THE ORIGIN AND HISTORY OF CONVOLUTION I:
CONTINUOUS AND DISCRETE
CONVOLUTION OPERATIONS*
ALEJANDRO DOMINGUEZ-TORRES
This work was written while the author was at Applied Mathematics and Computing Group,
Cranfield Institute of Technology, Cranfield, Bedford MK43 OAL, UK. Now the author is at
Academic Division, Fundación Arturo Rosenblueth, México, D.F.1
*This work was sponsored by CONACYT, México. Act Number BA90074.
Chapter 1
Introduction
Nowadays there is not doubt of the uses and applications of the continuous and discrete
convolution operations in many branches of science. Moreover, the number of applications is so
large that trying to name and count them would take a long time. Some of these applications are
in signal and image processing, electric circuits, telecommunications, probability, statistics, etc.
Although the aforementioned applications, all of the modern books dealing with convolution,
which mainly deal with series and integral transforms rather than convolution, do not give any
information about its origin and history. This lack of information has also been present in the
earlier literature. It is worth to mention that the only two books given some remarks about this
history and origin are those by Doetsch [26] and by Gardner and Barnes [37]. The first author
gave some historical remarks in a series of notes marked throughout the text of his book and
commentd at the end of it. In the second book the brief notes of history appear in two subsections
of Appendix C. Both subsections are given in about one page.
From the above comments, it may be seen that the origin and history of convolution have not
been properly traced back. The present paper is an attempt to fill this gap.
Two important remarks must be done about the origin and history of convolution before going on
reading this paper. Firstly, they are not claimed to be complete. The reader may find that the
work of some authors is not fully commented or even mentioned. Secondly, the history given
herein is far away from being a critical one.
This paper has been divided in five chapters plus a list of references. Chapter 2 mainly concerns
with the real convolution integral, while Chapter 3 with the complex convolution integral.
Chapter 4 deals with the discrete convolution operation including some brief comments about
cardinal series. Finally, in Chapter 5 the names and notations given to the different convolution
operations are given.
1 On November 2010, the author is the Corporate Director of Postgraduate Studies at Universidad Tecnológica de
México. alexdfar@yahoo.com
2
In a second paper the author is at present doing an attempt to trace back the origin and history of
the so-called convolution theorems [28].
Chapter2
The Real Convolution Integral
2.1 Definition and Introductory Comments.
Let f,g be two real or complex valued functions of a real variable x. Assume u is a real variable
and construct the integral
 
b
a
duuxguf )()( , (2.1)
where the limits of integration a and b may finite or infinite or depend on the variable x. These
limits of integration as well as the sign to be taken in the argument of g x u( ) will be apparent in
what follows.
Since both variables x and u entering in (2.1) are real, that integral (2.1) will be called the real
convolution integral (RCI). Obviously these variables are considered as dummy variables and
may be changed through the present chapter.
As in the present, integral (2.1) occurred in the past in several areas of mathematics. Due to this
fact the present chapter has been divided in several sections, in each one of them is traced back
the occurrence of (2.1) in a particular area of mathematics.
It is difficult to establish the exact date when the RCI occurred by the very first time. As it is
described in the following sections of this chapter, the earliest occurrences of (2.1) the present
writer has found are in connection with the theory of series (general, Taylor and trigonometrical
series) and in connection with the theory of Beta function given by Euler.
2.2 Series, Taylor Series and the RCI.
Probably one of the first occurrences of the RCI in an explicit but particular form took place in
the year 1754 when the mathematician Jean-le-Rond D'Alembert (1717-1783) derived Taylor's
expansion theorem on page 50 of Volume I of his book Recherches sur differents points
importants du systeme du monde [73, p.111, footnote 1, and 65, pp.17-18]. Following Reiff
[op.cit., p.111] the derivation of Taylor's expansion theorem by D'Alembert is as follows. For a
function ( )z D'Alembert firstly wrote
  ( ) ( )z z u   ,
Where
3






d
zd
du
)(
. (2.2)
Secondly he wrote
d z
d
d z
dz
v
 

( ) ( )
,

 
where now


 2
2
)(



d
zd
dv (2.3)
D'Alembert continued with this process and found finally the expression
   
  
( ) ( ) ...z z
d
dz
d
dz
   


1 2
2
2
(2.4)
In this derivation of Taylor's expansion theorem the limits of the integrals (2.2) and (2.3) were
taken from 0 to  . Obviously these integrals are special cases of the RCI where one of the
functions entering into them is a constant unit function and the other ones are d dz d dz / , /2 2
,
and so on, respectively.
Reiff [op.cit., p.111] and Nielsen [op.cit., p.18] point out that the series (2.4) was given by
D'Alembert without naming the work of Taylor. Because of this fact, Nielsen [op.cit., p.18] also
points out that Jean-Antoine-Nicolas Caritat de Condorcet (1743-1794) used to designate series
(2.4) as 'théoreme de D'Alembert'.
The above method for deriving Taylor's expansion theorem was known to Pierre Simon Laplace
(1749-1827) since he stated it in 1812 in a more modern form in his book dealing with the theory
of probability [54, pp.179-180]. As in the case of D'Alembert, Laplace did not mention Taylor's
work. Moreover, he did not mention D'Alembert work, the reason of this fact is difficult to guess
since Laplace met D'Alembert when the latter was then at the height of his fame [14, p.259].
In order to see the importance of the RCI in Laplace's method and to distinguish the differences
of it with respect to D'Alembert method, a translation to English language of Laplace's derivation
is given next [op.cit., pp.179-180].
"Consider the integral from z 0 ,
),()()( zxxzxdz  
'( )x standing for the differential of ( )x divided by dx. If analogously one designate by
"( )x the differential of '( )x divided by dx., by '''( )x the differential of ''( )x
divided by dx and so on, one will obtain
4
  ),('')(')(' zxzdzxzzxdz 
  ),('''
2
1
)(''
2
1
)('' 22
zxdzzxzzxdz 
Continuing in this way, one will obtain generally
)(
321
)(''
21
)(')(' )(
2
zx
n
z
zx
z
zxzzxdz n
n




 
 

 
)(
321
1 )1(
zxdzz
n
nn

A comparison of this expression with the precedent one, one will have
    ( ) ( ) '( ) "( ) ( )( )
x x z z x z
z
x z
z
n
x z
n
n
    

 
  

2
1 2 1 2 3
 

 
z)(xdzfz
n321
1 1)(nn
.
Setting x z t  , the precedent equation will have the following form
    ( ) ( ) '( ) "( ) ( )( )
t z t z t
z
t
z
n
t
n
n
   


  
2
1 2 1 2 3
)z'z(tdzfz
n321
1 1)(nn


 
 ,
the integral being taken from z' 0 to z' z ".
Finally it is mentioned that according to Burkhardt [12, p.400, footnote 2065] an expression of
the type
  ,)()( duuxguf
where the limits of integration are from u  0 to u x ,was used by Sylvestre Françoise Lacroix
(1765-1843) on page 505 of Volume I of his book entitled Traité des différences et des séries.
From the title of Lacroix's book and from the Burkhardt's reference it may be inferred that the
above integral occurred in connection with some work related to series, however no description
of Lacroix's work is given herein since the present writer was not able to obtain Lacroix's book.
5
2.3. Fourier Series and the RCI.
In dealing with the representation of a function by Fourier series several authors used expressions
of the type given by Eq.(2.1). Jean Baptiste Joseph Fourier (1768-1830) himself was the first one
in using such expressions as early as the year 1807 when he made the first announcement of his
investigations about the propagation of heat in solids before the French Academy. In order to
quote the RCI used by Fourier an English translation of Fourier 1822 book is used herein as main
source of reference [36].
In Art.235 of Fourier's book is found the following representation for a function F x( ) defined in
an interval from  to  (the notation is that used in the translation of Fourier's book)






 
)(2cos)cos(
2
1
)(
1
)( 



xxdFxF ,
which was reduced by him to one of the form
  





 )(cos
2
1
)(
1
)( 

xidFxF , (2.5)
where the summation was taken from i  1 to i   and where the limits of integration were set
to be from    to   . There is not doubt that (2.5) is a particular case of the RCI.
In Arts.415-416 of his book Fourier generalized the series to the case of integrals and from the
expression
 




0
px)dpcos(paf(a)da
p
1
f(x)
he derived the following RCI representation for f x( )






xa
px)sin(pa
f(a)da
p
1
f(x)
when p  .
In 1815 Siméon Denis Poisson in a paper submitted to the French Academy at the end of 1815
and in order to participate for the 'Prix d'analyse mathématique' derived, independently of
Fourier, the representation of a function by Fourier series [68]. In pages 85-86 of Poisson's work
it is found the following key RCI-expression for the derivation of such representation (the
notation differs slightly from that used by Poisson)
6
  




 
 f(a)da
2l
1
l
da
l
a)ip(x
ki)cosexp(
i
 
   


l
p
a)(x2cosexp(k)2l
f(a)dak)exp(exp(k)
where the integrals were taken from   0 to  1. Some variations of the above RCI were used
by Poisson in future works [69,70].
Peter Gustav Lejeune Dirichlet (1805-1859) in dealing with the same problem of Fourier series
wrote in 1829 [22] that that representation could be written in the (RCI) form (nowadays known
as Dirichlet integral)







d
xn
x


)(sin2
))((sin
)(
1
2
2
1
.
Georg Friedrich Bernhard Riemann (1826-1866) in 1866 in his work related to Fourier series also
used RCIs to prove some properties of the Fourier coefficients [74]. Among these properties was
included the so-called Riemann-Lebesgue Lemma. A description of his work can be found on
pages 244-247 in the book by Umberto Bottazinni [8].
Finally it is mentioned a result closely related to Fourier series obtained in 1885 by Karl
Weierstrass (1815-1897). Weierstrass proved that [98] if f x( ) is a single-valued function which
is continuous in an interval ( , )c c , then at any point x inside the interval
,,)(lim)( dtn
c
tx
tfxf
c
c
n 






 
 
where ( , )v n denotes
 

n
r
r
rvn
1
cos21
2
and  n stands for
(n 1) ( m/( n 1))2
  
with m 1.
2.4 Differential Equations and the RCI.
In the field of differential equations (DE) some authors; v.g. [49, pp.191-192], [71, pp.104-109];
without given their source of reference attribute to Leonhard Euler (1707-1783) the use of a RCI
of the type
7





duuvuxxy v
)()()( 1
(2.6)
for solving "any linear differential equation in which the coefficient of y r( )
is a polynomial in x
of degree r " [71, p.104]. A more inaccurate quotation is given in the book by Gardner and
Barnes [37, p.364]; these authors did not mention neither the exact RCI used by Euler, nor the
type of linear DE that is solved by such expression and nor their source of reference.
On the other hand, the present writer found that the problem of solution of DE by definite
integrals was studied by Euler in 1768 in Volume II of his Institutionum Calculi Integralis [32,
Vol.III], and to be more specific in Chapter X (Caput X: Constructione Aequationum Differentio-
Differentialium per Quadraturas Curvarum).
In problem 131 (Arts. 1049-1052) of that chapter it is found an study of the solution of the DE
L u
d y u
du
M u
dy u
du
N u y u( )
( )
( )
( )
( ) ( )
2
2
0  
by means of the integral
  
b
a
n
dxxQuKxPy .)()()( (2.7)
Obviously (2.7) reduces to (2.6) in the very especial case in which K u u( )   and Q x x( )  .
Euler did not studied explicitly this special case, however he did study only the case Q x x( ) 
[op.cit., Arts.1050-1052].
At this point the following question arises, Is the preceding citation the source of reference of the
aforementioned authors? If the answer to this question is affirmative, then the facts have been
distorted in time. If the answer is negative, then that source of reference remains as a mystery to
be solved.
In the XIX century the solution of some DE, mainly partial DE describing physical phenomena
were expressed by means for RCIs. One of the earliest author in doing this was Fourier. In fact,
in Chapter IV of his book [36] it is found that the solution of the heat equation


 


t
k
x
x f x 
2
2
0; ( , ) ( ) (2.8)
for a ring was expressed as
 







2
0
2
).(exp)(cos)(
2
1
),(
i
i
ktixifdtx
8
Fourier went a step further and changing ( , )x t by v x t( , ) and f x( ) by ( )x in (2.8), he solve
the resulting equation for "the free movement of heat in an infinite line" and found for v the
expression



 ).2()(exp
1 2
ktqxqdqv 

(2.9)
It is of historical interest to point out that according to Grattan-Guinness [40, pp.41-42] the
solution of (2.9) was first stated by Laplace in 1809 [53, pp.235-244] and then considered by
Fourier in his future research.
Fourier expressed also (2.9) in a slightly different form for the case in which k  1. He considered
the change of variable q x t ( ) / 2 and expressed (2.9) as
 



 .
p2
/4td)-(x-(a)exp
dav
2


(2.10)
The 3D version of (2.10) was also given by Fourier in connection with the solution of the "free
movement of heat in and infinite solid". Thus in Art.376 of his book it is found the expression.
 












 

4t
g)(zb)(ya)(x
g)expb,f(a,dgdbdatv
222
3/2
In Art.384 of the same book the corresponding expression for the case k 1 was also given.
These are probably the first time that a 3D RCI was stated explicitly.
At this point it is worth to mention that Weierstrass in 1885 [98] proved his famous theorem of
approximation of continuous functions by polynomials using an integral of the type given by
(2.10).
One of the first treatises for solving DE by means of RCIs is due to H. Mellin. Indeed, in 1896
Mellin published a paper [63] dealing with the relation of the RCI integral
 
)(
;)()(
l
dtttx 
where (l ) denoted either one of the intervals ( , ),( , ), ( , )a b a b x a x b x  or being a b, constants;
to the DE
( ) ( ) ( ) .a b x
d y
dx
a b x
d y
dx
a b x yn n
n
n n n
n
n
      

1 1
1
1 0 0 0
In Arts.4-5 of his paper Mellin stated the formulae
9
 

















b
a at
b
a
y
x
f,
dt
d
Ft)f(t)dty(x
x
d
Ff(t)
dt
d
Ft)dty(x


,
 
 


















xb
a
xb
a at
y
x
f
dt
d
Ft)f(t)dty(x
dx
d
Ff(t)
t
d
Ft)dty(x


,


















xb
xa
xb
xa
t)f(t)dty(x
dx
d
Ff(t)
dt
d
Ft)dty(x ,
 











b
a
b
a
t)f(t)dty(x
dx
d
Ft)y(x
x
Fdtf(t)


,
xbt
xb
a
xb
a
y
x
f,
dt
d
Ft)f(t)dty(x
dx
d
Ft)y(x
x
Fdtf(t)


 



















,
xbt
xat
xb
xa
xb
xa
y
x
f,
dt
d
Ft)f(t)dty(x
dx
d
Ft)y(x
x
Fdtf(t)






 



















,
where
F ck
k
k
n
( ) 

0
,
F
F F
ck
k
n
k v
v
k
v
 
 
 
 ,
( ) ( )





 


 0
1
0
1
,
being the n.,,0,1,k,ck  constants.
it is worth to mention that in Art.8 Mellin made an study of the RCI attributed to Euler:
 
(l)
a
f(t)dt;t)(x
and in Arts. 13-14 he used the above formulae in conjunction with Convolution Theorem for
Laplace integrals to state existence theorems for the solution of the aforementioned DE.
In pass it is mentioned that in this same paper Mellin introduced the so-called Mellin convolution
and developed similar results than those given for the RCI.
2.5 Integral Equations and the RCI.
In 1823 and 1826 Niels Henrik Abel (1802-1829) published two papers [1, 2] which are rightly
believed to be the earliest publications to contain what is now called an integral equation. The
second of these papers is a revised an improved version of the first. one. Abel solved in these
papers the famous problem of tautochrone curves by reducing it to an integral equation which
now bears his name. To be specific, Abel in the second paper considered the following situations:
10
"Let BDMA be a curve whatever. Let BC be horizontal straight line and CA be a vertical
straight line. Suppone that a particle urged by gravity moves on the curve, a point D whatever
being its point of departure. Let  be the time which passed when the particle is at the given
point A, and let a be the height EA [DE and MP are horizontal; E and P are on CA].
The quantity  shall be a certain function of a which shall depend on the form of the curve.
Reciprocally, the form of the curve shall depend on this function. We proceed to examine how
with the help of a definite integral, one can find the equation of the curve for which  is a
given continuous function of a".
Letting AM s and AP x and t be the time taken by a particle in running through the arc
DM , then if   ( )a it follows that
 

a
xa
ds
a
0
)( .
Abel solved this equation for the variable s and obtained the expression
 

x
ax
daa
s
0
)(1 

. (2.11)
Moreover Abel solved for s the more general expression
 

a
n
xa
ds
a
0
)(
)( (2.12)
and obtained
 






0
1
)(
)(sin
n
ax
daan
s . (2.13)
Abel's equation and several others analogous to it were solved by Joseph Liouville (1809-1882)
using the notion of fractional derivatives and integrals. Liouville's procedure was purely formal
and he seemed to be unaware of Abel's work. The solution of (2.12) published by Liouville in
1832 [57, 58] is easily derived from (2.13). Indeed, if it set

x
dvxs
0
,)()( 
where v( ) is a function such that v( )0 0 , then a substitution in (2.13) gives
11
 


x
n
x
ax
daan
dv
0
1
0
,
)(
)(sin
)(




or equivalently
 


x
n
ax
daa
dx
dn
xv
0
1
)(
)(sin
)(



. (2.14)
At this point it is worth to mention that at the end of the XIX century integral equations of the
RCI type were considered in detail by Volterra. an brief account of Volterra's work is given
below in Section 2.6
Returningto the works by Abel and Liouville, the equations derived by them were the source of
inspiration of several authors to derive and define fractional derivatives and integrals. Complete
accounts of this subject are given in Chapter I of the book by H.T. Davis [20] an in two papers by
B. Ross [75, 76]. Herein only the fractional operations of the RCI type are briefly quoted next.
In the field of fractional calculus, Riemann in 1847 was the first author after Abel and Liouville
in using an integral of the type (2.12). He sought a generalization on Taylor's series expansion
and derived the following expression for fractional integration [75, p.6 and 76, p.4]







x
c
r
r
r
dkkurx
rdx
xud
.)()(
)(
1)( 1
(2.15)
In a paper written in 1863 and published in 1864, H. Holmgren [20, p.20 and 76, p.7] considered
Riemann's expression (2.15) as his point of departure for a long memoire on the subject, and later
on in 1867 applied his theory to the integration of a differential equation of the type [20, p.20 and
76, p.7]
( ) ( ) .a b x c x
d y
dx
a b x
dy
dx
a y2 2 2
2
2
2 1 1 0 0     
It is worth to notice that the method used by Holmgren resembles the supposed (and up to now
not confirmed) method used by Euler in the solution of DE by definite integrals (see Sec. 2.2. of
this chapter).
Similar integral to those of (2.15) were studied later by A.D. Grünwald in 1867 and A. V.
Letnikoff in 1872, both in connection with fractional operations and the solution of particular
integrals [76, pp.7-8].
2.6 Volterra's Work and the RCI.
The modern theory of integral equations was initiated almost simultaneously by Eric Ivar
Fredholm (1866-1927) and by Vito Volterra (1860-1940) in the last decade of the XIX century.
12
Volterra's work is based in what he called functions of lines. The theory of these functions of
lines began in 1887 with a series of papers published by Volterra in the Rendiconti de la Real
Accademia dei Lincei and which were condensed and resumed by Volterra himself and J. Pérès in
two books [95, 96], from which the following quotations are taken.
In order to understand how the RCI emerged from Volterra's work, some preliminary definitions
are firstly given [96, pp.5-6].
Given two functions f x y( , ) and g x y( , ) of two variables, the integral (Volterra's notation)



y
x
y)(x,gfy)dxx)g(x,f(x,
was called by Volterra composition of the first kind, while the integral



b
a
y),(x,gfy)dxx)g(x,f(x,
where a band are constants, was called by him composition of the second kind.
Volterra also mentioned that [95, p.100]:
"the operations of composition are an extension to the case of an infinite number of variables
of the notion of the product of two square matrices a bir rsand ; or the composition of the
corresponding linear substitutions ( , , , , ,..., ).i r s n 1 2 Composition of the second kind
correspond to the case of general square matrices, while that of the first kind correspond to the
case of matrices a a r iir irin which for 0 "
Corresponding to these type of composition, Volterra defined two different types of
permutability. The permutability of the first kind was defined as


y
x
x)dxx)g(x,f(x,y)(x,gf
y)(x,fgx)dxx)f(x,g(x,
y
x



while the permutability of the second kind was defined a similar way where the integrals ran from
  a bto .
A name for f g
 
was also given by Volterra [96, p.6]:
13
"Nous dirons que cette fonction f g
 
est la resultante de la composition de f get ".
The name resultante was later used by several authors to designate the RCI (see Sec. 5.3. herein).
Volterra also considered the very special case in which the function f x y( , ) is permutable with a
constant, say the unity [96, p.9 and 95, pp.109-110]; i.e.,
 
y
x
y
x
dyfdxf .),(),( 
From this equality was where Volterra derived the RCI. His idea is a follows, let ( x,y )be the
common value of these two quantities. By differentiating it is obtained
f ( x,y )
y x
  




or equivalently



x y
0  .
This partial differential equation implies that ( x,y )and therefore f x y( , ) functions only of the
difference y x . Further, it can be shown that all functions of the difference y x are permutable
(of the first kind) with another and with the unity. In fact, let    x y , then
  
y
x
y
x
;)dx)f(yg()dx)g(yf( 
i.e;
f g( y x ) g f ( y x ).
   
