц Чадвар Аливаа үйлийг гүйцэтгэх, шийдвэрлэх ур дүй, дадлуудын цогц Ерөнхий чадвар Сургуулийн өмнөх боловсролын түвшинд хүүхдийн эзэмших үндсэн буюу өдөр тутмын амьдрал болон зориуд зохион байгуулсан сургалтаар эзэмших нэгдмэл чадвар Тусгай чадвар Сургуулийн өмнөх боловсролын түвшинд суралцахуйн тухайн чиглэлийн онцлогтойгоор хүүхдийн эзэмших чадвар Сургалтын чиглэл Хүүхдийн бүх талын хөгжлийг хангах сургалтын бүрэлдэхүүн хэсгүүд Суралцахуйн зорилт Суралцах үйл ажиллагаагаар хүрэх үр дүн Сурах үйл ажиллагаа Хүүхдийн танин мэдэх, төлөвших үйл, үйлдлийн цогц Сургалтын арга зүй Суралцахуйг дэмжих үйл ажиллагааны арга, аргачлалын цогц Сургалтын технологи Сургах, сурах үйл ажиллагааг хэрэгжүүлэх үйлийн оновчтой горим, эрэмбэ дараалал, түүний хувилбар Сурах арга барил Хүүхэд сурах үйл ажиллагаагаа төлөвлөх, зохион байгуулах, үнэлэх үйлийн цогц Цэцэрлэгийн үзэл баримтлал Тухайн цэцэрлэгийн хамт олны хүүхдийг хөгжүүлж, төлөвшүүлэх ажлын шийдэл, онцлог арга ухаан, өдөр тутмын ажилдаа баримтлах удирдамж Цэцэрлэгийн сургалтын хөтөлбөр Сургуулийн өмнөх боловсролын сургалтын цөм хөтөлбөрт үндэслэн орон нутгийн болон тухайн цэцэрлэгийн өвөрмөц онцлог, хүүхдийн хөгжлийн хэрэгцээг тусган боловсруулсан сургалтын хөтөлбөр Сургалтын цөм хөтөлбөр Сургуулийн өмнөх боловсролын түвшинд хүүхдийн хүрэх үр дүн буюу эзэмших мэдлэг, чадвар, хандлагыг тодорхойлсон сургалтын баримт бичиг Залгамж холбоо Сургалт, үйл ажиллагааны агуулга, хүүхдийн эзэмших чадварт гарч буй ахиц, өөрчлөлтийн уялдаа хамаарал Үнэлгээ Сургалтын хөтөлбөрийн хэрэгжилтийн явцад болон эцэст суралцагчийн эзэмшсэн чадамжийн түвшинг хэмжин тогтоох арга хэрэгсэл ÖªÌ ÕªÒªËÁªÐ ÁÎËÎÂÑÐÓÓËÑÀÍ ÁÀÃÈÉÍ Á¯ÐÝËÄÝÕ¯¯Í Ǻâëºõ: Á.Íàñàíáàÿð, ÁÑØÓß-íû Ñòðàòåãèéí áîäëîãî, òºëºâëºëòèéí ãàçðûí äàðãà ÖªÌ ÕªÒªËÁªÐÈÉà ÒÓÐØÑÀÍ ÖÝÖÝÐËÝï¯Ä 1 Áàÿíõîíãîð àéìãèéí 4 ä¿ãýýð öýöýðëýã 2 Áàÿíõîíãîð àéìãèéí 9 ä¿ãýýð öýöýðëýã 3 Äàðõàí-Óóë àéìãèéí 18 äóãààð öýöýðëýã 4 Äîðíîä àéìãèéí 1 ä¿ãýýð öýöýðëýã 5 Çàâõàí àéìãèéí 1 ä¿ãýýð öýöýðëýã 6 Îðõîí àéìãèéí 10 äóãààð öýöýðëýã 7 ªìíºãîâü àéìãèéí Öîãòöýöèé ñóìûí 7 äóãààð öýöýðëýã 8 Íèéñëýëèéí Ñ¿õáààòàð ä¿¿ðãèéí 42 äóãààð öýöýðëýã 9 Íèéñëýëèéí Ñîíãèíîõàéðõàí ä¿¿ðãèéí 101 ä¿ãýýð öýöýðëýã 10 Íèéñëýëèéí Áàÿíç¿ðõ ä¿¿ðãèéí 115 äóãààð öýöýðëýã 11 Íèéñëýëèéí Áàÿíãîë ä¿¿ðãèéí 120 äóãààð öýöýðëýã 12 Íèéñëýëèéí Áàÿíãîë ä¿¿ðýã, ÓÁÒÇ-ûí 179 ä¿ãýýð öýöýðëýã 1 Í.Íîðæõîðëîî Ñóðãóóëèéí ºìíºõ áîëîâñðîëûí ÷àíàðûí øèíý÷ëýëèéí áàãèéí àõëàã÷, PhD 2 Ã.Ìîíãîëõàòàí Áîëîâñðîëûí õ¿ðýýëýíãèéí ýðäýì øèíæèëãýýíèé àæèëòàí 3 Ç.Áîëîðìàà Íèéñëýëèéí Áîëîâñðîëûí ãàçðûí ìýðãýæèëòýí 4 Ç.̺íõòóóë Áîëîâñðîëûí ¿íýëãýýíèé òºâèéí ìýðãýæèëòýí 5 Á.Îþóíãýðýë Áàÿíõîíãîð àéìãèéí Áîëîâñðîë, ñî¸ëûí ãàçðûí ìýðãýæèëòýí 6 ×.Áàÿíöýöýã Íèéñëýëèéí Ñîíãèíîõàéðõàí ä¿¿ðýã, 101 ä¿ãýýð öýöýðëýãèéí ýðõëýã÷ 7 ß.Îòãîíæàðãàë Íèéñëýëèéí Ñ¿õáààòàð ä¿¿ðýã, 42 äóãààð öýöýðëýãèéí ýðõëýã÷ 8 Æ.Íàðàí Íèéñëýëèéí ×èíãýëòýé ä¿¿ðýã, “Áàñàðõàí” öýöýðëýãèéí ýðõëýã÷ 9 Á.Ï¿ðýâäîëãîð “Áàãà íàñíû õ¿¿õäèéí õºãæëèéã äýìæèõ òºâ” ÒÁÁ-ûí àæèëòàí 10 Ò.Ýíõìàà Îðõîí àéìãèéí 10 äóãààð öýöýðëýãèéí ýðõëýã÷ 11 Ò.Òºìºð-Î÷èð Õóóëü ç¿éí ÿàìíû ìýðãýæèëòýí 12 Ä.Ãýðýëòóÿà Íèéñëýëèéí Áàÿíç¿ðõ ä¿¿ðýã, “ßãààí öàìõàã” öýöýðëýãèéí ýðõëýã÷ 13 Æ.Áóðìàà Íèéñëýëèéí Õàí-Óóë ä¿¿ðýã, “Îð÷ëîí” öýöýðëýãèéí ýðõëýã÷ 15 14 Ä.Òóÿà Ñóðãóóëèéí ºìíºõ áîëîâñðîëûí ñóðãóóëèéí Òýíõèìèéí ýðõëýã÷, PhD 16 À.Íàðìàíäàõ “Áàãà íàñíû õ¿¿õäèéí õºãæëèéã äýìæèõ òºâ” ÒÁÁ-ûí ã¿éöýòãýõ çàõèðàë Æ.Æàãàðñ¿ðýí Íèéñëýëèéí Áàÿíç¿ðõ ä¿¿ðýã, 64 ä¿ãýýð öýöýðëýãèéí ýðõëýã÷
  • 28.
    5554 СУРГУУЛИЙНӨМНӨХБОЛОВСРОЛЫНСУРГАЛТЫНЦӨМХӨТӨЛБӨР ХҮҮХДИЙН ХӨГЖЛИЙН АХИЦЫГҮНЭЛЭХ АЖИГЛАЛТЫН ХУУДАС Аймаг / дүүрэг:____________________ Цэцэрлэгийн нэр, дугаар:______________________ Овог, нэр: _____________________________________ Хүйс: _______ Огноо: Огноо: Нас ____ сар ____ Нас ____ сар ____ 1. Биеийн хөдөлгөөнөө удирдах чадвар № Чадвар Чаддаг -гүй Дэмж- лэгтэй Чаддаг 1.1 Шалан дээр байгаа зүйлийг доош бөхийн барьж авна. 1.2 Ор болон өндөр сандал дээр гарч, бууж чадна. 1.3 Том хайрцагт юмсыг зөөж хийнэ. 1.4 Хөтөвч, суултуурт бие засахдаа өөрөө сууж, босно. 1.5 Шатаар өгсөж, уруудна. 1.6 Аяга, халбагаа зөв барьж хэрэглэнэ. 1.7 Зузаан (картонон) хуудастай номын хуудсыг нэг нэгээр нь эргүүлнэ. 1.8 Бүдүүн харандаа, тосон харандаа ашиглаж, цаасан дээр зураас татна. 1.9 Хувцсаа өөрөө тайлна. 1.10 Гараа угааж, арчина. 1.11 Цэвэрхэн хооллоно. 1.12 “Болно”, “Болохгүй” гэсэн энгийн зааврыг ойлгож биелүүлнэ. Хугацаа IX-X сар IV-V сар Ахиц Онооны дүн Гүйцэтгэлийн дундаж 3 хүртэлх насны хүүхэд ТАЙЛБАР: Хүүхэд тус бүрийн чадвараас хамааран “Чаддаггүй” бол 1, “Дэмжлэгтэй” бол 2, “Чаддаг” бол 3 гэсэн үнэлгээг хүснэгтэд тэмдэглэнэ. Нийт онооны дүнг тухайн хэсгийн чадварын тоонд хувааж “Гүйцэтгэлийн дундаж” гарна. НОМ ЗҮЙ 1. Монгол улсын Боловсролын тухай хууль, 2002 он 2. Төрөөс боловсролын талаар баримтлах бодлого батлах тухай, Монгол Улсын Их хурлын тогтоол, Дугаар 12, 2015 он 3. “Зөв монгол хүүхэд” үндэсний хөтөлбөр, Монгол Улсын Засгийн газрын тогтоол, дугаар 295, 2013 он 4. “Сургуулийн өмнөх боловсролын сургалтын талаар баримтлах бодлого”, Боловсрол, шинжлэх ухааны сайдын тушаал, дугаар 327, 2013 он 5. Ухаалаг төрийг цогцлоох хүн, түүний ѐс суртахууны тухай, Д.Чойжамц, 2013 он, Улаанбаатар 6. ХБНГУ: Der Bayerische Bildungs-und Erziehungsplan fuer Kinder in Tageseinrichtungen bis zur Einschulung, 2009 7. Зургаан настай хүүхдийн сургуульд бэлтгэгдсэн байдлын судалгааны тайлан, БСШУЯ, Боловсролын хүрээлэн, НҮБ-ын Хүүхдийн сан, 2008 он, Улаанбаатар 8. Бага насны хүүхдийн бие бялдар-сэтгэцийн хөгжил, Ш.Оросоо, Ж.Батдэлгэр,1999 он Цахим хуудас: 1. Канад: “Early Learning Framework”2007, British Columbia, Ministry of Education, Canada,http://www.bced.gov.bc.ca/early_learning/pdfs/early_learning_framework.pdf 2. ОХУ: Концепция дошкольного воспитания 2012, Россия http://do.isiorao.ru/document/untitled.php/prikaz%20o%20concepcii.php 3. Сингапур: A Framework for A Kindergarten Curriculum in Singapore, 2012,http://www.moe.gov.sg/education/preschool/files/kindergarten-curriculum- framework.pdf 4. Япон: Japanese Course of study kindergarten (2008)http://www.mext.go.jp/a_menu/shotou/newcs/youryou/eiyaku/__icsFiles/afieldfile/201 1/01/13/1298368_1.pdf ----- о О о -----
  • 29.
    56 57 ХҮҮХДИЙН ХӨГЖЛИЙНАХИЦЫГ ҮНЭЛЭХ АЖИГЛАЛТЫН ХУУДАС ХҮҮХДИЙН ХӨГЖЛИЙН АХИЦЫГ ҮНЭЛЭХ АЖИГЛАЛТЫН ХУУДАС Аймаг / дүүрэг:____________________ Цэцэрлэгийн нэр, дугаар:______________________ Овог, нэр: _____________________________________ Хүйс: _______ Огноо: Огноо: Нас ____ сар ____ Нас ____ сар ____ 3-6 хүртэлх насны хүүхэд ТАЙЛБАР: Багш хүүхдийг тодорхой үйл гүйцэтгэх явцад ажиглаж, тухайн чадамжийг илрүүлэх асуултуудын ард дөрвөлжин буюу дугуй дотор байгаа 1-5 хүртэлх онооноос тохирох оноог сонгож тэмдэглэнэ. Дөрвөлжин доторх оноо нь хүүхдийн гүйцэтгэж буй үйлийн гүйцэтгэлийн чанар ямар байгааг (“тохирцоор”), дугуй дотор байгаа нь хүүхдийн сонирхол, сэдэл, дадал хэвшлийн эзэмшилт ямар байгааг (ажиглагдаж буй “давтамжаар” буюу хэр олон удаа “тохиолдож” байгаагаар) илрүүлнэ. Дөрвөлжин, дугуй доторх тооны аль аль нь ахих тутам хүүхдэд тухайн асуултын дагуу чанарын ахиц гарч байгааг илтгэнэ. Багш оноо тус бүрийн ард буй тайлбарын утгыг маш сайн анхаарч, тохирох эсэхийг нягтлан тэмдэглэнэ. Бүх асуулт таглагдсаны дараа эхлээд тухайн чадамжийн хэсэг тус бүрийн онооны дүн, гүйцэтгэл (Онооны дүнг асуултын тоонд хуваана.)-ийг, дараа нь тухайн чадамжийн нийт оноог нэгтгэж, гүйцэтгэлийн дунджийг гаргана. 1 2 3 4 5 1 2 3 4 5 Огт тохиолддоггүй. Хааяа нэг тохиолддог. Байн байн тохиолддог. Ихэнхдээ тохиолддог. Дандаа / байнга тохиолддог. Огт тохирохгүй байна. Ховор тохирч байна. Дундаж хэмжээнд тохирч байна. Ихэнхдээ тохирч байна. Яг тохирч байна. Давтамж Тохироц 2. Нийгэмшихүйн чадвар № Чадвар Чаддаг -гүй Дэмж- лэгтэй Чаддаг 2.1 Өөрийн эд юмсыг бусдынхаас ялгана. 2.2 “Би өөрөө“ гэж үйл хийхийг эрмэлзэнэ. 2.3 Өөрийн хэрэгцээг дуу авиа, нүүрний хувирал, үгээр илэрхийлнэ. 2.4 Ойр орчныхоо хүнтэй дотносоно. 2.5 Тааламжтай байгаагаа илэрхийлнэ. (Жишээ нь: Хөгжим сонсоод инээмсэглэх, биеэрээ найгах) 2.6 Өөртөө тааламжгүй байдлыг дуу авиа, үг, биеийн хөдөлгөөнөөр илэрхийлж, насанд хүрэгчдээс тусламж, чиглэл хүлээнэ. 2.7 Юмсыг зориулалтаар нь хэрэглэнэ. (Жишээ нь: Харандаагаар зурах, халбагаар хоолоо идэх, хөтөвч хэрэглэх) 2.8 Бусдын үйлдлийг ажиглана, дуурайна. (Жишээ нь: Хүүхэлдэй бүүвэйлнэ, хооллоно.) Хугацаа IX-X сар IV-V сар Ахиц Онооны дүн Гүйцэтгэлийн дундаж 3. Оюун ухааны чадвар № Чадвар Чаддаг -гүй Дэмж- лэгтэй Чаддаг 3.1 Хүн, амьтан, юмсыг зургаас таньж, асуухад зааж нэрлэнэ. 3.2 Амьтдын дуу авиаг дуурайж дуугарна. 3.3 Юмсыг төрлөөр нь ялгана. (Жишээ нь: Бөмбөг, машиныг тус тусад нь) 3.4 Янз бүрийн хэмжээ, хэлбэртэй тоглоомоор тоглоно, асуухад “том”, “жижиг”-ийг заана, хэлнэ. 3.5 “Нэг”, “Олон”-г ялгаж хэлнэ. 3.6 Гэр болон цэцэрлэгт байгаа дуртай зүйлийнхээ байрлалыг мэднэ. 3.7 Хогийг саванд нь хийнэ. 3.8 Нэг үйлдэлт зааврыг дагана. (Жишээ нь: “Надад бөмбөг аваад ир” гэхэд авчрах) 3.9 Богино өгүүлбэрээр ярина. (Жишээ нь: “Би явна”, “Ээждээ өгнө”) Хугацаа IX-X сар IV-V сар Ахиц Онооны дүн Гүйцэтгэлийн дундаж ХҮҮХДИЙН ХӨГЖЛИЙН АХИЦЫГ ҮНЭЛЭХ АЖИГЛАЛТЫН ХУУДАС
  • 30.
    58 59 1.2. Гархурууны хөдөлгөөнөө зохицуулах 1.2.14 Хувцсаа тайлж, өмсөнө. (Жишээ нь: Товчилно, цахилгаан татах, гутлаа үдэх.) 1 2 3 4 5 1.2.15 Гурваар жигд сүлжинэ. (олс, уяа) 1 2 3 4 5 1.2.16 Ирмэгүүдийг яг давхцуулан цаасан нугалбар хийнэ. 1 2 3 4 5 1.2.17 Дүрсийг хүрээнээс гаргалгүй будна. 1 2 3 4 5 1.2.18 Шагайг онож нясална. 1 2 3 4 5 1.2.19 Энгийн дүрсийг дуурайлган зурна. (Жишээ нь: Гэр, мод, машин) 1 2 3 4 5 1.2.20 Дүрсийг хүрээний дагуу хайчилна. 1 2 3 4 5 Нийт оноо IX-X сар IV-V сарГүйцэтгэлийн дундаж 1.3. Эрүүл мэндээ хамгаалах 1.3.21 Гараа бохирдсон үед нь болон бие зассаны дараа сануулгагүйгээр угаана. 1 2 3 4 5 1.3.22 Хоолой, амаа бие даан зайлна. 1 2 3 4 5 1.3.23 Бие зассаны дараа ариун цэврийн цаасыг бие даан зөв хэрэглэнэ. 1 2 3 4 5 1.3.24 Хувцсаа орчин, үйл ажиллагаандаа тохируулан өмсөнө. (Жишээ нь: Гадаа тоглох, дасгал хөдөлгөөн хийхэд) 1 2 3 4 5 1.3.25 Сайн зажилж, тайван хооллоно. 1 2 3 4 5 1.3.26 Ямар хүнсний зүйл хүний биед сайн, мууг мэднэ. (Жишээ нь: Сүү, сүүн бүтээгдэхүүн, хүнсний ногоо; их хэмжээтэй чихэрлэг зүйл, хийжүүлсэн ундаа) 1 2 3 4 5 1.3.27 Хийж болохгүй, осолтой үйлдлүүдийг мэднэ. (Жишээ нь: Халуун зуухнаас хол байх, морь малын хөлд ойртохгүй байх) 1 2 3 4 5 1.3.28 Ангийн аюулгүйн дүрмийг мөрдөнө. (Жишээ нь: Хайчны амыг хаах, харандааны үзүүрийг доош харуулж өгөх) 1 2 3 4 5 Нийт оноо IX-X сар IV-V сарГүйцэтгэлийн дундаж Хөдөлгөөн, эрүүл мэндийн чадамжийн нийт оноо: _____ Гүйцэтгэлийн дундаж: _____ 1. ХӨДӨЛГӨӨН, ЭРҮҮЛ МЭНДИЙН ЧАДАМЖ 1.1.1 Тэнцвэрээ хадгалан 20 см өргөн зураасан дундуур давж гишгэхгүйгээр арагш ухарч явна. 1 2 3 4 5 1.1.2 Дүүрэн устай ундааны шилэн аяга (стакан)-ыг нэг гартаа бариад усыг цалгиулахгүйгээр өрөөний нэг талаас нөгөө тал хүртэл алхана. 1 2 3 4 5 1.1.3 Тасалгаан дотор хурдаа тохируулж гүйнэ. 1 2 3 4 5 1.1.4 Хөлийг салгалгүйгээр зураасны дагуу үсэрнэ. 1 2 3 4 5 1.1.5 Шаланд ойлгож дамжуулсан бөмбөгийг алдахгүйгээр хоёр гараараа барьж авна. 1 2 3 4 5 1.1.6 Хоёр гараараа дундаж хэмжээтэй (диаметр нь 10 см орчим) бөмбөгийг дээш шидээд, алдахгүй барьж авна. 1 2 3 4 5 1.1.7 Нэг гараараа жижиг бөмбөгийг 1 метр орчим өндөрт шидээд, унагахгүй барьж авна. 1 2 3 4 5 1.1.8 Байг алдахгүй ононо. 1 2 3 4 5 1.1.9 Цагаригийг нэг гараараа түрж өнхрүүлнэ. 1 2 3 4 5 1.1.10 Налуу шатанд авирна. 1 2 3 4 5 1.1.11 Хүүхдийн өндөрт тохирсон савлуураас нэг нэг гараараа ээлжлэн барьж, 1 метр зайд явна. 1 2 3 4 5 1.1.12 Дээсэнд алдахгүйгээр 5 удаа үсэрнэ. 1 2 3 4 5 1.1.13 Өгсөн дохионы дагуу хөдөлгөөнөө эхэлж, дуусгана. 1 2 3 4 5 Нийт оноо IX-X сар IV-V сарГүйцэтгэлийн дундаж 1.1. Биеийн хөдөлгөөнөө удирдах ХҮҮХДИЙН ХӨГЖЛИЙН АХИЦЫГ ҮНЭЛЭХ АЖИГЛАЛТЫН ХУУДАС 2. НИЙГЭМШИХҮЙН ЧАДАМЖ 2.1.1 Шинэ дасгал, даалгаврыг хийж үзэхдээ итгэлтэй байна. 1 2 3 4 5 2.1.2 Өөрийн хийх үйлээ сонгоно. (Жишээ нь: Сургалтын аль төвд ажиллах, ямар дүрд тоглох) 1 2 3 4 5 2.1.3 Чадах зүйлээ бие даан гүйцэтгэнэ. (Жишээ нь: Тоглоомоо хураах, хувцсаа өмсөх, тайлах) 1 2 3 4 5 2.1.4 Хийж бүтээсэн зүйлдээ баярлана. 1 2 3 4 5 2.1.5 Эхэлсэн зүйлээ хийж дуусгана. 1 2 3 4 5 2.1.6 “Болно, болохгүй”, “Сайн, муу”-г ялгана. 1 2 3 4 5 2.1.7 Шинэ зүйлд соргог хандаж сонирхоно, оролдож, туршиж үзнэ. 1 2 3 4 5 2.1.8 Бусад хүүхэд, томчуудаас өөр санал бодолтой байвал эмээхгүйгээр өөрийнхөө санааг хэлнэ. 1 2 3 4 5 2.1.9 Асуудал, зөрчлийг өөрийн хэр хэмжээнд шийдвэрлэнэ. 1 2 3 4 5 Нийт оноо IX-X сар IV-V сарГүйцэтгэлийн дундаж 2.1. Зан чанар 2.2.10 Тухайн нөхцөл байдалд тохирсон сэтгэл хөдлөлийг үзүүлж чадна. (Жишээ нь: Жүжгийн инээдэмтэй хэсгийг үзээд баясан инээх) 1 2 3 4 5 2.2.11 Магтаал, зэмлэлийг мэдэрч сэтгэгдлээ илэрхийлнэ. (Жишээ нь: Зэмлэхэд дуугаа хурааж дүнсийх, магтуулсан бол урамшин хийж буй зүйлдээ шамдах, нүүр царайд нь баясал тодрох) 1 2 3 4 5 2.2.12 Өөрийнхөө сэтгэл хөдлөлийн шалтгааныг тайлбарлана. (Жишээ нь: Яагаад уурласан, яагаад уйтгартай байгаа) 1 2 3 4 5 2.2.13 Уур бухимдлаа тайван давж гарна. (Жишээ нь: Багшаараа аргадуулах, өөр зүйлд анхаарч хийх) 1 2 3 4 5 2.2.14 Бусдыг мэдэрч, зохицон харилцана. (Жишээ нь: Нэгнийгээ уйлбал аргадах, найзынхаа тоглоомыг авахад дургүйцвэл буцаан өгөх) 1 2 3 4 5 Нийт оноо IX-X сар IV-V сарГүйцэтгэлийн дундаж 2.2. Сэтгэлийн хөдөлгөөнөө илэрхийлэх, удирдах 2.3.15 Бусдын баяр баясгаланг хуваалцана. 1 2 3 4 5 2.3.16 Цэцэрлэгтээ дуртай ирж, чөлөөтэй, таатай байдаг. 1 2 3 4 5 2.3.17 Өөрөө санаачилж, бусадтай харилцаа тогтооно. 1 2 3 4 5 2.3.18 Олны өмнө гарахаасаа айж сандрахгүй байна. (Жишээ нь: Үлгэр өгүүллэг ярих, дуулах, жүжигчлэн тоглох) 1 2 3 4 5 2.3.19 “Баярлалаа”, “Уучлаарай” үгийг зохих тохиолдолд тогтмол хэрэглэнэ. 1 2 3 4 5 2.3.20 Бусдын тоглоом, эд зүйлсийг хэрэглэхдээ зөвшөөрөл авна. 1 2 3 4 5 2.3.21 Аливаа үйлийг гүйцэтгэхдээ өөрийн ээлжийг хүлээнэ. 1 2 3 4 5 2.3.22 Амлалтаа биелүүлнэ, бусдаас амлалтандаа хүрэхийг шаардана. 1 2 3 4 5 2.3.23 Дүрэм журам, зааврыг дагаж биелүүлнэ. 1 2 3 4 5 Нийт оноо IX-X сар IV-V сарГүйцэтгэлийн дундаж 2.3. Бусадтай харилцах Нийгэмшихүйн чадамжийн нийт оноо: _____ Гүйцэтгэлийн дундаж: _____
  • 31.
    60 61 ХҮҮХДИЙН ХӨГЖЛИЙНАХИЦЫГ ҮНЭЛЭХ АЖИГЛАЛТЫН ХУУДАС 3. ХЭЛ ЯРИАНЫ ЧАДАМЖ 3.1. Сонсох, ойлгох 3.1.1 Байгалийн дуу чимээ, амьтдын дуу авиаг сонсож ялгана. (Жишээ нь: Усны чимээ, тэнгэрийн дуу, шувуудын жиргээ) 1 2 3 4 5 3.1.2 Урт, богино эгшигтэй үгийг ялгаж сонсоно. (Жишээ нь: сар-саар, ул-уул) 1 2 3 4 5 3.1.3 Ойролцоо дуудлагатай үгийг ялгаж сонсоно. (Жишээ нь: Энх мөнх, дэлгэр цэлгэр, яруу даруу) 1 2 3 4 5 3.1.4 Үлгэр зохиолыг анхааралтай, идэвхтэй сонсоно. (Жишээ нь: Ярьж байгаа хүний нүүр рүү харах, ойлгосон хэсгээ бусаддаа ярих, тайлбарлах, ойлгоогүй зүйлээ тодруулан асуух) 1 2 3 4 5 3.1.5 Үлгэр зохиолоос төрсөн мэдрэмжээ илэрхийлнэ. (Жишээ нь: Инээх, хөмсгөө зангидах, алга таших) 1 2 3 4 5 3.1.6 2-оос цөөнгүй үйлдэл шаардах зааварчилгааг дагаж биелүүлнэ. (Жишээ нь: Эхлээд тоглоомоо хураана, дараа нь зурагтай номоо авч үзнэ) 1 2 3 4 5 Нийт оноо IX-X сар IV-V сарГүйцэтгэлийн дундаж 3.2. Ярих 3.2.7 Бусдын асуултыг анхааралтай сонсож, тохирох хариулт өгнө. 1 2 3 4 5 3.2.8 Өөрийн санаа бодлоо ойлгомжтой илэрхийлнэ. 1 2 3 4 5 3.2.9 Үлгэр, өгүүллэг, болсон үйл явдлыг бусдад ярина. 1 2 3 4 5 3.2.10 Ангиараа хийж буй ярилцлага, хэлэлцүүлэгт идэвхтэй оролцоно. (Жишээ нь: Санаачилгаараа ярих, асуулт тавих) 1 2 3 4 5 3.2.11 Үлгэр, өгүүллэгийн өрнөл, төгсгөлийг гүйцээн зохиомжлон ярина. 1 2 3 4 5 3.2.12 Сайн мэдэх үлгэрийн агуулгыг зургийн дарааллын дагуу ярина. 1 2 3 4 5 3.2.13 Оньсого, түргэн хэллэг, зүйр цэцэн үг хэлнэ. 1 2 3 4 5 3.2.14 Өөрөө зурагт ном бүтээж агуулгыг тайлбарлана. 1 2 3 4 5 Нийт оноо IX-X сар IV-V сарГүйцэтгэлийн дундаж 3.3. Унших, бичих бэлтгэл Хэл ярианы чадамжийн нийт оноо: _____ Гүйцэтгэлийн дундаж: _____ 3.3.15 Номын зургийг тайлбарлан ярина. 1 2 3 4 5 3.3.16 Ойр орчиндоо буй тэмдэг, тэмдэглэгээг “уншиж” чадна. (Жишээ нь: Явган хүний гарц, автобусны зогсоол, түргэн тусламжийн машин) 1 2 3 4 5 3.3.17 Богино хэмжээний шүлэг уншина. 1 2 3 4 5 3.3.18 Зурган бүдүүвч ашиглан өгүүлбэр зохионо. 1 2 3 4 5 3.3.19 Өөрийн дуртай үлгэрийн баатрыг зурна. 1 2 3 4 5 3.3.20 Төрөл бүрийн зураас зурна. (Жишээ нь: Цэг, ташуу, махир, тахир, нуман зураас) 1 2 3 4 5 Нийт оноо IX-X сар IV-V сарГүйцэтгэлийн дундаж ХҮҮХДИЙН ХӨГЖЛИЙН АХИЦЫГ ҮНЭЛЭХ АЖИГЛАЛТЫН ХУУДАС 4. ОРЧНОО ТАНЬЖ МЭДЭХ, ОРЧИНТОЙГОО ХАРИЛЦАХ ЧАДАМЖ 4.1. Орчноо шинжлэн судлах 4.1.1 Байгаль орчинд болон туршилтын явцад ажигласан үзэгдлийн учир шалтгааны талаар асуулт тавьж, таамаглал дэвшүүлнэ. 1 2 3 4 5 4.1.2 Үйл явдал, учир шалтгааны талаар лавлана. (Жишээ нь: Яагаад ийм байдаг гэж?, Яагаад оройтсон бэ?) 1 2 3 4 5 4.1.3 Ургамлын ургалтад агаар, ус, гэрэл, дулаан яаж нөлөөлдгийг тайлбарлан ярина. 1 2 3 4 5 4.1.4 Байгаль шинжлэлийн туршилтад дуртай оролцоно. (Жишээ нь: Хөвөх, живэх, унах, хийсэх) 1 2 3 4 5 4.1.5 Юмсын шинж чанарыг сонирхоно, ялгана. (Жишээ нь: Хатуу-зөөлөн, хүнд-хөнгөн, гөлгөр-барзгар, гашуун- чихэрлэг, чанга-сул) 1 2 3 4 5 Нийт оноо IX-X сар IV-V сарГүйцэтгэлийн дундаж 4.2.6 Байгальд юу нь гоё сайхан байгааг илэрхийлэн ярина. 1 2 3 4 5 4.2.7 Орчноо цэвэр байлгана. (Жишээ нь: Хогоо хогийн саванд хийнэ) 1 2 3 4 5 4.2.8 Тоглосон, хэрэглэсэн зүйлээ буцааж байранд нь хураана. 1 2 3 4 5 4.2.9 Ургамлыг арчилж ургуулна. (Жишээ нь: Услах, арчих, хөрсийг сийрэгжүүлэх, хатсан навчийг түүх) 1 2 3 4 5 4.2.10 Нутаг орныхоо гоё, сайхан зүйлийг дүрслэн зурна, тайлбарлана. 1 2 3 4 5 Нийт оноо IX-X сар IV-V сарГүйцэтгэлийн дундаж 4.2. Орчинтойгоо харьцах Орчноо таньж мэдэх, орчинтойгоо харилцах чадамжийн нийт оноо: _____ Гүйцэтгэлийн дундаж: _____
  • 32.
    62 63 ХҮҮХДИЙН ХӨГЖЛИЙНАХИЦЫГ ҮНЭЛЭХ АЖИГЛАЛТЫН ХУУДАС 5. МАТЕМАТИКИЙН ЧАДАМЖ 5.1. Тоолох 5.2. Хэмжих 5.1.1 Тоо нь тодорхой хэмжээ илэрхийлдэгийг мэднэ. (Жишээ нь: Энэ төвд яг 5 хүүхэд л тоглоно.) 1 2 3 4 5 5.1.2 10-ын дотор эд зүйлсийг оноон тоолж, дүн тоог хэлнэ. 1 2 3 4 5 5.1.3 Эд юмсын олон, цөөнийг ялгана. (Жишээ нь: Хоёр хэсэг зүйлийг харьцуулахдаа илүү, дутуу, ижил байгааг олох) 1 2 3 4 5 5.1.4 Нэмэгдүүлж, хорогдуулж, 10-ын дотор бодлого бодно. (Жишээ нь: 2 лууван дээр 2 лууванг нэмбэл 4 ширхэг лууван болно.) 1 2 3 4 5 5.1.5 Юмсыг тоолоод тохирох цифртэй холбоно. 1 2 3 4 5 5.1.6 Тоог хоёр буюу хэд хэдэн бага тоонд задална. (Жишээ нь: 4-ийг 1,1,1,1, мөн 3,1; 2,2 болгон задална.) 1 2 3 4 5 Нийт оноо IX-X сар IV-V сарГүйцэтгэлийн дундаж 5.2.7 5 ширхэг эд зүйлсийг хэмжээгээр нь дараалуулна. 1 2 3 4 5 5.2.8 Биет ба хавтгай дүрсүүдийг ялгана. (Жишээ нь: Дугуй, бөөрөнхий; ам дөрвөлжин, шоо) 1 2 3 4 5 5.2.9 Эд зүйлсийг хоёроос цөөнгүй шинжээр нь ялган ангилна. (Жишээ нь: 2 болон 4 нүхтэй; бор өнгийн товч) 1 2 3 4 5 5.2.10 Юмсыг өгөгдсөн дарааллын дагуу үргэлжлүүлэн байрлуулж, зүй тогтлыг олно. (Жишээ нь: Дөрвөлжин, дугуй, гурвалжин, дөрвөлжин, дугуй...) 1 2 3 4 5 5.2.11 Өөрийн байрлалаас бусдын байрлалыг тодорхойлно. (Жишээ нь: Миний баруун гар талд Туяа сууж байна.) 1 2 3 4 5 5.2.12 Юмсын байрлалыг хэлнэ. (Жишээ нь: Дээр доор, дотор гадна, наана цаана) 1 2 3 4 5 5.2.13 Уламжлалт тоолол, хэмжүүр ашиглана. (Жишээ нь: Төө сөөм, 12 жил) 1 2 3 4 5 5.2.14 Цаг хугацаатай холбоотой үг хэллэг хэрэглэнэ. (Жишээ нь: Өглөө-орой, өчигдөр-өнөөдөр) 1 2 3 4 5 Нийт оноо IX-X сар IV-V сарГүйцэтгэлийн дундаж Математикийн чадамжийн нийт оноо: _____ Гүйцэтгэлийн дундаж: _____ ХҮҮХДИЙН ХӨГЖЛИЙН АХИЦЫГ ҮНЭЛЭХ АЖИГЛАЛТЫН ХУУДАС 6. ДҮРСЛЭХ УРЛАГИЙН ЧАДАМЖ 6.1 Зурах 6.1.1 Төрөл бүрийн аргаар зурна. (Жишээ нь: Хавсарч, барлаж, дардсаар) 1 2 3 4 5 6.1.2 Бодит зүйлийг хараад адил төстэй зурна. 1 2 3 4 5 6.1.3 Хүн зурж дүрсэлнэ. (Жишээ нь: Толгойд хөлийг залган зурах, биеийн хэсгүүд, хөл гарыг ялгах, хүний хувцас, онцлогийг илэрхийлэн зурах) 1 2 3 4 5 6.1.4 Үндсэн өнгийг мэднэ, хэрэглэнэ. 1 2 3 4 5 6.1.5 Бэлэн дүрс, зургийг төрөл бүрийн будгаар хүрээнээс илүү гаргалгүй будна. (Жишээ нь: Харандаан, тосон, усан будаг) 1 2 3 4 5 6.1.6 Хээ зохиож зурна. (Жишээ нь: геометрийн дүрс болон цэцгэн хээ) 1 2 3 4 5 Нийт оноо IX-X сар IV-V сарГүйцэтгэлийн дундаж 6.2. Урлах 6.2.7 Наамал хийхдээ дуртай байна. (Цаас, даавуу, байгалийн эд зүйлс ашиглан) 1 2 3 4 5 6.2.8 Зуурмаг, баримлын шавраар хүн, амьтны онцлогийг илэрхийлэн дүрсэлнэ. 1 2 3 4 5 6.2.9 Өрж байгуулахдаа хэрэглэх зүйлсээ урьдчилан төлөвлөж бэлтгэнэ. (Жишээ нь: Гүүр барихад урт тэгш өнцөгт дүрс хоёр, тулгуур хийхэд хоёр хавтгай дүрс орно.) 1 2 3 4 5 6.2.10 Урлан бүтээхдээ бүтээлчээр хандана. (Жишээ нь: Модны мөчир, навчийг хувирган ижил төстэй зүйлийг бүтээх) 1 2 3 4 5 6.2.11 Үзсэн харсан зүйлээ өөрийн бүтээлдээ тусгана. 1 2 3 4 5 6.2.12 Дүрслэх урлагийн бүтээлүүдийг сонирхоно, сэтгэгдлээ хэлнэ. (Жишээ нь: Асуулт тавина, таалагдаж эсвэл таалагдахгүй байгааг хэлнэ.) 1 2 3 4 5 Нийт оноо IX-X сар IV-V сарГүйцэтгэлийн дундаж Дүрслэх урлагийн чадамжийн нийт оноо: _____ Гүйцэтгэлийн дундаж: _____
  • 33.
    64 СУРГУУЛИЙН ӨМНӨХ БОЛОВСРОЛЫН СУРГАЛТЫНЦӨМ ХӨТӨЛБӨРИЙГ ХЭРЭГЖҮҮЛЭХ ЗӨВЛӨМЖ ХҮҮХДИЙН ХӨГЖЛИЙН АХИЦЫГ ҮНЭЛЭХ АЖИГЛАЛТЫН ХУУДАС 7. ХӨГЖМИЙН ЧАДАМЖ 7.1. Дуулах, хөгжимдөх 7.1.1 Хөгжмийг дуртайяа сонсож, дүрслэлээ илэрхийлнэ. (Жишээ нь: Баяр хөөртэй, удаан, түргэн) 1 2 3 4 5 7.1.2 Хөгжмийн зэмсгийг дуугаралтаар нь ялгана. (Жишээ нь: Морин хуур, төгөлдөр хуур) 1 2 3 4 5 7.1.3 Хөгжмийг сонсоод аялгуу, хэмнэлд тохируулан үгийг зөв хуваарилан дуулна. 1 2 3 4 5 7.1.4 Нийтээр дуулахдаа бусдыг сонсож, хамтарч дуулна. (Жишээ нь: Эхлэл, төгсгөл, чанга, сул, өргөлт, үгийг тохируулан) 1 2 3 4 5 7.1.5 Хэмнэлийг мэдэрч, хөгжмийн энгийн зэмсгээр ганцаараа болон хамтаараа тоглоно. (Жишээ нь: Дуут мод, металлфони, бөмбөр, шагшуур ) 1 2 3 4 5 Нийт оноо IX-X сар IV-V сарГүйцэтгэлийн дундаж Хөгжмийн чадамжийн нийт оноо: _____ Гүйцэтгэлийн дундаж: _____ 7.2. Бүжиглэх, жүжиглэх 7.2.6 Хөгжмийн хэмнэлд тохируулан хөдөлгөөн хийнэ. (Жишээ нь: Алга таших, хөлөө товших) 1 2 3 4 5 7.2.7 Дүрд хувирч тоглоно. (Жишээ нь: Дуу хоолой ба нүүрний хувирлаар) 1 2 3 4 5 7.2.8 Өгөгдсөн дүрийг хөгжмийн хэмнэл, аялгуунд тохируулан хөдөлгөөнөөр илэрхийлнэ. (Жишээ нь: Туулай, баавгай, ишиг, ботго) 1 2 3 4 5 Нийт оноо IX-X сар IV-V сарГүйцэтгэлийн дундаж
  • 34.
