WELCOME
1
2
HIDDEN HUNGER !!!!
3
NUTRIGENOMICS
The Genome–Food Interface
4
• INTRODUCTION
• HISTORY
• WHY NUTRIGENOMICS?
• NUTRIENT- GENE INTERACTIONS
• TOOLS AND DATABASES IN NUTRIGENOMICS
• NUTRIGENOMICS AND PLANT BREEDING
• BREEDING APPROACHES
• SUPPORTIVE EVIDENCES
• CONCLUSION
5
• The science studying the relationship between human genome, nutrition
and health- Nutritional genomics.
• It is on the basis of 5 principles:
1. Dietary chemicals act upon human genome
2. Diet can be a serious risk factor
3. Role of diet-regulated genes on chronic diseases
4. Individuals genetic background
5. Personalized nutrition 6
Farhud et al. (2010)
NUTRIEPIGENOMICS
Effect of genes on epigenetic changes
7
This new science seeks to understand the influence of dietary components on the
Genome, Transcriptome, Proteome, and Metabolome.
8
Sales et al. (2014)
HISTORICAL BACKGROUND OF NUTRIGENOMICS
• 400 BC- Hippocrates- “let food be thy medicine and medicine be thy food.”
• Around 1700AD, Lavoisier discovered how food was metabolized by the body,
generating water, carbon dioxide, and energy.
• 1902- A. E. Garrod- Inborn errors of metabolism
• 1962- Dr J. A. Roper from the University of Glasgow -“Genetic determination of
nutritional requirements” based on studies conducted in microbes.
• Human Genome Project - launched in 1990
• First map of Human Genome -26 June 2000
9
WHY NUTRIGENOMICS??!!
• Low medicinal efficacy of drug treatments.
• Only about three in 10 people benefit from a drug treatment
(Steven Zeisel of the University of North Carolina).
• Nutrigenomics give the medical and food industries the
information necessary to create personalized foods and
supplements based on our genes.
10
BIOMARKERS
• A biomarker is a measurable indicator of the severity or presence of some disease.
• Primarily concerned with the molecular signatures related to pathways of metabolism.
• Used for early diagnosis as well as to the design of personalised diets
• Features:(a) Linked to a pathological or disease condition;
(b) Easily measurable (e.g. by plasma or urine samples)
(c) Modifiable by nutrient intake.
• Examples: 1. Proline, betaine and its biotransformation products in urine samples - bio
markers of habitual citrus fruit consumption.
2. Dis-regulated insulin expression and elevated levels of blood glucose-
biomarkers for diabetes.
11
How Does Nutrients Interact With Genes?
•Effects on Genomic Stability
•Effects on Gene Expression
12
Effects of Nutrients on Genomic Stability
•“Genome health”- determined by a steady supply of specific nutrients
 Several micronutrients acts as cofactors, as a part of the structure of proteins
 Involved in DNA synthesis, repair and prevention of oxidative damage to
DNA
 Genome damage by moderate micronutrient deficiency is similar to chemical
carcinogens, UV radiation and ionising radiation.
• Eg: Chromosomal damage was seen in cultured human lymphocytes which
was caused by reduced folate concentration.
Source: Fenech, 2005
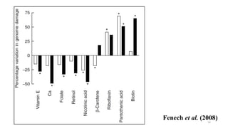
13
Fenech et al. (2008)
14
•Folate - Critical to genomic stability.
•Folate intake greater than 200 μg/day is required for
chromosomal stability (Fenech & Ferguson, 2001)
•Genome instability, in the absence of over exposure to
genotoxicants, is a sensitive marker of nutritional
deficiency.
•DNA damage is accelerated by oxidative stressors
such as polluted air, tobacco smoke, and a high-fat
diet.
15
Fig: Genome
instability due
to folate
deficiency
Bull & Fenech. (2008)
16
Fig:
Combined
effects of
oxidative
stress and
folate
deficiency on
genome
stability
Bull & Fenech. (2008)
17
Fig: Possible mechanisms by which folate deficiency or excess may influence telomere
structure and function
18
• Results:
Folate and vitamin B12 may delay aging by preventing the reduction in
relative telomere length (rTL) length and mitochondrial copy number (mtCN).
19
NUTRIENTS ALTERATIONS DEFICIENT DIET-DISEASE
POTENTIAL
Folic acid (Vitamin B9) Chromosome break and hampers
DNA repair/methylation
Cancer, heart disease, brain
dysfunction, male fertility,
leukemia
Cobalamin (Vitamin B12)
Pyridoxine (Vitamin B6)
Chromosome break and hampers
DNA repair/methylation
Same as folic acid, memory
loss
Niacin (Vitamin B3) Hampers DNA repair Nerve problem, memory loss
Tocopherols (Vitamin E) Mimics radiation damage Colon cancer, heart disease,
immune dysfunction
Calciferol (Vitamin D) Prevent gene variation Colon, breast, prostatic cancer
Zinc Chromosome breaks Brain and immune dysfunction
Neeha and Kinth. (2013)
20
Effect of Nutrients on Gene Expression
1. Direct Interaction
2. Epigenetic Interaction
3. Genetic Variations
21
1.DIRECT INTERACTION
• Many of the micronutrients and bio-reactive chemicals in foods are directly
involved in metabolic reactions.
