NON-CONVENTIONAL
METHODS OF
MACHINING AND
FORMING
Prof. P. Laxminarayana
Dept. of Mechanical Engineering
University College of Engineering (A)
Osmania University, Hyderabad – 500 007, TS
7/30/2015 1
Prof.P.Laxminarayana, Osmania University,
Hyderabad - 500 007, TS
Machines and MachiningMachines and Machining
7/30/2015
Prof.P.Laxminarayana, Osmania University,
Hyderabad - 500 007, TS 2
• Machines are devices or tools that makes our work easy. From the very old times,
man has been using simple machines to make his task easy and speedy.
• Depending on the simplicity of performance of task and time consumed.
• Machines that are driven or operated with the help of human resource is termed
as conventional machines.
• Machining is any of various processes in which a piece of raw material is cut
into a desired final shape and size by a controlled material-removal process.
• Machining is a part of the Manufacture of many Metal products, but it can also
be used on materials such as Wood, Plastic, Ceramic and Composites.
Machining is the process of cutting of metal to form a preferred component.
Generally two broad classification of machining process are there, they are :
1.Conventional Machining Method
2.Non-Conventional Machining Method
Machining MethodsMachining Methods
7/30/2015
Prof.P.Laxminarayana, Osmania University,
Hyderabad - 500 007, TS 3
Conventional Machining Method
• Uses a sharp cutting tool to cut the metal.
• In conventional machining process physical contact was made between work
piece and took and the metal is removed in the form of chip. Turning, drilling,
grinding, broaching, are example of conventional machining process.
• For example to cut an aluminium bar, an iron fast rotating cutter may be used.
Nonconventional Machining Method
• As the name suggest, unconventional machining method involves the use of
modern and advanced technology for machine processing.
• There is no physical contact between the tool and the work piece in such
process.
• Tools used for cutting in unconventional methods are laser beams, electric beam,
electric arc, infrared beam, Plasma cutting and so on depending on the type of
working material.
• For example ultrasonic machining, abrasive jet machining, water jet machining
process etc.
Nonconventional machining process have many advantages over conventional
machining process as they are more precise, no wear of tool, no heat generation
etc.
7/30/2015
Prof.P.Laxminarayana, Osmania University,
Hyderabad - 500 007, TS 4
Conventional Machining Method
• Uses a sharp cutting tool to cut the metal.
• In conventional machining process physical contact was made between work piece and took and the metal is
removed in the form of chip. Turning, drilling, grinding, broaching, are example of conventional machining
process.
• For example to cut an aluminium bar, an iron fast rotating cutter may be used.
NonConventional Machining Method
• As the name suggest, unconventional machining method involves the use of modern and advanced technology
for machine processing.
• There is no physical contact between the tool and the work piece in such process.
• Tools used for cutting in unconventional methods are laser beams, electric beam, electric arc, infrared beam,
Plasma cutting and so on depending on the type of working material.
• For example ultrasonic machining, abrasive jet machining, water jet machining process etc.
Nonconventional machining process have many advantages over conventional machining process as they are more
precise, no wear of tool, no heat generation etc.
Difference between Conventional and non-conventionalDifference between Conventional and non-conventional
machining processes are :machining processes are :
7/30/2015
Prof.P.Laxminarayana, Osmania University,
Hyderabad - 500 007, TS 5
1.Conventional machining process involved tool wearing as there is a physical contact
between the tool and the work piece. In non-conventional process, this is not the case.
2.Non-conventional tools are more accurate and precise than the conventional tool.
3.No noise pollution is created as a result of non-conventional methods as these tools are
much quieter.
4.Tool life is long for non-conventional processing.
5.Non-conventional tools are very expensive than the conventional tools.
6.Non-conventional tools have complex setup and hence requires a skillful operation by expert
workers, whereas conventional tools do not require any special expert for its operation and are
quite simple in set-up.
7.Spare parts of conventional machines are easily available but not for non-conventional
machines.
7/30/2015
Prof.P.Laxminarayana, Osmania University,
Hyderabad - 500 007, TS 6
Non-conventional machining process which is defined as the process in which materials are
removed from the workpiece in most accurate and effective manner. This is also termed
as New Machining Process. There are different setup for this process. They are:
1. Abrasive jet machining process
2. Water jet machining process
3. Plasma arc machining process
4. Electron beam machining process
5. Electrical dielectric machining process
6. Chemical milling
7. Laser beam machining process
Conventional machining process involves removal of material in form of chips whereas
in newer machining, removal of material takes place in form of powders such as water
jet machining process or in form of vapour as in case of Please arc or laser beam
machining.
So it is best to use highly advanced process such as electron beam, plama arc or laser
beam machining to composite materials.
7/30/2015
Prof.P.Laxminarayana, Osmania University,
Hyderabad - 500 007, TS 7
7/30/2015
Prof.P.Laxminarayana, Osmania University,
Hyderabad - 500 007, TS 8
Non- Conventional Methods of MachiningNon- Conventional Methods of Machining
and Formingand Forming
Needs for Unconventional Machining Processes
The Industries always face problems in Manufacturing of
Components because of several reasons.
Complexity of Job profile
Due to Surface requirements with higher accuracy and
Surface finish
Due to the Strength of Materials
7/30/2015 9
7/30/2015
Prof.P.Laxminarayana, Osmania University,
Hyderabad - 500 007, TS 10
INTRODUCTION
•We all know that the term machinability refers to the case with
which a metal can be machined to an acceptable surface finish.
•Nontraditional machining processes are widely used to
manufacture geometrically complex and precision parts for
aerospace, electronics and automotive industries.
•In ordinary machining we use harder tool to work on work piece,
this limitations is overcome by unconventional machining,
unconventional machining is directly using some sort of indirect
energy For machining. Ex: sparks, laser, heat, chemical etc. applied
in EDM, laser cutting machines etc.
•Non conventional Machining is a recent development in
machining techniques.
7/30/2015
Prof.P.Laxminarayana, Osmania University,
Hyderabad - 500 007, TS 11
The requirements that lead to the development of nontraditional machining.
• Very high hardness and strength of the material.
• The work piece: too flexible or slender to support the cutting or grinding forces.
• The shape of the part is complex, such as internal and external profiles, or small
diameter holes.
• Surface finish or tolerance better than those obtainable conventional process.
• Temperature rise or residual stress in the work piece are undesirable.
• Conventional machining involves the direct contact of tool and work -piece, whereas
unconventional machining does not require the direct contact of tool and work piece.
Conventional machining has many disadvantages like tool wear which are not present
in Non-conventional machining.
• Advantages of Non-conventional machining:
1. High accuracy and surface finish
2. Less/no wear
3. Tool life is more
4. Quieter operation
• Disadvantages of non-conventional machining:
1. High cost
2. Complex set-up
3. Skilled operator required
7/30/2015
Prof.P.Laxminarayana, Osmania University,
Hyderabad - 500 007, TS 12
MACHINING CHARACTERISTICS The machining characteristics of different non- conventional processes can be
analysed withrespect to :
•Metal removal rate
•Tolerance maintained
•Surface finish obtained
•Depth of surface damage
•Power required for machining
Unconventional machining processes:
•Chemical machining(CM)
•Electrochemical machining(ECM)
•Electrochemical Grinding (ECG)
•Electrical Discharge Machining (EDM)
•Wire EDM
•Laser Beam Machining (LBM)
•Electron Beam Machining(EBM)
•Water Jet Machining (WJT)
•Abrasive Jet Machining (AJM)
•Ultrasonic Machining (USM)
CLASSIFICATION OF UNCONVENTIONAL MACHINING PROCESS
Mechanical processes
electro-thermal processes
Chemical/electrochemical processes
Unconventional machining process
Oldest nontraditional machining process.
Material is removed from a surface by chemical dissolution using chemical reagents or etchants like acids and alkaline
solutions. CHEMICAL MACHINING (CM)
7/30/2015
Prof.P.Laxminarayana, Osmania University,
Hyderabad - 500 007, TS 13
ULTRASONIC MACHINING (UM)
In UM the tip of the tool vibrates at low amplitude and at
high frequency. This vibration transmits a high velocity to
fine abrasive grains between tool and the surface of the work
piece.
•Material removed by erosion with abrasive particles.
•The abrasive grains are usually boron carbides.
•This technique is used to cut hard and brittle materials like
ceramics, carbides, glass, precious stones and hardened steel.
7/30/2015
Prof.P.Laxminarayana, Osmania University,
Hyderabad - 500 007, TS 14
Abrasive Jet Machining (AJM)
•In AJM a high velocity jet of dry air, nitrogen or CO2
containing abrasive particles is aimed at the work piece.
•The impact of the particles produce sufficient force to cut
small hole or slots, deburring, trimming and removing
oxides and other surface films.
7/30/2015
Prof.P.Laxminarayana, Osmania University,
Hyderabad - 500 007, TS 15
WATER JET MACHINING (WJT)
•Water jet acts like a saw and cuts a narrow groove in the
material.
•Pressure level of the jet is about 400MPa.
•Advantages - no heat produced - cut can be started
anywhere without the need for predrilled holes - burr
produced is minimum - environmentally safe and friendly
manufacturing
•Application – used for cutting composites, plastics,
fabrics, rubber, wood products etc. Also used in food
processing industry.
7/30/2015
Prof.P.Laxminarayana, Osmania University,
Hyderabad - 500 007, TS 16
ELECTRICAL DISCHARGE MACHINING
Based on erosion of metals by spark discharges.
•EDM system consist of a tool (electrode) and work piece, connected to a dc
power supply and placed in a dielectric fluid.
•When potential difference between tool and work piece is high, a transient
spark discharges through the fluid, removing a small amount of metal from the
work piece surface.
•This process is repeated with capacitor discharge rates of 50-500 kHz.
Dielectric fluid: Mineral oils, kerosene, distilled and deionized water etc.
Role of the dielectric fluid:
•Acts as A insulator until the potential is sufficiently high.
•Acts as a flushing medium and carries away the debris.
•Also acts as a cooling medium.
Electrodes: Usually made of graphite, Cu
EDM can be used for die cavities, small diameter deep holes, turbine blades and
various intricate shapes
7/30/2015
Prof.P.Laxminarayana, Osmania University,
Hyderabad - 500 007, TS 17
Wire EDM
•This process is similar to contour cutting with a band saw.
•A slow moving wire travels along a prescribed path, cutting
the work piece with discharge sparks.
•Wire should have sufficient tensile strength and fracture
toughness.
•Wire is made of brass, copper or tungsten. (About 0.25mm
in diameter).
7/30/2015
Prof.P.Laxminarayana, Osmania University,
Hyderabad - 500 007, TS 18
ELECTROCHEMICAL MACHINING (ECM):
•Reverse of electroplating
•An electrolyte acts as a current carrier and high electrolyte movement in the tool-work-
piece gap washes metal ions away from the work piece (anode) before they have a chance
to plate on to the tool (cathode).
Tool – Generally made of bronze, copper, brass or stainless steel.
Electrolyte – Salt solutions like sodium chloride or sodium nitrate mixed in water.
Power – DC supply of 5-25 V.
ADVANTAGES OF ECM:
•Process leaves a burr free surface.
•Does not cause any thermal damage to the parts.
•Lack of tool force prevents distortion of parts.
•Capable of machining complex parts and hard materials
•ECM systems are now available as Numerically Controlled machining centers with
capability for high production, high flexibility and high tolerances.
7/30/2015
Prof.P.Laxminarayana, Osmania University,
Hyderabad - 500 007, TS 19
LASER BEAM MACHINING (LBM)
•In LBM laser is focused and the work piece which melts
and evaporates portions of the work piece.
•Low reflectivity and thermal conductivity of the work
piece surface, and low specific heat and latent heat of
melting and evaporation – increases process efficiency.
•Application - holes with depth-to-diameter ratios of 50 to
1 can be drilled. e.g. bleeder holes for fuel-pump covers,
lubrication holes in transmission hubs
7/30/2015
Prof.P.Laxminarayana, Osmania University,
Hyderabad - 500 007, TS 20
Electron Beam Machining (EBM)
•Similar to LBM except laser beam is replaced by high
velocity electrons.
•When electron beam strikes the work piece surface, heat
is produced and metal is vaporized.
•Surface finish achieved is better than LBM.
•Used for very accurate cutting of a wide variety of
metals.
