IV. TUGAS PENDAHULUAN
1. Apa yang dimaksud dengan berkas cahaya terpolarisasi?
Berkas cahaya terpolarisasi adalah cahaya yang diserap dimana sebagian arah
getarnya menjadi satu arah getar.
2. Apakah guna polarisator P, prisma Nikol K dan analisator A dalam percobaan ini?
• Polarisator P : Keping cahaya yang mengubah polarisator cahaya awal yang
memiliki arah getar beragam menjadi cahaya terpolarisasi yang
memiliki satu arah getar
• Prisma nikol K: Keping kaca yang mengubah cahaya yang mempunyai satu
arah getar menjadi dua arah getar
• Analisator A : Keping kaca untuk mengamati cahaya terpolarisasi
3. Bila K diletakkan antara Z dan A, dapatkah diadakan pengukuran?
Pengukuran dapat dilakukan karena tidak mengubah R dan S
4. Dapatkah cahaya polychromatis dipakai untuk pengamatan dengan metoda
Laurent?
Tidak, karena motede Laurent memakai lensa kuarts dan lensa ini hanya menangkap
cahaya monokromatis.
5. Apakah bentuk grafik α terhadap K, dan bagaimana cara menentukan αo dari grafik
tersebut?
L
tg
2
aa
a
a-aa
a-aa
atg
atg
atg
t
0
21
t
2t2
1t1
22
11
tt
α
α
α
α
α
=
∆+∆
=∆
=∆
=∆
=
=
=
V. PROSEDUR PERCOBAAN
1. Dengan gelas ukur, buatlah larutan gula dengan konsentrasi k1,k2,k3,dan k4 gram/cc
(ditentukan olah asisten).
Catatan : Perhatikan cara melarutkan gula. Setelah gula larut semua, barulah larutan
ditambah dengan pelarut sampai volume yang ditentukan. Untuk konsentrasi larutan yang
lain, cukup dengan mengencerkan larutan yang paling pekat.
2. Atur okuler pada A, sehingga bidang lingkaran tampak dengan jelas (bayangan tegas).
3. Putarlah keping berskala A, sehingga bidang lingkaran tampak teras terang-terang dan
redup-redup.
4. Catatlah kedudukan ini.
5. Carilah kedudukan yang terang-terang dan redup-redup lain. Catat kedudukannya.
6. Putar-putarlah A, dan ulangi V.3 s/d V.5 beberapa kali.
7. Bersihkan pipa zat cair pemutar dan masukanlah ke dalam polarimeter.
8. Lakukan V.3 s/d V.5 untuk tabung kosong ini.
9. Isilah pipa dengan zat cair pelarut (air). Usahakan jangan sampai ada gelembung udara di
dalamnya.
10.Keringkan tabung bagian luar terutama ujung-ujungnya, kemudian masukkan pipa itu ke
dalam polarimeter.
11.Lakukan V.3 s/d V.6 untuk zat pelarut ini.
12.Ganti isi pipa dengan larutan-larutan yang telah disiapkan.
13.Lakukan V.3 s/d V.8 untuk larutan lain.