• Cofactors and Coenzymes in metabolism.
• Hormonal balances.
• Immune competence to detoxification processes and utilization of macronutrients
for fuel and growth.
• Eg: Riboflavin and Niacin in the electron transport chain.
22
Acting as ligands for transcription factors and thus directly alter gene
expression
23
Plant. (2015)
Eg: Vitamin A or retinoid derivatives of vitamin A interact with retinoic acid
receptor proteins, and these complexes activate or repress transcription when
they bind to motifs (eg:retinoic acid response elements) in gene promoter regions
24
2. EPIGENETIC INTERACTIONS
• Epigenetics can be defined as “inheritable and reversible processes that regulate
gene expression without concomitant changes in the DNA coding sequence”
25
NUTRI-EPIGENETIC INTERACTION (DNA Methylation)
26
Fig: representation of the extent and type of epigenetic
modifications that promote cancer risk
Bishop et al. (2015)
27
Fig:
Interactions
between
dietary intakes
and epigenetic
modifications
involved
in disease risk
Ramos et al. (2017)
28
Food
Component
Source Epigenetic or Cellular Effect Anti-cancer Effect
Polyphenols:
Genistein
Soybeans Suppress expression of the androgen receptor (ER-β);
inhibition of DMNT (DNA methyltransferase)
Decreased risk of prostate
cancer (PCa) and breast cancer
Polyphenols:
Resveratrol
Grapes,
peanuts
DNMT 3b inhibitor; decrease in RASSF-1α methylation
with increasing circulating resveratrol; Suppress
expression of the androgen receptor
Decreased risk of PCa and breast
cancer
Isothiocyanates Cruciferous
vegetables
Interaction with xenobiotic compounds, smoking Anti-cancer effect: induced
apoptosis and suppressed
metastatic potential in lung
cells.
Zinc Seafood,
beef, lamb
May induce protein kinase B and thus inhibit PTEN
activity or inhibit alternative cancer associated
inflammatory pathways.
Inhibition of cell proliferation in
human prostatic carcinoma cell
lines (deficiency may contribute
to prostate and oesophageal
carcinomer risk ).
Bishop et al. (2015) 29
3. GENETIC VARIATIONS
• Humans are 99.8% genetically similar.
• SNP are the most common type of variation.
• Specific genetic polymorphisms in human populations change their metabolic response
to diet and influence the risk patterns of disease.
• Some SNPs change the recipe for the gene so that either a different quantity of the
protein is produced or the structure of the protein molecule is altered.
One of the most familiar facts in medical practice is that no two persons respond in
exactly the same manner to drugs.
-A J Clark
30
31
Folate
deficiency
Fig: Nutrigenetic
examples of
SNPs-diet
interactions
involved in
disease risk
Ramos et al. (2017)32
Tools and Databases used in Nutrigenomics
TOOL DESCRIPTION
BioConductor
Specific tool used for relative power and sample size analysis on
gene expression profiling data. The primary focus is on PPAR.
GRS
GRS is a new compression tool for storing and analyzing Genome
ReSequencing data. It can be used for analysis of rice genome in
researching.
SMM
SMM-system is the new tool for study on an important food borne
pathogen, Salmonella enterica.
BOOLY
Booly is a new tool for data integration. It is being used by Food
and Drug Administration (FDA) in nutrition, food and drug aspect.
33
DATABASE DESCRIPTION
Nutritional
Phenotype
database
(dbNP)
Newly developed database by Nutrigenomics Organisation (NuGO)
aiming at storage of biologically relevant, pre-processed-omics data. It
becomes the referencing database at present.
GxE
GxE is a database for gene-environment interaction. Specific interactions
relevant to nutrition, blood lipids, cardiovascular disease and type 2
diabetes are covered by this database.
vProtein
vProtein is the database for identifying optimal amino acid complements
from plant-based foods. It is developed with an aim to determine the
required quantity of each food.
BarleyBase
BarleyBase is a specific database for plant microarrays with integrated
tools for data visualization and statistical analysis. It also covers the
microarrays data from study on food plants including wheat, maize,
soybean and rice. This database is important for not only nutrigenomics
but also plant genomics
SOURCE: Wiwanitki, 2012
34
Lactose intolerance
• Lactose intolerance is an impaired ability to
digest lactose.
• They may experience abdominal pain,
bloating, nausea, and diarrhea.
• Mutations in the LCT gene.
• LCT gene expression is controlled by a
nearby gene called MCM6.
• It is a recessive disorder.
35
Gluten intolerance/Non-celiac gluten sensitivity
(NCGS)
• Gluten is a protein in cereals such as wheat, barley, and rye.
