Rational Functions Module 13  Overview  Topic 13.1  Introduction to Rational Functions Graphing Rational Functions Vertical and Horizontal Asymptotes Topic 13.2  Multiplying and Dividing Rational Functions
A rational functions is a functions that can be written in the form of a polynomial divided  by a polynomial.  Where q(x) can not equal zero. Examples:  1. 2. 3.  4.  Simplify each expression.
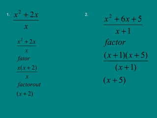
1. 2.
4.  3.
A graph of a rational function has a vertical asymptote at each value A  where the denominator is 0, and the numerator is not 0. To find the vertical asymptote or asymptotes set the denominator  equal to 0 and solve.  Vertical asymptotes are vertical lines x =  A. Horizontal asymptotes are found by the comparing the degrees of The numerator and denominator.  The numerator and denominator are polynomials in x of degree n and m, respectively. If n<m, then  y = 0 is the horizontal asymptote. If n = m , then  Is the horizontal asymptote. 3.  If n > m, there is no horizontal asymptote.
Graphing Rational Expressions.  Find the Vertical and Horizontal Asymptotes. State the domain and range. Example # 1  Set the denominator equal to 0.  There are two vertical asymptotes for this function x = 0 and x = 2.
To find the horizontal asymptote compare the degree of the numerator to the degree of the denominator.  The numerator is greater therefore the  Horizontal asymptote is y = 0.  Now lets graph it. Type the equation and be sure to ( ) around the denominator. It might be hard to see the vertical asymptote. Go to the table and look at the x and y  values. Where the  Error is are  Vertical Asym.
It is your turn.  Graph the following and state the asymptotes if they occur And state the domain and range.
Set the denominator equal to zero.  Two vertical Asymptotes x = 4 and x = -1.  The horizontal Asymptotes is y = 0 because the degree of the Bottom is bigger.  Now the graph is below.
Multiplying and Dividing Rational Functions. Example # 1  To solve this expression you need to factor each numerator and each denominator.
Division  To solve use same, change, flip method.
Now try these problems. 1. 2.
Solutions
Solution
Questions:
 

Rational functions 13.1 13.2

  • 1.
    Rational Functions Module13 Overview Topic 13.1 Introduction to Rational Functions Graphing Rational Functions Vertical and Horizontal Asymptotes Topic 13.2 Multiplying and Dividing Rational Functions
  • 2.
    A rational functionsis a functions that can be written in the form of a polynomial divided by a polynomial. Where q(x) can not equal zero. Examples: 1. 2. 3. 4. Simplify each expression.
  • 3.
  • 4.
  • 5.
    A graph ofa rational function has a vertical asymptote at each value A where the denominator is 0, and the numerator is not 0. To find the vertical asymptote or asymptotes set the denominator equal to 0 and solve. Vertical asymptotes are vertical lines x = A. Horizontal asymptotes are found by the comparing the degrees of The numerator and denominator. The numerator and denominator are polynomials in x of degree n and m, respectively. If n<m, then y = 0 is the horizontal asymptote. If n = m , then Is the horizontal asymptote. 3. If n > m, there is no horizontal asymptote.
  • 6.
    Graphing Rational Expressions. Find the Vertical and Horizontal Asymptotes. State the domain and range. Example # 1 Set the denominator equal to 0. There are two vertical asymptotes for this function x = 0 and x = 2.
  • 7.
    To find thehorizontal asymptote compare the degree of the numerator to the degree of the denominator. The numerator is greater therefore the Horizontal asymptote is y = 0. Now lets graph it. Type the equation and be sure to ( ) around the denominator. It might be hard to see the vertical asymptote. Go to the table and look at the x and y values. Where the Error is are Vertical Asym.
  • 8.
    It is yourturn. Graph the following and state the asymptotes if they occur And state the domain and range.
  • 9.
    Set the denominatorequal to zero. Two vertical Asymptotes x = 4 and x = -1. The horizontal Asymptotes is y = 0 because the degree of the Bottom is bigger. Now the graph is below.
  • 10.
    Multiplying and DividingRational Functions. Example # 1 To solve this expression you need to factor each numerator and each denominator.
  • 11.
    Division Tosolve use same, change, flip method.
  • 12.
    Now try theseproblems. 1. 2.
  • 13.
  • 14.
  • 15.
  • 16.