Ph. D. Ahmed Metwaly
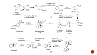
Nicotinic acid
1. Pyridine alkaloids containing pyridine ring only (Trigonelline)
2. Pyridine alkaloids containing another nitrogenous ring (Tobacco alkaloids)
Trigonelline
▪ Source: Foenugreek (Trigonella foenum graecum L, F. Leguminoseae)
▪ It found also in coffee beans, in the seeds of Strophanthus spp. and the Cannabis
sativa L., Besides in seeds of many other plants. It is also found in jellyfish and in
sea urchin.
▪ Water soluble
▪ It is derived from nicotinic acid
▪ Uses of foenugreek; Hypoglycemic, Lactagauge and Laxative
Tobacco Alkaloids
◘ Tobacco is the cured and dried
leaves of Nicotiana tabacum
(F. Solanaceae).
Pyridine alkaloids Containing another
Nitrogenous ring
• Tobacco is the cured and dried leaves of Nicotiana
tabacum (Solanaceae), an annual herb indigenous to
tropical America, but cultivated widely for smoking.
• Tobacco leaves may contain from 0.6 to 9% of (−)-
nicotine, an oily, volatile liquid as the major alkaloid
(about 93%), together with smaller amounts of
structurally related alkaloids, e.g. nornicotine (about
3% of alkaloids), and anabasine (about 0.5%).
• Despite the vast array of evidence linking tobacco
smoking and cancer, the smoking habit continues
throughout the world, and tobacco remains a major
crop plant.
Tobacco smoke contains over 4000
compounds, including more than 60 known
carcinogens formed by incomplete
combustion.
Amongst these are polycyclic aromatic
hydrocarbons, e.g. benzopyrene,
nitrosamines, aromatic amines, aldehydes,
and other volatile compounds. Metabolism by
the body’s P-450 system leads to further
reactive intermediates which can combine
with DNA and cause mutations.
Tobacco smoking also contributes to
atherosclerosis, chronic bronchitis, and
emphysema and
is regarded as the single most preventable
cause of death in modern society.
Smoking tobacco is an addictive habit; unlike
other addictive drugs.
* Nicotine is a pale yellow or colorless oily liquid, turns brown on exposure to air
or light.
•Nicotine, Nor-nicotine & Anabasine are volatile liquid
•alkaloids.
Nicotine is an example of tertiary amine alkaloid.
* It is volatile with steam.
* It possesses two basic nitrogen atoms.
* Nicotine is biosynthesized from nicotinic acid and proline
(derived from L-ornithine).
Color Tests:
1) Aqueous solution of Nicotine + p-DAB
(P- dimethylaminobenzaldehyde) Rose redViolet color
2) Aqueous sol. of Nicotine +Vanillin/ HCl Red color.
Powdered Leaves
* Acidification with H2O/ HCl
* Conc.
Distilled fraction
Extraction and separation of Tobacco alkaloids
Extract
* Alkalinization with NaOH
* Steam distillation
Undistilled fraction
Volatile alkaloids
* Extract with ether
* Evaporate the ether extract
* Treatment with HCl & NaNO2 on cold
(Nicotine, Nor-nicotine & Anabasine)
Oily layer Aqueous layer
Nitroso derivative of
Anabasine & Nor-nicotine
Nicotine HCl
* Extract with benzene
* Evaporattion
Residue
Non-volatile alkaloids
(Nicoteine & Nicotelline
* Solubilization with ether
* Conc.
Mother liquor Crystals
Nicoteine (Liq.) Nicotelline (Solid)
Oily layer Aqueous layer
Nitroso derivative of
Anabasine & Nor-nicotine
Nicotine HCl
* Heating with HCl
* Alkalinization with NaOH
* Extraction with ether
* Evaporation
Residue
Anabasine & Nor-nicotine
(Liq 2ary
amines)
* Fractional distillation
under reduced pressure
Anabasine Nor-nicotine
* Alkalinization with NaOH
* Extraction with ether
* Evaporation
Nicotine
(Liq 3ary
amine)
Uses:
◘ Nicotine and Anabasine are used as natural insecticides in form of sulfate
salts.
Types of cholinergic receptors.