• occur within hours to days after ingestion
• Do not develop antiodies
• Abdominal pain, bloating, diarrhea, nausea and constipation.
• There's no accepted medical test for gluten sensitivity.
• It doesn't damage the intestine.
• disappear when gluten eliminated
36
GENES DISORDER DIET
ADIPOQ, FTO, MC4R,
INSIG2
Obesity
PTPN22 Type 1 diabetes High Amylose Rice,
CNDP1
COL4A3- SNP
rs55703767 (missense )
Diabetic kidney disease (T2DM) Black rice, Telanagana sona- RNR 15048
(golden rice)
APOE, PAI-1, ACE,
MTHFR, CYP2C19*2
polymorphism
Cardiovascular disease Plant-based foods and items that are low in
saturated fat
ABO and SH2B3
pleiotropic effect,
MEF2A
Coronary heart disease A low-fat, high-fibre diet, high unsaturated
fatty acids like olive oil, soy oil
HLA DQ gene Celiac disease Low-gluten wheat
TLR1 gene susceptible
to Helicobacter pylori
Gastritis Low fat and fibre food
Probiotics could help in the treatment. 37
NUTRIGENOMICS AND PLANT BREEDING
• Disproportionate imbalance between the agricultural lands needed for food
production, and the steady rise in urban
• Globesity, Diabetes Mellitus, Cancer, Protein-Energy Malnutrition, Hidden hunger
etc.
• The cardinals of human diets i.e., starch, protein and oil, micronutrients, are derived
primarily from vegetable sources
• Fourth generation of plant breeding is “Nutrition based breeding”.
38
BREEDING APPROACHES
1.Conventional breeding
• Selection of pre-existing, natural
mutants
• Crossing superior plant types
• Backcross breeding
• Mutational breeding
39
2. Transgenic approach
•Produced by the transfer of genes or
gene elements of known function and
their integration into random locations
along the chromosome of the recipient
plant (host plant).
• The donor species of the transgene
may or may not be able to cross with
the host plant.
40
• Rice modified with daffodil gene to have more beta carotene,
which is a precursor of vitamin A.
• Ingo Potrykus and Peter Beyer
• In 2005 Golden Rice 2 - phytoene synthase gene from maize.
• Golden rice 2 produces 23 times more carotenoids than golden
rice and preferentially accumulates beta-carotene (up to 31 µg/g
of the 37 µg/g of carotenoids)
Golden rice
41
3. Marker Assisted Selection
• Allows precise selection of the target gene.
• It is the most effective way of transferring specific genes to an agronomically
superior cultivar.
• Marker-assisted backcross breeding (MABB) - success over a decade
• Shortens the breeding cycle.
• High lysine in maize: First successful demonstration of marker-assisted selection.
• QPM hybrids in maize, High provitamin-A in maize hybrids like Vivek QPM
hybrid-9
42
HIGH OLEIC SOYBEAN
• Soybean oil is the leading edible oil globally
• Diets rich in oleic acids are associated with lower fat
mass and decreased blood pressure.
• 75-80% oleic acid,
• 8% linoleic acid,
• 2% alpha-linolenic acid, and 12% saturated fats.
• The FDA authorized the use of a qualified health claim for oils high in oleic
acid, including high oleic soybean oil, and their relationship to a reduced risk
of coronary heart disease when replacing oils higher in saturated fats.
43
• Objective
Combining HOLL lines with the increased α- tocopherol trait through
molecular-assisted breeding.
44
• Using SNPViz screening of the soybean accessions for the presence of the
over-expression allele of γ-ΤΜΤ3 gene.
• The four accessions with the OE γ-ΤΜΤ3 promoter SNP had higher α-
tocopherol to total tocopherol ratio than the wild-type (WT) γ-ΤΜΤ3.
• A Simple Probe molecular marker assay for the OE γ-ΤΜΤ3 alleles.
45
Melting curve analysis
• WT γ-ΤΜΤ3 alleles produced peaks at 62.5 °C (blue)
• OE γ-ΤΜΤ3 alleles produced peaks at 58.5 °C (purple)
• Heterozygous samples produced both peaks
46
• Molecular marker based breeding scheme to combine the HOLL
seed oil trait with the elevated vitamin E trait
47
Results of HPLC
48
Conclusion
• Demonstrated that the soybean elevated vitamin E trait
conditioned by the OE ɣ-TMT3 alleles can be
successfully combined with the four fatty acid
desaturase alleles responsible for the HOLL seed oil
trait in soybean.
• Achieve a healthier, more oxidatively stable and
nutritionally enhanced non-GMO soybean.
49
4.Genome Editing (GenEd technology)
•Addition or deletion of one or few bp. The most
frequent result is a small deletion, which creates a
frame-shift mutation.
• The change of a few bp at such a site would constitute
GenEd.
•Targeted mutations can be induced
•Controlled and faster approach of gene silencing or
enhancement of gene expression.