  
The set of functions permutable (of the first kind) with the unity was called by Volterra group of
the closed cycle in connection with its applications to the theory of heredity.
The group of the closed cycle coincide with the set of functions of one variable y x t  . Indeed,
the composition of two functions f gand belonging to the group can be written as
14

 



t
0
y
x
t
0
(t)gf)d)g(f(t
)d)g(tf()dxx)g(yf(


He also noticed that f g(t )
 
is a new function of the group. This is the way Volterra arrived to the
RCI.
It is not difficult to see at this point that the so-called group of the closed cycle coincides with
what nowadays is known as linear-shift(-time) invariant (LSI) systems.
In order to illustrate the theory developed by Volterra the following example given by him is
considered [95, Chap.VI, Sec.4]. If  represents the angle of torsion and P the torsion couple,
the relation between them is to a first approximation
  kP,
where k is a constant determined from physical considerations. but actually the relationship is
more complicated than this since  depends not only upon P but also upon the history of the
elastic body, the torsion of which is being studied. This second approximation is the form of an
integral equation


t
dssPstKtkP ,)()()( (2.16)
where K t s( ) is the coefficient of heredity.
Equations of the type (2.16), where the RCI is a characteristic feature of it, are instances of a
general theorem characterizing the so called LSI systems. The formulation and some history of it
are the purposes of the next section of this chapter.
2.7. LSI Systems and the RCI.
Consider a LSI system whose physical action is completely described mathematically by a linear
operator A . Let u x( ) be the function defined by the expression






0if0
0if1
)(
x
x
xu
and let c x( ) be the response of A to function u x( ); i.e., c x A u x( ) ( ) . For an arbitrary function
f x x h x A f x( ), , ( ) ( ). 0 let Then, under the above conditions, it is possible to express h x( ) in
terms of f x c x( ) ( )and . This expression whose derivation can be found in [37] is given as
15
 
x
0
0.x,)d(x)c(xf'f(0)c(x)h(x)  (2.17)
Equation (2.17) was derived and used by Jean Marie Constant Duhamel (1797-1872) in at least
two of his papers [30, 31]. Some authors; e.g., John R. Carson attaches the name of Duhamel to
this equation [17, p.16, footnote 1], however this does not seem to be justified since Liouvill's
solution of Abel's equation [see Eq.(2.14)] is of this form and occurred one year before of
Duhamel's papers.. Indeed, (2.17) can be expressed as
 
x
0
,.)d)c(xf(
dx
d
h(x) 
which is exactly of the form of Eq.(2.14).
Independently of the above derivations, L. Boltzman in 1874 and J. Hopkinson in 1877 obtained
similar expressions to that of (2.17) in the solution of some problems of physics [5 and 48]. Some
authors also attached the name of these authors to that equation [13, p.56].
In the present century, Eq.(2.17) was independently derived and published by Carson [17, p.16,
footnote 1]. The exact reference to his publication is not given in his book (it is the guess of the
present writer that the publication was around the years 1917-1919). As it was pointed out before,
Carson credited Duhamel the derivation of (2.17). He also mentioned that (2.17) was
independently communicated to him by H.W. Nichols and by Stuart Ballantine. However the
exact references were not given.
2.8 Special Functions and the RCI.
There is a great amount of occurrences of the RCI in the theory of special functions. These
occurrences appeared mainly in the formulation of some of their properties and it seems that they
were not formulated by the respective authors having the RCI in mind. In this final section of this
chapter some of those occurrences are quoted chronologically without discussing their derivation.
Euler was probably the first author in using the RCI in the theory of special functions when he
used this integral in his discussion of the Beta function (the Greek letter B was first introduced by
Jaques P.M. Binet in 1839 [15, Vol.II, p.272] ). Indeed in 1768 Euler wrote the expression [32,
Vol,I, Chap.XII, pp.269-270]
,
z)(u
dzz
u
1
1
3
3
2
2
1
1
v
1v
m
 





 


(2.18)
where the limits of the integral are to be understool from z z  0 to . Note that the
transformation x z u z / ( ) gives
16
 





0
1
0
11
1
;)1(
1
)(
dxxx
uzu
dzz v
v
v


an expression which was also proved by Euler.
In the year 1848 Oskar Schlömilch (1823-1901) applied the Gamma function to solve some
definite integrals and stated the following expression [79, Erste Abtheilung, pp.110-11]
    
x
0
x
0
x
0
131m1l
)d()(x...d)(d)(x 






x
0
13ml
)dr.F()(x
s)m(l
(s)(m)(l)

Schlömilch also made reference to the formulas found by Abel [see Eqs.(2.11) and (2.13)].
Concerning Legendre polynomials, in 1848 F. Neumann found that the Legendre polynomials of
the second kind Q zn ( ) could be expressed in terms of the Legendre polynomials of the first kind
P zn ( ). The expression he found was [106, p.320]



1
1
,
)(
2
1
)(
yz
dyyP
zQ n
n
where n is a positive integer and z is a real number between -1 and 1. A second property of the
RCI type for the Legendre polynomials is that given by H.V. Lowry in 1932. This property is
[71, pp.31-32]
   
x n
n
n
n
x
tdttxP
0
2
12
2 .
2
sin
sin)cos(
Finally some properties of the RCI type concerning Bessel and associated functions are quoted.
These are





0
00 ;)(
)(sin2
)( dxxJ
kx
kx
kJ






0
00 ;)(
)cos(2
)( dxxJ
kx
kx
kY




x
nm
nm dt
t
tJtxJ
nxJ
0
.
)()(
)(
17
The first two formulae were given by N.J. Sonine in 1880 in his study of cylindric functions [89
and 97, p.433]. The last formula was derived in 1905 by H. Bateman using convolution theorem
for Laplace trnasform [97, p.380]. Some special cases of this last formula were derived
independently of Bateman by W. Kapteyn in three papers published in the period 1905-1907.
Bateman in 1812 also used the following integral for some developments of the potential function
[97, p.389]
 


 .)()()(exp 22
0 dttfytxkJkz
Chapter 3
The Complex Convolution Integral
3.1. Definition and Introductory Comments
Let f gand be two complex valued functions of the complex variable z . If  is a complex
variable, the integral
 
C
dgzf
i


)()(
2
1
(3.1)
where i2
1  and C is a suitable curve in the complex plane, will be called the complex
convolution integral (CCI).
The history of the CCI started when the theory of complex integration started to be developed. As
it is well know, the main author who contributed to this development was Augustin-Louis
Cauchy (1789-1857): The brief historical quotations of the CCI given in this chapter start with
the work of this author.
3.2. Cauchy's Integral Formula and the CCI.
Following Bottazinni [8], a particular form of (3.1) was formulated by Cauchy in 1830 in a long
article presented to the Academy of Science of Turin in 1831. Cauchy also gave several
reformulations of this particular form in two papers appeared in 1834 and 1841. These three
papers have an interesting history which is also given in Bottazinni's book [op.cit., pp.157-158].
The aforementioned formulation of Cauchy is not other than the formulation of the so-called
Cauchy integral formula in the theory of functions of complex variable. If f is a continuous and
finite function for x X together with its derivative and where x X ip exp( ) for    p ,
then according to Bottazinni [op.cit. p.158], Cauchy stated the formula






.
)(
2
1
)( dp
xx
xfx
xf (3.2)
18
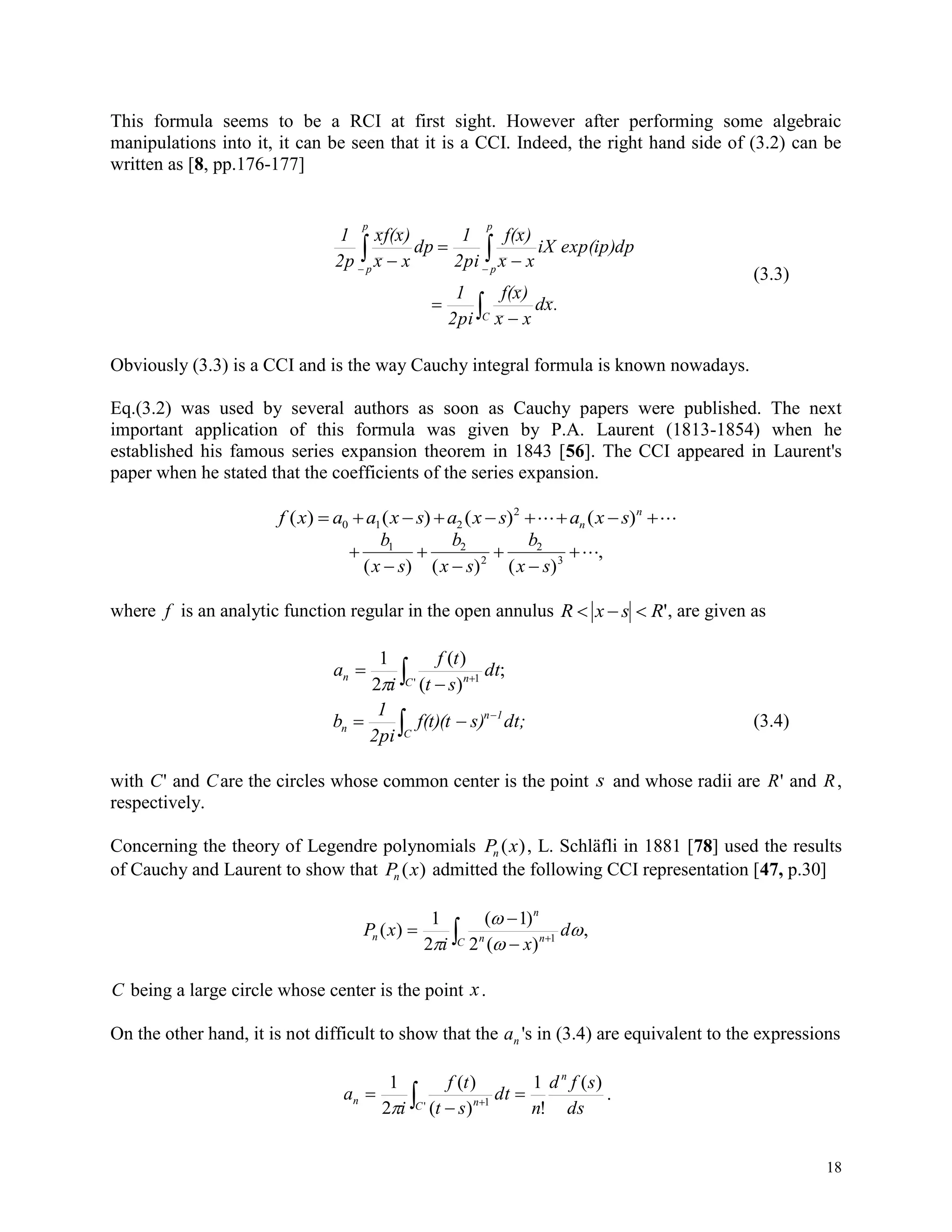
This formula seems to be a RCI at first sight. However after performing some algebraic
manipulations into it, it can be seen that it is a CCI. Indeed, the right hand side of (3.2) can be
written as [8, pp.176-177]

 




 
C
p
p
p
p
.xd
xx
)xf(
2pi
1
exp(ip)dpiX
xx
)xf(
2pi
1
dp
xx
)xf(x
2p
1
(3.3)
Obviously (3.3) is a CCI and is the way Cauchy integral formula is known nowadays.
Eq.(3.2) was used by several authors as soon as Cauchy papers were published. The next
important application of this formula was given by P.A. Laurent (1813-1854) when he
established his famous series expansion theorem in 1843 [56]. The CCI appeared in Laurent's
paper when he stated that the coefficients of the series expansion.
f x a a x s a x s a x sn
n
( ) ( ) ( ) ( )       0 1 2
2







b
x s
b
x s
b
x s
1 2
2
2
3
( ) ( ) ( )
,
where f is an analytic function regular in the open annulus R x s R   ', are given as
 


' 1
;
)(
)(
2
1
C nn dt
st
tf
i
a




C
1n
n dt;s)f(t)(t
2pi
1
b (3.4)
with C' and Care the circles whose common center is the point s and whose radii are R' and R,
respectively.
Concerning the theory of Legendre polynomials P xn ( ), L. Schläfli in 1881 [78] used the results
of Cauchy and Laurent to show that P xn ( ) admitted the following CCI representation [47, p.30]
 



C nn
n
n d
xi
xP ,
)(2
)1(
2
1
)( 1




C being a large circle whose center is the point x.
On the other hand, it is not difficult to show that the an 's in (3.4) are equivalent to the expressions
 

 ' 1
)(
!
1
)(
)(
2
1
C
n
nn
ds
sfd
n
dt
st
tf
i
a

.
19
Thus if r is allowed to be a non-negative number, then the above expression suggests to define
fractional derivatives of f x( ) by means of the formula
 


C n
n
x
dtxt
tf
i
n
xfD
,)(
)(
2
!
)( 1

(3.5)
where C is a closed curve in the complex plane about the point t x . Eq (3.5) is also a CCI and
by means of that H. Laurent (not to be confused with P.A. Laurent) in 1884 defined fractional
derivatives [20, p.66].
3.3. Pincherele's Work and the CCI.
Although the aforementioned occurrences and uses of the CCI, none of the above authors made a
complete study of (3.1). The earliest study of that equation is perhaps that made by S. Pincherele
in 1908 [67]. Pincherele's study was made in connection with the solution of the complex integral
equation
 

Pz
zgdzzfzsk
i
),()()(
2
1

(3.6)
where P  0and k z( ) and g z( ) are given functions while f z( ) is unknown. Pincherele
succeeded in the solution of (3.6) using as tool the unilateral Laplace transform. His results and
the results of other authors are resumed in Chap. 17 of Gustav Doetsch's book [26].
Chapter 4
The Discrete Convolution
4.1. Definition and Introductory Comments.
Let  ix , and  iy be two real or complex sequences such that    i . The discrete
convolution (DC) of these sequences is a new sequence defined by the expression
x y in i n
n



     (4.1)
Notice that if a sequence,   1;N,0,1,i,x 1i  has a number of terms N1 and the sequence
  .,1,,1,0, 2  Niyi has a number of terms N2, then the DC of these sequences may be written
in the form
x y , i 0,1, ,N 1; N N N 1n i n 1 1 2
n 0
i


      . (4.2)
20
The DC of two finite sequences having N1 and N2 terms, respectively, therefore is a new
sequence having N N1 2 1  terms.
4.2. Cauchy's Work and the DC
The earliest study of the DC is perhaps that performed by Cauchy in his famous book entitled
Cours D'Analyse de L'École Royale Polytechnique which appeared in 1821 [18]. It is of
importance to point out that Cauchy did not give in any part of his book the source of references
he used to establish his results concerning DC and the other topics studied in it, therefore it is
difficult to say if a previous author studied or made use of the DC.
In what follows in this section the results stated by Cauchy are quoted. These quotations are
taken from the aforementioned book by Cauchy.
The first result concerning DC is stated in Chap.IV in connection with the multiplication of
series. On page 141 is established and proved that if
u u u un
n
0 1 2
0 1 2
, , , , , ;
, , , , ,
 
    
(4.3)
are two [absolutely] convergent sequences composed only of positive terms and having sum s
and s', respectively, then
u v
u v u v
u v u v u v
u v u v u v u vn n n n
0 0
0 1 1 0
0 2 1 1 2 0
0 1 1 1 1 0
,
,
,

 

  

 
will be a new convergent sequence having sum ss'
The condition of positiveness of the terms in the sequences given in (4.3) was removed by
Cuachy on page 147 and then he proved the corresponding results for real arbitrary [absolutely]
convergent sequences.
The preceding two results were then used by Cauchy to establish a theorem and three corollaries
concerning the multiplication of power series. The theorem is given on page 157 and estates that
if the two sequences
a a x a x a x
b b x b x b x
n
n
n
n
0 1 2
2
0 1 2
2
, , , , ,
, , , , ,
 
 
(4.4)
21
are convergent for certain value of the variable x and such that they have sums s and s',
respectively, then
a b
a b a b x
a b a b a b x
a b a b a b a b xn n n n
n
0 0
0 1 1 0
0 2 1 1 2 0
2
0 1 1 1 1 0
,
( ) ,
( ) ,
( )

 