    СУРГУУЛИЙНӨМНӨХБОЛОВСРОЛЫНСУРГАЛТЫНЦӨМХӨТӨЛБӨР 66 67 ХҮҮХЭДБҮХЭНДЭЭ“БИЧАДНА“ГЭСЭНИТГЭЛӨГЬЕ! АГУУЛГА НЭГ. СУРГУУЛИЙНӨМНӨХ БОЛОВСРОЛЫН СУРГАЛТЫН ЦӨМ ХӨТӨЛБӨРИЙН ТАЙЛБАР, ТОДРУУЛГА 1.1. Сургуулийн өмнөх боловсролын сургалтын цөм хөтөлбөрийн бүтэц, онцлог 1.2. Сургуулийн өмнөх боловсролын сургалтын цөм хөтөлбөрийг хэрэгжүүлэх зарчим, арга зүй 1.3. Хүүхэд бүрийн хөгжлийн ахицыг үнэлэх нь 1.3.1 Үнэлгээний арга хэрэгсэл 1.3.2 Хүүхдийн хөгжлийн ахицыг үнэлэх ажиглалтын хуудас, түүнийг ашиглах нь ХОЁР. СУРГУУЛИЙН ӨМНӨХ БОЛОВСРОЛЫН СУРГАЛТЫН ЦӨМ ХӨТӨЛБӨРИЙГ ЦЭЦЭРЛЭГИЙН ТҮВШИНД ХЭРЭГЖҮҮЛЭХ НЬ 2.1. “Хүүхэд бүрийг хөгжүүлэх цэцэрлэгийн үзэл баримтлал” ба “Сургалтын хөтөлбөр”-ийн холбоо хамаарал 2.2. “Хүүхэд бүрийг хөгжүүлэх цэцэрлэгийн үзэл баримтлал” - Туршлага, сургамж • Нийслэлийн 42 дугаар цэцэрлэг • Баянхонгор аймгийн 9 дүгээр цэцэрлэг • Орхон аймгийн10 дугаар цэцэрлэг • Нийслэлийн 101 дүгээр цэцэрлэг • Нийслэлийн 115 дугаар цэцэрлэг • Дархан-Уул аймгийн 18 дугаар цэцэрлэг • Баянхонгор аймгийн 4 дүгээр цэцэрлэг 2.3. Хүүхдийн хөгжлийн онцлог 2.4. Цэцэрлэгийн сургалтын хөтөлбөр боловсруулах, хэрэгжүүлэх алхмууд 2.5. Сэдвийн зорилго, агуулга, арга зүйд тавигдах шаардлага 2.6. Өдөр тутмын сургалтын үйл ажиллагааны төлөвлөлт 2.7. Хүүхдийн хөгжих орчин ХАВСРАЛТ: ЦЭЦЭРЛЭГИЙН СУРГАЛТЫН ХӨТӨЛБӨРИЙН ХҮРЭЭНД ХЭРЭГЖҮҮЛСЭН ҮЙЛ АЖИЛЛАГААНЫ ЖИШЭЭ 3.1. “Ус”сэдвийн боловсруулалт 3.4. “Өглөөний тойрог”-ийн зарим жишээ НЭГ. СУРГУУЛИЙН ӨМНӨХ БОЛОВСРОЛЫН СУРГАЛТЫН ЦӨМ ХӨТӨЛБӨРИЙН ТАЙЛБАР, ТОДРУУЛГА 1. Сургуулийн өмнөх боловсролын сургалтын цөм хөтөлбөрийн бүтэц, онцлог Сургуулийн өмнөх боловсролын сургалтын цөм хөтөлбөр нь дотроо 2 бүлэгтэй. Нэгдүгээр бүлэгт сургалтын цөм хөтөлбөрийн үндэслэл, түүнийг боловсруулсан болон хэрэгжүүлэх зарчим, зорилго, зорилт, хэрэгжүүлэх арга зүй, үйл ажиллагааны зохион байгуулалт, сургалтын орчин, хүүхэд бүрийг үнэлэх арга, багш, эцэг эхийн үүрэг, оролцоо зэрэг нийтлэг зүйлс тусгагдсан. Хоёрдугаар бүлэгт сургуулийн өмнөх насны хүүхдийн эзэмших ерөнхий чадвар болон сургалтын чиглэл тус бүрээр тусгай чадварууд, тэдгээрийг хэрэгжүүлэхэд багшийн гүйцэтгэх үүрэг, оролцоог тодорхойлж, тусгай чадвар бүрд харгалзуулан хүүхдийн гүйцэтгэх үйлийн жишгийг харуулсан. Зураг 1. Сургалтын цөм хөтөлбөрийн бүтэц Нэгдүгээр бүлэг. ЕРӨНХИЙ ЗҮЙЛ Багш, эцэг эхийн үүрэг, оролцоо Хүүхдийн хөгжлийн үнэлгээ Сургалтын орчин Зохион байгуулалт Aрга зүй Зорилго, зорилт Зарчим Нийтлэг үндэслэл Тусгай чадвар Ерөнхий чадвар Хоёрдугаар бүлэг. АГУУЛГА, ХҮРЭХ ҮР ДҮН Хөгжим, дүрслэх урлаг Математикийн энгийн төсөөлөл Байгаль, нийгмийн орчин Хэл яриа Зан чанар, харилцаа Хөдөлгөөн, эрүүл мэнд
  • 35.
    СУРГУУЛИЙНӨМНӨХБОЛОВСРОЛЫНСУРГАЛТЫНЦӨМХӨТӨЛБӨР 68 69 ХҮҮХЭДБҮХЭНДЭЭ“БИЧАДНА“ГЭСЭНИТГЭЛӨГЬЕ! Сургуулийн өмнөхболовсролын сургалтын цөм хөтөлбөр нь өнөөг хүртэл мөрдөж ирсэн бүлэг тус бүрийн сургалтын хөтөлбөрөөс юугаараа ялгаатайг авч үзье. Зураг 2. Сургалтын хөтөлбөрүүдийн харьцуулалт Сургуулийн өмнөх боловсролын сургалтын цөм хөтөлбөрийг боловсруулахдаа дараах зарчмыг баримтлан боловсруулсан. a. Хүүхэд бүрийг хөгжлийн боломжит хурдаар нь хөгжүүлэх, чадамжид суурилах; Олон тооны салангид мэдлэг, чадвараас зайлсхийж, “чадамж”-д баримжаалан хүүхдийн эзэмших чадварыг багцлан томьёолохын зэрэгцээ төлөвшилд ач холбогдол өгч, “Зан чанар, харилцаа” хэмээх суралцахуйн чиглэлийг хэрэгжүүлнэ. Хэдийгээр ижил настай ч хүүхдийн хөгжлийн түвшин харилцан адилгүй байдгийг харгалзах, хүүхэд бүрд байгаа түвшнээсээ боломжит дээд хурдаараа хөгжих боломж олгон эзэмшвэл зохих тусгай чадварыг нас тус бүрээр бус, түвшингөөр тодорхойлсон. Чадвар бүрийг бага насны хүүхдийн эзэмшихүйн зүй тогтолд үндэслэн хөнгөнөөс хүндрүүлэх зарчмаар 3 түвшинд авч үзсэн. Хөгжлийн ахицын үнэлгээ ч мөн хүүхэд бүрийн чадамжийг илрүүлэхэд чиглэсэн. б. Хүүхэд бүрийг судлах, хөгжүүлэх Хүүхэд бүрийг хөгжүүлж, төлөвшүүлэх ажлыг үнэлгээнээс эхэлж, тухайн хүүхдийг байгаа түвшнээс нь цааш хөгжүүлнэ. Ингэхдээ багш, насанд хүрэгчид бага насны хүүхэд бүрийг үнэ цэнэтэй хүмүүн хэмээн хүндэтгэн үзэж, байгаагаар нь хүлээн зөвшөөрнө. Хүүхэд бүр адилгүй, гэхдээ өөрийн давуу тал, онцлогтойг анхаарна. Хүүхэд бүрийн чадамж, түүн дотор давуу тал, сонирхлыг илрүүлэн таньж мэдсэнээр тэдний хөгжилд шаардлагатай дэмжлэг үзүүлэх боломж бүрдэнэ. в. Хүүхэд, багш (эцэг эх) хамтдаа мэдлэг, чадвар, соёлыг бүтээх Хүүхэд болон багш хэдий чинээ идэвхтэйгээр бие биедээ харилцан үйлчилж, хамтран ажиллана (ко-конструктив), хүүхэд төдий чинээ хурдацтайгаар хөгжинө. Багш хүүхэдтэй хамтран мэдлэг бүтээхийн тулд өөрийгөө хүүхдийн байр сууринд аваачиж, хамтдаа эрэл хайгуул хийнэ, гаргасан санал, санаачилгыг нь дэмжинэ, зоригжуулна, түүнчлэн аливаа зүйлийн учрыг олох боломж олгоно. Суралцах үйлийн явцад хүүхэд орчноо идэвхтэйгээр судална, бусадтай тухайн зүйлийн талаарх ойлголт, санаа бодлоо хуваалцана, бүтээлээрээ илэрхийлнэ. Энэ зарчмыг хэрэгжүүлэхийн тулд хөтөлбөрийн тусгай чадвар бүрт харгалзуулан хүүхдийн гүйцэтгэх үйлийн жишиг, нөгөө талаас багш, эцэг эхийн үүрэг, оролцоог нарийвчлан тусгасан болно. Бэлтгэл бүлгийн сургалтын хөтөлбөр, 2012 он Ахлах бүлгийн сургалтын хөтөлбөр, 2012 он Дунд бүлгийн сургалтын хөтөлбөр, 2013 он Бага бүлгийн сургалтын хөтөлбөр, 2013 он Хүүхдийн эзэмших мэдлэг, чадвар, дадлыг нас бүлэг тус бүрээр томьёолсон. Хүүхдийн эзэмших чадварыг нас/бүлгээр бус, I-III хүртэл ахисан түвшингээр томьёолсон. Үнэлгээ Юуг: Хүүхдийн чадваруудыг илрүүлэх Яаж: Хяналтын хуудас, ажиглалтаар Үнэлгээ Юуг: Хүүхэд бүрийн онцлог, чадамжийг илрүүлэх. Яаж: Чөлөөт ажиглалт, Ажиглалтын хуудас, Хувийн хавтсыг хамсруулж Сургуулийн өмнөх боловсролын сургалтын цөм хөтөлбөр 2015 он Үндэслэл • Хүүхэд бүрийн хөгжил адилгүй. • Цэцэрлэг өөрийн үзэл баримтлалаар хэрэгжүүлэх боломжтой. • Багш нар хэрэглэхэд дөхөм. • Салангид мэдлэгээс >> холбоо хамаарал, учир шалтгаан, чадвараас >> чадамж. • Цэцэрлэг, багшийн бие даасан, бүтээлч үйлийг дэмжсэн. Хүүхдийн эзэмших мэдлэг, чадварыг хэт нарийвчлан авч үзсэн. >>> Сургуулийн өмнөх нийт насанд 268 мэдлэг, 616 чадвар эзэмшүүлэхээр заасан Агуулгыг улирлаар заасан. Хүүхдийн эзэмших чадварыг цогц байдал (чадамжид ойртуулан)-аар тодорхойлсон. >>> Сургуулийн өмнөх нийт насанд 41 тусгай чадвар >>> 7 ерөнхий чадвар Агуулга, арга зүй нээлттэй. Зарчим: Боловсролын чанарыг хүүхдийн чадамж (эзэмшсэн мэдлэг, чадвар, төлөвшил)-аар үнэлэх. СӨБ-ын сургалтын бодлого,2013 Бэлтгэл бүлгийн сургалтын хөтөлбөр, 2012 он Ахлах бүлгийн сургалтын хөтөлбөр, 2012 он Дунд бүлгийн сургалтын хөтөлбөр, 2013 он Бага бүлгийн сургалтын хөтөлбөр, 2013 он Хүүхдийн эзэмших мэдлэг, чадвар, дадлыг нас бүлэг тус бүрээр томьёолсон. Хүүхдийн эзэмших чадварыг нас/бүлгээр бус, I-III хүртэл ахисан түвшингээр томьёолсон. Үнэлгээ Юуг: Хүүхдийн чадваруудыг илрүүлэх Яаж: Хяналтын хуудас, ажиглалтаар Үнэлгээ Юуг: Хүүхэд бүрийн онцлог, чадамжийг илрүүлэх. Яаж: Чөлөөт ажиглалт, Ажиглалтын хуудас, Хувийн хавтсыг хамсруулж Сургуулийн өмнөх боловсролын сургалтын цөм хөтөлбөр 2015 он Үндэслэл • Хүүхэд бүрийн хөгжил адилгүй. • Цэцэрлэг өөрийн үзэл баримтлалаар хэрэгжүүлэх боломжтой. • Багш нар хэрэглэхэд дөхөм. • Салангид мэдлэгээс >> холбоо хамаарал, учир шалтгаан, чадвараас >> чадамж. • Цэцэрлэг, багшийн бие даасан, бүтээлч үйлийг дэмжсэн. Хүүхдийн эзэмших мэдлэг, чадварыг хэт нарийвчлан авч үзсэн. >>> Сургуулийн өмнөх нийт насанд 268 мэдлэг, 616 чадвар эзэмшүүлэхээр заасан Агуулгыг улирлаар заасан. Хүүхдийн эзэмших чадварыг цогц байдал (чадамжид ойртуулан)-аар тодорхойлсон. >>> Сургуулийн өмнөх нийт насанд 41 тусгай чадвар >>> 7 ерөнхий чадвар Агуулга, арга зүй нээлттэй. Зарчим: Боловсролын чанарыг хүүхдийн чадамж (эзэмшсэн мэдлэг, чадвар, төлөвшил)-аар үнэлэх. СӨБ-ын сургалтын бодлого,2013 Бэлтгэл бүлгийн сургалтын хөтөлбөр, 2012 он Ахлах бүлгийн сургалтын хөтөлбөр, 2012 он Дунд бүлгийн сургалтын хөтөлбөр, 2013 он Бага бүлгийн сургалтын хөтөлбөр, 2013 он Хүүхдийн эзэмших мэдлэг, чадвар, дадлыг нас бүлэг тус бүрээр томьёолсон. Хүүхдийн эзэмших чадварыг нас/бүлгээр бус, I-III хүртэл ахисан түвшингээр томьёолсон. Үнэлгээ Юуг: Хүүхдийн чадваруудыг илрүүлэх Яаж: Хяналтын хуудас, ажиглалтаар Үнэлгээ Юуг: Хүүхэд бүрийн онцлог, чадамжийг илрүүлэх. Яаж: Чөлөөт ажиглалт, Ажиглалтын хуудас, Хувийн хавтсыг хамсруулж Сургуулийн өмнөх боловсролын сургалтын цөм хөтөлбөр 2015 он Үндэслэл • Хүүхэд бүрийн хөгжил адилгүй. • Цэцэрлэг өөрийн үзэл баримтлалаар хэрэгжүүлэх боломжтой. • Багш нар хэрэглэхэд дөхөм. • Салангид мэдлэгээс >> холбоо хамаарал, учир шалтгаан, чадвараас >> чадамж. • Цэцэрлэг, багшийн бие даасан, бүтээлч үйлийг дэмжсэн. Хүүхдийн эзэмших мэдлэг, чадварыг хэт нарийвчлан авч үзсэн. >>> Сургуулийн өмнөх нийт насанд 268 мэдлэг, 616 чадвар эзэмшүүлэхээр заасан Агуулгыг улирлаар заасан. Хүүхдийн эзэмших чадварыг цогц байдал (чадамжид ойртуулан)-аар тодорхойлсон. >>> Сургуулийн өмнөх нийт насанд 41 тусгай чадвар >>> 7 ерөнхий чадвар Агуулга, арга зүй нээлттэй. Зарчим: Боловсролын чанарыг хүүхдийн чадамж (эзэмшсэн мэдлэг, чадвар, төлөвшил)-аар үнэлэх. СӨБ-ын сургалтын бодлого,2013 Бэлтгэл бүлгийн сургалтын хөтөлбөр, 2012 он Ахлах бүлгийн сургалтын хөтөлбөр, 2012 он Дунд бүлгийн сургалтын хөтөлбөр, 2013 он Бага бүлгийн сургалтын хөтөлбөр, 2013 он Хүүхдийн эзэмших мэдлэг, чадвар, дадлыг нас бүлэг тус бүрээр томьёолсон. Хүүхдийн эзэмших чадварыг нас/бүлгээр бус, I-III хүртэл ахисан түвшингээр томьёолсон. Үнэлгээ Юуг: Хүүхдийн чадваруудыг илрүүлэх Яаж: Хяналтын хуудас, ажиглалтаар Үнэлгээ Юуг: Хүүхэд бүрийн онцлог, чадамжийг илрүүлэх. Яаж: Чөлөөт ажиглалт, Ажиглалтын хуудас, Хувийн хавтсыг хамсруулж Сургуулийн өмнөх боловсролын сургалтын цөм хөтөлбөр 2015 он Үндэслэл • Хүүхэд бүрийн хөгжил адилгүй. • Цэцэрлэг өөрийн үзэл баримтлалаар хэрэгжүүлэх боломжтой. • Багш нар хэрэглэхэд дөхөм. • Салангид мэдлэгээс >> холбоо хамаарал, учир шалтгаан, чадвараас >> чадамж. • Цэцэрлэг, багшийн бие даасан, бүтээлч үйлийг дэмжсэн. Хүүхдийн эзэмших мэдлэг, чадварыг хэт нарийвчлан авч үзсэн. >>> Сургуулийн өмнөх нийт насанд 268 мэдлэг, 616 чадвар эзэмшүүлэхээр заасан Агуулгыг улирлаар заасан. Хүүхдийн эзэмших чадварыг цогц байдал (чадамжид ойртуулан)-аар тодорхойлсон. >>> Сургуулийн өмнөх нийт насанд 41 тусгай чадвар >>> 7 ерөнхий чадвар Агуулга, арга зүй нээлттэй. Зарчим: Боловсролын чанарыг хүүхдийн чадамж (эзэмшсэн мэдлэг, чадвар, төлөвшил)-аар үнэлэх. СӨБ-ын сургалтын бодлого,2013 Бэлтгэл бүлгийн сургалтын хөтөлбөр, 2012 он Ахлах бүлгийн сургалтын хөтөлбөр, 2012 он Дунд бүлгийн сургалтын хөтөлбөр, 2013 он Бага бүлгийн сургалтын хөтөлбөр, 2013 он Хүүхдийн эзэмших мэдлэг, чадвар, дадлыг нас бүлэг тус бүрээр томьёолсон. Хүүхдийн эзэмших чадварыг нас/бүлгээр бус, I-III хүртэл ахисан түвшингээр томьёолсон. Үнэлгээ Юуг: Хүүхдийн чадваруудыг илрүүлэх Яаж: Хяналтын хуудас, ажиглалтаар Үнэлгээ Юуг: Хүүхэд бүрийн онцлог, чадамжийг илрүүлэх. Яаж: Чөлөөт ажиглалт, Ажиглалтын хуудас, Хувийн хавтсыг хамсруулж Сургуулийн өмнөх боловсролын сургалтын цөм хөтөлбөр 2015 он Үндэслэл • Хүүхэд бүрийн хөгжил адилгүй. • Цэцэрлэг өөрийн үзэл баримтлалаар хэрэгжүүлэх боломжтой. • Багш нар хэрэглэхэд дөхөм. • Салангид мэдлэгээс >> холбоо хамаарал, учир шалтгаан, чадвараас >> чадамж. • Цэцэрлэг, багшийн бие даасан, бүтээлч үйлийг дэмжсэн. Хүүхдийн эзэмших мэдлэг, чадварыг хэт нарийвчлан авч үзсэн. >>> Сургуулийн өмнөх нийт насанд 268 мэдлэг, 616 чадвар эзэмшүүлэхээр заасан Агуулгыг улирлаар заасан. Хүүхдийн эзэмших чадварыг цогц байдал (чадамжид ойртуулан)-аар тодорхойлсон. >>> Сургуулийн өмнөх нийт насанд 41 тусгай чадвар >>> 7 ерөнхий чадвар Агуулга, арга зүй нээлттэй. Зарчим: Боловсролын чанарыг хүүхдийн чадамж (эзэмшсэн мэдлэг, чадвар, төлөвшил)-аар үнэлэх. СӨБ-ын сургалтын бодлого,2013 Бэлтгэл бүлгийн сургалтын хөтөлбөр, 2012 он Ахлах бүлгийн сургалтын хөтөлбөр, 2012 он Дунд бүлгийн сургалтын хөтөлбөр, 2013 он Бага бүлгийн сургалтын хөтөлбөр, 2013 он Хүүхдийн эзэмших мэдлэг, чадвар, дадлыг нас бүлэг тус бүрээр томьёолсон. Хүүхдийн эзэмших чадварыг нас/бүлгээр бус, I-III хүртэл ахисан түвшингээр томьёолсон. Үнэлгээ Юуг: Хүүхдийн чадваруудыг илрүүлэх Яаж: Хяналтын хуудас, ажиглалтаар Үнэлгээ Юуг: Хүүхэд бүрийн онцлог, чадамжийг илрүүлэх. Яаж: Чөлөөт ажиглалт, Ажиглалтын хуудас, Хувийн хавтсыг хамсруулж Сургуулийн өмнөх боловсролын сургалтын цөм хөтөлбөр 2015 он Үндэслэл • Хүүхэд бүрийн хөгжил адилгүй. • Цэцэрлэг өөрийн үзэл баримтлалаар хэрэгжүүлэх боломжтой. • Багш нар хэрэглэхэд дөхөм. • Салангид мэдлэгээс >> холбоо хамаарал, учир шалтгаан, чадвараас >> чадамж. • Цэцэрлэг, багшийн бие даасан, бүтээлч үйлийг дэмжсэн. Хүүхдийн эзэмших мэдлэг, чадварыг хэт нарийвчлан авч үзсэн. >>> Сургуулийн өмнөх нийт насанд 268 мэдлэг, 616 чадвар эзэмшүүлэхээр заасан Агуулгыг улирлаар заасан. Хүүхдийн эзэмших чадварыг цогц байдал (чадамжид ойртуулан)-аар тодорхойлсон. >>> Сургуулийн өмнөх нийт насанд 41 тусгай чадвар >>> 7 ерөнхий чадвар Агуулга, арга зүй нээлттэй. Зарчим: Боловсролын чанарыг хүүхдийн чадамж (эзэмшсэн мэдлэг, чадвар, төлөвшил)-аар үнэлэх. СӨБ-ын сургалтын бодлого,2013 1.2 Сургуулийн өмнөх боловсролын сургалтын цөм хөтөлбөрийг хэрэгжүүлэх зарчим, арга зүй Сургуулийн өмнөх боловсролын сургалтын цөм хөтөлбөрийг хэрэгжүүлэхдээ цэцэрлэгийн удирдлага, багш нарын баримтлан ажиллах зарчмыг Зураг 3-д харууллаа. Зураг 3. Сургалтын цөм хөтөлбөрийг хэрэгжүүлэх зарчим ЗАРЧИМ Хүүхэд бүрийн онцлогийг илрүүлэх, дэмжих, хөгжүүлэх Хүүхдийн нас, сэтгэхүйн онцлогт нийцэх Багш, эцэг эх, олон нийтийн оролцоог хангах, цэцэрлэгийн бие даасан байдлыг дэмжих Хүүхэд сурах арга барил, чадвар эзэмшихэд чиглэх Агуулга нь өргөсөх ба гүнзгийрэх, тасралтгүй, чадамжийн ахицыг хангах Хүүхэд бүртэй ажиллах арга зүйд суурилах, уян хатан төлөвлөх Хүүхэд гэж хэн бэ? Бага насны хүүхэд бол бие биенээсээ ялгагдах онцлогтой, төрөлхийн сониуч, аливааг оролдож, туршиж, хүрээлэн буй орчноо танин мэдэх хүсэл эрмэлзэлтэй, баяр хөөр, зүтгэл чармайлттай, даган дуурайгч, харилцааны явцад зөв буруу, сайхан муухайг ялган салгаж, бусдын дунд дасан зохицох чадвартай, идэвхтэй суралцагч.
  • 36.
    СУРГУУЛИЙНӨМНӨХБОЛОВСРОЛЫНСУРГАЛТЫНЦӨМХӨТӨЛБӨР 70 71 ХҮҮХЭДБҮХЭНДЭЭ“БИЧАДНА“ГЭСЭНИТГЭЛӨГЬЕ! Ийм чадварлаг,идэвхтэй суралцагчтай багш Та хэрхэн ажиллаж, юуг анхаарах вэ? а) Үзэл бодол, хандлага, үйл ажиллагаа өөрчлөх Зураг 4. Багшийн хандлага, үйл ажиллагааг өөрчлөх чиглэл Хүүхэд нэг бүрийг хөгжүүлэх Хандлага Үйл ажиллагаа Хүүхэд бүр адилгүй, ижил насны хүүхэд ч Хүүхэд бүрийг үнэлэх (оношлох) Хүүхдийг байгаагаар нь хүлээн зөвшөөрөх Хүүхэд бүр өөрийн давуу тал, онцлогтой Үнэлгээ нь хүүхдийг хөгжүүлж, төлөвшүүлэх ажлын суурь болох Хүүхэд бүрийг хөгжүүлэхдээ байгаа түвшингээс нь цааш авч явах Хүүхэд бүрт бүх талаар, боломжит дээд хурдаараа хөгжих боломж олгоно. Хүүхэд нэг бүрийг боломжит дээд хурдаар нь хөгжүүлэхийн тулд багш Та Зураг 4-д харуулснаар хандлага, үйл ажиллагаагаа өөрчлөх шаардлагатай. б) Багш дэмжигч, чиглүүлэгч байх Нэг бүрчилсэн үйл ажиллагааны явцад багш хүүхдийн суралцах үйлийг дараах байдлаар дэмжиж, чиглүүлнэ. • Тухайн үйлийг хүүхдэд хийж үзүүлнэ. (Загвараар буюу дуурайж суралцах) • Хүүхдүүдийг үгээр удирдаж чиглүүлнэ. (Дасгалжуулах) • Давтан асууж, зөв зам руу нь хөтөлнө. (Сэтгэх процессыг идэвхжүүлэх) • Хүүхдэд санал бодлоо хэлнэ. (Жишээ нь: Зорилгоо биелүүлэхэд хэр зэрэг дөхөж байгааг мэдрүүлэх) • Сэдлийг нь бууруулахгүй, хамгаалахын тулд гайхаж, сонирхож байгаагаа харуулна, магтана, зоригжуулна. (Хүч нэмэх) • Туслалцаа үзүүлнэ. (Ганцаарчлан ажиллах) в) Тухайн насны болон хүүхэд бүрийн онцлогийг харгалзах Бага насны хүүхэд аливааг сурах чадвартай ч хүүхдэд сургах гэж буй зүйлийн агуулга нь тэдний танин мэдэхүй, сэтгэл хөдлөл, нийгэмшихүй болон бие бялдрын хөгжилд нийцсэн байна. Хүндэдсэн эсвэл хөнгөдсөн үйл ажиллагааны аль аль нь хүүхдийн хөгжилд үр өгөөж өгөхгүй. Иймд багш Л.С.Выготскийн “Ойрын хөгжлийн бүс”-ийн үзэл санааны дагуу бага зэргийн тусламжтайгаар хүүхдийн хүрэх “боломжит түвшин”-г мэдэрч ажиллана. Хүүхдүүд бие махбод, сэтгэлийн хөдөлгөөн, зан чанар болон харилцаа, оюун ухааны чадавх, хөгжлийн түвшингээрээ харилцан адилгүй. Иймд хүүхэд бүрийн ялгаатай байдлыг хүлээн зөвшөөрч, хувь хүний өвөрмөц дахин давтагдашгүй шинж чанарыг дэмжин ажиллана. г) Үнэлгээ нь хүүхэд нэг бүрийг хөгжүүлэх ажлын эхлэл болох Хүүхэд нэг бүрийг хөгжүүлэхийн тулд тухайн хүүхдийг таньж мэдэх шаардлагатай. Иймд сургалтын цөм хөтөлбөрт үнэлгээний асуудлыг чухалчлан авч үзэж, хүүхдийн хөгжлийн ахицыг үнэлэх арга хэлбэрүүдийг тодорхойлж, хүүхэд бүрийн чадамжийг илрүүлэх ажиглалтын хуудсыг дагалдуулан гаргасан. Үнэлгээнд тулгуурлан багш хүүхэд бүрт үзүүлэх дэмжлэг туслалцааг дараах байдлаар хэрэгжүүлнэ. Зураг 5. Үнэлгээ бол цогц үйл явц д) Тоглох нь хүүхдийн суралцах үндсэн үйл байх Тоглоом бол бага насны хүүхдийн үндсэн “ажил” нь. Тоглоомоор дамжуулан хүүхэд хүрээлэн буй орчинтойгоо харьцаж, түүнийг таньж мэдэж, ойлгодог. Тоглох явцад тэд сэтгэл санаа өөдрөг, баяр баясгалантай байхын зэрэгцээ ургуулан бодох, шаламгай хөдлөх, тэвчээртэй байх, бие дааж шийдвэр гаргах, бусдад туслах, үүрэг хариуцлага хүлээх, дүрэм, журам баримтлах, өөртөө итгэлтэй болох зэрэг бие хүний эрхэм чанаруудыг эзэмшинэ. е) Хүүхдийн төлөвшилд түлхүү анхаарах Хүүхэд өөрийгөө зохих түвшинд бие даан авч явах, тулгарсан асуудлыг хэр хэмжээндээ шийдэх, бусдын дунд зан, үйлээ зохицуулахын тулд өөрийнхөө талаар эерэг сэтгэгдэлтэй байх, өөртөө итгэх, сурч мэдэх сонирхол, эрмэлзэлтэй байх нь чухал. Тэд өдөр тутмын амьдралын явцад “болно, болохгүй”, “сайн, муу”, “сайхан, муухай”-г мэдэрч ойлгоно. Багш сайн хүн болох зөв суурийг нь тавихын тулд цэцэрлэгийн өдөр тутмын амьдрал, сургалтын үйл ажиллагаа бүрийн явцад хүүхэд бүр эрүүл амьдрах дадал хэвшил, эерэг зан чанар, харилцааны эв дүй, чадвар эзэмшихэд анхаарч ажиллана.
  • 37.
    СУРГУУЛИЙНӨМНӨХБОЛОВСРОЛЫНСУРГАЛТЫНЦӨМХӨТӨЛБӨР 72 73 ХҮҮХЭДБҮХЭНДЭЭ“БИЧАДНА“ГЭСЭНИТГЭЛӨГЬЕ! ё) Цэцэрлэг,багш нар бие даан, бүтээлчээр ажиллах Цэцэрлэг бүр хүүхэд хөгжүүлэх үзэл баримтлалынхаа дагуу цөм хөтөлбөрийг өөрийн онцлог арга замаар хэрэгжүүлнэ. Тухайн цэцэрлэгийн удирдлага, багш, ажилтны санаачилга, бүтээлч үйл, хамтын ажиллагаа нь сургалтын орчин бүрдүүлэх, сургалтын хөтөлбөрөө боловсруулан хүүхэдтэй ажиллах арга зүйг байнга сайжруулахад чухал үүрэг гүйцэтгэнэ. ж) Хүүхдийн хөгжлийг дэмжсэн таатай орчныг бүрдүүлэх Хүүхдийг хүрээлж буй бүхий л зүйлс тухайлбал, гэр бүл, цэцэрлэг, мэдээллийн хэрэгсэл, найз нөхөд, эд зүйлс, түүнчлэн хэл, соёл, өв уламжлал, зан заншил, насанд хүрэгчдээс хандах хандлага нь хүүхдийн сэтгэл санаа, зан төлөв, харилцаа, хандлага, мэдлэг, чадварт шууд нөлөөлнө. Олон талт үйл ажиллагаа гүйцэтгэх боломжтой, аюулгүй, сэдэлжүүлсэн орчин болон хүүхдийг хүндэтгэж, мэдэрч ойлгосон, хайрласан ойр дотно харилцаа нь бага насны хүүхдийн хөгжил, төлөвшил, тааламжтай сайхан байдалд маш чухал хэрэгцээтэй. з) Багш, эцэг эх, олон нийтийн оролцоог хангах Эцэг эх хүүхдээ илүү сайн мэдэж, өөр өөрийн арга барилаар өсгөж, хөгжүүлдэг бол багш нар эцэг эхтэй нээлттэй, хүндэтгэлтэй харилцаж, хүүхэдтэй ажиллахдаа гэр бүлийн соёл, эерэг зан үйлийг тусгаж, хамтран ажиллана. Мөн сургууль, орон нутгийн мэргэжлийн болон бусад байгууллагын дэмжлэг, оролцоог хангаж хөтөлбөрийг амжилттай хэрэгжүүлэхэд санаачилгатай ажиллана. 1.3. Хүүхэд бүрийн хөгжлийн ахицыг үнэлэх 1.3.1. Үнэлгээний арга хэрэгсэл Зураг 6. Хүүхдийн хөгжлийн ахицыг үнэлэх тайлбар АНХААРАХ ХЭЗЭЭ үнэлэх? ЯАЖ үнэлэх? ЮУГ үнэлэх? ЯМАР байх? • Сайн талыг илрүүлэх • Багшид ачаалал багатай • Өдөр тутмын үйл ажиллагааны явцад • Ажиглалт • Баримтжуулалт • Чадамж • Онцлог • Цогц • Бодитой • Нийтлэг дүр төрхийг илрүүлсэн • Ахицыг тодорхойлсон ХҮҮХДИЙН ХӨГЖЛИЙН АХИЦЫН ҮНЭЛГЭЭ НАРИЙВЧИЛСАН БҮТЭЦТЭЙ АЖИГЛАЛТ ЧӨЛӨӨТ АЖИГЛАЛТ ХУВИЙН ХАВТАС АЖИГЛАЛТЫН ХУУДСААР Хүүхдийн хөгжлийн ахицыг “Чөлөөт ажиглалт”, ажиглалтын хуудсын дагуу хийгдэх “Нарийвчилсан бүтэцтэй ажиглалт”, хүүхдийн “Хувийн хавтас” хөтлөлтийг хослуулан үнэлнэ. Эдгээр нь харилцан бие биеэ нөхөн баяжуулж, тухайн хүүхдийн талаар цогц, бодитой мэдээллийг бий болгоно. Зураг 7. Чөлөөт ажиглалтын тэмдэглэл, “Хувийн хавтас”-ын жишээ Хүүхдийн хөгжлийн ахицыг үнэлэх эдгээр арга хэлбэр нь манай цэцэрлэгийн багш нарын хувьд цоо шинэ зүйл биш. Багш нар хүүхдэд эзэмшүүлэх чадвараа жагсаагаад алийг нь эзэмшсэн, эзэмшээгүйг тооцож ирсэн. Энэ нь одоо хэрэглэх гэж буй ажиглалтын хуудсын дагуу хийх нарийвчилсан бүтэцтэй ажиглалттай төстэй. Багш нар мөн “Чөлөөт ажиглалт” явуулж, түүнийгээ эцэг эхэд танилцуулах, харилцах дэвтэрт тэмдэглэх зэргээр ашиглаж ирсэн. “Хувийн хавтас” нь хүүхэд бүрийн “Бүтээлийн хавтас”-тай төстэй. Гэхдээ дээрх 3 арга хэлбэрийг улам боловсронгуй болгож, системтэй, хослуулан ашиглаж, хүүхэд бүрийн чадамж, онцлогийг илрүүлэн ажиллах шаардлагатай. Зураг 8. Хүүхдийн хөгжлийн ахицыг үнэлэх тайлбар, тодруулга
  • 38.