•ZFNs, TALENS, CRISPR/Cas9 system.
50
• Wolf et al. (2018)
• Gluten-Free Diet and decreased quality of life
• potential negative consequences of hypervigilance to a strict gluten-free
diet.
• Increased anxiety, fatigue.
• However avoiding gluten consumption is difficult
• Gluten-free products, made without wheat, barley or rye- less healthy
• Two broad approaches:
1. Food processing strategies
2. Wheat breeding strategies
51
Objective:
• Production of low-gluten transgene free wheat lines and serve as
source material to introgress this trait into elite wheat varieties.
52
Materials
• pANIC-6E vector
• Two bread wheat lines, denoted BW208 and THA53
• one durum wheat line, cv Don Pedro (DP)
53
The CRISPR/Cas9
constructs were
transformed into
BW028, TAH53
and DP
Twenty-one T0
transgenic lines.
Illumina
sequencing of
alpha-gliadins was
done in 18 T1
transgenic lines.
Line T545 from
plant 10 had the
highest mutation
frequency : ~75%
of the sequence
reads had indels.
Mass
spectrometry
(MALDI-TOF)
confirmed the
sharp reduction of
a-gliadins,
sgAlpha-2 lines
showing a greater
reduction in the
number of visible
peaks.
54
Gliadin and glutenin fractions were determined by RP-HPLC and
expressed as µg/mg flour. 55
To test
whether the
low-gluten
wheat lines
generated
were
transgene-
and
insertion-
free
56
• Immune
reactivity analysis
of T2 seeds of the
sgAlpha-1 and
sgAlpha-2 mutant
lines with the
monoclonal
antibodies (mAb)
R5 and G12.
• Sodium dodecyl
sulphate (SDS)
sedimentation
test expressed as
mLg-1.
57
Conclusion:
• CRISPR/Cas9 efficiently and precisely targeted conserved regions of the a-gliadin genes in
both bread and durum wheat, leading to high-frequency mutagenesis.
• Immuno reactivity of the CRISPR-edited wheat lines was reduced by 85%, as revealed by
the R5 and G12 ELISA tests.
58
High-Amylose Rice
• Amylose is a long, straight starch molecule that does not gelatinize during
cooking.
• Long grain rice like basmathi typically has high amounts of amylose
(about 22)
• Diabetes is a lifestyle disease
• Low glycemic index (GI) foods inhibit the rapid increase in blood glucose
or insulin secretion after a meal.
• Consumption of RS could lead to a decreased glycemic index (GI) which
decrease the incidence and mitigate the severity of type II diabetes.
59
Drastic increase of
blood glucose after
meal was inhibited
significantly in the
case of high-amylose
rice.
Ohtsubo et al. (2016)60
Generation of High-Amylose Rice through CRISPR/Cas9-
Mediated Targeted Mutagenesis of Starch Branching Enzymes
Objective:
• Using CRISPR/Cas9 technology to generate targeted mutagenesis in
SBEI and SBEIIb in rice.
61
Materials
• japonica cv. Kitaake
• pCXUN-Cas9 vector
• Backbone of pCXUN-Cas9 - hygromycin resistant gene (hptII)
• The PmeI in pCXUN-Cas9 were used for introducing the gRNAs
expression cassettes.
• Transformation: Agrobacterium tumefaciens strain EHA105
62
gRNA target sites on the genomic regions of SBEI and SBEIIb
T-DNA structure in CRISPR/Cas9-mediated genome editing construct
63
Fig: CRISPR/Cas9-mediated target mutations in SBEI and SBEIIb in rice.
64
Fig: Detection of mutations in SBEI and SBEIIb via PCR/RE assay in T0 generation.
Isolation
of
transgene-
free T1
plants
• sbeI-c31
lines
• sbeIIb-c1
lines
65
• Resistant starch
contents of polished
grains from different
sbeI and sbeIIb mutant
mutant lines.
• Amylose contents
• Ratios of
amylose/amylopectin of
the starch 66
Conclusion
•Generation of high amylose rice by CRISPR/Cas9-mediated
targeted mutagenesis in SBEIIb.
• Transgene-free homozygous sbeIIb mutants with a
significantly increased AC and RS contents
67
Black rice
• Rice modified by transfer of soybean ferritin gene to
increase iron bio availability.
• Black colour – anthocyanin, known as purple rice
• It is heirloom rice, means it is open pollinated.
68
Sugars, Salts
and Fats
Fibers, anthocyanin,
antioxidants, vitamins
B1, B3 and E, Fe, Mg
and P.
long life rice
Black rice is
called as
“Super food”
because of its
nutritive value.
Purple Tomato
69
70
71
72

Nutrigenomics: The Genome food interface

  • 1.
  • 2.
  • 3.
  • 4.
  • 5.