Cholinergic Receptors (Cholinoceptors)
Two families of cholinoceptors, designated
muscarinic and nicotinic receptors, can be
distinguished from each other on the basis of
their different affinities for agents that mimic
the action of acetylcholine (cholinomimetic
agents or parasympathomimetics).
Muscarinic receptors
These receptors, in addition to binding acetylcholine, also recognize muscarine the
muscarinic receptors show only a weak affinity for nicotine.
Binding studies and specific inhibitors, as well as cDNA characterization, have
distinguished five subclasses of muscarinic receptors: M1, M2, M3, M4, and M5. only M1, M2
and M3, receptors have been functionally characterized.
Locations of muscarinic receptors: These receptors have been found on ganglia of the
peripheral nervous system and on the autonomic effector organs, such as the heart,
smooth muscle, brain, and exocrine glands.
Specifically, although all five subtypes have been found on neurons, M1 receptors are also
found on gastric parietal cells, M2 receptors on cardiac cells and smooth muscle, and M3
receptors on the bladder, exocrine glands, and smooth muscle.
Nicotinic receptors: These receptors, in
addition to binding acetylcholine, also
recognize nicotine but show only a weak
affinity for muscarine.
The nicotinic receptor is composed of five
subunits, and it functions as a ligand-gated ion
channel.
Nicotinic receptors are located in the
CNS,
adrenal medulla,
autonomic ganglia,
and the neuromuscular junction.
Nicotine
• A component of cigarette smoke, nicotine is a poison with many undesirable actions.
It is without therapeutic benefit and is deleterious to health.
• Depending on the dose, nicotine depolarizes autonomic ganglia, resulting first in
stimulation and then in paralysis of all ganglia.
• The stimulatory effects are complex due to effects on both sympathetic and
parasympathetic ganglia.
• The effects include increased blood pressure and cardiac rate (due to release of
transmitter from adrenergic terminals and from the adrenal medulla) and increased
peristalsis and secretions.
• At higher doses, the blood pressure falls because of ganglionic blockade, and activity
both in the GI tract and bladder musculature ceases.
Mechanism of action:
In low doses, nicotine causes ganglionic stimulation by depolarization.
At high doses, nicotine causes ganglionic blockade.
Nicotine receptors exist at a number of sites in the CNS, which participate in the stimulant
attributes of the drug.
Actions:
CNS: Nicotine is highly lipid soluble and readily crosses the blood-brain barrier.
Nicotine activates nicotinic receptors on neurons that innervate the ventral tegmental area
and within the mesolimbic (reward) pathway where it appears to cause the release of
dopamine.
Nicotine also appears to induce the release of endogenous opioids that activate opioid
pathways in the reward system.
Cigarette smoking of low doses of nicotine produces some degree of euphoria and arousal
as well as relaxation.
It improves attention, learning, problem solving, and reaction time.
Chronic nicotine use disturbs different pathways in ventral tegmental area and ventral
striatum , where this effect plays a role in nicotine addiction.
High doses of nicotine result in central respiratory paralysis and severe hypotension caused
by medullary paralysis.
Nicotine is an appetite suppressant
striatumventral tegmental area
Recent studies suggest that nicotine can improve memory by stimulating the
transmission of nerve impulses, and this finding may account for the lower incidence
of Alzheimer’s disease in smokers.
Any health benefits conferred by smoking are more than outweighed by the increased
risk of heart, lung, and respiratory diseases.
Sympathetic nervous system
Nicotine also activates the sympathetic nervous
system.
By binding to ganglion type nicotinic receptors in the
adrenal medulla, nicotine increases flow of adrenaline
(epinephrine).
The release of epinephrine (adrenaline) causes an
increase in heart rate, blood pressure and respiration,
as well as higher blood glucose levels.
Peripheral effects: The peripheral effects of nicotine are complex.
• Stimulation of sympathetic ganglia as well as the adrenal medulla increases blood
pressure and heart rate. Thus, use of tobacco is particularly harmful in
hypertensive patients.
• Nicotine-induced vasoconstriction can decrease coronary blood flow, adversely
affecting a patient with angina.
• Stimulation of parasympathetic ganglia also increases motor activity of the bowel.
• At higher doses, blood pressure falls, and activity ceases in both the gastrointestinal
tract and bladder musculature as a result of a nicotine-induced block of
parasympathetic ganglia.