  

 
will be a new convergent sequence which have sum ss'.
The first corollary of this theorem is given on pages 157-158 and in it Cauchy stated that under
the conditions given to the sequences (4.4) the product of series in given as
( )( )
( ) ( ) .
a a x a x b b x b x
a b a b a b x a b a b a b x
0 1 2 0 1 2
2
0 0 0 1 1 0 0 2 1 1 2 2
2
     
      
and then he concluded saying that the product of the sums of two sequences is a new sequence of
the same form.
In the second corollary [op.cit., p.158] he extended the result of the first corollary to the case
when an arbitrary number of series is taken into account. In the third corollary [op.cit., p.158] he
considered the very special case in which in (4.4) a b0 0 , a b a b1 1 2 2  , , , and he wrote the
expression
( ) ( ( ) ).a a x a x a a a x a a a x0 1 2
2 2
0
2
0 1 0 1 1
2 2
2 2       
Following the analysis given on page 159, he replaced in (4.4) the sequence b b x b x0 1 2
2
, , , by a
polynomial composed of a finite number of terms and:
"on obtient une formule qui ne cesse jamais d'etre exacte, tant que la série
a a x a x0 1 2
2
, , ,
demeure convergente".
Under the above discussion he then established that if the sequence a a x a x a xn
n
0 1 2
2
, , , , 
converges, the product of the sum of this sequence by the polynomial
kx lx px qm m
  1
,
where m is an integer number, is a new convergent series of the same type where the general
term will be
22
( ) ,qa pa la ka xn n n m n m
m
     1 1
"pourva que l'on considère comme nulles dans les premieres termes celle des quantités
a a a an n n m n m    1 2 1, , , ,
qui se trouveront affectées d'indices négatifs: en d'autres termes, on aura
( )( )km lx px q a a x a xn m
     1
0 1 2
2
   qa qa pa x0 1 0( )    ( )qa pa la ka xm m
m
1 1 0
      ( )qa pa la ka xn n n m n m
m
1 1 "
On the other hand, Cauchy also considered the case in which the sequences involved in (4.3) take
complex values. The theorem concerning this case is established on page 283 of his book.
Finally, it is of importance to mention that Cauchy also approached the DC from the point of
view of double sequences, which are studied in NOTE VII of his book. On pages 542-543 he
stated that if
u u u u0 1 2 3, , , , ;
   0 1 2 3, , , ,...
are two convergent sequences having sums s and s' and if the following table is constructed
u u u u0 0 1 0 2 0 3 0   , , , ,
u u u0 1 1 1 2 1  , , ,
u u0 2 1 2 , ,
u0 3 ,

then the vertical sums
u0 0 ,
u u0 1 1 0  ,
u u u0 2 1 1 2 0   

,
u u u un n n n0 1 1 1 1 0     

 
will be a new convergent sequence, and the sum of this new sequence will be equal to ss'.
As it can be seen at this point, the discussion made by Cauchy concern both (4.1) and (4.2).
Improvements of his results concerning convergence were given by several authors in the second
half of the las century. These results can be found, for example, in the book by G.H. Hardy [44].
4.3. Statistics and the DC.
23
An application of discrete convolution, probably the first one and which seems no to be in
connection with Cauchy's work, was given by actuaries and vital staticians in the XIX century.
This application was mainly in dealing with the problem of graduation of statistical data by
linear compounding. The main idea of this method consists of the replacement of a sequence of
observed values  ru (of a sequence of true values  rU ) by a sequence  r , where each vr is
obtained by a linear compound given by the expression
v b u b u b ur r r r r r r     ( )1 1 1 1
    ( )b u b ur r r r2 2 2 2
 (4.5)
    ( )b u b ur n r n r n r n
for a range of 2 1n  terms and on the assumptions that the finite differences of  rU beyond
certain order j may be neglected.
Assume now that the b s' in (4.5) are such that b b ar k r k k   , then (4.5) becomes
r r r r r r n r n r na u a u u a u u a u u           0 1 1 1 2 2 2( ) ( ) ( ).
It is not difficult to see that this expression is a DC formula. Indeed, it may be written as
r k r n
k n
n
a u 

 (4.6)
The fundamental conditions under which such replacements of ur by linear compounding of the
u s' are legitimate were well set out by W.F. Sheppard in three papers published in the period
1912-1915 [86, 87 and 88]. See Hugh H. Wolfenden's paper for an account of these papers [104].
The determination of the b s' or a s' may be affected by interpolation, fitting by least squares, or
simply reduction of error processes. According to Wolfenden [op.cit., p.83], the earliest
application of (4.6) in interpolation was that of Griffith Davies in 1834 in connection with the
mortality table of the Equitable Society. The application of (4.6) to the problem of fitting by least
squares were indicated briefly by C.L. Landré in 1901 [52], and were fully worked out by
Sheppard in his papers. The formulae for reduction of error were indicated by G.F. Hardy (not to
be confused with G.H. Hardy) in 1909 [43] and fully examined by Sheppard in his papers, and
some of them afterward were rediscovered independently by R. Henderson in 1916 [45] and J.
Larus in 1918 [55]. An account of these papers may be found in Wolfenden's paper and book
[104, 105].
The paper published by Wolfenden in 1925 was based on the work by, until then unknown,
Erastus L. De Forest and then it became known that the determination of the a s' in (4.6) in the
case of interpolation, fitting by least squares and those of reduction of error, which make the
mean square error in 4
 a minimum, had previously been discussed very fully by De Forest.
These discussions appeared in a series of papers published in the Smith sonian Reports of 1871
24
and 1873, in a pamphlet in 1876 and in 1877-1880 in a Journal of Des Moines, Iowa, called The
Analyst (A monthly Journal of Pure and Applied Mathematics). The complete list of the papers
written by De Forest is given at the end of Wolfenden's paper.
According to Wolfenden, De Forest also made an extensive investigation of the effects of
applying some of his linear compounding formulae repeatedly, and in this instance also reached
some important conclusions on a matter which was suggested, but not closely examined, by other
authors in later years. De Forest noted clearly the manner in which when a linear compounding
formula is repeated in a large number of times, the curve of the coefficients ultimately tends to a
central bell-shaped potion with an infinite number of small oscillations at each end. To be
specific, De Forest observed that the limiting form of the curve of coefficients of (4.6) becomes
the normal probability curve when these coefficients are symmetric, while in the unsymmetrical
case [see Eq.(4.5)] he reached an unsymmetrical probability curve. It is important to point out
that these observations in the symmetrical case were proved many years later, to be specific, in
1948, by Isaac J. Schoenberg [81].
The next importance occurrence of (4.6) in statistics was in the year 1946 in a paper written by
Schoenberg [80]. This occurrence of (4.6) is closely related with the work of De Forest just
described. Indeed, in that paper Schoenberg approached the problem of smoothing the sequence
of equidistant data  ny by a series of the type
F y L , L L ,n n n n n n
n
   (4.7)
from the point of view of Fourier series of the functions T u u( ) ( )and  whose Fourier
coefficients are    nn Ly and , respectively [80, pp.50-56]. In his paper, he characterized the
smoothing properties of (4.7) in terms of ( )u and established the conditions oin ( )u such that
(4.7) reproduces the values of yn of a polynomial of degree not exceeding a given integral
number m. Two years later, Schoenberg returned to the problem of smoothing and, as it was
pointed out before, he proved the De Forest's observation about the bell shaped form of the
iterates of (4.7). In the following years, Schoenberg and his students made several investigations
of the subject of smoothing data by (4.7). These investigations were resumed by him in a paper
published in 1953 [82].
In pass it is worth to mention that in Schoenberg's paper of 1946 the B-splines were introduced
by the very first time in the modern mathematical literature.
4.4. Special Functions and the DC.
In the theory of special functions, and mainly in the theory of Bessel functions, there exist several
properties of them which are given by means of DC formulae. Some of these formulae are briefly
quoted in this section.
As usual let J xn ( ) denote the Bessel function of the first kind and of order n. The earliest
property of J xn ( ) given by a DC formula seems to be given by P.A. Hansen in a paper originally
25
published in German in 1843 and which its translation to French appeared in 1845. The
expression given by Hansen was [42 and 97, pp.30-31]
J x J x J x J x J xr r r r
rr
1 1 1
10
1
2 2( ) ( ) ( ) ( ) ( ).  




This expression is a particular case of a more general one derived independently by C.G.
Neumann in 1867 [64, p.40, and 97, p.30] and E.C.J. von Lommel in 1868 [59, pp.26-27, and 97,
p.30]. The general expression is
J y z J y J zn m n m
m
( ) ( ) ( )  


 (4.8)
This expression for z y and for all n was also derived by L. Schläfli in 1871 [78, pp.135-137,
and 97, p.30].
In 1867 Neumann also derived the following formulae for the case   0 [64, and 97, p.30],
where Y x ( ) denotes the Bessel function of the second kind and order ,
Y Y Z J z mm m
m
   ( )cos( ) ( ) ( )cos( ). 



Y Y Z J z mm m
m
   ( ) ( ) ( ) ( ) ( )sin sin 


 ,
with    Z z Zz2 2
2 cos ; while Lommel derived the expression
( ) ( ) ( ) ( ) ( ) ,  




 1 2 02
1
2
0
2
r
r n r r
r
n r
r
n
J z J z J z J z
and the espression
Y z t Y t J zm m
m
 ( ) ( ) ( ),  


 (4.9)
for z t .
Concerning Schaläfli, he also gave the following expression in his paper of 1871 [op.cit., pp.139-
141, and 97, p.289]
S t z S J z z tn n m m
m
( ) ( ); ;  



where S tn ( ) are the nowadays so-called Schläfli polynomials defined by the expression
26












)2/(
0
2
0
.1;
2!
)!1(
)(
,0)(
n
m
mn
n n
t
m
mn
tS
tS
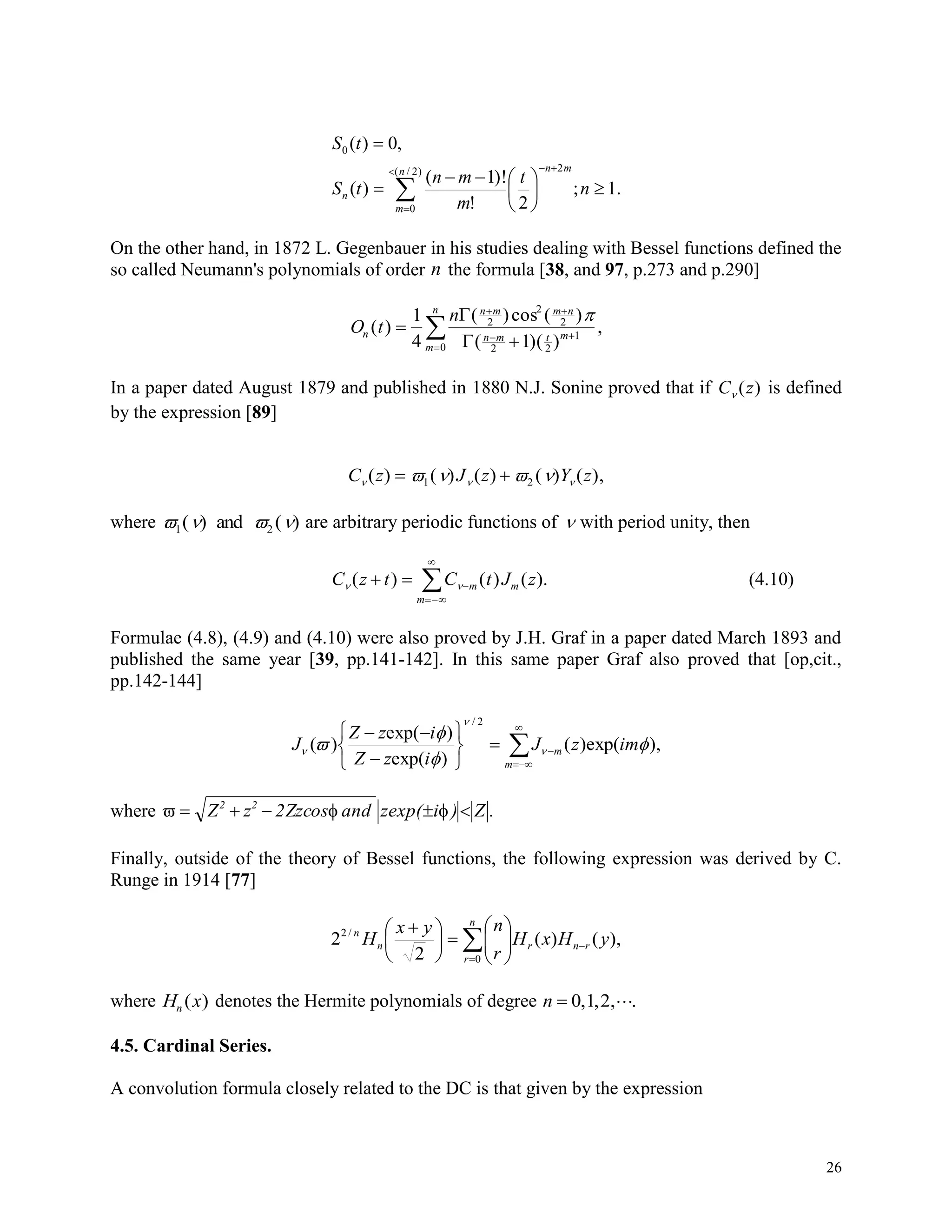
On the other hand, in 1872 L. Gegenbauer in his studies dealing with Bessel functions defined the
so called Neumann's polynomials of order n the formula [38, and 97, p.273 and p.290]
O t
n
n
n m m n
n m t m
m
n
( )
( )cos ( )
( )( )
,

 
 


1
4 1
2
2
2
2 2
1
0



In a paper dated August 1879 and published in 1880 N.J. Sonine proved that if C z ( ) is defined
by the expression [89]
C z J z Y z     ( ) ( ) ( ) ( ) ( ), 1 2
where    1 2( ) ( )and are arbitrary periodic functions of  with period unity, then
C z t C t J zm m
m
 ( ) ( ) ( ).  


 (4.10)
Formulae (4.8), (4.9) and (4.10) were also proved by J.H. Graf in a paper dated March 1893 and
published the same year [39, pp.141-142]. In this same paper Graf also proved that [op,cit.,
pp.142-144]












m
m imzJ
izZ
izZ
J ),(exp)(
)(exp
)(exp
)(
2/



 


where       Z z 2Zzcos and zexp( i ) Z .2 2
Finally, outside of the theory of Bessel functions, the following expression was derived by C.
Runge in 1914 [77]












  n
r
rnrn
n
yHxH
r
nyx
H
0
/2
),()(
2
2
where H xn ( ) denotes the Hermite polynomials of degree n  0 1 2, , , .
4.5. Cardinal Series.
A convolution formula closely related to the DC is that given by the expression
27
a f z nn
n
( ) (4.11)
Obviously this formula reduces to the DC, depending of the values of n, if z is allowed to take
integral values only. In the literature (4.11) is better known as cardinal series. A major factor
affecting current interest in the cardinal series is its importance in the sampling theory of band-
limited functions or signals. Althouhg this application, its origin concerns with the problem of
interpolation as will be seen bellow. Herein only some historical remarks concerning (4.11) will
be given. For major accounts the reader is referred to the works of A.J. Jerri [50] and J.R.
Higgins [46].
The first explicit use of (4.11) occurs in a brief note by Félix-Edouard-Justin-Emile Borel (1871-
1956) in 1898 in a paper dealing with the problem of expansion of a function by Taylor series
[6]. On page 1002 of this paper it is found a expression of the type



( z )
sin( z ) a
z n
n
n 0



 (4.12)
to get information about how the power series coefficients  na of a function f x a zn
n
( )  
determine its singularities.
The next year, Borel in dealing with the problem of interpolation used the following formula [7]
sin( t ) c ( 1)
t n
,n
n
n




 (4.13)
which can be written as
c
t n
t n
n
n
sin

( )
( )
.



On page 83 of this last paper Borel mentioned that he deduced the series from Lagrage's
interpolation formula.
Independently of Borel, in 1900 John Dougall expanded the solution P z ( ) of Legendre's
equation
(1 z )
d y
dz
2z
dy
dz
n(n 1)y 0, z 1,2
2
2
     
as a series of Legendre polynomials [29]
).()1(
1
11sin
)(
0
zP
nn
zP n
n
n







 

 


28
The corresponding expansion for the second solution Q z ( ) of Legendre's differential equation
was given by H.B.C. Darling in 1923 [21].
On the other hand, since P z P zn n  1( ) ( ), it is readily seen that if f P z( ) ( )  then Dougall's
formula may be regarded as a case of the following interpolation formula
f
n
n
f n
n
( )
( )
( )
( )
 
 





sin
(4.14)
which was established by Jaques Hadamard (1865-1963) in 1901 [41] after an extensive study of
Borel's paper of 1898.
Hadamard's formula (4.14) is analogous to the fundamental interpolation formula of Charles de la
Vallée Poussin (1866-1962) appeared in 1908. The interpolation scheme due to de la Vallée
Poussin considers the finite interpolation formula [72, p.327]
sinmt
m
f n m
t
n
n
ma
b
( ) ( / )
,



1 

where f x( ) is a given function defined on the finite interval a b, , and the summation is
understood to be over those n for which n m a b/ , .
According to W.L. Ferrar [34, p.333], F.J.W. Whipple in an unpublished manuscript dated 1910
introduced the cardinal series and discovered several of its properties, including the band-limited
nature of its sum.
Later, in 1915, Edmund T. Whittaker rediscovered again the cardinal series in connection with
the problem of interpolation of equidistant data [99]. In his paper Whittaker did not make
references to previous work. The expression used by Whittaker was [op.cit., p.86]
f a n
x a n
x a nn
( )
( ) /
( ) /
,
 
 

 
  
  
sin
(4.15)
which reduces to (4.14) if m a n  . E.T. Whittaker did not call (4.15) cardinal series, the name
seems to first appeared in the works of Ferrar [34] and J.M. Whittaker (second son of E.T.
Whittaker) [101, 102].
After the above rediscovering of the cardinal series, it came up a period where they were used
and extended (this extension considered more general expressions no necessarily of the
convolution type) to deduce properties of entire functions from their known behaviour at a
sequence of points. Among the authors who made extensions are J.F. Steffensen [90], T.A.
Brown [10, 11], M. Theis [91], K. Ogura [66], W.L. Ferrar [33, 34, 35], T.M. MacRobert [60,
61], I.M. Sheffer [85], E.T. Copson [19] and J.M. Whittaker [101,102]. A brief account of some
of these papers are given in Story One of Higgin's paper [46, pp.53-57].
29
The cardinal series (4.15), appeared also in the russian literature. It was firstly given by V.A.
Kotel'nikov in 1933 in dealing with certain problems of communication [51].
In the american literature, it was mainly C.E. Shannon in 1949 who introduced a series of the
type given in (4.15), this was also in dealing with problems in communication [84]. Although
Shannon results were published in 1949, his paper was apparently written in 1940, however its
contents seem to have been in circulation in the United States by 1948.
The general theory of interpolation formulae of the type (4.11) with f x f x( ) ( )  started in
1946 with I.J. Schoenberg. The results obtained by him, his students and other authors in the
period 1946-1973 were stated in his paper of 1946 and in his monograph of 1973, In pass, it is
pointed out that in his paper of 1946 the B-splines were given a name and were used by the very
first type to solve the problem of interpolation.
The most recent account concerning cardinal series from an introductory point of view is given in
the book by R.J. Marks [62].
Chapter 5
The Notations and Names of Convolution
5.1. Introduction.
Some of the convolution operations defined in the preceding chapters have been denoted and
named in several ways in the literature. As it wil be seen below, the notation used for these
operations has been almost uniform in the literature. Concerning the names, these were usually
given either after the work of some author or after the study of the properties of these operations.
5.2. Notations.
Probably the first expression used to denote the RCI is that given by Volterra. Indeed, as it was
seen in Sec. 2.6., Volterra denoted and defined the so-called composition of the first kind as



y
z
y).(x,gfy)dxx)g(x,f(x,
Although the above notation is quite general, in the particular case that f x y( , ) and g x y( , )
belong to the group of the closed cycle (see Sec. 2.6.) Volterra used the same notation and he
wrote:



t
0
(t).gf)d)g(f(t 
This notation can be considered as the most primitive notation of the very well known star-
notation or asterisk-notation:
30
 
t
tgfdgtf
0
).)(()()(  (5.1)
It is the guess of the present writer that the star-notation was firstly used by Gustav Doetsch.
Thus for example, Doetsch used the above notation in a paper published in 1927 [25, p.23].
Other notation were also given by Doetsch. For example on page 161 of [26] is stated that the
right-hand-side of (5.1) may be denoted as
f g
t