7/30/2015
Prof.P.Laxminarayana, Osmania University,
Hyderabad - 500 007, TS 21
7/30/2015
Prof.P.Laxminarayana, Osmania University,
Hyderabad - 500 007, TS 22
NON- CONVENTIONALNON- CONVENTIONAL
Processes DefinedProcesses Defined
A group of processes that remove excess material
by various techniques involving mechanical,
thermal, electrical, or chemical energy (or
combinations of these energies) but do not
use a sharp cutting tool in the conventional
sense
7/30/2015 23
Why Non-Conventional Processes areWhy Non-Conventional Processes are
ImportantImportant
 Need to machine newly developed metals and
non metals with special properties that make them‑
difficult or impossible to machine by conventional
methods
 Need for unusual and/or complex part geometries that
cannot easily be accomplished by conventional
machining
 Need to avoid surface damage that often accompanies
conventional machining
7/30/2015 24
Classification ofClassification of Non-ConventionalNon-Conventional
Processes byType of Energy UsedProcesses byType of Energy Used
 Mechanical erosion of work material by a high velocity stream‑
of abrasives or fluid (or both) is the typical form of mechanical
action
 Electrical electrochemical energy to remove material (reverse of‑
electroplating)
 Thermal – thermal energy usually applied to small portion of
work surface, causing that portion to be removed by fusion
and/or vaporization
 Chemical – chemical etchants selectively remove material from
portions of workpart, while other portions are protected by a
mask
7/30/2015 25
NON- CONVENTIONAL MACHININGNON- CONVENTIONAL MACHINING
AND THERMAL CUTTING PROCESSESAND THERMAL CUTTING PROCESSES
I. Mechanical Energy Processes
II. Electrochemical Machining Processes
III. Thermal Energy Processes
IV. Chemical Machining
7/30/2015 26
Mechanical Energy ProcessesMechanical Energy Processes
Ultrasonic machining
Water jet cutting
Abrasive water jet cutting
Abrasive jet machining
Ultrasonic machining
Water jet cutting
Abrasive water jet cutting
Abrasive jet machining
7/30/2015 27
II. Electrochemical MachiningII. Electrochemical Machining
ProcessesProcesses
 Electrical energy used in combination with chemical
reactions to remove material
 Reverse of electroplating
 Work material must be a conductor
 Processes:
◦ Electrochemical machining (ECM)
◦ Electrochemical deburring (ECD)
◦ Electrochemical grinding (ECG)
7/30/2015 28
III. Thermal Energy ProcessesIII. Thermal Energy Processes
Electric discharge machining
Electric discharge wire cutting
Electron beam machining
Laser beam machining
Plasma arc machining
7/30/2015 29
IV. Chemical Machining (CHM)IV. Chemical Machining (CHM)
Material removal through contact with a strong
chemical etchant
Processes include:
◦ Chemical milling
◦ Chemical blanking
◦ Chemical engraving
◦ Photochemical machining
All utilize the same mechanism of material
removal
7/30/2015 30
I. Mechanical Energy ProcessesI. Mechanical Energy Processes
Ultrasonic machining
Abrasive jet machining
Abrasive water jet cutting
Water jet cutting
7/30/2015 31
Unit - I
Ultrasonic Machining (USM): Process description, abrasive slurry, Abrasive
materials and their characteristics. Functions of liquid medium in slurry.
Types of Transducers, effect of process parameters, applications and
limitations.
Abrasive Jet Machining (AJM): Principle of operation, process details,
process variables and their effect on MRR and accuracy. Equation for MRR.
Advantages, disadvantages and applications.
Water Jet Machining (WJM): Schematic diagram, equipment used,
advantages and applications.
7/30/2015 32
Prof.P.Laxminarayana, Osmania University,
Hyderabad - 500 007, TS
Mechanical Energy ProcessesMechanical Energy Processes
Ultrasonic Machining (USM)Ultrasonic Machining (USM)
Abrasives contained in a slurry are driven at high velocity
against work by a tool vibrating at low amplitude and
high frequency
 Tool oscillation is perpendicular to work surface
 Tool is fed slowly into work
 Shape of tool is formed in part
7/30/2015 33
USM ApplicationsUSM Applications
 Hard, brittle work materials such as ceramics, glass, and
carbides
 Also successful on certain metals, such as stainless steel
and titanium
 Shapes include non-round holes, holes along a curved
axis
 “Coining operations” - pattern on tool is imparted to a
flat work surface
7/30/2015 34
Water Jet Cutting (WJC)Water Jet Cutting (WJC)
Uses a fine, high pressure, high velocity stream of
water directed at work surface for cutting
7/30/2015 35
WJC ApplicationsWJC Applications
 Usually automated by CNC or industrial robots to
manipulate nozzle along desired trajectory
 Used to cut narrow slits in flat stock such as plastic,
textiles, composites, floor tile, carpet, leather, and
cardboard
 Not suitable for brittle materials (e.g., glass)
 WJC advantages: no crushing or burning of work
surface, minimum material loss, no environmental
pollution, and ease of automation
7/30/2015 36
Abrasive Water Jet Cutting (AWJC)Abrasive Water Jet Cutting (AWJC)
 When WJC is used on metals, abrasive particles must
be added to jet stream usually
 Additional process parameters: abrasive type, grit size,
and flow rate
◦ Abrasives: aluminum oxide, silicon dioxide, and garnet
(a silicate mineral)
◦ Grit sizes range between 60 and 120
◦ Grits added to water stream at about 0.25 kg/min
(0.5 lb/min) after it exits nozzle
7/30/2015 37
Abrasive Jet Machining (AJM)Abrasive Jet Machining (AJM)
 High velocity stream of gas containing small abrasive
particles
7/30/2015 38
AJM Application NotesAJM Application Notes
 Usually performed manually by operator who directs
nozzle
 Normally used as a finishing process rather than cutting
process
 Applications: deburring, trimming and deflashing,
cleaning, and polishing
 Work materials: thin flat stock of hard, brittle materials
(e.g., glass, silicon, mica, ceramics)
7/30/2015 39
II. Electrochemical MachiningII. Electrochemical Machining
ProcessesProcesses
 Electrical energy used in combination with chemical
reactions to remove material
 Reverse of electroplating
 Work material must be a conductor
 Processes:
◦ Electrochemical machining (ECM)
◦ Electrochemical deburring (ECD)
◦ Electrochemical grinding (ECG)
7/30/2015 40
Electrochemical Machining (ECM)Electrochemical Machining (ECM)
Material removal by anodic dissolution, using electrode
(tool) in close proximity to the work but separated by a
rapidly flowing electrolyte
7/30/2015 41
Electrochemical Deburring (ECD)Electrochemical Deburring (ECD)
Adaptation of ECM to remove burrs or round sharp
corners on holes in metal parts produced by
conventional through hole drilling‑
7/30/2015 42
Electrochemical Grinding (ECG)Electrochemical Grinding (ECG)
Special form of ECM in which a grinding wheel with
conductive bond material is used to augment anodic
dissolution of metal part surface
7/30/2015 43
III. Thermal Energy ProcessesIII. Thermal Energy Processes
Very high local temperatures
◦ Material is removed by fusion or vaporization
Physical and metallurgical damage to the new
work surface
In some cases, resulting finish is so poor that
subsequent processing is required
7/30/2015 44
Thermal Energy ProcessesThermal Energy Processes
Electric discharge machining
Electric discharge wire cutting
Electron beam machining
Laser beam machining
Plasma arc machining
7/30/2015 45
Electric Discharge ProcessesElectric Discharge Processes
Metal removal by a series of discrete electrical discharges
(sparks) causing localized temperatures high enough to
melt or vaporize the metal
 Can be used only on electrically conducting work
materials
 Two main processes:
1. Electric discharge machining
2. Wire electric discharge machining
7/30/2015 46
Electric discharge machining (EDM): (a) overall setup, and (b) close up‑
view of gap, showing discharge and metal removal
Electric Discharge Machining (EDM)
7/30/2015 47
EDM ApplicationsEDM Applications
 Tooling for many mechanical processes: molds for
plastic injection molding, extrusion dies, wire drawing
dies, forging and heading dies, and sheetmetal stamping
dies
 Production parts: delicate parts not rigid enough to
withstand conventional cutting forces, hole drilling
where hole axis is at an acute angle to surface, and
machining of hard and exotic metals
7/30/2015 48
Wire EDMWire EDM
Special form of EDM that uses small diameter
wire as electrode to cut a narrow kerf in work
Electric discharge wire cutting (EDWC), also called wire EDM
7/30/2015 49
Laser Beam Machining (LBM)Laser Beam Machining (LBM)
Uses the light energy from a laser to remove
material by vaporization and ablation
7/30/2015 50
Plasma Arc Cutting (PAC)Plasma Arc Cutting (PAC)
Uses a plasma stream operating at very high
temperatures to cut metal by melting
7/30/2015 51
IV. Chemical Machining (CHM)IV. Chemical Machining (CHM)
Material removal through contact with a strong
chemical etchant
Processes include:
◦ Chemical milling
◦ Chemical blanking
◦ Chemical engraving
◦ Photochemical machining
All utilize the same mechanism of material
removal
7/30/2015 52
The basic components to the cuttingThe basic components to the cutting
action are believed to beaction are believed to be
7/30/2015 53
 Small, tabletop-sized units to large-capacity machine
tools,
 Bench units, and as self-contained machine tools.
 Power range from about 40 W to 2.5 kW.
 The power rating strongly influences the material
removal rate.
7/30/2015 54
Subsystems of USM SystemSubsystems of USM System
BB
EE
CC
DD
AA
7/30/2015 55
56
USM - ComponentsUSM - Components
7/30/2015
Prof.P.Laxminarayana, Osmania University,
Hyderabad - 500 007, TS
57
Machining SystemMachining System
• The machining system of USM is composed mainly from the
magnetostrictor, concentrator, tool and slurry feeding
arrangement.
• The magnetostrictor is energized at the ultrasonic frequency and
produces small-amplitude vibrations.
• Such a small vibration is amplified using the constrictor (mechanical
amplifier) that holds the tool.
• The abrasive slurry is pumped between the oscillating tool and the
brittle workpiece.
• A static pressure is applied in the tool-workpiece interface that
maintains the abrasive slurry.
7/30/2015
Prof.P.Laxminarayana, Osmania University,
Hyderabad - 500 007, TS
58
Main Elements of an USMMain Elements of an USM
7/30/2015
 The power supply is a sine-wave generator
 The user can control over both the frequency and power of
the generated signal.
 It converts low-frequency (50/60 Hz) power to high-
frequency (10-15 kHz) power
 Supply to the transducer for conversion into mechanical
motion.
AA
7/30/2015 59
 Two types of transducers are used in USM to convert the supplied
energy to mechanical motion.
 They are based on two different principles of operation
- Magnetostriction
- Piezoelectricity
BB
7/30/2015 60
 There are many different types of transducers, but at their most basic,
they can be divided into two groups: input (sensor) and output (actuator
).
 Input transducers take some sort of physical energy — such as sound
waves, temperature, or pressure — and converts it into a signal that can
be read. A microphone, for example, converts sound waves that strike
its diaphragm into an electrical signal that can be transmitted over
wires. A pressure sensor turns the physical force being exerted on it into
a number or reading that can be easily understood.
 Actuators take an electronic signal and convert it into physical energy. A
stereo speaker works by transforming the electronic signal of a
recording into physical sound waves. Electric motors are another
common form of electromechanical transducer, converting
electrical energy into mechanical energy to perform a task.
7/30/2015 61
• Magnetostrictive transducers are usually constructed from a
laminated stack of nickel or nickel alloy sheets.
• Magnetostriction is explained in terms of domain theory .
BB
7/30/2015 62
 Domains are very small regions, of the order of l0-8
~ l0-9
cm3
,
 In which there are forces that cause the magnetic moments of
the atoms to be oriented in a single direction.
 In each domain the atomic magnetic moments are oriented in
one of the directions of easy magnetization
BB
7/30/2015 63
• In the cubic-lattice crystals of iron and nickel there are six
directions of easy magnetization.
• In unmagnetized material all these directions are present in
equal numbers, the magnetic moments of the orderless,
unorientated domains compensate one another
BB
7/30/2015 64
• When the material is placed in a sufficiently strong
magnetic field, the magnetic moments of the domains
rotate into the direction of the applied magnetic field and
become parallel to it.
• During this process the material expands or contracts,
until all the domains have become parallel to one
another.
BB
7/30/2015 65
 As the temperature is raised, the amount of
magnetostrictive strain diminishes .
 Magnetostrictive transducers require cooling by fans or
water.
BB
7/30/2015 66
• Such as quartz or lead,zirconate,titanate, generate a small
electric current when compressed.
• Conversely, when an electric current is applied, the material
increases minutely in size.
• When the current is removed, the material instantly returns
to its original shape.
BB
7/30/2015 67
• Piezoelectric materials are composed of small particles bound
together by sintering.
• The material undergoes polarization by heating it above the
Curie point.
• Such transducers exhibit a high electromechanical conversion
efficiency that eliminates the need for cooling.
BB
7/30/2015 68
• The magnitude of the length change is limited by the
strength of the particular transducer material.
• The limit is approximately 0.025 mm.
BB
7/30/2015 69
• Its function is to increase the tool vibration amplitude
and to match the vibrator to the acoustic load.
• It must be constructed of a material with good
acoustic properties and be highly resistant to fatigue
cracking.
CC
7/30/2015 70
 Monel and titanium have good acoustic properties and are often
used together with stainless steel, which is cheaper.
 However, stainless steel has acoustical and fatigue properties
that are inferior to those of Monel and titanium, limiting it to
low­amplitude applications.
 Nonamplifying holders are cylindrical and result in the same
stroke amplitude at the output end as at the input end.
 Amplifying toolholders have a cross section that diminishes
toward the tool, often following an exponential function.
 An amplifying toolholder is also called a concentrator.