Pharmacokinetics:
• Because nicotine is highly lipid soluble,
absorption readily occurs via the oral
mucosa, lungs, gastrointestinal mucosa,
and skin.
• Nicotine crosses the placental
membrane and is secreted in the milk
of lactating women.
• By inhaling tobacco smoke, the average
smoker takes in 1 to 2 mg of nicotine
per cigarette (most cigarettes contain 6
to 8 mg of nicotine).
• The acute lethal dose is 60 mg. More than 90 percent of the nicotine inhaled in
smoke is absorbed. Clearance of nicotine involves metabolism in the lung and the
liver and urinary excretion.
• Tolerance to the toxic effects of nicotine develops rapidly, often within days
after beginning usage.
Adverse effects:
• The CNS effects of nicotine include irritability and tremors.
• Nicotine may also cause intestinal cramps, diarrhea, and increased heart rate and
blood pressure and induces abnormal heart rhythms.
• In addition, cigarette smoking increases the rate of metabolism for a number of drugs.
• It was found that nicotine taking is associated with cardiovascular disease.
• Prolonged nicotine use seems not to increase atherosclerosis.
• Children exposed to nicotine may have a number of lifelong health issues.
Cancer
• Although there is insufficient evidence to classify nicotine as a carcinogen, there is
an ongoing debate about whether it functions as a tumor promoter
• There is evidence indicating possible oral, esophageal, or pancreatic cancer risks.
• In a recent study, nicotine administered to mice with tumors caused increases in
tumor size (twofold increase), metastasis (nine-fold increase), and tumor recurrence
(threefold increase)
• Nicotine has been confirmed to affect the sperm morphology and sperm count.
• Nicotine is the main addictive compound in tobacco smoke, it is also a strong
vasoconstrictor (narrows blood vessels) as it reduces uterine and placental blood
flow.
• Nicotine is not safe to use in any amount during pregnancy.
• Nicotine negatively affects pregnancy outcomes and fetal brain development
• Risks to the child later in life via nicotine exposure during pregnancy include type 2
diabetes, obesity, hypertension, neurobehavioral defects, respiratory dysfunction, and
infertility.
• Nicotine crosses the placenta and is found in the breast milk of mothers who smoke as
well as mothers who inhale passive smoke
Pregnancy and breastfeeding
Withdrawal syndrome:
• As with the other drugs in this class, nicotine is an
addictive substance, and physical dependence on
nicotine develops rapidly and can be severe.
Withdrawal is characterized by;
• Irritability, anxiety, restlessness, difficulty
concentrating, headaches, and insomnia. Appetite is
affected, and gastrointestinal pain often occurs.
• Smoking cessation programs that combine
pharmacologic and behavioral therapy are the most
successful in helping individuals to stop smoking.
• The transdermal patch and chewing gum containing
nicotine have been shown to reduce nicotine
withdrawal symptoms and to help smokers stop
smoking.
• The blood concentration of nicotine obtained from
nicotine chewing gum is typically about one-half the
peak level observed with smoking.
• Bupropion , an antidepressant , can reduce the
craving for cigarettes.
Nicotine can be used commercially to produce one of vitamin B- complex named
Nicotinic acid or Niacin (Vitamin B3) used to prevent Pellagra.
Biological Sources of niacin; It is widely distributed in nature; and appreciable
quantities are found in fish, yeast, liver, and cereal grains.
NICOTINE
CH3
N
N
H
Oxidation
Nicotinic acid
(Niacin or Vitamin B3)
COOH
N
• Pellagra is a disease caused by a lack of the vitamin niacin
(vitamin B3).
• Second, it may result from deficiency of tryptophan, an
essential amino acid found in meat, poultry, fish, eggs, and
peanuts that the body converts into niacin
• The classic symptoms of pellagra are diarrhea, dermatitis,
dementia, and death.
• As a result of niacin (vitamin B3) deficiency, decreased NAD
production leading to most of the pathology
Pellagra
• If untreated, pellagra can kill within four or five years.
• Treatment is with nicotinamide, which has the same vitamin
function as niacin and a similar chemical structure, but has
lower toxicity.
Ph. D. Ahmed M. Metwaly
Assistant professor, Pharmacognosy
department,
Faculty of Pharmacy, Al-Azhar University.
ametwaly@azhar.edu.eg

Pyridine alkaloids (2018)

  • 1.
