By:

        Neha Jain
         Ms. Neha Jain
(M.Sc., M.Phil, Research Scholar)
  Laboratory of Endocrinology,
   Department of Biosciences,
    Barkatullah University,
   Bhopal-462026, M.P., India
1.   If a reaction occurs in more than one step, it must involve species
     that are neither the reactant nor the final product.
2.   These are called reaction intermediates or simply “intermediates”
3.   Each step has its own free energy of activation.
4.   Reactive intermediates are usually short lived and are very
     seldom isolated.
5.   The complete diagram for the reaction shows the free energy
     changes associated with an intermediate.




                                                           2
For example, consider this hypothetical stepwise reaction:
A+B →C+D
The reaction includes these elementary steps:
A + B → X*
X* → C + D
The chemical species X* is an intermediate.
   CARBOCATION

   CARBANION

   FREE RADICLE

   CARBENE

   NITRENE

   ARENE/BENZYNE
5
6
•This is the species with central carbon atom with two bonds and two
electrons.
•These are uncharged species and 6 valence electrons.
•These electrons are may be paired or unpaired.
•These are very short lived species.
•The smallest and simplest species of this class is methylene, this is
non isolable species.
When the electrons are paired the Carbene has singlet state and in
case of unpaired electrons the Carbene has triplet state.
These are extremely reactive species and can be
As these species are short lived and very reactive hence it is difficult
to detect.
1. Nitrene is electro-neutral monovalent electron
   species.
2. This has similar properties as that of carbene.
   Hence Nitrene is called as nitrogen analogue of
   carbene.
3. There are six electrons present on nitrogen in
   Nitrene.
4. Carbenes are less stable than Nitrene.
5. Generation of Nitrene is possible in both triplet
   and singlet state but mostly the ground state for
   Nitrene is triplet.
1.   It is non isolable very reactive species with the hexagonal planar rind
     structure with 6 pi delocalizing and 2 additional pi electrons.
2.   The addition two pi electrons do not affect the aromatic character of ring as
     it does not interfere with the Huckel number.
3.   This is a six membered ring containing C-C triple bond this triple bond
     gives high reactivity to the species.
A Kulkarni and Kalyani. D. Asgaonkar Study of
  Various Reaction Intermediates Juilee., P 325 -351,
  Vol. 3 (1) Jan – Mar 2012 www.ijrpbsonline.com

Sachin Kumar Ghosh, General organic chemistry, A
   modern approach, fundamentals of organic
   reaction mechanism, new Alipore college New
   central book agency, May 1994, 384-403.

www.wikipedia.com
Thanks !!!

Reaction intermediates

  • 1.
    By: Neha Jain Ms. Neha Jain (M.Sc., M.Phil, Research Scholar) Laboratory of Endocrinology, Department of Biosciences, Barkatullah University, Bhopal-462026, M.P., India
  • 2.
    1. If a reaction occurs in more than one step, it must involve species that are neither the reactant nor the final product. 2. These are called reaction intermediates or simply “intermediates” 3. Each step has its own free energy of activation. 4. Reactive intermediates are usually short lived and are very seldom isolated. 5. The complete diagram for the reaction shows the free energy changes associated with an intermediate. 2
  • 3.
    For example, considerthis hypothetical stepwise reaction: A+B →C+D The reaction includes these elementary steps: A + B → X* X* → C + D The chemical species X* is an intermediate.
  • 4.
    CARBOCATION  CARBANION  FREE RADICLE  CARBENE  NITRENE  ARENE/BENZYNE
  • 5.
  • 6.
  • 8.
    •This is thespecies with central carbon atom with two bonds and two electrons. •These are uncharged species and 6 valence electrons. •These electrons are may be paired or unpaired. •These are very short lived species. •The smallest and simplest species of this class is methylene, this is non isolable species. When the electrons are paired the Carbene has singlet state and in case of unpaired electrons the Carbene has triplet state. These are extremely reactive species and can be As these species are short lived and very reactive hence it is difficult to detect.
  • 16.
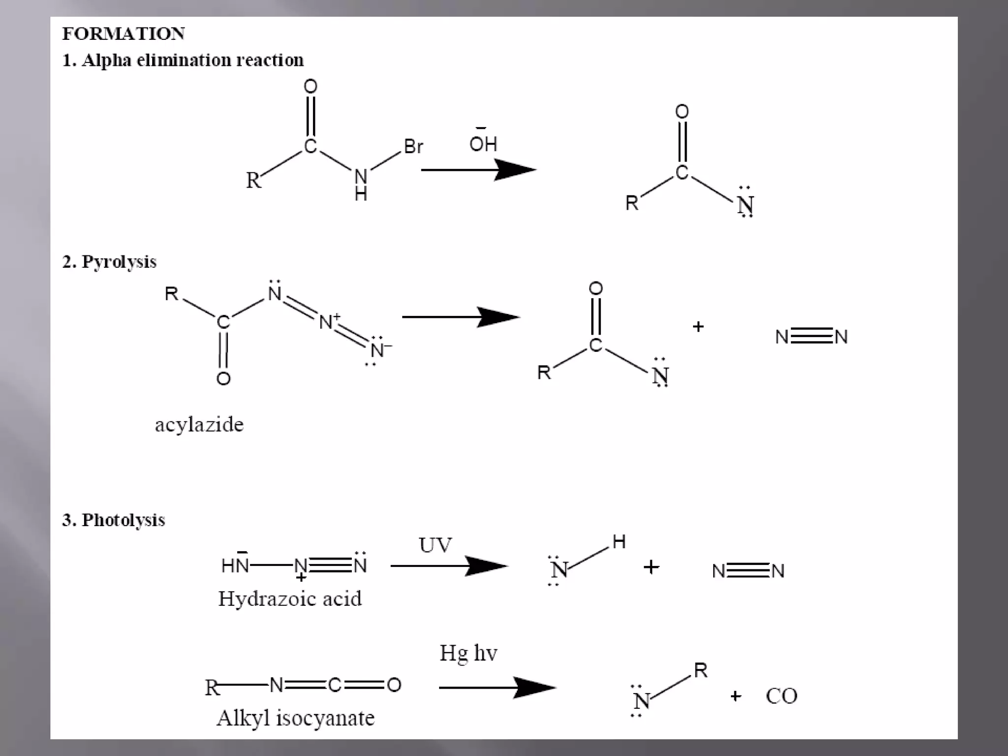
    1. Nitrene iselectro-neutral monovalent electron species. 2. This has similar properties as that of carbene. Hence Nitrene is called as nitrogen analogue of carbene. 3. There are six electrons present on nitrogen in Nitrene. 4. Carbenes are less stable than Nitrene. 5. Generation of Nitrene is possible in both triplet and singlet state but mostly the ground state for Nitrene is triplet.
  • 20.
    1. It is non isolable very reactive species with the hexagonal planar rind structure with 6 pi delocalizing and 2 additional pi electrons. 2. The addition two pi electrons do not affect the aromatic character of ring as it does not interfere with the Huckel number. 3. This is a six membered ring containing C-C triple bond this triple bond gives high reactivity to the species.
  • 25.
    A Kulkarni andKalyani. D. Asgaonkar Study of Various Reaction Intermediates Juilee., P 325 -351, Vol. 3 (1) Jan – Mar 2012 www.ijrpbsonline.com Sachin Kumar Ghosh, General organic chemistry, A modern approach, fundamentals of organic reaction mechanism, new Alipore college New central book agency, May 1994, 384-403. www.wikipedia.com
  • 26.