B.SC. - II (MATHEMATICS)
ADVANCED CALCULUS
ROLLE’S THEOREM
By Preeti Shrivastava
SYNOPSIS
 Rolle’s Theorem
 Rolle’s theorem’s Example
 Lagrange’s Mean Value Theorem (first mean value
theorem)
 Example of Lagrange’s mean value theorem
 Cauchy’s Mean Value Theorem(second mean value
theorem)
 Example of Cauchy’s mean value theorem
ROLLE’S
THEOREM
Statement:-
If f(x) is a function of the variable x such that :-
 f(x) is continuous in the closed interval [a,b].
 f(x) is differentiable for every point in the open
interval (a,b).
 f(a) = f(b), then there is at least one point c such that
f’(c) =0.
Proof:-
 We need to know Close Interval and Open Interval:
 Open Interval:- An open interval is an interval that
does not include its two mid- point .The open interval
{x:a<x<b} is denoted by (a,b).
 Close Interval:- A closed interval is an interval that
include all its limit point. A finite number a and b
then the interval {x:a<x<b} is denoted by [a,b].
 Case 1:- If f(x) is constant then,
f(x) = k (constant)
f(a) = k
f(b) = k
 so, f(a) = f(b) f(a) f(b)
since, f(x) =k a b
therefore f’(x) =0
and f’(c) =0
 Case 2:- If function f(x) will first increase and then decreases.
Then at some point C consequently f(x) will be maximum.
Then f(c-h) < f (c) and f(c+h) < f(c)
f(c-h) – f(c) < 0 and f(c+h) - f(c) < 0
Taking limit on both sides:



x
h
cfhcf

 )()(
0 0
)()(


h
cfhcf
and
Case 3:- - If function f(x) w ill first decrease and then
increases. Then at some point C consequently f(x)
w ill be minimum.
Then
 – > 0

Taking limits on both sides:-



Verify Rolle’s theorem in the interval
(2,4] for the
function 𝒇 𝒙 = 𝒙 𝟐
− 𝟔𝒙 + 𝟖
Solution:-
Given that ,
𝑓 𝑥 = 𝑥2
− 6𝑥 + 8
[a,b] =[2,4]
a =2, b=4.
By Rolle’s theorem
∵ 𝑓 𝑥 = 𝑥2
− 6𝑥 + 8
∴ 𝑓′
𝑥 = 2𝑥 − 6
𝑓’(𝑐) = 2𝑐 − 6
∵ 𝑓’(𝑐) = 0
∴ 2𝑐 − 6 = 0
2𝑐 = 6
𝐶 = 3 ∈ [2,4]
Here a<c<b
Hence Rolle ’s Theorem is verified.
LAGRANGE’S
MEAN VALUE
THEOREM
Statement:-
If f(x) is a function of the variable x and :-
(1) f(x) is continuous in the closed interval [a,b].
(2) f(x) differentiable in the open interval (a,b), then there
exists at least one point c in the open interval (a,b) such
that
Proof:-
If f(x) is a function of the variable x.
Where A is constant to be determined such that
∵ f(x) is continuous in the closed interval [a,b).
∴ ∅(x)is also continuous in the closed interval [a,b].
Again, ∵ f(x) differentiable in the open interval (a,b).
∴ ∅(x) is also differentiable in the open interval (a,b).
Hence by the Rolle’s theorem,
Then there exist at least one point c such that ∅’ c = 0
…. III
From equation (I)
∅(x) = f(x) + A.x
∅(a) = f(a) + A.a ….. IV
∅(b) = f(b) + A.b …… V
From equation (II)
∅(𝑎) = ∅(𝑏)
𝑓(𝑎) + 𝐴. 𝑎 = 𝑓(𝑏) + 𝐴. 𝑥
𝐴. 𝑎 – 𝐴. 𝑏 = 𝑓(𝑏) – 𝑓(𝑎)
−𝐴(𝑏 − 𝑎) = 𝑓(𝑏) – 𝑓(𝑎)
−𝐴 =
𝑓 𝑏 −𝑓(𝑎)
𝑏−𝑎
… . . (𝑉𝐼)
Again, from equation (I)
∅(𝑥) = 𝑓(𝑥) + 𝐴𝑥
∅’(𝑥) = 𝑓’(𝑥) + 𝐴
…… VII
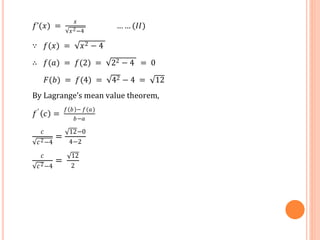
Example:-
Verify Lagrange’s mean value theorem for the function
in the interval [2,4].
Solution:-
It is given that
𝑓’(𝑥) =
𝑥
𝑥2−4
… … (𝐼𝐼)
∵ 𝑓(𝑥) = 𝑥2 − 4
∴ 𝑓(𝑎) = 𝑓(2) = 22 − 4 = 0
𝐹(𝑏) = 𝑓(4) = 42 − 4 = 12
By Lagrange’s mean value theorem,
𝑓′
𝑐 =
𝑓 𝑏 − 𝑓(𝑎)
𝑏−𝑎
𝑐
𝑐2−4
=
12−0
4−2
𝑐
𝑐2−4
=
12
2
 Squaring on both side
bCa
C
C
C
CC
CC
C
C