VI. DATA PENGAMATAN
A. DATA RUANG
KEADAAN RUANG AWAL PERCOBAAN AKHIR PERCOBAAN
Suhu (o
C) (2,50 ± 0,05) 10 (2,60 ± 0,05) 10
Tekanan(cmHg) (6,600 ± 0,005) 10 (6,600 ± 0,005) 10
Kelembapan(%) (7,50 ± 0,05) 10 (7,10 ± 0,05) 10
B. DATA PENGAMATAN
TT1 RR1 TT2 RR2 TT1 RR1 TT2 RR2
Kosong 47,3 151,6 234,7 329,5 46,5 151,3 234,1 331,5
Tabung kosong 51,4 152,2 238 332,6 52,5 152,8 236,2 332,8
Tabung+air 41,6 151,7 229,4 331,4 50,6 151 226,6 331,1
Tabung+k1 62,7 171,8 255,2 343,5 64,5 173,1 234,2 343,8
Tabung+k2 58,5 166,5 244 342,3 59,6 165,7 244,3 342,5
Tabung+k3 56,8 162,6 246,8 344,3 57,1 163,8 247,2 345,2
Tabung+k4 54,6 159,3 234,5 337,8 55,2 158,9 235,2 337,5
Tabung+k5 52,6 160,3 240,8 338,2 52,9 157,8 236,5 336,2
Keterangan
Posisi
Massa gula = 15 gr
Volume air = 100 ml
VII. PENGOLAHAN DATA
1) Menentukan konsentrasi larutan gula
• 15,0
100
15
v
m
k
air
gula
===
( ) mlgr /10).0010,05000,1(kk
0001,00
100
15
01,0
100
1
v
v
m
m
v
1
k
1
11
221
−
±=∆±
=−+=∆−+∆=∆
• 1125,015,0
4
3
4
3
12 =×=×= kk
( ) mlgr /10).00019,012500,1(kk
00001875,0v
16v
12m
m
16v
v3
k
1
22
222
−
±=∆±
=∆−+∆=∆
• 084375,01125,0
4
3
4
3
23 =×=×= kk
( ) mlgr /10).006,0438,8(kk
00005625,0v
v
9m
m
16v
9
k
2
33
23
−
±=∆±
=∆−+∆=∆
• 06328125,0084375,0
4
3
4
3
34 =×=×= kk
( ) mlgr /10).004,0328,6(kk
00004219,0v
64v
27m
m
64v
72
k
2
44
24
−
±=∆±
=∆−+∆=∆
2) Menentukan θki
)2()1(
)2(
)2(
)1(
)1(
)2()1(
11i
1
1
i
1
1
i
i
11
i
2
1
2
1
k
kk
k
2
k
RRRR
RR
RR
RR
RR
RRRR
∆+∆=∆
∆
∂
∂
+∆
∂
∂
=∆
+
=
θ
θθ
θ
θ
( ) ...kk ii =∆± θθ
Keterangan θ ki ± ∆ θ ki (o
)
Kosong (1,5145 ± 0,0010).102
Tabung
kosong (1,5150 ± 0,0010).102
Tabung+air (1,5135 ± 0,0010).102
Tabung+k1 (1,7245 ± 0,0010).102
Tabung+k2 (1,6610 ± 0,0010).102
Tabung+k3 (1,6320 ± 0,0010).102
Tabung+k4 (1,5910 ± 0,0010).102
Tabung+k5 (1,5905 ± 0,0010).102
( ) ...
k
5
1
k
5
1
k
5
1
k
5
1
k
5
1
5
54321
=∆±
∆+∆+∆+∆+∆=∆
=
∑
kk
k
k
k
i
θθ
θθθθθθ
θ
θ
θ ki ± ∆ θ ki (o
)
RR1 (1,6398 ± 0,0010).102
3) Mencari sudut putaran (α)
0
0
0
0
11 θθkα
θ
θ
α
θk
θk
α
α
- θθkα
ii
i
i
i
i
i
ii
∆−+∆=∆
∆
∂
∂
+∆
∂
∂
=∆
=
( ) ...=∆± ii αα
Keterangan αi ± ∆αi (o
)
Kosong (1,00 ± 2,00).10-1
Tabung
kosong (1,50 ± 2,00).10-1
Tabung+air 0
Tabung+k1 (2,111 ± 0,020).10
Tabung+k2 (1,475 ± 0,020).10
Tabung+k3 (1,185 ± 0,020).10
Tabung+k4 (7,75 ± 0,20)
Tabung+k5 (7,70 ± 0,20)
4) Menentukan daya putar spesifik (α0)
( ) ( ) ( )
L
.Lk
k
k
.Lk
L
.Lk
1
L
L
k
k
.Lk
2
i
i
i2
i
2
i
0
0
i
i
00
0
i
0
∆−+∆−+∆=∆
∆
∂
∂
+∆
∂
∂
+∆
∂
∂
=∆
=
−
−−−
−
−
ii
ii
i
i
i
i
i
i
αα
αα
α
α
α
α
α
α
( ) ...00 =∆± −− ii αα
Keterangan αo-1 ± ∆αo-1 (o
)
k1 (7,033 ± 0,023)
k2 (6,56 ± 0,04)
k3 (7,02 ± 0,07)
k4 (6,12 ± 0,13)
( ) ...