CC
7/30/2015 71
• Amplifying holders remove material up to 10 times faster
than the nonamplifying type.
• The disadvantages of amplifying toolholders include
increased cost to fabricate, a reduction in surface finish
quality, and the requirement of much more frequent running
to maintain resonance.
CC
7/30/2015 72
 Tools should be constructed from relatively ductile
materials.
 The harder the tool material, the faster its wear rate will be.
 It is important to realize that finishing or polishing
operations on the tools are sometimes necessary because
their surface finish will be reproduced in the workpiece.
DD
7/30/2015 73
• The geometry of the tool generally corresponds to the
geometry of the cut to be made,
• Because of the overcut, tools are slightly smaller than the
desired hole or cavity
• Tool and toolholder are often attached by silver brazing.
DD
7/30/2015 74
• The criteria for selection of an abrasive for a particular
application include hardness, usable life, cost, and particle size.
• Diamond is the fastest abrasive, but is not practical because of
its cost.
• Boron carbide is economical and yields good machining rates.
• Silicon carbide and aluminum oxide are also widely used.
EE
7/30/2015 75
 Coarse grits exhibit the highest removal rates, when the grain
size becomes comparable with the tool amplitude, cut more
slowly.
 The larger the grit size, the rougher the machined surface.
EE
7/30/2015 76
 With an abrasive concentration of about 50% by weight
in water , but thinner mixtures are used to promote
efficient flow when drilling deep holes or when forming
complex cavities.
EE
7/30/2015 77
EE
7/30/2015 78
79
ToolsTools
• Tool tips must have high wear resistance and fatigue strength.
• For machining glass and tungsten carbide, copper and chromium
silver steel tools are recommended.
• Silver and chromium nickel steel are used for machining sintered
carbides.
• During USM, tools are fed toward, and held against, the workpiece
by means of a static pressure that has to overcome the cutting
resistance at the interface of the tool and workpiece.
• Different tool feed mechanisms are available that utilize:
– Pneumatic
– Periodic switching of a stepping motor or solenoid
– Compact spring-loaded system
– Counterweight techniques.
7/30/2015
Prof.P.Laxminarayana, Osmania University,
Hyderabad - 500 007, TS
80
Abrasive SlurryAbrasive Slurry
• Abrasive slurry is usually composed of 50 vol. % of fine abrasive
grains and 50 vol.% of water.
• Abrasive grain sizes: 100 – 800 grit number.
• Abrasive particles used: (a) Boron carbide (B4C) (b)
Aluminum oxide (Al2O3) or (c) Silicon carbide (SiC).
• The abrasive slurry is circulated between the oscillating tool and
workpiece.
• Under the effect of the static feed force and the ultrasonic vibration,
the abrasive particles are hammered into the workpiece surface
causing mechanical chipping of minute particles.
• The slurry is pumped through a nozzle close to the tool-workpiece
interface at a rate of 25 L/min.
• As machining progresses, the slurry becomes less effective as the
particles wear and break down.
• The expected life ranges from 150 to 200 h of ultrasonic exposure.
7/30/2015
Prof.P.Laxminarayana, Osmania University,
Hyderabad - 500 007, TS
81
Abrasive SlurryAbrasive Slurry
• The slurry is continuously fed to the machining zone in order to
ensure efficient flushing of debris and keeps the machining area
cool.
• The performance of USM depends on the manner in which the
slurry is fed to the cutting zone.
• The different slurry feeding arrangements:
7/30/2015
Prof.P.Laxminarayana, Osmania University,
Hyderabad - 500 007, TS
82
Material Removal ProcessMaterial Removal Process
• Material removal mechanism of USM involves three distinct actions:
1. Mechanical abrasion by localized direct hammering of the abrasive
grains stuck between the vibrating tool and adjacent work surface.
2. The microchipping by free impacts of particles that fly across the
machining gap and strike the workpiece at random locations.
3. The work surface erosion by cavitation in the slurry stream.
7/30/2015
Prof.P.Laxminarayana, Osmania University,
Hyderabad - 500 007, TS
83
Material Removal ProcessMaterial Removal Process
• The relative contribution of the cavitation effect is reported to be
less than 5 percent of the total material removed.
• The dominant mechanism involved in USM of all materials is direct
hammering.
• Soft and elastic materials like mild steel are often plastically
deformed first and are later removed at a lower rate.
• In case of hard and brittle materials such as glass, the machining
rate is high and the role played by free impact can also be noticed.
• When machining porous materials such as graphite, the mechanism
of erosion is introduced.
• The rate of material removal, in USM, depends, on the frequency
of tool vibration, static pressure, the size of the machined area, and
the abrasive and workpiece material.
• MRR and machinability by USM depends on the brittleness
criterion which is the ratio of shearing to breaking strength of a
material.
7/30/2015
Prof.P.Laxminarayana, Osmania University,
Hyderabad - 500 007, TS
84
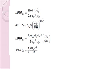
Material Removal RateMaterial Removal Rate
7/30/2015
Prof.P.Laxminarayana, Osmania University,
Hyderabad - 500 007, TS
85
USM PerformanceUSM Performance
7/30/2015
Prof.P.Laxminarayana, Osmania University,
Hyderabad - 500 007, TS
86
Factors affecting MRRFactors affecting MRR
1. Tool Oscillation or Vibration – Amplitude & Frequency
• Amplitude of the tool oscillation has the greatest effect of all the process
variables.
• MRR increases with a rise in the tool vibration amplitude.
• Vibration amplitude determines the velocity of the abrasive particles at
the interface between the tool and workpiece.
• Under such circumstances the kinetic energy rises, at larger amplitudes,
which enhances the mechanical chipping action and consequently
increases the MRR.
• A greater vibration amplitude may lead to the occurrence of splashing,
which causes a reduction of the number of active abrasive grains and
results in a decrease in the MRR.
7/30/2015 86
Prof.P.Laxminarayana, Osmania University,
Hyderabad - 500 007, TS
87
Factors affecting MRR – Contd.Factors affecting MRR – Contd.
Tool Oscillation – Contd.
• According to Kaczmarek (1976) with regard to the range of grain
sizes used in practice, the amplitude of oscillation varies within the
limits of 0.04 to 0.08 mm.
• The increase of feed force induces greater chipping forces by each
grain, which raises the overall removal rate.
• McGeough (1988) reported that the increase in vibration frequency
reduces the removal rate.
• This trend may be related to the small chipping time allowed for
each grain such that a lower chipping action prevails and causing a
decrease in the removal rate.
7/30/2015 87
Prof.P.Laxminarayana, Osmania University,
Hyderabad - 500 007, TS
88
Factors affecting MRR – Contd.Factors affecting MRR – Contd.
2. Abrasive Grains
• Both the grain size and the vibration amplitude have a similar effect
on the removal rate.
• According to McGeough (1988), MRR rises at greater grain sizes
until the size reaches the vibration amplitude, at which stage, the
MRR decreases.
• When the grain size is large compared to the vibration amplitude,
there is a difficulty of abrasive renewal.
• Because of its higher hardness, B4C achieves higher removal rates
than silicon carbide (SiC) when machining glass.
• The MRR obtained with silicon carbide is about 15 % lower when
machining glass, 33 % lower for tool steel, and about 35 % lower for
sintered carbide.
7/30/2015 88
Prof.P.Laxminarayana, Osmania University,
Hyderabad - 500 007, TS
89
Factors affecting MRR – Contd.Factors affecting MRR – Contd.
2. Abrasive Grains – Contd.
• Water is commonly used as the abrasive carrying liquid for the
abrasive slurry while benzene, glycerol, and oils are alternatives.
• The increase of slurry viscosity reduces the removal rate.
• The improved flow of slurry results in an enhanced machining rate.
• In practice a volumetric concentration of about 30 to 35 percent of
abrasives is recommended.
• A change of concentration occurs during machining as a result of the
abrasive dust settling on the machine table.
• The actual concentration should, therefore, be checked at certain time
intervals.
• The increase of abrasive concentration up to 40 % enhances MRR.
• More cutting edges become available in the machining zone, which
raises the chipping rate and consequently the overall removal rate.
7/30/2015 89
Prof.P.Laxminarayana, Osmania University,
Hyderabad - 500 007, TS
90
Factors affecting MRR – Contd.Factors affecting MRR – Contd.
3. Workpiece Impact Hardness
• MRR is affected by the ratio of tool hardness to workpiece hardness.
• In this regard, the higher the ratio, the lower will be MRR.
• For this reason soft and tough materials are recommended for USM
tools.
4. Tool Shape
• Increase in tool area - decreases the machining rate; due to inadequate
distribution of abrasive slurry over the entire area.
• McGeough (1988) reported that, for the same machining area, a
narrow rectangular shape yields a higher machining rate than a square
shape.
• Rise in static pressure - enhances MRR up to a limiting condition,
beyond which no further increase occurs.
• Reason - disturbance in the tool oscillation at higher forces where
lateral vibrations are expected.
7/30/2015 90
Prof.P.Laxminarayana, Osmania University,
Hyderabad - 500 007, TS
91
Factors affecting MRR – Contd.Factors affecting MRR – Contd.
4. Tool Shape – Contd.
• According to Kaczmarek (1976), at pressures lower than the
optimum, the force pressing the grains into the material is too small
and the volume removed by a particular grain diminishes.
• Measurements also showed a decrease in MRR with an increase in
the hole depth.
• Reason - deeper the tool reaches, the more difficult and slower is the
exchange of abrasives from underneath the tool.
7/30/2015 91
Prof.P.Laxminarayana, Osmania University,
Hyderabad - 500 007, TS
Dimensional AccuracyDimensional Accuracy
 Accuracy (oversize, conicity, out of roundness) - affected by
◦ Side wear of the tool
◦ Abrasive wear
◦ Inaccurate feed of the tool holder
◦ Form error of the tool
◦ Unsteady and uneven supply of abrasive slurry
Overcut
 Holes accuracy is measured through overcut (oversize).
 Hole oversize measures the difference between the hole diameter,
measured at the top surface, and the tool diameter.
 Side gap between tool and hole is necessary to enable abrasive flow.
 Hence, grain size of the abrasives represents the main factor, which affects
the overcut produced.
7/30/2015 92
Dimensional Accuracy – Contd.
• Overcut is considered to be about 2 - 4 times greater than the mean grain size
when machining glass and tungsten carbide.
• It is about 3 times greater than the mean grain size of B4C.
• However, the magnitude of overcut depends on many other process variables
(type of workpiece material and the method of tool feed).
• In general, USM accuracy levels are limited to + 0.05 mm.
Conicity (non-parallel sides)
• Overcut is usually greater at the entry side than at the exit.
• Reason - cumulative abrasion effect of fresh and sharp grain particles.
• As a result, a hole conicity of ~ 0.2° arises when drilling a hole of φ 20 mm
and a depth of 10 mm in graphite.
7/30/2015 93
Dimensional Accuracy – Contd.
• The conicity may be reduced by
– Direct injection of abrasive slurry into the machining zone.
– Use of tools having negatively tapering walls.
– Use of high static pressure that produces finer abrasives, which
in turn reduces the tool wear.
– Use of wear-resistant tool materials.
– Use of an undersized tool in the first cut and a final tool of the
required size, which will cut faster and reduce the conicity.
Out of roundness
• Out of roundness arises by the lateral vibrations of the tool.
• Such vibrations - due to out of perpendicularity of tool face and
centerline.
• Also due to misalignment in the acoustic parts of the machine.
• Typical values - ~40-140 μm for glass and 20-60 μm for graphite.
7/30/2015 94
Surface Quality
• Surface finish - closely related to the machining rate in USM.
• Table shows the relationship between grit number and grit size.
• Larger the grit size, faster the cutting rate but surface finish is poor.
• Surface finish of 0.38 to 0.25 μm can be expected using abrasives of
grit number 240.
7/30/2015 95
Surface Quality – Contd.
• However, other factors such as tool surface, amplitude of tool vibration, and
material being machined also affect the surface finish.
• Larger the grit size (smaller grain size), the surface will be smooth.
• The larger chipping marks formed on brittle materials create rougher
surfaces than that obtained in case of hard alloy steel.
• Amplitude of tool oscillation has a smaller effect on the surface finish.
• As the amplitude is raised, individual grains are pressed further into the
workpiece surface and cause deeper craters ⇒ a rough surface.
• Static pressure has a little effect on the surface finish.
• Smoother surfaces can also be obtained by using low viscosity liquid.
• Surface irregularities on sidewall are larger than those on the bottom.
• Reason - Sidewalls are scratched by abrasive grains.
• Cavitation damage occurs when the particles penetrate deeper.
• Under such circumstances, it is difficult to replenish the slurry in these
deeper regions and thus a rougher surface is produced.
7/30/2015 96
7/30/2015 97
Prof.P.Laxminarayana, Osmania University,
Hyderabad - 500 007, TS
Applications of USM
• USM should be applied for shallow cavities cut in hard and brittle
materials having a surface area less than 1000 mm2
.
Drilling and coring.
7/30/2015 98
Applications of USM – Contd.