462
6
6
488
41248
48124
4
12
4
2
2
22
22
2
2

Hence Lagrange’s Theorem is Verified.
CAUCHY’ MEAN
VALUE THEOREM
Statement:-
If two function f(x) and g(x) are:-
Continuous in the Closed Interval [a,b].
Differentiable in the Open Interval [a,b].
Then there is at least one point c such that:-
where a<c<b
 Proof:-
Now consider a function F(x) defined by:-
F(x)= f(x)+ A(x) ……….(I)
Where A is a constant to be determined
)()(
)()'(
ab
aFbF



 )('
)('
c
cF
such that :
F(a) = F(b) ……….(II)
Since f(x) are continuous in closed interval
[a,b].
So, F(x) is also continuous in closed interval
[a,b].
 Again,
f(x) are differentiable in Open interval
(a,b).
So, F(x) is also differentiable in the open
interval (a,b)
Then all condition of Rolle’s Theorem will be
satisfied .
 Hence by the Rolle’s Theorem there at least
one Point C in
 open interval (a,b) such that F’(c) =0
……(III)
from Equation (1):-
 F(x) = f(x) + A ∅(x)
 F(a) = f(a)+ A ∅(a) ……..(IV)
 F(b) = f(b)+ A ∅(b) ………(V)
 Now from Equation (II), we get:-
F(a) =F(b)
𝑓 𝑎 + 𝐴 ∅ 𝑎 = 𝑓 𝑏 + 𝐴 ∅ 𝑏
𝐴 ∅ 𝑎 − 𝐴 ∅ 𝑏 = 𝑓 𝑏 − 𝑓(𝑎)
−𝐴 ∅ 𝑏 − ∅ 𝑎 = 𝑓 𝑏 − 𝑓(𝑎)
− 𝐴 =
𝑓 𝑏 − 𝑓(𝑎)
∅ 𝑏 − ∅(𝑎)
……….(VI)
Again from Equation (I) we get :
𝐹 𝑥 = 𝑓 𝑥 + 𝐴 ∅ 𝑥
𝐹′
𝑥 = 𝑓′
𝑥 + 𝐴 ∅ 𝑥
𝐹′
𝑐 = 𝑓′
𝑐 + 𝐴 ∅(𝑐)
Now From Equation (III)
Ans..
Hence Proved
EXAMPLE:-
VERIFY CAUCHY’S MEAN VALUE THEOREM FOR FUNCTION
AND IN INTERVAL [1,2]
It is given that,
𝑓 𝑥 = 𝑥2
+ 1
∅ 𝑥 = 2𝑥3
𝑎, 𝑏 = 1,2
Since a=1 , b=2
By the Cauchy’s Mean Value Theorem,
𝑓′ (𝑐)
∅′ (𝑐)
=
𝑓 𝑏 −𝑓(𝑎)
∅ 𝑏 −∅(𝑎)
……(I)
𝑓 𝑥 = 𝑥2
+ 1
𝑓 𝑎 = 𝑎2
+ 1
𝑓 𝑎 = 1 + 1
And 𝑓 𝑏 = 22
+ 1
𝑓 𝑏 = 4 + 1 = 5
∅ 𝑥 = 2𝑥3
∅ 𝑎 = 2𝑎3
∅ 𝑎 = 2 × 13
∅ 𝑎 = 2
And ∅ 𝑏 = 2 + 23
= 16
Since 𝑓 𝑥 = 𝑥2
+ 1
There fore 𝑓′
𝑥 = 2𝑥
So 𝑓′
𝑐 = 2𝑐
And ∅ 𝑥 = 2𝑥3
∅′
𝑥 = 6𝑥2
∅′
𝑐 = 6𝑐2
Hence from Equation (I) :
Since [a<c<b]
Clearly lies in (1,2)
Hence Cauchy’s Mean Value Theorem is
verified.
THANK YOU