    • INTRODUCTION • HISTORY •WHY NUTRIGENOMICS? • NUTRIENT- GENE INTERACTIONS • TOOLS AND DATABASES IN NUTRIGENOMICS • NUTRIGENOMICS AND PLANT BREEDING • BREEDING APPROACHES • SUPPORTIVE EVIDENCES • CONCLUSION 5
  • 6.
    • The sciencestudying the relationship between human genome, nutrition and health- Nutritional genomics. • It is on the basis of 5 principles: 1. Dietary chemicals act upon human genome 2. Diet can be a serious risk factor 3. Role of diet-regulated genes on chronic diseases 4. Individuals genetic background 5. Personalized nutrition 6 Farhud et al. (2010)
  • 7.
    NUTRIEPIGENOMICS Effect of geneson epigenetic changes 7
  • 8.
    This new scienceseeks to understand the influence of dietary components on the Genome, Transcriptome, Proteome, and Metabolome. 8 Sales et al. (2014)
  • 9.
    HISTORICAL BACKGROUND OFNUTRIGENOMICS • 400 BC- Hippocrates- “let food be thy medicine and medicine be thy food.” • Around 1700AD, Lavoisier discovered how food was metabolized by the body, generating water, carbon dioxide, and energy. • 1902- A. E. Garrod- Inborn errors of metabolism • 1962- Dr J. A. Roper from the University of Glasgow -“Genetic determination of nutritional requirements” based on studies conducted in microbes. • Human Genome Project - launched in 1990 • First map of Human Genome -26 June 2000 9
  • 10.
    WHY NUTRIGENOMICS??!! • Lowmedicinal efficacy of drug treatments. • Only about three in 10 people benefit from a drug treatment (Steven Zeisel of the University of North Carolina). • Nutrigenomics give the medical and food industries the information necessary to create personalized foods and supplements based on our genes. 10
  • 11.
    BIOMARKERS • A biomarkeris a measurable indicator of the severity or presence of some disease. • Primarily concerned with the molecular signatures related to pathways of metabolism. • Used for early diagnosis as well as to the design of personalised diets • Features:(a) Linked to a pathological or disease condition; (b) Easily measurable (e.g. by plasma or urine samples) (c) Modifiable by nutrient intake. • Examples: 1. Proline, betaine and its biotransformation products in urine samples - bio markers of habitual citrus fruit consumption. 2. Dis-regulated insulin expression and elevated levels of blood glucose- biomarkers for diabetes. 11
  • 12.
    How Does NutrientsInteract With Genes? •Effects on Genomic Stability •Effects on Gene Expression 12
  • 13.
    Effects of Nutrientson Genomic Stability •“Genome health”- determined by a steady supply of specific nutrients  Several micronutrients acts as cofactors, as a part of the structure of proteins  Involved in DNA synthesis, repair and prevention of oxidative damage to DNA  Genome damage by moderate micronutrient deficiency is similar to chemical carcinogens, UV radiation and ionising radiation. • Eg: Chromosomal damage was seen in cultured human lymphocytes which was caused by reduced folate concentration. Source: Fenech, 2005 13
  • 14.
    Fenech et al.(2008) 14
  • 15.
    •Folate - Criticalto genomic stability. •Folate intake greater than 200 μg/day is required for chromosomal stability (Fenech & Ferguson, 2001) •Genome instability, in the absence of over exposure to genotoxicants, is a sensitive marker of nutritional deficiency. •DNA damage is accelerated by oxidative stressors such as polluted air, tobacco smoke, and a high-fat diet. 15
  • 16.
    Fig: Genome instability due tofolate deficiency Bull & Fenech. (2008) 16
  • 17.
    Fig: Combined effects of oxidative stress and folate deficiencyon genome stability Bull & Fenech. (2008) 17
  • 18.
    Fig: Possible mechanismsby which folate deficiency or excess may influence telomere structure and function 18
  • 19.
    • Results: Folate andvitamin B12 may delay aging by preventing the reduction in relative telomere length (rTL) length and mitochondrial copy number (mtCN). 19
  • 20.
    NUTRIENTS ALTERATIONS DEFICIENTDIET-DISEASE POTENTIAL Folic acid (Vitamin B9) Chromosome break and hampers DNA repair/methylation Cancer, heart disease, brain dysfunction, male fertility, leukemia Cobalamin (Vitamin B12) Pyridoxine (Vitamin B6) Chromosome break and hampers DNA repair/methylation Same as folic acid, memory loss Niacin (Vitamin B3) Hampers DNA repair Nerve problem, memory loss Tocopherols (Vitamin E) Mimics radiation damage Colon cancer, heart disease, immune dysfunction Calciferol (Vitamin D) Prevent gene variation Colon, breast, prostatic cancer Zinc Chromosome breaks Brain and immune dysfunction Neeha and Kinth. (2013) 20
  • 21.
    Effect of Nutrientson Gene Expression 1. Direct Interaction 2. Epigenetic Interaction 3. Genetic Variations 21
  • 22.