    СУРГУУЛИЙНӨМНӨХБОЛОВСРОЛЫНСУРГАЛТЫНЦӨМХӨТӨЛБӨР 74 75 ХҮҮХЭДБҮХЭНДЭЭ“БИЧАДНА“ГЭСЭНИТГЭЛӨГЬЕ! 1.3.2 Хүүхдийнхөгжлийн ахицыг үнэлэх ажиглалтын хуудас, түүнийг ашиглах нь “Хүүхдийн хөгжлийн ахицыг үнэлэх ажиглалтын хуудас”-ыг шинжлэх ухааны үндэслэлтэй бөгөөд практикаар нотлогдсон ХБНГУ-ын цэцэрлэгүүдэд ашиглагдаж буй КОМПИК ажиглалтын хуудсын зарчмыг баримтлан боловсруулсан. Энэ нь 3-6 хүртэлх насны хүүхэд тус бүрийн чадамж, онцлогийг илрүүлж, хөгжлийг дэмжих зориулалттай. Ажиглалтын хуудсаар тухайн хүүхдийн нэг бүрчилсэн чадварыг үнэлэхгүй, харин чадамжийг үнэлнэ. “Чадамж” гэдэг нь хүүхдийн мэдлэг, чадвар, төлөвшил (хандлага)-ийн цогц. “Онцлог” гэдгийн дор тухайн хүүхдийн сонирхол, зан ааш, сэтгэлийн хөдөлгөөн, бие бялдрын өвөрмөц байдал зэргийг хамруулан ойлгож болно. Ажиглалтын хуудсанд хүүхдийн бүх талын хөгжлийг хамарсан долоон чадамжийг авч үзсэн бөгөөд тус бүрдээ 2-3 хэсэгтэй. 1 2 3 4 5 6 7 Хөдөлгөөн, эрүүл мэндийн чадамж Нийгэм- шихүйн чадамж Хэл ярианы чадамж Орчноо таньж мэдэх, opчин-тойгоо харилцах чадамж Матема- тикийн чадамж Дүрслэх урлагийн чадамж Хөгжмийн чадамж • Биеийн хөдөлгөөнөө удирдах • Гар хурууны хөдөлгөөнөө зохицуулах • Эрүүл мэндээ хамгаалах • Зан чанар • Сэтгэлийн хөдөлгөөнөө удирдах • Бусадтай харилцах • Сонсох, ойлгох • Ярих • Унших, бичих бэлтгэл • Орчноо шинжлэн судлах • Орчинтой- гоо харьцах • Тоолох • Хэм- жих • Зурах • Урлах • Дуулах хөгжимдөх • Бүжиглэх, жүжиглэх Хэсэг тус бүр тухайн чадамжийг илрүүлэхтэй холбогдох асуултуудтай. Зураг 9. Жишээ:Хөдөлгөөн, эрүүл мэндийн чадамжийн “Эрүүл мэндээ хамгаалах” хэсэг. 1.3. Эрүүл мэндээ хамгаалах 1.3.21 Гараа бохирдсон үед нь болон бие зассаны дараа сануулгагүйгээр угаана. 1 2 3 4 5 1.3.22 Хоолой, амаа бие даан зайлна. 1 2 3 4 5 1.3.23 Бие зассаны дараа ариун цэврийн цаасыг бие даан зөв хэрэглэнэ. 1 2 3 4 5 1.3.24 Хувцсаа орчин, үйл ажиллагаандаа тохируулан өмсөнө. (Жишээ нь: Гадаа тоглох, дасгал хөдөлгөөн хийхэд) 1 2 3 4 5 1.3.25 Сайн зажилж, тайван хооллоно. 1 2 3 4 5 1.3.26 Ямар хүнсний зүйл хүний биед сайн, мууг мэднэ. (Жишээ нь: Сүү, сүүн бүтээгдэхүүн, хүнсний ногоо; их хэмжээтэй чихэрлэг зүйл, хийжүүлсэн ундаа) 1 2 3 4 5 1.3.27 Хийж болохгүй, осолтой үйлдлүүдийг мэднэ. (Жишээ нь: Халуун зуухнаас хол байх, морь малын хөлд ойртохгүй байх) 1 2 3 4 5 1.3.28 Ангийн аюулгүйн дүрмийг мөрдөнө. (Жишээ нь: Хайчны амыг хаах, харандааны үзүүрийг доош харуулж өгөх) 1 2 3 4 5 Нийт оноо IX-X сар IV-V сарГүйцэтгэлийн дундаж Хөдөлгөөн, эрүүл мэндийн чадамжийн нийт оноо: _____ Гүйцэтгэлийн дундаж: _____ Чадамжийг илрүүлэх асуултууд хүүхдийн нас тус бүрээр өөрчлөгдөхгүй. Чадамж нь богинохон хугацаанд хүүхдэд эзэмшигдэхгүй учир нас тус бүрээр үнэлэх боломжгүй. Иймд энэхүү ажиглалтын хуудсанд нэрлэсэн чадамжийг хүүхэд сургуулийн өмнөх насандаа эзэмшинэ. Нэг ижил асуултаар хүүхэд бүрийг 3 наснаас сургуульд элсэх хүртэл нь үнэлнэ. Ажиглалтыг цэцэрлэгт явагддаг өдөр тутмын үйл ажиллагааны явцад явуулна. Багш ангийнхаа хүүхэд бүрийг мэдэрч, таньж мэдсэн байх нь чухал. Тийм ч учраас хүүхэд бүрийн хичээлийн жилийн эхний үнэлгээг зөвхөн 9 дүгээр сарын эхний хоёр долоо хоногт бус, 11 дүгээр сар хүртэлх хугацаанд хийнэ. Ажиглалтыг явуулахдаа багш өөртөө болон хүүхдэд ачаалал дарамтгүй, аль болох өдөр тутмын үйл ажиллагааны явцад тухайн хүүхэд ямар зан ааш гаргаж, бусадтай хэрхэн харилцаж буй, юуг сонирхож, илүү сайн хийж чадаж байгаа гэх мэтээр бүх талаас нь ажиглаж байх шаардлагатай. Хүүхдээ сайн таньж мэдсэн тохиолдолд зарим асуултыг багш шууд тэмдэглэх боломжтой. Гэхдээ ганц тохиолдол, өөрийн субьектив үнэлгээнээс зайлсхийх хэрэгтэй. Орчноо таньж мэдэх, математик, хэл ярианы чадамжтай холбоотой зарим асуултыг хариулахдаа зориуд тодорхой үйл ажиллагааг зохион байгуулах шаардлага гарна. Ийм тохиолдолд тэрхүү үйл ажиллагаагаа өдөр тутмын хөгжүүлэх үйл ажиллагааны нэг хэлбэр болгон төлөвлөж, бэлтгэн явуулж, энэ явцдаа хүүхдээ ажиглана. Асуултыг хариулахдаа багш туслах багштайгаа хамт ажиглалтыг явуулж, мэдээллээ солилцвол илүү бодитой болно. Ажиглалт хийхдээ аль нэг чадварыг илрүүлэх тестийн аргыг хэрэглэхгүй. Ажиглалт явуулах хугацаа 10 минут орчим байна. Ажиглалт явуулсныхаа дараа хуудасны асуулт бүрийн ард 5 шатлалтай хариултаас тохирохыг нь сонгож тэмдэглэнэ. Асуултын хариулт бүр нэг бол давтамж буюу хэр олон удаа тохиолдож байгаагаар “огт тохиолддоггүй”-гээс “байнга тохиолддог” хүртэл, эсвэл хэр тохирч байгаа “огт тохирохгүй байна” гэдгээс “яг тохирч байна” гэдэг хүртэл тэмдэглэнэ. Давтамж, тохиолдлыг дугуй хүрээтэй тоогоор, тохирцыг дөрвөлжин хүрээтэй тоогоор тэмдэглэнэ. Дөрвөлжин хүрээтэй тоо нь хүүхдийн гүйцэтгэж буй үйлийн гүйцэтгэлийн чанар ямар байгааг “тохирцоор”, дугуй хүрээтэй тоо нь хүүхдийн сонирхол, сэдэл, дадал хэвшлийн эзэмшилт ямар байгааг ажиглагдаж буй “давтамжаар” илрүүлнэ. Дөрвөлжин, дугуй доторх тооны өөрчлөлтөөр хүүхдэд тухайн чиглэлээр чанарын ахиц гарч байгааг илтгэнэ. Багш тоо буюу оноо тус бүрийн ард буй үгсийн утгыг маш сайн анхаарч, тохирохыг нь сонгож тэмдэглэнэ. Зураг 10. Асуултын хариултад сонгох оноо, түүний харгалзах утга 1 2 3 4 5 1 2 3 4 5 Огт тохиолддоггүй. Хааяа нэг тохиолддог. Байн байн тохиолддог. Ихэнхдээ тохиолддог. Дандаа / байнга тохиолддог. Огт тохирохгүй байна. Ховор тохирч байна. Дундаж хэмжээнд тохирч байна. Ихэнхдээ тохирч байна. Яг тохирч байна. Давтамж Тохироц Дөрвөлжин, дугуй доторх тооны аль алиных нь 1-5 хүртэлх тоо ихсэх тусам чанарын ахиц гарч байна гэж үзнэ. Гэхдээ 3-ын тоог дундаж гэж авчхаад хүүхэд 1 ба 2 дээр байвал “Дундаас доогуур” тааруухан байна гэж дүгнэж болохгүй. Учир нь 3-6 хүртэлх насны нийт хүүхдийг нэг л асуултаар үнэлэх учир хүүхдийн нас тус бүрийн онцлогийг харгалзах шаардлагатай. Жишээлбэл, 3 настнууд гол төлөв 1 ба 2 дээр тэмдэглэгдэх болов уу. Гэхдээ энэ насны хүүхдийн зарим асуултын хариулт 2-оос дээш тоогоор тэмдэглэгдэхийг үгүйсгэхгүй. Гэтэл зарим 4 ба 5 настнуудын зарим асуултын хариулт 1 буюу 2 гэсэн тоогоор тэмдэглэгдэх тохиолдол ч байж мэднэ. Хүүхэд бүр өөрийн давуу мөн сул талтай.
  • 39.
    СУРГУУЛИЙНӨМНӨХБОЛОВСРОЛЫНСУРГАЛТЫНЦӨМХӨТӨЛБӨР 76 77 ХҮҮХЭДБҮХЭНДЭЭ“БИЧАДНА“ГЭСЭНИТГЭЛӨГЬЕ! 1.1.1 Тэнцвэрээ хадгалан20 см өргөн зураасан дундуур давж гишгэхгүйгээр арагш ухарч явна. 1 2 3 4 5 1.1.2 Дүүрэн устай ундааны шилэн аяга (стакан)-ыг нэг гартаа бариад усыг цалгиулахгүйгээр өрөөний нэг талаас нөгөө тал хүртэл алхана. 1 2 3 4 5 1.1.3 Тасалгаан дотор хурдаа тохируулж гүйнэ. 1 2 3 4 5 1.1.4 Хөлийг салгалгүйгээр зураасны дагуу үсэрнэ. 1 2 3 4 5 1.1.5 Шаланд ойлгож дамжуулсан бөмбөгийг алдахгүйгээр хоёр гараараа барьж авна. 1 2 3 4 5 1.1.6 Хоёр гараараа дундаж хэмжээтэй (диаметр нь 10 см орчим) бөмбөгийг дээш шидээд, алдахгүй барьж авна. 1 2 3 4 5 чадамжийг ерөнхийд нь “4” байна гэж үнэлж болно. Дараа нь тухайн чадамжийн нийт оноог нэгтгэж, гүйцэтгэлийн дунджийг гаргана. Үнэлгээгээг “Чөлөөт ажиглалт”-ын үр дүнгээр баталгаажуулж, баяжуулж болно. Ажиглалтын хуудсын асуултуудын хариултыг нэгтгэж, чадамж тус бүрийн үнэлгээг гаргасны дараа багш тухайн хүүхдийн хөгжил, онцлогийн талаар товч дүгнэлт бичнэ. (Жилдээ 2 удаа, намар, хавар тус бүр нэг удаа) Жишээлбэл, Аль талаараа давуу сайн байгаа, сүүлийн үед хөгжилд нь анзаарагдсан ахиц дэвшил, цаашид юун дээр түлхүү анхаарч ажиллах гэх мэт. Энэ нь багшид хүүхэдтэй ажиллах өдөр тутмын үйл ажиллагааны төлөвлөлтөд суурь болон ашиглагдана. Энд нийслэлийн нэгэн багшийн ажиглалтын хуудасны дүнгийн нэгтгэл, товч дүгнэлтийг жишээ болгон харууллаа. Тайлбар: Дөрвөлжин нүдэнд хөх өнгөөр нэг чадамжийн доторх аль нэг хэсгийн гүйцэтгэлийн дунджийг тэмдэглэжээ. Жишээлбэл, Тухайн хүүхэд “Хөдөлгөөн эрүүл мэндийн чадамж”-ийн Биеийн хөдөлгөөнөө удирдах хэсэгт гүйцэтгэлийн дундаж нь “1” дээр, “Гар, хурууны хөдөлгөөнөө зохицуулах” хэсэгт гүйцэтгэлийн дундаж нь “2” дээр байна гэсэн үг. Зураг 11. Нийслэлийн 101 дүгээр цэцэрлэг Дунд В бүлэг, багшийн хийсэн гарааны үнэлгээ Ажиглалтын хуудсын зарим асуултыг хариулахад “Чөлөөт ажиглалт”-ын тэмдэглэл, “Хувийн хавтас”-ны мэдээлэл танд хэрэг болно. Жишээлбэл, тухайн хүүхдийн зан чанар, харилцаатай холбогдох асуултыг хариулахад “Чөлөөт ажиглалт”-ын тэмдэглэл, зурах, урлахтай холбогдох асуултыг хариулахад “Хувийн хавтас”-ны мэдээлэл үнэтэй хувь нэмэр оруулна. Ийнхүү олон талын мэдээллийг хамтатган хүүхэд бүрийг үнэлбэл, үнэлгээ илүү үнэн зөв, бодитой болно. Ажиглалтын хуудасны асуултууд бүрэн таглагдсан тохиолдолд хариултуудыг нэгтгэн дүгнэнэ. Дүгнэлт гаргасан огноо, хүүхдийн нас, сарыг ажиглалтын хуудсын дээд талд заавал тэмдэглэнэ. Хүүхэд бүрийн үнэлгээг чадамж тус бүрээр өөрөөр хэлбэл хөгжлийн бүрэлдэхүүн хэсэг тус бүрээр гаргана. Жишээлбэл, хүүхдийн “Хөдөлгөөн, эрүүл мэнд” хэсгийн “Биеийн хөдөлгөөнөө удирдах чадамж”-ийн зарим асуулт дээр тоонуудаа хэрхэн нэгтгэн дүгнэхийг жишээ болгон авч үзье. Нэр: ................, Нас: 4 нас 5 сартай, эмэгтэй Тэмдэглэгдсэн тоонуудаа (4+2+4+4+5+4=23) нэмнэ. Үүгээр авсан онооны дүн гарна. Авсан онооны дүнгээ асуултынхаа тоо буюу 6-д хуваахад (23:6=4) гүйцэтгэлийн дундаж гарна. Гүйцэтгэлийн дунджаас үзэхэд тухайн охины биеийн хөдөлгөөнөө удирдах Хариултыг өөр өнгөөр тэмдэглэн нэг ажиглалтын хуудсыг хичээлийн жилд намар, хавар 2 удаа ашиглаж болно. (Цаашдаа программд оруулна.) Багш ажиглалтын хуудсын дүнгийн нэгтгэлээ тухайн насны хүүхдийн улсын дундаж үзүүлэлттэй харьцуулан үзэж болно. 3 хүртэлх насны хүүхдийн хөгжлийн ахицыг “чадамж”-аар бус, “Биеийн хөдөлгөөнө удирдах”, “Нийгэмшихүй”, “Оюун ухаан” гэсэн 3 төрлийн чадвараар үнэлнэ. Хүүхэд тус бүрийн чадвараас хамааран “Чаддагүй” бол 1, “Дэмжлэгтэй” бол 2, “Чаддаг” бол 3 гэж 1-3 хүртэлх тооны аль нэгийг сонгож, чадвар тус бүрийн арын аль нэг нүдэнд бичнэ. Төгсгөлд нь бичсэн тоо буюу оноонуудаа нэмэхэд “Онооны дүн”, онооны дүнгээ тухайн хэсгийн чадварын тоонд хуваахад “Гүйцэтгэлийн дундаж” гарна. Зураг 12. Гурав хүртэлх насны хүүхдийн ажиглалтын хуудсын хэсэг 1. Биеийн хөдөлгөөнөө удирдах чадвар № Чадвар Чаддаг -гүй Дэмж- лэгтэй Чаддаг 1.1 Шалан дээр байгаа зүйлийг доош бөхийн барьж авна. 1.2 Ор болон өндөр сандал дээр гарч, бууж чадна. 1.3 Том хайрцагт юмсыг зөөж хийнэ. 1.4 Хөтөвч, суултуурт бие засахдаа өөрөө сууж, босно. 1.5 Шатаар өгсөж, уруудна. 1.6 Аяга, халбагаа зөв барьж хэрэглэнэ. 1.7 Зузаан (картонон) хуудастай номын хуудсыг нэг нэгээр нь эргүүлнэ. 1.8 Бүдүүн харандаа, тосон харандаа ашиглаж, цаасан дээр зураас татна. 1.9 Хувцсаа өөрөө тайлна. 1.10 Гараа угааж, арчина. 1.11 Цэвэрхэн хооллоно. 1.12 “Болно”, “Болохгүй” гэсэн энгийн зааврыг ойлгож биелүүлнэ. Хугацаа IX-X сар IV-V сар Ахиц Онооны дүн Гүйцэтгэлийн дундаж Хүүхдийн хөгжлийн түвшин, онцлогийг ийнхүү тогтоосноор багшаас хүүхэд бүрд шаардлагатай дэмжлэг туслалцаа үзүүлэх, өөрийн сургалтын арга технологио сайжруулах, эцэг эхэд хүүхдийнх нь хөгжил, төлөвшлийн талаар бодит мэдээлэл өгөх
  • 40.
    СУРГУУЛИЙНӨМНӨХБОЛОВСРОЛЫНСУРГАЛТЫНЦӨМХӨТӨЛБӨР 78 79 ХҮҮХЭДБҮХЭНДЭЭ“БИЧАДНА“ГЭСЭНИТГЭЛӨГЬЕ! ТАНАЙ ХАМТ ОЛОН Өөрсдийнхөө санал, санаачлагаарбие даан, бүтээлчээр ажилламаар байна уу? Хүүхэд бүрийг хөгжүүлж, төлөвшүүлэхэд өөрсдийнхөө чухал гэж үзсэн санааг хэрэгжүүлмээр байна уу? Хүн бүрийн сэтгэл, хүчин чармайлтыг нэгтгэж, нэг зорилгын төлөө баг хамт олноо зангидан, өөдрөгөөр ажиллуулмаар байна уу? Хүүхдийг хөгжүүлж, төлөвшүүлэх өөрийн гэсэн онцлог сургалтын хөтөлбөртэй болмоор байна уу? Хүүхдийн дунд хаана, хэдийд, ямар ажил зохион байгуулахаа өөрсдөө шийдмээр байна уу? Анги зохион байгуулалт, өдрийн дэглэм, хүүхдийн дунд явуулах өдөр тутмын үйл ажиллагаагаа өөрсдийнхөө хамгийн үр дүнтэй гэж үзсэн хувилбараар зохицуулмаар байна уу? Цэцэрлэгийнхээ гадаад, дотоод орчныг бусад цэцэрлэгүүдээс ялгагдах өөрийн гэсэн онцлогтойгоор бүрдүүлмээр байна уу? нөхцөл бүрдэнэ. Хоёр. СУРГУУЛИЙН ӨМНӨХ БОЛОВСРОЛЫН СУРГАЛТЫН ЦӨМ ХӨТӨЛБӨРИЙГ ЦЭЦЭРЛЭГИЙН ТҮВШИНД ХЭРЭГЖҮҮЛЭХ НЬ 2.1. “Хүүхэд бүрийг хөгжүүлэх цэцэрлэгийн үзэл баримтлал” ба “Сургалтын хөтөлбөр”-ийн холбоо хамаарал Манай улсын цэцэрлэгүүдэд 1998 он хүртэл мөрдөж ирсэн сургалтын хөтөлбөрт хүүхдийн дунд явуулах сургалтын зорилго, агуулгыг хичээлүүд болон хичээлээс бусад үйл ажиллагааны хэлбэр тус бүр, мөн хүүхдийн нас (бүлэг) тус бүрээр нарийвчлан зааж өгсөөр ирсэн. Энэ нь багш төвт үйл ажиллагаа давамгайлах хандлагыг бий болгож байсан. 1998 оны “Сургуулийн өмнөх боловсролын агуулгын стандарт”, түүнийг дагалдан гарсан “Сургуулийн өмнөх боловсролын үлгэрчилсэн цөм хөтөлбөр”-ийг хэрэгжүүлэх үеэс багш нар сургалтын агуулга, арга зүй, хэрэглэгдэхүүнээ өөрөө сонгон, бүтээлчээр ажиллах, хүүхдийн эрэлт, хэрэгцээ, сонирхлыг харгалзан “Хүүхэд төвт үйл ажиллагаа” явуулах хандлагын эхлэл тавигдсан билээ. Энэ үеэс цэцэрлэгт “Хүүхэд хөгжүүлэх үзэл баримтлал” гэсэн ухагдахуун бий болж, зарим бичиг баримтад тусгалаа олж ирсэн. Энэ нь тухайн цэцэрлэг сургалтын хөтөлбөртөө ямар зорилго дэвшүүлэх, яаж (агуулга, арга зүй, хэрэглэгдэхүүн ямар байх) ажиллавал хүүхдийг хөгжүүлж төлөвшүүлэх ажил хамгийн сайн явагдах вэ гэдгээ өөрсдөө тодорхойлох болсонтой холбоотой. Зарим баримт бичгийн заалтыг эргэн харъя. 2007 оны “Сургуулийн өмнөх боловсролын сургалтын талаар баримтлахбодлого” -д “Сургалтын хөтөлбөр нь СӨБ-ын стандарт, тухайн цэцэрлэгийн үзэл баримтлалыг хэрэгжүүлэхэд чиглэсэн байна”, 2013 оны “Сургуулийн өмнөх боловсролын сургалтын талаар баримтлах бодлого”-д “Бие даасан байдлыг хангах гол арга зам нь цэцэрлэг тус бүр өөрсдийн үзэл баримтлалаа тодорхойлон Сургуулийн өмнөх боловсролын сургалтын талаар баримтлах бодлогыг хэрэгжүүлэхэд оршино” гэжээ. 2015 оны “Сургуулийн өмнөх боловсролын сургалтын цөм хөтөлбөр”-т “Багш нар сургалтын хөтөлбөрөө хүүхэд бүрийг хэрхэн хөгжүүлж төлөвшүүлэх арга замаа тодорхойлсон үзэл баримтлалдаа тулгуурлан боловсруулна.” гэж тодорхойлсон. Хүүхэд нэг бүрийг хөгжүүлэх цэцэрлэгийн үзэл баримтлал гэж юу вэ? “Хүүхэд нэг бүрийг хөгжүүлэх цэцэрлэгийн үзэл баримтлал” (цаашид “үзэл баримтлал” гэх) нь тухайн цэцэрлэгийн баг хамт олны хүүхдийг хөгжүүлж, төлөвшүүлэх ажлын шийдэл, онцлог арга ухаан, өдөр тутмын ажилдаа баримтлах удирдамж юм. Үзэл баримтлал нь Зураг 13-д буй асуултад хариулт өгч, тухайн цэцэрлэг бие даан, өөрийн онцлогтойгоор хөгжих боломжийг бий болгоно. Гагцхүү тухайн байгууллага- хамт олон хүүхэд бүрийг хөгжүүлэх ажлын чанарыг с а й ж р у у л а х т а й холбогдох эдгээр болон бусад а с у у л т у у д а д өөрсдөө л хариулт олж, шийдвэрээ гаргана. Зураг 13: Үзэл баримтлалаар шийдэх зарим асуултууд Хэрэв танай цэцэрлэгийн Үзэл баримтлал эдгээр болон тулгарсан бусад асуудлыг шийдэхэд тус болохгүй, багш, ажилтнуудын хүүхэдтэй ажиллах өдөр тутмын үйл ажиллагааны чиглэл болж, нөлөө үзүүлэхгүй байвал Үзэл баримтлал тань шаардлагын хэмжээнд боловсруулагдаагүй, нэгэн хэрэггүй бичиг цаас байна л гэсэн үг. Үзэл баримтлал ямар бүтэцтэй байх вэ? • Эрхэмлэх зүйлс • Байгууллагын үйл ажиллагааны зохион байгуулалт (анги зохион байгуулалт, өдрийн дэглэм, сургалтын орчин, ажлын төлөвлөлт, хүүхдийн хөгжлийн ахицын үнэлгээ) • Хамт олны соёл, хүүхдийг хөгжүүлж төлөвшүүлэхэд хүн бүрийн үүрэг, оролцоо • Эцэг эхийн үүрэг, оролцоо, бусад байгууллага, хүмүүстэй хэрхэн хамтарч ажиллах чиглэл Үзэл баримтлал ямар ач холбогдолтой вэ? • Цэцэрлэг өөрийн гэсэн өнгө төрхтэйгөөр хөгжих боломж бүрдэнэ. • Хүүхдийг хөгжүүлж, төлөвшүүлэхэд тухайн хамт олны эрхэмлэх зүйл тодорхой болж, баг хүчээ нэгтгэх боломжтой болно. • Тухайн цэцэрлэгийн үзэл баримтлал нь практикаар нотлогдсон онол, өөрийн хуримтлуулсан туршлагад суурилах тул эрсдэлгүй, бусад урсгал, чиглэл рүү хазайхгүй, үйл ажиллагаа тогтвортой явагдана. • Багш, ажилтан бүрийн үүрэг, оролцоо илүү тодорхой болж, ажлыг нь үнэлэх, хариуцлага тооцох нөхцөл бүрдэнэ. • Тухайн цэцэрлэгт хүүхэд нь хэрхэн хөгжиж, төлөвших талаар эцэг эх тодорхой чиглэл, мэдээлэлтэй болно, тэдний оролцоо нэмэгдэнэ. • Асуудлыг ихэнхдээ өөрсдөө шийдвэрлэх тул шат шатны удирдах байгууллагын ачаалал багасна. Үзэл баримтлалыг хэрхэн боловсруулах вэ? Үзэл баримтлалыг боловсруулахад хүн бүрийн оролцоо, мөн багагүй цаг хугацаа шаардагдана. Зураг 14. Үзэл баримтлал боловсруулах үйл явц
  • 41.
    СУРГУУЛИЙНӨМНӨХБОЛОВСРОЛЫНСУРГАЛТЫНЦӨМХӨТӨЛБӨР 80 81 ХҮҮХЭДБҮХЭНДЭЭ“БИЧАДНА“ГЭСЭНИТГЭЛӨГЬЕ! Үзэл баримтлалыгянз бүрийн арга замаар боловсруулж болно. Гэхдээ дараах ажлууд үзэл баримтлал боловсруулах явцад түгээмэл хийгдэнэ. 1.Байгууллагынхаа хүүхдийг хөгжүүлж, төлөвшүүлж буй үйл ажиллагаанд шинжилгээ хийх Үүнийг маш энгийн аргаар хийвэл илүү үр дүнтэй. Жишээлбэл, Хүүхэд бүрийг хөгжүүлж, төлөвшүүлэх ажлаа сайжруулахад бид юу хийж, яаж ажиллах вэ гэсэн асуултуудын жагсаалтыг хамтаараа гаргана. Хүн бүр асуулт бүрт хариулт олно. Хүн бүрийн хариултыг нийтээрээ хэлэлцэн асуулт тус бүрээр нэгдсэн шийдэлд хүрнэ. 2.Хамт олныхоо эрхэмлэх зүйлсийг тодорхойлох Энэ нь хамгийн чухал бөгөөд хамгийн их цаг зарцуулдаг ажил. Эрхэмлэх зүйлсээ тодорхойлохын тулд уншиж судлах, орчин нөхцөл, давуу тал, өөрийн туршлагаа эргэн харах, удаа дараагийн хэлэлцүүлгүүд хийх зэрэг олон ажил өрнөнө. Эрхэмлэх зүйлсээс тухайн хамт олон хүүхэдтэй хэрхэн, ямар онцлогтойгоор ажиллах “улаан шугам” нь гарч ирнэ. Тухайлбал, юуг чухалчлан ажиллах буюу ямар арга зүйг түлхүү баримтлах, ямар сургалтын орчин бүрдүүлэх гэх мэт. 3.Байгууллагынхаа үйл ажиллагааны зохион байгуулалтыг тодорхойлох Эрхэмлэх зүйлээ хэрэгжүүлэхийн тулд бид цэцэрлэгийнхээ өдөр тутмын үйл ажиллагааг хэрхэн зохион байгуулах вэ гэдэг асуудал энд шийдэгдэнэ. Анги зохион байгуулалт, өдрийн дэглэм ямар байх, сургалтын хөтөлбөрөө хэрхэн боловсруулж, хэрэгжүүлэх, гадаад, дотоод сургалтын орчин ямар байх, хүүхдийн хөгжлийн ахицыг үнэлэх үйл ажиллагааг хэрхэн зохион байгуулах гэх мэт. Эдгээрийн шийдэл нь үзэл баримтлалд тусгалаа олно. 4.Хамт олон, эцэг эхийн үүрэг, оролцоог тодорхойлох Үзэл баримтлал нь хүүхдийн төлөө хариуцлага хүлээх ёстой багш болон бусад ажилтнуудын мэдрэмж, мэргэжлийн чадамж ямар байхыг тодорхойлсон байна. Хүүхдийг хөгжүүлж, төлөвшүүлэхэд хүн бүр ямар хувь нэмэр оруулах, тэдний ажлыг хэрхэн үнэлж дүгнэх, хамт олны соёл ямар байх, эцэг эхтэй хэрхэн хамтран ажиллах зэрэг асуудлууд энэ хэсэгт хөндөгдөж, тодорхой шийдэлд хүрнэ. Түүнчлэн бусад байгууллага, хүмүүстэй хэрхэн хамтарч ажиллах асуудлаа ч тодорхойлно. Үзэл баримтлал бүр өөр өөрийн өвөрмөц сургалтын орчинтой Үзэл баримтлал бүр өөр өөрийн өвөрмөц сургалтын агуулга, арга зүй, орчинтой. Энд зарим цэцэрлэгийн сургалтын материаллаг орчин үзэл баримтлалаа дагаад хэрхэн өөрчлөгдөж байгааг жишээ болгон харууллаа. Бид ардын сурган хүмүүжүүлэх ухаанд тулгуурлан бодит амьдрал дунд хүүхдийг үлгэрлэн дагуулж, хамтдаа хөгжинө. (Баянхонгор аймгийн 4 дүгээр цэцэрлэгийн үзэл баримтлалаас) Зураг 15. Баянхонгор аймгийн 4 дүгээр цэцэрлэгийн сургалтын орчноос “Хүүхэд 100 хэлээр ярьдаг” Хүүхэд бүрийг адил тэгш хөгжүүлэх нь бидний эрхэмлэх нэгэн чухал зүйл. Иймд бид хүүхдэд урлан бүтээх өргөн боломж олгоно. (Дархан- Уул аймгийн 18 дугаар цэцэрлэгийн Үзэл баримтлалаас) Зураг 16. Дархан-Уул аймгийн 18 дугаар цэцэрлэгийн Урлангийн өрөөнд Бид “Цэцэрлэг нь хүүхэд тоглох явцдаа өөрөө суралцах, хөгжих орчин байна.” гэж эрхэмлэх зүйлээ тодорхойлоод “тоглох”, “чөлөөт”, “амьд” гэсэн 3 орчинг бүрдүүлбэл хүүхэд бүр хамгийн сайн хөгжинө гэж үзсэн. (Нийслэлийн42 дугаар цэцэрлэгийн Үзэл баримтлалаас) Зураг 17. Нийслэлийн 42 дугаар цэцэрлэгийн хүүхдүүд
  • 42.
    СУРГУУЛИЙНӨМНӨХБОЛОВСРОЛЫНСУРГАЛТЫНЦӨМХӨТӨЛБӨР 82 83 ХҮҮХЭДБҮХЭНДЭЭ“БИЧАДНА“ГЭСЭНИТГЭЛӨГЬЕ! Манай цэцэрлэг“Нээлттэй цэцэрлэг”, хүүхдүүд монгол ардын уламжлалт сургалтын аргаар даган дуурайж, тоглонгоо суралцана. Хүүхдүүд өдөр бүр 9.00-11.00 цагийн хооронд өөрөө ангиа сонгож, сургалтад хамрагдана. (Завхан аймгийн 1 дүгээр цэцэрлэгийн Үзэл баримтлалаас) Зураг 18. Завхан аймгийн 1 дүгээр цэцэрлэг, Анги бүр нэг сургалтын төв Ийнхүү цэцэрлэг бүр “Хүүхэд хөгжүүлэх үзэл баримтлал”-аа “СӨБ-ын сургалтын цөм хөтөлбөр”-төө суурилан боловсруулж, улмаар байгууллагынхаа түвшний “Сургалтын хөтөлбөр”-өөрөө ямар орчин нөхцөл бүрдүүлж байж хэрэгжих, хүүхдийг хөгжүүлж, төлөвшүүлэх ажлын агуулга, арга зүй ямар байх, сургалтын үйл ажиллагааг хэрхэн зохион байгуулах зэргийг тодорхойлж амжилттай хамтран ажиллаж байна. Цэцэрлэгийн үзэл баримтлалыг хэрэгжүүлэх тусгай төлөвлөгөө гаргах шаардлагагүй бөгөөд энэ нь танай байгууллагын сургалтын хөтөлбөр (сэдвүүдийн боловсруулалт, тэдгээрийг хэрэгжүүлэх үйл явц)-өөр л хэрэгжинэ. 2.2.“Хүүхэд бүрийг хөгжүүлэх цэцэрлэгийн үзэл баримтлал” - Туршлага, сургамж Цэцэрлэгүүд үзэл баримтлалаа хэрхэн боловсруулж, хэрэгжүүлж байгаа туршлага, сургамжаасаа хуваалцаж байна. Нийслэлийн 42 дугаар цэцэрлэг Бид үзэл баримтлалаа боловсруулахын тулд эхлээд эрхлэгч, арга зүйч, эмч, бүх багш нар, туслах багш нартаа бага насны хүүхдийг хөгжүүлж, төлөвшүүлэхтэй холбогдох эрдэмтдийн онолыг хэвлэж тараагаад, хугацаа өгч судлуулсан. Тухайлбал, Вальдорф, Селестан Фрэнэ, Рижжио, Мариа Монтессори, Зегмут Фрейд, Фриедрих Фребел, Жан Пиаже, Л.С.Выготский нарын онол үзэл санааг судлаад онцлох санааг тодруулаад хүн тус бүр өөрийн санаагаа бэлтгэн хэлэлцүүлэгт оруулж, хамтран ярилцдаг байсан. Түүнчлэн цэцэрлэгийнхээ бусад цэцэрлэгээс ялгагдах онцлог, ямар үйл ажиллагаан дээр төвлөрч барьж хүүхдээ хөгжүүлэх вэ? гэсэн асуудлаар хэлэлцүүлэг өрнүүлсэн. Нэн түрүүнд бид хүүхэд бүр цэцэрлэгтээ өөрийнхөөрөө, хүссэнээрээ чөлөөтэй байж чадаж байна уу? гэдэгт анхаарлаа хандуулсан. Мэдээж хэрэг бидний уламжлалт сургалт, үйл ажиллагаагаар багш юу л заана, түүнийг хүүхэд сурдаг байсан хандлагыг хамгийн түрүүнд өөрчлөх шаардлагатай гэж үзээд эхлээд “Хүүхэд гэж хэн бэ?” гэдгийг дараах байдлаар тодорхойлсон. Бага насны хүүхэд бол уурхайгаас гарсан эрдэнэс Түүнийг өнгөлж зүлгэвэл улам тодрон гялалзана. “Чөлөөт”, “тоглох”, “амьд” орчин бүрд багш, туслах багш юу хийх, ямар үүрэг, оролцоотой байхыг үзэл баримтлалдаа нэг бүрчлэн тусгаж, орчин тус бүрээр дамжуулан хүүхэд бүр хөгжих боломжийг бүрдүүлэхэд бүх баг хамт олноороо анхаарч ажиллаж байна. Багш бүр өөр өөрийн ажиллах онцлог боломж, давуу талаа ашиглан хөгжүүлэх үйл ажиллагаагаа төлөвлөж явуулах нөхцөлийг хангаж өгснөөр нэгэн хэвийн загварт баригдсан хандлага өөрчлөгдөж, багшийн бүтээлч үйл ажиллагаа нэмэгдсэн. Үзэл баримтлалдаа баг хамт олон дунд ажиллаж байгаа бүх хүн, түүнчлэн эцэг эх, асран хамгаалагчийн үүрэг оролцоог нарийн тусгасан учраас “Хэн юу хийх ёстой вэ, би юу хийх вэ, яаж оролцох вэ?” гэдэг нь тодорхой болж өгсөн. Иймээс манай цэцэрлэгийн аль ч ажил мэргэжлийн хүн тухайлбал, манаач, жижүүр, тогооч маань “амьд” орчинд аялахад уриалгахан найрсгаар тусалдаг. Энэ нь үзэл баримтлалаа бүгд зөвшөөрч, хамтран боловсруулсны үр дүн. Төвийн байршилтай манай цэцэрлэгийн тухайд ч хүүхдүүдийг хоттой тэр бүр танилцуулаад байдаггүй байсан. Иймд бид хүүхдүүдээ хамгийн түрүүнд цэцэрлэгийнхээ эргэн тойронд байгаа байгууллага, театр, музей, үзэсгэлэн, номын сан, талбай гэх мэт газруудаар дагуулан аялал хийж танилцуулангаа агаар салхинд гардаг болсон. Хүүхдүүд ч сонирхолтой байдаг учраас бид энэ үйл ажиллагаагаа эцэг эх, хамт олны оролцоотойгоор одоог хүртэл өргөжүүлсээр байгаа. Хүүхдүүд үзэж харсан зүйлээ өөрийнхөө тусгаж авснаар бүтээлээрээ илэрхийлдэг, тэдний хийсэн бүтээл, аяллаар явж буй үйл явц, хөгжүүлэх үйл ажиллагаанд оролцож буй явцыг фото зургаар гаргаж, эцэг эхэд танилцуулдаг, өөрийнх нь “Хувийн хавтас”-т хийдэг. Энэ бүхний эцэст тухайн хүүхдийн хөгжлийн ахиц дэвшил тодорхой харагддаг ач холбогдолтой. Тулгарч байсан бэрхшээл, сургамж Үзэл баримтлал боловсруулж байх үед, дараа нь ч бэрхшээлүүд тулгарч байсан. Үүнд, багш бүрийн чадвар харилцан адилгүй байх, үзэл баримтлалаа сайн ойлгоогүй уламжлалт хичээллэх системээсээ салж чадахгүй, хүүхдүүдээ зөв зохион байгуулж чадахгүйгээс анги зохион байгуулалт алдагдах гэх мэт. Хүүхдүүд ч өөрсдийн дуртай сонирхолтой зүйлээ олж мэдрэхгүй бүхий л зүйл рүү үсчих, барьж тавих, анхаарлаа төвлөрүүлж гүйцэд хийхгүй орхих зэрэг үзэгдлүүд алхам тутамд тулгарч байсан. Ер нь хүүхэд хөгжүүлэх цэцэрлэгийн үзэл баримтлалыг боловсруулахад хүн бүр өөрийгөө голохгүй уншиж судлах, тэгээд сэтгэл харамгүй ярилцах нь чухал юм билээ. Өөрөө уншсан тэгээд хэрэгтэй гэж сонгосон санаагаа үзэл баримтлалдаа оруулах гээд чармайж ажилласан тэр багш, туслах багш, ажилчид түүний хэрэгжилтэд анхаарах нь мэдээж. Бид үзэл баримтлалаа одоо ч эргэж харж, болж, болохгүй байгаа зүйлийг ярилцаж засаж залруулдаг. Хамгийн гол нь бүгд хандлагаа өөрчилж, хийе бүтээе гэвэл аливаа ажил бүтдэг юм билээ. Нийслэлийн 42 дугаар цэцэрлэгийн эрхлэгч Я.Отгонжаргал
  • 43.
    СУРГУУЛИЙНӨМНӨХБОЛОВСРОЛЫНСУРГАЛТЫНЦӨМХӨТӨЛБӨР 84 85 ХҮҮХЭДБҮХЭНДЭЭ“БИЧАДНА“ГЭСЭНИТГЭЛӨГЬЕ! Баянхонгор аймгийн9 дүгээр цэцэрлэг Бид үзэл баримтлалаа боловсруулахын тулд эхлээд цэцэрлэгийнхээ үйл ажиллагаанд хамт олноороо дүн шинжилгээ хийж, хүн бүр юуг сайн хийж чаддагаа тодорхойлсон, хүүхдийг хөгжүүлж, төлөвшүүлэхтэй холбогдох онол, үзэл санаануудыг эргэн харсан. Бид эрхэм зорилгоо “Хүүхэд хөгжих таатай орчинд хүүхэд бүрийн хөгжлийг дэмжинэ, тэдний урлан бүтээх, өөртөө үйлчлэх чадварыг чухалчилна.” хэмээн тодорхойлсон. Ингээд бид бүлэг бүр өөр өөрийн онцлогтой орчинг бүрдүүлэхээр зорьж ажилласан. Байгууллагын бүх багш, ажилчид гурван багт хуваагдан өөр өөрийн өвөрмөц онцлогтой орчинг бий болгосон. Ингэхдээ сургалтын орчны 50%-ийг хамт олон өөрсдийн бүтээлч үйлээрээ хийж гүйцэтгэсэн. Ангиудын тавилга, сургалтын хэрэглэгдэхүүний тавиурын загваруудыг өөрсдөө гаргаж, манай харуул хамгаалалтын ажилтнууд цэцэрлэгийн бүх тавилга хэрэгслийг модоор хийж өгсөн. Бас нэгэн онцлог нь ангийн өрөөний тавилгуудыг дан нэг түвшинд бус, ангийн зарим хэсэгт хүүхдүүд шатаар дээшээ гараад тэндээ тоглох, мөн гулсан буух зэрэг тоглох явцдаа төрөл бүрийн хөдөлгөөн хийх боломжтойгоор хийсэн. Энэ нь хүүхэд хөдөлгөөнтэй байх, тэдний хөдөлгөөний чадвар сайжрахад багагүй тустайгаас гадна сонирхолтой байдаг. Бүлгүүдийн авирдаг шат нь өөр өөр загвартай. Хүүхдүүд дээд талын тавцан дээр голдуу “Айл гэр” сэдэвт тоглоомоор тоглодог бол доод талд нь өрж байгуулах тоглоомоор тоглоно эсвэл жүжигчилсэн тоглолт хийнэ.Мөн багш, туслах багш, ажилчид даавуу, пролон болон бусад хаягдал материал ашиглан тоглоомуудыг хамтарч хийсэн. Зураг 19. Баянхонгор аймгийн 9 дүгээр цэцэрлэгийн харуул хамгаалалтын ажилтан Б.Бямбасүрэнгийн хийсэн тавилга хэрэгсэл, тоглоом наадгай Зураг 20. Баянхонгор аймгийн 9 дүгээр цэцэрлэгийн хүүхдүүдийн бүтээл, “Үлэг гүрвэл” ханын зураг “Энэ сайхан сэтгэлтэй гүрвэл таван давхар байшинтай адилхан өндөр гэсэн. Бид үүнийг өөрсдөө будаж хийж, ангийнхаа ханыг чимэглэсэн”. Бид хүүхэд бүрийг хөгжүүлэх үзэл баримтлалынхаа үр нөлөөг хэрхэн сайжруулах вэ? гэдэгт эрэл хайгуул хийсээр байна. Баянхонгор аймгийн 9 дүгээр цэцэрлэгийн эрхлэгч Ц.Оюунчимэг Орхон аймгийн 10 дугаар цэцэрлэг Манай хамт олон дараах зүйлүүдийг нэн чухал гэж үзэж, өөрийн цэцэрлэгийн үзэл баримтлалдаа тусгасан. Үүнд: • “Хамтрагч хөгжвөл би хөгжинө, би хөгжвөл бид бүгд хөгжинө.” Багш хүүхэд хоёрыг хамтрагч гэж үзээд “Багш хөгжвөл хүүхэд хөгжинө, хүүхэд хөгжвөл багш хөгжинө.” гэж тодорхойлсон. • “Үлгэр дуурайлал ба даган дуурайлт” - Томчууд хүний мөс чанарыг үлгэрлэн харуулж, тодорхой хэмжээнд хөгжлийн орон зайг үүсгэн бий болгох бөгөөд энэ хүрээнд хүүхэд чөлөөтэй, аяндаа бие даан үйлээ зохицуулна. (Ардын сурган хүмүүжүүлэх уламжлалаас) • “Цэцэрлэгийн баялаг амьдрал бол хүүхдийг хөгжлийг дэмжсэн суралцах талбар” (/Вальдорф)- Цэцэрлэг хэдий чинээ баялаг амьдралтай байнахүүхдийн суралцах үйлийг төдий чинээгээр дэмжинэ. (Түлхүүр үгс: Хөгжилтэй байх, амьдралын баяр баясгалан) • “Хүүхэд бол бүхэлдээ мэдрэхийг эрмэлзэгч” (Р.Штейнер) - Цэцэрлэгийн амьдрал хүүхдийн хэрэгцээнд нийцэхдээ бодит, зүй ёсоороо явагдаж буй, мэдрэхүйгээрээ тусгаж авч болохуйц үзэгдэл, үйл явдлаар баялаг “бүхэл бүтэн”,“буцалсан”орчин байх нь чухал. Үзэл баримтлалаа бид “Хүүхэд, багш, гэр бүл” гэсэн 3 талаас цогцоор нь авч үзэхийг эрмэлзсэн. Үзэл баримтлал боловсруулан хэрэгжүүлснээр манай цэцэрлэгт дараах өөрчлөлт гарч байна. Сургалтын орчинд: Бид хүүхэд тоглонгоо хөгжих орчинг бүрдүүлэхийг хичээсэн бөгөөд орчин нь аль болох тэдний нас, сэтгэхүй, хувийн онцлогт тохирсон “бодитоороо байх”, “бие даан үйлээ зохицуулах” боломжтой байхыг чухалчилсан. Сургалтын хөтөлбөрт: Хүүхдийн сонирхол, хөгжлийн хэрэгцээнд тулгуурлан сургалтын сэдвээ сонгодог болсон ба нэг сэдэв дээр ажиллах хугацаа 21-30 хоног үргэлжилнэ. "Хамтрагч хөгжвөл би хөгжинө, би хөгжвөл бид бүгд хөгжинө." Хүүхдээ хөгжүүль. Гэр бүлийг дэмжье. Багшаа хөгжүүлье. "Хамтрагч хөгжвөл би хөгжинө, би хөгжвөл бид бүгд хөгжинө." Хүүхдээ хөгжүүль. Гэр бүлийг дэмжье. Багшаа хөгжүүлье.