0
(5.2)
in order to be distinguished from the RCI



 ,)d)g(f(t 
which he denoted as
f g


. (5.3)
This notation also appeared on page 127 et. seg. of a paper published in 1938 by F. Tricomi [93].
Notations (5.2) and (5.3) seem to be difficult to write and have disappeared from the literature.
Doetsch himself did not use them in his book of 1970 [27].
Concerning the notation for complex convolution, Doetsch gave no notation in his paper of 1927
nor in his book of 1943. However in his book of 1970 he used the notation
f go
to designate that operation. On the other hand, Gardner and Barnes on page 275 of their book
[37] used the notation
to designate the CCI of functions F s F s1 2( ) ( )and .
5.3. Names.
As it was seen in Sec. 2.6., in the theory of integral equations developed by Volterra the notion of
composition of two functions f x y g x y( , ) ( , )and played and important role. Considering only
31
the composition of the first kind, it was also seen that if these functions were also permutable
functions with the unity, then
f ( x,y ) f g( x,y ) g f ( x,y ) 
   
   
   
f g( y x ) g f ( y x )
 f ( y x )
from which easily follows the RCI
 
t
dtgft
0
.)()()(  (5.4)
Thus it can be said that the composition reduces to the operation (5.4).
The name composition is one of the first names attadched to (5.4) and has been used and
preferred frequently, since the times of Volterra's work, in the French literature. In that literature
the name has been modified slightly and some times it appears as produit de composition
(product of composition). The name composition has also been used as an alternative name in
some German literature where the name faltung is preferred; e.g., [4, p.56., and p.285 Remark-
Quotation 40] and [26, p.157]. Mereover, the name composition has been extended to designate
the RCI



 .)()(  dtgf (5.5)
Another name derived from the work by Volterra and Pérès, although less common, to designate
(5.5), is that of resultant [96, p.6]. This is the name used by E.C. Titchmarsh [92, p.51] and by B.
Van der Pol and J. Bremmer [94]. The name resultant has been also used to designate (5.4).
Indeed, in his book Doetsch [26, p.157] suggested that this name may be used as an alternative
English name to designate that operation; while G.H. Hardy in his book stated [44, p.98,
footnote]:
"The German name equivalent of resultant is faltung".
The name faltung to designate (5.4) seems to be given by the very first time by Doetsch in two
papers appeared in 1923 [23, 24]. To be more specific, (5.4) was called by Doetsch
faltungsintegral [25, p.23].
In the period of time immediately after the occurrence of the aforementioned Doetsch's papers,
the name faltung was the most common to designate (5.4) and/or (5.5). In his book Doetsch [25,
p.157] pointed out that the name faltung was preferred by many American authors. This
affirmation is supported by the following quotation taken from the book by Norbert Wiener [103,
p.45]:
32
"The quantity



 dxxygxf )()(2
1
is known as the Faltung of f x( ) and g x( ) (there is not good English word), and the
sequence
  nmn ba 


as the Faltung of the sequences    nn ba and ".
Wiener also used the word faltung to designate (5.5) [103, p.71].
Concerning the CCI, on page 23 of his paper of 1927 Doetsch designated this integral as
Facherintegral. However in his book he designated it as komplexe Faltung [27, p.167].
The name faltung has also been used to designate the discrete convolution operation [103, p.45].
On the other hand, it is difficult to say when the name convolution occurred by the very first time
in the literature. Doetsch himself suggested the name as an English translation of the german
name Faltung [26, p.157.]. On page 228 of the book by Gardner and Barnes it is found the
following quotation [37]:
"The process expressed by the integral [(5.4)] will be called convolution in the real domain, or
real convolution, and the functions [entered into it] will be said to be convolved".
On pages 231-233 of the same book by Gardner an Barnes, it was given what was probably the
first graphical interpretation of the RCI. This interpretation was given by convolving the
functions exp( ) ( ). t t tand exp At the end of this example these authors also pointed out that:
"It can be seen from this example that 'convolution' denotes a mathematical process that can be
interpreted graphically by folding, translating, multiplying, and integrating".
The process of folding in this graphical interpretation agrees with the translation to English of the
German word faltung, which means folding. It also agrees with the definition given on pages
952-953 of the 1978 edition of the Oxford English Dictionary. Indeed, according to this
dictionary, the word convolution concerns with the action of folding, and according to its
etymological roots it concerns with the action of rolling up together.
Gardner and Barnes also designated the CCI as [op.cit., p.275]: "convolution in the complex
domain or more briefly complex convolution".
Nowadays the name convolution has become in common use in the literature to designate either
the RCI, or the CCI, or the DC. In the past other names have been used to designate these
operations or special instances and variations of them. For example, the integral
33
 
x
xdxcxfxcfxh
0
;0;)()(')()0()(  (5.6)
which is equivalent to the integral
 
x
xdxcxf
dx
d
xh
0
;0;)()()( 
some times has been referred as superposition theorem or Duhamel's theorem [16, pp.30-31, and
p.301]. The first name is due to, in the derivation of (5.6), the superposition principle plays an
important role [37, p.234]. On the other hand, Duhamel used the superporsition principle to
derive (5.5), this is the reason of the second name. The names of Boltzman and Hopkinson has
been also attached to (5.5) [13, p.56] (see also Sec. 2.7.).
Although the above names were originally given to (5.6), some authors have used them to
designate in general the RCIs. For example, R.B. Blackman and J.W. Tukey on page 73 of their
book [3] pointed out that:
"Convolution is often called by a variety of names such as Superposition Theorem,
Faltungsintegral, Green's Theorem, Duhamel's Theorem, Borel's Theorem, and Boltzman-
Hip'kinson Theorem".
In this book no references were given to this quotation. The name Borel's Theorem in the above
quotation is not justified since in some early literature the name is given to Convolution Theorem
for Laplace integral [28]. The name Green's Theorem remains as a mystery for the present writer
since the aforementioned authors gave no references.
Ronald N. Bracewell on page 24 of his book [9] stated a similar paragraph to the above of
Blackman and Tukey. He wrote:
"The word 'convolution' is coming into more general use as awareness of its oneness spreads
into various branches of science. The German term Faltung is widely used, as is the term
'composition product', adapted from the French. Terms encountered in special fields include
superposition integral, Duhamel integral, Borel's theorem, (weighted) running mean,
crosscorrelation function, smoothing, blurring, scanning, and smearing".
The reader is referred to Bracewell's book for the justification of the last six names.
References
1. Abel, N.H., Solution de quelques problèmes a l'aide d'intégrales définies, Magazin for
Naturvidenskaberne, Aargag, I, Bind 2 (1823), Christiania.
2. Abel, N.H., Auflösung einer mechanischen Aufgabe, Journal für die Reine und Angewandte
Mathematik, 1 (1826), pp.153-157.
34
3. Blackman, R.B. and J.W. Tukey, The measurement of power spectra from the point of view of
communications engineering, New York: Dover Publications, Inc. (1959).
4. Bochner, S., Lectures on Fourier Integrals, with an author's supplement on Monotonic
Functions, Stieltjes integrals, and harmonic analysis, translated from Vorlesungen über
Fouriersche Integrale by Morris Tenenbaum and Harry Pollard, Princeton: Princeton
University Press (1959).
5. Boltzman, L., Zur Theorie der elastischen Nachwirkung, Akad, Wiss. Wien, Sitzungsber; 70
(1974), pp.275-300.
6. Borel, E., Sur la recherche des singulatités d'une fonction définie par un développement de
Taylor, Comptes Rendus Hebdomadaires des Séances de l'Académie des Sciences, Paris, 127
(1898), pp.1001-1003.
7. Borel, E., Mémoire sur les séries divergentes. Annales Scientifiques de l'École Normale
Supérieure, Paris, 16 (1899), pp.9-131.
8. Bottazinni, U. The higher calculus: A history of real and complex analysis from Euler to
Weierstrass, translated from the Italian by W. Van Egmond, New-York: Springer-Verlag
(1986).
9. Bracewell, R.N., The Fourier transform and its applications, New York: McGraw-Hill Book
Company (McGraw-Hill Series in Electrical Engineering, Circuit and Systems), second
edition revised (1986).
10. Brown, T.A., Fourier's integral, Proceedings of the Edinburgh Mathematical Society, 34
(1915-1916), pp.3-10.
11. Brown, T.A., On a class of factorial series, Proceedings of the London Mathematical Society,
33 (1924), pp.149-171.
12. Burkhardt, H., Entwicklungen nach oscillierenden Functionen und Integration der
Differentialgleichungen der mathematischen Physik, Jahresbericht der Deutschen
Mathematiker-Vereinigung, 10 (1901-1908), Part 2, 1804 p.
13. Bush, V., Operational Circuit Analysis, New York: John Wiley and Sons, Inc., fourth
printing (1946).
14. Cajori, F., (1919) A history of mathematics, New York: The MacMillan Company, second
edition, revised and enlarged (1919).
15. Cajori, F., A history of mathematical notations, Volume II: Notations mainly in higher
mathematics, Chicago: The Open Publishing Company (1930).
16. Carslaw, H.S. and J.C. Jaeger, Conduction of heat in solids, Oxford: The Claredon Press,
second edition (1959).
35
17. Carson, J.R., Electric circuit theory and the operational calculus, New York and London:
McGraw-Hill Book Company (1926).
18. Cauchy, A-L., Cours d'analyse de l'École Royale Polytechnique, 1ere partie: Analyse
algebraique, Paris: Chez Debure frères (1821).
19. Copson, E.T., On Hardy's theory of M-functions, Proceedings of the Edinburgh
Mathematical Society, 1 (1928), pp.129-134.
20. Davis, H.T., The theory of linear operators from the standpoint of differential equations of
infinite order, Bloomington, Indiana: The Principia Press (Monograph of the Waterman
Institute of Indiana University; Contribution No. 72) (1936).
21. Darling, H.B.C., On Legendre's coefficients and associated functions with nonintegral
subscripts, and their connection with the elliptic functions, The Quarterly Journal of Pure
and Applied Mathematics. 49 (1923), pp.289-303.
22. Dirichlet, P.G.L., Sur la convergence des séries trigonométriques qui servent à represénter
une fonction arbitraire entre les limites données, Journal für die Reine und Angewandte
Mathematik, 4 (1829), pp.157-169.
23. Doetsch, G., Die Integrodifferentialgleichungen von Faltungstypus, Mathematische Annalen,
89 (1923), pp.192-207. (not seen)
24. Doetsch, G., Transzendente Additionstheoreme der elliptischen Thetafunktionen und andere
Tthetarelationen von Faltungstypus, Mathematische Annalen, 90 (1923), pp.19-25. (not seen)
25. Doetsch, G., Überblick über Gegenstand und Methode der Funktionalanalysis, Jahresbericht
der Deutschen Mathematiker-Vereinigung, 36 (1927), pp.1-30.
26. Doetsch, G., Theorie und Anwendung der Laplace-Transformation, New York: Dover
Publications, Inc. (1943) (First German edition Berlin: Springer, 1937).
27. Doetsch, G., Introduction to the theory and application of the Laplace transformation, Berlin:
Springer-Verlag (1974) [Translation of the German Original Edition: Einführung in Theorie
und Anwendung der Laplace-Transformation. Zweite, neubearbeitete und erweiterte Auflage
(Mathematische Reihe, Band 24, Sammlung LMW). Basel: Birkhäuser Verlag, 1970.
Translation by Walter Nader.]
28. Dominguez-Torres, A., The origin and history of convulution II:. Convolution theorems, In
preparation.
29. Dougall, J., The determination of Green's function by means of cylindrical or spherical
harmonics, Proceedings of Edinburgh Mathematical Society, 18 (1900), pp.33-83.
36
30. Duhamel, J.M.C., Mémoire sur la methode générale relative au mouvement de la chaleur dans
les corps solides plongés dans les milieux dont la température varie avec les temps, Journal
de l'École Polytechnique, 14, [Cahier 22] (1833), pp.20-77.
31. Duhamel, J.M.C., Mémoire sur les vibrations d'un système quelconque de points materiels,
Journal de l'École Polytechnique, 14 [Cahier 23] (1833), pp.1-36.
32. Euler, L., Institutionum Calculi Integralis, Volumes I and II, Petropoli: Impensis Academiae
Imperialis Scientiarum, Editio Tertia (1827) (First Edition, 1768).
33. Ferrar, W.L., On the cardinal function of interpolation theory, Proceedings of the Royal
Society of Edinburgh, 45 (1925), pp.269- 282.
34. Ferrar, W.L., On the consistency of the cardinal function of interpolation, Proceeding of the
Royal Society of Edinburgh, 46 (1926), pp.323-333.
35. Ferrar, W.L., On the consistency of the cardinal function of interpolation, Proceedings of the
Royal Society of Edinburgh, 47 (1927), pp.230-242.
36. Fourier, J., The analytical theory of heat, Translated with notes by Alexander Freeman,
Cambridge: The University Press (1878).
37. Gardner, M.F. and J.L. Barnes, Transients in linear systems studied by the Laplace
transformation, Volume I: Lumped-constant systems, New York: John Wiley and Sons, Inc.,
London: Chapman & Hall, Limited, second printing 81945) (First printing 1942).
38. Gegenbauer, L., Zur theorie der Bessel'schen functionen zweiter Art, Wiener
Sitzungsberitchte, 66 (1872), pp.220-223.
39. Graf, J.H., Üeber die addition und subtraction der argumente bei Bessel'schen functionen
nebst einer anwendung, Mathematische Annalen, 43 (1893), pp.136-144.
40. Grattan-Guinness, I., The development of the foundation of mathematical analysis from Euler
to Riemann, Cambridge, Mass: The MIT Pres (1970).
41. Hadamard, J., La série de Taylor et son prologement analytique, Scientia, 12 (1901), pp.1-
100.
42. Hansen, P.A., Mémoire sue la determination des perturbations absolues dans elipses d'une
excentricité et d'une inclinaison quelconques, Paris (1845) (Translation by V. Mauvais from
"Ermittelung der absoluten Störugen in Ellipsen von beliebiger Excentricität und Neigung, I",
Scriften der Sternwarte Seeberg, Gotha 1843.)
43. Hardy, G.F., The theory of the construction of tables of mortality and of similar statistical
tables in use by the actuary. London: Institute of Actuaries (1909). (not seen)
44. Hardy, G.H., Divergent series, Oxford: The Claredon Press (1949).
37
45. Henderson, R., Transactions of the American Society of Actuaries, 17 (1916), p.43. (not seen)
46. Higgins, J.R., Five short stories about cardinal series, Bulletin of the American Mathematical
Society (new series), 12 (1985), pp.45-89.
47. Hobson, E.W., The theory of spherical and ellipsoidal harmonics, Cambridge: The University
Press (1931).
48. Hopkinson, J., Residual charge of a Leyden jar, Philosophical Transactions of the Royal
Society of London, 167 (1877), pp.599-626.
49. Ince, E.L., Ordinary Differential Equations, New York: Dover Publications (1956).
50. Jerri, A.J., The Shannon sampling theorem - Its various extensions and applications: A
tutorial review, Proceedings of the IEEE, 65 (1977), pp.1565-1596.
51. Kotel'nikov, V.A., On the carrying capacity of the 'ether' and wire in telecommunications,
Material for the first All-union Conference on Questions of Communication, Izd. Red. Upr.
Svyazi RKKA, Moscow (1933) (in Russian).
52. Landré, C.L., Eherenzweig's Assekuranz-Jarbuch, 22 (1901) (not seen); and pp.91-94 of his
book Mathematisch-Technische Kapitel zur Lebensversicherung (not seen).
53. Laplace, P.S., Mémoire sur divers points d'analyse, Journal de l'École Polytechnique, 8
[Cahier 15] (1809), pp.229-265. (not seen)
54. Laplace, P.S., Théorie analytique des probabilités, Paris: Mme. Ve. Courcier, Third edition
(1820) (first edition appeared in 1812).
55. Larus, J.R., Graduation by symmetrical coefficients, Transactions of the American Society of
Actuaries, 19 (1918), p.14. (not seen)
56. Laurent, P.A., Extension du théorème de Cauchy relatif à la convergence du deèveloppement
d'une fonction suivant les puissances ascendantes de la variable, Comptes Rendus
Hebdomadaires des Séances de l'Académie des Sciences, Paris, 17 (1843), pp.348-349.
57. Liouville, J., Mémoire sur quelques questions de géométrie et de mécanique, et sur un
nouveau genere de calcul pour résoudre ces questions, Journal de l'École Polytechnique, 13
[Cahier 21] (1832), pp.1-69.
58. Liouville, J., Mémoire sur le calcul des différentielles a l'indices quelconques, Journal de
l'École Polytechnique, 13 [Cahier 21] (1832), pp.71-162.
59. Lommel, E.C.J. von, Studien über die Bessel'schen Functionen, Leipzing (1868).
38
60. MacRobert, T.M., The addition theorem for the Legrendre functions of the second kind,
Proceedings of the Royal Society of Edinburgh, 46 (1925), pp.30-35.
61. MacRobert, T.M., The Mehler-Dirichlet Integral and some other Legendre function formulae,
Phil. Mag., 14 (1932), pp.632-656.
62. Marks, R.J., Introduction of the Shannon sampling and interpolation theory, New York:
Springer-Verlag (1991).
63. Mellin, H., Über gewisse durch bestimmte Integrale vermittelte Bezeihungen zwischen
linearen Differentialgleichungen mit rationalen Coefficienten, Acta societatis Scientiarum
Fennicae, 21 (1896), 57p.
64. Neumann, C.G., Theorie der Bessel'shen Functionen, Ein Analogon zur Theorie der
Kulgelfunctionen, Leipzing (1867).
65. Nielsen, N., Géomètres français du dix-huitième siècle, Copenhague: Levin & Munksgaard,
Paris: Gauthier-Villars (1935).
66. Ogura, K. On a transcendental integral function in the theory of interpolation, Tôhoku Math.
J., 17 (1920), pp.64-72.
67. Pincherele, S., Sull'inversione degl'integrali definiti, Memoire di Matematica e di Fisica della
Societá Italiana delle Scienze, 15 (1908), pp.3-43.
68. Poisson, S.D., Mémoire sur la théorie de ondes, Mémoires de l'Académie des Sciencies, Paris,
1 (1816), pp.71-186.
69. Poisson, S.D., Mémoire sur la maniére d'exprimer les fonctiones par de séries de quantités
périodiques, Journal de l'École Polytechnique, 11 [Cahier 18] (1820), pp.417-489.
70. Poisson, S.D., Théorie mathématique de la chaleur, Paris (1835).
71. Poole, E.G.C., Introduction to the theory of linear differential equations, Oxford: The
Claredon Press (1936).
72. Poussin, Ch. de la Vallée, Sur la convergence des formules d'interpolation entre ordennées
equisitantes, Bulletins de l'Académie Royale des Sciences de Belgique, 1 (1908), pp.319-410.
73. Reiff, R., Geschicht der Unendlichen Reihen, Tübingen: Verlag der Laupp'schen
buchhandlung (1899).
74. Riemann, G.F.B., Üeber die Darstellbarket einer Function durch eine trigonometrische Reihe,
Göttingen: Abh.Gesell.Wiss., 13 (1866-1877), math.Kl.., pp.87-132.
75. Ross, B., A chronological bibliography of fractional calculus with commentary, In J. Spanier
and K.B. Oldham, The fractional calculus, New York: Academic Press (1974); Chapter 1.
39
76. Ross, B., A brief history and exposition of the fundamental theory of fractional calculus, In B.
Ross (ed.), The fractional calculus and its applications, Berlin: Springer-Verlag (Lecture
notes in mathematics) (1975), pp.1-36.
77. Runge, C., Üeber eine besondere Art von Integralgleichungen, Mathematische Annalen, 75
(1914), pp.130-132.
78. Schläfli, L., Einige Bemerkingen zu Herrn Neumann's Untersuchungen über die Bessel'schen
functionen, Mathematische Annalen, 3 (1871), pp.134-149.
79. Schlömilch, O., Analytische studienk; Erste Abtheilung: Theorie un Tafel der
Gammafunktionen nebst deren wichtigsten Anwendungen; Zweite Abtheilung: die
Fourier'schen Reihen und Integrale nebst deren wichtigsten Anwendungen,Leipzig: Verlag
von Wilhem Engelmann (1848).
80. Schoenberg, I.L., Contributions to the problem of approximation of equidistant data by
analytic functions; Part A: On the problem of smoothing or graduation, A first class of
analytic approximation formulae; Part B: On the problem of osculatory interpolation, A
second class of analytic approximation formulae, Quarterly of Applied Mathematics, 4
(1949), pp. part A: 45-99, Part B: 112-141.
81. Schoenberg, I.J., Some analytical aspects of the problem of smoothing, In Studies and Essays
Presented to R. Courant on his 60th Birthday, January 8 1948, Courant Anniversary Volume,
1948, pp. 351-370, New York: Intersciencce Publishers (1948).
82. Schoenberg, I.J., On smoothing operations and their generating functions, Bulletin of the
American Mathematical Society, 59 (1953), pp.199-230.
83. Schoenberg, I.J., Cardinal spline interpolation, Society for Industrial and Applied
Mathematics (Conference Board of the mathematical Sciences, Regional Conference Series in
applied Mathematics), Philadelphia, Pennsylvania (1973).
84. Shannon, C.E., Communication in presence of noise, Proceedings of IRE, 37 (1949), pp.329-
342.
85. Sheffer, I.M., On entire function interpolation, The American Journal of Mathematics, 49
(1927), pp.329-324.
86. Sheppard, W.F., Reduction of errors by means of negligible differences, Fifth International
Congress of Mathematicians (1912), p.ii and p.348.
87. Sheppard, W.F., Graduation by reduction of mean square error, Journal of the Institute of
Actuaries, 48 (1914), p.171 and p.390; and 49 (1914), p.148.
88. Sheppard, W.F., Reduction of error by linear compounding, Philosophical Trnsactions Series
A, 221 (1915), p.199.
40
89. Sonine, N.J., Recherches sur les fonctiones cylindriques et le développement des fonctiones
continues en séries. Mathematische Annalen, 16 (1880), pp.1-80
90. Steffensen, J.F., Über eine Klasse von ganzen Funktion und ihre Anwendung auf die
Zahlentheorie, Acta Mathematica, 37 (1914), pp.75-112.
91. Theis M., Über eine Interpolationsformel von de la Vallée Poussin, MathematicZeitschrift, 3
(1919), pp.93-113.
92. Titchmarsh, E.C., Introduction to the theory of Fourier integrals, Oxford: University Press
(1937).
93. Tricomi, F., Les transformations de Fourier, Laplace, Gauss, et leurs applications au calcul
des probabilités at à la statistique, Annales Institut Henri Poincaré, 8 (1938), pp.11-149.
94. Van der Pol, B. and H: Bremmer, Operational calculus based on the two-sided Laplace
integral, Cambridge: University Press, second edition (1955).
95. Volterra, V., Theory of functionals and of integral equations, Edited by Luigi Fantappiè;
Authorized translation by M. Long; London and Glasgow: Blackie and Son Limited (1931).
96. Volterra, V. and J. Pérès, Leçons sur la composition et les fonctiones permutables, Paris:
Gauthier-Villars et Cie (1924).
97. Watson, G.N., A treatise on the theory of Bessel functions, Cambridge: The University Press
(1944).
98. Weierstrass, K., Üeber die analytische Darstellbarkeit sogennater willkürlicher Funktionen
reeler Argumente, Berliner Sitzungsberichte (1885), pp.633-639, 789-805.
99. Whittaker, E.T., On the functions which are represented by the expansions of the
interpolation theory, Proceedings of the Royale Society of Edinburgh, 35 81915), pp.181-194.
100.Whittaker, E.T. and G.N. Watson, A course of modern analysis, an introdution to the general
theory of infinite process and of analytic functions; with and account of the principal
transcendental functions, Cambridge: The University Press, fourth Edition, reprinted (1946).
101.Whittaker, J.M., On the cardinal function of interpolation theory, Proceedings of the
Edinburgh Mathematical Society, n1n (1928), pp.169-176.
102.Whittaker, J.M., The Fourier theory of the cardinal function, Proceedings of the Edinburgh
Mathematical Society, 1 (1928), pp.169-176.
103.Wiener, N., The Fourier integral and certain of its applications, Cambridge: University
Press (1933).
41
104.Wolfenden, H.H., On the development of formulae for graduation by linear compounding,
with special reference to the work of Erastus L. De Forest, Transactions of the Actuarial
Society of America, 26 (1925), pp.81-121.
105.Wolfenden, H.H., The fundamental principles of mathematical statistics with special
reference to the requirements of actuaries and vital statisticians and an outline of a course in
graduation, Toronto: The Macmillan Company of Canada, Published for the Actuarial
Society of America, New York (1942).