Rolles theorem

  • 1.
    B.SC. - II(MATHEMATICS) ADVANCED CALCULUS ROLLE’S THEOREM By Preeti Shrivastava
  • 2.
    SYNOPSIS  Rolle’s Theorem Rolle’s theorem’s Example  Lagrange’s Mean Value Theorem (first mean value theorem)  Example of Lagrange’s mean value theorem  Cauchy’s Mean Value Theorem(second mean value theorem)  Example of Cauchy’s mean value theorem
  • 3.
  • 4.
    Statement:- If f(x) isa function of the variable x such that :-  f(x) is continuous in the closed interval [a,b].  f(x) is differentiable for every point in the open interval (a,b).  f(a) = f(b), then there is at least one point c such that f’(c) =0.
  • 5.
    Proof:-  We needto know Close Interval and Open Interval:  Open Interval:- An open interval is an interval that does not include its two mid- point .The open interval {x:a<x<b} is denoted by (a,b).  Close Interval:- A closed interval is an interval that include all its limit point. A finite number a and b then the interval {x:a<x<b} is denoted by [a,b].  Case 1:- If f(x) is constant then, f(x) = k (constant) f(a) = k f(b) = k
  • 6.
     so, f(a)= f(b) f(a) f(b) since, f(x) =k a b therefore f’(x) =0 and f’(c) =0  Case 2:- If function f(x) will first increase and then decreases. Then at some point C consequently f(x) will be maximum. Then f(c-h) < f (c) and f(c+h) < f(c) f(c-h) – f(c) < 0 and f(c+h) - f(c) < 0 Taking limit on both sides:    x h cfhcf   )()( 0 0 )()(   h cfhcf and
  • 7.
    Case 3:- -If function f(x) w ill first decrease and then increases. Then at some point C consequently f(x) w ill be minimum. Then  – > 0  Taking limits on both sides:-   
  • 8.
    Verify Rolle’s theoremin the interval (2,4] for the function 𝒇 𝒙 = 𝒙 𝟐 − 𝟔𝒙 + 𝟖 Solution:- Given that , 𝑓 𝑥 = 𝑥2 − 6𝑥 + 8 [a,b] =[2,4] a =2, b=4. By Rolle’s theorem ∵ 𝑓 𝑥 = 𝑥2 − 6𝑥 + 8 ∴ 𝑓′ 𝑥 = 2𝑥 − 6 𝑓’(𝑐) = 2𝑐 − 6
  • 9.
    ∵ 𝑓’(𝑐) =0 ∴ 2𝑐 − 6 = 0 2𝑐 = 6 𝐶 = 3 ∈ [2,4] Here a<c<b Hence Rolle ’s Theorem is verified.
  • 10.
  • 11.
    Statement:- If f(x) isa function of the variable x and :- (1) f(x) is continuous in the closed interval [a,b]. (2) f(x) differentiable in the open interval (a,b), then there exists at least one point c in the open interval (a,b) such that Proof:- If f(x) is a function of the variable x. Where A is constant to be determined such that ∵ f(x) is continuous in the closed interval [a,b). ∴ ∅(x)is also continuous in the closed interval [a,b]. Again, ∵ f(x) differentiable in the open interval (a,b). ∴ ∅(x) is also differentiable in the open interval (a,b).
  • 12.