    1.DIRECT INTERACTION • Manyof the micronutrients and bio-reactive chemicals in foods are directly involved in metabolic reactions. • Cofactors and Coenzymes in metabolism. • Hormonal balances. • Immune competence to detoxification processes and utilization of macronutrients for fuel and growth. • Eg: Riboflavin and Niacin in the electron transport chain. 22
  • 23.
    Acting as ligandsfor transcription factors and thus directly alter gene expression 23 Plant. (2015)
  • 24.
    Eg: Vitamin Aor retinoid derivatives of vitamin A interact with retinoic acid receptor proteins, and these complexes activate or repress transcription when they bind to motifs (eg:retinoic acid response elements) in gene promoter regions 24
  • 25.
    2. EPIGENETIC INTERACTIONS •Epigenetics can be defined as “inheritable and reversible processes that regulate gene expression without concomitant changes in the DNA coding sequence” 25
  • 26.
  • 27.
    Fig: representation ofthe extent and type of epigenetic modifications that promote cancer risk Bishop et al. (2015) 27
  • 28.
  • 29.
    Food Component Source Epigenetic orCellular Effect Anti-cancer Effect Polyphenols: Genistein Soybeans Suppress expression of the androgen receptor (ER-β); inhibition of DMNT (DNA methyltransferase) Decreased risk of prostate cancer (PCa) and breast cancer Polyphenols: Resveratrol Grapes, peanuts DNMT 3b inhibitor; decrease in RASSF-1α methylation with increasing circulating resveratrol; Suppress expression of the androgen receptor Decreased risk of PCa and breast cancer Isothiocyanates Cruciferous vegetables Interaction with xenobiotic compounds, smoking Anti-cancer effect: induced apoptosis and suppressed metastatic potential in lung cells. Zinc Seafood, beef, lamb May induce protein kinase B and thus inhibit PTEN activity or inhibit alternative cancer associated inflammatory pathways. Inhibition of cell proliferation in human prostatic carcinoma cell lines (deficiency may contribute to prostate and oesophageal carcinomer risk ). Bishop et al. (2015) 29
  • 30.
    3. GENETIC VARIATIONS •Humans are 99.8% genetically similar. • SNP are the most common type of variation. • Specific genetic polymorphisms in human populations change their metabolic response to diet and influence the risk patterns of disease. • Some SNPs change the recipe for the gene so that either a different quantity of the protein is produced or the structure of the protein molecule is altered. One of the most familiar facts in medical practice is that no two persons respond in exactly the same manner to drugs. -A J Clark 30
  • 31.
  • 32.
  • 33.
    Tools and Databasesused in Nutrigenomics TOOL DESCRIPTION BioConductor Specific tool used for relative power and sample size analysis on gene expression profiling data. The primary focus is on PPAR. GRS GRS is a new compression tool for storing and analyzing Genome ReSequencing data. It can be used for analysis of rice genome in researching. SMM SMM-system is the new tool for study on an important food borne pathogen, Salmonella enterica. BOOLY Booly is a new tool for data integration. It is being used by Food and Drug Administration (FDA) in nutrition, food and drug aspect. 33
  • 34.
    DATABASE DESCRIPTION Nutritional Phenotype database (dbNP) Newly developeddatabase by Nutrigenomics Organisation (NuGO) aiming at storage of biologically relevant, pre-processed-omics data. It becomes the referencing database at present. GxE GxE is a database for gene-environment interaction. Specific interactions relevant to nutrition, blood lipids, cardiovascular disease and type 2 diabetes are covered by this database. vProtein vProtein is the database for identifying optimal amino acid complements from plant-based foods. It is developed with an aim to determine the required quantity of each food. BarleyBase BarleyBase is a specific database for plant microarrays with integrated tools for data visualization and statistical analysis. It also covers the microarrays data from study on food plants including wheat, maize, soybean and rice. This database is important for not only nutrigenomics but also plant genomics SOURCE: Wiwanitki, 2012 34
  • 35.
    Lactose intolerance • Lactoseintolerance is an impaired ability to digest lactose. • They may experience abdominal pain, bloating, nausea, and diarrhea. • Mutations in the LCT gene. • LCT gene expression is controlled by a nearby gene called MCM6. • It is a recessive disorder. 35
  • 36.
    Gluten intolerance/Non-celiac glutensensitivity (NCGS) • Gluten is a protein in cereals such as wheat, barley, and rye. • occur within hours to days after ingestion • Do not develop antiodies • Abdominal pain, bloating, diarrhea, nausea and constipation. • There's no accepted medical test for gluten sensitivity. • It doesn't damage the intestine. • disappear when gluten eliminated 36
  • 37.