Origin and history of convolution

  • 1.
    THE ORIGIN ANDHISTORY OF CONVOLUTION I: CONTINUOUS AND DISCRETE CONVOLUTION OPERATIONS* ALEJANDRO DOMINGUEZ-TORRES This work was written while the author was at Applied Mathematics and Computing Group, Cranfield Institute of Technology, Cranfield, Bedford MK43 OAL, UK. Now the author is at Academic Division, Fundación Arturo Rosenblueth, México, D.F.1 *This work was sponsored by CONACYT, México. Act Number BA90074. Chapter 1 Introduction Nowadays there is not doubt of the uses and applications of the continuous and discrete convolution operations in many branches of science. Moreover, the number of applications is so large that trying to name and count them would take a long time. Some of these applications are in signal and image processing, electric circuits, telecommunications, probability, statistics, etc. Although the aforementioned applications, all of the modern books dealing with convolution, which mainly deal with series and integral transforms rather than convolution, do not give any information about its origin and history. This lack of information has also been present in the earlier literature. It is worth to mention that the only two books given some remarks about this history and origin are those by Doetsch [26] and by Gardner and Barnes [37]. The first author gave some historical remarks in a series of notes marked throughout the text of his book and commentd at the end of it. In the second book the brief notes of history appear in two subsections of Appendix C. Both subsections are given in about one page. From the above comments, it may be seen that the origin and history of convolution have not been properly traced back. The present paper is an attempt to fill this gap. Two important remarks must be done about the origin and history of convolution before going on reading this paper. Firstly, they are not claimed to be complete. The reader may find that the work of some authors is not fully commented or even mentioned. Secondly, the history given herein is far away from being a critical one. This paper has been divided in five chapters plus a list of references. Chapter 2 mainly concerns with the real convolution integral, while Chapter 3 with the complex convolution integral. Chapter 4 deals with the discrete convolution operation including some brief comments about cardinal series. Finally, in Chapter 5 the names and notations given to the different convolution operations are given. 1 On November 2010, the author is the Corporate Director of Postgraduate Studies at Universidad Tecnológica de México. alexdfar@yahoo.com
  • 2.
    2 In a secondpaper the author is at present doing an attempt to trace back the origin and history of the so-called convolution theorems [28]. Chapter2 The Real Convolution Integral 2.1 Definition and Introductory Comments. Let f,g be two real or complex valued functions of a real variable x. Assume u is a real variable and construct the integral   b a duuxguf )()( , (2.1) where the limits of integration a and b may finite or infinite or depend on the variable x. These limits of integration as well as the sign to be taken in the argument of g x u( ) will be apparent in what follows. Since both variables x and u entering in (2.1) are real, that integral (2.1) will be called the real convolution integral (RCI). Obviously these variables are considered as dummy variables and may be changed through the present chapter. As in the present, integral (2.1) occurred in the past in several areas of mathematics. Due to this fact the present chapter has been divided in several sections, in each one of them is traced back the occurrence of (2.1) in a particular area of mathematics. It is difficult to establish the exact date when the RCI occurred by the very first time. As it is described in the following sections of this chapter, the earliest occurrences of (2.1) the present writer has found are in connection with the theory of series (general, Taylor and trigonometrical series) and in connection with the theory of Beta function given by Euler. 2.2 Series, Taylor Series and the RCI. Probably one of the first occurrences of the RCI in an explicit but particular form took place in the year 1754 when the mathematician Jean-le-Rond D'Alembert (1717-1783) derived Taylor's expansion theorem on page 50 of Volume I of his book Recherches sur differents points importants du systeme du monde [73, p.111, footnote 1, and 65, pp.17-18]. Following Reiff [op.cit., p.111] the derivation of Taylor's expansion theorem by D'Alembert is as follows. For a function ( )z D'Alembert firstly wrote   ( ) ( )z z u   , Where
  • 3.
    3       d zd du )( . (2.2) Secondly hewrote d z d d z dz v    ( ) ( ) ,    where now    2 2 )(    d zd dv (2.3) D'Alembert continued with this process and found finally the expression        ( ) ( ) ...z z d dz d dz       1 2 2 2 (2.4) In this derivation of Taylor's expansion theorem the limits of the integrals (2.2) and (2.3) were taken from 0 to  . Obviously these integrals are special cases of the RCI where one of the functions entering into them is a constant unit function and the other ones are d dz d dz / , /2 2 , and so on, respectively. Reiff [op.cit., p.111] and Nielsen [op.cit., p.18] point out that the series (2.4) was given by D'Alembert without naming the work of Taylor. Because of this fact, Nielsen [op.cit., p.18] also points out that Jean-Antoine-Nicolas Caritat de Condorcet (1743-1794) used to designate series (2.4) as 'théoreme de D'Alembert'. The above method for deriving Taylor's expansion theorem was known to Pierre Simon Laplace (1749-1827) since he stated it in 1812 in a more modern form in his book dealing with the theory of probability [54, pp.179-180]. As in the case of D'Alembert, Laplace did not mention Taylor's work. Moreover, he did not mention D'Alembert work, the reason of this fact is difficult to guess since Laplace met D'Alembert when the latter was then at the height of his fame [14, p.259]. In order to see the importance of the RCI in Laplace's method and to distinguish the differences of it with respect to D'Alembert method, a translation to English language of Laplace's derivation is given next [op.cit., pp.179-180]. "Consider the integral from z 0 , ),()()( zxxzxdz   '( )x standing for the differential of ( )x divided by dx. If analogously one designate by "( )x the differential of '( )x divided by dx., by '''( )x the differential of ''( )x divided by dx and so on, one will obtain
  • 4.
    4   ),('')(')('zxzdzxzzxdz    ),(''' 2 1 )('' 2 1 )('' 22 zxdzzxzzxdz  Continuing in this way, one will obtain generally )( 321 )('' 21 )(')(' )( 2 zx n z zx z zxzzxdz n n            )( 321 1 )1( zxdzz n nn  A comparison of this expression with the precedent one, one will have     ( ) ( ) '( ) "( ) ( )( ) x x z z x z z x z z n x z n n             2 1 2 1 2 3      z)(xdzfz n321 1 1)(nn . Setting x z t  , the precedent equation will have the following form     ( ) ( ) '( ) "( ) ( )( ) t z t z t z t z n t n n          2 1 2 1 2 3 )z'z(tdzfz n321 1 1)(nn      , the integral being taken from z' 0 to z' z ". Finally it is mentioned that according to Burkhardt [12, p.400, footnote 2065] an expression of the type   ,)()( duuxguf where the limits of integration are from u  0 to u x ,was used by Sylvestre Françoise Lacroix (1765-1843) on page 505 of Volume I of his book entitled Traité des différences et des séries. From the title of Lacroix's book and from the Burkhardt's reference it may be inferred that the above integral occurred in connection with some work related to series, however no description of Lacroix's work is given herein since the present writer was not able to obtain Lacroix's book.
  • 5.
    5 2.3. Fourier Seriesand the RCI. In dealing with the representation of a function by Fourier series several authors used expressions of the type given by Eq.(2.1). Jean Baptiste Joseph Fourier (1768-1830) himself was the first one in using such expressions as early as the year 1807 when he made the first announcement of his investigations about the propagation of heat in solids before the French Academy. In order to quote the RCI used by Fourier an English translation of Fourier 1822 book is used herein as main source of reference [36]. In Art.235 of Fourier's book is found the following representation for a function F x( ) defined in an interval from  to  (the notation is that used in the translation of Fourier's book)         )(2cos)cos( 2 1 )( 1 )(     xxdFxF , which was reduced by him to one of the form          )(cos 2 1 )( 1 )(   xidFxF , (2.5) where the summation was taken from i  1 to i   and where the limits of integration were set to be from    to   . There is not doubt that (2.5) is a particular case of the RCI. In Arts.415-416 of his book Fourier generalized the series to the case of integrals and from the expression       0 px)dpcos(paf(a)da p 1 f(x) he derived the following RCI representation for f x( )       xa px)sin(pa f(a)da p 1 f(x) when p  . In 1815 Siméon Denis Poisson in a paper submitted to the French Academy at the end of 1815 and in order to participate for the 'Prix d'analyse mathématique' derived, independently of Fourier, the representation of a function by Fourier series [68]. In pages 85-86 of Poisson's work it is found the following key RCI-expression for the derivation of such representation (the notation differs slightly from that used by Poisson)
  • 6.
    6          f(a)da 2l 1 l da l a)ip(x ki)cosexp( i         l p a)(x2cosexp(k)2l f(a)dak)exp(exp(k) where the integrals were taken from   0 to  1. Some variations of the above RCI were used by Poisson in future works [69,70]. Peter Gustav Lejeune Dirichlet (1805-1859) in dealing with the same problem of Fourier series wrote in 1829 [22] that that representation could be written in the (RCI) form (nowadays known as Dirichlet integral)        d xn x   )(sin2 ))((sin )( 1 2 2 1 . Georg Friedrich Bernhard Riemann (1826-1866) in 1866 in his work related to Fourier series also used RCIs to prove some properties of the Fourier coefficients [74]. Among these properties was included the so-called Riemann-Lebesgue Lemma. A description of his work can be found on pages 244-247 in the book by Umberto Bottazinni [8]. Finally it is mentioned a result closely related to Fourier series obtained in 1885 by Karl Weierstrass (1815-1897). Weierstrass proved that [98] if f x( ) is a single-valued function which is continuous in an interval ( , )c c , then at any point x inside the interval ,,)(lim)( dtn c tx tfxf c c n            where ( , )v n denotes    n r r rvn 1 cos21 2 and  n stands for (n 1) ( m/( n 1))2    with m 1. 2.4 Differential Equations and the RCI. In the field of differential equations (DE) some authors; v.g. [49, pp.191-192], [71, pp.104-109]; without given their source of reference attribute to Leonhard Euler (1707-1783) the use of a RCI of the type
  • 7.
    7      duuvuxxy v )()()( 1 (2.6) forsolving "any linear differential equation in which the coefficient of y r( ) is a polynomial in x of degree r " [71, p.104]. A more inaccurate quotation is given in the book by Gardner and Barnes [37, p.364]; these authors did not mention neither the exact RCI used by Euler, nor the type of linear DE that is solved by such expression and nor their source of reference. On the other hand, the present writer found that the problem of solution of DE by definite integrals was studied by Euler in 1768 in Volume II of his Institutionum Calculi Integralis [32, Vol.III], and to be more specific in Chapter X (Caput X: Constructione Aequationum Differentio- Differentialium per Quadraturas Curvarum). In problem 131 (Arts. 1049-1052) of that chapter it is found an study of the solution of the DE L u d y u du M u dy u du N u y u( ) ( ) ( ) ( ) ( ) ( ) 2 2 0   by means of the integral    b a n dxxQuKxPy .)()()( (2.7) Obviously (2.7) reduces to (2.6) in the very especial case in which K u u( )   and Q x x( )  . Euler did not studied explicitly this special case, however he did study only the case Q x x( )  [op.cit., Arts.1050-1052]. At this point the following question arises, Is the preceding citation the source of reference of the aforementioned authors? If the answer to this question is affirmative, then the facts have been distorted in time. If the answer is negative, then that source of reference remains as a mystery to be solved. In the XIX century the solution of some DE, mainly partial DE describing physical phenomena were expressed by means for RCIs. One of the earliest author in doing this was Fourier. In fact, in Chapter IV of his book [36] it is found that the solution of the heat equation       t k x x f x  2 2 0; ( , ) ( ) (2.8) for a ring was expressed as          2 0 2 ).(exp)(cos)( 2 1 ),( i i ktixifdtx
  • 8.
    8 Fourier went astep further and changing ( , )x t by v x t( , ) and f x( ) by ( )x in (2.8), he solve the resulting equation for "the free movement of heat in an infinite line" and found for v the expression     ).2()(exp 1 2 ktqxqdqv   (2.9) It is of historical interest to point out that according to Grattan-Guinness [40, pp.41-42] the solution of (2.9) was first stated by Laplace in 1809 [53, pp.235-244] and then considered by Fourier in his future research. Fourier expressed also (2.9) in a slightly different form for the case in which k  1. He considered the change of variable q x t ( ) / 2 and expressed (2.9) as       . p2 /4td)-(x-(a)exp dav 2   (2.10) The 3D version of (2.10) was also given by Fourier in connection with the solution of the "free movement of heat in and infinite solid". Thus in Art.376 of his book it is found the expression.                  4t g)(zb)(ya)(x g)expb,f(a,dgdbdatv 222 3/2 In Art.384 of the same book the corresponding expression for the case k 1 was also given. These are probably the first time that a 3D RCI was stated explicitly. At this point it is worth to mention that Weierstrass in 1885 [98] proved his famous theorem of approximation of continuous functions by polynomials using an integral of the type given by (2.10). One of the first treatises for solving DE by means of RCIs is due to H. Mellin. Indeed, in 1896 Mellin published a paper [63] dealing with the relation of the RCI integral   )( ;)()( l dtttx  where (l ) denoted either one of the intervals ( , ),( , ), ( , )a b a b x a x b x  or being a b, constants; to the DE ( ) ( ) ( ) .a b x d y dx a b x d y dx a b x yn n n n n n n n         1 1 1 1 0 0 0 In Arts.4-5 of his paper Mellin stated the formulae
  • 9.
    9                    b a at b a y x f, dt d Ft)f(t)dty(x x d Ff(t) dt d Ft)dty(x   ,                      xb a xb a at y x f dt d Ft)f(t)dty(x dx d Ff(t) t d Ft)dty(x   ,                   xb xa xb xa t)f(t)dty(x dx d Ff(t) dt d Ft)dty(x ,              b a b a t)f(t)dty(x dx d Ft)y(x x Fdtf(t)   , xbt xb a xb a y x f, dt d Ft)f(t)dty(x dx d Ft)y(x x Fdtf(t)                        , xbt xat xb xa xb xa y x f, dt d Ft)f(t)dty(x dx d Ft)y(x x Fdtf(t)                            , where F ck k k n ( )   0 , F F F ck k n k v v k v        , ( ) ( )           0 1 0 1 , being the n.,,0,1,k,ck  constants. it is worth to mention that in Art.8 Mellin made an study of the RCI attributed to Euler:   (l) a f(t)dt;t)(x and in Arts. 13-14 he used the above formulae in conjunction with Convolution Theorem for Laplace integrals to state existence theorems for the solution of the aforementioned DE. In pass it is mentioned that in this same paper Mellin introduced the so-called Mellin convolution and developed similar results than those given for the RCI. 2.5 Integral Equations and the RCI. In 1823 and 1826 Niels Henrik Abel (1802-1829) published two papers [1, 2] which are rightly believed to be the earliest publications to contain what is now called an integral equation. The second of these papers is a revised an improved version of the first. one. Abel solved in these papers the famous problem of tautochrone curves by reducing it to an integral equation which now bears his name. To be specific, Abel in the second paper considered the following situations:
  • 10.
    10 "Let BDMA bea curve whatever. Let BC be horizontal straight line and CA be a vertical straight line. Suppone that a particle urged by gravity moves on the curve, a point D whatever being its point of departure. Let  be the time which passed when the particle is at the given point A, and let a be the height EA [DE and MP are horizontal; E and P are on CA]. The quantity  shall be a certain function of a which shall depend on the form of the curve. Reciprocally, the form of the curve shall depend on this function. We proceed to examine how with the help of a definite integral, one can find the equation of the curve for which  is a given continuous function of a". Letting AM s and AP x and t be the time taken by a particle in running through the arc DM , then if   ( )a it follows that    a xa ds a 0 )( . Abel solved this equation for the variable s and obtained the expression    x ax daa s 0 )(1   . (2.11) Moreover Abel solved for s the more general expression    a n xa ds a 0 )( )( (2.12) and obtained         0 1 )( )(sin n ax daan s . (2.13) Abel's equation and several others analogous to it were solved by Joseph Liouville (1809-1882) using the notion of fractional derivatives and integrals. Liouville's procedure was purely formal and he seemed to be unaware of Abel's work. The solution of (2.12) published by Liouville in 1832 [57, 58] is easily derived from (2.13). Indeed, if it set  x dvxs 0 ,)()(  where v( ) is a function such that v( )0 0 , then a substitution in (2.13) gives
  • 11.
    11     x n x ax daan dv 0 1 0 , )( )(sin )(     or equivalently    x n ax daa dx dn xv 0 1 )( )(sin )(    . (2.14) At this point it is worth to mention that at the end of the XIX century integral equations of the RCI type were considered in detail by Volterra. an brief account of Volterra's work is given below in Section 2.6 Returningto the works by Abel and Liouville, the equations derived by them were the source of inspiration of several authors to derive and define fractional derivatives and integrals. Complete accounts of this subject are given in Chapter I of the book by H.T. Davis [20] an in two papers by B. Ross [75, 76]. Herein only the fractional operations of the RCI type are briefly quoted next. In the field of fractional calculus, Riemann in 1847 was the first author after Abel and Liouville in using an integral of the type (2.12). He sought a generalization on Taylor's series expansion and derived the following expression for fractional integration [75, p.6 and 76, p.4]        x c r r r dkkurx rdx xud .)()( )( 1)( 1 (2.15) In a paper written in 1863 and published in 1864, H. Holmgren [20, p.20 and 76, p.7] considered Riemann's expression (2.15) as his point of departure for a long memoire on the subject, and later on in 1867 applied his theory to the integration of a differential equation of the type [20, p.20 and 76, p.7] ( ) ( ) .a b x c x d y dx a b x dy dx a y2 2 2 2 2 2 1 1 0 0      It is worth to notice that the method used by Holmgren resembles the supposed (and up to now not confirmed) method used by Euler in the solution of DE by definite integrals (see Sec. 2.2. of this chapter). Similar integral to those of (2.15) were studied later by A.D. Grünwald in 1867 and A. V. Letnikoff in 1872, both in connection with fractional operations and the solution of particular integrals [76, pp.7-8]. 2.6 Volterra's Work and the RCI. The modern theory of integral equations was initiated almost simultaneously by Eric Ivar Fredholm (1866-1927) and by Vito Volterra (1860-1940) in the last decade of the XIX century.