    Ph. D. AhmedMetwaly
  • 2.
  • 4.
    1. Pyridine alkaloidscontaining pyridine ring only (Trigonelline) 2. Pyridine alkaloids containing another nitrogenous ring (Tobacco alkaloids) Trigonelline
  • 5.
    ▪ Source: Foenugreek(Trigonella foenum graecum L, F. Leguminoseae) ▪ It found also in coffee beans, in the seeds of Strophanthus spp. and the Cannabis sativa L., Besides in seeds of many other plants. It is also found in jellyfish and in sea urchin. ▪ Water soluble ▪ It is derived from nicotinic acid ▪ Uses of foenugreek; Hypoglycemic, Lactagauge and Laxative
  • 6.
    Tobacco Alkaloids ◘ Tobaccois the cured and dried leaves of Nicotiana tabacum (F. Solanaceae). Pyridine alkaloids Containing another Nitrogenous ring
  • 7.
    • Tobacco isthe cured and dried leaves of Nicotiana tabacum (Solanaceae), an annual herb indigenous to tropical America, but cultivated widely for smoking. • Tobacco leaves may contain from 0.6 to 9% of (−)- nicotine, an oily, volatile liquid as the major alkaloid (about 93%), together with smaller amounts of structurally related alkaloids, e.g. nornicotine (about 3% of alkaloids), and anabasine (about 0.5%). • Despite the vast array of evidence linking tobacco smoking and cancer, the smoking habit continues throughout the world, and tobacco remains a major crop plant.
  • 8.
    Tobacco smoke containsover 4000 compounds, including more than 60 known carcinogens formed by incomplete combustion. Amongst these are polycyclic aromatic hydrocarbons, e.g. benzopyrene, nitrosamines, aromatic amines, aldehydes, and other volatile compounds. Metabolism by the body’s P-450 system leads to further reactive intermediates which can combine with DNA and cause mutations. Tobacco smoking also contributes to atherosclerosis, chronic bronchitis, and emphysema and is regarded as the single most preventable cause of death in modern society. Smoking tobacco is an addictive habit; unlike other addictive drugs.
  • 10.
    * Nicotine isa pale yellow or colorless oily liquid, turns brown on exposure to air or light. •Nicotine, Nor-nicotine & Anabasine are volatile liquid •alkaloids. Nicotine is an example of tertiary amine alkaloid. * It is volatile with steam. * It possesses two basic nitrogen atoms. * Nicotine is biosynthesized from nicotinic acid and proline (derived from L-ornithine).
  • 11.
    Color Tests: 1) Aqueoussolution of Nicotine + p-DAB (P- dimethylaminobenzaldehyde) Rose redViolet color 2) Aqueous sol. of Nicotine +Vanillin/ HCl Red color.
  • 12.
    Powdered Leaves * Acidificationwith H2O/ HCl * Conc. Distilled fraction Extraction and separation of Tobacco alkaloids Extract * Alkalinization with NaOH * Steam distillation Undistilled fraction Volatile alkaloids * Extract with ether * Evaporate the ether extract * Treatment with HCl & NaNO2 on cold (Nicotine, Nor-nicotine & Anabasine) Oily layer Aqueous layer Nitroso derivative of Anabasine & Nor-nicotine Nicotine HCl * Extract with benzene * Evaporattion Residue Non-volatile alkaloids (Nicoteine & Nicotelline * Solubilization with ether * Conc. Mother liquor Crystals Nicoteine (Liq.) Nicotelline (Solid)
  • 13.
    Oily layer Aqueouslayer Nitroso derivative of Anabasine & Nor-nicotine Nicotine HCl * Heating with HCl * Alkalinization with NaOH * Extraction with ether * Evaporation Residue Anabasine & Nor-nicotine (Liq 2ary amines) * Fractional distillation under reduced pressure Anabasine Nor-nicotine * Alkalinization with NaOH * Extraction with ether * Evaporation Nicotine (Liq 3ary amine)
  • 15.
    Uses: ◘ Nicotine andAnabasine are used as natural insecticides in form of sulfate salts.
  • 16.