    GENES DISORDER DIET ADIPOQ,FTO, MC4R, INSIG2 Obesity PTPN22 Type 1 diabetes High Amylose Rice, CNDP1 COL4A3- SNP rs55703767 (missense ) Diabetic kidney disease (T2DM) Black rice, Telanagana sona- RNR 15048 (golden rice) APOE, PAI-1, ACE, MTHFR, CYP2C19*2 polymorphism Cardiovascular disease Plant-based foods and items that are low in saturated fat ABO and SH2B3 pleiotropic effect, MEF2A Coronary heart disease A low-fat, high-fibre diet, high unsaturated fatty acids like olive oil, soy oil HLA DQ gene Celiac disease Low-gluten wheat TLR1 gene susceptible to Helicobacter pylori Gastritis Low fat and fibre food Probiotics could help in the treatment. 37
  • 38.
    NUTRIGENOMICS AND PLANTBREEDING • Disproportionate imbalance between the agricultural lands needed for food production, and the steady rise in urban • Globesity, Diabetes Mellitus, Cancer, Protein-Energy Malnutrition, Hidden hunger etc. • The cardinals of human diets i.e., starch, protein and oil, micronutrients, are derived primarily from vegetable sources • Fourth generation of plant breeding is “Nutrition based breeding”. 38
  • 39.
    BREEDING APPROACHES 1.Conventional breeding •Selection of pre-existing, natural mutants • Crossing superior plant types • Backcross breeding • Mutational breeding 39
  • 40.
    2. Transgenic approach •Producedby the transfer of genes or gene elements of known function and their integration into random locations along the chromosome of the recipient plant (host plant). • The donor species of the transgene may or may not be able to cross with the host plant. 40
  • 41.
    • Rice modifiedwith daffodil gene to have more beta carotene, which is a precursor of vitamin A. • Ingo Potrykus and Peter Beyer • In 2005 Golden Rice 2 - phytoene synthase gene from maize. • Golden rice 2 produces 23 times more carotenoids than golden rice and preferentially accumulates beta-carotene (up to 31 µg/g of the 37 µg/g of carotenoids) Golden rice 41
  • 42.
    3. Marker AssistedSelection • Allows precise selection of the target gene. • It is the most effective way of transferring specific genes to an agronomically superior cultivar. • Marker-assisted backcross breeding (MABB) - success over a decade • Shortens the breeding cycle. • High lysine in maize: First successful demonstration of marker-assisted selection. • QPM hybrids in maize, High provitamin-A in maize hybrids like Vivek QPM hybrid-9 42
  • 43.
    HIGH OLEIC SOYBEAN •Soybean oil is the leading edible oil globally • Diets rich in oleic acids are associated with lower fat mass and decreased blood pressure. • 75-80% oleic acid, • 8% linoleic acid, • 2% alpha-linolenic acid, and 12% saturated fats. • The FDA authorized the use of a qualified health claim for oils high in oleic acid, including high oleic soybean oil, and their relationship to a reduced risk of coronary heart disease when replacing oils higher in saturated fats. 43
  • 44.
    • Objective Combining HOLLlines with the increased α- tocopherol trait through molecular-assisted breeding. 44
  • 45.
    • Using SNPVizscreening of the soybean accessions for the presence of the over-expression allele of γ-ΤΜΤ3 gene. • The four accessions with the OE γ-ΤΜΤ3 promoter SNP had higher α- tocopherol to total tocopherol ratio than the wild-type (WT) γ-ΤΜΤ3. • A Simple Probe molecular marker assay for the OE γ-ΤΜΤ3 alleles. 45
  • 46.
    Melting curve analysis •WT γ-ΤΜΤ3 alleles produced peaks at 62.5 °C (blue) • OE γ-ΤΜΤ3 alleles produced peaks at 58.5 °C (purple) • Heterozygous samples produced both peaks 46
  • 47.
    • Molecular markerbased breeding scheme to combine the HOLL seed oil trait with the elevated vitamin E trait 47
  • 48.
  • 49.
    Conclusion • Demonstrated thatthe soybean elevated vitamin E trait conditioned by the OE ɣ-TMT3 alleles can be successfully combined with the four fatty acid desaturase alleles responsible for the HOLL seed oil trait in soybean. • Achieve a healthier, more oxidatively stable and nutritionally enhanced non-GMO soybean. 49
  • 50.
    4.Genome Editing (GenEdtechnology) •Addition or deletion of one or few bp. The most frequent result is a small deletion, which creates a frame-shift mutation. • The change of a few bp at such a site would constitute GenEd. •Targeted mutations can be induced •Controlled and faster approach of gene silencing or enhancement of gene expression. •ZFNs, TALENS, CRISPR/Cas9 system. 50
  • 51.
    • Wolf etal. (2018) • Gluten-Free Diet and decreased quality of life • potential negative consequences of hypervigilance to a strict gluten-free diet. • Increased anxiety, fatigue. • However avoiding gluten consumption is difficult • Gluten-free products, made without wheat, barley or rye- less healthy • Two broad approaches: 1. Food processing strategies 2. Wheat breeding strategies 51
  • 52.
    Objective: • Production oflow-gluten transgene free wheat lines and serve as source material to introgress this trait into elite wheat varieties. 52
  • 53.