  • 44.
    СУРГУУЛИЙНӨМНӨХБОЛОВСРОЛЫНСУРГАЛТЫНЦӨМХӨТӨЛБӨР 86 87 ХҮҮХЭДБҮХЭНДЭЭ“БИЧАДНА“ГЭСЭНИТГЭЛӨГЬЕ! Үзэл баримтлалынхааонцлогийн дагуу сэдвийн эхэнд заавал зугаалга, аялал, экскурсийг зохион байгуулж, хүүхдийг бодит орчинтой танилцуулж байна. Хүүхэд бодит орчноос олж авсан ойлголт, төсөөллөө өөрийн чадлынхаа хэрээр урлан бүтээж, гарсан бүтээлийг сургалтын хэрэглэгдэхүүн болгон ашигладаг. Ингэж ажилласнаар хүүхдийн идэвх, сонирхол, бүтээлч байдал нэмэгдэж, хөдөлгөөн, хэл яриа, урлан бүтээх чадвар нь сайжирч байна. Зураг 21. Орхон аймгийн 10 цэцэрлэг, “Тагтаа хөөрхөн” аялал Хүүхдийн үнэлгээнд: Хүүхдийн хөгжлийн ахицыг бүтээлээр үнэлэх боломжийг хайсан бөгөөд бүтээлийг нь олон янзын арга, хувилбараар хийлгэж ирсэн. Ингэснээр эцэг эх, асран хамгаалагчид хүүхдийнхээ бүтээлтэй танилцаж, оролцоо сайжирч, бидний ажилд тусалъя гэсэн эерэг хандлага дээшилсэн. Багш, эцэг эх, хүүхдэд: • Цэцэрлэгийн багш, ажилтан бүгд хүүхдийн төлөө гэсэн нэгдмэл сэтгэлтэй болсон. (Өмнө нь зөвхөн багшийн үүрэг мэт ойлгодог байсан.) • Багш ажилчдын багаар ажиллах чадвар нэмэгдсэн ба ажлын төлөвлөлт болон дүгнэх үзүүлэлтэд үзэл баримтлалын санааг тусгаж өгснөөр бүтээлч хандлага нь өссөн. • Ажилтан бүр өөрийн ажил үүргийн дагуу “Хүүхдийн нүдээр харж” тэдэнд таатай орчин бүрдүүлэх, хөгжлийг нь дэмжинажиллахад хувь нэмрээ оруулдаг болсон. • Эцэг эх, асран хамгаалагчбүр хүүхдээ хөгжүүлэх, эрүүл, аюулгүй орчинг бүрдүүлэхэд анхаарч, тэднийг сонсох, хүндэтгэхэд ахиц гарч байна. • Бусад цэцэрлэгээс ялгагдах, сургалтын хөтөлбөрийг боловсруулан зохих орчныг бүрдүүлсэн. • Хүүхэд цэцэрлэгтээ ирэх дуртай, явахгүй гэж зүтгэдэг, мөн хүүхэд “тоглонгоо” суралцаж байгаа. • Эцэг эх, асран хамгаалагчийн сэтгэл ханамж нэмэгдэж, аль болох хүүхэд, багш, цэцэрлэгийг дэмжих хандлагатай болсон. Зураг 22. Орхон аймгийн 10 дугаар цэцэрлэг, Эцэг эхчүүдийн бүтээсэн машин Тулгарч байсан бэрхшээл, сургамж • Эрдэмтдийн онол, санааг зөвхөн 1 талаас нь авч үзсэнээр туйлшрах хандлага бий болж байсан. • Тогтсон үйл ажиллагаа, цагийн хуваарь, өдрийн дэглэмд өөрчлөлт оруулахад хугацаа их шаардагдсан. • Үзэл баримтлалынхаа мөн чанарыг ойлгохгүй бие биенээ даган дуурайх үзэгдэл их байсан. Тухайлбал, нэг багшийн хийсэн бүтээлийг шууд хуулбарлан хийх гэх мэт. • Ихэвчлэн гарын доорх материал, өөрсдийн нөөц бололцоог ашиглан орчныг бүрдүүлж байгаа учир чанарын шаардлага хангахгүй байхтохиолдол гарсаар байна. • Цэцэрлэгийн орчин, тоглоом, тоног төхөөрөмжийг сайжруулахад чиглэгдсэн төсөв хангалтгүй. Орхон аймгийн 10 дугаар цэцэрлэгийн эрхлэгч Т.Энхмаа
  • 45.
    СУРГУУЛИЙНӨМНӨХБОЛОВСРОЛЫНСУРГАЛТЫНЦӨМХӨТӨЛБӨР 88 89 ХҮҮХЭДБҮХЭНДЭЭ“БИЧАДНА“ГЭСЭНИТГЭЛӨГЬЕ! Нийслэлийн 101дүгээр цэцэрлэг Үзэл баримтлал боловсруулсан түүх, сургамж Бид эхлээд бага насны хүүхдийн хөгжил нь зөвхөн бүлгийн багш, туслах багшаас шалгаалах бус, тус цэцэрлэгт ажиллаж буй нийт хүмүүсийн хамтын үйл ажиллагаатай шууд холбоотой гэдэг дээр санал нэгдэж ойлголцсон. Ингээд цэцэрлэгийн багш, туслах багш, ажилтан нараас хүүхэд хөгжүүлэх үзэл баримтлалаа хэрхэн боловсруулах, үзэл баримтлал дотор юу юу багтах, хүн бүрийн ажлын үр дүнг хэрхэн үнэлэх талаар 3 баг бүрдүүлж, уншиж судлах, бичиж боловсруулах ажилд орсон. Мөн тус цэцэрлэгийн хүүхдийн 360 эцэг эх, асран хамгаалагчдаас “Хүүхдийн цэцэрлэг ямар өнгө төрх, үйл ажиллагаатай байх вэ?” гэсэн санал асуулга авахад дийлэнх нь “Тав тухтай, тайван амгалан, дулаан, өнгөлөг, хүүхдийг минь сайн хүн болгон өсгөн бойжуулахад их тустай байгаасай.” гэсэн санааг өгсөн байсан. Бид цэцэрлэгийнхээ үзэл баримтлалыг боловсруулахын тулд юуны өмнө бага насны хүүхдийн хөгжлийн талаарх эрдэмтэн, судлаачдын онол, үзэл санааг сайтар судлах шаардлагатайг анхаарч, уншин судлах, өөрсдөдөө чухал гэсэн санааг цуглуулах, харьцуулан жиших, ярилцлага, маргаан, мэтгэлцээн хийх ажлыг хийсэн. Ингээд хүүхдийг хөгжүүлэхэд чухал гэсэн асуудлууд дээрээ нийтээрээ тогтож боловсруулах ажилд орсон. Эхэндээ “Үзэл баримтлал” гэдэг нэр томьёо их том сонсогдож, хэрхэн хийх арга ухаанаа олохгүй, ер нь огт бүтэхгүй зүйл ч мэт санагдаж байсан. Заримдаа энэ нь хэнд ямар хэрэгтэй болох, ямар үр ашиг өгөх, бас л цаасан дээр бичсэн нэг тунхаглал байх вий гэсэн эргэлзээ төрж, нэлээдгүй бухимдаж, “зөв”, “буруу” байна, хийх, хийхгүй талаар маргаан мэтгэлцээн ч өрнөж байлаа. Ингээд юутай ч багуудын боловсруулсан санаануудыг нэгтгэн маш дэлгэрэнгүй тайлбар маягтай олон хуудастай бичиг баримтыг боловсруулсан. Түүнийгээ баг бүр тал бүрээс нь хэлэлцэн хянаж, дахин судалгаа хийсэн. Нэлээд орны цэцэрлэгийн үзэл баримтлалыг судалж, мөн хэвлэл мэдээлэлд байгаа зөвлөмж, аргачлал, материалуудаас уншиж ойлголтоо гүнзгийрүүлсэн. Ингээд сурган хүмүүжүүлэх үзэл баримтлалын ач холбогдол, үзүүлэх нөлөө маш өндөр байдаг тухай ойлголтыг авч эхний хувилбараа дахин засаж, хүүхэдтэй ажиллахад хамгийн чухал гэсэн зүйлсээ үлдээж, товчилж цэгцэлсэн. Ийнхүү асуудал нэлээд цэгцэрч, үзэл баримтлал боловсруулах ажил харин ч сонирхолтой, ажил хэрэгч, бодитой болж, олон багш ажилтны дуу хоолой, санал хүсэлт нэмэгдэж, чанаржиж ирсэн. Энд манай үзэл баримтлалд томьёологдсон багш нарын үйл ажиллагаанд чиглүүлэг өгч буй зарим санааг жишээ болгон авлаа. - Тус цэцэрлэгийн багш нар нь СӨНХ-ийн хөгжлийн гол хэрэгцээ болох тоглоомын үйл ажиллагаанд тулгуурласан хөгжүүлэх үйл ажиллагааг төгс явуулж, хүүхдийн хөгжлийн гол хөдөлгөгч хүч болсон сониуч гярхай, хөдөлгөөнт шинж чанарыг хөгжүүлэн ажиллана. - Багш нь хүүхэд нэг бүрийг судалж, хэнийг хэн болгохыг зорьж байгаагаа тодорхойлж ажиллана. (Хэн нь хэн бэ?, Хэн юуг сонирхож байна?, Хэнд ямар бололцоо байна вэ? Хэнийг юунд, яаж сургах вэ?) Зураг 23. Нийслэлийн 101 дүгээр цэцэрлэг, Бага бүлгийнхэн, Элсэн самбар - Багш нь хүүхэд нэг бүрийг судалж, хэнийг хэн болгохыг зорьж байгаагаа тодорхойлж ажиллана. (Хэн нь хэн бэ?, Хэн юуг сонирхож байна?, Хэнд ямар бололцоо байна вэ? Хэнийг юунд, яаж сургах вэ?) - Багш хүүхдийн хөгжлийн эрэлт хэрэгцээнд тохируулан хөгжүүлэх үйл ажиллагааны орчинг бүрдүүлж ажиллана. - Багш тухайн бүлэгт явагдаж байгаа үйл ажиллагааны эцсийн үр дүн нь хүүхдээс харагдаж байхаар төлөвлөж, тэднийг “үйлийн эзэн”, “идэвхтэй харилцагч” байхаар үйл ажиллагааг зохион байгуулдаг байна. Нийслэлийн 101 дүгээр цэцэрлэг, Хүүхдүүд биеийн тамирын өрөөнд - Багш хүүхдэд бусадтай харилцаж сурах өргөн боломж олгож, хүүхэд бүр үүргээ биелүүлэхэд нь урам зориг өгч, тусалж дэмждэг байна. - Багш нар хүүхдийн зан төрхөд гарч байгаа шинж тэмдэгт мэдрэмтгий байж, аливаа дарамтыг багасгах зохистой арга замыг мэддэг байна. Нийслэлийн 101 дүгээр цэцэрлэгийн эрхлэгч Ч.Баянцэцэг Нийслэлийн 115 дугаар цэцэрлэг Бид яамнаас,нийслэлээс,дүүргээс,бусад удирдах байгууллагуудаас ямар чиглэл өгөх бол,яаж шалгах бол,уралдаж тэмцэлдэхгүй бол ажлаа үнэлүүлж чадахгүй нь ээ гэж бусдад нийцүүлж ажиллахаа больсон.Яагаад гэвэл бид өөрийн байгууллагынхаа хаачих гээд байгаа,юунд зорьж тэмүүлээд байгаа,юуны төлөө хэрхэн ажиллахаа тодорхойлж,түүнийгээ шинжлэх ухааны үндэслэлтэй, бага насны хүүхдийг хөгжүүлж,төлөвшүүлэх чиглэлээр олон жил ажиллаж, судалсан эрдэмтдийн онол, сургаал дээр тулгуурлан цэцэрлэгийнхээ ”Хүүхэд хөгжүүлэх үзэл баримтлал”-ыг боловсруулж, хэрэгжүүлж байгаад учир нь байгаа юм. Өөрөөр хэлбэл, ”Дээшээ тэнгэр хол, доошоо газар хатуу”-гийн үлгэр бидний хувьд алга болсон. Бид (багш ажилтнууд, хүүхдүүд,эцэг эхчүүд) өөрийн гэсэн зорилго чиглэлдээ, хүрэх түвшин, хийх ажлаа, алсын ирээдүйгээ олж харсан. Түүндээ хүрэх арга замаа тодорхой болгож, түүнийхээ төлөө зорилго шулуудсан гэсэн үг. Манай улс өргөн уудам нутагтай, багийн, сумын, аймгийн төвийн, нийслэлийн төвийн, захын цэцэрлэг, сургууль бүр өөр өөр онцлог, нөхцөлтэй байдаг. Энэ тохиолдолд байгууллага бүр өөрсдийн онцлог, давуу тал дээрээ тулгуурлан хүүхдийг хөгжүүлэх арга замаа тодорхойлон хэрэгжүүлэх боломж олдсонд бид талархалтай байдаг.
  • 46.
    СУРГУУЛИЙНӨМНӨХБОЛОВСРОЛЫНСУРГАЛТЫНЦӨМХӨТӨЛБӨР 90 91 ХҮҮХЭДБҮХЭНДЭЭ“БИЧАДНА“ГЭСЭНИТГЭЛӨГЬЕ! Туршлага, сургамж Манайцэцэрлэг дараах үзэл санаа, онолд тулгуурлан үзэл баримтлалаа боловсруулсан.  Итали улсын Рижжио Эмила хотын цэцэрлэгүүдийн “Хүүхэд бол өөрийн гэсэн онцлог, уугуул шинж чанартай хамгийн үнэ цэнэтэй хүмүүн” гэсэн үзэл санаа.  Цэцэрлэг бол хүүхдэд  аливааг судлах, ургуулан асуулт тавих, хянан үзэх, суралцах сонирхол-баяр баясгаланг бий болгох талбар байх.  Багшийн үйл бүр хүүхэд ямагт өөрөө хийх, өөрөө туршлага хуримтлуулахыг нь дэмжсэн байна.  Хүүхэд юу хийхээ мэддэг байвал тэд хөдөлгөөнөө чөлөөтэй зохицуулах, тоглоомоо бие даан өөрөө зохион байгуулах боломжтой, хүүхдэд “Давталт” бол чухал. (Вальдорф)  Цэцэрлэгдэх өргөн хүрээтэй баялаг амьдрал нь хүүхдийг дэмжсэн суралцах талбар нь байна. Зураг 25. Нийслэлийн 115 дугаар цэцэрлэг, “Хүүхдүүдийн багштайгаа хамтран хийсэн сургалтын хэрэглэгдэхүүн” Ахиц өөрчлөлт - Хандлагаа өөрчилж, шинийг эрэлхийлдэг болсноор бичиг цаасанд дарагдах,худлаа цаас үйлдвэрлэхээс аяндаа холдож,хүүхэд бүртэй ажиллах арга зүй, орчин шинэчлэгдсэн. - Байгууллагын үзэл баримтлал, зорилгод нийцэж ажиллах, нэгэн зорилго чиглэлтэй байх талаарбагш, ажилтнуудын сэтгэлгээнд чанарын өөрчлөлт гарсан. - Байгууллагын үйл ажиллагаа тасралтгүй нээлттэй, хүртээмжтэй, ил тод, өргөн хүрээтэй болж, бусдад туршлагаа хуваалцах түвшинд хүрсэн. - Багш бүр сургалтын хөтөлбөртэй, бүлэг бүр өөр өөр өдрийн дэглэмтэй болсон. - Хүүхэд бүр цэцэрлэгтээ таатай, өөрийнхөөрөө байх сэтгэл зүй,материаллаг,үйлийн орчин бүрдсэн. Бэрхшээл, сургамж • Багш, ажилтнууд хандлагаа өөрчлөхөд хугацаа их зарцуулсан. • Эрдэмтдийн үзэл, онолыг өөрийн байгууллагын онцлог, нөхцөлтэй уялдуулж, холбоход цаг хугацаа, идэвх, санаачилга, бүтээлч байдал маш чухал нөлөөтэй юм билээ. • Бүх хүн (багш ажилтнууд, эцэг эхчүүд, хамтран ажилладаг байгууллагуудын ажилтнууд) хүүхдийн төлөө, байгууллагын хөгжлийн төлөө зүрх сэтгэлтэй, үнэнч, бие биедээ туслах эрмэлзлэлтэй байх нь чухал. Бид цэцэрлэгийнхээ өглөө бүрийг ШИНЭ, хүүхэд бүрийг БАЯР БАЯСГАЛАНТАЙ байлгахыг зорин ажиллаж байна. Нийслэлийн 115 дугаар цэцэрлэгийн эрхлэгч Б.Гэрэлцэцэг Дархан-Уул аймгийн 18 дугаар цэцэрлэг Үзэл баримтлал боловсруулсан түүх-сургамж Бид үзэл баримтлалаа боловсруулахын тулд эхлээд хүүхэд бүрээ таньж мэдэх зорилго тавьсны дээр эцэг эх, асран хамгаалагчдын хэрэгцээ сонирхлыг тандан судалсан. Үүний тулд “Аавуудын өдөр”, “Эмээ, өвөө нарын өдөр”-ийг зохион явуулж, тэд ангид нэг өдрийн туршбагштай хамтран ажиллаж, дараа нь ойр дотны яриа өрнүүлж, хүүхэд бүрийн онцлог, өдрийн үйл ажиллагаанд тэдхэрхэн оролцсон талаар санаа бодлоо солилцсон. Мөн багш бүр өөр өөрсдийн ангийн хүүхдийн ээж аав, эмээ өвөө нараас хүүхэдбүрийн талаар (юу хүсэж байдаг, юу ярьдаг, яаж тоглодог, идэж уух дуртай зүйл, юуг сонирхдог гэх мэт) асуултын аргаарсудалгаа авсан. Ийнхүүнийт 300 гаруй эцэг эх, эмээ өвөө нараас манай хамт олны үйл ажиллагаанд хэрэгжүүлэх, өөрчлөх шаардлагатай зүйлсийн талаар үнэ цэнэтэй саналууд гарсныг бид хэлэлцэн үзэл баримтлалдаа тусгасан. Жишээ нь: Цэцэрлэг өглөө 8.30-д хаалгаа барьж, түүнээс хойш ирсэн хүүхэд орж чаддаггүйгээсболж олон ээж аав бухимдаж, гомдолтой байдаг нь илэрхий болсон. Иймдбид эцэг эхчүүдтэйгээ ярилцаж тохироод өглөө 7.30-10.00 хүртэлх хугацаандхүүхдээ хүлээж авч байхаар шийдвэрлэсэн нь тэдний таашаалд нийцэж, сургалтын үйл ажиллагаанд эерэгээр нөлөөлөх болсон. “Хүүхдийг хөгжүүлэх үзэл баримтлал гэдэг нь тухайн цэцэрлэгийн хамт олон хүүхэдтэй ажиллахдаа хэрхэн хандаж, ямар боломж олгож, яаж ажиллавал тэд хамгийн сайн хөгжиж, төлөвших вэ? гэдэг дээр үзэл санаагаа нэгтгэн тогтож, түүнийгээ томьёолсон баримт бичиг” гэдгийг ойлгох нь хамгийн чухал. Эхний 3 сардаа бид хүүхэдтэй ажиллахдаа эрхэмлэх зүйлээ уриа лоозонгийн маягаар бичих, учраа олохгүй будилах зэрэг бэрхшээлүүд тулгарч байсан. Эрхэмлэх зүйл бол мэдээж шинжлэх ухааны үндэслэлтэй, амьдрал практик дээр үр дүн нь мэдрэгдсэн байх шаардлагатай. Бид өөрийн цэцэрлэгийн үзэл баримтлалаа бага насны хүүхдийг хөгжүүлж, төлөвшүүлэхтэй холбогдох эрдэмтдийн онолоос гадна үндэсний уламжлалт сурган хүмүүжүүлэх арга ухаанаас сургалтын арга зүйн санааг авч боловсруулсан. Эрдэмтэн бүрийн бага насны хүүхдийг хөгжүүлэх арга зүй, технологийг тухайн цэцэрлэгийн хамт олон, багш нар, эцэг эхчүүд олон дахин ярилцаж, чухал гэж үзсэнээ сонгож, түүнийгээ маш сайн ойлгон, хүлээн зөвшөөрсөн байж үзэл баримтлалдаа суулгасан. Багшийн хандлага өөрчлөлтийн тал дээр бид өмнө нь зөндөө л олон сургалтаас “Сайн багш”, “Хөгжсөн багш” гэж хэнийг хэлэх вэ? гэсэн чиглэлээр сонсож мэддэг хэдий ч энэ нь багш болгоны үйл ажиллагаанд хэрэгждэггүй байсан. Гэтэл өнөөдөр манай цэцэрлэгийн багш нарын хандлага өөрчлөгдсөннь багш нарын үйл ажиллагаа, эцэг эхчүүдээс авсан судалгаанаас харагдаж байгаа. Хүүхдэд гарч буй өөрчлөлт  Сургалтын материаллаг орчин, арга барилд өөрчлөлт хийгдсэнээр хүүхэд бүрийн хэрэгцээ сонирхол, хувийн онцлог нь илүү ажиглагддаг болсон.  Хүүхэд өөртөө итгэлтэй болж, аливаа юмыг бие даан хийх чадвар нь эрс сайжирсан.  Хүүхдүүд хамтарч тоглох явцдаа бие биенээсээ суралцаж, дүрд хувирч бодит амьдралыг дүрслэн үзүүлж, өөрийгөө илэрхийлж байна.  Хүүхэд цэцэрлэгтээ ирэх дуртай, орой гэртээ харихгүйгээр удаан хугацаагаар тоглох нь ажиглагддаг.  Сонирхолтой хөгжүүлэх төвүүдийг бий болгосноор хүүхдийн хэл яриа, сэтгэн бодох, өөртөө үйлчлэх, бие даах, бусадтай харилцах чадвар сайжирч байна. Зураг 26. Дархан-Уул аймгийн 18 дугаар цэцэрлэг, Хүүхдүүдийн тоглох үйл явц
  • 47.
    СУРГУУЛИЙНӨМНӨХБОЛОВСРОЛЫНСУРГАЛТЫНЦӨМХӨТӨЛБӨР 92 93 ХҮҮХЭДБҮХЭНДЭЭ“БИЧАДНА“ГЭСЭНИТГЭЛӨГЬЕ! Зарим сургамж  Багш, ажилтнуудад эхний ээлжинд “Чи чадна”, “Бид чадаж байна”, “Ахиад нэг үзье” гэх мэт дэмжлэг, урам их хэрэгтэй юм шиг санагдсан. Шинэ ажил тул ойлгохгүй шантрах, маргалдах, тээнэгэлзэх, хуулбарлах зүйл алхам тутамд таарч байсан.  Эхнээсээ үзэл баримтлалаа сайн гаргаж чадвал багш нар бие даан,бүтээлчээр мөн хамтран ажиллаж чаддаг.  Багш, ажилтнуудүйл ажиллагаагаа маш их томоор, хүндрүүлж бодож, хийдэг хандлагаа орхиж, хүүхдэд дарамтгүй, багшид ачаалалгүйгээр тоглох явцад нь хүүхдийг хөгжүүлэхэд анхаарах шаардлагатай.  Гэхдээ энэ бүх үйл ажиллагаанд цаг хугацаа бас шаардлагатай байдгийгойлгох, гэхдээ хэт удааширвал мартагдаж, хугацаа алдаж ажлын бүтээмж буурч мэднэ. Дархан-Уул аймгийн 18 дугаар цэцэрлэгийн эрхлэгч Ж.Дэжидмаа Баянхонгор аймгийн 4 дүгээр цэцэрлэг Бид хүүхдийг хөгжүүлж, төлөвшүүлэхдээ дараах 3 зүйлийг эрхэмлэн ажиллахаар хүүхэд бүрийг хөгжүүлж төлөвшүүлэхүзэл баримтлалдаа тусгасан. 1. Үлгэрлэх, дагуулах нь ардын уламжлалт арга  Хүүхэд орчныхоо юмс, үйл явдлыг тусган хүлээж авахаас гадна уур амьсгал, томчуудын дотоод хандлага, үзэл бодлыг тусган хүлээж авах, даган дуурайх чадвартай. (Рудольф Штайнер)  Монгол ардын тоглоом наадгай, аман зохиолоор дамжуулан хүүхдийг хөгжүүлнэ. 2. Эрүүл, баяр баясгалантай хүүхэд. Эрүүл амьдралын баяр баясгалантай хүүхдээс түүний ертөнцийг үзэх үзэл, оюуны хөгжил, өөрийнхөө хүч чадалд итгэх итгэл зэрэг бүх талын хөгжил хамаарна. (В.А.Сухомлинский) 3. Хүүхдүүд тоглонгоо суралцана. Тоглоом бол бага насны хүүхдийн мөн чанарт зохицсон сургах, хөгжүүлэх, төлөвшүүлэх хэрэгсэл.(Фриедрих Фребел) Үзэл баримтлалын боловсруулалт, хэрэгжүүлэлт Үзэл баримтлал боловсруулахдаа бид эхлээд өөрийн байгууллагын нөхцөл байдалд дүн шинжилгээ хийсний зэрэгцээ хүүхдийг хөгжүүлж, төлөвшүүлж ирсэн ардын сурган хүмүүжүүлэх ухаан, арга барил, эрдэмтдийн сурган хүмүүжүүлэх онолоос судалсан. Саналын хуудас аялуулсан. Энд хүн бүхэн өөрсдийн санаа бодлоо нэмэрлэсэн. Манай цэцэрлэг хүүхэдтэй ажиллахдаа чухам ямар үзэл санаа, юуг чухалчлан үзэх вэ? гэдэг дээр багш, ажилтнууд хэд хэдэн удаа хэлэлцүүлэг хийсэн. Ингээдхүүхдийн бие, сэтгэлийн эрүүл мэндийг эрхэмлэн хүүхэдтэй ажиллахдаа үлгэрлэн дагуулах ардын уламжлалт арга, тоглоом (түүн дотроо ардын тоглоом наадам)-ын аргыг чухалчлан ажиллавал хүүхэд бүрийг боломжит дээд хурдаар нь хөгжүүлж болно гэж үзэж тогтсон. Үзэлбаримтлалаахэрэгжүүлэхийнтулдэхлээддээрх3чиглэлээрорчнообүрдүүлэхшаардлага тулгарсан. Багш ажилчид дөрвөн багт хуваагдаж бүтээлч ажлын аян өрнүүлж ажилласан. Эхлээд хөрөнгө мөнгө, хүн хүчний асуудал тулгарч байсан. Үзэл баримтлалаа эцэг эхэд танилцуулахад тэд дэмжиж, оролцоо нь нэмэгдэж эхэлсэн. Багш ажилчид өөрсдийн нөөц боломжоо дайчилсан. Боловсролын газраас аймгийн удирдлагуудад хандаж, Иргэдийн Төлөөлөөгчдийн хуралд асуудал оруулсны дүнд“ Аймаг хөгжүүлэх сан”-гаас манай цэцэрлэгт 7.0 сая төгрөгийн дэмжлэг үзүүлсэн нь орчноо бүрдүүлэхэд дорвитой хувь нэмэр болсон. Мөн сум хөгжүүлэх сан, цэцэрлэгийн зөвлөл, багш, ажилтнууд өөрсдийн дэмжлэг туслалцаа үзүүлсэн. Энд үзэл баримтлалын маань нэг чухал хэсэг болсон хүүхдийн тоглоом наадамтай холбогдох хэсгийг тодрууллаа. Хамгийн эхний ажил “Монгол наадгай”-н өргөөг тохижуулан тоглоом наадгайг хүүхдэд сонголттой, хүртээмжтэйгээр бүрдүүлж, баяжуулж эхэлсэн.Бүлэг бүр монгол наадгайн төвийг байгуулж түүнийгээ хүүхдийн насны онцлогт тохирсон сургалтын хэрэглэгдэхүүнээр баяжуулан тэдгээрийг хэрэглэх арга аргачлал боловсруулан хэрэгжүүлсэн. Монгол тоглоом наадгайгаар зөвхөнхүүхдийг хөгжүүлнэ гэж өрөөсгөл хандалгүй сэтгэхүй хөгжүүлэх, өрж байгуулах, сэдэвт тоглоомоор сургалтын орчноо ч баяжуулж бүрдүүлсэн. Багш, ажилтан бүр дунд, ахлах, бэлтгэл бүлгийн хүүхдүүдийг хуваарилж нэг хүн 7-8 хүүхэдтэй ганцаарчлан ажиллаж, уламжлалт тоглоом наадгайгаар хамтран тоглодог болсон. Үйл ажиллагаа, хүүхдэд гарсан өөрчлөлт “Сургуулийн өмнөх боловсролын сургалтын талаар баримтлах бодлого” (2013 он)-ын дагуу хүүхэдтэй ажиллах нийт хугацааг хөгжүүлэх цаг болгосноор тэд чөлөөтэй тоглож, сэтгэж байгаагаас гадна хамтран тоглох, баг бүрдүүлэх талаар нэлээд ахицтай байна. Хүүхдүүд илүү нээлттэй, идэвхтэй болсон. Танин мэдэхүйн үйл ажиллагаанд сонирхлоороо оролцдог болсон.Монгол наадгай, оньсон тоглоомуудыг бие даан маш сайн тоглож чаддаг болж байна. Хүүхэд өөрсдийн сонирхолтой зүйлийг хийдэг болсноор идэвх оролцоо нь нэмэгдсэн. Найз нөхдөдөө туслах, багштай болон бусад хүмүүстэй мэндлэх, талархах, уйчлал гуйх зэрэг харилцааны чадвар, эв дүйд өөрчлөлт гарч байна. Зураг 27. Баянхонгор аймгийн 4 дүгээр цэцэрлэг, Хүүхдүүд “Монгол наадгай”-н өргөөнд Хүүхэд хүүхдээсээ суралцах арга амжилттай хэрэгжиж байна. Монгол тоглоом наадгайгаар тоглосноор хүртэхүй, сэтгэхүй, анхаарал, ой тогтоолт, зохион бодохуй, хэл яриа нь хөгжиж байгаа. Зааврын дагуу хамтарч ажиллах чадвар төлөвшсөн. Хэд хэдэн тоглоомоор олон үйлдэл хийж тоглодог болсон. Ажиглах, турших, юманд нухацтай хандах чадвар нь нэмэгдсэн. Тоглоомын дарааллыг тогтоож  нүдэлдэг болсон. Математик сэтгэлгээ нь чхөгжиж байна. Дүрэм зааврыг ойлгож тоглодог болсон.Тоглоомыг хайрцаг тавиур саванд хийж хураах, ээлжээ хүлээж тоглох зэргээр хариуцлага нь нэмэгдсэн. Өөртөөитгэдэг, өөрийгөө үнэлэх чадвартай болсон.Хамтарч тоглох, багийн үйл ажиллагаанд оролцох оролцоо нэмэгдсэн. Уламжлалт соёл, зан заншлаас суралцаж байгаа. Аливаа ажил үйл, даалгаврыг бүрэн гүйцэтгэлтэй хийж чаддаг болсон. Насанд хүрэгчидтэй аль ч нөхцөлд хамтран тоглодог болсон. Манай цэцэрлэгийн үзэл баримтлал бүрэн дүүрэн, сайн болсон гэж бид үзэхгүй. Иймд улам боловсронгуй болгохоор ажиллаж байна. Баянхонгор аймгийн 4 дүгээр цэцэрлэгийн эрхлэгч Д.Мөнхзул
  • 48.
    СУРГУУЛИЙНӨМНӨХБОЛОВСРОЛЫНСУРГАЛТЫНЦӨМХӨТӨЛБӨР 94 95 ХҮҮХЭДБҮХЭНДЭЭ“БИЧАДНА“ГЭСЭНИТГЭЛӨГЬЕ! 2.3 Хүүхдийнхөгжлийн онцлог Цэцэрлэгийн удирдлага, багш нарын Сургуулийн өмнөх боловсролын цөм хөтөлбөрийг хэрэгжүүлэхдээ баримтлах нэг зарчим бол “Хүүхдийн нас, сэтгэхүй, хөгжлийн онцлогт нийцэх”. Сургуулийн өмнөх насны хүүхдийн хөгжлийн нийтлэг онцлогийг нас тус бүрээр дараах хүснэгтэд харууллаа. Та хүүхдийнхээ онцлог болон дотоод ертөнц рүү хэдий чинээ сайн нэвтрэн орж чадна, төдий чинээгээр хүүхэд бүрийн хөгжлийг үр дүнтэйгээр залж чадна. Нас Хөгжлийн онцлог 3 хүртэл  Өнхрөх, мөлхөх, авирах, алхах, гүйх, үсрэх зэргээр нэг газраас нөгөө газарт хүрч чадна.  Налуу замаар хурдан явна.  Хөлөө нэг нэгээр нь зөөж шатаар дээш, доош алхана.  Намхан саад бартааны дээгүүр, доогуур нь гарна.  Харайхдаа нэг хөл дээрээ тулах ёстойг ойлгож эхэлнэ.  Том бөмбөгийг өшиглөнө, өнхөрч буй бөмбөгийг барьж авна.  Шидсэн бөмбөгийг барьж авахыг оролдоно.  Бөмбөгийг бага хүчээр ямар ч чиглэлд шиднэ.  Хаалганы дугуй бариулыг эргүүлнэ.  Бие даан хоолоо халбагаар иднэ.  Ямар нэг зүйлийн хальсыг арилгана, гаднах уут боолтыг тайлна.  Том шүрийг хэлхэнэ.  Хувцаслах болон хувцсаа тайлах зэрэгт оролцоно.  Өдөр тутам хэрэглэгддэг, нийтлэг 500-700 түүнээс дээш үгсийг ойлгоно.  “Яагаад?”, “Юу?”, “Яаж?” зэрэг асуулт асууна.  Ном уншиж өгөхөд дуртай, өөрийн таньдаг номоо хараад уншиж байгаа мэт дүр үзүүлнэ.  Ойр дотны хүмүүсээ таньж, нэрийг нь мэддэг болно.  Гэр орны эд хогшлыг нэрлэх чадвартай болж, байгалийн энгийн үзэгдлийг ажиглан бороо орох, нар гарах, шөнө болохыг мэдэрнэ.  Мэдрэхүй болон хөдөлгөөнийхөө тусламжтайгаар мэдээллийг хуримтлуулж чадна.  Гомдсон, уйлж буй найзаа энхрийлж тайвшруулахыг эрмэлзэнэ.  Нэг төрлийн үйлдлийг олон удаа давтан хийнэ.  Олон, цөөн гэсэн үгсийн утгыг ойлгож эхэлнэ.  Юмс янз бүрийн хэлбэртэй байдгийг мэднэ.  Жигд зураасаар сараачна, дан өнгөөр зурна, зурагт нь дүрс зонхилно.  Хайчлах үйл хийхийг оролдоно, цаасанд цавуу түрхэж наадгийг мэднэ.  Баримлыг алганыхаа хонхорт бөөрөнхийлөх, цувих, сунгах, хавтгайлах үйлийг хийж чадна.  Өөрийн сайн мэддэг зүйлийг өрж байгуулан, юутай төстэйг хэлнэ.  Хөгжим сонсоод мэдрэмжээ илэрхийлнэ. (Биеэрээ найгах, алга таших гэх мэтээр)  Насанд хүрэгчдийн дуурайн дагаж дуулна.  Алга таших, дороо дэвсэх,тойрог болох зэрэг энгийн хөдөлгөөн хийнэ. 4 хүртэл  Гүйх, авирах зэргээр булчингийн ажиллагаа шаардсан хөдөлгөөн хийнэ.  Гурван дугуйтай дугуйг унана, савлуурыг түлхэж чадна.  Том хэмжээтэй бөмбөгийг барьж авна.  Ухарч алхана, хурдтайгаар уралдана.  Үсрээд хоёр хөл дээрээ буухдаа тэнцвэрээ сайн хадгалж чадахгүй.  Нэг хөл дээрээ тогтвортой зогсож чадахгүй.  Бөмбөгийг шидэх, барьж авах, өшиглөх үйл хийнэ.  Өшиглөсөн бөмбөг нь 2 метр орчим зайд холдоно. Ахин түүнийхээ араас гүйгээд өшиглөж тоглоно.  Талхан дээр мохоо хутгаар зөөлөн маслыг түрхэнэ, бага зэрэг асгаж шингэн зүйлийг савлана.  Хувцсаа тайлна, бусдын тусламжтай өмсөнө.  Энгийн хялбар тоглоомыг эвлүүлнэ.  Гар нь амархан цуцна.  Санаа бодлоо үг яриагаар илэрхийлнэ, бусдын яриаг ойлгож харилцана.  Үлгэр, дуу, шүлэг сонсож, ойлгоно.  1000 түүнээс олон үг ойлгоно.  Төлөөний үг, нэр, үйл үг ба тооны нэр, асуух, байрлал заасан, сэтгэл хөдлөл илэрхийлсэн үгсээр үгийн сан нь нэмэгдэнэ.  Олон үйлдэлтэй даалгаврыг дэс дараагаар нь ойлгож гүйцэтгэнэ. (Жишээ нь: Хувцсаа тайлж өлгүүрт өлгөсний хивсэн дээр суугаад тойргийн цагтаа бэлдээрэй гэх мэт)  Тайлбарлахтай зэрэгцэн үйлдлийг гүйцэтгүүлбэл сайн ойлгоно. (Жишээ нь: Жижиг аягатай арвай будааг асгахгүйгээр том аяга руу хийгээрэй)  Дуу хоолойны өнгөөр уншиж, ярьж буй зүйлийг ойлгож ялгана.  Тоглоомтойгоо ярих нь түгээмэл ажиглагдана.  Заримдаа худлаа ярина.  Тодорхой нэг санааг олтлоо асуудалд хариу хайна, ажиглалт, туршилтынхаа талаар ярина.  Амьтан, ургамлын онцлогийг ялгана.  Амьд зүйлсэд хэрэгцээ шаардлага байдаг талаар ойлголттой болно.  Орчиндоо байгаа зүйлийг сонирхохын зэрэгцээ учир шалтгааныг нь олох гэж эрмэлзэнэ.  Хүмүүс дулааны улиралд хөнгөхөн, хүйтний улиралд дулаан хувцас өмсдөгийг мэднэ.  Ойр орчных нь хүмүүс ямар ажил хөдөлмөр хийдгийг мэднэ.  Цэвэрч байхыг эрмэлзэнэ, эмх цэгцтэй байдалд суралцаж эхэлнэ.  Урт богино, өндөр нам гэх мэт үгсийгойлгоно, жишиж ялгааг хэлнэ.  Олон юмнаас нэгийг ялгана, юмсыг нэг нэгээр нийлүүлж олон болгоно.  Тоглоом ба юмсыг хэлбэрээр нь танина, дугуй, дөрвөлжин, гурвалжин дүрсийг харьцуулна.  Юмсыг адил ба ялгаатай талаар нь бүлэглэнэ.  Цаасны голд, захад, доор, хол, ойр зэрэг орон зай заасан үгийг мэднэ.  Одоо,дараагэсэнцагхугацаагилэрхийлсэнүгсийнутгыгмэднэ.Бусдынтусламжтайгаар цаг хугацааг илэрхийлсэн үгсийг яриандаа хэрэглэнэ.  Гарын хөдөлгөөний хурд, уян хатан чанар нэмэгдэнэ, дүрслэх чадвар сайжирна.  Толгой, их биеэс бүрдсэн хүн зурна.  Зурагтаа 4-5 өнгийг хэрэглэнэ, чухал гэж мэдэрсэн зүйлээ орхигдуулалгүй зурна. (Жишээ нь: Хүн зурахдаа хүйсний нүхийг зурах)  Зурж дүрслэх материалыг хэрэглэх чадвар нь дутмаг байна.  Гарын эвсэл сайжирч, хайчаар хайчилна, дагуулж хийхэд 4-5 нугалаасыг төвөггүй эвхэнэ.  Юмсын хэсгүүдийн хэлбэр, харьцааг тохируулан дүрсэлнэ.  Шаврыг тэнцүү хувааж тасална, шавна, хийх зүйлд тохируулан өнгө сонгоно, сэдвийг нэмж баяжуулна.  Барьж бүтээсэн зүйлээ тайлбарлан үзүүлнэ.  Дүрсийг оновчтой сонгож өрж байгуулна.  Хөгжмийн өнгө, аясыг ялгана, илэрхийлнэ. (Сэргэлэн цовоо, намуун тайван)  Сонорын мэдрэхүйн хувийн ялгаа энэ насанд хурц тод илэрнэ.  Хөгжмийн хэмнэлийг мэдэрнэ, илэрхийлнэ.  Хөгжмийн зэмсгийг сонирхоно, тоглохыг оролдоно.  Кварт квинтын цараанд 3-4 үетэй үгийг хурдавтар дуулна. Тэд энэ цараанаас хальж дуулах боловч ашигтай цараа нь кварт квинт байна.  Бүжгийн энгийн хөдөлгөөн(биеэр найгах, хөлөөр товших гэх мэт)-ийг эзэмшиж эхэлнэ.
