1
Points and Crossings:
The arrangements by which different
routes, diverging from the first track,
are connected to facilitate the
diversion of trains from one track to
another track without any obstruction
are known as points and crossings.
2
Points and Crossings:
Turn out:
A complete set of points and crossings
provides for diverting the trains from a
main track to a branch track is known as
turn out.
https://www.youtube.com/watch?v=owmJ2
J1B6g4
3
4
5
6
Right Hand Turn out:
Animated diagram of a right-hand railroad switch, rail
track A divides into two track B (the straight track) and
track C (the diverging track)
12
Right Hand Turn out:
13
Left Hand Turn out:
14
Turn out:
lead rails
17
Crossing Nose
It is a arrangement of rails introduced at the
junction where two rails cross to permit the wheel
flange of a railway vehicle to pass from one track to
another track.
Stretcher bar
Used to connect the toe of the tongue rails so that both
the tongues moves through the same distance or gap
Generally 2 or 3 bars are used near and behind the toe
Turn out:
20
22
Important Terms in connection with switches
Points or switch-- A pair of tongue and stock rails with
the necessary connections and fittings forms a switch.
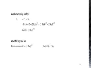
Heel clearance / Heel divergence
It is the distance between the running face of the stock
rail and gauge face of the tongue rail measured at the
heel of the switch.
Heel clearance according to Indian standards for different
gauges:
B.G Track:- 13.3cm to 13.7cm
M.G Track :- 11.7cm to 12.1cm
N.G Track:- 9.8cm
Flangeway clearance
It is the distance between the adjacent faces of the stock
rail and the check rail.
It is provided as a clearance for the free movement of the
wheel flange
Flangeway should take into account the amount of wear.
It is observed that upto 6cm flangeway clearance, wear
takes place.
Indian standards for the value of Flangeway clearance on
the basis of wear are:
For 1 in 12 crossing angle, F.C = 6.3cm
For 1 in 8 ½ crossing angle, F.C = 6.6cm
26
27
28
29
30
31
32
33
2. Split Switch
In this type of switch a tongue rail is combined with
the stock rail.
Split Switches are classified as:
A) On the basis of fixation at heel:
(i) Loose Heel Type
- In this type, tongue rails are joined to lead rails by means of
fish plates.
- Two front bolts are kept loose to allow the throw of the switch
and these bolts are kept tight when the tongue is open
- This is suitable for short length switches.
Loose heel type
Loose heel type
37
38
Loose heel type
(ii) Fixed Heel Type (Flexible Type)
- This is an improvement over loose heel type
switch.
- In this all the 4 bolts are tight when the tongue is
closed
- Gives satisfactory results when long tongue are
used
- It is suitable for long tongue rails only.
Fixed heel type
40
Fixed heel type
B)
(i) Under Cut Switches
- In case the height of the stock and tongue rail is
same, it is desirable to cut out a portion of flange
at the foot of the stock rail so that toe of tongue
rail is accommodated under head of the stock rail.
- The disadvantage of this type of switch is that it
becomes weak because flange portion is cut out.
- These switch are generally used in narrow gauge
lines.
Under Cut Switches
43
ii) Over riding Switches:
- In this type separate rail sections of stock rail and
tongue rail are adopted.
- The stock rail of heavy section and tongue rail of light
section are used instead of cutting the flange rather than
weakening the stock rail as in case of undercut switch.
- The tongue rail rides over the flange of the stock rail.
- Generally used in B.G and M.G track.
iii) Straight cut Switches:
- In this type the tongue rail is cut straight in the line with
the stock rail.
- This is done to increase the thickness of toe of the
tongue rail, which increases its strength
- This type of switch is suitable for Bull Headed rails.
Crossings:
The arrangements by which different
routes, are connected without any
obstructions is called crossings.
48
49
50
51
52
Crossings:
53
Crossings Can Be Classified As Follows:
 On the Basis of Shape of Crossing
1.Square Crossing
2.Acute Angle or V-crossing or Frog
3.Obtuse Angle or Diamond Crossing
 On The Basis Of Assembly Of Crossing
1.Ramped Crossing
2.Spring Or Movable Crossing
Crossings:
Acute Angle
Obtuse
Angle
Right
Angle
According to Angle
54
55
Square Crossing:
Square Crossing is formed when two straight tracks of same or different gauge,
cross each other at right angles. This type of crossing should be avoided on main lines
because of heavy wear of rails.
Acute Angle Crossing:
Acute angle crossing is formed when left-hand rail of one track crosses right-hand
rail of another track at an acute angle or vice versa. This type of crossing consists of a pair of
wing rails, a pair of check rail and a splice rail. This crossing is widely used. This is also
called V-crossing or frog.
Obtuse Angle Crossing:
The obtuse crossing is formed when left-hand rail of one track crosses right-hand
rail of another track at an obtuse angle or vice versa. This type of crossing consists mainly of
two acute and two obtuse angle crossings. This is also called Diamond crossing.
56
57
58
59
Crossings:
Spring Crossing:
In this crossing wing rail is strongly
connected to V part by
helical spring so that’s why this
crossing is called spring crossing.
These crossings used in USA but not in
INDIA.
According to Diversion
60
Crossings:
Spring Crossing
61
Crossings:
Crossover Crossing
Function of this crossing is to
connect two parallel
or diverging tracks.
According to Diversion
62
Crossings:
Crossover
Crossing
63

POINTS AND CROSSINGS (1) FINAL.pptx

  • 1.