4
1
4
1
4
1
4
1
4
00
403020100
0
0
=∆±
+++=∆
=
−−−−
−
αα
α
α
αααα
α i
αo-1 ± ∆αo-1 (o
)
RR1 (6,68 ± 0,07)
5) Menentukan k5
L
L
L
5
0
0
5
5
5
5
5
0
5
5
∆
∂
∂
+∆
∂
∂
+∆
∂
∂
=∆
×
=
kkk
k
k
α
α
α
α
α
α
( ) ( )
( ) ...
L
LL
L
L
1
55
2
0
0
0
2
0
5
0
5
=∆±
∆
×
−+∆
×
−+∆
×
=∆
kk
k
α
α
α
α
α
α
k5 ± ∆k5 (gr/ml)
RR1 (5,76 ± 0,16).10-2
VIII. TUGAS AKHIR DAN PERTANYAAN
1. Tunjukkan dengan data percobaan, bahwa zat pelarut dan pipa pemutar tidak punya
daya putar (hitung dulu α nya).
Terdapat pada data pengamatan, nilai RR pada kosong, tabung kosong dan tabung isi
air seharusnya mempunyai nilai yang sama atau tidak berbeda jauh.
2. Tentukan α laruta-larutan beserta ketelitiannya, α adalah sudut putar, bukan
kedudukan.
Keterangan αi ± ∆αi (o
)
Kosong (1,00 ± 2,00).10-1
Tabung
kosong (1,50 ± 2,00).10-1
Tabung+air 0
Tabung+k1 (2,111 ± 0,020).10
Tabung+k2 (1,475 ± 0,020).10
Tabung+k3 (1,185 ± 0,020).10
Tabung+k4 (7,75 ± 0,20)
Tabung+k5 (7,70 ± 0,20)
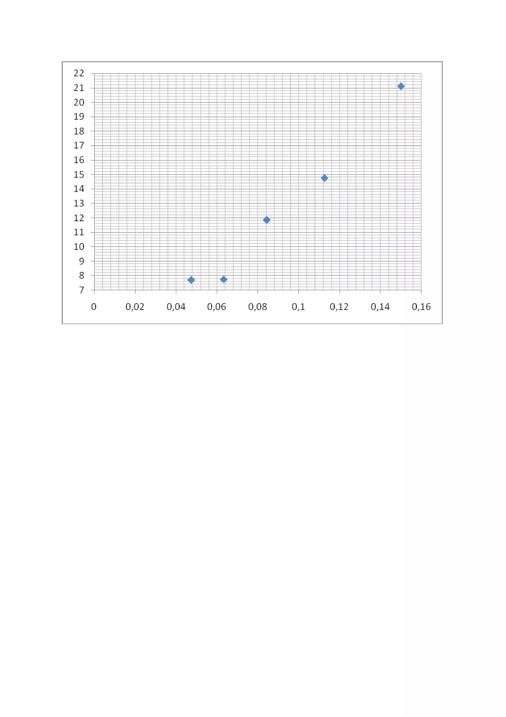
3. Buat grafik antara α dan k.
Terdapat dalam pengolahan data
4. Bagaimana bentuk grafik yang diharapkan dan bagaimana hasilnya. Hitunglah (αo)
dari grafik tersebut.
Grafik yang dihasilkan berbanding lurus, semakin besar konsentrasi larutan maka
nilai α nya akan semakin besar.
(αo) = 6,25o
5. Hitung (αo) dengan rumus untuk k1 dan k3. Bandingkan dengan hasil no 4. Apa satuan
(αo).
Keterangan αo-1 ± ∆αo-1 (o
)
k1 (7,033 ± 0,023)
k2 (6,56 ± 0,04)
k3 (7,02 ± 0,07)
k4 (6,12 ± 0,13)
Nilai (αo) yang didapat dari grafik dan dari perhitungan tidak perbeda jauh.