• Fig. - Modified version of USM - tool bit is rotated against the workpiece in
a similar fashion to conventional drilling.
• The process is, therefore, called Rotary Ultrasonic Machining (RUM).
• Cruz et al. (1995) used such a process for machining non-metallic materials
such as glass, alumina, ceramic, ferrite, quartz, zirconium oxide, ruby,
sapphire, beryllium oxide, and some composite materials.
• RUM ensures high removal rates, lower tool pressures for delicate parts,
improved deep hole drilling, less breakout or through holes, and no core
seizing during core drilling of the cavity.
• Deep holes require more time as the rate of machining decreases with the
depth of penetration.
• This is due to the difficulty in maintaining a continuous supply of new slurry
at the tool face.
• Generally a depth-to-diameter ratio of 2.5 is achievable by RUM.
7/30/2015 99
Applications of USM – Contd.
Ultrasonic sinking and contour machining
7/30/2015 100
Applications of USM – Contd.
• During USM sinking, material removal is difficult for depth > 5 to 7 mm.
• Under such conditions, the removal of abrasives at the interface becomes
difficult and hence the material removal process is impossible.
• Moreover, manufacturing of such a tool is generally complex and costly.
• Contouring USM - simple tools that are moved along the contour required.
• Fig. shows holes and contours machined using a USM contour machining.
Silicon nitride turbine blades
(sinking)
Acceleration lever and
holes
(contour USM)7/30/2015 101
Applications of USM – Contd.
Production of EDM Electrodes
• Gilmore (1995) used USM to produce graphite EDM electrodes (Fig.).
• Typical machining speeds, in graphite range from 40 to 140 mm/min.
• Surface roughness from 0.2 to 1.5 μm with an accuracy of ±10 μm.
• Small machining forces permit the manufacture of fragile graphite EDM
electrodes.
7/30/2015 102
Applications of USM – Contd.
Ultrasonic Polishing
• Polishing occurs by vibrating a brittle tool material (graphite or glass) into
the workpiece at an ultrasonic frequency and a relatively low amplitude.
• Fine abrasive particles abrade the high spots of the workpiece surface,
typically removing 0.012 mm of material or less.
• By this method, the surface finish obtained can be as low as 0.3 μm.
• Fig. shows the ultrasonic polishing that lasted 1.5 to 2 min to remove the
machining marks left by a CNC engraving operation.
⇒
7/30/2015 103
Applications of USM – Contd.
Micro-Ultrasonic Machining (MUSM)
• MUSM is a method that utilizes workpiece vibration.
• According to Egashira and Masuzana (1999), vibrating the workpiece allows
flexibility in tool system design as it does not include the set of transducer,
horn, and cone.
• In addition, the complete system is much more simple and compact than
conventional USM.
• Using such a method, microholes of 5 μm diameter on quartz, glass, and
silicon have been produced using tungsten carbide (WC) alloy microtools.
• However the high wear resistance of sintered diamond (SD) tools made it
possible to machine multiple holes using a single tool.
• Similarly MUSM is used for machining 3-D shapes.
7/30/2015 104
MUSM - Concept
Micro-ultrasonic machining
Micro-ultrasonic machined cavity
7/30/2015 105
Applications of USM – Contd.
Other Applications
• Cutting off of parts made from semiconductors at high removal
rates compared to conventional machining methods.
• Engraving on glass as well as hardened steel and sintered carbide.
• Parting and machining of precious stones including diamond.
7/30/2015 106
 Mechanics of material removal - brittle fracture caused by impact of abrasive
grains due to vibrating at high frequency
 Medium - slurry
 Abrasives: B4C; SiC;Al2O3; diamond; 100-800 grit size
 Vibration freq. 15-30 KHz, amplitude 25-100 micro m
 Tool material soft steel
 Material/tool wear = 1.5 forWC workpiece, 100 for glass
 Gap 25-40 micro m
 Critical parameters - frequency, amplitude, tool material, grit size, abrasive
material, feed force, slurry concentration, slurry viscosity
 Material application - metals and alloys (particularly hard and brittle),
semiconductors, nonmetals, e.g., glass and ceramics
 Shape application - round and irregular holes, impressions
 Limitations - very low mrr, tool wear, depth of holes, and cavities small.
7/30/2015 107
What is abrasive jet machining ?What is abrasive jet machining ?
 It is the material removal process where the material is removed by
high velocity stream of air/gas or water and abrasive mixture .
 An abrasive is small, hard particle having sharp edges and an
irregular shape .
 High velocity jet is aimed at a surface under controller condition .
schematic diagram of ajmschematic diagram of ajm
ajm featuresajm features
There are main features of AJM
 Obtainable tolerances
 Material to machine
 Material thickness
 Accuracy of table
 Stability of table
 Control abrasive jet
machinemachine
aspectsaspects Around curves
 Inside corner
 Feed rate
 Acceleration
 Nozzle focus
 Speed cutting
 Pump pressure
 Hardness & thickness
 Software controlling the motion
 Power at the nozzle
types of abrasivetypes of abrasive
materialsmaterials Different types of abrasive are used in abrasive jet
machining like garnet , aluminum oxide , olivine , silica
sand , silicon carbide ,etc .
 Virtually any material can be cut by using abrasive jet
machining method , i.e harder
materials like titanium to steel.
 Abrasive particles must be hard, high toughness,
irregular in shape & edges should be sharp .
advantagesadvantages
 Extremely fast setup & programming
 No start hole required
 There is only one tool
 Low capital cost
 Less vibration
 No heat generated in work piece
 Environmentally friendly
disadvantagedisadvantage
ss
 Low metal removal rate
 Due to stay cutting accuracy is affected
 Abrasive powder cannot be reused
 Tapper is also a problem
conclusionconclusion
 The better performance, and the applications
represented above statements confirm that
ABRASIVE JET MACHINING is continue to
expand .
 The new software’s used to minimize time and
investments, there by making it possible for
more manufacturers of precision parts to install
AJM centers .
Abrasive Water Jet MachiningAbrasive Water Jet Machining
Unit-I
Introduction toWater jetIntroduction toWater jet
Fastest growing machining process
One of the most versatile machining processes
Compliments other technologies such as milling,
laser, EDM, plasma and routers
True cold cutting process – no HAZ, mechanical
stresses or operator and environmental hazards
Not limited to machining – food industry
applications
HistoryHistory
• Dr. Franz in 1950’s first studied water cutting
for forestry and wood cutting (pureWJ)
• 1979 Dr. Mohamed Hashish added abrasive
particles to increase cutting force and ability
to cut hard materials including steel, glass
and concrete (abrasive WJ)
• First commercial use was in automotive
industry to cut glass in 1983
• Soon after, adopted by aerospace industry
for cutting high-strength materials like
Inconel, stainless steel and titanium as well as
composites like carbon fiber
PureWJ CuttingPureWJ Cutting
• Pure cuts soft materials – corrugated cardboard,
disposable diapers, tissue papers, automotive
interiors
• Very thin stream (0.004 - 0.010 dia)
• Extremely detailed geometry
• Very little material loss due to cutting
• Can cut thick, soft, light materials like fiberglass
insulation up to 24” thick or thin, fragile materials
• Very low cutting forces and simple fixturing
• Water jet erodes work at kerf line into small
particles
PureWJ Cutting cont.PureWJ Cutting cont.
• Water inlet pressure
between 20k-60k psi
• Forced through hole
in jewel 0.007-0.020”
dia
• Sapphires, Rubies
with 50-100 hour life
• Diamond with 800-
2,000 hour life, but
they are pricey
AbrasiveWJ CuttingAbrasiveWJ Cutting
• Used to cut much harder materials
• Water is not used directly to cut material as
in Pure, instead water is used to accelerate
abrasive particles which do the cutting
• 80-mesh garnet (sandpaper) is typically used
though 50 and 120-mesh is also used
• Standoff distance between mixing tube and
workpart is typically 0.010-0.200 mm
important to keep to a minimum to keep a
good surface finish
AbrasiveWJ Cutting cont.AbrasiveWJ Cutting cont.
• Evolution of mixing tube
technology
• Standard Tungsten Carbide
lasts 4-6 hours (not used
much anymore)
• Premium Composite
Carbide lasts 100-150 hours
• Consumables include water,
abrasive, orifice and mixing
tube
TolerancesTolerances
• Typically +/- 0.005 inch
• Machines usually have repeatability of
0.001 inch
• Comparatively traditional machining
centers can hold tolerances 0f 0.0001
inch with similar repeatability
• WJ tolerance range is good for many
applications where critical tolerances are
not crucial to workpart design
 componentscomponents ofof abrasiveabrasive jetjet
machiningmachining
Abrasive delivery system
Control system
Pump
Nozzle
Mixing tube
Motion system
1.1. abrasive delivery systemabrasive delivery system
Auto abrasive delivery system has
the capability of storing abrasive
& delivery the abrasive to the
bucket . It’s works auto
programming system by help of
once measuring record & no
adjustment or fine tuning system .
High sensitive sensor gives
extremely reliable & repeatable .
2.control system2.control system
The control algorithm that computes
exactly how the feed rate should vary
for a given geometry in a given
material to make a precise part .
The algorithm actually
determines desired variation
in the feed rate & the tool
path to provide an extremely
smooth feed rate .
3.pump3.pump
Crankshaft & intensifier pump are
mainly use in the abrasive jet
machine .
The intensifier pump was the
only pump capable of reliably
creating pressures high .
Crankshaft pumps are more
efficient than intensifier pumps
because they do not require a power
robbing
4.nozzle4.nozzle
All abrasive jet systems use the same
basic two stage nozzle . First , water
passes through a small diameter jewel
orifice to form a narrow jet .
The abrasive particles are accelerated
by the moving stream of water & they
pass into a long hollow cylindrical
ceramic mixing tube.
Generally two type of nozzle
use , right angle head &
straight head .
 fig. of nozzlefig. of nozzle
5. mixing tube5. mixing tube
The mixing tube is where the abrasive
mixes with the high pressure water .
The mixing tube should be
replaced when tolerances
drop below acceptable levels .
For maximum accuracy ,
replace the mixing tube
more frequently .
6.motion system6.motion system
In order to make precision parts , an
abrasive
jet system must have a precision x-y
table and
motion control system .
Tables fall into three general
categories .
Floor-mounted gantry systems
Integrated table/gantry systems
Floor-mounted cantilever systems
 working processworking process
High pressure water starts at the
pump , and is delivered through
special high pressure plumbing to the
nozzle .
At the nozzle , abrasive is introduced
& as the abrasive/water mixture exits ,
cutting is performed .
Once the jet has exited the nozzle ,
the energy is dissipated into the catch
tank , which is usually full of water &
SetupSetup
Fluid Jet MachiningFluid Jet Machining
Water-jet machining
◦ It is manufacturing through
the use of highly pressurized
liquid, forced through a
nozzle and used as the
cutting tool.
◦ The orifice can range from 5
to 20 thousandth of an inch.
Fluid Jet MachiningFluid Jet Machining
Water-jet machining
◦ Water is most common liquid, however alcohol,oil, or
glycerol may be used
◦ Water jets machining has been in use since 1970.
Water jets have many applications
◦ ranging from cutting steels to sheets of candy (using a
sugar water or syrup for cutting).
Fluid Jet MachiningFluid Jet Machining
• Some examples are:
– Nickel alloys,Titanium,
tool steels, glass, marble,
brass, copper, wood,
rubber, paper and
plastics.
– The cutting thickness is
normally for any size
under 6".
Fluid Jet MachiningFluid Jet Machining
Advantages of water-
jet machining
◦ The water stream makes
very little noise.
◦ Chips or waste is moved
out of the way of the
cutting process.
Fluid Jet MachiningFluid Jet Machining
• Advantages of water-jet machining
– There are no bits or tools touching the material
surface, thus there is no tool
replacement costs.
– Ultrahigh-pressure Water-jets cut to accuracy's of +/-
0.010".
– Low level of mechanical stress (less than a pound)
placed on the work piece preventing damage and
deformations.
Fluid Jet MachiningFluid Jet Machining
Advantages of water-
jet machining
◦ Omni-directional cutting
capabilities allow the
cutting of intricate
shapes and curves not
possible with
conventional cutting
tools.
Fluid Jet MachiningFluid Jet Machining
Advantages of water-
jet machining
◦ Especially suited for
short run production
because there are no
tooling expenses.
◦ There are no heat
affected zone's.
Abrasive Jet MachiningAbrasive Jet Machining
Abrasives, such as
garnet, diamond or
powders, can be mixed
into the water to make
a slurry with better
cutting properties than
straight water.
Abrasive Jet MachiningAbrasive Jet Machining
Advantages of Abrasive JetsAdvantages of Abrasive Jets
Quality finish
Materials cut by the abrasive jet have
a smooth, satin-like finish, similar to a
fine sandblasted finish.
Minimal burr
No heavy burrs are produced by the
abrasive jet process. Parts can often
be used directly without deburring
Advantages of Abrasive JetsAdvantages of Abrasive Jets
over Water Jetsover Water Jets
Increased Accuracy
Compared to the
water jet 0.010”,
abrasive jets
average from 0.00
5”.