  • 12.
    12 Volterra's work isbased in what he called functions of lines. The theory of these functions of lines began in 1887 with a series of papers published by Volterra in the Rendiconti de la Real Accademia dei Lincei and which were condensed and resumed by Volterra himself and J. Pérès in two books [95, 96], from which the following quotations are taken. In order to understand how the RCI emerged from Volterra's work, some preliminary definitions are firstly given [96, pp.5-6]. Given two functions f x y( , ) and g x y( , ) of two variables, the integral (Volterra's notation)    y x y)(x,gfy)dxx)g(x,f(x, was called by Volterra composition of the first kind, while the integral    b a y),(x,gfy)dxx)g(x,f(x, where a band are constants, was called by him composition of the second kind. Volterra also mentioned that [95, p.100]: "the operations of composition are an extension to the case of an infinite number of variables of the notion of the product of two square matrices a bir rsand ; or the composition of the corresponding linear substitutions ( , , , , ,..., ).i r s n 1 2 Composition of the second kind correspond to the case of general square matrices, while that of the first kind correspond to the case of matrices a a r iir irin which for 0 " Corresponding to these type of composition, Volterra defined two different types of permutability. The permutability of the first kind was defined as   y x x)dxx)g(x,f(x,y)(x,gf y)(x,fgx)dxx)f(x,g(x, y x    while the permutability of the second kind was defined a similar way where the integrals ran from   a bto . A name for f g   was also given by Volterra [96, p.6]:
  • 13.
    13 "Nous dirons quecette fonction f g   est la resultante de la composition de f get ". The name resultante was later used by several authors to designate the RCI (see Sec. 5.3. herein). Volterra also considered the very special case in which the function f x y( , ) is permutable with a constant, say the unity [96, p.9 and 95, pp.109-110]; i.e.,   y x y x dyfdxf .),(),(  From this equality was where Volterra derived the RCI. His idea is a follows, let ( x,y )be the common value of these two quantities. By differentiating it is obtained f ( x,y ) y x        or equivalently    x y 0  . This partial differential equation implies that ( x,y )and therefore f x y( , ) functions only of the difference y x . Further, it can be shown that all functions of the difference y x are permutable (of the first kind) with another and with the unity. In fact, let    x y , then    y x y x ;)dx)f(yg()dx)g(yf(  i.e; f g( y x ) g f ( y x ).        The set of functions permutable (of the first kind) with the unity was called by Volterra group of the closed cycle in connection with its applications to the theory of heredity. The group of the closed cycle coincide with the set of functions of one variable y x t  . Indeed, the composition of two functions f gand belonging to the group can be written as
  • 14.
    14       t 0 y x t 0 (t)gf)d)g(f(t )d)g(tf()dxx)g(yf(   He alsonoticed that f g(t )   is a new function of the group. This is the way Volterra arrived to the RCI. It is not difficult to see at this point that the so-called group of the closed cycle coincides with what nowadays is known as linear-shift(-time) invariant (LSI) systems. In order to illustrate the theory developed by Volterra the following example given by him is considered [95, Chap.VI, Sec.4]. If  represents the angle of torsion and P the torsion couple, the relation between them is to a first approximation   kP, where k is a constant determined from physical considerations. but actually the relationship is more complicated than this since  depends not only upon P but also upon the history of the elastic body, the torsion of which is being studied. This second approximation is the form of an integral equation   t dssPstKtkP ,)()()( (2.16) where K t s( ) is the coefficient of heredity. Equations of the type (2.16), where the RCI is a characteristic feature of it, are instances of a general theorem characterizing the so called LSI systems. The formulation and some history of it are the purposes of the next section of this chapter. 2.7. LSI Systems and the RCI. Consider a LSI system whose physical action is completely described mathematically by a linear operator A . Let u x( ) be the function defined by the expression       0if0 0if1 )( x x xu and let c x( ) be the response of A to function u x( ); i.e., c x A u x( ) ( ) . For an arbitrary function f x x h x A f x( ), , ( ) ( ). 0 let Then, under the above conditions, it is possible to express h x( ) in terms of f x c x( ) ( )and . This expression whose derivation can be found in [37] is given as
  • 15.
    15   x 0 0.x,)d(x)c(xf'f(0)c(x)h(x) (2.17) Equation (2.17) was derived and used by Jean Marie Constant Duhamel (1797-1872) in at least two of his papers [30, 31]. Some authors; e.g., John R. Carson attaches the name of Duhamel to this equation [17, p.16, footnote 1], however this does not seem to be justified since Liouvill's solution of Abel's equation [see Eq.(2.14)] is of this form and occurred one year before of Duhamel's papers.. Indeed, (2.17) can be expressed as   x 0 ,.)d)c(xf( dx d h(x)  which is exactly of the form of Eq.(2.14). Independently of the above derivations, L. Boltzman in 1874 and J. Hopkinson in 1877 obtained similar expressions to that of (2.17) in the solution of some problems of physics [5 and 48]. Some authors also attached the name of these authors to that equation [13, p.56]. In the present century, Eq.(2.17) was independently derived and published by Carson [17, p.16, footnote 1]. The exact reference to his publication is not given in his book (it is the guess of the present writer that the publication was around the years 1917-1919). As it was pointed out before, Carson credited Duhamel the derivation of (2.17). He also mentioned that (2.17) was independently communicated to him by H.W. Nichols and by Stuart Ballantine. However the exact references were not given. 2.8 Special Functions and the RCI. There is a great amount of occurrences of the RCI in the theory of special functions. These occurrences appeared mainly in the formulation of some of their properties and it seems that they were not formulated by the respective authors having the RCI in mind. In this final section of this chapter some of those occurrences are quoted chronologically without discussing their derivation. Euler was probably the first author in using the RCI in the theory of special functions when he used this integral in his discussion of the Beta function (the Greek letter B was first introduced by Jaques P.M. Binet in 1839 [15, Vol.II, p.272] ). Indeed in 1768 Euler wrote the expression [32, Vol,I, Chap.XII, pp.269-270] , z)(u dzz u 1 1 3 3 2 2 1 1 v 1v m            (2.18) where the limits of the integral are to be understool from z z  0 to . Note that the transformation x z u z / ( ) gives
  • 16.
    16        0 1 0 11 1 ;)1( 1 )( dxxx uzu dzz v v v   anexpression which was also proved by Euler. In the year 1848 Oskar Schlömilch (1823-1901) applied the Gamma function to solve some definite integrals and stated the following expression [79, Erste Abtheilung, pp.110-11]      x 0 x 0 x 0 131m1l )d()(x...d)(d)(x        x 0 13ml )dr.F()(x s)m(l (s)(m)(l)  Schlömilch also made reference to the formulas found by Abel [see Eqs.(2.11) and (2.13)]. Concerning Legendre polynomials, in 1848 F. Neumann found that the Legendre polynomials of the second kind Q zn ( ) could be expressed in terms of the Legendre polynomials of the first kind P zn ( ). The expression he found was [106, p.320]    1 1 , )( 2 1 )( yz dyyP zQ n n where n is a positive integer and z is a real number between -1 and 1. A second property of the RCI type for the Legendre polynomials is that given by H.V. Lowry in 1932. This property is [71, pp.31-32]     x n n n n x tdttxP 0 2 12 2 . 2 sin sin)cos( Finally some properties of the RCI type concerning Bessel and associated functions are quoted. These are      0 00 ;)( )(sin2 )( dxxJ kx kx kJ       0 00 ;)( )cos(2 )( dxxJ kx kx kY     x nm nm dt t tJtxJ nxJ 0 . )()( )(
  • 17.
    17 The first twoformulae were given by N.J. Sonine in 1880 in his study of cylindric functions [89 and 97, p.433]. The last formula was derived in 1905 by H. Bateman using convolution theorem for Laplace trnasform [97, p.380]. Some special cases of this last formula were derived independently of Bateman by W. Kapteyn in three papers published in the period 1905-1907. Bateman in 1812 also used the following integral for some developments of the potential function [97, p.389]      .)()()(exp 22 0 dttfytxkJkz Chapter 3 The Complex Convolution Integral 3.1. Definition and Introductory Comments Let f gand be two complex valued functions of the complex variable z . If  is a complex variable, the integral   C dgzf i   )()( 2 1 (3.1) where i2 1  and C is a suitable curve in the complex plane, will be called the complex convolution integral (CCI). The history of the CCI started when the theory of complex integration started to be developed. As it is well know, the main author who contributed to this development was Augustin-Louis Cauchy (1789-1857): The brief historical quotations of the CCI given in this chapter start with the work of this author. 3.2. Cauchy's Integral Formula and the CCI. Following Bottazinni [8], a particular form of (3.1) was formulated by Cauchy in 1830 in a long article presented to the Academy of Science of Turin in 1831. Cauchy also gave several reformulations of this particular form in two papers appeared in 1834 and 1841. These three papers have an interesting history which is also given in Bottazinni's book [op.cit., pp.157-158]. The aforementioned formulation of Cauchy is not other than the formulation of the so-called Cauchy integral formula in the theory of functions of complex variable. If f is a continuous and finite function for x X together with its derivative and where x X ip exp( ) for    p , then according to Bottazinni [op.cit. p.158], Cauchy stated the formula       . )( 2 1 )( dp xx xfx xf (3.2)
  • 18.
    18 This formula seemsto be a RCI at first sight. However after performing some algebraic manipulations into it, it can be seen that it is a CCI. Indeed, the right hand side of (3.2) can be written as [8, pp.176-177]          C p p p p .xd xx )xf( 2pi 1 exp(ip)dpiX xx )xf( 2pi 1 dp xx )xf(x 2p 1 (3.3) Obviously (3.3) is a CCI and is the way Cauchy integral formula is known nowadays. Eq.(3.2) was used by several authors as soon as Cauchy papers were published. The next important application of this formula was given by P.A. Laurent (1813-1854) when he established his famous series expansion theorem in 1843 [56]. The CCI appeared in Laurent's paper when he stated that the coefficients of the series expansion. f x a a x s a x s a x sn n ( ) ( ) ( ) ( )       0 1 2 2        b x s b x s b x s 1 2 2 2 3 ( ) ( ) ( ) , where f is an analytic function regular in the open annulus R x s R   ', are given as     ' 1 ; )( )( 2 1 C nn dt st tf i a     C 1n n dt;s)f(t)(t 2pi 1 b (3.4) with C' and Care the circles whose common center is the point s and whose radii are R' and R, respectively. Concerning the theory of Legendre polynomials P xn ( ), L. Schläfli in 1881 [78] used the results of Cauchy and Laurent to show that P xn ( ) admitted the following CCI representation [47, p.30]      C nn n n d xi xP , )(2 )1( 2 1 )( 1     C being a large circle whose center is the point x. On the other hand, it is not difficult to show that the an 's in (3.4) are equivalent to the expressions     ' 1 )( ! 1 )( )( 2 1 C n nn ds sfd n dt st tf i a  .
  • 19.
    19 Thus if ris allowed to be a non-negative number, then the above expression suggests to define fractional derivatives of f x( ) by means of the formula     C n n x dtxt tf i n xfD ,)( )( 2 ! )( 1  (3.5) where C is a closed curve in the complex plane about the point t x . Eq (3.5) is also a CCI and by means of that H. Laurent (not to be confused with P.A. Laurent) in 1884 defined fractional derivatives [20, p.66]. 3.3. Pincherele's Work and the CCI. Although the aforementioned occurrences and uses of the CCI, none of the above authors made a complete study of (3.1). The earliest study of that equation is perhaps that made by S. Pincherele in 1908 [67]. Pincherele's study was made in connection with the solution of the complex integral equation    Pz zgdzzfzsk i ),()()( 2 1  (3.6) where P  0and k z( ) and g z( ) are given functions while f z( ) is unknown. Pincherele succeeded in the solution of (3.6) using as tool the unilateral Laplace transform. His results and the results of other authors are resumed in Chap. 17 of Gustav Doetsch's book [26]. Chapter 4 The Discrete Convolution 4.1. Definition and Introductory Comments. Let  ix , and  iy be two real or complex sequences such that    i . The discrete convolution (DC) of these sequences is a new sequence defined by the expression x y in i n n         (4.1) Notice that if a sequence,   1;N,0,1,i,x 1i  has a number of terms N1 and the sequence   .,1,,1,0, 2  Niyi has a number of terms N2, then the DC of these sequences may be written in the form x y , i 0,1, ,N 1; N N N 1n i n 1 1 2 n 0 i         . (4.2)
  • 20.
    20 The DC oftwo finite sequences having N1 and N2 terms, respectively, therefore is a new sequence having N N1 2 1  terms. 4.2. Cauchy's Work and the DC The earliest study of the DC is perhaps that performed by Cauchy in his famous book entitled Cours D'Analyse de L'École Royale Polytechnique which appeared in 1821 [18]. It is of importance to point out that Cauchy did not give in any part of his book the source of references he used to establish his results concerning DC and the other topics studied in it, therefore it is difficult to say if a previous author studied or made use of the DC. In what follows in this section the results stated by Cauchy are quoted. These quotations are taken from the aforementioned book by Cauchy. The first result concerning DC is stated in Chap.IV in connection with the multiplication of series. On page 141 is established and proved that if u u u un n 0 1 2 0 1 2 , , , , , ; , , , , ,        (4.3) are two [absolutely] convergent sequences composed only of positive terms and having sum s and s', respectively, then u v u v u v u v u v u v u v u v u v u vn n n n 0 0 0 1 1 0 0 2 1 1 2 0 0 1 1 1 1 0 , , ,           will be a new convergent sequence having sum ss' The condition of positiveness of the terms in the sequences given in (4.3) was removed by Cuachy on page 147 and then he proved the corresponding results for real arbitrary [absolutely] convergent sequences. The preceding two results were then used by Cauchy to establish a theorem and three corollaries concerning the multiplication of power series. The theorem is given on page 157 and estates that if the two sequences a a x a x a x b b x b x b x n n n n 0 1 2 2 0 1 2 2 , , , , , , , , , ,     (4.4)
  • 21.
    21 are convergent forcertain value of the variable x and such that they have sums s and s', respectively, then a b a b a b x a b a b a b x a b a b a b a b xn n n n n 0 0 0 1 1 0 0 2 1 1 2 0 2 0 1 1 1 1 0 , ( ) , ( ) , ( )           will be a new convergent sequence which have sum ss'. The first corollary of this theorem is given on pages 157-158 and in it Cauchy stated that under the conditions given to the sequences (4.4) the product of series in given as ( )( ) ( ) ( ) . a a x a x b b x b x a b a b a b x a b a b a b x 0 1 2 0 1 2 2 0 0 0 1 1 0 0 2 1 1 2 2 2              and then he concluded saying that the product of the sums of two sequences is a new sequence of the same form. In the second corollary [op.cit., p.158] he extended the result of the first corollary to the case when an arbitrary number of series is taken into account. In the third corollary [op.cit., p.158] he considered the very special case in which in (4.4) a b0 0 , a b a b1 1 2 2  , , , and he wrote the expression ( ) ( ( ) ).a a x a x a a a x a a a x0 1 2 2 2 0 2 0 1 0 1 1 2 2 2 2        Following the analysis given on page 159, he replaced in (4.4) the sequence b b x b x0 1 2 2 , , , by a polynomial composed of a finite number of terms and: "on obtient une formule qui ne cesse jamais d'etre exacte, tant que la série a a x a x0 1 2 2 , , , demeure convergente". Under the above discussion he then established that if the sequence a a x a x a xn n 0 1 2 2 , , , ,  converges, the product of the sum of this sequence by the polynomial kx lx px qm m   1 , where m is an integer number, is a new convergent series of the same type where the general term will be
  • 22.
    22 ( ) ,qapa la ka xn n n m n m m      1 1 "pourva que l'on considère comme nulles dans les premieres termes celle des quantités a a a an n n m n m    1 2 1, , , , qui se trouveront affectées d'indices négatifs: en d'autres termes, on aura ( )( )km lx px q a a x a xn m      1 0 1 2 2    qa qa pa x0 1 0( )    ( )qa pa la ka xm m m 1 1 0       ( )qa pa la ka xn n n m n m m 1 1 " On the other hand, Cauchy also considered the case in which the sequences involved in (4.3) take complex values. The theorem concerning this case is established on page 283 of his book. Finally, it is of importance to mention that Cauchy also approached the DC from the point of view of double sequences, which are studied in NOTE VII of his book. On pages 542-543 he stated that if u u u u0 1 2 3, , , , ;    0 1 2 3, , , ,... are two convergent sequences having sums s and s' and if the following table is constructed u u u u0 0 1 0 2 0 3 0   , , , , u u u0 1 1 1 2 1  , , , u u0 2 1 2 , , u0 3 ,  then the vertical sums u0 0 , u u0 1 1 0  , u u u0 2 1 1 2 0     , u u u un n n n0 1 1 1 1 0         will be a new convergent sequence, and the sum of this new sequence will be equal to ss'. As it can be seen at this point, the discussion made by Cauchy concern both (4.1) and (4.2). Improvements of his results concerning convergence were given by several authors in the second half of the las century. These results can be found, for example, in the book by G.H. Hardy [44]. 4.3. Statistics and the DC.
  • 23.