    Materials • pANIC-6E vector •Two bread wheat lines, denoted BW208 and THA53 • one durum wheat line, cv Don Pedro (DP) 53
  • 54.
    The CRISPR/Cas9 constructs were transformedinto BW028, TAH53 and DP Twenty-one T0 transgenic lines. Illumina sequencing of alpha-gliadins was done in 18 T1 transgenic lines. Line T545 from plant 10 had the highest mutation frequency : ~75% of the sequence reads had indels. Mass spectrometry (MALDI-TOF) confirmed the sharp reduction of a-gliadins, sgAlpha-2 lines showing a greater reduction in the number of visible peaks. 54
  • 55.
    Gliadin and gluteninfractions were determined by RP-HPLC and expressed as µg/mg flour. 55
  • 56.
    To test whether the low-gluten wheatlines generated were transgene- and insertion- free 56
  • 57.
    • Immune reactivity analysis ofT2 seeds of the sgAlpha-1 and sgAlpha-2 mutant lines with the monoclonal antibodies (mAb) R5 and G12. • Sodium dodecyl sulphate (SDS) sedimentation test expressed as mLg-1. 57
  • 58.
    Conclusion: • CRISPR/Cas9 efficientlyand precisely targeted conserved regions of the a-gliadin genes in both bread and durum wheat, leading to high-frequency mutagenesis. • Immuno reactivity of the CRISPR-edited wheat lines was reduced by 85%, as revealed by the R5 and G12 ELISA tests. 58
  • 59.
    High-Amylose Rice • Amyloseis a long, straight starch molecule that does not gelatinize during cooking. • Long grain rice like basmathi typically has high amounts of amylose (about 22) • Diabetes is a lifestyle disease • Low glycemic index (GI) foods inhibit the rapid increase in blood glucose or insulin secretion after a meal. • Consumption of RS could lead to a decreased glycemic index (GI) which decrease the incidence and mitigate the severity of type II diabetes. 59
  • 60.
    Drastic increase of bloodglucose after meal was inhibited significantly in the case of high-amylose rice. Ohtsubo et al. (2016)60
  • 61.
    Generation of High-AmyloseRice through CRISPR/Cas9- Mediated Targeted Mutagenesis of Starch Branching Enzymes Objective: • Using CRISPR/Cas9 technology to generate targeted mutagenesis in SBEI and SBEIIb in rice. 61
  • 62.
    Materials • japonica cv.Kitaake • pCXUN-Cas9 vector • Backbone of pCXUN-Cas9 - hygromycin resistant gene (hptII) • The PmeI in pCXUN-Cas9 were used for introducing the gRNAs expression cassettes. • Transformation: Agrobacterium tumefaciens strain EHA105 62
  • 63.
    gRNA target siteson the genomic regions of SBEI and SBEIIb T-DNA structure in CRISPR/Cas9-mediated genome editing construct 63
  • 64.
    Fig: CRISPR/Cas9-mediated targetmutations in SBEI and SBEIIb in rice. 64 Fig: Detection of mutations in SBEI and SBEIIb via PCR/RE assay in T0 generation.
  • 65.
  • 66.
    • Resistant starch contentsof polished grains from different sbeI and sbeIIb mutant mutant lines. • Amylose contents • Ratios of amylose/amylopectin of the starch 66
  • 67.
    Conclusion •Generation of highamylose rice by CRISPR/Cas9-mediated targeted mutagenesis in SBEIIb. • Transgene-free homozygous sbeIIb mutants with a significantly increased AC and RS contents 67
  • 68.
    Black rice • Ricemodified by transfer of soybean ferritin gene to increase iron bio availability. • Black colour – anthocyanin, known as purple rice • It is heirloom rice, means it is open pollinated. 68 Sugars, Salts and Fats Fibers, anthocyanin, antioxidants, vitamins B1, B3 and E, Fe, Mg and P. long life rice Black rice is called as “Super food” because of its nutritive value.
  • 69.
  • 70.
  • 71.
  • 72.

Editor's Notes

  • #37 Blood tests: If results show that certain antibodies are present, the person may have celiac disease. A biopsy: This involves taking a tissue sample from the lining of the intestine. If results show damage to the lining, the person may have celiac disease.
  • #38 Protein tyrosine phosphatase, non-receptor type 22 (lymphoid), also known as PTPN22, is a protein that in humans is encoded by the PTPN22 gene
  • #46 underlined sequences - marker assay forward and reverse primers gray-highlighted region – Simple Probe sequence “A” base is the polymorphic site at position 44,341,365 that is a “G” base in OE γ-ΤΜΤ3 alleles.
  • #52 due to the presence of wheat and wheat derivatives in many food products. Gluten-free products, made without wheat, barley or rye, typically require the inclusion of numerous additives, resulting in products that are often less healthy than gluten-based equivalents.
  • #69 Enhance the longivity of life, hence it is also known as long life rice.