In this example, the
wall are a 0.025
wafer thin.
Versatile MachiningVersatile Machining
Cuts in wood
Versatile MachiningVersatile Machining
Etching- using a
rapid feed rate.
When is it Practical?When is it Practical?
The cutter is commonly connected to a
high-pressure water pump, where the
water is then ejected from the nozzle,
cutting through the material by spraying
it with the jet of high-speed water.
It’s practical to use it to cut any kind of
material. In waterjet cutting, there is no
heat generated. This is especially useful
for cutting tool steel and other metals
where excessive heat may change the
properties of the material.
Waterjet cutting does not leave a burr or
a rough edge, and eliminates other
machining operations such as finish
sanding and grinding. It can be easily
automated for production use.
AdvantagesAdvantages
• Cheaper than other processes.
• Cut virtually any material. (pre hardened
steel, mild steel, copper, brass, aluminum;
brittle materials like glass, ceramic, quartz,
stone)
• Cut thin stuff, or thick stuff.
• Make all sorts of shapes with only one tool.
• No heat generated.
• Leaves a satin smooth finish, thus reducing
secondary operations.
• Clean cutting process without gasses or
oils.
• Modern systems are now very easy to
learn.
• Are very safe.
• Machine stacks of thin parts all at once.
This part is shaped with waterjet
using one tool. Slots, radii, holes,
and profile in one 2 minute setup.
Advantages (continued)Advantages (continued)
• Unlike machining or grinding, waterjet cutting
does not produce any dust or particles that are
harmful if inhaled.
• The kerf width in waterjet cutting is very small,
and very little material is wasted.
• Waterjet cutting can be easily used to produce
prototype parts very efficiently. An operator can
program the dimensions of the part into the
control station, and the waterjet will cut the part
out exactly as programmed. This is much faster
and cheaper than drawing detailed prints of a
part and then having a machinist cut the part
out.
• Waterjets are much lighter than equivalent laser
cutters, and when mounted on an automated
robot. This reduces the problems of accelerating
and decelerating the robot head, as well as
taking less energy.
Get nice edge quality from different
materials.
DisadvantagesDisadvantages
• One of the main disadvantages of
waterjet cutting is that a limited number of
materials can be cut economically. While
it is possible to cut tool steels, and other
hard materials, the cutting rate has to be
greatly reduced, and the time to cut a part
can be very long. Because of this, waterjet
cutting can be very costly and outweigh
the advantages.
• Another disadvantage is that very thick
parts can not be cut with waterjet cutting
and still hold dimensional accuracy. If the
part is too thick, the jet may dissipate
some, and cause it to cut on a diagonal, or
to have a wider cut at the bottom of the
part than the top. It can also cause a rough
wave pattern on the cut surface.
Waterjet lag
Disadvantages (continued)Disadvantages (continued)
• Taper is also a problem with waterjet cutting in very thick materials.
Taper is when the jet exits the part at a different angle than it enters the
part, and can cause dimensional inaccuracy. Decreasing the speed of the
head may reduce this, although it can still be a problem.
Stream lag caused inside corner damage to this 1-
in.-thick stainless steel part. The exit point of the
stream lags behind the entrance point, causing
irregularities on the inside corners of the part. The
thicker the material is or the faster an operator
tries to cut it, the greater the stream lag and the
more pronounced the damage.
Waterjets vs. LasersWaterjets vs. Lasers
• Abrasive waterjets can machine many
materials that lasers cannot. (Reflective
materials in particular, such as Aluminum
and Copper.
• Uniformity of material is not very
important to a waterjet.
• Waterjets do not heat your part. Thus there
is no thermal distortion or hardening of the
material.
• Precision abrasive jet machines can obtain
about the same or higher tolerances than
lasers (especially as thickness increases).
• Waterjets are safer.
• Maintenance on the abrasive jet nozzle is
simpler than that of a laser, though probably
just as frequent.
After laser cutting
After waterjet cutting
Waterjets vs. EDMWaterjets vs. EDM
• Waterjets are much faster than EDM.
• Waterjets machine a wider variety of
materials (virtually any material).
• Uniformity of material is not very
important to a waterjet.
• Waterjets make their own pierce
holes.
• Waterjets are capable of ignoring
material aberrations that would cause
wire EDM to lose flushing.
• Waterjets do not heat the surface of
what they machine.
• Waterjets require less setup.
• Many EDM shops are also buying
waterjets. Waterjets can be considered
to be like super-fast EDM machines
with less precision.
Waterjets are much faster than EDM.
Waterjets vs. PlasmaWaterjets vs. Plasma
• Waterjets provide a nicer edge
finish.
• Waterjets don't heat the part.
• Waterjets can cut virtually any
material.
• Waterjets are more precise.
• Plasma is typically faster.
• Waterjets would make a great
compliment to a plasma shop
where more precision or higher
quality is required, or for parts
where heating is not good, or
where there is a need to cut a
wider range of materials.
After plasma cutting
After waterjet cutting
Waterjets vs. Other ProcessesWaterjets vs. Other Processes
Flame Cutting:
Waterjets would make a great compliment to a flame cutting where more precision
or higher quality is required, or for parts where heating is not good, or where there is
a need to cut a wider range of materials.
Milling:
Waterjets are used a lot for complimenting or replacing milling operations. They are
used for roughing out parts prior to milling, for replacing milling entirely, or for
providing secondary machining on parts that just came off the mill. For this reason,
many traditional machine shops are adding waterjet capability to provide a
competitive edge.
Punch Press:
Some stamping houses are using waterjets for fast turn-around, or for low quantity or
prototyping work. Waterjets make a great complimentary tool for punch presses and
the like because they offer a wider range of capability for similar parts.
Future of WaterjetFuture of Waterjet
Drilling wells
Drilling for oil
Radial tunnels
Advanced TechnologyAdvanced Technology
Practical ApplicationsPractical Applications
Edge finishing
Radiusing
De-burring
Polishing
ConclusionConclusion
• Relatively new technology has caught on
quickly and is replacing century-old methods
for manufacturing
• Used not only in typical machining
applications, but food and soft-goods
industries
• As material and pump technology advances
faster cutting rates, longer component life
and tighter tolerances will be achievable
• Paves the way for new machining processes
that embrace simplicity and have a small
environmental impact
ConclusionConclusion
Jet Machining is the
right choice of tools
for:
◦ Heat-sensitive or
Brittle materials
◦ Glass
Composites and
Nonmetals
Burrless Applications
Produce long
tapered walls in
deep cuts
Thank You
7/30/2015 185
Prof.P.Laxminarayana, Osmania University,
Hyderabad - 500 007, TS

NCMF

  • 1.
    NON-CONVENTIONAL METHODS OF MACHINING AND FORMING Prof.P. Laxminarayana Dept. of Mechanical Engineering University College of Engineering (A) Osmania University, Hyderabad – 500 007, TS 7/30/2015 1 Prof.P.Laxminarayana, Osmania University, Hyderabad - 500 007, TS
  • 2.
    Machines and MachiningMachinesand Machining 7/30/2015 Prof.P.Laxminarayana, Osmania University, Hyderabad - 500 007, TS 2 • Machines are devices or tools that makes our work easy. From the very old times, man has been using simple machines to make his task easy and speedy. • Depending on the simplicity of performance of task and time consumed. • Machines that are driven or operated with the help of human resource is termed as conventional machines. • Machining is any of various processes in which a piece of raw material is cut into a desired final shape and size by a controlled material-removal process. • Machining is a part of the Manufacture of many Metal products, but it can also be used on materials such as Wood, Plastic, Ceramic and Composites. Machining is the process of cutting of metal to form a preferred component. Generally two broad classification of machining process are there, they are : 1.Conventional Machining Method 2.Non-Conventional Machining Method
  • 3.
    Machining MethodsMachining Methods 7/30/2015 Prof.P.Laxminarayana,Osmania University, Hyderabad - 500 007, TS 3 Conventional Machining Method • Uses a sharp cutting tool to cut the metal. • In conventional machining process physical contact was made between work piece and took and the metal is removed in the form of chip. Turning, drilling, grinding, broaching, are example of conventional machining process. • For example to cut an aluminium bar, an iron fast rotating cutter may be used. Nonconventional Machining Method • As the name suggest, unconventional machining method involves the use of modern and advanced technology for machine processing. • There is no physical contact between the tool and the work piece in such process. • Tools used for cutting in unconventional methods are laser beams, electric beam, electric arc, infrared beam, Plasma cutting and so on depending on the type of working material. • For example ultrasonic machining, abrasive jet machining, water jet machining process etc. Nonconventional machining process have many advantages over conventional machining process as they are more precise, no wear of tool, no heat generation etc.
  • 4.
    7/30/2015 Prof.P.Laxminarayana, Osmania University, Hyderabad- 500 007, TS 4 Conventional Machining Method • Uses a sharp cutting tool to cut the metal. • In conventional machining process physical contact was made between work piece and took and the metal is removed in the form of chip. Turning, drilling, grinding, broaching, are example of conventional machining process. • For example to cut an aluminium bar, an iron fast rotating cutter may be used. NonConventional Machining Method • As the name suggest, unconventional machining method involves the use of modern and advanced technology for machine processing. • There is no physical contact between the tool and the work piece in such process. • Tools used for cutting in unconventional methods are laser beams, electric beam, electric arc, infrared beam, Plasma cutting and so on depending on the type of working material. • For example ultrasonic machining, abrasive jet machining, water jet machining process etc. Nonconventional machining process have many advantages over conventional machining process as they are more precise, no wear of tool, no heat generation etc.
  • 5.
    Difference between Conventionaland non-conventionalDifference between Conventional and non-conventional machining processes are :machining processes are : 7/30/2015 Prof.P.Laxminarayana, Osmania University, Hyderabad - 500 007, TS 5 1.Conventional machining process involved tool wearing as there is a physical contact between the tool and the work piece. In non-conventional process, this is not the case. 2.Non-conventional tools are more accurate and precise than the conventional tool. 3.No noise pollution is created as a result of non-conventional methods as these tools are much quieter. 4.Tool life is long for non-conventional processing. 5.Non-conventional tools are very expensive than the conventional tools. 6.Non-conventional tools have complex setup and hence requires a skillful operation by expert workers, whereas conventional tools do not require any special expert for its operation and are quite simple in set-up. 7.Spare parts of conventional machines are easily available but not for non-conventional machines.
  • 6.
    7/30/2015 Prof.P.Laxminarayana, Osmania University, Hyderabad- 500 007, TS 6 Non-conventional machining process which is defined as the process in which materials are removed from the workpiece in most accurate and effective manner. This is also termed as New Machining Process. There are different setup for this process. They are: 1. Abrasive jet machining process 2. Water jet machining process 3. Plasma arc machining process 4. Electron beam machining process 5. Electrical dielectric machining process 6. Chemical milling 7. Laser beam machining process Conventional machining process involves removal of material in form of chips whereas in newer machining, removal of material takes place in form of powders such as water jet machining process or in form of vapour as in case of Please arc or laser beam machining. So it is best to use highly advanced process such as electron beam, plama arc or laser beam machining to composite materials.
  • 7.
  • 8.
  • 9.
    Non- Conventional Methodsof MachiningNon- Conventional Methods of Machining and Formingand Forming Needs for Unconventional Machining Processes The Industries always face problems in Manufacturing of Components because of several reasons. Complexity of Job profile Due to Surface requirements with higher accuracy and Surface finish Due to the Strength of Materials 7/30/2015 9
  • 10.
    7/30/2015 Prof.P.Laxminarayana, Osmania University, Hyderabad- 500 007, TS 10 INTRODUCTION •We all know that the term machinability refers to the case with which a metal can be machined to an acceptable surface finish. •Nontraditional machining processes are widely used to manufacture geometrically complex and precision parts for aerospace, electronics and automotive industries. •In ordinary machining we use harder tool to work on work piece, this limitations is overcome by unconventional machining, unconventional machining is directly using some sort of indirect energy For machining. Ex: sparks, laser, heat, chemical etc. applied in EDM, laser cutting machines etc. •Non conventional Machining is a recent development in machining techniques.
  • 11.
    7/30/2015 Prof.P.Laxminarayana, Osmania University, Hyderabad- 500 007, TS 11 The requirements that lead to the development of nontraditional machining. • Very high hardness and strength of the material. • The work piece: too flexible or slender to support the cutting or grinding forces. • The shape of the part is complex, such as internal and external profiles, or small diameter holes. • Surface finish or tolerance better than those obtainable conventional process. • Temperature rise or residual stress in the work piece are undesirable. • Conventional machining involves the direct contact of tool and work -piece, whereas unconventional machining does not require the direct contact of tool and work piece. Conventional machining has many disadvantages like tool wear which are not present in Non-conventional machining. • Advantages of Non-conventional machining: 1. High accuracy and surface finish 2. Less/no wear 3. Tool life is more 4. Quieter operation • Disadvantages of non-conventional machining: 1. High cost 2. Complex set-up 3. Skilled operator required
  • 12.