  • 2.
    Points and Crossings: Thearrangements by which different routes, diverging from the first track, are connected to facilitate the diversion of trains from one track to another track without any obstruction are known as points and crossings. 2 Points and Crossings:
  • 3.
    Turn out: A completeset of points and crossings provides for diverting the trains from a main track to a branch track is known as turn out. https://www.youtube.com/watch?v=owmJ2 J1B6g4 3
  • 4.
  • 5.
  • 6.
  • 12.
    Right Hand Turnout: Animated diagram of a right-hand railroad switch, rail track A divides into two track B (the straight track) and track C (the diverging track) 12
  • 13.
  • 14.
  • 17.
  • 18.
    Crossing Nose It isa arrangement of rails introduced at the junction where two rails cross to permit the wheel flange of a railway vehicle to pass from one track to another track.
  • 19.
    Stretcher bar Used toconnect the toe of the tongue rails so that both the tongues moves through the same distance or gap Generally 2 or 3 bars are used near and behind the toe
  • 20.
  • 22.
  • 23.
    Important Terms inconnection with switches Points or switch-- A pair of tongue and stock rails with the necessary connections and fittings forms a switch. Heel clearance / Heel divergence It is the distance between the running face of the stock rail and gauge face of the tongue rail measured at the heel of the switch. Heel clearance according to Indian standards for different gauges: B.G Track:- 13.3cm to 13.7cm M.G Track :- 11.7cm to 12.1cm N.G Track:- 9.8cm
  • 25.
    Flangeway clearance It isthe distance between the adjacent faces of the stock rail and the check rail. It is provided as a clearance for the free movement of the wheel flange Flangeway should take into account the amount of wear. It is observed that upto 6cm flangeway clearance, wear takes place. Indian standards for the value of Flangeway clearance on the basis of wear are: For 1 in 12 crossing angle, F.C = 6.3cm For 1 in 8 ½ crossing angle, F.C = 6.6cm
  • 26.
  • 27.
  • 28.
  • 29.
  • 30.
  • 31.
  • 32.
  • 33.
  • 35.
    2. Split Switch Inthis type of switch a tongue rail is combined with the stock rail. Split Switches are classified as: A) On the basis of fixation at heel: (i) Loose Heel Type - In this type, tongue rails are joined to lead rails by means of fish plates. - Two front bolts are kept loose to allow the throw of the switch and these bolts are kept tight when the tongue is open - This is suitable for short length switches.
  • 36.
  • 37.
  • 38.
  • 39.
    (ii) Fixed HeelType (Flexible Type) - This is an improvement over loose heel type switch. - In this all the 4 bolts are tight when the tongue is closed - Gives satisfactory results when long tongue are used - It is suitable for long tongue rails only. Fixed heel type
  • 40.
  • 41.
    B) (i) Under CutSwitches - In case the height of the stock and tongue rail is same, it is desirable to cut out a portion of flange at the foot of the stock rail so that toe of tongue rail is accommodated under head of the stock rail. - The disadvantage of this type of switch is that it becomes weak because flange portion is cut out. - These switch are generally used in narrow gauge lines.
  • 43.
  • 44.
    ii) Over ridingSwitches: - In this type separate rail sections of stock rail and tongue rail are adopted. - The stock rail of heavy section and tongue rail of light section are used instead of cutting the flange rather than weakening the stock rail as in case of undercut switch. - The tongue rail rides over the flange of the stock rail. - Generally used in B.G and M.G track.
  • 46.
    iii) Straight cutSwitches: - In this type the tongue rail is cut straight in the line with the stock rail. - This is done to increase the thickness of toe of the tongue rail, which increases its strength - This type of switch is suitable for Bull Headed rails.
  • 48.
    Crossings: The arrangements bywhich different routes, are connected without any obstructions is called crossings. 48
  • 49.
  • 50.
  • 51.
  • 52.
  • 53.
    Crossings: 53 Crossings Can BeClassified As Follows:  On the Basis of Shape of Crossing 1.Square Crossing 2.Acute Angle or V-crossing or Frog 3.Obtuse Angle or Diamond Crossing  On The Basis Of Assembly Of Crossing 1.Ramped Crossing 2.Spring Or Movable Crossing
  • 54.
  • 55.
    55 Square Crossing: Square Crossingis formed when two straight tracks of same or different gauge, cross each other at right angles. This type of crossing should be avoided on main lines because of heavy wear of rails. Acute Angle Crossing: Acute angle crossing is formed when left-hand rail of one track crosses right-hand rail of another track at an acute angle or vice versa. This type of crossing consists of a pair of wing rails, a pair of check rail and a splice rail. This crossing is widely used. This is also called V-crossing or frog. Obtuse Angle Crossing: The obtuse crossing is formed when left-hand rail of one track crosses right-hand rail of another track at an obtuse angle or vice versa. This type of crossing consists mainly of two acute and two obtuse angle crossings. This is also called Diamond crossing.
  • 56.
  • 57.
  • 58.
  • 59.
  • 60.
    Crossings: Spring Crossing: In thiscrossing wing rail is strongly connected to V part by helical spring so that’s why this crossing is called spring crossing. These crossings used in USA but not in INDIA. According to Diversion 60
  • 61.
  • 62.
    Crossings: Crossover Crossing Function ofthis crossing is to connect two parallel or diverging tracks. According to Diversion 62
  • 63.