    Types of cholinergicreceptors. Cholinergic Receptors (Cholinoceptors) Two families of cholinoceptors, designated muscarinic and nicotinic receptors, can be distinguished from each other on the basis of their different affinities for agents that mimic the action of acetylcholine (cholinomimetic agents or parasympathomimetics).
  • 17.
    Muscarinic receptors These receptors,in addition to binding acetylcholine, also recognize muscarine the muscarinic receptors show only a weak affinity for nicotine. Binding studies and specific inhibitors, as well as cDNA characterization, have distinguished five subclasses of muscarinic receptors: M1, M2, M3, M4, and M5. only M1, M2 and M3, receptors have been functionally characterized. Locations of muscarinic receptors: These receptors have been found on ganglia of the peripheral nervous system and on the autonomic effector organs, such as the heart, smooth muscle, brain, and exocrine glands. Specifically, although all five subtypes have been found on neurons, M1 receptors are also found on gastric parietal cells, M2 receptors on cardiac cells and smooth muscle, and M3 receptors on the bladder, exocrine glands, and smooth muscle.
  • 18.
    Nicotinic receptors: Thesereceptors, in addition to binding acetylcholine, also recognize nicotine but show only a weak affinity for muscarine. The nicotinic receptor is composed of five subunits, and it functions as a ligand-gated ion channel. Nicotinic receptors are located in the CNS, adrenal medulla, autonomic ganglia, and the neuromuscular junction.
  • 19.
    Nicotine • A componentof cigarette smoke, nicotine is a poison with many undesirable actions. It is without therapeutic benefit and is deleterious to health. • Depending on the dose, nicotine depolarizes autonomic ganglia, resulting first in stimulation and then in paralysis of all ganglia. • The stimulatory effects are complex due to effects on both sympathetic and parasympathetic ganglia. • The effects include increased blood pressure and cardiac rate (due to release of transmitter from adrenergic terminals and from the adrenal medulla) and increased peristalsis and secretions. • At higher doses, the blood pressure falls because of ganglionic blockade, and activity both in the GI tract and bladder musculature ceases.
  • 20.
    Mechanism of action: Inlow doses, nicotine causes ganglionic stimulation by depolarization. At high doses, nicotine causes ganglionic blockade. Nicotine receptors exist at a number of sites in the CNS, which participate in the stimulant attributes of the drug. Actions: CNS: Nicotine is highly lipid soluble and readily crosses the blood-brain barrier. Nicotine activates nicotinic receptors on neurons that innervate the ventral tegmental area and within the mesolimbic (reward) pathway where it appears to cause the release of dopamine. Nicotine also appears to induce the release of endogenous opioids that activate opioid pathways in the reward system. Cigarette smoking of low doses of nicotine produces some degree of euphoria and arousal as well as relaxation. It improves attention, learning, problem solving, and reaction time. Chronic nicotine use disturbs different pathways in ventral tegmental area and ventral striatum , where this effect plays a role in nicotine addiction. High doses of nicotine result in central respiratory paralysis and severe hypotension caused by medullary paralysis. Nicotine is an appetite suppressant
  • 21.
  • 22.
    Recent studies suggestthat nicotine can improve memory by stimulating the transmission of nerve impulses, and this finding may account for the lower incidence of Alzheimer’s disease in smokers. Any health benefits conferred by smoking are more than outweighed by the increased risk of heart, lung, and respiratory diseases.
  • 23.
    Sympathetic nervous system Nicotinealso activates the sympathetic nervous system. By binding to ganglion type nicotinic receptors in the adrenal medulla, nicotine increases flow of adrenaline (epinephrine). The release of epinephrine (adrenaline) causes an increase in heart rate, blood pressure and respiration, as well as higher blood glucose levels.
  • 24.
    Peripheral effects: Theperipheral effects of nicotine are complex. • Stimulation of sympathetic ganglia as well as the adrenal medulla increases blood pressure and heart rate. Thus, use of tobacco is particularly harmful in hypertensive patients. • Nicotine-induced vasoconstriction can decrease coronary blood flow, adversely affecting a patient with angina. • Stimulation of parasympathetic ganglia also increases motor activity of the bowel. • At higher doses, blood pressure falls, and activity ceases in both the gastrointestinal tract and bladder musculature as a result of a nicotine-induced block of parasympathetic ganglia.