    Hence by theRolle’s theorem, Then there exist at least one point c such that ∅’ c = 0 …. III From equation (I) ∅(x) = f(x) + A.x ∅(a) = f(a) + A.a ….. IV ∅(b) = f(b) + A.b …… V From equation (II) ∅(𝑎) = ∅(𝑏) 𝑓(𝑎) + 𝐴. 𝑎 = 𝑓(𝑏) + 𝐴. 𝑥 𝐴. 𝑎 – 𝐴. 𝑏 = 𝑓(𝑏) – 𝑓(𝑎) −𝐴(𝑏 − 𝑎) = 𝑓(𝑏) – 𝑓(𝑎) −𝐴 = 𝑓 𝑏 −𝑓(𝑎) 𝑏−𝑎 … . . (𝑉𝐼) Again, from equation (I) ∅(𝑥) = 𝑓(𝑥) + 𝐴𝑥 ∅’(𝑥) = 𝑓’(𝑥) + 𝐴
  • 13.
    …… VII Example:- Verify Lagrange’smean value theorem for the function in the interval [2,4]. Solution:- It is given that
  • 14.
    𝑓’(𝑥) = 𝑥 𝑥2−4 … …(𝐼𝐼) ∵ 𝑓(𝑥) = 𝑥2 − 4 ∴ 𝑓(𝑎) = 𝑓(2) = 22 − 4 = 0 𝐹(𝑏) = 𝑓(4) = 42 − 4 = 12 By Lagrange’s mean value theorem, 𝑓′ 𝑐 = 𝑓 𝑏 − 𝑓(𝑎) 𝑏−𝑎 𝑐 𝑐2−4 = 12−0 4−2 𝑐 𝑐2−4 = 12 2
  • 15.
     Squaring onboth side bCa C C C CC CC C C          462 6 6 488 41248 48124 4 12 4 2 2 22 22 2 2  Hence Lagrange’s Theorem is Verified.
  • 16.
  • 17.
    Statement:- If two functionf(x) and g(x) are:- Continuous in the Closed Interval [a,b]. Differentiable in the Open Interval [a,b]. Then there is at least one point c such that:- where a<c<b  Proof:- Now consider a function F(x) defined by:- F(x)= f(x)+ A(x) ……….(I) Where A is a constant to be determined )()( )()'( ab aFbF     )(' )(' c cF
  • 18.
    such that : F(a)= F(b) ……….(II) Since f(x) are continuous in closed interval [a,b]. So, F(x) is also continuous in closed interval [a,b].  Again, f(x) are differentiable in Open interval (a,b). So, F(x) is also differentiable in the open interval (a,b) Then all condition of Rolle’s Theorem will be satisfied .
  • 19.
     Hence bythe Rolle’s Theorem there at least one Point C in  open interval (a,b) such that F’(c) =0 ……(III) from Equation (1):-  F(x) = f(x) + A ∅(x)  F(a) = f(a)+ A ∅(a) ……..(IV)  F(b) = f(b)+ A ∅(b) ………(V)  Now from Equation (II), we get:- F(a) =F(b)
  • 20.
    𝑓 𝑎 +𝐴 ∅ 𝑎 = 𝑓 𝑏 + 𝐴 ∅ 𝑏 𝐴 ∅ 𝑎 − 𝐴 ∅ 𝑏 = 𝑓 𝑏 − 𝑓(𝑎) −𝐴 ∅ 𝑏 − ∅ 𝑎 = 𝑓 𝑏 − 𝑓(𝑎) − 𝐴 = 𝑓 𝑏 − 𝑓(𝑎) ∅ 𝑏 − ∅(𝑎) ……….(VI) Again from Equation (I) we get : 𝐹 𝑥 = 𝑓 𝑥 + 𝐴 ∅ 𝑥 𝐹′ 𝑥 = 𝑓′ 𝑥 + 𝐴 ∅ 𝑥 𝐹′ 𝑐 = 𝑓′ 𝑐 + 𝐴 ∅(𝑐)
  • 21.
    Now From Equation(III) Ans.. Hence Proved
  • 22.
    EXAMPLE:- VERIFY CAUCHY’S MEANVALUE THEOREM FOR FUNCTION AND IN INTERVAL [1,2] It is given that, 𝑓 𝑥 = 𝑥2 + 1 ∅ 𝑥 = 2𝑥3 𝑎, 𝑏 = 1,2 Since a=1 , b=2 By the Cauchy’s Mean Value Theorem, 𝑓′ (𝑐) ∅′ (𝑐) = 𝑓 𝑏 −𝑓(𝑎) ∅ 𝑏 −∅(𝑎) ……(I) 𝑓 𝑥 = 𝑥2 + 1 𝑓 𝑎 = 𝑎2 + 1 𝑓 𝑎 = 1 + 1
  • 23.
    And 𝑓 𝑏= 22 + 1 𝑓 𝑏 = 4 + 1 = 5 ∅ 𝑥 = 2𝑥3 ∅ 𝑎 = 2𝑎3 ∅ 𝑎 = 2 × 13 ∅ 𝑎 = 2 And ∅ 𝑏 = 2 + 23 = 16 Since 𝑓 𝑥 = 𝑥2 + 1 There fore 𝑓′ 𝑥 = 2𝑥 So 𝑓′ 𝑐 = 2𝑐 And ∅ 𝑥 = 2𝑥3 ∅′ 𝑥 = 6𝑥2 ∅′ 𝑐 = 6𝑐2
  • 24.
    Hence from Equation(I) : Since [a<c<b] Clearly lies in (1,2) Hence Cauchy’s Mean Value Theorem is verified.
  • 25.