    7/30/2015 Prof.P.Laxminarayana, Osmania University, Hyderabad- 500 007, TS 12 MACHINING CHARACTERISTICS The machining characteristics of different non- conventional processes can be analysed withrespect to : •Metal removal rate •Tolerance maintained •Surface finish obtained •Depth of surface damage •Power required for machining Unconventional machining processes: •Chemical machining(CM) •Electrochemical machining(ECM) •Electrochemical Grinding (ECG) •Electrical Discharge Machining (EDM) •Wire EDM •Laser Beam Machining (LBM) •Electron Beam Machining(EBM) •Water Jet Machining (WJT) •Abrasive Jet Machining (AJM) •Ultrasonic Machining (USM) CLASSIFICATION OF UNCONVENTIONAL MACHINING PROCESS Mechanical processes electro-thermal processes Chemical/electrochemical processes Unconventional machining process Oldest nontraditional machining process. Material is removed from a surface by chemical dissolution using chemical reagents or etchants like acids and alkaline solutions. CHEMICAL MACHINING (CM)
  • 13.
    7/30/2015 Prof.P.Laxminarayana, Osmania University, Hyderabad- 500 007, TS 13 ULTRASONIC MACHINING (UM) In UM the tip of the tool vibrates at low amplitude and at high frequency. This vibration transmits a high velocity to fine abrasive grains between tool and the surface of the work piece. •Material removed by erosion with abrasive particles. •The abrasive grains are usually boron carbides. •This technique is used to cut hard and brittle materials like ceramics, carbides, glass, precious stones and hardened steel.
  • 14.
    7/30/2015 Prof.P.Laxminarayana, Osmania University, Hyderabad- 500 007, TS 14 Abrasive Jet Machining (AJM) •In AJM a high velocity jet of dry air, nitrogen or CO2 containing abrasive particles is aimed at the work piece. •The impact of the particles produce sufficient force to cut small hole or slots, deburring, trimming and removing oxides and other surface films.
  • 15.
    7/30/2015 Prof.P.Laxminarayana, Osmania University, Hyderabad- 500 007, TS 15 WATER JET MACHINING (WJT) •Water jet acts like a saw and cuts a narrow groove in the material. •Pressure level of the jet is about 400MPa. •Advantages - no heat produced - cut can be started anywhere without the need for predrilled holes - burr produced is minimum - environmentally safe and friendly manufacturing •Application – used for cutting composites, plastics, fabrics, rubber, wood products etc. Also used in food processing industry.
  • 16.
    7/30/2015 Prof.P.Laxminarayana, Osmania University, Hyderabad- 500 007, TS 16 ELECTRICAL DISCHARGE MACHINING Based on erosion of metals by spark discharges. •EDM system consist of a tool (electrode) and work piece, connected to a dc power supply and placed in a dielectric fluid. •When potential difference between tool and work piece is high, a transient spark discharges through the fluid, removing a small amount of metal from the work piece surface. •This process is repeated with capacitor discharge rates of 50-500 kHz. Dielectric fluid: Mineral oils, kerosene, distilled and deionized water etc. Role of the dielectric fluid: •Acts as A insulator until the potential is sufficiently high. •Acts as a flushing medium and carries away the debris. •Also acts as a cooling medium. Electrodes: Usually made of graphite, Cu EDM can be used for die cavities, small diameter deep holes, turbine blades and various intricate shapes
  • 17.
    7/30/2015 Prof.P.Laxminarayana, Osmania University, Hyderabad- 500 007, TS 17 Wire EDM •This process is similar to contour cutting with a band saw. •A slow moving wire travels along a prescribed path, cutting the work piece with discharge sparks. •Wire should have sufficient tensile strength and fracture toughness. •Wire is made of brass, copper or tungsten. (About 0.25mm in diameter).
  • 18.
    7/30/2015 Prof.P.Laxminarayana, Osmania University, Hyderabad- 500 007, TS 18 ELECTROCHEMICAL MACHINING (ECM): •Reverse of electroplating •An electrolyte acts as a current carrier and high electrolyte movement in the tool-work- piece gap washes metal ions away from the work piece (anode) before they have a chance to plate on to the tool (cathode). Tool – Generally made of bronze, copper, brass or stainless steel. Electrolyte – Salt solutions like sodium chloride or sodium nitrate mixed in water. Power – DC supply of 5-25 V. ADVANTAGES OF ECM: •Process leaves a burr free surface. •Does not cause any thermal damage to the parts. •Lack of tool force prevents distortion of parts. •Capable of machining complex parts and hard materials •ECM systems are now available as Numerically Controlled machining centers with capability for high production, high flexibility and high tolerances.
  • 19.
    7/30/2015 Prof.P.Laxminarayana, Osmania University, Hyderabad- 500 007, TS 19 LASER BEAM MACHINING (LBM) •In LBM laser is focused and the work piece which melts and evaporates portions of the work piece. •Low reflectivity and thermal conductivity of the work piece surface, and low specific heat and latent heat of melting and evaporation – increases process efficiency. •Application - holes with depth-to-diameter ratios of 50 to 1 can be drilled. e.g. bleeder holes for fuel-pump covers, lubrication holes in transmission hubs
  • 20.
    7/30/2015 Prof.P.Laxminarayana, Osmania University, Hyderabad- 500 007, TS 20 Electron Beam Machining (EBM) •Similar to LBM except laser beam is replaced by high velocity electrons. •When electron beam strikes the work piece surface, heat is produced and metal is vaporized. •Surface finish achieved is better than LBM. •Used for very accurate cutting of a wide variety of metals.
  • 21.
  • 22.
  • 23.
    NON- CONVENTIONALNON- CONVENTIONAL ProcessesDefinedProcesses Defined A group of processes that remove excess material by various techniques involving mechanical, thermal, electrical, or chemical energy (or combinations of these energies) but do not use a sharp cutting tool in the conventional sense 7/30/2015 23
  • 24.
    Why Non-Conventional ProcessesareWhy Non-Conventional Processes are ImportantImportant  Need to machine newly developed metals and non metals with special properties that make them‑ difficult or impossible to machine by conventional methods  Need for unusual and/or complex part geometries that cannot easily be accomplished by conventional machining  Need to avoid surface damage that often accompanies conventional machining 7/30/2015 24
  • 25.
    Classification ofClassification ofNon-ConventionalNon-Conventional Processes byType of Energy UsedProcesses byType of Energy Used  Mechanical erosion of work material by a high velocity stream‑ of abrasives or fluid (or both) is the typical form of mechanical action  Electrical electrochemical energy to remove material (reverse of‑ electroplating)  Thermal – thermal energy usually applied to small portion of work surface, causing that portion to be removed by fusion and/or vaporization  Chemical – chemical etchants selectively remove material from portions of workpart, while other portions are protected by a mask 7/30/2015 25
  • 26.
    NON- CONVENTIONAL MACHININGNON-CONVENTIONAL MACHINING AND THERMAL CUTTING PROCESSESAND THERMAL CUTTING PROCESSES I. Mechanical Energy Processes II. Electrochemical Machining Processes III. Thermal Energy Processes IV. Chemical Machining 7/30/2015 26
  • 27.
    Mechanical Energy ProcessesMechanicalEnergy Processes Ultrasonic machining Water jet cutting Abrasive water jet cutting Abrasive jet machining Ultrasonic machining Water jet cutting Abrasive water jet cutting Abrasive jet machining 7/30/2015 27
  • 28.
    II. Electrochemical MachiningII.Electrochemical Machining ProcessesProcesses  Electrical energy used in combination with chemical reactions to remove material  Reverse of electroplating  Work material must be a conductor  Processes: ◦ Electrochemical machining (ECM) ◦ Electrochemical deburring (ECD) ◦ Electrochemical grinding (ECG) 7/30/2015 28
  • 29.
    III. Thermal EnergyProcessesIII. Thermal Energy Processes Electric discharge machining Electric discharge wire cutting Electron beam machining Laser beam machining Plasma arc machining 7/30/2015 29
  • 30.
    IV. Chemical Machining(CHM)IV. Chemical Machining (CHM) Material removal through contact with a strong chemical etchant Processes include: ◦ Chemical milling ◦ Chemical blanking ◦ Chemical engraving ◦ Photochemical machining All utilize the same mechanism of material removal 7/30/2015 30
  • 31.
    I. Mechanical EnergyProcessesI. Mechanical Energy Processes Ultrasonic machining Abrasive jet machining Abrasive water jet cutting Water jet cutting 7/30/2015 31
  • 32.
    Unit - I UltrasonicMachining (USM): Process description, abrasive slurry, Abrasive materials and their characteristics. Functions of liquid medium in slurry. Types of Transducers, effect of process parameters, applications and limitations. Abrasive Jet Machining (AJM): Principle of operation, process details, process variables and their effect on MRR and accuracy. Equation for MRR. Advantages, disadvantages and applications. Water Jet Machining (WJM): Schematic diagram, equipment used, advantages and applications. 7/30/2015 32 Prof.P.Laxminarayana, Osmania University, Hyderabad - 500 007, TS Mechanical Energy ProcessesMechanical Energy Processes
  • 33.
    Ultrasonic Machining (USM)UltrasonicMachining (USM) Abrasives contained in a slurry are driven at high velocity against work by a tool vibrating at low amplitude and high frequency  Tool oscillation is perpendicular to work surface  Tool is fed slowly into work  Shape of tool is formed in part 7/30/2015 33
  • 34.
    USM ApplicationsUSM Applications Hard, brittle work materials such as ceramics, glass, and carbides  Also successful on certain metals, such as stainless steel and titanium  Shapes include non-round holes, holes along a curved axis  “Coining operations” - pattern on tool is imparted to a flat work surface 7/30/2015 34
  • 35.
    Water Jet Cutting(WJC)Water Jet Cutting (WJC) Uses a fine, high pressure, high velocity stream of water directed at work surface for cutting 7/30/2015 35
  • 36.
    WJC ApplicationsWJC Applications Usually automated by CNC or industrial robots to manipulate nozzle along desired trajectory  Used to cut narrow slits in flat stock such as plastic, textiles, composites, floor tile, carpet, leather, and cardboard  Not suitable for brittle materials (e.g., glass)  WJC advantages: no crushing or burning of work surface, minimum material loss, no environmental pollution, and ease of automation 7/30/2015 36
  • 37.
    Abrasive Water JetCutting (AWJC)Abrasive Water Jet Cutting (AWJC)  When WJC is used on metals, abrasive particles must be added to jet stream usually  Additional process parameters: abrasive type, grit size, and flow rate ◦ Abrasives: aluminum oxide, silicon dioxide, and garnet (a silicate mineral) ◦ Grit sizes range between 60 and 120 ◦ Grits added to water stream at about 0.25 kg/min (0.5 lb/min) after it exits nozzle 7/30/2015 37
  • 38.
    Abrasive Jet Machining(AJM)Abrasive Jet Machining (AJM)  High velocity stream of gas containing small abrasive particles 7/30/2015 38
  • 39.
    AJM Application NotesAJMApplication Notes  Usually performed manually by operator who directs nozzle  Normally used as a finishing process rather than cutting process  Applications: deburring, trimming and deflashing, cleaning, and polishing  Work materials: thin flat stock of hard, brittle materials (e.g., glass, silicon, mica, ceramics) 7/30/2015 39
  • 40.
    II. Electrochemical MachiningII.Electrochemical Machining ProcessesProcesses  Electrical energy used in combination with chemical reactions to remove material  Reverse of electroplating  Work material must be a conductor  Processes: ◦ Electrochemical machining (ECM) ◦ Electrochemical deburring (ECD) ◦ Electrochemical grinding (ECG) 7/30/2015 40
  • 41.
    Electrochemical Machining (ECM)ElectrochemicalMachining (ECM) Material removal by anodic dissolution, using electrode (tool) in close proximity to the work but separated by a rapidly flowing electrolyte 7/30/2015 41
  • 42.
    Electrochemical Deburring (ECD)ElectrochemicalDeburring (ECD) Adaptation of ECM to remove burrs or round sharp corners on holes in metal parts produced by conventional through hole drilling‑ 7/30/2015 42
  • 43.
    Electrochemical Grinding (ECG)ElectrochemicalGrinding (ECG) Special form of ECM in which a grinding wheel with conductive bond material is used to augment anodic dissolution of metal part surface 7/30/2015 43
  • 44.
    III. Thermal EnergyProcessesIII. Thermal Energy Processes Very high local temperatures ◦ Material is removed by fusion or vaporization Physical and metallurgical damage to the new work surface In some cases, resulting finish is so poor that subsequent processing is required 7/30/2015 44
  • 45.
    Thermal Energy ProcessesThermalEnergy Processes Electric discharge machining Electric discharge wire cutting Electron beam machining Laser beam machining Plasma arc machining 7/30/2015 45
  • 46.
    Electric Discharge ProcessesElectricDischarge Processes Metal removal by a series of discrete electrical discharges (sparks) causing localized temperatures high enough to melt or vaporize the metal  Can be used only on electrically conducting work materials  Two main processes: 1. Electric discharge machining 2. Wire electric discharge machining 7/30/2015 46
  • 47.
    Electric discharge machining(EDM): (a) overall setup, and (b) close up‑ view of gap, showing discharge and metal removal Electric Discharge Machining (EDM) 7/30/2015 47
  • 48.