6. Hitung harga rata-rata (αo) dari langkah 5.
αo-1 ± ∆αo-1 (o
)
RR1 (6,68 ± 0,07)
7. Dengan harga (αo) pada langkah 6, hitung k2 dan k4.
mlgrk /11034,0
L0
2
2 =
×
=
α
α
mlgrk /05798,0
L0
4
4 =
×
=
α
α
8. Bandingkan harga itu dengan harga hasil percobaan saudara. Beri pembahasan.
Nilai k yang didapat tidak berbeda jauh dengan nilai k dari hasil percobaan.
mlgrk /05798,0
L0
4
4 =
×
=
α
α
8. Bandingkan harga itu dengan harga hasil percobaan saudara. Beri pembahasan.
Nilai k yang didapat tidak berbeda jauh dengan nilai k dari hasil percobaan.

Polarisasi Prisma (O3)

  • 1.
    IV. TUGAS PENDAHULUAN 1.Apa yang dimaksud dengan berkas cahaya terpolarisasi? Berkas cahaya terpolarisasi adalah cahaya yang diserap dimana sebagian arah getarnya menjadi satu arah getar. 2. Apakah guna polarisator P, prisma Nikol K dan analisator A dalam percobaan ini? • Polarisator P : Keping cahaya yang mengubah polarisator cahaya awal yang memiliki arah getar beragam menjadi cahaya terpolarisasi yang memiliki satu arah getar • Prisma nikol K: Keping kaca yang mengubah cahaya yang mempunyai satu arah getar menjadi dua arah getar • Analisator A : Keping kaca untuk mengamati cahaya terpolarisasi 3. Bila K diletakkan antara Z dan A, dapatkah diadakan pengukuran? Pengukuran dapat dilakukan karena tidak mengubah R dan S 4. Dapatkah cahaya polychromatis dipakai untuk pengamatan dengan metoda Laurent? Tidak, karena motede Laurent memakai lensa kuarts dan lensa ini hanya menangkap cahaya monokromatis. 5. Apakah bentuk grafik α terhadap K, dan bagaimana cara menentukan αo dari grafik tersebut? L tg 2 aa a a-aa a-aa atg atg atg t 0 21 t 2t2 1t1 22 11 tt α α α α α = ∆+∆ =∆ =∆ =∆ = = =
  • 2.
    V. PROSEDUR PERCOBAAN 1.Dengan gelas ukur, buatlah larutan gula dengan konsentrasi k1,k2,k3,dan k4 gram/cc (ditentukan olah asisten). Catatan : Perhatikan cara melarutkan gula. Setelah gula larut semua, barulah larutan ditambah dengan pelarut sampai volume yang ditentukan. Untuk konsentrasi larutan yang lain, cukup dengan mengencerkan larutan yang paling pekat. 2. Atur okuler pada A, sehingga bidang lingkaran tampak dengan jelas (bayangan tegas). 3. Putarlah keping berskala A, sehingga bidang lingkaran tampak teras terang-terang dan redup-redup. 4. Catatlah kedudukan ini. 5. Carilah kedudukan yang terang-terang dan redup-redup lain. Catat kedudukannya. 6. Putar-putarlah A, dan ulangi V.3 s/d V.5 beberapa kali. 7. Bersihkan pipa zat cair pemutar dan masukanlah ke dalam polarimeter. 8. Lakukan V.3 s/d V.5 untuk tabung kosong ini. 9. Isilah pipa dengan zat cair pelarut (air). Usahakan jangan sampai ada gelembung udara di dalamnya. 10.Keringkan tabung bagian luar terutama ujung-ujungnya, kemudian masukkan pipa itu ke dalam polarimeter. 11.Lakukan V.3 s/d V.6 untuk zat pelarut ini. 12.Ganti isi pipa dengan larutan-larutan yang telah disiapkan. 13.Lakukan V.3 s/d V.8 untuk larutan lain. VI. DATA PENGAMATAN A. DATA RUANG KEADAAN RUANG AWAL PERCOBAAN AKHIR PERCOBAAN Suhu (o C) (2,50 ± 0,05) 10 (2,60 ± 0,05) 10 Tekanan(cmHg) (6,600 ± 0,005) 10 (6,600 ± 0,005) 10 Kelembapan(%) (7,50 ± 0,05) 10 (7,10 ± 0,05) 10 B. DATA PENGAMATAN
  • 3.