  • 49.
    СУРГУУЛИЙНӨМНӨХБОЛОВСРОЛЫНСУРГАЛТЫНЦӨМХӨТӨЛБӨР 96 97 ХҮҮХЭДБҮХЭНДЭЭ“БИЧАДНА“ГЭСЭНИТГЭЛӨГЬЕ! 5 хүртэл  Алхах,авирах, үсрэх, харайх, гүйх, гулгах зэрэг хөдөлгөөнийг чадварлаг гүйцэтгэнэ, тэнцвэрээ хадгална.  Бөмбөгийг шидэж, барьж, өшиглөж, залж чадна.  Том бөмбөгийг ойлгож, мөн барьж авна.  Нэг хөл дээрээ 5 болон түүнээс дээш секунд тогтож чадна.  Намхан бөгөөд 10 орчим см өргөнтэй дамнуурган дээр алхаж явж чадах ч нарийхан дамнуурга дээр хөлөө харалгүйгээр явж чадахгүй.  Эвлүүлдэг тоглоомоор тоглоно, мөн хүүхэлдэйнд хувцас өмсгөх, тайлах зэргийг бусдын тусламжгүйгээр гүйцэтгэж чадна.  Тоглоомыг жижиг нүхэнд хийх, багаж ашиглах (алх, боолтын түлхүүр гэх мэт), жижиг саванд элс, шингэн зүйлсийг хийх зэрэг үйлдэл гүйцэтгэж чадна.  Хүний туслалцаагүйгээр хувцсаа өмсөнө. Гутлаа үддэг ч уяж чадахгүй.  Үсээ самнана.  Цэвэр хооллоно, хоол идэхээсээ өмнө болон бие зассаны дараа гараа угааж, хатаана.  Эрүүл мэндийн болон аюулгүйн дүрэм (галын, замын хөдөлгөөний )-ийг баримтлах ёстойг мэднэ.  Хэл ярианы чадвар эрс нэмэгдэж, нийлмэл өгүүлбэрээр ярина.  Өөрөө харилцан яриа эхлүүлнэ, хувийн туршлагаа хуваалцах чадвартай болно.  Өдөрт дунджаар 2-4 шинэ үг мэдэх ба үгийн нөөц 2500-3000, түүнээс дээш байна.  Цаг хугацааг илэрхийлсэн үгсийг ойлгож эхэлнэ.  Харилцан ярианд түгээмэл хэрэглэгддэг сэтгэл санааны байдлыг илэрхийлсэн үгсийг сайн ойлгоно.  Номыг зөв барьж, зургаар нь утгыг ойлгоно.  Олон төрлийн ном сонирхож эхэлнэ.  Тоо, үсэгний ялгааг мэднэ.  Үгийн эхний авиаг ялгаж чадна.  Хүрээлэн буй орчиндоо байгаа материаллаг эд зүйлсийн шинж чанарын ялгааг мэднэ.  Хийх зүйлээ урьдчилан төлөвлөнө.  Ажигласан зүйлийнхээ тодорхой шинж чанарыг тайлбарлаж чадна.  Амьтдын хөдөлгөөнийг сонирхоно, ажигласнаа тайлбарлаж ярина.  Орчин тойрондоо ургадаг цэцэг, ургамлыг нэрлэх ба хэд хэдэн модыг навчны хэлбэрээр нь ялгаж нэрлэнэ.  Жилийн дөрвөн улиралд гарч байгаа байгалийн өөрчлөлтийг ажиглаж харьцуулна.  Хүний хэрэглэдэг гэр, цэцэрлэг дэх юмсыг зарим шинж чанар, хэрэглээгээр нь ялгана.  Хүмүүстэй элэгсэг мэндэлнэ, хүндэлнэ, талархлаа илэрхийлнэ.  Гэр орон, ангийнхаа дүрэм журам, дэглэмийг сахина.  2 бүлэг юмсыг тоогоор нь жишихдээ тооны нэрийг дэс дараагаар нь нэрлэнэ.  Орчиндоо байгаа 3-5 юмсын тэнцүү ба тэнцүү бишийг тогтооно, их, бага, тэнцүү, тэнцүү биш гэх мэт үгсийг яриандаа хэрэглэнэ.  2 бүлэг юмсыг харьцуулан, шинэ тоотой танилцана.  5 хүртэл бодит юмсыг зааж, тооны нэрийг чанга хэлж тоолно.  Урт богино, өндөр нам, өргөн нарийн, бүдүүн нарийн юмсыг хэмжээгээр нь харьцуулан, үгээр илэрхийлнэ.  Харааны тусламжтайгаар юмсын хэмжээг бүхэлд нь хүртэнэ.  Геометрийн дүрсүүдийг мэднэ, нэрлэнэ.  Өөрийн байрлалаас бусад юмсын байрлалыг тодорхойлно, байрлал заасан үгийг яриандаа хэрэглэнэ.  Энгийн үйл явдлыг багцаалж ярихаас гадна цаг хугацаа илэрхийлсэн үг хэллэгийг хэрэглэнэ. Хоногийн хэсгийн тухай мэднэ.  Зурах сэдвийн хүрээ өргөжнө, аажмаар өөрийн сонирхсон үлгэр, зохиол, адал явдал, хүрээлэн байгаа орчноо тухай санаачилгаараа зурж илэрхийлнэ.  Олон өнгө хэрэглэнэ.  Эд юмсыг өнгө, дүрс, хэлбэр, хэмжээ, хөдөлгөөнөөр нь илэрхийлэн наана.  Дүрийн тухай ойлголттой болсон байдаг тул аливаа амьтны дүр төрх, зан араншинг харуулсан зохиомж хийж чадна.  Бодит зүйл, хүн, амьтны онцлог, үлгэрийн үйл явдлыг дүрслэн барина.  Бүтээлээ байгалийн болон гарын доорх материал ашиглан баяжуулна.  Загвар, зааврын дагуу бие даан сэтгэж өрж байгуулна, угсарч эвлүүлэх тоглоомоор бүтээл хийнэ.  Өнгийн цаасаар 5-6 эвхэлтээр амьтан, эд зүйлс эвхэнэ.  Хөгжмийн хэмнэл, аялгууны удаан түргэн, чанга сулыг ялгана, илэрхийлнэ.  Ямар хөгжмийн зэмсгээр тоглож байгааг нэрлэнэ.  Хөгжимд хоолойныхоо өнгийг тохируулан дуулна.  Хоолойн цараа Ре1 – Си1 байна.  Хөдөлгөөний эвсэл нь сайжирна. 6 хүртэл  Байнгын энерги, эрч хүчтэй байх ба барагтай л ядарч сульдахгүй.  Идэвхгүй байхыг үл тэвчиж, байнгын идэвхтэй хөдөлгөөнтэй байна.  Ухарч хурдан алхана.  Нэг хөл дээрээ үсэрнэ.  8-10 сек-ийн турш тэнцвэрээ хадгалж чадна.  Ямар нэг зүйл дээрээс үсэрч буухдаа тэнцвэрээ хадгална.  10 см өргөнтэй дамнуурга дээр явна.  2 дугуйтай дугуй унана.  Үсэрч эргэлдэх,гүйх явцдаа бөмбөг өшиглөх зэрэг хөдөлгөөнийг гүйцэтгэж чадна.  Жижиг бөмбөгийг шидээд мөн газар ойлгоод барьж авч чадна.  4 метрийн зайд байг ононо.  Зарим үед хэтэрхий өөртөө итгэлтэй байх ч, хэм хэмжээ, дүрмийг баримтална.  Дээсэнд үсрэх ба түүнийг илүү олон удаа гүйцэтгэж чадна.  Хувцсаа хурдан өмсөнө, хүрмээ цахилгаандаж, товчоо чадварлагаар товчилж, тайлах ба мөн үдээсээ үднэ.  Эрүүл мэндийн болон аюулгүй байдлын дүрмүүдийг мөрдөнө.  Үгийг цэвэр дуудна, үгсийн нөөц 4000-5000 орчим байна.  Харилцан яриаг эхлүүлэх сонирхолтой байна.  Бусадтай ярилцахдаа өөрийн ээлжээ хүлээнэ, санаа бодлоо хуваалцах чадвартай болно.  Үлгэр зохиолын талаар бусдад ярина, мөн өөрт тохиолдсон зүйлээ чөлөөтэй илэрхийлнэ, зарим хэлц үгийг ойлгоно.  Олон үе шаттай даалгаврыг сонсоод ойлгоно, гүйцэтгэнэ.  Дуу хоолойны өнгө, ярианы хурд зэргээ ярих гэж буй зүйлдээ тохируулан өөрчилнө.  Хэмжих багажийг ашиглан хэмжиж чадах ба энгийн туршилтуудыг бие даан хийнэ.  Мэдээллийг дамжуулна, асуулт асууна, тайлбарлана.  Цэцэрлэг, гэрийнхээ орчин, гудамж талбайн нэр хаяг, байршлыг сайн мэднэ, замын хөдөлгөөний дүрмийг ойлгоно.  Ахмад хүмүүсийн ажил хөдөлмөр, хийж буй үйлийг сонирхоно, хүндэтгэнэ.  Гэр ахуйн янз бүрийн хөдөлмөр, багаж хэрэгслийг мэднэ, заримыг нь хэрэглэнэ.  Жилийн дөрвөн улирлын тухай мэдлэг, туршлага нь өргөжиж, харьцуулан ярина.  Байгалийн гоо сайхныг таашаана, сонирхоно.  Тодорхой юмсаас бүтсэн 2 бүлэг юмсыг харьцуулах замаар эхний аравтын дотор тоолно.  2 бүлэг юмсыг харьцуулж, дараагийн шинэ тоотой танилцана.  Дэс дараагаар нь чимээгүй тоолдог болно. Тухайн тооны өмнөх ба дараагийн тоог хэлнэ.  Гурав, дөрөв, цаашилбал таван юмсыг хэмжээгээр нь харьцуулж, өгсөх буурах дарааллаар байрлуулна. Мөн төрөл бүрийн хэмжүүрийн хэрэгслээр юмсыг хэмждэгийг мэднэ, хэмжинэ.  Орчиндоо байгаа юмсыг геометрийн дүрстэй харьцуулан хэлбэрийг нь тогтооно.  Орон зай, зүг чигийг ялгана, юмсын байрлалыг өөрийн байрлалаас тодорхойлно.  Одоо цагийг өнөөдөр, өнгөрсөн цагийг өчигдөр, болоогүй, ирээдүй цагийг маргааш гэдэг болохыг ойлгож эхэлнэ.  Зурсан зургийн бүтсэн хэсгүүд нь тодорхой харьцаатай болно.  Өнгө ялгаж зурах дуртай, бусдын туслалцаагүй өнгийг тохируулж сонгож будна.  Зурсан зургаа тайлбарлахдаа зохиож ярина.  Үлгэр, киноны баатрыг зурах нь элбэг.  Хүрээлэн байгаа юмсын онцлог шинжийг тодруулан гаргана.  Барьж бүтээх зүйлээ төлөвлөнө, хүн, амьтны хөдөлгөөнийг дүрслэхийг оролдоно.  Жижиг хэсгийг тусад нь хийгээд холбоно, чимэглэлийг төвөггүй хийнэ.  Баримлаар барихдаа өнгийн шаврыг холихгүй байхыг мэднэ.  Эвхэх, угсрах, эвлүүлэх, өрж байгуулах тоглоомоор тоглох дуртай.  Бие даан сэдвийн дагуу бүтээл хийнэ.  Утас, сүрэл, цаасаар энгийн сүлжээс хийнэ.  Хөгжим, дуу сонсоод, аялгууг нь тодорхойлон хэлнэ.(Уйтгартай, хөгжилтэй гэх мэт.)  Хөгжмийн ая сонсоод төрсөн сэтгэгдлээ илэрхийлнэ.  Хүүхдийн хоолойн аппарат бэхжинэ, багтаамж нь мэдэгдэхүйц ихэснэ, чанга цангинам болно. Эрэгтэй эмэгтэй гэсэн ялгаа байхгүй.  Дуу, бүжиг, хөгжмийн хамтлагийн идэвхтэй оролцогч болно.
  • 50.
    СУРГУУЛИЙНӨМНӨХБОЛОВСРОЛЫНСУРГАЛТЫНЦӨМХӨТӨЛБӨР 98 99 ХҮҮХЭДБҮХЭНДЭЭ“БИЧАДНА“ГЭСЭНИТГЭЛӨГЬЕ! 2.4 цэцэрлэгийнсургалтын хөтөлбөр боловсруулах, хэрэгжүүлэх алхмууд Сургуулийн өмнөх боловсролын сургалтын цөм хөтөлбөрийг цэцэрлэгүүд өөрсдийн сургалтын хөтөлбөрөөр хэрэгжүүлнэ. Хүүхдийн суралцах зүйлийн агуулга, хөтөлбөрийн зорилгод хүүхэд хэрхэн хүрэх үйл явц, зорилгод хүрэхэд багш хүүхдэд хэрхэн туслахыг багтаасан зохион байгуулалттай үйл ажиллагааны хүрээ(H.Burton) хэмээн сургалтын хөтөлбөрийг тодорхойлжээ. Багш нар сургалтын хөтөлбөрөө дараах алхмаар боловсруулж, хэрэгжүүлэхийг санал болгож байна. 1 дүгээр алхам:Судлах Сургалтын цөм хөтөлбөрийн Ерөнхий зүйл Сургалтын цөм хөтөлбөрийн зорилго, зорилт Хүүхдийн эзэмших ерөнхий ба тусгай чадвар (агуулга) Сургалтын чиглэл бүрээр хүрэх түвшин Тусгай чадваруудын I, II, III түвшин Хүүхдээ судлах (Тухайн цэцэрлэгбүлгийн хүүхдийн хөгжил, онцлог) 2 дугаар алхам: Боловсруулах Хичээлийн жилийн зорилго Сэдэв Агуулгын задаргаа (Сургалтын чиглэлүүдээр) Сэдвийн зорилго (мэдлэг, чадвар, төлөвшил) Үйл ажиллагааны төлөвлөгөө (Календарьчилсан: сэдэв, зохион байгуулалтын хэлбэр) Үйл ажиллагаа бүрийн боловсруулалт (зорилго, хэрэглэгдэхүүн, аргачлал/ технологи) 3 дугаар алхам: Хэрэгжүүлэх Өдөр тутам төлөвлөсөн үйл ажиллагаануудаа явуулна. 4 дүгээр алхам: Үнэлэх Тухайн сэдвийн хүрээнд явуулсан үйл ажиллагааны үр дүнг үнэлнэ. • Хүүхдийн сонирхол, оролцоо ямар байсан • Сэдвийн зорилго хэрхэн биелэгдсэн • Сэдвийн боловсруулалтдаа цаашид засан сайжруулах зүйлс Хүүхэд бүрийн хөгжлийн ахицын үнэлгээ • Чөлөөт ажиглалт (Байнга) • Хувийн хавтас (Байнга) • Нарийвчилсан бүтэцтэй ажиглалт (Жилд 2 удаа) 2.5 Сэдвийн зорилго, агуулга, арга зүйд тавигдах шаардлага Сэдэвт юу юу хамрагдах вэ? o Зорилго (зорилт) o Агуулга o Арга зүй o Орчин, хэрэглэгдэхүүн o Үнэлгээ Сэдвийг хаанаас сонгох вэ? o Хүүхдээс ирж буй сигналь-дохио o Цаг үеийн үйл явдал(баяр ёслол гэх мэт) o Гэр бүл, цэцэрлэгийн өдөр тутмын амьдрал o Улирлын онцлог o Сургалтын цөм хөтөлбөрийн агуулга (чадварууд) o Орон нутгийн онцлог гэх мэт. Сэдэв ямар ач холбогдолтой вэ? o Агуулгыг интеграцчилах o Хүүхдийн сонирхлыг татах, сэтгэл хөдлөлд нөлөөлөх o Онцлог орчин бүрдүүлэх Сэдэв ямар шаардлага хангасан байх вэ? o Хүүхдэд ойр, хүүхдийн нүдэнд харагдахуйц o Хүүхдэд сонирхолтой, ойлгомжтой o Хүүхдийн өдөр тутмын амьдралтай холбоотой - Тохиромжтой сэдэв, Жишээлбэл: o Ном o Бөмбөг o Ус гэх мэт. - Тохиромжгүй сэдэв, Жишээлбэл: o Ёс заншил o Ургамал o Билэгдэл гэх мэт. Зорилго ямар шаардлага хангасан байх вэ? o Биелэгдсэн эсэх нь хэмжигдэхээр тодорхой o Хүүхдийн бүх талын хөгжлийг хамарсан o Хүүхдийн хөгжлийн түвшний онцлогт тохирсон o Хүүхдийн мэддэг,чаддаг зүйл дээр тулгуурласан Суралцахуйн чиглэл тус бүрээр хүүхдийн эзэмших тусгай чадварыг хүүхэд бүр сургуулийн өмнөх нийт насандаа эзэмшинэ. Иймд сэдвийн зорилгод цөм хөтөлбөрийн тусгай чадварууд (Жишээлбэл, Гар хурууны хөдөлгөөнөө зохицуулах, Зураг, тэмдэглэгээний утгыг хэлэх гэх мэт)- ыг шууд буулган тавих нь хэт ерөнхий болно. Сургалтын цөм хөтөлбөрт баримжаалан томьёолсон тухайн бүлгийн хичээлийн жилийн зорилгын хэрэгжилтэд сэдэв бүр хувь нэмрээ оруулна. Өөрөөр хэлбэл, тухайн бүлгийн хичээлийн жилийн зорилго (гарын арван хуруу юм аа гэж бодоход)-ыг хэрэгжүүлэхэд сэдвийн зорилго “хуруу”-н чинээ, нэг бүрчилсэн үйл ажиллагааны зорилго “хумс”-ын чинээ хувь нэмэр оруулахаар уялдаа холбоотойгоор, тодорхой томьёологдоно. Агуулга ямар шаардлага хангасан байх вэ? o Амьдралд нь ойр, хүүхдийн ойр орчны нүдэнд харагдаж, гарт нь баригдах зүйлс байх o Хүүхдийн өдөр тутмын амьдралд зайлшгүй хэрэгцээтэй мэдлэг, чадвар, харилцахуйн ур ухаан байх o Хүүхдийн хөгжлийн “Ойрын бүс” - д тохирсон, давтамжтай o Хүүхэд болон багшид аль алинд нь сонирхолтой o Хүүхдийн бүх талын хөгжлийг хамарсан байх (Бие бялдар, сэтгэл санааны эрүүл мэнд, зан чанар, бусадтай харилцах, оюун ухаан, сэтгэл хөдлөл, өөрийгөө илэрхийлэх, орчноо таних) o Хүүхдийн эзэмших мэдлэг, чадвар, туршлага нь хоорондоо уялдаа холбоотой нэгдмэл байх o Уян хатан, олон хувилбараар ажиллаж болохоор байх (орчин нөхцөл, хүүхдийн хөгжлийн түвшин, хувийн онцлогт тохируулан ашиглаж болох.) Арга зүйд ямар шаардлага тавигдах вэ? Сургуулийн өмнөх боловсролын сургалтын цөм хөтөлбөрт заасан дараах арга зүйг хэрэгжүүлнэ. Үүнд: o Сэтгэлийн ойр дотно холбоо o Багш-хүүхдийн хамтын үйл o Сонирхол, баяр баясгалантай o Даган дуурайлт
  • 51.
    СУРГУУЛИЙНӨМНӨХБОЛОВСРОЛЫНСУРГАЛТЫНЦӨМХӨТӨЛБӨР 100 101 ХҮҮХЭДБҮХЭНДЭЭ“БИЧАДНА“ГЭСЭНИТГЭЛӨГЬЕ! o Мэдрэхүй,бүтээлч үйл o Давталт o Алдаанаас суралцахуй Багш Та “Арга зүйн шинэчлэл” гэж чухам юу болохыг дараах жишээнээс харна уу. Багш: Өнөөдөр цэцэг зурцгаая гэжээ. Бяцхан хүү зураг зурах их дуртай гэнэ. Олон янзын зураг зурж чаддаг ажээ. Арслан, бар, тахиа, үхэр, галт тэрэг, хөлөг онгоц гээд л… Хүү будгийн харандаагаа гаргаад зурж эхэллээ. Гэтэл багш нь: “Хүлээгээрэй, эхлэх болоогүй шүү!” гэж чанга дуугаар хэллээ. Тэгээд бүгд бэлэн болохыг хүлээв.“За одоо цэцэг зурцгаана.” гэлээ. Бяцхан хүү ихэд хөөрч гоё цэцэг зурж эхэллээ. Ягаан, алтан шар, цэнхэр янз бүрийн өнгөтэй.Гэтэл багш ахиад л “Хүлээгээрэй, Би та нарт яаж зурахыг зааж өгнө.” гэлээ. Самбарт нэг цэцэг зурж гэнэ. Иш нь ногоон, дэлбээ нь улаан, за ийм байна! Одоо эхэлцгээ.” гэлээ. Бяцхан хүү багшийнхаа зурсныг харлаа. Дараа нь өөрийнхийгөө… .Өөрийнх нь зурсан зураг илүү таалагджээ. Гэхдээ үүнийгээ хэлсэнгүй. Цаасаа эргүүлээд нөгөө тал дээр нь багшийнхаа зурсан цэцэгтэй адилхныг зуржээ. Ногоон иштэй улаан дэлбээтэй … Ийм зүйл давтагдсаар. Удалгүй хүүгийнх өөр газар амьдрах болж, шинэ цэцэрлэгт элсэж гэнэ. Анхны өдөр нь багш: “Өнөөдөр зураг зурцгаана.” гэжээ. Бяцхан хүү ихэд баярлаж гэнэ. Багшийнхаа тушаахыг хүлээлээ. Гэтэл багш нь юу ч хэлсэнгүй. Зүгээр л хүүхдүүдийн дундуур алхаж байх юм гэнэ. Бяцхан хүүгийн хажууд ирээд “Зураг зурах дургүй юмуу? гэж асуужээ. “Дуртай гэхдээ юу зурах юм бэ?” гэж хүү асуулаа. “Yүнийг чи шийднэ шүү дээ.” гэж багш хэллээ. “Ямар будгаар будах юм бэ?” гэж хүү дахин асуулаа. “Ямар будгаар будмаар байна, хүссэнээрээ” гэж багш хариуллаа. “Хэрэв бүгд адилхан зураг зурвал, адилхан өнгөөр будвал хэн нь хийснийг яаж мэдэх юм бэ?” гэж багш нь асуув. “Мэдэхгүй” гэж бяцхан хүү хариуллаа. Хүүхэд мэдрэхүйн эрхтнийхээ тусламжтайгаар суралцана. Хүүхэд үйл ажиллагааны явцад суралцана. Хүүхэд өөрийн хурдаар суралцана. Хүүхэд суралцахад үйл явц нь үр дүнгээсээ илүү чухал. (Жан Пиаже) Суралцахуйн чиглэлүүдийг хэрхэн интеграцчилах вэ? Хүүхдийг хөгжүүлэх үйл ажиллагааг хэрхэн интеграцчилан зохион байгуулахыг хүүхдийн “Бие бялдрын хөгжил”–ийн жишээн дээр танилцуулья. Хүүхдийн бие бялдрын хөгжилд зөвхөн тусгайлсан спорт тоглоом, хөдөлгөөнт тоглоом, дасгалын үед биш хүүхдийн өдөр тутмын бүх үйл ажиллагааны явцад нөлөөлж болно. Тухайлбал, алжаал тайлах хөгжөөнт мөчид, хөдөлгөөн бүхий сургах тоглоомын үед, ярих чадвар, математик сэтгэлгээ хөгжүүлэх хөдөлгөөнт тоглоомоор толгох үед, зохион бүтээх үйл хосолсон хөдөлгөөнт тоглоомын явцад гэх мэт. Хүүхдийн үйл ажиллагааг заавал хөдөлгөөн шаардсан үйл хийхээр төлөвлөнө. Жишээлбэл,багшийн асуултадхүүхэд үгээр хариулаад зогсохгүй, алга таших, бөмбөг дамжуулах зэргээр хариулт өгнө. Хүүхдийн бие бялдрыг хөгжүүлэх ажлыг дараах үйл ажиллагааны чиглэлтэй интеграцчилан зохион байгуулж, тодорхой чадвар дадлыг эзэмшүүлж болно.  Хөдөлгөөнт ба спорт тоглоомоор тоглох явцад хэрэглэлтэй аюул осолгүй, зөв харьцах чадвар эзэмшүүлэх (осол аюулгүй байх);  Бие бялдрыг хөгжүүлэх явцад зоригтой, авхаалж самбаатай байх, харилцан бие биедээ итгэж туслах, биеэ барьж тэсвэртэй байх, өөрийн ба үеийн хүүхдийн үйлдэлд үнэлгээ /зөв, буруу/ өгөх(нийгэмшихүй);  Биеийн тамирын хэрэглэлүүдийг хураах (хөдөлмөр)  Хөдөлгөөнт тоглоомын хэрэглэгдэхүүнийг өөрөө сонгох, тэдгээрийг тоолох, дасгал, хөдөлгөөнт тоглоомын үед орон зайг баримжаалах, амьтны хөдөлгөөнийг дуурайх, дүрд хувирах, дасгал хөдөлгөөнт тоглоомд зориулж зөөлөн өрж байгуулах материалаар бүтээн байгуулалт хийх, танин мэдэхүйн ач холбогдолтой ном үзэж ярилцах, спорт, эрүүл аж амьдралын тухай кино үзэх (танин мэдэхүй);  Дасгал, хөдөлгөөн, чийрэгжүүлэх ажлын ач холбогдлын талаар ярилцах (харилцаа);  Тоглоом, дасгалыг шүлэг, аман наадам, зүйр үгтэй хослуулан гүйцэтгэх, уншиж сонссон үлгэр, зохиолын үйл явдлыг илэрхийлсэн сэдэвчилсэн дасгал хийх, тоглоом тоглох (хэл яриа);  Бие бялдар хөгжүүлэх дасгал, хөдөлгөөнийявцад багш өөрийнхөө ба хүүхдүүдийн гадаад үзэмж, өрөө тасалгааг гоё сайхан чимэглэлтэй байхад анхаарах. Жишээлбэл, хүүхдүүдээр туг дарцаг, зөөлөн бөмбөг хийлгэж ашиглах, шохойгоор хөдөлгөөнт тоглоомын тэмдэглэгээг зуруулан тоглуулах. (дүрслэх урлаг);  Хөгжимт хөдөлгөөн, дасгалыг хөгжим, дууны аянд хийж гүйцэтгэх, спортын уралдаан тэмцээнийг хөгжимтэй хослуулан зохиомжлох, хүүхдээр нүүр царайны хувирал бүхий хөдөлгөөнт тоглоом тоглуулж, жүжиглэх чадварыг хөгжүүлэх (хөгжим). 2.6 Өдөр тутмын үйл ажиллагааны төлөвлөлт Цэцэрлэгийн багшийн өдөр тутмын ажлыг дараах 3 хэсэгт хуваан авч үзэж болох юм. Эдгээрийн аль аль нь адил тэгш ач холбогдолтой бөгөөд хоорондоо уялдаа холбоотой. Жишээлбэл, багш хүүхдээс ирэх дохио, ангид үүсэж буй тохиолдлын үйл явдлуудыг мэдэрснээр хүүхдийн хөгжилд хэрэгцээтэй ямар үйл ажиллагаа төлөвлөн явуулах вэ? гэдэг асуултад зарим хариултыг олно. Зураг 28. Цэцэрлэг дэх өдөр тутмын үйл ажиллагаа Байгаль, нийгмийн орчин Цэцэрлэг дэх үйл ажиллагаа өдрийн дэглэмийн дагуу явагдана. Энд өдрийн дэглэмийн нэгэн нийтлэг жишгийг харууллаа. Энэхүү нийтлэг жишиг нь улирлын онцлогоос шалтгаалан хувилбартай байж болно. Мөн бүлгийн хүүхдийн насны онцлогоос хамаарч өөрчлөгдөнө.
  • 52.
    СУРГУУЛИЙНӨМНӨХБОЛОВСРОЛЫНСУРГАЛТЫНЦӨМХӨТӨЛБӨР 102 103 ХҮҮХЭДБҮХЭНДЭЭ“БИЧАДНА“ГЭСЭНИТГЭЛӨГЬЕ! Өдрийн дэглэм(хувилбар) № Үйл ажиллагааны төрөл Хугацаа Бүтэц 1 Өглөөний хүлээн авалт 07.30- 8.30 - Мэндлэх, ярилцах - Эрүүл мэндийг ажиглах, тандах - Бие даасан үйл ажиллагаа (тоглох, ном үзэх, зурж урлах, хоорондоо ярилцах гэх мэт) 2 Тойргийн цаг 8.30- 8.45 -Өдрийг таатай эхлэх уур амьсгал бүрдүүлэх -Өдрийн явагдах үйл ажиллагаанд хүүхдийг чиглүүлж, сэдэлжүүлэх -Хүүхдэд сэтгэл санаагаа илэрхийлэх боломж олгох гэх мэт. 3 Өглөөний дасгал 8.45- 8.55 -Өглөөний дасгал хийх бэлтгэл - Дасгал хийх 4 Өглөөний цай 8.55- 9.20 -Гар угаах -Цайнд бэлтгэхэд оролцох -Цайлах 5 Зориуд зохион байгуулах сургалтын үйл ажиллагаа 9.20- 11.00 -Сургалтын үйл ажиллагаанд бэлтгэх -Сургалтын тодорхой чиглэлээр (хөдөлгөөн, эрүүл мэнд, хэл яриа, хүрээлэн буй орчин, математикийн энгийн төсөөлөл, хөгжим, дүрслэх), аль нэг сэдвийн дор зориуд зохион байгуулах үйл ажиллагаа -Тоглох 6 Зугаалга 11.00- 12.00 -Бэлтгэх -Ажиглах, ярилцах -Хөдөлмөрлөх -Тоглох 7 Өдрийн хоол 12.00- 13.00 -Гар угаах -Хооллолтод бэлтгэх -Хооллох 8 Нойрсолт 13.00- 15.30 -Бие даах үйл ажиллагаа (Ороо засах, унтлагын хувцсаа өмсөх) -Үлгэр, зохиол, хөгжим сонсох -Нойрсох -Бие даах үйл ажиллагаа (ороо хураах, хувцсаа өмсөх, гараа угаах, үсээ самнах) -Тоглох 9 Оройн цай 15.30- 15.50 -Цайнд бэлтгэх -Цайлах 10 Чөлөөт үйл ажиллагаа 15.50- 17.00 - Хөгжөөн баясгах ажил -Тоглох -Зугаалах -Бусад 11 Таралт 17.00- 17.30 -Бие даасан үйл ажиллагаа (тоглох, тарахад бэлтгэх) -Эцэг эхтэй ярилцах Өдрийн дэглэмийн “Зориуд зохион байгуулах сургалтын үйл ажиллагаа” нь хуучнаар бидний явуулж ирсэн “хичээл”-тэй төстэй, багшаас бэлтгэж, зориуд зохион байгуулж явуулах “хөгжүүлэх үйл ажиллагаа”-нууд юм. Үүгээр багш хүүхдийн суралцахуйн чиглэл бүрийг хамарсан үйл ажиллагаануудыг аль нэг сэдэвт зангидан интеграцчилан явуулна. Сэдвийн хүрээнд төлөвлөн явуулах үйл ажиллагаанууд нь хүүхдэд тухайн сэдвийн талаар танилцуулахад голлон төвлөрөх бус, тухайн сэдвээр дамжуулан хүүхдийн эзэмших тусгай чадваруудыг хөгжүүлэхэд хэрхэн хувь нэмэр оруулах талаар онцгой анхаарна. Багш сургуулийн өмнөх насанд хүүхэд хүмүүний зан чанарын үнэт зүйлсийн суурь, насан туршийнх нь амьдралд хэрэг болох дадал хэвшил, орчиндоо болон бусдын дунд зохицон амьдрах чадвар эзэмшихэд онцгой анхаарна. Үүний тулд багш өдөр тутмын амьдрал, ялангуяа зориуд зохион байгуулах үйл ажиллагаа бүрд хүүхэд зан чанар, харилцааны чадвар, эв дүй эзэмших, орчинтойгоо зохистой харьцаж сурахтай холбогдох зорилго, агуулгыг хэрэгжүүлэхийг онцгой анхаарч ажиллана. Сургалт хэдий чинээ албан ёсны байх тусам хүүхдийн жам ёсны хөгжих, сурах үйлийг хязгаарладаг тал бий. Багш зөвхөн ойлгуулах, мэдүүлэхийн тулд биш ямарваа зүйлдсуралцах сонирхлыг өдөөх, хийх арга барил эзэмшүүлэх, бусдад болон хийж буй зүйлдээ хандах эерэг хандлагыг төлөвшүүлэхийг үндсэн зорилгоо болгож чадвал сургалт нь хүүхдийг хөгжүүлж, төлөвшүүлэх гол шинжээ хадгалж чадна. Багшийн зориуд зохион байгуулан явуулж буй сургалтын үйл ажиллагаа нь эцэг эх, асран хамгаалагч болон цэцэрлэгийн бусад хүмүүст ил тод харагдаж байх шаардлагатай. Жишээлбэл, багш “Ус” (Хавсралтад буй) сэдвээр өдөр тутам явуулах үйл ажиллагаагаа дараах календарчилсан төлөвлөгөө байдлаар харуулан үүдний самбартаа байршуулна. Сэдэв: “УС” Бүлэг: ...... Сар:........ Долоо хоног: ...... Даваа Мягмар Лхагва Пүрэв Баасан Цастай уул (Аялал зугаалга) Миний бүтээл (Өгүүллэг сонсох) Устай танилцъя (Туршилт) Хүүхэлдэйгээ цайлъя (Сургах тоглоом) Ус дамжуулъя (Хөдөлгөөнт тоглоом) Даваа Мягмар Лхагва Пүрэв Баасан Гайхамшигт дуслууд (Туршилт) Бороо (Зохион бүтээх) Ус ба загас (Тоолох) Хорготой загас (Зохион бүтээх) Ус зөөцгөөе (Хөдөлгөөнт тоглоом ) 2.7. Хүүхдийн хөгжих орчин Бага насны хүүхэд олон зүйлийг өдөр тутмын амьдралын туршлагаасаа “жам ёсоор” аяндаа сурдаг. Тэд гэртээ, цэцэрлэгт байхдаа өглөөнөөс орой хүртэл цаг ямагт суралцсаар байдаг. Хүүхдийн бага насны амьдрал хэдий чинээ баялаг агуулгатай байна тэд төдий чинээгээр цаашдынхаа амьдралд хэрэгцээтэй мэдлэг, чадвар, туршлага хуримтлуулдаг. Иймд тэдний амьдралыг сонирхолтой, үр өгөөжтэй болгохын тулд багш, эцэг эх бие биеэ нөхөж, янз бүрийн орчин нөхцөлд хүүхдээ төрөл бүрийн үйл ажиллагаанд оролцуулах нь чухал юм. Нэн ялангуяа хот, төв суурин газрын тохилог орон сууцанд амьдардаг хүүхдийн хөдөлгөөний эрэлт хэрэгцээг хангах, тэднийг эрүүл чийрэг байлгах, сорилт саадыг давж гарах арга ухаанд сургахад түлхүү анхаарах шаардлагатай. Зарим жишээг зургаар харууллаа. Бага насны хүүхдийн амьдрал нь түүнийг бүх талын цогц хөгжилд хөтөлсөн суралцахуйн зүй ёсны үйл явц мөн. Зураг 29. Тоглох нь хүүхдийн үндсэн суралцах үйл
  • 53.