    EDM ApplicationsEDM Applications Tooling for many mechanical processes: molds for plastic injection molding, extrusion dies, wire drawing dies, forging and heading dies, and sheetmetal stamping dies  Production parts: delicate parts not rigid enough to withstand conventional cutting forces, hole drilling where hole axis is at an acute angle to surface, and machining of hard and exotic metals 7/30/2015 48
  • 49.
    Wire EDMWire EDM Specialform of EDM that uses small diameter wire as electrode to cut a narrow kerf in work Electric discharge wire cutting (EDWC), also called wire EDM 7/30/2015 49
  • 50.
    Laser Beam Machining(LBM)Laser Beam Machining (LBM) Uses the light energy from a laser to remove material by vaporization and ablation 7/30/2015 50
  • 51.
    Plasma Arc Cutting(PAC)Plasma Arc Cutting (PAC) Uses a plasma stream operating at very high temperatures to cut metal by melting 7/30/2015 51
  • 52.
    IV. Chemical Machining(CHM)IV. Chemical Machining (CHM) Material removal through contact with a strong chemical etchant Processes include: ◦ Chemical milling ◦ Chemical blanking ◦ Chemical engraving ◦ Photochemical machining All utilize the same mechanism of material removal 7/30/2015 52
  • 53.
    The basic componentsto the cuttingThe basic components to the cutting action are believed to beaction are believed to be 7/30/2015 53
  • 54.
     Small, tabletop-sizedunits to large-capacity machine tools,  Bench units, and as self-contained machine tools.  Power range from about 40 W to 2.5 kW.  The power rating strongly influences the material removal rate. 7/30/2015 54
  • 55.
    Subsystems of USMSystemSubsystems of USM System BB EE CC DD AA 7/30/2015 55
  • 56.
    56 USM - ComponentsUSM- Components 7/30/2015 Prof.P.Laxminarayana, Osmania University, Hyderabad - 500 007, TS
  • 57.
    57 Machining SystemMachining System •The machining system of USM is composed mainly from the magnetostrictor, concentrator, tool and slurry feeding arrangement. • The magnetostrictor is energized at the ultrasonic frequency and produces small-amplitude vibrations. • Such a small vibration is amplified using the constrictor (mechanical amplifier) that holds the tool. • The abrasive slurry is pumped between the oscillating tool and the brittle workpiece. • A static pressure is applied in the tool-workpiece interface that maintains the abrasive slurry. 7/30/2015 Prof.P.Laxminarayana, Osmania University, Hyderabad - 500 007, TS
  • 58.
    58 Main Elements ofan USMMain Elements of an USM 7/30/2015
  • 59.
     The powersupply is a sine-wave generator  The user can control over both the frequency and power of the generated signal.  It converts low-frequency (50/60 Hz) power to high- frequency (10-15 kHz) power  Supply to the transducer for conversion into mechanical motion. AA 7/30/2015 59
  • 60.
     Two typesof transducers are used in USM to convert the supplied energy to mechanical motion.  They are based on two different principles of operation - Magnetostriction - Piezoelectricity BB 7/30/2015 60
  • 61.
     There aremany different types of transducers, but at their most basic, they can be divided into two groups: input (sensor) and output (actuator ).  Input transducers take some sort of physical energy — such as sound waves, temperature, or pressure — and converts it into a signal that can be read. A microphone, for example, converts sound waves that strike its diaphragm into an electrical signal that can be transmitted over wires. A pressure sensor turns the physical force being exerted on it into a number or reading that can be easily understood.  Actuators take an electronic signal and convert it into physical energy. A stereo speaker works by transforming the electronic signal of a recording into physical sound waves. Electric motors are another common form of electromechanical transducer, converting electrical energy into mechanical energy to perform a task. 7/30/2015 61
  • 62.
    • Magnetostrictive transducersare usually constructed from a laminated stack of nickel or nickel alloy sheets. • Magnetostriction is explained in terms of domain theory . BB 7/30/2015 62
  • 63.
     Domains arevery small regions, of the order of l0-8 ~ l0-9 cm3 ,  In which there are forces that cause the magnetic moments of the atoms to be oriented in a single direction.  In each domain the atomic magnetic moments are oriented in one of the directions of easy magnetization BB 7/30/2015 63
  • 64.
    • In thecubic-lattice crystals of iron and nickel there are six directions of easy magnetization. • In unmagnetized material all these directions are present in equal numbers, the magnetic moments of the orderless, unorientated domains compensate one another BB 7/30/2015 64
  • 65.
    • When thematerial is placed in a sufficiently strong magnetic field, the magnetic moments of the domains rotate into the direction of the applied magnetic field and become parallel to it. • During this process the material expands or contracts, until all the domains have become parallel to one another. BB 7/30/2015 65
  • 66.
     As thetemperature is raised, the amount of magnetostrictive strain diminishes .  Magnetostrictive transducers require cooling by fans or water. BB 7/30/2015 66
  • 67.
    • Such asquartz or lead,zirconate,titanate, generate a small electric current when compressed. • Conversely, when an electric current is applied, the material increases minutely in size. • When the current is removed, the material instantly returns to its original shape. BB 7/30/2015 67
  • 68.
    • Piezoelectric materialsare composed of small particles bound together by sintering. • The material undergoes polarization by heating it above the Curie point. • Such transducers exhibit a high electromechanical conversion efficiency that eliminates the need for cooling. BB 7/30/2015 68
  • 69.
    • The magnitudeof the length change is limited by the strength of the particular transducer material. • The limit is approximately 0.025 mm. BB 7/30/2015 69
  • 70.
    • Its functionis to increase the tool vibration amplitude and to match the vibrator to the acoustic load. • It must be constructed of a material with good acoustic properties and be highly resistant to fatigue cracking. CC 7/30/2015 70
  • 71.
     Monel andtitanium have good acoustic properties and are often used together with stainless steel, which is cheaper.  However, stainless steel has acoustical and fatigue properties that are inferior to those of Monel and titanium, limiting it to low­amplitude applications.  Nonamplifying holders are cylindrical and result in the same stroke amplitude at the output end as at the input end.  Amplifying toolholders have a cross section that diminishes toward the tool, often following an exponential function.  An amplifying toolholder is also called a concentrator. CC 7/30/2015 71
  • 72.
    • Amplifying holdersremove material up to 10 times faster than the nonamplifying type. • The disadvantages of amplifying toolholders include increased cost to fabricate, a reduction in surface finish quality, and the requirement of much more frequent running to maintain resonance. CC 7/30/2015 72
  • 73.
     Tools shouldbe constructed from relatively ductile materials.  The harder the tool material, the faster its wear rate will be.  It is important to realize that finishing or polishing operations on the tools are sometimes necessary because their surface finish will be reproduced in the workpiece. DD 7/30/2015 73
  • 74.
    • The geometryof the tool generally corresponds to the geometry of the cut to be made, • Because of the overcut, tools are slightly smaller than the desired hole or cavity • Tool and toolholder are often attached by silver brazing. DD 7/30/2015 74
  • 75.
    • The criteriafor selection of an abrasive for a particular application include hardness, usable life, cost, and particle size. • Diamond is the fastest abrasive, but is not practical because of its cost. • Boron carbide is economical and yields good machining rates. • Silicon carbide and aluminum oxide are also widely used. EE 7/30/2015 75
  • 76.
     Coarse gritsexhibit the highest removal rates, when the grain size becomes comparable with the tool amplitude, cut more slowly.  The larger the grit size, the rougher the machined surface. EE 7/30/2015 76
  • 77.
     With anabrasive concentration of about 50% by weight in water , but thinner mixtures are used to promote efficient flow when drilling deep holes or when forming complex cavities. EE 7/30/2015 77
  • 78.
  • 79.
    79 ToolsTools • Tool tipsmust have high wear resistance and fatigue strength. • For machining glass and tungsten carbide, copper and chromium silver steel tools are recommended. • Silver and chromium nickel steel are used for machining sintered carbides. • During USM, tools are fed toward, and held against, the workpiece by means of a static pressure that has to overcome the cutting resistance at the interface of the tool and workpiece. • Different tool feed mechanisms are available that utilize: – Pneumatic – Periodic switching of a stepping motor or solenoid – Compact spring-loaded system – Counterweight techniques. 7/30/2015 Prof.P.Laxminarayana, Osmania University, Hyderabad - 500 007, TS
  • 80.
    80 Abrasive SlurryAbrasive Slurry •Abrasive slurry is usually composed of 50 vol. % of fine abrasive grains and 50 vol.% of water. • Abrasive grain sizes: 100 – 800 grit number. • Abrasive particles used: (a) Boron carbide (B4C) (b) Aluminum oxide (Al2O3) or (c) Silicon carbide (SiC). • The abrasive slurry is circulated between the oscillating tool and workpiece. • Under the effect of the static feed force and the ultrasonic vibration, the abrasive particles are hammered into the workpiece surface causing mechanical chipping of minute particles. • The slurry is pumped through a nozzle close to the tool-workpiece interface at a rate of 25 L/min. • As machining progresses, the slurry becomes less effective as the particles wear and break down. • The expected life ranges from 150 to 200 h of ultrasonic exposure. 7/30/2015 Prof.P.Laxminarayana, Osmania University, Hyderabad - 500 007, TS
  • 81.
    81 Abrasive SlurryAbrasive Slurry •The slurry is continuously fed to the machining zone in order to ensure efficient flushing of debris and keeps the machining area cool. • The performance of USM depends on the manner in which the slurry is fed to the cutting zone. • The different slurry feeding arrangements: 7/30/2015 Prof.P.Laxminarayana, Osmania University, Hyderabad - 500 007, TS
  • 82.
    82 Material Removal ProcessMaterialRemoval Process • Material removal mechanism of USM involves three distinct actions: 1. Mechanical abrasion by localized direct hammering of the abrasive grains stuck between the vibrating tool and adjacent work surface. 2. The microchipping by free impacts of particles that fly across the machining gap and strike the workpiece at random locations. 3. The work surface erosion by cavitation in the slurry stream. 7/30/2015 Prof.P.Laxminarayana, Osmania University, Hyderabad - 500 007, TS
  • 83.
    83 Material Removal ProcessMaterialRemoval Process • The relative contribution of the cavitation effect is reported to be less than 5 percent of the total material removed. • The dominant mechanism involved in USM of all materials is direct hammering. • Soft and elastic materials like mild steel are often plastically deformed first and are later removed at a lower rate. • In case of hard and brittle materials such as glass, the machining rate is high and the role played by free impact can also be noticed. • When machining porous materials such as graphite, the mechanism of erosion is introduced. • The rate of material removal, in USM, depends, on the frequency of tool vibration, static pressure, the size of the machined area, and the abrasive and workpiece material. • MRR and machinability by USM depends on the brittleness criterion which is the ratio of shearing to breaking strength of a material. 7/30/2015 Prof.P.Laxminarayana, Osmania University, Hyderabad - 500 007, TS
  • 84.
    84 Material Removal RateMaterialRemoval Rate 7/30/2015 Prof.P.Laxminarayana, Osmania University, Hyderabad - 500 007, TS
  • 85.
    85 USM PerformanceUSM Performance 7/30/2015 Prof.P.Laxminarayana,Osmania University, Hyderabad - 500 007, TS
  • 86.
    86 Factors affecting MRRFactorsaffecting MRR 1. Tool Oscillation or Vibration – Amplitude & Frequency • Amplitude of the tool oscillation has the greatest effect of all the process variables. • MRR increases with a rise in the tool vibration amplitude. • Vibration amplitude determines the velocity of the abrasive particles at the interface between the tool and workpiece. • Under such circumstances the kinetic energy rises, at larger amplitudes, which enhances the mechanical chipping action and consequently increases the MRR. • A greater vibration amplitude may lead to the occurrence of splashing, which causes a reduction of the number of active abrasive grains and results in a decrease in the MRR. 7/30/2015 86 Prof.P.Laxminarayana, Osmania University, Hyderabad - 500 007, TS
  • 87.
    87 Factors affecting MRR– Contd.Factors affecting MRR – Contd. Tool Oscillation – Contd. • According to Kaczmarek (1976) with regard to the range of grain sizes used in practice, the amplitude of oscillation varies within the limits of 0.04 to 0.08 mm. • The increase of feed force induces greater chipping forces by each grain, which raises the overall removal rate. • McGeough (1988) reported that the increase in vibration frequency reduces the removal rate. • This trend may be related to the small chipping time allowed for each grain such that a lower chipping action prevails and causing a decrease in the removal rate. 7/30/2015 87 Prof.P.Laxminarayana, Osmania University, Hyderabad - 500 007, TS
  • 88.
    88 Factors affecting MRR– Contd.Factors affecting MRR – Contd. 2. Abrasive Grains • Both the grain size and the vibration amplitude have a similar effect on the removal rate. • According to McGeough (1988), MRR rises at greater grain sizes until the size reaches the vibration amplitude, at which stage, the MRR decreases. • When the grain size is large compared to the vibration amplitude, there is a difficulty of abrasive renewal. • Because of its higher hardness, B4C achieves higher removal rates than silicon carbide (SiC) when machining glass. • The MRR obtained with silicon carbide is about 15 % lower when machining glass, 33 % lower for tool steel, and about 35 % lower for sintered carbide. 7/30/2015 88 Prof.P.Laxminarayana, Osmania University, Hyderabad - 500 007, TS
  • 89.