    TT1 RR1 TT2RR2 TT1 RR1 TT2 RR2 Kosong 47,3 151,6 234,7 329,5 46,5 151,3 234,1 331,5 Tabung kosong 51,4 152,2 238 332,6 52,5 152,8 236,2 332,8 Tabung+air 41,6 151,7 229,4 331,4 50,6 151 226,6 331,1 Tabung+k1 62,7 171,8 255,2 343,5 64,5 173,1 234,2 343,8 Tabung+k2 58,5 166,5 244 342,3 59,6 165,7 244,3 342,5 Tabung+k3 56,8 162,6 246,8 344,3 57,1 163,8 247,2 345,2 Tabung+k4 54,6 159,3 234,5 337,8 55,2 158,9 235,2 337,5 Tabung+k5 52,6 160,3 240,8 338,2 52,9 157,8 236,5 336,2 Keterangan Posisi Massa gula = 15 gr Volume air = 100 ml VII. PENGOLAHAN DATA 1) Menentukan konsentrasi larutan gula • 15,0 100 15 v m k air gula === ( ) mlgr /10).0010,05000,1(kk 0001,00 100 15 01,0 100 1 v v m m v 1 k 1 11 221 − ±=∆± =−+=∆−+∆=∆ • 1125,015,0 4 3 4 3 12 =×=×= kk ( ) mlgr /10).00019,012500,1(kk 00001875,0v 16v 12m m 16v v3 k 1 22 222 − ±=∆± =∆−+∆=∆ • 084375,01125,0 4 3 4 3 23 =×=×= kk ( ) mlgr /10).006,0438,8(kk 00005625,0v v 9m m 16v 9 k 2 33 23 − ±=∆± =∆−+∆=∆ • 06328125,0084375,0 4 3 4 3 34 =×=×= kk ( ) mlgr /10).004,0328,6(kk 00004219,0v 64v 27m m 64v 72 k 2 44 24 − ±=∆± =∆−+∆=∆ 2) Menentukan θki )2()1( )2( )2( )1( )1( )2()1( 11i 1 1 i 1 1 i i 11 i 2 1 2 1 k kk k 2 k RRRR RR RR RR RR RRRR ∆+∆=∆ ∆ ∂ ∂ +∆ ∂ ∂ =∆ + = θ θθ θ θ
  • 4.
    ( ) ...kkii =∆± θθ Keterangan θ ki ± ∆ θ ki (o ) Kosong (1,5145 ± 0,0010).102 Tabung kosong (1,5150 ± 0,0010).102 Tabung+air (1,5135 ± 0,0010).102 Tabung+k1 (1,7245 ± 0,0010).102 Tabung+k2 (1,6610 ± 0,0010).102 Tabung+k3 (1,6320 ± 0,0010).102 Tabung+k4 (1,5910 ± 0,0010).102 Tabung+k5 (1,5905 ± 0,0010).102 ( ) ... k 5 1 k 5 1 k 5 1 k 5 1 k 5 1 5 54321 =∆± ∆+∆+∆+∆+∆=∆ = ∑ kk k k k i θθ θθθθθθ θ θ θ ki ± ∆ θ ki (o ) RR1 (1,6398 ± 0,0010).102 3) Mencari sudut putaran (α) 0 0 0 0 11 θθkα θ θ α θk θk α α - θθkα ii i i i i i ii ∆−+∆=∆ ∆ ∂ ∂ +∆ ∂ ∂ =∆ = ( ) ...=∆± ii αα Keterangan αi ± ∆αi (o ) Kosong (1,00 ± 2,00).10-1 Tabung kosong (1,50 ± 2,00).10-1 Tabung+air 0 Tabung+k1 (2,111 ± 0,020).10 Tabung+k2 (1,475 ± 0,020).10 Tabung+k3 (1,185 ± 0,020).10 Tabung+k4 (7,75 ± 0,20) Tabung+k5 (7,70 ± 0,20) 4) Menentukan daya putar spesifik (α0)
  • 5.