    СУРГУУЛИЙНӨМНӨХБОЛОВСРОЛЫНСУРГАЛТЫНЦӨМХӨТӨЛБӨР 104 105 ХҮҮХЭДБҮХЭНДЭЭ“БИЧАДНА“ГЭСЭНИТГЭЛӨГЬЕ! ХАВСРАЛТ: ЦЭЦЭРЛЭГИЙНСУРГАЛТЫН ХӨТӨЛБӨРИЙН ХҮРЭЭНД ХЭРЭГЖҮҮЛСЭН ҮЙЛ АЖИЛЛАГААНЫ ЖИШЭЭ 3.1. “УС” сэдвийн боловсруулалт Хүүхдийн хэрэгцээ, сонирхлыг харгалзан аливаа үйл ажиллагааг өөр хооронд нь уялдуулан тодорхой сэдвийн дор зангидан явуулахыг “Ус” сэдвийн хүрээнд харуулъя. Сэдвийн зорилго: 1. Усны онцлог, шинж чанарыг судалж, олж нээх 2. Ус нь хүн, амьтан, ургамалд ямар ач холбогдолтойг мэдэх 3. Устай зөв зохистой харьцах Сэдвийн зорилтууд: Агуулгын задаргаа Сургалтын чиглэл Агуулга Хөдөлгөөн, эрүүл мэнд • Ус уух нь эрүүл мэндэд хэрэгтэйг мэдэх • Түүхий ус уухгүйг мэдэх • Зуны улиралд нар, ус, агаараар чийрэгжих (насанд хүрэгчдийн тусламжтай) • Усанд санд тоглох, сэлэх • Ус, элсээр тоглох • Өвлийн улиралд чаргаар гулгах • Цасаар тоглох • Цасаар янз бүрийн зүйл хийх Хэл яриа • Усны шинж шинж чанарыг тодорхойлон ярилцах • Ус нь бохирдож мууддаг талаар ярилцах • Цас, мөсийг харьцуулж, туршиж үзэх • “Ус хөлддөг”-ийг туршилтаар таньж мэдэх • Усны нэр төрлийг тодорхойлон хэлэх • Усны ач холбогдлын талаар ярилцах • Устай хэрхэн харьцах ёс заншлын талаар ярилцах Математик • Усыг хэмжих (их, бага, халуун, хүйтэн) • Устай савыг тоолох, харьцуулах • Усан доторх загас, дун зэргийг тоо ширхэг, өнгө, хэлбэр, орон зайн байрлалаар жишин харьцуулах • Хүнд ба хөнгөн зүйлсийг ус ашиглан ялгах • Шингэн ба бутархай зүйлсийг хэмжих (Шанагатай усыг аягаар хэмжиж хэдэн аяга ус шанаганд багтсаныг тодорхойлох гэх мэт.) Байгаль, нийгмийн орчин, Дүрслэх урлаг • Усны шинж чанарыг таньж мэдэх • Гараа угаахдаа крантны усыг багаар гоожуулах • Шүдээ угаах үедээ крантны усаа түр хааж байх • Бохир болон цэвэр усны ялгааг олж мэдэх • Өөрийн нутгийн хүрхрээ, гол, нуур, цөөрөм, булаг, шанд, рашаан (худаг) мэдэх, нэрлэх, хүн, амьтан, ургамал усаар ундаалдаг ач холбогдлыг мэдэх, дүрслэн зурах, бүтээх • Усаа тохируулан зуурмаг бэлтгэх • Усны давалгааг дүрслэх • Усаар шүршиж бүтээл гаргах зогсоно. Хүүхдүүд нэг нэгээрээ аягатай усаа барьж тодорхой зайнд байрлуулсан дарцгийг тойрч ирээд, дараагийн хүүхдэд цалгиулахгүйгээр дамжуулна. Түрүүлж бүх хүүхэд нь усаа дамжуулж зөөсөн баг хожно. Хожсон багт баяр хүргэнэ. Ус зөөх зайг эхлээд ойрхон дараагийн үед холдуулж болно. Ус зөөцгөөе Зорилго: • Биеийн тэнцвэрээ хадгалан даалгавар гүйцэтгэх • Усыг цалгиулж асгахгүйгээр зөөх • Багийнхаа хожлын төлөө хичээх Хөгжим • Амьд ба амьгүй байгалийн дуу чимээг ялгаж сонсох • Усны чимээг сонсож таних, ялгах, нэрлэх • Ус, улирал, амьтдын тухай дуу сурах • Ус, байгаль, хөдөлмөрийн тухай хөгжимт хөдөлгөөн хийх ХӨГЖҮҮЛЭХ ҮЙЛ АЖИЛЛАГАА ХӨДӨЛГӨӨН, ЭРҮҮЛ МЭНД Цастай уул Зорилго: • Цас нь усны нэгэн хэлбэр болохыг мэдэх, цасны шинж чанарыг өөрийн биеэр мэдэрч ажигласнаа илэрхийлэн ярих • Байгальд зугаалахын сайхныг мэдрэх • Хамтаараа цасан өвгөн хийх Бэлтгэл: Хүүхдүүд аялал зугаалгад тохируулан дулаан хувцаслах Аргачлал: Цаг агаарын байдлыг харгалзан аялал зугаалгаар явах өдрөө хүүхдүүд, эцэг эхтэй хамтарч тохиролцсон байна. (Гадаа хэдэн хэмтэй байна. Цас ороод хэд хонож байна гэх мэт ярилцлагуудыг хийсэн байна.) Аяллаар очих газраа танилцуулж очоод юу хийхээ, ямар дүрэм баримталж явах талаар ярилцана. Аяллын газраа очоод явах маршрутаа танилцуулна. Хүүхдүүд алхаж явангаа цасан дээгүүр явах, цасгүй газраар явахаас өөр байгаа талаар ярилцаж, ямар чимээ гарч байгааг сонсоно. Яагаад ингэж дуугарч байгаа талаар ярилцаж хүүхдүүдийн таамаглалыг сонсоно. Хүүхдүүд бүгдээрээ тойрог болон зогсоод цасан дээр дүрс гарган хэвтэнэ. Гаргасан мөрөө эвдэхгүйг хичээн босож ирээд гаргасан дүрсээ харцгаана. Багшийнх-аа цасан дээр гаргасан гутлын мөрөөр дагаж алхана. (Могойчлох, диагональдах гэх мэтээр). 10 орчим метр зайд уралдаж болно. Хүүхдүүд цасыг дээш нь шидэж тоглоно. Бүгдээрээ нийлээд цасан өвгөн хийнэ. Саванд цас хийж ангидаа оруулж тавиад, цас нь хайлахаараа ус болдгийг ажиглана. Үнэлгээ: Хүүхдийн хөгжлийн ахицыг үнэлэхдээ 1.3.24 - Хувцсаа орчин, үйл ажиллагаандаа тохируулан өмсөнө. Жишээ нь: Гадаа тоглох, дасгал хөдөлгөөн хийхэд; 2.1.7 - Шинэ зүйлд сониуч хандаж сонирхоно, оролдож, туршиж үзнэ; 2.3.23 - Дүрэм журам, зааврыг дагаж биелүүлнэ; 4.1.1 - Байгаль орчинд болон туршилтын явцад ажигласан үзэгдлийн учир шалтгааны талаар асуулт тавьж, таамаглал дэвшүүлнэ; 4.1.2 - Үйл явдал, учир шалтгааны талаар лавлана зэрэгт чиглэсэн ажиглалт хийж болно. Ус дамжуулъя Зорилго: • Хөдөлгөөнөө зохицуулан аягатай усыг цалгиулахгүйгээр зөөх • Багийнхаа хожлын төлөө хичээх Хэрэглэгдэхүүн: Аягатай ус ... Аргачлал:Хэд хэдэн багаар тоглож болно. Багийн гишүүдийн тоо адилхан байх бөгөөд ар араасаа цувран
  • 54.
    СУРГУУЛИЙНӨМНӨХБОЛОВСРОЛЫНСУРГАЛТЫНЦӨМХӨТӨЛБӨР 106 107 ХҮҮХЭДБҮХЭНДЭЭ“БИЧАДНА“ГЭСЭНИТГЭЛӨГЬЕ! Хэрэглэгдэхүүн: Багийнтоогоор савтай ус, хэмжүүртэй сав, хуванцар аяга, гарааны цэгийг тодорхойлох зураас (цагираг, олс гэх мэт байж болно), тодорхой хугацааг заадаг дуугардаг дохио эсвэл элсэн цаг Аргачлал: Хүүхдүүд хэдэн ч багт хуваагдан тоглож болно. Хүүхэд дохио дуугарахад том савнаас аяганд ус дүүргэж аваад хэмжүүртэй саванд хийгээд, аягаа дараагийн хүүхдэд дамжуулна. Зогсох дохио дуугартал ус зөөх ажил үргэлжилнэ. Дохио дуугарсны дараа хэмжүүртэй саван дахь усыг харьцуулан, их ус хийсэн баг нь ялагч болно. Дүрэм: Дохио дуугарахад тоглоом эхлээд зогсох дохио дуугарсны дараа хэмжигч сав руу ус хийж болохгүй. Үнэлгээ: Хүүхдийн хөгжлийн ахицыг үнэлэхдээ 1.1.13 - Өгсөн дохионы дагуу хөдөлгөөнөө эхэлж, дуусгана; 1.1.2 - Дүүрэн устай ундааны шилэн аяга (стакан)- ыг нэг гартаа бариад усыг цалгиулахгүйгээр өрөөний нэг талаас нөгөө тал хүртэл алхана гэсэн асуултын дагуу ажиглалт хийж болно. Том загас ба жараахай Зорилго: • Тоглоомыг дүрмийг баримтлан тоглох • Авхаалж самбаатай байх • Орон зайд хурдаа тохируулан гүйх Хэрэглэгдэхүүн:Хүүхдүүд сэдвийн хүрээнд өмнө нь хийсэн төрөл бүрийн загасны баг, усан доторх орчинг ашиглаж болно. Усны ургамал, хад, чулууг дүрсэлсэн хайрцгууд Аргачлал:Танхимын голд усны ургамал, чулууг дүрсэлсэн хайрцгаа байрлуулна. Жараахай болсон хүүхдүүд багшийг үг хэлж байх үед усны ургамал, чулууг тойрон нэг зүгт гүйлдэнэ. Цэв цэнхэр нууранд Сүрэг жараахай сэлж байна Гэнэт тэдний араас Том загас ирлээ Хурдан хурдан зугтаарай Хад, чулуундаа нуугдаарай. Багшийг “Нуугдаарай” гэж хэлэнгүүт хүүхдүүд хад, чулууны хайрцгийг налан бөөгнөрнө. “Том загас” хайрцагт ойртоогүй жараахайг барина. Үнэлгээ: Хүүхдийн хөгжлийн ахицыг үнэлэхдээ 1.1.3 - Тасалгаан дотор хурдаа тохируулж гүйнэ; 2.2.10 - Тухайн нөхцөл байдалд тохирсон сэтгэл хөдлөлийг үзүүлж чадна. Жишээ нь: Жүжгийн инээдэмтэй хэсгийг үзээд баясан инээх гэсэн асуултын дагуу ажиглалт хийж болно. ХЭЛ ЯРИА Миний бүтээл Зорилго: • Өөрийнхөө санааг илэрхийлэн ярих • Гол усаа хайрлах, хамгаалахын чухлыг мэдэх • Устай холбогдох оньсого зохиох, таах Хэрэглэгдэхүүн: Зургийн дэвтэр, усан будаг Аргачлал: Багш “Миний бүтээл” өгүүллэгийг уншиж өгнө. Нэгэн өдөр хүүхэд бүр өөр өөрсдийн зурсан зургаа багш болон найз нөхөддөө ярьж өгч байлаа. Гэтэл Туяагийн ээлж иртэл тэр ганцхан цэнхэр өнгөөр цаасаа дүүрэн будсан байв. -Чи яагаад өөр юм зураагүй юм бэ? гэж найзууд нь асуухад Туяа: –Би зурсан. Энэ бол “гол” гэж хэлэв. Нэг найз нь “Голд загас зурж болно. Тиймээ, багшаа.” гэхэд Туяа:“Би гол усыг ийм тунгалаг байгаасай гэж бодож байна. Яагаад гэвэл манай гэрийн дэргэд байдаг голын ус бохир болсон болохоор нэг ч загас үлдээгүй.” гээд дуугүй болчихлоо. Багш: -”Маш тунгалаг цэвэрхэн гол зурсан Туяадаа баяр хүргэе.” гээд хүүхдүүдийн хамт алга ташив. -Гол усаа хэрхэн яаж хамгаалах талаар багш хүүхдүүдтэйгээ харилцан ярилцана. Асуултууд: - Голын ус яагаад бохирддог вэ? - Голын усыг хэн, юу бохирдуулдаг вэ? - Голын усанд ямар ямар амьтан амьдардаг вэ? - Голын ус бохирдвол загас амьдарч чадах уу? Хүүхдүүдээр “Ус” сэвдээр оньсого зохиолгоно, таалгана. Зарим оньсогыг багш хэлж өгнө. Жишээлбэл, Харахад хөвөн шиг Барихад ус шиг цас Довон дээрх Долоон өнгийн торгыг Чи ч авч чадахгүй Би ч авч чадахгүй солонго Дэнжээр дэржигнэнэ Хотгороор хоржигноно /гол/Зуны өдөр зөөлөн биетэй Өвлийн өдөр хатуу биетэй /ус, мөс/ Миний урд мэлсхийв. Уулын ард улсхийв. цахилгаан цахих Биеий минь битгий хөндөөрэй. Бяцарна гэж байна аа би. шүүдэр Үнэлгээ: Хүүхдийн хөгжлийн ахицыг үнэлэхдээ 2.1.2 - Өөрийн хийх зүйлээ сонгоно; 2.1.4 -Хийж бүтээсэн зүйлдээ баярлана; 2.1.5 - Эхэлсэн зүйлээ хийж дуусгана гэсэн асуултын дагуу ажиглалт хийж болно.
  • 55.
    СУРГУУЛИЙНӨМНӨХБОЛОВСРОЛЫНСУРГАЛТЫНЦӨМХӨТӨЛБӨР 108 109 ХҮҮХЭДБҮХЭНДЭЭ“БИЧАДНА“ГЭСЭНИТГЭЛӨГЬЕ! Бяцхан дусал Зорилго: • Бусдад тусламж хэрэгтэйг мэдэрч, туслах • Усны ач холбогдлыг мэдэх Хэрэглэгдэхүүн: “Бяцхан дусал” өгүүллэг Аргачлал: Өгүүллэгийг уншиж өгөөд ярилцана. Нэгэн өдөр бяцхан дусал хийх зүйлгүй агаарт хөөрч явлаа. Хийх зүйл байдаг ч болоосой гээд бодож явтал маш олон цэцэг гандсан байхыг олж харжээ. Тэгээд өнгө өнгийн цэцгүүд дээр очоод: “Та нар надтай яриач, би уйдаад байна.” гэхэд нэгэн цэцэг: -Бид маш их цангаж байгаа болохоор ярьж, тоглож чадахгүй нь Дусал: - “Би та нарт тусалъя.” гэсэнд Цэцгүүд бүгдээрээ: - “Чи бяцхан юм чинь яаж туслах вэ?” гэлээ. Дусал: “Би бодоод олчихлоо. Бүх найзуудаа аваад ирье.” гээд хөөрөөд явлаа. Цэцгүүд гуниглан байтал, бороон дусал нэг нэгээр дусалсанд тэд бүгдээрээ дээш харлаа. Тэгтэл бяцхан дусал би энд байна. Энд миний бүх найзууд байна.” гэж хашгирав. Олон найз дуслууд нийлж маш их бороог орууллаа. Цэцгүүд: -“Бяцхан дусал чамд их баярлалаа.” гэж дахин дахин хэлж байв. Борооны дараа солонго татаж цэцгүүд баярлаж, өнгө нь сэргэж, баяртай байлаа. Асуултууд: - Цэцгүүдэд юу тусалсан бэ? - Яагаад цэцгүүд дусалтай ярихыг хүсээгүй вэ? - Бяцхан дусалд юу тусалсан бэ? - Цэцгүүдэд туслаагүй бол яах байсан бол? Хувилбар 2: Энэ өгүүллэгээр жүжигчлэн тоглож болно. Үнэлгээ: Хүүхдийн хөгжлийн ахицыг үнэлэхдээ 2.2.13 - Уур бухимдлаа тайван давж гарна; 2.2.14 - Бусдыг мэдэрч зохицон ажиллана гэсэн асуултын дагуу ажиглалт хийж болно. Хүрхрээ Зорилго: • “Хүрхрээ”-ний онцлог байдлыг илэрхийлэн ярих  • Дуу чимээг ялгаж сонсох  • “Хүрхрээ” дуут тоглоомын үгийг тогтоож тоглох, “р” авиаг зөв тод дуудах   Хэрэглэгдэхүүн: • Хүрхрээний тухай бичлэг, кино, өнгөт зураг, цомог,зурагт үзүүлэн Аргачлал: Хүүхдийн сонголтоор баг болгож зохион байгуулна. Урьдчилсан ажиглалт, ярилцлага: Хүрхрээ гэж юу болох талаар зурагт үзүүлэн ашиглан ярилцана. Хүүхдэд хүрхрээний тухай кино, бичлэг үзүүлж ярилцана. Бичлэг болон зурагт үзүүлэн дээр хүрхрээ ямар өнгөтэй болох, ямар дуу чимээ гаргадаг болохыг ярилцана. Хүрхрээ нь өвөл хөлдөж мөс болдог талаар ярилцана.“Хүрхрээ” үгийг давтан, дагуулан хэлүүлнэ. Багш “Р” үсгийг тод зөв дуудахад тусална. “Хүрхрээ” тоглоом тоглоно. Хүүхдүүд тоглоомын үгийг хэлээд гарыг алдлан дээш өргөх, долгилуулан доош буулгах зэргээр сүрлэг хад, асар өндрөөс буух хүрхрээг дүрслэн хөдөлгөөн хийж тоглоно. Үгийг аялгуулан хэлж тоглож болно. Сүрлэг хүрэн хаднаас Сүртэй хүрхрээ бууна Хүрхрэн шуугих хүрхрээг Хүүхдүүд гайхаад зогсож байна. Түргэн хэллэг хэлнэ. Гол, гол урсана Горхи, горхи хоржигноно Далай, далай давалгаална Хүрхрээ, хүрхрээ хүрхэрнэ. Үнэлгээ: Хүүхдийн хөгжлийн ахицыг үнэлэхдээ 6.1.5 - Бэлэн дүрс, зургийг янз бүрийн будгаар хүрээнээс илүү гаргалгүй будна; 6.2.10 - Урлан бүтээхдээ бүтээлчээр хандана гэсэн асуултын дагуу ажиглалт хийж болно. Устай танилцъя Зорилго: • Ус хөлдөхөөрөө мөс болдог, цас хайлахаараа ус болдгийг мэдэх • Усанд хөнгөн зүйл хөвдөг, хүнд зүйл живдэг болохыг нотлох Хэрэглэгдэхүүн: Савтай ус, мөс, цас, тагтай шил, гуашь, бийр, том савтай ус, чулуу, навч (хүүхдийн тоогоор) Аргачлал: Багш, хүүхдүүдтэй хамтран усаар туршилт хийнэ. - Туршилт эхлэхээс өмнө саванд ус хийн хөлдөөгчид хөлдөөх - Цас орсон үед цэвэр цас бэлдэх - Устай савны таганд гуашь түрхэх Багш бүлгийн хүүхдийг сонирхлынх нь дагуу 3 багт хуваана. Алийг нь илүү сонирхож байгааг асуун, сонголтыг хүүхдэд үлдээнэ. I баг: Хөлдөөгчөөс мөс гарган савтай устайгаа харьцуулан шинж чанарын талаар харилцан ярилцана. Асуултууд: - Ус, мөс 2-ын аль нь хатуу байна вэ? - Мөсийг ууж болох уу? - Энэ 2-ын алийг нь барьж болох вэ? - Мөсөөр юм угааж болох уу? - Усан дээр гулгаж болох уу? - Мөсийгтасалгаанд удаан байлгавал ямар болох бол? гэх мэт. II баг: Багш, туслах багш хамтран гаднаас бэлдэж ирсэн мөсөө саванд байгаа устайгаа харьцуулан шинж чанарыг ярилцана. Асуултууд: - Цас ямар өнгөтэй байна вэ? - Ус ямар өнгөтэй байна вэ? - Цасаар юу хийж болох вэ? - Усаар өвлийн өвгөн хийж болох уу? - Цасыг тасалгаанд удаан байлгавал ямар болох бол? III баг – Энэ савтай усны өнгийг хувиргая. Багштайгаа цуг 10 хүртэл тоолоод савтай усаа ямар өнгөтэй болсон байгааг харцгаая. Багш савны таганд сонгосон өнгийн гуашаа түрхэж таглаад хүүхдүүдтэй хамт 10 хүртэл тоолно. Ямар өнгөтэй болсон байгааг хүүхдүүдээс асууна. Багууд тус бүрдээ туршилтаа хийж дууссаны дараа хүүхдүүд өөрт байгаа чулуу болон навчаа усанд хийх бөгөөд хөвдөг, хөвдөггүйг ялган нэрлэж, ярилцана. Хувилбар: Хүүхэд бүрд будаа, элсэн чихэр өгч усанд уусдаг, уусдаггүй талаар ойлголт, мэдлэг өгч болно. Үнэлгээ: Хүүхдийн хөгжлийн ахицыг үнэлэхдээ 4.1.2 - Үйл явдал, учир шалтгааны талаар
  • 56.
    СУРГУУЛИЙНӨМНӨХБОЛОВСРОЛЫНСУРГАЛТЫНЦӨМХӨТӨЛБӨР 110 111 ХҮҮХЭДБҮХЭНДЭЭ“БИЧАДНА“ГЭСЭНИТГЭЛӨГЬЕ! лавлана; 4.1.4- Байгаль шинжлэлийн туршилтад дуртайяа оролцоно гэсэн асуултын дагуу ажиглалт хийж болно. Гайхамшигт дуслууд Зорилго: • Усны тухай ойлголтоо цэгцлэх, өргөжүүлэх, • Ус хүний амьдрал, эрүүл мэндэд ямар ач холбогдолтойг мэдэх • Устай хайр гамтай харьцах Хэрэглэгдэхүүн: Дэлхийн бөмбөрцөг, нар, үүл, хувингийн болон 2 ширхэг усан дуслын дүрс, халуун савтай буцалсан ус, толь, хэмнэлтэй хөгжилтэй ая бүхий хуурцаг Аргачлал: Өнөөдөр бид «Яагаадхан» өрөөнд ажиллана. Биднийг маш сонирхолтой туршилтууд, нээлтүүд хүлээж байна. 1. “Ариг гамтай усан дусал” -Багш эхний усан дуслыг үзүүлээд “Ариг гамтай усан дусал” та нарт бөмбөрцөг авч иржээ. -Хүүхдүүд ээ! Энэ юу вэ, та нар мэдэх үү? /Дэлхийн бөмбөрцөг/ Бөмбөрцөг дээрх цэнхэр өнгө юуг илэрхийлж байна вэ? /Ус/ Манай дэлхий дээр хэр их ус байдаг бол? Маш их. За бүгдээрээ бөмбөрцгөө хурдан эргүүлээд үзье. Манай дэлхий бүхлээрээ цэнхэр юм шиг харагдаж байгаа биз./Усаар бүрхэгдсэн./ Тиймээ манай дэлхий маш их устай. Гэхдээ ихэнх нь далай тэнгисийн ус буюу давстай ус юм. Давсгүй буюу цэнгэг ус манай дэлхий дээр тийм ч их байхгүй. Иймд бид цэвэр усыг ариг гамтай хэмнэж хэрэглэж сурах хэрэгтэй. Одоо бүгдээрээ ариун цэврийн өрөөнд орж «Усаа гамнаж хайрлая» нэртэй туршилтаа хийцгээе. Хүүхдүүд крантаа нээнэ, дараа нь хаана, гэхдээ нарийхан дусал гоожиж байхаар нээлттэй орхино. За энэ дуслынхаа доор хувин тосъё,хэсэг хугацааны дараа үзэцгээе. Одоо “Ариг гамтай дусал” маань бидний хувинд хэр их дүүрсэн байгааг шалгах цаг болсныг сануулж байна. Хардаа, жижигхэн дуслуудаас хувин дүүрэнус цугласан байна. Ийм их ус хий дэмий урсах байсан байна шүү дээ. -Хүүхдүүдээ! Энэ хувинд байгаа усаар бүгдээрээ юу хийх вэ? Саналаа хэлээрэй. -Цэцгүүдээ усалъя, цэвэрлэгээ хийхэд хэрэглэе, аяга угаахад,зураг зурахдаа ч ашиглая. 2. “Сургагч –дусал” Энэ 2 дахь дусал маань бидэнд ус хэрхэн аялдаг тухай танилцуулна. -Ус бол бидний гэрт олон төрлийн хоолойгоор дамжин гол болон нуураас ирдэг. Бид усыг юунд хэрэглэдэг вэ? Хоол унд бэлтгэхдээ хэрэглэнэ, усаар бие болон бусад зүйлийг угаана, цэвэрлэгээ хийхдээ хэрэглэнэ, ургамал ногоогоо усална. Үүнд ус их шаардагдах уу? Их. Тэгээд яагаад хүмүүс одоо хүртэл бүх усаа хэрэглээд дуусахгүй байгаа юм бол, яагаад гэдгийг “Сургагч-дусал” маань ярьж өгнө. Хүүхдүүд ээ! Өмнөө зургуудаа тавиад усны дуслыг гол руу хийгээрэй. Өдөр болгон нар тэнгэрт манддаг. Зурган дээрээ нараа байрлуулаарай. Нар, гол болон далайн усыг халаадаг. Энэ саванд би халуун ус хийсэн. Одоо тагийг нь аваад халаасан ус яахыг харцгаая. Халуун савыг онгойлгоход түүнээс халуун уур гарч байна. За тэгэхээр усыг халаахад ус юу болон хувирч байна? Уур. Усны уур хаашаа явж байна? /Дээшээ/ Яг ийм байдлаар бидний хийсэн дусал халаад дээшээ уур болон ууршлаа. Усны дуслаа тэнгэрт үүлэн дээр байрлуулаарай. Усны дусал тэнгэрт гарлаа, царцлаа. Учир нь тэнгэрт хэдий чинээ өндөрт гарна, төдий чинээ агаар хүйтэн болдог. Одоо халуун саваа онгойлгоод гарч буй уурны дээр толь бариад үзье. Хөргөе. хөргөсний дараа усны уур юу болж хувирсан байна? /Ус/ Ийнхүү борооны үүл болж байна. Цав цагаан үүлээ борооны үүлээр хаагаарай. Ингээд удалгүй бороо орж нөгөө дусал газарт бууж байна. Дуслаа газарт байрлуулаарай. -Борооны дуслууд газарт бууж гол мөрөн далай тэнгис рүү урсан орж байна. Хувилбар-1: Гадаа талбайнзасмал зам дээр ус асгуулаад тогтсон шалбаагийг хүрээлүүлэн шохойгоор зурна. Хүүхдүүд өдрийн өөр өөр цагт хүрч ирж, шинээр шалбаагны хүрээг зурна. Юу болоод байгаа юм бол? Юу усыг ууршихад нөлөөлөөд байна вэ? Хувилбар-2: “Амьдруулагч дусал” Борооны үеэр бидний ногоон найз-модод угаагдаж ундаалж авдаг. Шувууд, амьтад ус ууж, усанд орох хэрэгтэй байдаг. Хүн мөн адил усгүйгээр амьдарч чадахгүй. -Бид гэртээ, ангидаа байгаа цэцгээ услахгүй бол юу болдог билээ? Хорчийж үхдэг. Манай анги шалаа угаах усгүй бол ямар болох бол? Анги бохир заваан болно. Хэрэв бид гараа угаахгүй бол яах вэ? Халтар гараасаа болоод өвчин тусна. Харин хүн ус уухгүй бол 3 хоногоос илүү амьдарч чадахгүй. Усгүй бол усанд орж, цангаагаа ч тайлж чадахгүй. Усгүй бол навч цэцэг дэлгэрч чадахгүй. Усгүйгээр хүн, амьтан шувууд амьдарч чадахгүй. Ийм учраас бүгдэд ус хэрэгтэй байдаг. Үнэлгээ: Хүүхдийн хөгжлийн ахицыг үнэлэхдээ 4.1.1 - Байгаль орчинд болон туршилтын явцад ажигласан үзэгдлийн учир шалтгааны талаар асуулт тавьж, таамаглал дэвшүүлнэ; 4.1.3 - Ургамлын ургалтад агаар, ус, гэрэл, дулаан яаж нөлөөлдгийг тайлбарлан ярина гэсэн асуултад ажиглалт хийж болно. МАТЕМАТИК Ус ба загас Тайлбар: Энэ үйл ажиллагаа нь хэл яриа, математик, хөгжим, хөдөлгөөн, дүрслэх урлаг зэрэг олон үйл ажиллагааг нэгэн дор хэрхэн зохион байгуулж болохын жишээ юм. Гэхдээ бүгдийг нэг удаагийн үйл ажиллагаагаар явуулах шаардлагагүй. Зорилго: • Асуултад оновчтой хариулах • Загасны биеийн бүтцийг нэрлэх, хөдөлгөөнийг ажиглан ярих • Шилэн хорго, сэлүүр, сэлэх, шумбах зэрэг шинэ үгсийн утгыг мэдэх • Юмсыг тоо, хэмжээ, хэлбэр дүрс, орон зай, өнгөөр нь ялгах Хэрэглэгдэхүүн: Шилэн хорго, том, жижиг, олон өнгө бүхий 5-10 загас (дун, чулуу), өнгөт зурагт үзүүлэн, баримлын шавар, зургийн цаас, өнгийн харандаа, усан будаг, өнгийн цаас, цавуу гэх мэт. Аргачлал: Хүүхдүүдийг олон төрлийн өнгө,тоо, хэлбэр, хэмжээтэй загастай шилэн хорго байрласан хэсэгт урина. Хажууд нь загасны амьдралыг харуулсан өнгөт зурагт үзүүлэнг байрлуулсан байна. Хүүхдүүдийг найз нартаа саад болохгүйгээр харагдахуйц байдлаар бие биеэ хүндэтгэн зогсохыг хүснэ. Багш хүүхдүүдээс харилцан ярилцах, турших замаар загасны тухай туршлагаас нь хуваалцана. Харж ажигласан зүйлээ нэрлэж, тоолж, харьцуулж ярилцана. Үүнд:
  • 57.
    СУРГУУЛИЙНӨМНӨХБОЛОВСРОЛЫНСУРГАЛТЫНЦӨМХӨТӨЛБӨР 112 113 ХҮҮХЭДБҮХЭНДЭЭ“БИЧАДНА“ГЭСЭНИТГЭЛӨГЬЕ! Та нарынөмнө юу байна вэ? – (аквариум гэж хэлбэл – өөр юу гэж хэлж болохыг асууж, “шилэн хорго” гэж нэрлүүлнэ.) Шилэн хорго дотор та нар юу, юуг харж байна вэ? Загас хаана амьдардаг вэ? Энэ загас хаана амьдарч байна. Тэжээмэл загасны хувьд шилэн хорго бол түүний гэр юм байна. Тэгвэл шилэн хоргонууд ямар ямар хэлбэртэй байж болох вэ? Танайд байдаг уу? Хэлбэр, хэмжээ нь ямар вэ? (дугуй, дөрвөлжин) Загасны амьдралд хамгийн чухал зүйл юу вэ? (ус, дулаан, гэрэл, хоол) Хамгийн чухал нь? Ус юм байна. Яагаад? Хүүхэд тайлбарлана. Манай бүлэгт загас шилэн хоргонд амьдарч байна. Өөр хаана загас амьдардаг болохыг та нар нэрлэнэ үү? (Далайд, нууранд, голд-хүүхэд эдгээрийг төсөөлөн хэлж байвал багш дэмжиж хамтдаа мэдлэг бүтээнэ.) Далай, нуур, гол, шилэн хоргонд адилхан нэг зүйл юу байна вэ? (Бүгдэд нь ус байна.) Багш хүүхдүүдийг зурагт үзүүлэнг сайтар ажиглахыг хүснэ. Зурагт үзүүлэнд ойд, нугад, тэнгэрт загас байгаагаар зурсан байна. Багш хүүхдийн гайхсан, асуух гэсэн байдлыг ажиглаад тэдэн рүү лавласан, тусламж хайсан асуулт асууж, хариултыг авна. Энэ зурагт юу байна. Энэ зөв үү? Загас ойд амьдарч чадах уу, бас тэнгэрт байж болох уу?, Нуга талд бас байдаг гэж үү? Хүүхдүүд “болохгүй”, “байхгүй” гэсэн хариулт хэлж яагаад вэ? гэдгийг өөрсдийн ойлголтоор тайлбарлана. Багш: Тийм ээ, тэнд бүгдэд нь ус байхгүй. Зүйтэй, усгүй бол загас амьдарч чадахгүй. Загас усанд л амьдарч чадна. Тэгвэл загасны тухай та нар юу мэдэх вэ? энэ шилэн хоргонд ямар загас байна вэ? Хүүхдүүд шилэн хоргон дахь загаснуудыг өнгө, хэлбэр, хэмжээ, олон цөөнөөр нь тодорхойлж хэлнэ. Түүнчлэн шилэн хорго доторх бусад чулуу, ургамал, дун зэргийг нэрлэж, хаана, аль хэсэгт ямар загас сэлж байгааг хэлүүлнэ. (Хүүхэд эрэл хайгуул хийж, харьцуулан жишиж шинэ нээлт хийхээр багш орчинг бүрдүүлсэн байна.) “Загасны тухай юу мэдэхээ ярьцгаая.” гээд биеийн хэсгүүдийг нь нэрлэнэ. Толгой, эх бие, сүүл, сэлүүр гэх мэтээр хүүхдүүд хэлнэ. Багш хүүхдүүдийг “Загас сэлнэ” хөгжилтэй тоглоом хамтран тоглохыг урина, дүрмийг танилцуулна. Хөгжмийн аянд загасууд сэлж шумбана. Хөгжмийн цоглог аяс түргэн болон намуун удаан хэмнэлд загас ямар хөдөлгөөн хийж болохыг үзүүлэхийг хүснэ. Хоёроос гурван удаа давтан тоглосны дараа багш хүүхдүүдэд хандаж: “Загас ямар хоол иддэг вэ?” гэсэн асуулт тавина. Хүүхдүүд хариулт хэлнэ, энэ дотроос зөв хариултыг өөрсдөөр нь олуулна. Хүүхдүүдийг урамшуулаад загасны хоол болох чийгийн улаан хорхойг зурах, барих, наах, зохион бүтээх үйл ажиллагаанд оролцохыг урина. Хүүхдүүд өөр өөрийн сонголтоор баг бүрдүүлж, хийх хэрэгслээ сонгоход багш чиглүүлж тусална. Үнэлгээ: Хүүхдийн хөгжлийн ахицыг үнэлэхдээ 5.1.1 - Тоо нь тодорхой хэмжээ илэрхийлдгийг мэднэ; 5.1.3 - Эд юмсын олон, цөөнийг ялгана; 5.2.12 - Юмсын байршлыг хэлнэ; 5.2.8 - Биет ба хавтгай дүрсүүдийг ялгана гэсэн асуултад ажиглалт хийж болно. Хүнд үү?, Хөнгөн үү? Зорилго: • “Хүнд, хөнгөн” гэсэн ойлголтыг туршиж мэдэх • Хүндхөнгөн, живдэг живдэггүй, хөвдөг зэрэг үгсийн утгыг ойлгох Хэрэглэгдэхүүн: Чүдэнзний мод, мөхөөлдөсний модон иш, хадаас, төмөр тоглоомын хэсэг, савтай ус Аргачлал: Хүүхэд өөрийнхөө бодол саналыг хамгаалах, илэрхийлэх, бусдыг сонсох, үнэлэх болон бусадтай тоглох, ажил үйл гүйцэтгэхдээ дуртай баяртай байх боломжийг бүрдүүлсэн байна. Багш хүүхдүүдэд “хүнд, хөнгөн” гэдэг үгсийн утгыг хэрхэн тайлбарлах вэ? гэсэн асуултыг тавьж, хариултыг сонсоно. Хариултаа батлан нотлох туршилтыг хийлгэнэ. Эхлээд устай шилэн саванд шүдэнзний мод, мөхөөлдөсний модон иш, хадаас, угсардаг төмөр тоглоомын хэсгийг хийж, гарах үр дүнг нь ажиглуулна. Хүүхдүүд өөр хоорондоо хийж туршсан зүйлийнхээ тухай санал солилцоно. Дараа нь өөр байдлаар туршина. Улаан, шар өнгийн хоёр завийг усан дотор чулууны тусламжтайгаар живүүлэх, хөвүүлэх туршилт хийлгэнэ.Хүүхдээр таамаглал дэвшүүлэн, тэр таамаглал нь үнэнүү, үгүй юу гэдгийг батлуулна. Хүүхдүүд зааврын дагуу туршилтыг хийж, ажиглан дүгнэлт хийгээд “Яагаад?”, “Ямар учраас амархан живсэн”, “Яагаад?, Ямар учраас живэхгүй үлдэв” гэсэн асуултад тайлбарлана. Үнэлгээ: Хүүхдийн хөгжлийн ахицыг үнэлэхдээ 5.1.1 - Тоо нь тодорхой хэмжээ илэрхийлдгийг мэднэ; 5.1.2 - 10-ын дотор эд зүйлсийг оноон тоолж, дүн тоог хэлнэ гэсэн асуултад ажиглалт хийж болно. Сүү ба ааруул Зорилго: • 1-5-ын дотор тоолох, тэмдэглэх • Шингэн ба бутармаг зүйлсийг хэрхэн хэмждэгийг ойлгох, хэмжих • Өтгөн, шингэн, хатуу, зөөлөн зэрэг харьцуулсан үгсийг хэрэглэх Хэрэглэгдэхүүн:Сүү,тараг, ааруул, бяслаг, шилэн сав, аяга, тоон тэмдэглэгээ бүхий жинлүүр Аргачлал:Хүүхдүүдийг хүсэлтээр нь баг болгоод ээлж дараалан шингэн, бутармаг зүйлсийг хэмжих боломж олгоно.Эхлээд хоёр өөр хэмжээтэй сүү болон таргийг шилэн савнаас жижигаягаар хэмжүүлнэ. Хэмжилтийн дараа дараах асуултын дагуухүүхдүүд хамтдаа хэлэлцээд хариулт өгнө.  Сүү, тараг хоёрыг хэмжихэд ямар ялгаа гарч байсан бэ?  Сүү хэдэн аяга, тараг хэдэн аяга болсон бэ?  Тоолж харьцуулаад аль нь их, бага, дүүрэн, дундуур байна вэ? Тохирох үгийг зөв сонгож хэлээрэй. Ааруул, бяслагзэргийг тоон тэмдэглэгээ бүхий жинлүүр ашиглан хэмжүүлж харьцуулна. Шингэн, бутармаг зүйлийг хэмжихэд гарсан бэрхшээл, ялгаатай зүйл юу байсныг тайлбарлуулна. Хүүхдүүд сурсан зүйлсээ ашиглан “Дэлгүүр” сэдэвт тоглоомоор тоглоно. Үнэлгээ:Хүүхдийн хөгжлийн ахицыг үнэлэхдээ 5.1.1 - Тоо нь тодорхой хэмжээ илэрхийлдгийг мэднэ; 5.2.7 - 5 ширхэг эд зүйлсийг хэмжээгээр нь дараалуулна гэсэн асуултын дагуу ажиглалт хийж болно. Загас барья Зорилго: • Том жижиг, олон цөөнийг ялгах • Оноож тоолох, өнгө нэрлэх Хэрэглэгдэхүүн: Элс, савтай ус, хавчаар, хүүхдийн урлаж бүтээсэн загас Аргачлал: Савтай ус эсвэл усыг дүрсэлсэн дэвсгэр болон элсний хайрцганд загаснуудыг хийж тавьсан байна. Өнгөөр нь, хэлбэр дүрсээр нь, том жижгээр нь харгалзуулан тоолно, ялгана. Харгалзах тоонд нь тааруулан загасаа барина. Үнэлгээ:Хүүхдийн хөгжлийн ахицыг үнэлэхдээ 5.1.1- Тоо нь тодорхой хэмжээ илэрхийлдгийг мэднэ; 5.2.7 - 5 ширхэг эд зүйлсийг хэмжээгээр нь дараалуулна гэсэн асуултын дагуу ажиглалт хийж болно. ДҮРСЛЭХ УРЛАГ Хүрхрээ Зорилго: • Нэг өнгө (хөх өнгө) тод, гүн, цайвар зэрэг олон янз байдгийг турших  • Хүрээ дагуулан хайчлах, урах, наах, цаас хуйлах аргуудыг сурах • “Хүрхрээ»-ний онцлог байдлыг зохиомжлон дүрслэх Хэрэглэгдэхүүн: Хүрхрээний тухай бичлэг, кино, өнгөт зураг, цомог, усан будаг, гуашь,
  • 58.