    23 An application ofdiscrete convolution, probably the first one and which seems no to be in connection with Cauchy's work, was given by actuaries and vital staticians in the XIX century. This application was mainly in dealing with the problem of graduation of statistical data by linear compounding. The main idea of this method consists of the replacement of a sequence of observed values  ru (of a sequence of true values  rU ) by a sequence  r , where each vr is obtained by a linear compound given by the expression v b u b u b ur r r r r r r     ( )1 1 1 1     ( )b u b ur r r r2 2 2 2  (4.5)     ( )b u b ur n r n r n r n for a range of 2 1n  terms and on the assumptions that the finite differences of  rU beyond certain order j may be neglected. Assume now that the b s' in (4.5) are such that b b ar k r k k   , then (4.5) becomes r r r r r r n r n r na u a u u a u u a u u           0 1 1 1 2 2 2( ) ( ) ( ). It is not difficult to see that this expression is a DC formula. Indeed, it may be written as r k r n k n n a u    (4.6) The fundamental conditions under which such replacements of ur by linear compounding of the u s' are legitimate were well set out by W.F. Sheppard in three papers published in the period 1912-1915 [86, 87 and 88]. See Hugh H. Wolfenden's paper for an account of these papers [104]. The determination of the b s' or a s' may be affected by interpolation, fitting by least squares, or simply reduction of error processes. According to Wolfenden [op.cit., p.83], the earliest application of (4.6) in interpolation was that of Griffith Davies in 1834 in connection with the mortality table of the Equitable Society. The application of (4.6) to the problem of fitting by least squares were indicated briefly by C.L. Landré in 1901 [52], and were fully worked out by Sheppard in his papers. The formulae for reduction of error were indicated by G.F. Hardy (not to be confused with G.H. Hardy) in 1909 [43] and fully examined by Sheppard in his papers, and some of them afterward were rediscovered independently by R. Henderson in 1916 [45] and J. Larus in 1918 [55]. An account of these papers may be found in Wolfenden's paper and book [104, 105]. The paper published by Wolfenden in 1925 was based on the work by, until then unknown, Erastus L. De Forest and then it became known that the determination of the a s' in (4.6) in the case of interpolation, fitting by least squares and those of reduction of error, which make the mean square error in 4  a minimum, had previously been discussed very fully by De Forest. These discussions appeared in a series of papers published in the Smith sonian Reports of 1871
  • 24.
    24 and 1873, ina pamphlet in 1876 and in 1877-1880 in a Journal of Des Moines, Iowa, called The Analyst (A monthly Journal of Pure and Applied Mathematics). The complete list of the papers written by De Forest is given at the end of Wolfenden's paper. According to Wolfenden, De Forest also made an extensive investigation of the effects of applying some of his linear compounding formulae repeatedly, and in this instance also reached some important conclusions on a matter which was suggested, but not closely examined, by other authors in later years. De Forest noted clearly the manner in which when a linear compounding formula is repeated in a large number of times, the curve of the coefficients ultimately tends to a central bell-shaped potion with an infinite number of small oscillations at each end. To be specific, De Forest observed that the limiting form of the curve of coefficients of (4.6) becomes the normal probability curve when these coefficients are symmetric, while in the unsymmetrical case [see Eq.(4.5)] he reached an unsymmetrical probability curve. It is important to point out that these observations in the symmetrical case were proved many years later, to be specific, in 1948, by Isaac J. Schoenberg [81]. The next importance occurrence of (4.6) in statistics was in the year 1946 in a paper written by Schoenberg [80]. This occurrence of (4.6) is closely related with the work of De Forest just described. Indeed, in that paper Schoenberg approached the problem of smoothing the sequence of equidistant data  ny by a series of the type F y L , L L ,n n n n n n n    (4.7) from the point of view of Fourier series of the functions T u u( ) ( )and  whose Fourier coefficients are    nn Ly and , respectively [80, pp.50-56]. In his paper, he characterized the smoothing properties of (4.7) in terms of ( )u and established the conditions oin ( )u such that (4.7) reproduces the values of yn of a polynomial of degree not exceeding a given integral number m. Two years later, Schoenberg returned to the problem of smoothing and, as it was pointed out before, he proved the De Forest's observation about the bell shaped form of the iterates of (4.7). In the following years, Schoenberg and his students made several investigations of the subject of smoothing data by (4.7). These investigations were resumed by him in a paper published in 1953 [82]. In pass it is worth to mention that in Schoenberg's paper of 1946 the B-splines were introduced by the very first time in the modern mathematical literature. 4.4. Special Functions and the DC. In the theory of special functions, and mainly in the theory of Bessel functions, there exist several properties of them which are given by means of DC formulae. Some of these formulae are briefly quoted in this section. As usual let J xn ( ) denote the Bessel function of the first kind and of order n. The earliest property of J xn ( ) given by a DC formula seems to be given by P.A. Hansen in a paper originally
  • 25.
    25 published in Germanin 1843 and which its translation to French appeared in 1845. The expression given by Hansen was [42 and 97, pp.30-31] J x J x J x J x J xr r r r rr 1 1 1 10 1 2 2( ) ( ) ( ) ( ) ( ).       This expression is a particular case of a more general one derived independently by C.G. Neumann in 1867 [64, p.40, and 97, p.30] and E.C.J. von Lommel in 1868 [59, pp.26-27, and 97, p.30]. The general expression is J y z J y J zn m n m m ( ) ( ) ( )      (4.8) This expression for z y and for all n was also derived by L. Schläfli in 1871 [78, pp.135-137, and 97, p.30]. In 1867 Neumann also derived the following formulae for the case   0 [64, and 97, p.30], where Y x ( ) denotes the Bessel function of the second kind and order , Y Y Z J z mm m m    ( )cos( ) ( ) ( )cos( ).     Y Y Z J z mm m m    ( ) ( ) ( ) ( ) ( )sin sin     , with    Z z Zz2 2 2 cos ; while Lommel derived the expression ( ) ( ) ( ) ( ) ( ) ,        1 2 02 1 2 0 2 r r n r r r n r r n J z J z J z J z and the espression Y z t Y t J zm m m  ( ) ( ) ( ),      (4.9) for z t . Concerning Schaläfli, he also gave the following expression in his paper of 1871 [op.cit., pp.139- 141, and 97, p.289] S t z S J z z tn n m m m ( ) ( ); ;      where S tn ( ) are the nowadays so-called Schläfli polynomials defined by the expression
  • 26.
    26             )2/( 0 2 0 .1; 2! )!1( )( ,0)( n m mn n n t m mn tS tS On theother hand, in 1872 L. Gegenbauer in his studies dealing with Bessel functions defined the so called Neumann's polynomials of order n the formula [38, and 97, p.273 and p.290] O t n n n m m n n m t m m n ( ) ( )cos ( ) ( )( ) ,        1 4 1 2 2 2 2 2 1 0    In a paper dated August 1879 and published in 1880 N.J. Sonine proved that if C z ( ) is defined by the expression [89] C z J z Y z     ( ) ( ) ( ) ( ) ( ), 1 2 where    1 2( ) ( )and are arbitrary periodic functions of  with period unity, then C z t C t J zm m m  ( ) ( ) ( ).      (4.10) Formulae (4.8), (4.9) and (4.10) were also proved by J.H. Graf in a paper dated March 1893 and published the same year [39, pp.141-142]. In this same paper Graf also proved that [op,cit., pp.142-144]             m m imzJ izZ izZ J ),(exp)( )(exp )(exp )( 2/        where       Z z 2Zzcos and zexp( i ) Z .2 2 Finally, outside of the theory of Bessel functions, the following expression was derived by C. Runge in 1914 [77]               n r rnrn n yHxH r nyx H 0 /2 ),()( 2 2 where H xn ( ) denotes the Hermite polynomials of degree n  0 1 2, , , . 4.5. Cardinal Series. A convolution formula closely related to the DC is that given by the expression
  • 27.
    27 a f znn n ( ) (4.11) Obviously this formula reduces to the DC, depending of the values of n, if z is allowed to take integral values only. In the literature (4.11) is better known as cardinal series. A major factor affecting current interest in the cardinal series is its importance in the sampling theory of band- limited functions or signals. Althouhg this application, its origin concerns with the problem of interpolation as will be seen bellow. Herein only some historical remarks concerning (4.11) will be given. For major accounts the reader is referred to the works of A.J. Jerri [50] and J.R. Higgins [46]. The first explicit use of (4.11) occurs in a brief note by Félix-Edouard-Justin-Emile Borel (1871- 1956) in 1898 in a paper dealing with the problem of expansion of a function by Taylor series [6]. On page 1002 of this paper it is found a expression of the type    ( z ) sin( z ) a z n n n 0     (4.12) to get information about how the power series coefficients  na of a function f x a zn n ( )   determine its singularities. The next year, Borel in dealing with the problem of interpolation used the following formula [7] sin( t ) c ( 1) t n ,n n n      (4.13) which can be written as c t n t n n n sin  ( ) ( ) .    On page 83 of this last paper Borel mentioned that he deduced the series from Lagrage's interpolation formula. Independently of Borel, in 1900 John Dougall expanded the solution P z ( ) of Legendre's equation (1 z ) d y dz 2z dy dz n(n 1)y 0, z 1,2 2 2       as a series of Legendre polynomials [29] ).()1( 1 11sin )( 0 zP nn zP n n n              
  • 28.
    28 The corresponding expansionfor the second solution Q z ( ) of Legendre's differential equation was given by H.B.C. Darling in 1923 [21]. On the other hand, since P z P zn n  1( ) ( ), it is readily seen that if f P z( ) ( )  then Dougall's formula may be regarded as a case of the following interpolation formula f n n f n n ( ) ( ) ( ) ( )          sin (4.14) which was established by Jaques Hadamard (1865-1963) in 1901 [41] after an extensive study of Borel's paper of 1898. Hadamard's formula (4.14) is analogous to the fundamental interpolation formula of Charles de la Vallée Poussin (1866-1962) appeared in 1908. The interpolation scheme due to de la Vallée Poussin considers the finite interpolation formula [72, p.327] sinmt m f n m t n n ma b ( ) ( / ) ,    1   where f x( ) is a given function defined on the finite interval a b, , and the summation is understood to be over those n for which n m a b/ , . According to W.L. Ferrar [34, p.333], F.J.W. Whipple in an unpublished manuscript dated 1910 introduced the cardinal series and discovered several of its properties, including the band-limited nature of its sum. Later, in 1915, Edmund T. Whittaker rediscovered again the cardinal series in connection with the problem of interpolation of equidistant data [99]. In his paper Whittaker did not make references to previous work. The expression used by Whittaker was [op.cit., p.86] f a n x a n x a nn ( ) ( ) / ( ) / ,              sin (4.15) which reduces to (4.14) if m a n  . E.T. Whittaker did not call (4.15) cardinal series, the name seems to first appeared in the works of Ferrar [34] and J.M. Whittaker (second son of E.T. Whittaker) [101, 102]. After the above rediscovering of the cardinal series, it came up a period where they were used and extended (this extension considered more general expressions no necessarily of the convolution type) to deduce properties of entire functions from their known behaviour at a sequence of points. Among the authors who made extensions are J.F. Steffensen [90], T.A. Brown [10, 11], M. Theis [91], K. Ogura [66], W.L. Ferrar [33, 34, 35], T.M. MacRobert [60, 61], I.M. Sheffer [85], E.T. Copson [19] and J.M. Whittaker [101,102]. A brief account of some of these papers are given in Story One of Higgin's paper [46, pp.53-57].
  • 29.
    29 The cardinal series(4.15), appeared also in the russian literature. It was firstly given by V.A. Kotel'nikov in 1933 in dealing with certain problems of communication [51]. In the american literature, it was mainly C.E. Shannon in 1949 who introduced a series of the type given in (4.15), this was also in dealing with problems in communication [84]. Although Shannon results were published in 1949, his paper was apparently written in 1940, however its contents seem to have been in circulation in the United States by 1948. The general theory of interpolation formulae of the type (4.11) with f x f x( ) ( )  started in 1946 with I.J. Schoenberg. The results obtained by him, his students and other authors in the period 1946-1973 were stated in his paper of 1946 and in his monograph of 1973, In pass, it is pointed out that in his paper of 1946 the B-splines were given a name and were used by the very first type to solve the problem of interpolation. The most recent account concerning cardinal series from an introductory point of view is given in the book by R.J. Marks [62]. Chapter 5 The Notations and Names of Convolution 5.1. Introduction. Some of the convolution operations defined in the preceding chapters have been denoted and named in several ways in the literature. As it wil be seen below, the notation used for these operations has been almost uniform in the literature. Concerning the names, these were usually given either after the work of some author or after the study of the properties of these operations. 5.2. Notations. Probably the first expression used to denote the RCI is that given by Volterra. Indeed, as it was seen in Sec. 2.6., Volterra denoted and defined the so-called composition of the first kind as    y z y).(x,gfy)dxx)g(x,f(x, Although the above notation is quite general, in the particular case that f x y( , ) and g x y( , ) belong to the group of the closed cycle (see Sec. 2.6.) Volterra used the same notation and he wrote:    t 0 (t).gf)d)g(f(t  This notation can be considered as the most primitive notation of the very well known star- notation or asterisk-notation:
  • 30.
    30   t tgfdgtf 0 ).)(()()( (5.1) It is the guess of the present writer that the star-notation was firstly used by Gustav Doetsch. Thus for example, Doetsch used the above notation in a paper published in 1927 [25, p.23]. Other notation were also given by Doetsch. For example on page 161 of [26] is stated that the right-hand-side of (5.1) may be denoted as f g t  0 (5.2) in order to be distinguished from the RCI     ,)d)g(f(t  which he denoted as f g   . (5.3) This notation also appeared on page 127 et. seg. of a paper published in 1938 by F. Tricomi [93]. Notations (5.2) and (5.3) seem to be difficult to write and have disappeared from the literature. Doetsch himself did not use them in his book of 1970 [27]. Concerning the notation for complex convolution, Doetsch gave no notation in his paper of 1927 nor in his book of 1943. However in his book of 1970 he used the notation f go to designate that operation. On the other hand, Gardner and Barnes on page 275 of their book [37] used the notation to designate the CCI of functions F s F s1 2( ) ( )and . 5.3. Names. As it was seen in Sec. 2.6., in the theory of integral equations developed by Volterra the notion of composition of two functions f x y g x y( , ) ( , )and played and important role. Considering only
  • 31.
    31 the composition ofthe first kind, it was also seen that if these functions were also permutable functions with the unity, then f ( x,y ) f g( x,y ) g f ( x,y )              f g( y x ) g f ( y x )  f ( y x ) from which easily follows the RCI   t dtgft 0 .)()()(  (5.4) Thus it can be said that the composition reduces to the operation (5.4). The name composition is one of the first names attadched to (5.4) and has been used and preferred frequently, since the times of Volterra's work, in the French literature. In that literature the name has been modified slightly and some times it appears as produit de composition (product of composition). The name composition has also been used as an alternative name in some German literature where the name faltung is preferred; e.g., [4, p.56., and p.285 Remark- Quotation 40] and [26, p.157]. Mereover, the name composition has been extended to designate the RCI     .)()(  dtgf (5.5) Another name derived from the work by Volterra and Pérès, although less common, to designate (5.5), is that of resultant [96, p.6]. This is the name used by E.C. Titchmarsh [92, p.51] and by B. Van der Pol and J. Bremmer [94]. The name resultant has been also used to designate (5.4). Indeed, in his book Doetsch [26, p.157] suggested that this name may be used as an alternative English name to designate that operation; while G.H. Hardy in his book stated [44, p.98, footnote]: "The German name equivalent of resultant is faltung". The name faltung to designate (5.4) seems to be given by the very first time by Doetsch in two papers appeared in 1923 [23, 24]. To be more specific, (5.4) was called by Doetsch faltungsintegral [25, p.23]. In the period of time immediately after the occurrence of the aforementioned Doetsch's papers, the name faltung was the most common to designate (5.4) and/or (5.5). In his book Doetsch [25, p.157] pointed out that the name faltung was preferred by many American authors. This affirmation is supported by the following quotation taken from the book by Norbert Wiener [103, p.45]:
  • 32.
    32 "The quantity     dxxygxf)()(2 1 is known as the Faltung of f x( ) and g x( ) (there is not good English word), and the sequence   nmn ba    as the Faltung of the sequences    nn ba and ". Wiener also used the word faltung to designate (5.5) [103, p.71]. Concerning the CCI, on page 23 of his paper of 1927 Doetsch designated this integral as Facherintegral. However in his book he designated it as komplexe Faltung [27, p.167]. The name faltung has also been used to designate the discrete convolution operation [103, p.45]. On the other hand, it is difficult to say when the name convolution occurred by the very first time in the literature. Doetsch himself suggested the name as an English translation of the german name Faltung [26, p.157.]. On page 228 of the book by Gardner and Barnes it is found the following quotation [37]: "The process expressed by the integral [(5.4)] will be called convolution in the real domain, or real convolution, and the functions [entered into it] will be said to be convolved". On pages 231-233 of the same book by Gardner an Barnes, it was given what was probably the first graphical interpretation of the RCI. This interpretation was given by convolving the functions exp( ) ( ). t t tand exp At the end of this example these authors also pointed out that: "It can be seen from this example that 'convolution' denotes a mathematical process that can be interpreted graphically by folding, translating, multiplying, and integrating". The process of folding in this graphical interpretation agrees with the translation to English of the German word faltung, which means folding. It also agrees with the definition given on pages 952-953 of the 1978 edition of the Oxford English Dictionary. Indeed, according to this dictionary, the word convolution concerns with the action of folding, and according to its etymological roots it concerns with the action of rolling up together. Gardner and Barnes also designated the CCI as [op.cit., p.275]: "convolution in the complex domain or more briefly complex convolution". Nowadays the name convolution has become in common use in the literature to designate either the RCI, or the CCI, or the DC. In the past other names have been used to designate these operations or special instances and variations of them. For example, the integral
