Embed presentation
Download to read offline












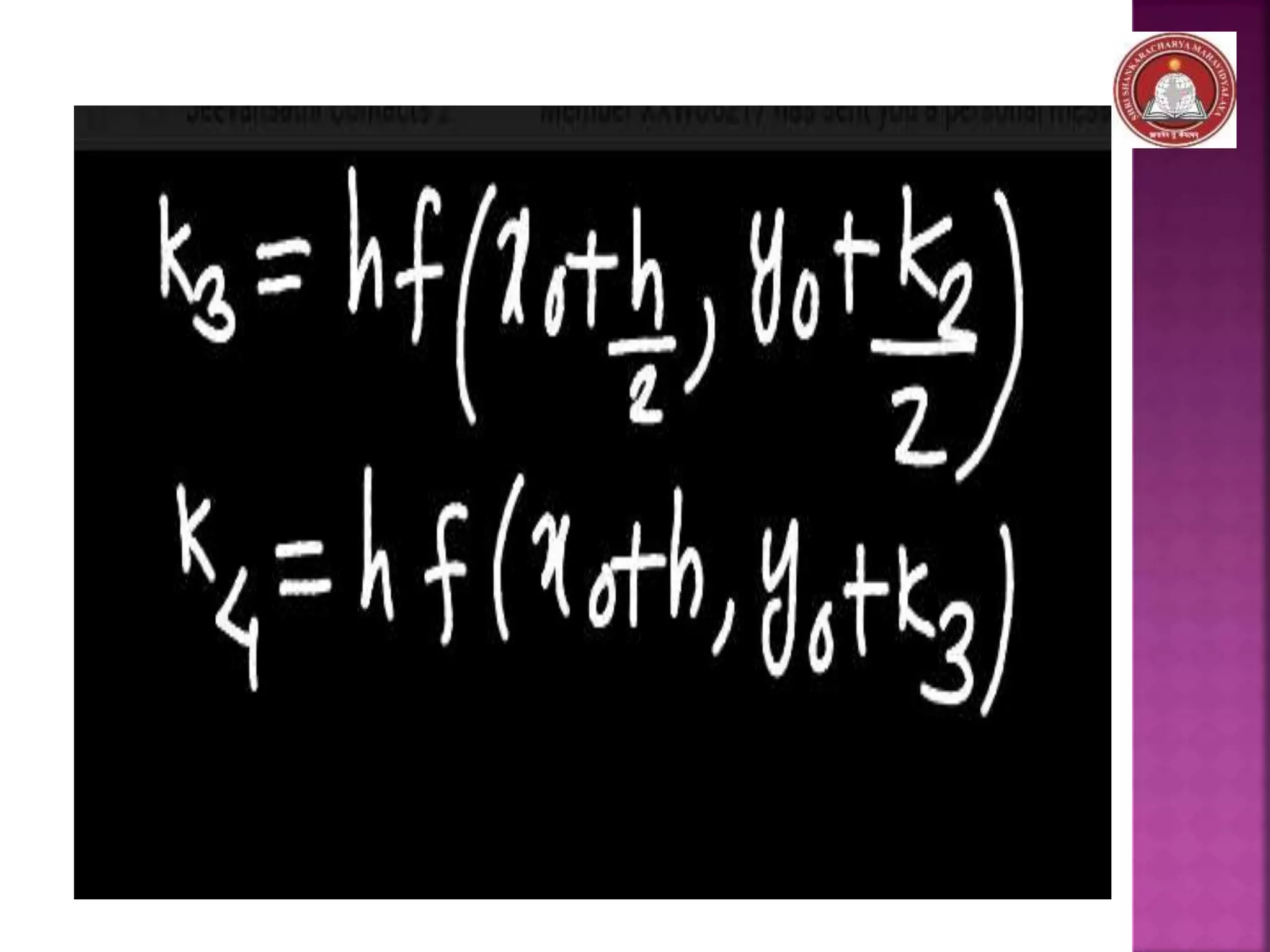
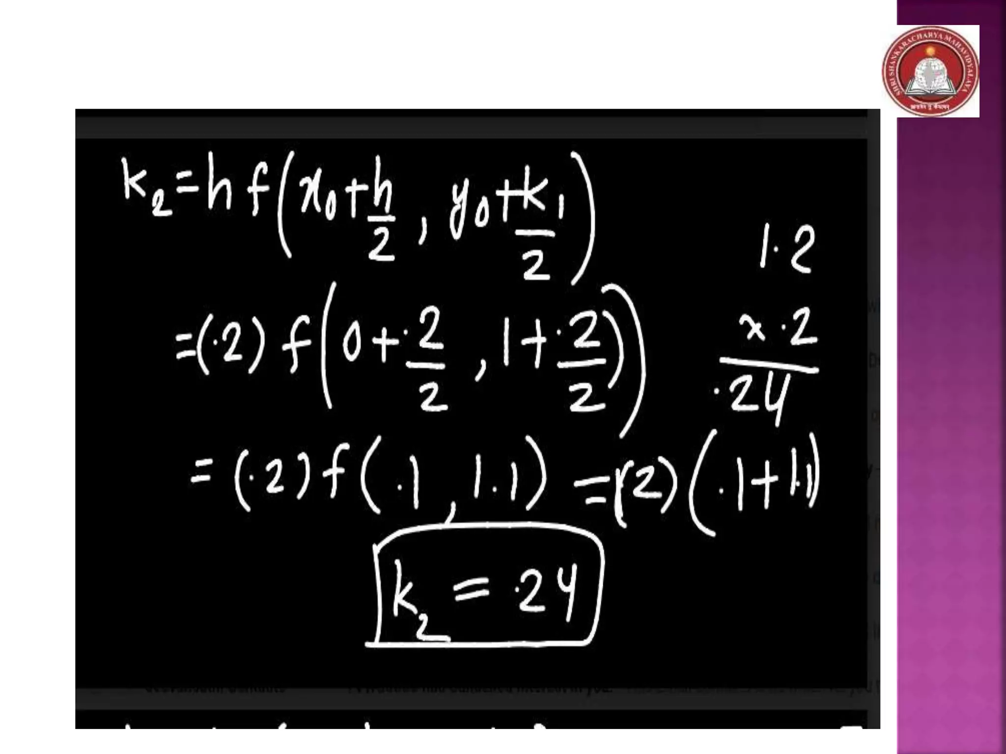
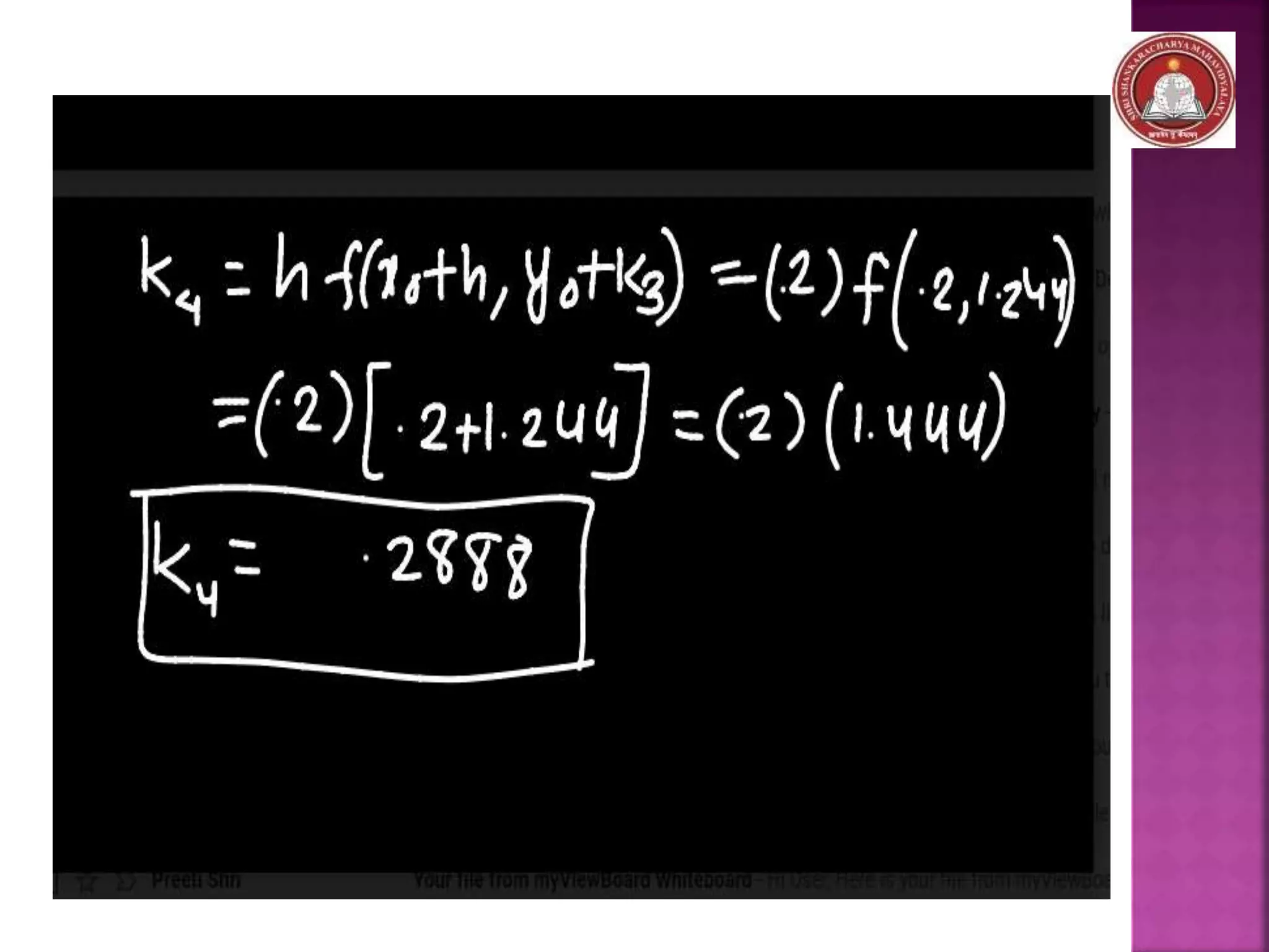
The document is a PowerPoint presentation on a B.Sc. III Mathematics paper focusing on Numerical Analysis and Programming in 'C'. It specifically covers the Runge-Kutta method. The presentation is presented by Preeti Shrivastava from the Department of Mathematics.