  • 25.
    Pharmacokinetics: • Because nicotineis highly lipid soluble, absorption readily occurs via the oral mucosa, lungs, gastrointestinal mucosa, and skin. • Nicotine crosses the placental membrane and is secreted in the milk of lactating women. • By inhaling tobacco smoke, the average smoker takes in 1 to 2 mg of nicotine per cigarette (most cigarettes contain 6 to 8 mg of nicotine). • The acute lethal dose is 60 mg. More than 90 percent of the nicotine inhaled in smoke is absorbed. Clearance of nicotine involves metabolism in the lung and the liver and urinary excretion. • Tolerance to the toxic effects of nicotine develops rapidly, often within days after beginning usage.
  • 26.
    Adverse effects: • TheCNS effects of nicotine include irritability and tremors. • Nicotine may also cause intestinal cramps, diarrhea, and increased heart rate and blood pressure and induces abnormal heart rhythms. • In addition, cigarette smoking increases the rate of metabolism for a number of drugs. • It was found that nicotine taking is associated with cardiovascular disease. • Prolonged nicotine use seems not to increase atherosclerosis. • Children exposed to nicotine may have a number of lifelong health issues.
  • 27.
    Cancer • Although thereis insufficient evidence to classify nicotine as a carcinogen, there is an ongoing debate about whether it functions as a tumor promoter • There is evidence indicating possible oral, esophageal, or pancreatic cancer risks. • In a recent study, nicotine administered to mice with tumors caused increases in tumor size (twofold increase), metastasis (nine-fold increase), and tumor recurrence (threefold increase)
  • 28.
    • Nicotine hasbeen confirmed to affect the sperm morphology and sperm count. • Nicotine is the main addictive compound in tobacco smoke, it is also a strong vasoconstrictor (narrows blood vessels) as it reduces uterine and placental blood flow. • Nicotine is not safe to use in any amount during pregnancy. • Nicotine negatively affects pregnancy outcomes and fetal brain development • Risks to the child later in life via nicotine exposure during pregnancy include type 2 diabetes, obesity, hypertension, neurobehavioral defects, respiratory dysfunction, and infertility. • Nicotine crosses the placenta and is found in the breast milk of mothers who smoke as well as mothers who inhale passive smoke Pregnancy and breastfeeding
  • 30.
    Withdrawal syndrome: • Aswith the other drugs in this class, nicotine is an addictive substance, and physical dependence on nicotine develops rapidly and can be severe. Withdrawal is characterized by; • Irritability, anxiety, restlessness, difficulty concentrating, headaches, and insomnia. Appetite is affected, and gastrointestinal pain often occurs. • Smoking cessation programs that combine pharmacologic and behavioral therapy are the most successful in helping individuals to stop smoking. • The transdermal patch and chewing gum containing nicotine have been shown to reduce nicotine withdrawal symptoms and to help smokers stop smoking. • The blood concentration of nicotine obtained from nicotine chewing gum is typically about one-half the peak level observed with smoking. • Bupropion , an antidepressant , can reduce the craving for cigarettes.
  • 32.
    Nicotine can beused commercially to produce one of vitamin B- complex named Nicotinic acid or Niacin (Vitamin B3) used to prevent Pellagra. Biological Sources of niacin; It is widely distributed in nature; and appreciable quantities are found in fish, yeast, liver, and cereal grains. NICOTINE CH3 N N H Oxidation Nicotinic acid (Niacin or Vitamin B3) COOH N
  • 33.
    • Pellagra isa disease caused by a lack of the vitamin niacin (vitamin B3). • Second, it may result from deficiency of tryptophan, an essential amino acid found in meat, poultry, fish, eggs, and peanuts that the body converts into niacin • The classic symptoms of pellagra are diarrhea, dermatitis, dementia, and death. • As a result of niacin (vitamin B3) deficiency, decreased NAD production leading to most of the pathology Pellagra • If untreated, pellagra can kill within four or five years. • Treatment is with nicotinamide, which has the same vitamin function as niacin and a similar chemical structure, but has lower toxicity.
  • 34.
    Ph. D. AhmedM. Metwaly Assistant professor, Pharmacognosy department, Faculty of Pharmacy, Al-Azhar University. ametwaly@azhar.edu.eg