    СУРГУУЛИЙНӨМНӨХБОЛОВСРОЛЫНСУРГАЛТЫНЦӨМХӨТӨЛБӨР 114 115 ХҮҮХЭДБҮХЭНДЭЭ“БИЧАДНА“ГЭСЭНИТГЭЛӨГЬЕ! бийр, жижигбагс, иштэй хөвөн, пролон, ватум цаас, цагаан болон өнгийн цаас, цавуу, хайч, харандаа, савх Аргачлал: Урьдчилсан ажиглалт, ярилцлага: Хүүхдэд хүрхрээний тухай кино, бичлэг үзүүлж ярилцана. Хүрхрээ дүрслэн урлах хүүхдийн саналыг өдөөж, дэмжинэ. Дүрслэх үйл: Том ватум цаасан дээр том хад зурж будна. Зурсан хадыг хүрээлэн хайчилж аваад самбар болон хананд байрлуулан наана. Том цаасыг баримжаалан 1 см өргөнтэй нарийн туузан цаас болгон хайчлах, урах үйл хийнэ. Урсан, хайчилсан туузан цаасыг хөх, хар хөх, цэнхэр, номин цэнхэр өнгөөр будна. Будсан туузан цаасны нэг үзүүрийг хаданд нааж нөгөө үзүүрийг харандаа, савх модоор ороож хуйлан хүрхрээний усны хүчтэй урсгал, хөөсрөх шуугих байдлыг дүрсэлнэ. Хүүхдүүд хүрхрээ дүрслэх үйлийн явцдаа түргэн хэллэгийг хэлцгээнэ. Түргэн хэллэг Гол, урсана Горхи хоржигноно Хүрхрээ, хүрхэрнэ Өндрөөс буух хүрхрээний доор бяцхан гүн цөөрмийг дүрслэн том цаасыг цэнхэр, гүн цэнхрээр будаж байрлуулна. Хүүхдүүд санаачилгаараа цөөрмийн захаар мод өвс, цэцэг ургуулан наах зэрэг баяжилтыг хийнэ. Хүүхдүүд хүрхрээ дүрслэн хийж дуусаад өмнө сурсан «Хүрхрээ» тоглоомыг бататган тоглоно. Хүүхдүүд тоглоомын үгийг хэлээд гарыг алдлан дээш өргөх, долгилуулан доош буулгах зэргээр сүрлэг хад, асар өндрөөс хүрхрэн буух усыг дүрслэн хөдөлгөөн хийж тоглоно. Тоглоомын үгийг аялгуулан хэлж тоглож болно. Эгц өндрөөс Эрчлэн буух Хүрхрэн шуугина Хүүхдүүд биширнэ Үнэлгээ: Хүүхдийн хөгжлийн ахицыг үнэлэхдээ 6.1.5 - Бэлэн дүрс, зургийг янз бүрийн будгаар хүрээнээс илүү гаргалгүй будна; 6.2.10 - Урлан бүтээхдээ бүтээлчээр хандана гэсэн асуулгын дагуу ажиглалт хийж болно. Бороо Зорилго: • Хүүхдүүд хамтаараа «Бороо орж буй» онцлог байдлыг илэрхийлэн дүрслэх  • Нэг өнгө (хөх, хар өнгө) тод, гүн, цайвар зэрэг олон янз байдгийг турших  • Хүрээ дагуулан хайчлах, уяж зангидах, наах, зохиомж хийх Хэрэглэгдэхүүн: Борооны тухай бичлэг, кино, өнгөт зураг, цомог, харандаа, усан будаг,гуашь, бийр, жижиг багс, иштэй хөвөн, пролон, ватум цаас,цагаан болон өнгийн цаас, цавуу, наалдамхай тууз, утас, хайч Аргачлал: Урьдчилсан ажиглалт, ярилцлага: Хүүхдэд борооны тухай кино, бичлэг үзүүлнэ, сэргээн ярилцана. Борооны дараа усан дуслууд хэрхэн алга болдог, юу үүсгэдэг тухай ярилцана. Дүрслэх үйл: Ватум цаасан дээр борооны том үүл зурж будна. Зурсан үүлийг хүрээлэн хайчилж аваад самбар болон хананд байрлуулан наана. Цаасан дээр борооны дуслыг дуурайлган зураад будна. Дуслуудыг будаж дуусаад хүрээлэн хайчилж авна. Утас, наалдамхай тууз ашиглан хайчилсан борооны дуслуудыг үүлнээс бороо орж буй мэт зүүж дүүжилнэ. Борооны үүлийг том, жижиг хэд хэдийг хийж болно. Хүүхдүүд усан дуслуудыг олноор нь хийвэл бороо орох мэт болно. “Бороо” хөдөлгөөнт тоглоом тоглоно. Тайлбар: Хүүхдүүд борооны дуслыг зураад будахаас гадна хөх, цэнхэр өнгийн цаасан дээр зураад хүрээлэн хайчилж дүрсэлж болно. Үнэлгээ: Хүүхдийн хөгжлийн ахицыг үнэлэхдээ 6.1.4 - Үндсэн өнгийг мэднэ, хэрэглэнэ; 6.1.11 - Үзсэн харсан зүйлээ өөрийн бүтээлдээ тусгана гэсэн асуултын дагуу ажиглалт хийж болно. Хорготой загас Зорилго: • Туузан цаасыг уртаар нь тэнцүү нугалах, давхраар цэг хүртэл хайчлах, дэлгээд ус дүрслэх • Ам дөрвөлжин цаасаар загас эвхэх • Бийрийн мөр, толбоор загас зурж дүрслэх Хэрэглэгдэхүүн: Хорготой загас, загасны тухай бичлэг, кино, өнгөт зураг, цомог, ватум том цаас, цагаан цаас, цэнхэр өнгийн туузан (А-4 хэмжээтэй цаасыг уртаар нь тэнцүү хуваана.) цаас, хайч, цавуу, жижиг өнгийн цаас 2-5 ширхэг, усан будаг, гуашь, бийр Аргачлал: Урьдчилсан ажиглалт, ярилцлага: Загасны амьдралын тухай бичлэг, кино, өнгөт зураг, цомогтой танилцаж ярилцана. Бүлгийн шилэн хорготой загасыг ажиглан ярилцана. Өмнө сурсан ам дөрвөлжин цаасаар төрөл бүрийн загас эвхэх аргыг сэргээн бататгана. Дүрслэх үйл: Цэнхэр өнгийн туузан цаасны урт хоёр ирмэгийг давхцуулан тэнцүү нугална. Цаасны урт хоёр ирмэгийг голын нугалаастай давхцуулан уулзуулж дахин нугална. Ингэснээр туузан цаас уртаараа дөрөв тэнцүү нугалагдана. Дөрөв тэнцүү нугалсан урт цаасыг давхраар нь нарийн тууз хэлбэртэй хайчилна. Гэхдээ бүр хуваахгүй, зурагт үзүүлсний дагуу чигчий хуруу хэрийн өргөн зай үлдээж хоёр талаас нь хайчилна. Хайчилсан туузан цаасыг болгоомжтой дэлгэнэ. Зурагт үзүүлсний дагуу өргөөш нь бага зэрэг сунгаж татахад усны долгио хэлбэр үүснэ. Үүссэн усны долгиог цагаан цаасанд нааж усыг дүрсэлнэ. Өнгийн жижиг цаасаар загас эвхэж усны долгион дээр нааж байрлуулна. Эсвэл хайчилсан усны долгионы хоорондын зайд бийрийн мөр толбоор загас дүрслэн зурж болно. Бүтээлээ хананд байрлуулж нөхдийнхөө бүтээлтэй танилцана. Үнэлгээ: Хүүхдийн хөгжлийн ахицыг үнэлэхдээ 6.2.10 - Урлан бүтээхдээ бүтээлчээр хандана; 6.2.11- Үзсэн харсан зүйлээ өөрийн бүтээлдээ тусгана гэсэн асуултын дагуу ажиглалт хийж болно.
  • 59.
    СУРГУУЛИЙНӨМНӨХБОЛОВСРОЛЫНСУРГАЛТЫНЦӨМХӨТӨЛБӨР 116 117 ХҮҮХЭДБҮХЭНДЭЭ“БИЧАДНА“ГЭСЭНИТГЭЛӨГЬЕ! Ус Зорилго: • Хавсранзурах аргад суралцах • Хавсран зурах аргаар ус дүрслэх Хэрэглэгдэхүүн: Усан будаг, зургийн дэвтэр, лаа Аргачлал: Багш муруй зураасыг ашиглан усны давалгаа дүрслэн зурна. Зурсан давалгааныхаа зургийг лаагаар давхарлан зурна. Хүүхдүүд усан будгаар зургийн дэвтрийн цаасыг жигд бүтэн будна. Лаагаар зурсан хэсэг тодорч харагдана. Тайлбар: Шулуун зураасыг ашиглан хүрхрээ зурж болно.Цаасан дээр харандаагаар тахир зураасаар усны долгио дүрслэн зурна. Баримлын шаврыг урт нарийн цувьж, цаасан дээрх усны долгиог дагуулан тавьж зөөлөн дарж тогтоон ус дүрсэлнэ. Үнэлгээ: • Хүүхдийн хөгжлийн ахицыг үнэлэхдээ 6.1.1 - Янз бүрийн аргаар зурна; 6.1.5 -Бэлэн дүрс, зургийг янз бүрийн будгаар хүрээнээс илүү гаргалгүй будна гэсэн асуултын дагуу ажиглалт хийж болно. Цасан ширхэг Зорилго: • Зураас дагуулан хайчлах, урах • Туузан цаасаар цасан ширхэг дүрслэх,наах • Цасан ширхэг давтагдашгүй өөр өөр байдгийг мэдэх Хэрэглэгдэхүүн: Цагаан, хөх, цэнхэр өнгийн цаас, цавуу Аргачлал: Хүүхдүүд цагаан цаасан дээрх зураасыг дагуулан хайчлах, урах үйл хийнэ. Хүүхдүүд хайчилж, урсан туузан цаасаар цасан ширхэг дүрслэн хөх, цэнхэр өнгийн том цаасан дээр байрлуулж наана. Хүүхдүүд аль болох олон янзын хэлбэр, хэмжээтэй цасан ширхэг дүрслэхийг дэмжинэ. Хүүхдүүд нөхдийнхөө наасан цасан ширхэгийг ажиглаж янз бүрийн хэлбэр дүрс, хэмжээтэй байгаагажиглан ярилцана. Хийсэн цасан ширхгээ утсаар оосорлон дээрээс зүүж цас оруулж тоглоно. Үнэлгээ: Хүүхдийн хөгжлийн ахицыг үнэлэхдээ 6.2.10 - Урлан бүтээхдээ бүтээлчээр хандана; 6.2.7 - Наамал хийхдээ дуртай байна гэсэн асуултын дагуу ажиглалт хийж болно. Тайлбар: Шулуун зураасыг янз бүрийн чиглэлд зурах аргаар цасан ширхгийг дүрсэлж болно. Зурсан цасан ширхгээ хүрээлэн хайчилж оосорлон зүүнэ. ХӨГЖИМ Ая Р. Түвшинсайхан Үг В. Нэргүй Том, жижиг I.Заан чи яагаад II. Эрвээхий чи яагаад Загаснаас өөр юм бэ? Элээнээс өөр юм бэ? Загас чи яагаад Элээ чи яагаад Заан шиг нүдтэй юм бэ? Эрвээхий шиг нисдэг юм бэ? Заан том уу? Загас том уу? Эрвээхий жижиг үү, элээ жижиг үү? Заан том заан том Эрвээхий жижиг Эрвээхий жижиг Зантгар толгойтой Эрээн далавчтай Заан том Эрвээхий жаахан жаахан Зорилго: • Дууны үгийг тогтоох • Хөгжмийг сонсоод аялгуу, хэмнэлд тохируулан үгийг зөв хуваарилан дуулах Хэрэглэгдэхүүн: Даралтад хөгжим, төгөлдөр хуур, зурагт үзүүлэн Аргачлал: Дууг дуулж сонсгоно. Үзүүлэн ашиглан утгыг ярилцана. Дууны үгийг мөр мөрөөр аялгуутай холбон дуулна. Алдаатай болон хүндрэлтэй хэсгүүд дээр дахин ажиллана. Дууны хэмнэлд тохируулан хөдөлгөөн хийнэ Утга санааг үйл хөдлөл, нүүрний хувирлаар илэрхийлнэ. Үнэлгээ:Хүүхдийн хөгжлийн ахицыг үнэлэхдээ 7.1.3 - Хөгжмийг сонсоод аялгуу, хэмнэлд тохируулан үгийг зөв хуваарилан дуулна; 7.1.4 - Нийтээр дуулахдаа бусдыг сонсож, хамтарч дуулна гэсэн асуултын дагуу ажиглалт хийж болно. Сонсоод гүйцэтгэ Зорилго: • Чимээг сонсоод юуны чимээ болохыг мэдэх • Мэдрэмж, төсөөллөө дүрслэн зурах Хэрэглэгдэхүүн: Усны урсгал, хүрхрээний чимээ, хуурцагт хөгжим, цаас, өнгийн харандаа Аргачлал: Хөгжмийг сонсоод аялгууг ямар зураасаар дүрсэлж болох вэ? Хөгжмийг сонсоод аялгууг ямар өнгөөр илэрхийлэх вэ?
  • 60.
    СУРГУУЛИЙНӨМНӨХБОЛОВСРОЛЫНСУРГАЛТЫНЦӨМХӨТӨЛБӨР 118 119 ХҮҮХЭДБҮХЭНДЭЭ“БИЧАДНА“ГЭСЭНИТГЭЛӨГЬЕ! Үнэлгээ: Хүүхдийн хөгжлийнахицыг үнэлэхдээ 7.1.1 - Хөгжмийг дуртайяа сонсож, дүрслэлээ илэрхийлнэ гэсэн асуултын дагуу ажиглалт хийж болно. 3.2. “Өглөөний тойрог”-ийн зарим жишээ Шинэ өглөөг таатай угтах, хүүхдийн зан байдлыг эерэгээр удирдах, тухайн өдөр явагдах үйл ажиллагаанд хүүхдийг өдөөх, хүүхдүүдэд бие биеэ сонсох, сэтгэл санаагаа хуваалцах боломж олгох үүднээс цэцэрлэгүүд “Өглөөний тойрог”-ийг янз бүрийн арга хэлбэрээр явуулдаг туршлагатай болж байна. Тойргийн цагт бүх хүүхэд оролцоно. Хүүхдүүд хивсэн дээр эсвэл сандлаа тойрог хэлбэрээр байрлуулан сууна. Тойргийн цаг нь өдөр бүр тогтмол цагт явагддаг учраас яваандаа хүүхдүүд өөрсдөө багшийн сануулгагүйгээр суудлаа эзэлдэг болно. Хүүхдүүдийг хүлээлгэж сонирхлыг нь бууруулахгүйн тулд багштухайн өдөр хэрэглэх хэрэглэгдэхүүнээ бэлтгэсэн байна.Хүүхдэд өмнө нь сурч мэдсэн зүйл, оролцсон үйл явдлыг сэргээх, тухайн өдөр юу хийх гэж байгаа зэргийг тайлбарлахад багшид карт, ном, зураг, биет үзүүлэн, зургийн хэрэгсэл гэх мэт зүйлс хэрэг болно. Тойргийн цагийн үргэлжлэх хугацааг нас болон хүүхдүүдийн тухайн өдрийн зан байдалд тохируулан тогтооно. Хүүхдүүд идэвхтэй, оролцоо сайн байвал цаг амархан өнгөрнө. Хүүхдүүд тухайн өдөр их хөдөлгөөнтэй байвал хугацааг богиносгож болно. Ихэвчлэн 15-20 минут үргэлжилнэ, бага ангид үүнээс богино хугацаатай байж болно. “Өглөөний тойрог”-ийг эхлэх Хүүхдийг цэцэрлэгтээ буюу яг одоо тойргийн цагтаа цуглараад байгааг илтгэсэн дуугаар эхэлбэл илүү зохистой. Дорнод аймгийн 1 дүгээр цэцэрлэгийн тойргийн мэндчилгээнээс Өглөөний тойргийг дасгалаа хийж, төрийн дуулал сонсож хүндэтгэл үзүүлсний дараа хийнэ. Багш, хүүхдүүдтэй хамт: Гар гараасаа бариарай Гар гараасаа бариарай Том тойрог болоорой Том тойрог болоорой гэж дуулахад хүүхдүүд гар гараасаа барин том тойрог болж зогсоно. Сайн байна уу? мэндчилгээний дууг бүгдээрээ хамтран дуулна. Сайн байна уу? Сайн байна уу? Найзуудаа Баруун,зүүн гараараа ээлжлэн даллах хөдөлгөөн хийнэ.“Найзуудаа” гэхэд хоёр гараа дээш өргөн даллана. Сайн байна уу? Сайн байна уу? Багшаа Хоёр гараа урагш болгоно. Золгож буй хөдөлгөөн хийнэ. Бүгдээрээ уулзсандаа баяртай байна.(Хөгжмийн хэмнэлд тохируулан алгаа ташна.) Сайхан амарцгаасан уу? (2 гараа дээш өргөн даллана.) Дуугаа дуулж дуусаад хүүхдүүд тойргоор өвдгөө нугалан сууж найзтайгаа мэндэлнэ. (Өвдгөө нугалан суух нь эрүүл мэндэд ач холбогдолтой.) Найзтайгаа мэндлэхдээ нэрийг нь бүтэн хэлнэ. Жишээ нь: Сайн байна уу? Пүрэврагчаа, Сайхан амарсан уу? Мэндчилгээг багш хэсгээр буюу нийтээр нь хийлгэж болно. Мэндчилгээ хийж дуусаад дараагийн үйл ажиллагаанд шилжинэ. Мөн багш нар өөрсдөө мэндчилгээний дуу зохиож, хүүхдүүдтэйгээ хамтдаа дуулж болно. Жишээ нь: “Тавтай морил”, “Өглөөний мэнд”. Дууны үгсийг аль нэг цоглог дууны аянд эсвэл өөрөө ая зохион тогтсон дуутай болоод авч ч болох юм. “Тавтай морил” дуу Өнөөдөр Болд энд байна Өнөөдөр Болд энд байна На на на на на на Өнөөдөр Болд энд байна (Хүүхэд нэг бүрийн нэрийг хэлж, алгаа ташиж, багш хамтран дуулна. Хүүхэд үлгэр зохиол, дуу шүлгэнд өөрийнх нь нэрийг оруулан хэлэхэд их дуртай байдаг бөгөөд тойргийн цагаар ингэж дуулах нь ирцийг давхар бүртгэх сайн талтай.) “Өглөөний мэнд” дуу Өглөөний мэнд, өглөөний мэнд Өглөөний мэнд чамд хүргэе Бидний өдөр эхэлж байна Бүгдээрээ их зүйлийг хийцгээе ээ (Багш, хүүхдүүд хамтран алгаа ташин дуулна. Хүүхэд бүрийг тухайн өдөр асар олон зүйл хийх болно гэсэн эрч хүч, дохио өгч сэдэлжүүлнэ.) Орхон аймгийн 10 дугаар цэцэрлэгийн “Өглөөний тойрог”-ийн үйл ажиллагаанаас Хүүхэд бүр тухайн өдрийн сэтгэл санааныхаа байдлыг зураг болон яриагаар илэрхийлнэ. Хэрэглэгдэхүүн: Сэтгэл санааны байдлыг илэрхийлсэн зурагт хуудас, хүүхэд бүрийн таних тэмдэг Явц: Хүүхэд цэцэрлэгтээ ирээд  Айсан  Ичсэн  Гайхсан  Нойрмоглосон  Өвдсөн  Уурласан  Баярласан зэрэг сэтгэлийн хөдөлгөөн илэрхийлсэн зурагт хуудасны аль нэг дээрсэтгэл санаа нь ямар байгааг илэрхийлж, таних тэмдгээ тогтооно. Найз нөхдөдөө мэндчилгээ дэвшүүлсний дараагаар өөрийнхөө сэтгэл санааны байдлыг илэрхийлнэ. Жишээ нь: - Би цэцэрлэгтээ ирэхдээ ааваараа хүргүүлсэн болохоор баяртай ирсэн. - Цас орсон болохоор гайхсан. - Би өглөө босохдоо нойрмоглосон. Яагаад гэвэл би их орой унтсан гэх мэтээр ярилцах ба бусад нөхөд нь сонсож, өөрийн ээлж ирэхэд мөн ярина. Дараа нь хүүхдүүд оюун ухаан хөгжүүлэх цэгт иллэг хийнэ. Тойргийн цагийг бид хэл яриа хөгжүүлэх цаг гэж чухалчлан үздэг учраас багш заримдаа тодорхой сэдвээр чиглүүлж өгдөг. “Өглөөний тойрог”-ийн зарим санаа - Хэрвээ 1 дэх өдөр бол амралтын өдрүүдээр юу хийсэн тухай ярилцана. Бусад өдөр нь өчигдөр цэцэрлэгээ тараад гэртээ юу хийсэн тухай, мөн тухайн өдрийн тухай ярихыг хүсэж буй хүүхдээр яриулж болно. Заримдаа ярих сонирхолгүй хүүхдийг багш өдөөн яриулж бас болно. - Цаг агаарын тухай асууж ярилцана. Хүүхдүүдтэйгээ хамт бүтээсэн цаг агаарын хуанли ашиглаж, тэмдэглэж болно.
  • 61.
    СУРГУУЛИЙНӨМНӨХБОЛОВСРОЛЫНСУРГАЛТЫНЦӨМХӨТӨЛБӨР 120 121 ХҮҮХЭДБҮХЭНДЭЭ“БИЧАДНА“ГЭСЭНИТГЭЛӨГЬЕ! - Өмнөнь сурсан зүйлсийг сэргээн сануулж ярилцана. Санаж ярьсан хүүхдийг стикер, таван хошуу зэргээр урамшуулж болно. - Өнөөдөр ямар хөгжүүлэх үйл ажиллагаа явуулах, ач холбогдол нь юуболох, хэрхэн түүнд оролцох, “Багш нь тэднийг сайн байна.” гэдэгт итгэж байгаагаа хэлэх зэргээр хүүхдийг тухайн өдрийн явуулах үйл ажиллагаанд идэвхтэй оролцохыг уриалан, сэдэлжүүлнэ. - Хүүхэд тухайн өдөр өөрсдөө юу хийхээр төлөвлөж ирснээ ярьж танилцуулна. Дээрх санаануудыг бүгдийг нэг дор гүйцэлдүүлнэ гэж үгүй. Багш та өөр олон сайхан шинэлэг санаа олж, тойргийн цагаа хөгжилтэй, үр дүнтэй зохион байгуулаарай. Зарим жишээ Тухайн үед ажиллаж байгаа сэдэвтэйгээ уялдуулан “Тойргийн цаг”-аар тодорхой үйл ажиллагаануудыг бэлтгэн явуулж бас болно. Энд зарим жишээг харууллаа. Юу алга болов? Хэд хэдэн жижиг зүйлсийг цар дээр байрлуулсан байна.Нэг бүрээр нь хүүхдүүдэд харуулж, нэрлүүлнэ. Цар дээр байгаа зүйлсийг алчуураар бүтээнэ. Бүтээх үедээ ямар нэг зүйлийг сугалан авна. Алчуурыг буцаан аваад юу байхгүй болсныг хүүхдүүдээр олуулна, тайлбарлаж ярилцана. Тэр олсон зүйл нь тухайн өдөр явуулах хөгжүүлэх үйл ажиллагааны сэдэвтэй уялдсан байвал зохистой. “Хувцаслах” тоглоом Нарны шил, малгай, ороолт, цамц, бээлий гэх мэт хувцас, хэрэгслээр дүүргэсэн уут байна. Хөгжим тавихад хувцастай уутыг хүүхдүүд тойруулан бие биедээ дамжуулна. Хөгжим зогсмогц ууттай хувцсыг барьж буй хүүхэд ямар нэгэн хувцсыг сонгон авч өмсөнө. Юу авсан, түүнийгээ өмсөнө. Хүүхдүүд өмссөн хувцсаа хараад маш их хөгжилддөг бөгөөд энэ тоглоомд их дуртай байх болно. Уутыг хоосортол нь тойруулж, тоглоомыг үргэлжлүүлнэ. Нохой, муурны хөөцөлдөөн Тойргоор сууж буй хүүхдүүдэд зөөлөн материалаар хийсэн муур өгнө. Эхний хүүхдээс дараагийн хүүхдэд гэх мэтээр тойруулан дамжуулна. Муур тойргоор хэд хэд дамжсаны дараа өөр нэг хүүхдэд нохой өгнө. Хоёулаа зэрэг хүүхдүүдийн гардамжинтойрно.“Нохой муурыг барьж чадах нь уу?” гэдгийг харна. Үүний үр дүн нь асар их хөгжилдөөн инээдэм болдог. Бамбаруушийг дуурайх Багш чихмэл бамбарууш өвдөг дээрээ авч суусан байна. Хүүхдүүдийг тойрог хэлбэрээр зогсоон бамбаруушийн хөдөлгөөнийг дуурайлгана. Бамбаруушийг дээш үсэргэнэ, гараа хөлд нь хүргэнэ, гарыг нь толгойд хүргэнэ, алга ташна, хөлөө дэвсэлнэ, гараа даллана ... гэх мэт. Энэ нь хөгжмийн аяар явагдана. Олбогоо солих Хүүхдүүд олбогон дээрээ (Мөн сандлынхаа урд зогсож болно.) зогсоно. Хүүхдүүдийн дуртай зүйлсийг нэрлүүлнэ. Жишээ нь: Тэд “Миний дуртай зайрмаг бол ...”, “Би эрвээхий харах дуртай.”, “Манай нохой хөөрхөн”, “Би тоглоомон морь жолоодох дуртай.” гэх мэтээр хариулна. Аль нэг хүүхдийн хэлсэн дуртай зүйл өөрт нь таалагдвал хүүхэд түүнтэй олбогоо (сандлаа) сольж зогсоно. Энэ нь хүүхэд бусдынхаа талаар энгийн зүйлсийг мэдэж авах сайн талтай. …Зоригтой хүн ажлыг эхлүүлж, хариуцлагатай хүн амжилттай хийж, сэтгэлтэй хүн чанартай дуусгадаг. Зөвлөмж боловсруулсан: Сургуулийн өмнөх боловсролын сургалтын цөм хөтөлбөрийн багийн гишүүд Ном зүй: 1. Сургуулийн өмнөх боловсролын сургалтын цөм хөтөлбөр, БСШУ-ы сайдын 2015 оны ... тушаал 2. KOMPIK Beobachtungs-und Einzaetzungsbogen fuer Kinder von 3,5 bis 6 Jahre, Toni Mayr, Christina Bauer und Martin Krause/ Dezember 2010, Staatsinstitut fuer Fruehpaedagogik 3. Монгол улсын стандарт, БАГА,ДУНД БОЛОВСРОЛ, 1-р хэсэг: Сургуулийн өмнөх боловсролын агуулга, Стандарт, хэмжил зүйн үндэсний төв, 1998 оны 13 дугаар тогтоол 4. Сургуулийн өмнөх боловсролын сургалтын үлгэрчилсэн цөм хөтөлбөр 2000 он, Улаанбаатар, Гэгээрлийн яам, Боловсролын хөгжлийн сургууль 5. “Сургуулийн өмнөх боловсролын сургалтын талаар баримтлах бодлого”, БСШУ-ы сайдын 2007 оны 20 дугаар тушаал 6. “Сургуулийн өмнөх боловсролын сургалтын талаар баримтлах бодлого”, БШУ-ы сайдын 2013 оны А327 тоот тушаал 7. Т.Эрдэнэчимэг, “Багачуудынбиебялдрыгхөгжүүлэхсургалтыноноларгазүй”, 2014 он, УБ 8. Л.Алтансувд, “Бага насны хүүхдийн математикийн энгийн төсөөлөл хөгжүүлэх арга зүй”, 2008 он, УБ 9. Ц.Наранцэцэг, Сургуулийнөмнөхнасныхүүхдийнхэляриагхөгжүүлэхаргазүй, 2008 он, УБ 10. Н.Норжхорлоо, Т.Энхмаа. Я.Отгонжаргал “Бага насны хүүхдийн сургалтын хөтөлбөр” 2007 он, УБ 11. Л.Алтансувд, “Сургуулийн өмнөх насны хүүхдийн сэтгэцийн хөгжлийн оношилгоо”, 1999 он, УБ 12. “Багшид өгөх зөвлөмж”, Emthaty хэвлэлийн газар 13. М.Шинэцэцэг, “Ус- Чандмань эрдэнэ” /Монтессори хичээл/, 2012 он, УБ ------- о О о ------
  • 62.
    ХАВСРАЛТ • Төрөөс боловсролынталаар баримтлах бодлого 2014-2024 • Сургуулийн өмнөх боловсролын сургалтын талаар баримтлах бодлого • Сайдын зурвас
  • 63.
  • 64.
    СУРГУУЛИЙНӨМНӨХБОЛОВСРОЛЫНСУРГАЛТЫНЦӨМХӨТӨЛБӨР 126 127 ХҮҮХЭДБҮХЭНДЭЭ“БИЧАДНА“ГЭСЭНИТГЭЛӨГЬЕ! Монгол УлсынИх Хурлын 2015 оны 12 дугаар тогтоолын хавсралт ТӨРӨӨС БОЛОВСРОЛЫН ТАЛААР БАРИМТЛАХ БОДЛОГО /2014-2024 он/ Нэг. Нийтлэг үндэслэл 1.1. Боловсрол нь иргэн бүрийн насан туршийн амьдралын чанарыг дэмжин баталгаажуулах, улс орны нийгэм, эдийн засаг, шинжлэх ухаан, технологийн хөгжлийн түлхүүр хүчин зүйл, үндэсний тусгаар тогтнол, аюулгүй байдлын баталгаа хэмээн үзэж, Монгол Улсын төрөөс боловсролыг нийгмийн тэргүүлэх салбар болгон хөгжүүлнэ. 1.2. Төрөөс боловсролын талаар баримтлах бодлогын зорилго нь иргэн бүр авьяас, чадвараа хөгжүүлэн, үр бүтээлтэй хөдөлмөрлөж, аз жаргалтай амьдрахад шаардагдах мэдлэг, чадвар, чадамжийг эзэмшин, ёс суртахуун, хүмүүнлэг ёсыг дээдлэн сахиж, үндэсний нийтлэг үнэт зүйлсийг өвлөн насан туршдаа суралцах боломжоор хангах зорилго бүхий үйл ажиллагааны цогц тогтолцоо бүрдүүлэхэд оршино. 1.3. Төрөөс боловсролын талаар баримтлах бодлого нь дараах зорилтыг хэрэгжүүлэхэд чиглэнэ: 1.3.1. боловсролыг хөгжүүлэх бодлого, стратеги, төлөвлөгөө, хөтөлбөр, төсөл боловсруулах, хэрэгжүүлэхэд бодлого боловсруулагч, хэрэгжүүлэгч, мэргэжлийн холбоо, эрдэм шинжилгээний байгууллага, судлаач, иргэний оролцоог хангах; 1.3.2. боловсролын талаар шийдвэр гаргах үйл явц нь нээлттэй, ил тод, судалгаа, нотолгоонд суурилсан, сайн засаглалын зарчимд нийцсэн байх; 1.3.3. боловсролын байгууллагын хөгжлийн бодлого, төлөвлөлтийг бүтэц, байршил, онцлог хэв шинжид уялдуулан уян хатан тогтоож байх; 1.3.4. боловсролын удирдлагын бүх түвшинд төрийн болон орон нутгийн, мэргэжлийн, олон нийтийн төлөөллийн байгууллагын бүрэн эрх, үйл ажиллагааны зааг ялгаа, уялдаа холбоог тогтоож, эрх зүйн хувьд баталгаажуулах; 1.3.5. боловсролын салбарын удирдлагын мэдээллийн нэгдсэн системийг хөгжүүлж, мэдээллийн ил тод, аюулгүй байдлыг хангах, дэд бүтцийг өргөтгөх. Хоёр.Боловсролын хөгжлийн талаар баримтлах зарчим 2.1. Төрөөс боловсролын талаар баримтлах бодлогыг хэрэгжүүлэхэд дараах зарчмыг баримтална: 2.1.1. иргэн бүрд үзүүлэх боловсролын үйлчилгээ нь олон улсад хүлээн зөвшөөрөгдөхүйц чанартай, хүртээмжтэй байх; 2.1.2. уламжлалт зан заншил, түүх, соёлын онцлогийг шингээсэн ерөнхий боловсролыг иргэн бүр заавал эзэмших, малчин өрхийн хүүхдийн хэрэгцээ, шаардлагыг харгалзсан бодлого явуулах; 2.1.3. боловсролын үйл хэргийг төрийн зүгээс нэгдсэн бодлого зохицуулалт, санхүүгийн тогтвортой эх үүсвэрээр хангаж, аж ахуйн нэгж, олон нийт, иргэдийн оролцоог дэмжин, ил тод, нээлттэй, хяналттай байлгах; 2.1.4. хүний эрх, эрх чөлөө, нэр төр, эрдмийн эрх чөлөө, ардчиллын үнэт зүйлс, үндэсний түүх, хэл, соёл, өв уламжлал, зан заншлыг хүндэтгэх; 2.1.5. боловсролын байгууллагын үйл ажиллагаа нь ялгаварлан гадуурхалтаас ангид, иргэдийн эрх ашиг, эрүүл мэнд, ёс суртахуун, нийгмийн аюулгүй байдалд харшлахгүй байх; 2.1.6 боловсролын байгууллагын багш, ажилтан, суралцагчийн эрхийг хүндэтгэж, тэдний эрх зөрчигдөхөөс урьдчилан сэргийлэх; 2.1.7 боловсролын бодлого, үйл ажиллагаа тогтвортой, тасралтгүй, нээлттэй, техник, технологийн дэвшилд суурилсан, залгамж холбоотой байх; 2.1.8. иргэдийн насан туршид суралцах хэрэгцээ, суралцагчийн сонирхол, авьяас, чадвар, хөгжлийн онцлогт нийцсэн, тэдэнд тэгш боломж олгосон, олон хувилбартай, чөлөөтэй, нээлттэй байх; 2.1.9. албан болон албан бус боловсролын нийт байгууллагыг бүх насны иргэдийн боловсролын хэрэгцээнд нийцсэн үйлчилгээ үзүүлэх чадамжтай болгох; 2.1.10. бүх шатны боловсролын үйл ажиллагаанд иргэдийн эрх ашиг, эрүүл мэнд, ёс суртахуун, нийгмийн аюулгүй байдалд сөрөг нөлөө үзүүлж болзошгүй хүмүүнлэг бус үзэл, онол сурталчлах, аль нэг нам, эвслийн үзэл суртал тулгах, мансууруулах бодис, хүн болон байгаль орчинд ноцтой сөрөг нөлөө үзүүлэхүйц үйлдвэрлэл, ажил, үйлчилгээг зохион байгуулахыг хориглох. Гурав.Боловсролын хөгжлийн стратеги, удирдлага, зохион байгуулалт 3.1. Боловсролын үйл хэргийг удирдахад төрийн болон нутгийн захиргааны, иргэний нийгмийн байгууллага, гэр бүл, нийгмийн бүх салбарын оролцоонд суурилсан хамтын ажиллагааг бэхжүүлнэ. 3.2. Сургуулийн өмнөх боловсролыг “хүүхдийг сургах, сургуульд бэлтгэх” гэсэн зорилгоос илүүтэйгээр хүний хөгжлийн үндэс, өөрийн онцлог, чадвар, бүтээлч үйлээрээ хөгжих, насан туршийн боловсролын суурь үе хэмээн хөгжүүлнэ. 3.3. Бага боловсролыг эх хэлний чадамжийг эзэмших боломжийг бүрдүүлэн бүтээлч, сурах арга барилтай монгол хүүхэд төлөвших үе хэмээн хөгжүүлнэ. 3.4. Суурь боловсролыг амьдрах ухаан, шинжлэх ухааны суурь мэдлэг, чадвар, бие даан бүтээлчээр суралцах чадамж эзэмших үе хэмээн хөгжүүлнэ. 3.5. Бүрэн дунд боловсролыг сонголттой, уян хатан хөтөлбөрөөр мэдээлэл боловсруулах, шийдвэр гаргах чадвар бүхий, ирээдүйд эзэмших мэргэжлийн суурь баримжаа олгох үе хэмээн хөгжүүлнэ. 3.6. Дээд болон мэргэжлийн боловсрол нь хөдөлмөрийн даяарчлагдсан зах зээлд амжилттай өрсөлдөх, бие даан ажлын байр бий болгох, улс үндэстний болон орон нутагт тулгамдаж байгаа асуудлыг үндэсний онцлогт тулгуурлан шийдвэрлэх, үндэсний инновацийн чадавхыг бэхжүүлэхэд хувь нэмрээ оруулах чадамж эзэмших үе хэмээн хөгжүүлнэ. 3.7. Бүрэн дунд, мэргэжлийн, дээд боловсролын агуулга, боловсролын зэргийг харилцан хүлээн зөвшөөрөх тогтолцоог бүрдүүлнэ. 3.8. Боловсролын байгууллагад өмчийн хэлбэр харгалзахгүй адил тэгш шаардлага тавьж, хууль тогтоомжийн хүрээнд дэмжлэг үзүүлнэ. 3.9. Ерөнхий боловсрол нь 12 жилийн тогтолцоотой байх бөгөөд ерөнхий боловсрол эзэмших сургалтын тасралтгүй, залгамж чанарыг хангаж, олон улсад хүлээн зөвшөөрөгдсөн шатлал, бүтцийг баримтална. 3.10. Боловсролын байгууллагын орчинд суралцагчийг эрсдэлд өртөхөөс урьдчилан сэргийлэх, нийгмийн сөрөг үзэгдлээс хамгаалах нөхцөл, боломжийг бүрдүүлнэ. 3.11. Боловсролын салбарт гарч байгаа бүтээлч санал, санаачилга, үйл ажиллагааг дэмжин, түгээн дэлгэрүүлнэ. 3.12. Боловсролын салбарт жендэрийн тэгш байдлыг хангах бодлого боловсруулж, үе шаттай хэрэгжүүлнэ. 3.13. Боловсролын хөгжлийн стратегийг тодорхойлох, нийтлэг зохицуулалт хийхэд зөвлөх эрх бүхий мэргэжлийн гишүүдээс бүрдсэн боловсролын зөвлөлийг байгуулж, тогтвортой ажиллуулна. 3.14. Насантуршийнболовсролынүйлчилгээнийтөрөл,хэлбэр,сургалтынбайгууллагыгөргөжүүлэн бэхжүүлнэ. 3.15. Боловсролын байгууллагын хараат бус, бие даасан байдал, дээд болон мэргэжлийн боловсролын байгууллагын академик эрх чөлөөг хангана. 3.16. Дээд боловсролын байгууллагын судалгааны үйл ажиллагааг дэмжинэ. 3.17. Дээд болон мэргэжлийн боловсролыг хөгжлийн бодлого, хөдөлмөрийн зах зээлийн эрэлт, нийлүүлэлттэй уялдуулна. 3.18. Бүх шатны боловсролын байгууллагын үйл ажиллагаанд өөрийн үнэлгээ, дотоод мониторингийн тогтолцоог хөгжүүлнэ.
  • 65.