    ( ) () ( ) L .Lk k k .Lk L .Lk 1 L L k k .Lk 2 i i i2 i 2 i 0 0 i i 00 0 i 0 ∆−+∆−+∆=∆ ∆ ∂ ∂ +∆ ∂ ∂ +∆ ∂ ∂ =∆ = − −−− − − ii ii i i i i i i αα αα α α α α α α ( ) ...00 =∆± −− ii αα Keterangan αo-1 ± ∆αo-1 (o ) k1 (7,033 ± 0,023) k2 (6,56 ± 0,04) k3 (7,02 ± 0,07) k4 (6,12 ± 0,13) ( ) ... 4 1 4 1 4 1 4 1 4 00 403020100 0 0 =∆± +++=∆ = −−−− − αα α α αααα α i αo-1 ± ∆αo-1 (o ) RR1 (6,68 ± 0,07) 5) Menentukan k5 L L L 5 0 0 5 5 5 5 5 0 5 5 ∆ ∂ ∂ +∆ ∂ ∂ +∆ ∂ ∂ =∆ × = kkk k k α α α α α α ( ) ( ) ( ) ... L LL L L 1 55 2 0 0 0 2 0 5 0 5 =∆± ∆ × −+∆ × −+∆ × =∆ kk k α α α α α α k5 ± ∆k5 (gr/ml) RR1 (5,76 ± 0,16).10-2
  • 8.
    VIII. TUGAS AKHIRDAN PERTANYAAN 1. Tunjukkan dengan data percobaan, bahwa zat pelarut dan pipa pemutar tidak punya daya putar (hitung dulu α nya). Terdapat pada data pengamatan, nilai RR pada kosong, tabung kosong dan tabung isi air seharusnya mempunyai nilai yang sama atau tidak berbeda jauh. 2. Tentukan α laruta-larutan beserta ketelitiannya, α adalah sudut putar, bukan kedudukan. Keterangan αi ± ∆αi (o ) Kosong (1,00 ± 2,00).10-1 Tabung kosong (1,50 ± 2,00).10-1 Tabung+air 0 Tabung+k1 (2,111 ± 0,020).10 Tabung+k2 (1,475 ± 0,020).10 Tabung+k3 (1,185 ± 0,020).10 Tabung+k4 (7,75 ± 0,20) Tabung+k5 (7,70 ± 0,20) 3. Buat grafik antara α dan k. Terdapat dalam pengolahan data 4. Bagaimana bentuk grafik yang diharapkan dan bagaimana hasilnya. Hitunglah (αo) dari grafik tersebut. Grafik yang dihasilkan berbanding lurus, semakin besar konsentrasi larutan maka nilai α nya akan semakin besar. (αo) = 6,25o 5. Hitung (αo) dengan rumus untuk k1 dan k3. Bandingkan dengan hasil no 4. Apa satuan (αo). Keterangan αo-1 ± ∆αo-1 (o ) k1 (7,033 ± 0,023) k2 (6,56 ± 0,04) k3 (7,02 ± 0,07) k4 (6,12 ± 0,13) Nilai (αo) yang didapat dari grafik dan dari perhitungan tidak perbeda jauh. 6. Hitung harga rata-rata (αo) dari langkah 5. αo-1 ± ∆αo-1 (o ) RR1 (6,68 ± 0,07) 7. Dengan harga (αo) pada langkah 6, hitung k2 dan k4. mlgrk /11034,0 L0 2 2 = × = α α
  • 9.
    mlgrk /05798,0 L0 4 4 = × = α α 8.Bandingkan harga itu dengan harga hasil percobaan saudara. Beri pembahasan. Nilai k yang didapat tidak berbeda jauh dengan nilai k dari hasil percobaan.
  • 10.
    mlgrk /05798,0 L0 4 4 = × = α α 8.Bandingkan harga itu dengan harga hasil percobaan saudara. Beri pembahasan. Nilai k yang didapat tidak berbeda jauh dengan nilai k dari hasil percobaan.