  • 33.
    33   x xdxcxfxcfxh 0 ;0;)()(')()0()( (5.6) which is equivalent to the integral   x xdxcxf dx d xh 0 ;0;)()()(  some times has been referred as superposition theorem or Duhamel's theorem [16, pp.30-31, and p.301]. The first name is due to, in the derivation of (5.6), the superposition principle plays an important role [37, p.234]. On the other hand, Duhamel used the superporsition principle to derive (5.5), this is the reason of the second name. The names of Boltzman and Hopkinson has been also attached to (5.5) [13, p.56] (see also Sec. 2.7.). Although the above names were originally given to (5.6), some authors have used them to designate in general the RCIs. For example, R.B. Blackman and J.W. Tukey on page 73 of their book [3] pointed out that: "Convolution is often called by a variety of names such as Superposition Theorem, Faltungsintegral, Green's Theorem, Duhamel's Theorem, Borel's Theorem, and Boltzman- Hip'kinson Theorem". In this book no references were given to this quotation. The name Borel's Theorem in the above quotation is not justified since in some early literature the name is given to Convolution Theorem for Laplace integral [28]. The name Green's Theorem remains as a mystery for the present writer since the aforementioned authors gave no references. Ronald N. Bracewell on page 24 of his book [9] stated a similar paragraph to the above of Blackman and Tukey. He wrote: "The word 'convolution' is coming into more general use as awareness of its oneness spreads into various branches of science. The German term Faltung is widely used, as is the term 'composition product', adapted from the French. Terms encountered in special fields include superposition integral, Duhamel integral, Borel's theorem, (weighted) running mean, crosscorrelation function, smoothing, blurring, scanning, and smearing". The reader is referred to Bracewell's book for the justification of the last six names. References 1. Abel, N.H., Solution de quelques problèmes a l'aide d'intégrales définies, Magazin for Naturvidenskaberne, Aargag, I, Bind 2 (1823), Christiania. 2. Abel, N.H., Auflösung einer mechanischen Aufgabe, Journal für die Reine und Angewandte Mathematik, 1 (1826), pp.153-157.
  • 34.
    34 3. Blackman, R.B.and J.W. Tukey, The measurement of power spectra from the point of view of communications engineering, New York: Dover Publications, Inc. (1959). 4. Bochner, S., Lectures on Fourier Integrals, with an author's supplement on Monotonic Functions, Stieltjes integrals, and harmonic analysis, translated from Vorlesungen über Fouriersche Integrale by Morris Tenenbaum and Harry Pollard, Princeton: Princeton University Press (1959). 5. Boltzman, L., Zur Theorie der elastischen Nachwirkung, Akad, Wiss. Wien, Sitzungsber; 70 (1974), pp.275-300. 6. Borel, E., Sur la recherche des singulatités d'une fonction définie par un développement de Taylor, Comptes Rendus Hebdomadaires des Séances de l'Académie des Sciences, Paris, 127 (1898), pp.1001-1003. 7. Borel, E., Mémoire sur les séries divergentes. Annales Scientifiques de l'École Normale Supérieure, Paris, 16 (1899), pp.9-131. 8. Bottazinni, U. The higher calculus: A history of real and complex analysis from Euler to Weierstrass, translated from the Italian by W. Van Egmond, New-York: Springer-Verlag (1986). 9. Bracewell, R.N., The Fourier transform and its applications, New York: McGraw-Hill Book Company (McGraw-Hill Series in Electrical Engineering, Circuit and Systems), second edition revised (1986). 10. Brown, T.A., Fourier's integral, Proceedings of the Edinburgh Mathematical Society, 34 (1915-1916), pp.3-10. 11. Brown, T.A., On a class of factorial series, Proceedings of the London Mathematical Society, 33 (1924), pp.149-171. 12. Burkhardt, H., Entwicklungen nach oscillierenden Functionen und Integration der Differentialgleichungen der mathematischen Physik, Jahresbericht der Deutschen Mathematiker-Vereinigung, 10 (1901-1908), Part 2, 1804 p. 13. Bush, V., Operational Circuit Analysis, New York: John Wiley and Sons, Inc., fourth printing (1946). 14. Cajori, F., (1919) A history of mathematics, New York: The MacMillan Company, second edition, revised and enlarged (1919). 15. Cajori, F., A history of mathematical notations, Volume II: Notations mainly in higher mathematics, Chicago: The Open Publishing Company (1930). 16. Carslaw, H.S. and J.C. Jaeger, Conduction of heat in solids, Oxford: The Claredon Press, second edition (1959).
  • 35.
    35 17. Carson, J.R.,Electric circuit theory and the operational calculus, New York and London: McGraw-Hill Book Company (1926). 18. Cauchy, A-L., Cours d'analyse de l'École Royale Polytechnique, 1ere partie: Analyse algebraique, Paris: Chez Debure frères (1821). 19. Copson, E.T., On Hardy's theory of M-functions, Proceedings of the Edinburgh Mathematical Society, 1 (1928), pp.129-134. 20. Davis, H.T., The theory of linear operators from the standpoint of differential equations of infinite order, Bloomington, Indiana: The Principia Press (Monograph of the Waterman Institute of Indiana University; Contribution No. 72) (1936). 21. Darling, H.B.C., On Legendre's coefficients and associated functions with nonintegral subscripts, and their connection with the elliptic functions, The Quarterly Journal of Pure and Applied Mathematics. 49 (1923), pp.289-303. 22. Dirichlet, P.G.L., Sur la convergence des séries trigonométriques qui servent à represénter une fonction arbitraire entre les limites données, Journal für die Reine und Angewandte Mathematik, 4 (1829), pp.157-169. 23. Doetsch, G., Die Integrodifferentialgleichungen von Faltungstypus, Mathematische Annalen, 89 (1923), pp.192-207. (not seen) 24. Doetsch, G., Transzendente Additionstheoreme der elliptischen Thetafunktionen und andere Tthetarelationen von Faltungstypus, Mathematische Annalen, 90 (1923), pp.19-25. (not seen) 25. Doetsch, G., Überblick über Gegenstand und Methode der Funktionalanalysis, Jahresbericht der Deutschen Mathematiker-Vereinigung, 36 (1927), pp.1-30. 26. Doetsch, G., Theorie und Anwendung der Laplace-Transformation, New York: Dover Publications, Inc. (1943) (First German edition Berlin: Springer, 1937). 27. Doetsch, G., Introduction to the theory and application of the Laplace transformation, Berlin: Springer-Verlag (1974) [Translation of the German Original Edition: Einführung in Theorie und Anwendung der Laplace-Transformation. Zweite, neubearbeitete und erweiterte Auflage (Mathematische Reihe, Band 24, Sammlung LMW). Basel: Birkhäuser Verlag, 1970. Translation by Walter Nader.] 28. Dominguez-Torres, A., The origin and history of convulution II:. Convolution theorems, In preparation. 29. Dougall, J., The determination of Green's function by means of cylindrical or spherical harmonics, Proceedings of Edinburgh Mathematical Society, 18 (1900), pp.33-83.
  • 36.
    36 30. Duhamel, J.M.C.,Mémoire sur la methode générale relative au mouvement de la chaleur dans les corps solides plongés dans les milieux dont la température varie avec les temps, Journal de l'École Polytechnique, 14, [Cahier 22] (1833), pp.20-77. 31. Duhamel, J.M.C., Mémoire sur les vibrations d'un système quelconque de points materiels, Journal de l'École Polytechnique, 14 [Cahier 23] (1833), pp.1-36. 32. Euler, L., Institutionum Calculi Integralis, Volumes I and II, Petropoli: Impensis Academiae Imperialis Scientiarum, Editio Tertia (1827) (First Edition, 1768). 33. Ferrar, W.L., On the cardinal function of interpolation theory, Proceedings of the Royal Society of Edinburgh, 45 (1925), pp.269- 282. 34. Ferrar, W.L., On the consistency of the cardinal function of interpolation, Proceeding of the Royal Society of Edinburgh, 46 (1926), pp.323-333. 35. Ferrar, W.L., On the consistency of the cardinal function of interpolation, Proceedings of the Royal Society of Edinburgh, 47 (1927), pp.230-242. 36. Fourier, J., The analytical theory of heat, Translated with notes by Alexander Freeman, Cambridge: The University Press (1878). 37. Gardner, M.F. and J.L. Barnes, Transients in linear systems studied by the Laplace transformation, Volume I: Lumped-constant systems, New York: John Wiley and Sons, Inc., London: Chapman & Hall, Limited, second printing 81945) (First printing 1942). 38. Gegenbauer, L., Zur theorie der Bessel'schen functionen zweiter Art, Wiener Sitzungsberitchte, 66 (1872), pp.220-223. 39. Graf, J.H., Üeber die addition und subtraction der argumente bei Bessel'schen functionen nebst einer anwendung, Mathematische Annalen, 43 (1893), pp.136-144. 40. Grattan-Guinness, I., The development of the foundation of mathematical analysis from Euler to Riemann, Cambridge, Mass: The MIT Pres (1970). 41. Hadamard, J., La série de Taylor et son prologement analytique, Scientia, 12 (1901), pp.1- 100. 42. Hansen, P.A., Mémoire sue la determination des perturbations absolues dans elipses d'une excentricité et d'une inclinaison quelconques, Paris (1845) (Translation by V. Mauvais from "Ermittelung der absoluten Störugen in Ellipsen von beliebiger Excentricität und Neigung, I", Scriften der Sternwarte Seeberg, Gotha 1843.) 43. Hardy, G.F., The theory of the construction of tables of mortality and of similar statistical tables in use by the actuary. London: Institute of Actuaries (1909). (not seen) 44. Hardy, G.H., Divergent series, Oxford: The Claredon Press (1949).
  • 37.
    37 45. Henderson, R.,Transactions of the American Society of Actuaries, 17 (1916), p.43. (not seen) 46. Higgins, J.R., Five short stories about cardinal series, Bulletin of the American Mathematical Society (new series), 12 (1985), pp.45-89. 47. Hobson, E.W., The theory of spherical and ellipsoidal harmonics, Cambridge: The University Press (1931). 48. Hopkinson, J., Residual charge of a Leyden jar, Philosophical Transactions of the Royal Society of London, 167 (1877), pp.599-626. 49. Ince, E.L., Ordinary Differential Equations, New York: Dover Publications (1956). 50. Jerri, A.J., The Shannon sampling theorem - Its various extensions and applications: A tutorial review, Proceedings of the IEEE, 65 (1977), pp.1565-1596. 51. Kotel'nikov, V.A., On the carrying capacity of the 'ether' and wire in telecommunications, Material for the first All-union Conference on Questions of Communication, Izd. Red. Upr. Svyazi RKKA, Moscow (1933) (in Russian). 52. Landré, C.L., Eherenzweig's Assekuranz-Jarbuch, 22 (1901) (not seen); and pp.91-94 of his book Mathematisch-Technische Kapitel zur Lebensversicherung (not seen). 53. Laplace, P.S., Mémoire sur divers points d'analyse, Journal de l'École Polytechnique, 8 [Cahier 15] (1809), pp.229-265. (not seen) 54. Laplace, P.S., Théorie analytique des probabilités, Paris: Mme. Ve. Courcier, Third edition (1820) (first edition appeared in 1812). 55. Larus, J.R., Graduation by symmetrical coefficients, Transactions of the American Society of Actuaries, 19 (1918), p.14. (not seen) 56. Laurent, P.A., Extension du théorème de Cauchy relatif à la convergence du deèveloppement d'une fonction suivant les puissances ascendantes de la variable, Comptes Rendus Hebdomadaires des Séances de l'Académie des Sciences, Paris, 17 (1843), pp.348-349. 57. Liouville, J., Mémoire sur quelques questions de géométrie et de mécanique, et sur un nouveau genere de calcul pour résoudre ces questions, Journal de l'École Polytechnique, 13 [Cahier 21] (1832), pp.1-69. 58. Liouville, J., Mémoire sur le calcul des différentielles a l'indices quelconques, Journal de l'École Polytechnique, 13 [Cahier 21] (1832), pp.71-162. 59. Lommel, E.C.J. von, Studien über die Bessel'schen Functionen, Leipzing (1868).
  • 38.
    38 60. MacRobert, T.M.,The addition theorem for the Legrendre functions of the second kind, Proceedings of the Royal Society of Edinburgh, 46 (1925), pp.30-35. 61. MacRobert, T.M., The Mehler-Dirichlet Integral and some other Legendre function formulae, Phil. Mag., 14 (1932), pp.632-656. 62. Marks, R.J., Introduction of the Shannon sampling and interpolation theory, New York: Springer-Verlag (1991). 63. Mellin, H., Über gewisse durch bestimmte Integrale vermittelte Bezeihungen zwischen linearen Differentialgleichungen mit rationalen Coefficienten, Acta societatis Scientiarum Fennicae, 21 (1896), 57p. 64. Neumann, C.G., Theorie der Bessel'shen Functionen, Ein Analogon zur Theorie der Kulgelfunctionen, Leipzing (1867). 65. Nielsen, N., Géomètres français du dix-huitième siècle, Copenhague: Levin & Munksgaard, Paris: Gauthier-Villars (1935). 66. Ogura, K. On a transcendental integral function in the theory of interpolation, Tôhoku Math. J., 17 (1920), pp.64-72. 67. Pincherele, S., Sull'inversione degl'integrali definiti, Memoire di Matematica e di Fisica della Societá Italiana delle Scienze, 15 (1908), pp.3-43. 68. Poisson, S.D., Mémoire sur la théorie de ondes, Mémoires de l'Académie des Sciencies, Paris, 1 (1816), pp.71-186. 69. Poisson, S.D., Mémoire sur la maniére d'exprimer les fonctiones par de séries de quantités périodiques, Journal de l'École Polytechnique, 11 [Cahier 18] (1820), pp.417-489. 70. Poisson, S.D., Théorie mathématique de la chaleur, Paris (1835). 71. Poole, E.G.C., Introduction to the theory of linear differential equations, Oxford: The Claredon Press (1936). 72. Poussin, Ch. de la Vallée, Sur la convergence des formules d'interpolation entre ordennées equisitantes, Bulletins de l'Académie Royale des Sciences de Belgique, 1 (1908), pp.319-410. 73. Reiff, R., Geschicht der Unendlichen Reihen, Tübingen: Verlag der Laupp'schen buchhandlung (1899). 74. Riemann, G.F.B., Üeber die Darstellbarket einer Function durch eine trigonometrische Reihe, Göttingen: Abh.Gesell.Wiss., 13 (1866-1877), math.Kl.., pp.87-132. 75. Ross, B., A chronological bibliography of fractional calculus with commentary, In J. Spanier and K.B. Oldham, The fractional calculus, New York: Academic Press (1974); Chapter 1.
  • 39.
    39 76. Ross, B.,A brief history and exposition of the fundamental theory of fractional calculus, In B. Ross (ed.), The fractional calculus and its applications, Berlin: Springer-Verlag (Lecture notes in mathematics) (1975), pp.1-36. 77. Runge, C., Üeber eine besondere Art von Integralgleichungen, Mathematische Annalen, 75 (1914), pp.130-132. 78. Schläfli, L., Einige Bemerkingen zu Herrn Neumann's Untersuchungen über die Bessel'schen functionen, Mathematische Annalen, 3 (1871), pp.134-149. 79. Schlömilch, O., Analytische studienk; Erste Abtheilung: Theorie un Tafel der Gammafunktionen nebst deren wichtigsten Anwendungen; Zweite Abtheilung: die Fourier'schen Reihen und Integrale nebst deren wichtigsten Anwendungen,Leipzig: Verlag von Wilhem Engelmann (1848). 80. Schoenberg, I.L., Contributions to the problem of approximation of equidistant data by analytic functions; Part A: On the problem of smoothing or graduation, A first class of analytic approximation formulae; Part B: On the problem of osculatory interpolation, A second class of analytic approximation formulae, Quarterly of Applied Mathematics, 4 (1949), pp. part A: 45-99, Part B: 112-141. 81. Schoenberg, I.J., Some analytical aspects of the problem of smoothing, In Studies and Essays Presented to R. Courant on his 60th Birthday, January 8 1948, Courant Anniversary Volume, 1948, pp. 351-370, New York: Intersciencce Publishers (1948). 82. Schoenberg, I.J., On smoothing operations and their generating functions, Bulletin of the American Mathematical Society, 59 (1953), pp.199-230. 83. Schoenberg, I.J., Cardinal spline interpolation, Society for Industrial and Applied Mathematics (Conference Board of the mathematical Sciences, Regional Conference Series in applied Mathematics), Philadelphia, Pennsylvania (1973). 84. Shannon, C.E., Communication in presence of noise, Proceedings of IRE, 37 (1949), pp.329- 342. 85. Sheffer, I.M., On entire function interpolation, The American Journal of Mathematics, 49 (1927), pp.329-324. 86. Sheppard, W.F., Reduction of errors by means of negligible differences, Fifth International Congress of Mathematicians (1912), p.ii and p.348. 87. Sheppard, W.F., Graduation by reduction of mean square error, Journal of the Institute of Actuaries, 48 (1914), p.171 and p.390; and 49 (1914), p.148. 88. Sheppard, W.F., Reduction of error by linear compounding, Philosophical Trnsactions Series A, 221 (1915), p.199.
  • 40.
    40 89. Sonine, N.J.,Recherches sur les fonctiones cylindriques et le développement des fonctiones continues en séries. Mathematische Annalen, 16 (1880), pp.1-80 90. Steffensen, J.F., Über eine Klasse von ganzen Funktion und ihre Anwendung auf die Zahlentheorie, Acta Mathematica, 37 (1914), pp.75-112. 91. Theis M., Über eine Interpolationsformel von de la Vallée Poussin, MathematicZeitschrift, 3 (1919), pp.93-113. 92. Titchmarsh, E.C., Introduction to the theory of Fourier integrals, Oxford: University Press (1937). 93. Tricomi, F., Les transformations de Fourier, Laplace, Gauss, et leurs applications au calcul des probabilités at à la statistique, Annales Institut Henri Poincaré, 8 (1938), pp.11-149. 94. Van der Pol, B. and H: Bremmer, Operational calculus based on the two-sided Laplace integral, Cambridge: University Press, second edition (1955). 95. Volterra, V., Theory of functionals and of integral equations, Edited by Luigi Fantappiè; Authorized translation by M. Long; London and Glasgow: Blackie and Son Limited (1931). 96. Volterra, V. and J. Pérès, Leçons sur la composition et les fonctiones permutables, Paris: Gauthier-Villars et Cie (1924). 97. Watson, G.N., A treatise on the theory of Bessel functions, Cambridge: The University Press (1944). 98. Weierstrass, K., Üeber die analytische Darstellbarkeit sogennater willkürlicher Funktionen reeler Argumente, Berliner Sitzungsberichte (1885), pp.633-639, 789-805. 99. Whittaker, E.T., On the functions which are represented by the expansions of the interpolation theory, Proceedings of the Royale Society of Edinburgh, 35 81915), pp.181-194. 100.Whittaker, E.T. and G.N. Watson, A course of modern analysis, an introdution to the general theory of infinite process and of analytic functions; with and account of the principal transcendental functions, Cambridge: The University Press, fourth Edition, reprinted (1946). 101.Whittaker, J.M., On the cardinal function of interpolation theory, Proceedings of the Edinburgh Mathematical Society, n1n (1928), pp.169-176. 102.Whittaker, J.M., The Fourier theory of the cardinal function, Proceedings of the Edinburgh Mathematical Society, 1 (1928), pp.169-176. 103.Wiener, N., The Fourier integral and certain of its applications, Cambridge: University Press (1933).
  • 41.
    41 104.Wolfenden, H.H., Onthe development of formulae for graduation by linear compounding, with special reference to the work of Erastus L. De Forest, Transactions of the Actuarial Society of America, 26 (1925), pp.81-121. 105.Wolfenden, H.H., The fundamental principles of mathematical statistics with special reference to the requirements of actuaries and vital statisticians and an outline of a course in graduation, Toronto: The Macmillan Company of Canada, Published for the Actuarial Society of America, New York (1942).