    СУРГУУЛИЙНӨМНӨХБОЛОВСРОЛЫНСУРГАЛТЫНЦӨМХӨТӨЛБӨР 128 129 ХҮҮХЭДБҮХЭНДЭЭ“БИЧАДНА“ГЭСЭНИТГЭЛӨГЬЕ! Дөрөв. Боловсролынагуулга, стандарт, сургалтын технологи, чанарын үнэлгээ 4.1. Иргэн бүрд насан туршдаа боловсрол эзэмших орчин, нөхцөл, боломжийг бүрдүүлэн, нас, бие, сэтгэцийн онцлог, авьяас, хүсэл, сонирхолд нийцүүлж мэргэжил, чадвараа дээшлүүлэх сургалтын төрөл, хэлбэрийг дэмжин хөгжүүлнэ. 4.2. Боловсролын олон улсын хөгжлийн чиг хандлагад нийцүүлэн орон нутаг, үндэсний онцлогт суурилсан музей, кино, хэрэглэгдэхүүн, лабораторид түшиглэн үйлийн явцад суралцах боломжийг бүрдүүлэхэд бүх талын оролцоог хангана. 4.3. Боловсролын агуулга, стандарт, сургалтын технологи, сурах бичиг, бусад хэрэглэгдэхүүн, сургалтын байгууллагын үйлчилгээнд тавих стандарт, шаардлагыг тогтвортой мөрдөн, чанар, үр дүнг тогтмол үнэлж зохицуулалт хийнэ. 4.4. Бүх шатны сургалтыг төрийн албан ёсны хэл, бичгээр явуулж, уламжлалт монгол бичгийн сургалт, хэрэглээг үе шаттай нэмэгдүүлнэ. Суралцагчдын дийлэнх олонх нь хүн амын өөр хэл бүхий үндэстний цөөнх байвал эх хэлээрээ бага боловсрол эзэмших нөхцөл, боломжоор хангаж, хос хэлний сургалтын бодлого, хөтөлбөр хэрэгжүүлнэ. 4.5. Гадаад улсад амьдарч байгаа монгол хүүхдэд үндэсний боловсролын суурь чадамж эзэмшүүлэх хөтөлбөр хэрэгжүүлнэ. 4.6. Бүх шатны сургалтын хөтөлбөр, агуулга, арга зүйд монголын түүх, хэл, соёл, үндэсний өв уламжлал, зан заншил, эх оронч сэтгэлгээ, хувь хүний төлөвшил, хөгжил, хүн төрөлхтний нийтлэг үнэт зүйлийг тусган хэрэгжүүлнэ. 4.7. Гадаад хэлний сургалтыг эх хэлний суурь чадамжийг бүрэн эзэмшүүлэхтэй уялдуулан зохион байгуулах ба сургуульд заах үндсэн гадаад хэл нь англи хэл байна. 4.8. Сургуулийн өмнөх, бага, суурь, бүрэн дунд боловсролын стандарт, цөм хөтөлбөрийг төрөөс тогтоож, чанар, үр дүнг үнэлнэ. 4.9. Суралцагч бүрийн авьяас, чадвар, сонирхлыг харгалзан ахлах ангид стандартаас давсан агуулгаар сургалт зохион байгуулахыг дэмжинэ. 4.10. Бүх шатны боловсролын хөтөлбөрт сайн дурын үйл ажиллагааны төрөл, агуулга, хэлбэрийг тодорхойлж хэрэгжүүлнэ. 4.11. Дээд болон мэргэжлийн боловсролын сургалтын хөтөлбөрийг хөгжлийн бодлого, хөдөлмөрийн зах зээлийн эрэлт, нийлүүлэлт, шинжлэх ухаан, технологийн дэвшил, иргэдийн сурах хэрэгцээ, ажлын байранд тавих шаардлагатай уялдуулан тасралтгүй хөгжүүлнэ. 4.12. Дээд болон мэргэжлийн боловсролын чанарын баталгаажилт, магадлан итгэмжлэлийн тогтолцоог төгөлдөржүүлэх, олон улсын сургалтын хөтөлбөр, боловсролын зэргийг харилцан хүлээн зөвшөөрөх нөхцөлийг бүрдүүлнэ. 4.13. Дээд болон мэргэжлийн боловсролыг олон улсын нийтлэг жишгийг баримжаалан төрөл бүрийн хэв шинжтэйгээр хөгжүүлнэ. Тав. Хүний нөөцийн хөгжлийг дэмжих тогтолцоо 5.1. Багш бэлтгэх сургалтын байгууллагын хөгжлийг дэмжсэн эрх зүйн орчныг сайжруулж, бүх талын дэмжлэг үзүүлнэ. 5.2. Багшийн мэргэжлийн ур чадвар, нэр хүнд, ёс зүй, шаардлага, хариуцлагыг өндөржүүлэн, хөдөлмөрийг бодитой үнэлэх тогтолцоог бүрдүүлнэ. 5.3. Боловсролын мэргэшсэн удирдах болон бусад ажилтныг хүний нөөцийн төлөвлөлт, бодлоготой уялдуулан сургаж бэлтгэх, дадлагажуулах, тогтвор суурьшилтай ажиллах нөхцөлийг бүрдүүлнэ. Зургаа. Боловсролыг тогтвортой хөгжүүлэх эдийн засаг, санхүүжилтийн тогтолцоо 6.1. Бүх шатны боловсролын байгууллагын үйл ажиллагааны санхүүжилт, хөрөнгө оруулалтын хэмжээг үйлчилгээний стандарт, чанар, хүрэх үр дүнтэй уялдуулан тогтооно. 6.2. Боловсролын санхүүжилтийг олон эх үүсвэртэй болгох, зориулалтын дагуу үр өгөөжтэй ашиглана. 6.3. Багш, ажилтан, суралцагчийн хөгжлийг дэмжих, нийгмийн асуудлыг шийдвэрлэх санхүүгийн уян хатан, үр дүнтэй тогтолцоог бүрдүүлнэ. 6.4. Сургалтын материаллаг баазыг бэхжүүлэхэд үндэсний үйлдвэрлэл, хөрөнгө оруулагчдыг дэмжинэ. 6.5. Бүх шатны сургалтын байгууллагыг хүний нөөцийн хөгжил, хөрөнгө оруулалт, санхүүжилтээр дэмжсэн аж ахуйн нэгж, байгууллага, олон улсын байгууллага, хандивлагч орны зээл, тусламж, иргэдийн бодит дэмжлэгийг хөхиүлэн дэмжинэ. 6.6. Боловсролын салбарын төсвийг дотоодын нийт бүтээгдэхүүний өсөлттэй уялдуулан тогтвортой нэмэгдүүлж, захиран зарцуулах эрх мэдлийг орон нутагт шилжүүлнэ. 6.7. Сургуулийн өмнөх боловсролын үндсэн зардлыг төрөөс санхүүжүүлж, хоолны зардлыг эцэг эх, асран хамгаалагч нь хуваалцах зарчмыг баримтална. Долоо. Боловсролын салбар дахь хамтын ажиллагаа, бодлогын хэрэгжилт, үнэлгээ, шалгуур А.Хамтын ажиллагаа, түншлэл: 7.1. Иргэдийн насан туршийн боловсрол эзэмших үйл хэргийг хөгжүүлэхэд төр, дотоод, гадаадын олон нийт, мэргэжлийн байгууллага, аж ахуйн нэгж, иргэдийн оролцоо, хувь нэмрийг хөхиүлэн дэмжиж, түншлэлийг өргөжүүлэн хүлээх үүрэг, хариуцлагыг дээшлүүлнэ. 7.2. Олон улс, бүс нутгийн боловсролын байгууллагын үйл ажиллагаанд идэвхтэй оролцох, хамтарсан хөтөлбөр, төсөл хэрэгжүүлэх, харилцан мэдээлэл солилцох, бодлогыг уялдуулан зохицуулна. 7.3. Дэлхийн болон олон улсын боловсролын төрөлжсөн байгууллагад гишүүнээр элсэх, салбар, нэгж байгуулах, конвенцид нэгдэн орохыг дэмжинэ. Б.Бодлогын хэрэгжилт, үнэлгээ: 7.4. Боловсролын хууль, эрх зүйн баримт бичиг, хөгжлийн хөтөлбөр, бодлого, стратеги төлөвлөгөө боловсруулж хэрэгжүүлэхэд энэхүү бодлогыг иш үндэс болгож, шаардагдах хөрөнгийг жил бүрийн улсын төсөвт тусган хэрэгжүүлнэ. 7.5. Төрөөс боловсролын талаар баримтлах бодлогын хэрэгжилтийн явцад хяналт-шинжилгээ, үнэлгээ хийж, хоёр жил тутам Монгол Улсын Засгийн газар Улсын Их Хуралд тайлагнаж, боловсролын чанарын үр дүнд тогтмол үнэлэлт, дүгнэлт өгч байна. В.Бодлогын хэрэгжилтийн шалгуур үзүүлэлт: 7.6. Монгол хүүхэд бүр үндсэн, цагийн, улирлын, ээлжийн, явуулын багшийн, нүүдлийн зэрэг хэлбэрээр сургуулийн өмнөх боловсролын үйлчилгээнд хамрагдсан байна. 7.7. Ерөнхий боловсролын сургалтын олон улсад хүлээн зөвшөөрөгдсөн стандарттай дүйцэхүйц үндэсний хөтөлбөрийг нэвтрүүлж, олон улсын хөтөлбөрийн магадлан итгэмжлэлд 2018-2019 оны хичээлийн жилд хамрагдсан байна. 7.8. Сурлагын амжилтын олон улсын чанарын үнэлгээний судалгаанд 2021 онд хамрагдана. 7.9. Ерөнхий боловсролын сургуульд заах арга зүй, сургалтын технологиор мэргэшсэн магистр зэрэгтэй багшийн эзлэх хувийг 70 хувьд хүргэнэ. 7.10. Ерөнхий боловсролын сургууль нэг ээлжээр хичээллэх боломж бүрдсэн байна. 7.11. Боловсролын удирдлага, мэдээллийн нэгдсэн системийг 2016-2017 оны хичээлийн жилээс үндэсний хэмжээнд бүрэн нэвтрүүлсэн байна. 7.12. Тэргүүлэх чиглэлийн дээд болон мэргэжлийн боловсролын 20-оос доошгүй хөтөлбөр олон улсад магадлан итгэмжлэгдсэн байна. 7.13. Монгол Улсын дөрвөөс доошгүй их сургуулийг Азийн шилдэг 100 их сургуулийн эгнээнд хүргэсэн байна. 7.14. Боловсролд мэдээллийн технологи, нээлттэй агуулга, хөтөлбөрийг хөгжүүлсэн байна. -------оОо-------
  • 66.
  • 67.
    132 133 СУРГУУЛИЙНӨМНӨХБОЛОВСРОЛЫНСУРГАЛТЫНЦӨМХӨТӨЛБӨР ХҮҮХЭДБҮХЭНДЭЭ“БИЧАДНА“ГЭСЭНИТГЭЛӨГЬЕ! МОНГОЛ УЛСЫН БОЛОВСРОЛ,ШИНЖЛЭХ УХААНЫ САЙДЫН ТУШААЛ 2013 оны 08 сарын 28 өдөр Дугаар А/327 Улаанбаатар хот Бодлого батлах тухай Монгол Улсын Засгийн газрын тухай хуулийн 24 дүгээр зүйлийн 24.2 дахь хэсэг, Сургуулийн өмнөх боловсролын тухай хуулийн 5 дугаар зүйлийн 5.3 дахь хэсгийг тус тус үндэслэн ТУШААХ нь: 1. “Сургуулийн өмнөх боловсролын сургалтын талаар баримтлах бодлого”-ыг нэгдүгээр, “Сургуулийн өмнөх боловсролын сургалтын зохион байгуулалт”-ыг хоёрдугаар хавсралт ёсоор тус тус баталсугай. 2. Бодлого хэрэгжүүлэх ажлыг арга зүйн удирдлагаар хангаж ажиллахыг Стратегийн бодлого, төлөвлөлтийн газар /Б.Насанбаяр/, Бодлогын хэрэгжилтийг зохицуулах газар /Д.Эрдэнэчимэг/, хэрэгжилтийг үр дүнтэй зохион байгуулж ажиллахыг аймаг, нийслэлийн Боловсролын газрын дарга нарт тус тус үүрэг болгосугай. 3. Энэхүү тушаал батлагдсантай холбогдуулан Боловсрол, соёл, шинжлэх ухааны сайдын “Бодлого, төлөвлөгөө батлах тухай” 2007 оны 20 дугаар тушаалыг хүчингүй болсонд тооцсугай. Л.ГАНТӨМӨР Сургуулийн өмнөх боловсролын сургалтын талаар баримтлах бодлого Нэг. Нийтлэг үндэслэл Монгол Улсын Их Хурлын 2008 оны 12 дугаар тогтоолоор баталсан “Мянганы хөгжлийн зорилтод суурилсан Үндэсний хөгжлийн цогц бодлого”-ын баримт бичигт “Суралцагчдад хүртээмжтэй, чанартай, хэрэгцээнд нь нийцсэн боловсрол эзэмших тэгш боломж бүрдүүлнэ. Боловсролын бүх шатны стандарт, сургалтын хөтөлбөрийг тухайн үеийн суралцагчийн хэрэгцээ, нийгмийн шаардлагад нийцүүлэн боловсронгуй болгоно” гэсэн зорилтууд дэвшүүлсэн. Төрөөс бага насны хүүхдийг хөгжүүлэхэд анхаарал тавьж, цэцэрлэгийн чанар, хүртээмжийг нэмэгдүүлэх, сургуулийн өмнөх боловсролын үйлчилгээнд хамрагдаж чадахгүй байгаа малчдын болон төв суурин газрын хүүхдүүдэд хувилбарт сургалтаар сурч хөгжих боломж олгох бодлогыг хэрэгжүүлж ирлээ. 2012- 2013 оны хичээлийн жилийн мэдээгээр улсын хэмжээнд сургуулийн өмнөх боловсролд хамрагдвал зохих 2-5 насны нийт хүүхдийн 77,6% болох 181,0 мянган хүүхэд сургуулийн өмнөх боловсролд хамрагдсаны 83,0% нь цэцэрлэгт, 17,0% нь хувилбарт сургалтад хамрагдаж байна. Сургуулийн өмнөх боловсролын эрэлт хэрэгцээ нь цэцэрлэгийн хүрэлцээ хангамжийн асуудлаас гадна чанарын асуудалтай холбоотой. Цэцэрлэгт явагдаж буй өдөр тутмын үйл ажиллагаа нэгэн хэв загварт баригдсан, “хичээл төвт” сургалт давамгайлсан, хүүхдэд өөрийнхөө онцлог болон эрэлт хэрэгцээнд нийцсэн дэмжлэг туслалцаа авах, аливаа үйлд сонголттой, идэвхтэй, бүтээлчээр оролцох боломж бага байна. Сургуулийн өмнөх боловсролын сургалтын талаар баримтлах бодлогын зорилго нь хүүхэд бүрийг бие, сэтгэлээр эрүүл өсгөн бойжуулахад багш, судлаач, эцэг эх хамтарч ажиллахад чиглэл өгч, дэмжлэг үзүүлэхэд оршино. Сургуулийн өмнөх боловсролын сургалтын талаар баримтлах бодлого нь хурдацтайгаар өөрчлөгдөн байгаа нээлттэй, өрсөлдөөнтэй, мэдээлэлжсэн нийгэмд Боловсрол, шинжлэх ухааны сайдын 2013 оны 8 сарын 28-ны өдрийн 327 тоот тушаалын нэгдүгээр хавсралт
  • 68.
    134 135 СУРГУУЛИЙНӨМНӨХБОЛОВСРОЛЫНСУРГАЛТЫНЦӨМХӨТӨЛБӨР ХҮҮХЭДБҮХЭНДЭЭ“БИЧАДНА“ГЭСЭНИТГЭЛӨГЬЕ! зохицон амьдрахчадвартай хүүхдийг бага наснаас нь хөгжүүлэхэд өөрийн орны уламжлал, онцлогт түшиглэн, олон улсын чиг хандлагатай нийцүүлж, эцэг эх, багш, судлаач, олон нийтийн оролцоог ханган хамтран ажиллах зарчимд тулгуурлана. Эрдэмтэн, судлаачдын олон төрлийн судалгаагаар сургуулийн өмнөх насны хүүхдийн тархи хамгийн уян хатан, суралцах өргөн боломжийг агуулдаг онцлогтой нь тогтоогдсон. Мөн энэ насанд хүний төлөвшлийн суурь тавигддаг. Иймээс сургуулийн өмнөх боловсролыг “хүүхдийг сургах, сургуульд бэлтгэх” гэсэн зорилгоос илүүтэйгээр хүний хөгжлийн үндэс суурь, өөрийн онцлог, чадвар, бүтээлч үйлээрээ хөгжих, насан туршийн боловсролын чухал үе хэмээн хөгжүүлэх шаардлага урган гарч байна. ХОЁР. БОДЛОГЫН ҮНДСЭН ЧИГЛЭЛ Сургуулийн өмнөх боловсролын сургалтын талаар баримтлах бодлогыг дараах үндсэн чиглэлээр хэрэгжүүлнэ. Үүнд: 1. Сургалтын стандарт, хөтөлбөрийг боловсруулах; 2. Хүүхэд бүрийн хөгжлийг дэмжих сургалтын арга зүй, технологийг хөгжүүлэх; 3. Сургуулийн өмнөх боловсролын чанарын үнэлгээний тогтолцоог бий болгох; 4. Хүний нөөцийг бэлтгэх, чадваржуулах; 5. Сургуулийн өмнөх боловсролын сургалтын орчныг сайжруулах; 6. Сургуулийн өмнөх боловсролын байгууллагын бие даасан байдал, хамт олны бүтээлч үйл ажиллагааг дэмжих зэрэг багтана. ГУРАВ. БОДЛОГЫГ ХЭРЭГЖҮҮЛЭХЭД БАРИМТЛАХ ЗАРЧИМ Сургуулийн өмнөх боловсролын сургалтын талаар баримтлах бодлогыг хэрэгжүүлэхэд дараах үндсэн зарчмыг баримтална. Үүнд: 1. Хүүхдийн нас, сэтгэц, хөгжлийн онцлогт нийцэх; 2. Хүүхэд бүрийн онцлогийг харгалзах; 3. Хүүхдийн тал бүрийн хөгжлийг хангах; 4. Хүүхэд бүрийг сургуулийн өмнөх боловсрол эзэмших тэгш боломжоор хангах; 5. Боловсролын чанарыг хүүхдийн чадамж (эзэмшсэн мэдлэг, чадвар, төлөвшил)-аар үнэлэх; 6. Тоглох нь хүүхдийн суралцах үндсэн үйл байх; 7. Сургалтын арга зүй, технологийг боловсронгуй болгоход чиглэсэн байх; 8. Эцэг эх, багш хамтран ажиллах түншүүд байх. ДӨРӨВ. ҮЙЛ АЖИЛЛАГААНЫ ЧИГЛЭЛ 4.1. Сургалтын стандарт, хөтөлбөрийг боловсруулах чиглэл Сургуулийн өмнөх боловсролын сургалтын талаар баримтлах бодлого, стратеги, бага насны хүүхдийн суралцахуйн талаар дэлхийн улс орнуудын баримталж буй чиг хандлага, монгол хүүхдийн онцлогт баримжаалан сургуулийн өмнөх насны хүүхдийн сургалтын хөтөлбөрийг хөгжүүлнэ. Сургалтын хөтөлбөрийн зорилго, агуулга, арга зүй, хэрэглэгдэхүүн, үнэлгээ нь хүүхдийн хөгжлийн ахиц, амжилтын үр дүнд чиглэсэн, нээлттэй байна. Цэцэрлэг сургалтын хөтөлбөрөө байгууллагынхаа үзэл баримтлалыг үндэслэн боловсруулна. 4.1.1. Хүүхдийн суралцах үйлийн онцлог Бага насны хүүхэд бол төрөлхийн сониуч зангаараа хүрээлэн буй орчноо таньж мэдэх их хүсэл эрмэлзэлтэй, аливааг оролдож, хийхийг чармайж байдаг, хүлээж авсан мэдээллээ боловсруулж чаддаг, харилцааны явцад зөв буруу, сайхан муухайг ялган салгаж, бусдын дунд дасан зохицох чадвартай, идэвхтэй суралцагч билээ. Хүүхдийн суралцах үйлд дараах онцлогийг харгалзан үзнэ. -Хүүхэд хайр халамжтай, тайван амгалан, чөлөөтэй, хөдөлгөөнтэй байх нөхцөлд идэвхтэй суралцдаг. -Хүүхэд ямар нэг юм, түүний онцлог, үзэгдэл, үйл явдлын учир холбогдлын талаар бусадтай санаагаа солилцож байж хорвоо ертөнцийн талаарх мэдлэгээ бүтээдэг. -Хүүхэд сонирхсон, сэтгэлийг нь хөдөлгөсөн зүйлийг удаан хугацаанд мартдаггүй. -Аливаа зүйлд өөрийн дур сонирхлоор дуртай, баяр баясгалантай, хөгжилтэй оролцох тохиолдолд илүү бүтээлчээр суралцдаг. -Даган дуурайх нь хүүхдийн суралцах гол үйл явц болдог. -Хүүхэд бодит амьдралын орчны үйл явцад томчуудтай хамтран оролцож, өөрийг нь итгэлтэй хамтрагч гэж үзэж байгааг мэдэрсэн тохиолдолд илүү хурдтай суралцдаг. -Хүүхэд бүхий л мэдрэхүйнхээ тусламжтайгаар туршлага хуримтлуулж, тухайн үйлд идэвхтэй оролцож, өөрөө хийж гүйцэтгэх, турших, бодох боломжтой үед илүү суралцан хөгждөг. 4.1.2. Сургалтын зарчим Нэгдмэл (интеграцчилсан) сургалт Хүүхэд хуучин мэддэг зүйлээ шинээр сурч буй зүйлтэйгээ холбож, юмс, үзэгдлийн учир шалтгаан, холбоо хамаарлыг ухаарч ойлгох, үлдэцтэй мэдлэг, чадвар эзэмшихэд нь дөхөмтэй, нэгдмэл агуулгаар сургуулийн өмнөх боловсролын үйл ажиллагааг зохион байгуулна. Багш хүүхдийн суралцах үйлийг дэмжигч Хүүхдийн суралцах үйлийг дэмжигчийн хувьд багш хүүхдэд хэрэгтэй, сонирхолтой өргөн агуулгыг сонгож, сургалтын олон төрлийн арга барилыг ашиглан, хүүхдийг идэвхжүүлнэ. Багш хүүхдэд тодорхой мэдлэг, нарийн ур чадвар эзэмшүүлэх гэхээс илүүтэй тэдний эзэмшсэн мэдлэг, чадваруудыг өдөр тутмынх нь амьдралтай холбох, хэрэглээ болгох, шинэ санаа өгөхөд анхаарна. Хүүхэд бол мэдлэгээ өөрөө бүтээгч Хүүхэд өмнөх мэдлэгээ хэрэглэж, түүгээрээ дамжуулан шинэ мэдлэг бүтээх чадвартай байх нь чухал. Тэгэхээр томчуудын дэмжлэг, заавраар тухайн хүүхдийн хүрч чадах түвшинг багш тогтоож, хүүхэдтэй чин сэтгэлээсээ ойр дотно харилцаж дараагийн шат руу хөтөлж чиглүүлнэ. Орчин бол “гуравдагч багш” Оновчтой бүрдүүлсэн сургалтын орчин нь хүүхдийн сонирхол, сэтгэлийг татаж, урам зориг оруулж, тэдний бүх талын хөгжилд нөлөөлдөг тул багш, эцэг эхээс гадна “гуравдагч багш”-ийн үүрэг гүйцэтгэнэ. Орчин нь хүүхдийн суралцах үйлийг өдөөж эрэл хайгуул хийх боломж олгосон, хөдөлгөөнийг дэмжсэн, өөрийн орны соёлыг тусгасан, осол аюулгүй болон ариун цэврийн шаардлагыг хангасан байна. 4.2. Хүүхэд бүрийн хөгжлийг дэмжих сургалтын арга зүй, технологийг хөгжүүлэх чиглэл Багш нарт хүүхэд бүрийг мэдэрч, ойлгож, хүндэтгэж харилцах хандлагыг төлөвшүүлж, хүүхэд бүрийг хөгжүүлэх арга зүй эзэмшихэд дэмжлэг үзүүлэх нь сургуулийн өмнөх боловсролын талаар баримтлах бодлогын чухал хэсэг гэж үзнэ. Арга зүй нь бага насны хүүхдийн сургалтын зарчмуудыг хэрэгжүүлэхэд чиглэнэ. Цэцэрлэг сургалтын хөтөлбөрөө боловсруулахдаа сонгосон сэдвийн хүрээний зорилго, үйл ажиллагааны хувилбарууд, арга, хэрэглэгдэхүүн, үнэлгээ хийхэд шаардагдах мэдээллийг цуглуулах арга зам зэргийг нэгдмэл байдлаар тусгаж төлөвлөнө. 4.3. Сургуулийн өмнөх боловсролын чанарын үнэлгээний тогтолцоог бий болгох чиглэл 4.3.1. Хүүхдийн хөгжлийн үнэлгээ Хүүхдэд гарч буй ахиц, өөрчлөлтийг үнэлэх нь тэдний цаашдын хөгжил, суралцах үйлд оновчтой дэмжлэг үзүүлэх боломжийг бүрдүүлнэ. Тухайн хүүхдийн онцлогийг илрүүлэх, хөгжлийн ахицыг тогтоохын тулд шаардлагатай мэдээллүүдийг цуглуулж, баримтжуулна. 4.3.2. Багшийн үнэлгээ Багшийн ажлын үнэлгээний үндсэн шалгуур нь хүүхдийн хөгжлийн ахиц болон багшийн хүүхдүүдтэй харилцаж, ажиллаж буй арга барил, чадвар байна. Багшийн үнэлгээ нь өөрийн болон хөндлөнгийн (эцэг эх, хамт олон) үнэлгээгээр хийгдэнэ. 4.4. Хүний нөөцийг бэлтгэх, чадваржуулах чиглэл Багш болох хүсэл сонирхолтой, авьяас чадвартай сурагчдыг цэцэрлэгийн багшийн мэргэжлийг сонгон суралцахад дэмжсэн сургалтын төлбөрийн хөнгөлөлтийн бодлогыг хэрэгжүүлнэ.
  • 69.
    136 137 СУРГУУЛИЙНӨМНӨХБОЛОВСРОЛЫНСУРГАЛТЫНЦӨМХӨТӨЛБӨР ХҮҮХЭДБҮХЭНДЭЭ“БИЧАДНА“ГЭСЭНИТГЭЛӨГЬЕ! Багшийн мэргэжилгэдэг бол хүний сэтгэлийн эмзэг нандин ертөнцөд тасралтгүй нэвтрэн орох, хүн судлалын мэргэжил билээ. “ ” В.А.Сухомлинский Цэцэрлэгийн багшийг дипломын дээд, бакалавр зэрэгтэй, арга зүйч, эрхлэгчдийг магистр болон түүнээс дээш зэрэгтэй байхаар бэлтгэх тогтолцоог бий болгож, сургалтын төлөвлөгөө, хөтөлбөрийг шинэчилнэ. Хөгжингүй орнуудад магистр, докторын сургалтад суралцах иргэнд сургалтын төлбөрийнхөнгөлөлтүзүүлэх,суралцагчдыг оюутны солилцооны хөтөлбөрт хамруулах бодлогыг хэрэгжүүлнэ. Гадаадаас сургуулийн өмнөх боловсролын мэргэжилтэн урьж ажиллуулах, харилцан туршлага солилцох, цэцэрлэгийн багш, удирдах ажилтныг багш солилцооны хөтөлбөрт хамруулахад дэмжлэг үзүүлнэ. Хөгжлийн бэрхшээлтэй хүүхэдтэй ажиллах багш нарын чадавхыг сайжруулах, багшийг шинээр бэлтгэх бодлогыг хэрэгжүүлнэ. Багшид мэдээлэл, харилцааны техник технологийг ашиглан мэдлэг, чадвараа дээшлүүлэх, мэргэжил нэгт нөхөдтэйгээ арга туршлагаа хуваалцах, хамтран ажиллах интернэт орчныг бий болгоно. 4.5. Сургуулийн өмнөх боловсролын сургалтын орчныг сайжруулах чиглэл Төрийн болон төрийн бус өмчийн цэцэрлэгүүдийг нэмэгдүүлэх ажлыг эрчимжүүлж, цэцэрлэгийн ачааллыг багасган нэг багшид ногдох хүүхдийн тоог норм хэмжээнд нь хүргэх чиглэл баримтална. Цэцэрлэг ээлжийн багштай болох асуудлыг шат дараатайгаар шийдвэрлэнэ. Цэцэрлэгийн орчны стандартыг шинээр боловсруулж мөрдөнө. Цэцэрлэгийн ангиудыг стандартын шаардлага хангасан тавилга, тоглоом наадгай, сургалтын хэрэглэгдэхүүнээр хангах ажлыг орон нутгийн төсөв, эцэг эх, олон нийтийн санаачилгад тулгуурлан гүйцэтгэнэ. Ердийн болон тусгай цэцэрлэгт шаардагдах орчныг бий болгон, хөгжлийн бэрхшээлтэй хүүхдийн сурч, хөгжих нөхцөлийг бүрдүүлнэ. 4.6. Сургуулийн өмнөх боловсролын байгууллагын бие даасан байдал, хамт олны бүтээлч үйл ажиллагааг дэмжих чиглэл Бие даасан байдлыг хангах гол арга зам нь цэцэрлэг тус бүр өөрсдийн үзэл баримтлалаа тодорхойлон “Сургуулийн өмнөх боловсролын сургалтын талаар баримтлах бодлого”-ыг хэрэгжүүлэхэд оршино. Ажлаа төлөвлөх, санхүүжилт, зохион байгуулалтыг хангах зэрэг шийдвэр гаргах түвшинд эцэг эх, асран хамгаалагчдыг оролцуулна. Хүүхэд бүрийн хөгжлийг дэмжихэд санаачилга гарган ажиллаж буй эцэг эх, асран хамгаалагч, иргэн, иргэний нийгмийн болон бусад байгууллага, олон улсын байгууллагын оролцоог дэмжинэ.
  • 70.
    139 ХҮҮХЭДБҮХЭНДЭЭ“БИЧАДНА“ГЭСЭНИТГЭЛӨГЬЕ! СУРГУУЛИЙНӨМНӨХБОЛОВСРОЛЫНСУРГАЛТЫНЦӨМХӨТӨЛБӨР 138 Би гурав дахиаУИХ-д сонгогдсон, залуу гишүүн. УИХ-ын Эдийн засгийн байнгын хорооны дарга, бүлгийн орлогч дарга, Ёс зүйн дэд хорооны дарга гээд олон хариуцлагатай алба хашсан. Өмнөх найман жилийн хугацаанд сайн, саар зөндөө л шийдвэр гаргалаа. Гэхдээ нэг л зүйл давтамжтай ажиглагдаад байсан юм. Бид өмнөө байгаа гарцаагүй шийдэх ёстой зарим асуудлыг шийдэж чаддаггүй. Жишээ нь, Тавантолгойг эргэлтэнд оруулж чадахгүй байсан. Уул уурхайн сайн хөгжил, хөрөнгө оруулалтын сайн орчныг бий болгож болох байсан ч, чадаагүй. Гэх мэтчилэн яг эцсийн мөчид шийдвэр гаргах чадвараа манай үе үеийн парламент алддаг. Өөрөөр хэлбэл бидний үеийнхэн шийдвэр гаргах чадварыг эзэмшээгүй юм байна. Хүмүүс их олон зүйл уншсан, сонссон, мэдсэн ч амьдрал дээрээ ярьж байгаа шигээ байж чаддаг уу? гэвэл харамсалтай нь үгүй байна. Нөгөөх нь шийдвэр гаргах түвшний хүмүүс мэдэж байгаа шигээ шийдвэр гаргаж чадаж байна уу гэвэл бас л үгүй. Найман жил УИХ-д суучихлаа. Дахиад сонгогдлоо. Цаг хугацаа гэдэг маш хурдан. Анх би УИХ-д нэр дэвшиж байхдаа хүүхдүүдэд спортын хувцас бэлэглэж байлаа. Намайг 2012 оны сонгуульд оролцоод явж байхад нөгөө хүүхдүүд маань их сургуулийн оюутан болчихсон “таны өгч байсан кет байгаа юм. Би тухайн үед их баярлаж байсан шүү” гэж хэлсэн. Юу юугүй л дараа үеийнхэн ингээд өсч хөгжөөд гараад ирдэг. Монголчууд бид их залуу ард түмэн шүү дээ. Боловсролын салбарт л гэхэд нийт хүн амын 40 шахам хувь нь ажиллаж, сурч байна. Гэтэл зарим ард түмний хувьд нийт хүн амынх нь 40 хувь нь тэтгэвэрт гарчихсан байгаа. Тэгэхээр ийм сайхан улс оронд хамгийн чухал зүйл бол хүн, хүүхэд юм. Хүүхдийн ирээдүйг тодорхойлох гол зүйл нь боловсрол. Улстөрчийн хувьд улс эх орондоо хэрэгтэй юм хийе гэвэл боловсролыг чанаржуулахын төлөө ажиллах хэрэгтэй гэж бодсон. Тэгээд 2010 оноос боловсролын салбарын мэргэжлийн найзуудтайгаа нийлээд дэлхийн боловсрол, түүний онцлог, монголын боловсрол ямар түвшинд байгаа талаар нилээд судалсан. Үүний үр дүнд боловсролын салбарт хоёр зүйл зайлшгүй шинэчлэх хэрэгтэй гэж дүгнэлт хийсэн. Нэгдүгээрт, системээ цаг үетэйгээ тааруулсан шинэчлэл. Систем гэдэг нь яам, удирдах ажилтан, сургуулийн удирдлагууд, сургууль цэцэрлэгийн багш нар болон тэдний харилцаа, эрх үүргийн асуудлыг хэлж байгаа юм. Гэтэл бүх эрх мэдэл яаман дээр төвлөрчихсөн сургууль, аймаг, дүүрэг болон багш нарт ямар ч эрх мэдэл байгаагүй. Яам сургалтын хөтөлбөр төлөвлөгөөг баталдаг, түүнийг нь бүгд ягштал мөрддөг, сайн мөрдсөн багш их сайнд тооцогдоно. Өөрийнхөөрөө ямар нэгэн зүйлийг сэтгэсэн нь алдаатай юм шиг харагддаг. Зарим сургалтын менежерүүд өөрийнхөөрөө ИРЭЭДҮЙТЭЙГЭЭ НОЦОЛДЪЁ САЙДЫН ЗУРВАС Эх сурвалж: www.gogo.mn хийсний төлөө ажлаасаа халагдсан тохиолдол ч бий. Хичээлээ хэзээ яаж орвол илүү үр дүнтэй, ашигтай вэ гэдгийг санаачилж хийснийхээ төлөө шүү дээ. Тиймээс энэ харилцааны шинэчлэлийг хийж байж чанарын өөрчлөлт гарах ёстой юм байна гэдгийг олж харсан. Жишээ нь, сургууль, багш нар эрх мэдэлтэй болох ёстой. Эрх мэдэл гэдэг нь хүүхдүүдээ сайн сургахын тулд яавал хамгийн сайн, зөв бэ гэж багш хичээж ажиллахыг хэлж байгаа хэрэг. Энэ салбарын 40 орчим мянган багш бүр хүүхдийн хөгжлийн төлөө бодлого бодох хэрэгтэй. Харамсалтай нь яаман дээр байдаг хоёр, гуравхан хүн бодоод, түүнийг нь бүхлээрээ дагадаг байсан. Энэ босоо удирдлагын систем өөрөө амьдрахгүй юм байна гэдэг нэг дэх дүгнэлт байсан. Хоёрдугаарт, боловсролын систем нь өөрөө хүүхдийг багаас нь муу сурдаг гэж тодруулаад, сүүлдээ хүмүүжил муутай хүн гэж тодотгоод нийгмийн нөгөө зах руу түлхчихдэг. Нэг хэсгийг нь болохоор лидер гэж товойлгоод одон медаль зүүж өгөөд, аваргууд болгочихдог. Тэгэхээр үүнийг өөрчлөхийн тулд хүүхэд бүр хөгждөг гэдгийг хүлээн зөвшөөрүүлж байж боловсрол чанарын хувьд сайжрах юм гэж бодсон. Нэг үгээр хэлбэл, монголчууд бид хүн болж төрөхийг арвай буудай тэвнийн үзүүр дээр торж тогтохтой ижил ховор хувь тохиол гэж үздэг. Хүний үнэ цэнийг ингэж дээдэлдэг монгол ухаанд суурилан хүүхэд бүрийг хөгжүүлснээр шийдвэр гаргах чадвартай, өөртөө итгэлтэй ирээдүйн монгол иргэнийг бэлтгэдэг систем хөгжүүлэхийг мөрөөдсөн. Би өөрөө инженер хүн. Тэгэхээр өнөөдөртэйгээ ноцолдсоноос ирээдүйтэйгээ ноцолдъё гэж бодож боловсролын сайд руу зүтгэсэн дээ. Гурван нас хүртэл нь хүүхдийг дураар нь байлгавал шийдвэр гаргах чадвар өөрийгөө илэрхийлэх чадвар, амьдрах чадвар сайтай болно. Эцэг эхчүүд гэртээ хүүхдийн шийдвэрт хүндэтгэлтэй хандвал сургууль дээр бид ингэж биеэ зовоох хэрэггүй юм л даа. Харамсалтай нь гурван нас хүртэл нь бид “Чи унт”, тэгж болохгүй, ингэж болохгүй, яаж байгаа юм гээд дандаа хориглох үг хэлээд байдаг. Бас эрхлүүлнэ. Түүнээс биш хүүхдийн хийж байгаа зүйлийг нь ойлгохыг хэн ч хичээхгүй, хэлэх гээд байгаа санааг нь хэн ч сонсдоггүй. Манай бага хүүхэд нэг настай “товариш” бий. “Хэн ч түүнд болохгүй гэсэн үг бүү хэрэглэ” гээд гэрийн дүрэм тогтоосон. Манай том хүүхдүүд өвөө, эмээтэйгээ ойрхон өссөн. Настай хүмүүс хүүхдийг боль гэхдээ зөв ярьдаг, учрыг нь гаргаж хэлдэг бол залуу хүмүүс шууд хориглодог юм байна. Манай хүүхдүүдийн хувьд өөрийнхөөрөө байж шийдвэр гаргах, гаргасан шийдвэртээ үнэнч байдаг чанар том хоёрт нь бий. Яг гардаад өсгөсөн хүүхдэд маань тэр чанар дутагддаг. Миний хувьд, би хүнээр загнуулж өсөөгүй. Энэ л намайг амжилт гаргахад нөлөөлсөн болов уу. Бидний үеийнхний нэг давуу тал олуулаа өссөн. Аав, ээж завгүй, үглэж яншдаг хүн байхгүй. Гэртээ хүүхдүүд л байдаг. Дөрөв, таван хүүхэд хамт байхад маш хурдан хөгждөг. Асуудлаа өөрсдөө шийднэ. Ямар хоол идэх вэ. Түлээгээ хэн хагалах вэ, усандаа хэн явах вэ, хашаа хороогоо хэн цэвэрлэх вэ гэдэг амьдралын үйл явцад хэн нэг хүн зааж зааварлахгүй. Аав тээврийн жолооч. Ээж ажилтай болохоор өглөөнөөс орой хүртэл эзгүй. Тэгэхээр нөхдүүд айдас байхгүй. Миний ах намайг захирах гэж оролдоогүй. Тэр бол гайхамшиг байсан. лу.гантөмөр: Гурван нас хүртэл нь хүүхдийг дураар нь байлгавал шийдвэр гаргах, амьдрах чадвар сайтай болно Эх сурвалж: Өдрийн сонин
  • 71.
    141140 СУРГУУЛИЙНӨМНӨХБОЛОВСРОЛЫНСУРГАЛТЫНЦӨМХӨТӨЛБӨР Албан даалгавар Суурь боловсрол,сургуулийн өмнөх боловсролын сургалтын цөм хөтөлбөрийг үндэсний түвшинд хэрэгжүүлэх тухай ........................ 08-10 2015-2016 оны хичээлийн жилийн зорилт ......................................... 11-12 Сургуулийн өмнөх боловсролын сургалтын цөм хөтөлбөр ..................... 13 • БСШУ-ы сайдын 2015 оны 7 дугаар сарын 10-ны өдрийн 301 дугаар тушаал ............................................................................ 14 • Цөм хөтөлбөрийн агуулга ................................................................... 15 • Цөм хөтөлбөрийн ерөнхий зүйл ..................................................... 16-20 • Цөм хөтөлбөрийн агуулга, хүрэх үр дүн ......................................... 21-54 • Ажиглалтын хуудас /3 хүртэлх насны хүүхэд/ ................................. 55-56 • Ажиглалтын хуудас /3-6 насны хүүхэд/ .......................................... 57-64 Сургуулийн өмнөх боловсролын сургалтын цөм хөтөлбөрийг хэрэгжүүлэх зөвлөмж .......................................... 65-122 Хавсралт • Төрөөс боловсролын талаар баримтлах бодлого ........................... 124-130 • Сургуулийн өмнөх боловсролын сургалтын талаар баримтлах бодлого .......................................... 131-137 • Сайдын зурвас .......................................................................... 138-139 АГУУЛГА
  • 72.
    142 Эмхэтгэж, хянан тохиолдуулсан: Б.Насанбаяр БСШУЯ-ны СБТГ-ын дарга Н.Норжхорлоо СӨБ-ын чанарын шинэчлэлийн хэрэгжилтийн багийн ахлагч Ж.Нарантуяа БСШУЯ-ны мэргэжилтэн Хэвлэлийн эх бэлтгэсэн: Г.Чинзориг Техник редактор: Г.Эрдэнэцогт Хэвлэлийн хуудас: 12 х.х Хэмжээ: В5 Сургуулийн өмнөх боловсролын сургалтын цөм хөтөлбөрийн талаарх дэлгэрэнгүй мэдээллийг www.meds.gov.mn/preschooleducation Боловсрол, соёл, шинжлэх ухааны яам Улаанбаатар хот, Сүхбаатар дүүрэг, Бага тойруу-44, Засгийн газрын III байр strategy@mecs.gov.mn
  • 73.
    145 2015 он СУРГУУЛИЙН ӨМНӨХ БОЛОВСРОЛЫНСУРГАЛТЫН ЦӨМ ХӨТӨЛБӨР ГАРЫН АВЛАГА СУРГУУЛИЙНӨМНӨХБОЛОВСРОЛЫНСУРГАЛТЫНЦӨМХӨТӨЛБӨР