    89 Factors affecting MRR– Contd.Factors affecting MRR – Contd. 2. Abrasive Grains – Contd. • Water is commonly used as the abrasive carrying liquid for the abrasive slurry while benzene, glycerol, and oils are alternatives. • The increase of slurry viscosity reduces the removal rate. • The improved flow of slurry results in an enhanced machining rate. • In practice a volumetric concentration of about 30 to 35 percent of abrasives is recommended. • A change of concentration occurs during machining as a result of the abrasive dust settling on the machine table. • The actual concentration should, therefore, be checked at certain time intervals. • The increase of abrasive concentration up to 40 % enhances MRR. • More cutting edges become available in the machining zone, which raises the chipping rate and consequently the overall removal rate. 7/30/2015 89 Prof.P.Laxminarayana, Osmania University, Hyderabad - 500 007, TS
  • 90.
    90 Factors affecting MRR– Contd.Factors affecting MRR – Contd. 3. Workpiece Impact Hardness • MRR is affected by the ratio of tool hardness to workpiece hardness. • In this regard, the higher the ratio, the lower will be MRR. • For this reason soft and tough materials are recommended for USM tools. 4. Tool Shape • Increase in tool area - decreases the machining rate; due to inadequate distribution of abrasive slurry over the entire area. • McGeough (1988) reported that, for the same machining area, a narrow rectangular shape yields a higher machining rate than a square shape. • Rise in static pressure - enhances MRR up to a limiting condition, beyond which no further increase occurs. • Reason - disturbance in the tool oscillation at higher forces where lateral vibrations are expected. 7/30/2015 90 Prof.P.Laxminarayana, Osmania University, Hyderabad - 500 007, TS
  • 91.
    91 Factors affecting MRR– Contd.Factors affecting MRR – Contd. 4. Tool Shape – Contd. • According to Kaczmarek (1976), at pressures lower than the optimum, the force pressing the grains into the material is too small and the volume removed by a particular grain diminishes. • Measurements also showed a decrease in MRR with an increase in the hole depth. • Reason - deeper the tool reaches, the more difficult and slower is the exchange of abrasives from underneath the tool. 7/30/2015 91 Prof.P.Laxminarayana, Osmania University, Hyderabad - 500 007, TS
  • 92.
    Dimensional AccuracyDimensional Accuracy Accuracy (oversize, conicity, out of roundness) - affected by ◦ Side wear of the tool ◦ Abrasive wear ◦ Inaccurate feed of the tool holder ◦ Form error of the tool ◦ Unsteady and uneven supply of abrasive slurry Overcut  Holes accuracy is measured through overcut (oversize).  Hole oversize measures the difference between the hole diameter, measured at the top surface, and the tool diameter.  Side gap between tool and hole is necessary to enable abrasive flow.  Hence, grain size of the abrasives represents the main factor, which affects the overcut produced. 7/30/2015 92
  • 93.
    Dimensional Accuracy –Contd. • Overcut is considered to be about 2 - 4 times greater than the mean grain size when machining glass and tungsten carbide. • It is about 3 times greater than the mean grain size of B4C. • However, the magnitude of overcut depends on many other process variables (type of workpiece material and the method of tool feed). • In general, USM accuracy levels are limited to + 0.05 mm. Conicity (non-parallel sides) • Overcut is usually greater at the entry side than at the exit. • Reason - cumulative abrasion effect of fresh and sharp grain particles. • As a result, a hole conicity of ~ 0.2° arises when drilling a hole of φ 20 mm and a depth of 10 mm in graphite. 7/30/2015 93
  • 94.
    Dimensional Accuracy –Contd. • The conicity may be reduced by – Direct injection of abrasive slurry into the machining zone. – Use of tools having negatively tapering walls. – Use of high static pressure that produces finer abrasives, which in turn reduces the tool wear. – Use of wear-resistant tool materials. – Use of an undersized tool in the first cut and a final tool of the required size, which will cut faster and reduce the conicity. Out of roundness • Out of roundness arises by the lateral vibrations of the tool. • Such vibrations - due to out of perpendicularity of tool face and centerline. • Also due to misalignment in the acoustic parts of the machine. • Typical values - ~40-140 μm for glass and 20-60 μm for graphite. 7/30/2015 94
  • 95.
    Surface Quality • Surfacefinish - closely related to the machining rate in USM. • Table shows the relationship between grit number and grit size. • Larger the grit size, faster the cutting rate but surface finish is poor. • Surface finish of 0.38 to 0.25 μm can be expected using abrasives of grit number 240. 7/30/2015 95
  • 96.
    Surface Quality –Contd. • However, other factors such as tool surface, amplitude of tool vibration, and material being machined also affect the surface finish. • Larger the grit size (smaller grain size), the surface will be smooth. • The larger chipping marks formed on brittle materials create rougher surfaces than that obtained in case of hard alloy steel. • Amplitude of tool oscillation has a smaller effect on the surface finish. • As the amplitude is raised, individual grains are pressed further into the workpiece surface and cause deeper craters ⇒ a rough surface. • Static pressure has a little effect on the surface finish. • Smoother surfaces can also be obtained by using low viscosity liquid. • Surface irregularities on sidewall are larger than those on the bottom. • Reason - Sidewalls are scratched by abrasive grains. • Cavitation damage occurs when the particles penetrate deeper. • Under such circumstances, it is difficult to replenish the slurry in these deeper regions and thus a rougher surface is produced. 7/30/2015 96
  • 97.
    7/30/2015 97 Prof.P.Laxminarayana, OsmaniaUniversity, Hyderabad - 500 007, TS
  • 98.
    Applications of USM •USM should be applied for shallow cavities cut in hard and brittle materials having a surface area less than 1000 mm2 . Drilling and coring. 7/30/2015 98
  • 99.
    Applications of USM– Contd. • Fig. - Modified version of USM - tool bit is rotated against the workpiece in a similar fashion to conventional drilling. • The process is, therefore, called Rotary Ultrasonic Machining (RUM). • Cruz et al. (1995) used such a process for machining non-metallic materials such as glass, alumina, ceramic, ferrite, quartz, zirconium oxide, ruby, sapphire, beryllium oxide, and some composite materials. • RUM ensures high removal rates, lower tool pressures for delicate parts, improved deep hole drilling, less breakout or through holes, and no core seizing during core drilling of the cavity. • Deep holes require more time as the rate of machining decreases with the depth of penetration. • This is due to the difficulty in maintaining a continuous supply of new slurry at the tool face. • Generally a depth-to-diameter ratio of 2.5 is achievable by RUM. 7/30/2015 99
  • 100.
    Applications of USM– Contd. Ultrasonic sinking and contour machining 7/30/2015 100
  • 101.
    Applications of USM– Contd. • During USM sinking, material removal is difficult for depth > 5 to 7 mm. • Under such conditions, the removal of abrasives at the interface becomes difficult and hence the material removal process is impossible. • Moreover, manufacturing of such a tool is generally complex and costly. • Contouring USM - simple tools that are moved along the contour required. • Fig. shows holes and contours machined using a USM contour machining. Silicon nitride turbine blades (sinking) Acceleration lever and holes (contour USM)7/30/2015 101
  • 102.
    Applications of USM– Contd. Production of EDM Electrodes • Gilmore (1995) used USM to produce graphite EDM electrodes (Fig.). • Typical machining speeds, in graphite range from 40 to 140 mm/min. • Surface roughness from 0.2 to 1.5 μm with an accuracy of ±10 μm. • Small machining forces permit the manufacture of fragile graphite EDM electrodes. 7/30/2015 102
  • 103.
    Applications of USM– Contd. Ultrasonic Polishing • Polishing occurs by vibrating a brittle tool material (graphite or glass) into the workpiece at an ultrasonic frequency and a relatively low amplitude. • Fine abrasive particles abrade the high spots of the workpiece surface, typically removing 0.012 mm of material or less. • By this method, the surface finish obtained can be as low as 0.3 μm. • Fig. shows the ultrasonic polishing that lasted 1.5 to 2 min to remove the machining marks left by a CNC engraving operation. ⇒ 7/30/2015 103
  • 104.
    Applications of USM– Contd. Micro-Ultrasonic Machining (MUSM) • MUSM is a method that utilizes workpiece vibration. • According to Egashira and Masuzana (1999), vibrating the workpiece allows flexibility in tool system design as it does not include the set of transducer, horn, and cone. • In addition, the complete system is much more simple and compact than conventional USM. • Using such a method, microholes of 5 μm diameter on quartz, glass, and silicon have been produced using tungsten carbide (WC) alloy microtools. • However the high wear resistance of sintered diamond (SD) tools made it possible to machine multiple holes using a single tool. • Similarly MUSM is used for machining 3-D shapes. 7/30/2015 104
  • 105.
    MUSM - Concept Micro-ultrasonicmachining Micro-ultrasonic machined cavity 7/30/2015 105
  • 106.
    Applications of USM– Contd. Other Applications • Cutting off of parts made from semiconductors at high removal rates compared to conventional machining methods. • Engraving on glass as well as hardened steel and sintered carbide. • Parting and machining of precious stones including diamond. 7/30/2015 106
  • 107.
     Mechanics ofmaterial removal - brittle fracture caused by impact of abrasive grains due to vibrating at high frequency  Medium - slurry  Abrasives: B4C; SiC;Al2O3; diamond; 100-800 grit size  Vibration freq. 15-30 KHz, amplitude 25-100 micro m  Tool material soft steel  Material/tool wear = 1.5 forWC workpiece, 100 for glass  Gap 25-40 micro m  Critical parameters - frequency, amplitude, tool material, grit size, abrasive material, feed force, slurry concentration, slurry viscosity  Material application - metals and alloys (particularly hard and brittle), semiconductors, nonmetals, e.g., glass and ceramics  Shape application - round and irregular holes, impressions  Limitations - very low mrr, tool wear, depth of holes, and cavities small. 7/30/2015 107
  • 109.
    What is abrasivejet machining ?What is abrasive jet machining ?  It is the material removal process where the material is removed by high velocity stream of air/gas or water and abrasive mixture .  An abrasive is small, hard particle having sharp edges and an irregular shape .  High velocity jet is aimed at a surface under controller condition .
  • 115.
    schematic diagram ofajmschematic diagram of ajm
  • 126.
    ajm featuresajm features Thereare main features of AJM  Obtainable tolerances  Material to machine  Material thickness  Accuracy of table  Stability of table  Control abrasive jet
  • 127.
    machinemachine aspectsaspects Around curves Inside corner  Feed rate  Acceleration  Nozzle focus  Speed cutting  Pump pressure  Hardness & thickness  Software controlling the motion  Power at the nozzle
  • 128.
    types of abrasivetypesof abrasive materialsmaterials Different types of abrasive are used in abrasive jet machining like garnet , aluminum oxide , olivine , silica sand , silicon carbide ,etc .  Virtually any material can be cut by using abrasive jet machining method , i.e harder materials like titanium to steel.  Abrasive particles must be hard, high toughness, irregular in shape & edges should be sharp .
  • 129.
    advantagesadvantages  Extremely fastsetup & programming  No start hole required  There is only one tool  Low capital cost  Less vibration  No heat generated in work piece  Environmentally friendly
  • 131.
    disadvantagedisadvantage ss  Low metalremoval rate  Due to stay cutting accuracy is affected  Abrasive powder cannot be reused  Tapper is also a problem
  • 132.
    conclusionconclusion  The betterperformance, and the applications represented above statements confirm that ABRASIVE JET MACHINING is continue to expand .  The new software’s used to minimize time and investments, there by making it possible for more manufacturers of precision parts to install AJM centers .
  • 133.
    Abrasive Water JetMachiningAbrasive Water Jet Machining Unit-I
  • 134.
    Introduction toWater jetIntroductiontoWater jet Fastest growing machining process One of the most versatile machining processes Compliments other technologies such as milling, laser, EDM, plasma and routers True cold cutting process – no HAZ, mechanical stresses or operator and environmental hazards Not limited to machining – food industry applications
  • 135.
    HistoryHistory • Dr. Franzin 1950’s first studied water cutting for forestry and wood cutting (pureWJ) • 1979 Dr. Mohamed Hashish added abrasive particles to increase cutting force and ability to cut hard materials including steel, glass and concrete (abrasive WJ) • First commercial use was in automotive industry to cut glass in 1983 • Soon after, adopted by aerospace industry for cutting high-strength materials like Inconel, stainless steel and titanium as well as composites like carbon fiber
  • 136.
    PureWJ CuttingPureWJ Cutting •Pure cuts soft materials – corrugated cardboard, disposable diapers, tissue papers, automotive interiors • Very thin stream (0.004 - 0.010 dia) • Extremely detailed geometry • Very little material loss due to cutting • Can cut thick, soft, light materials like fiberglass insulation up to 24” thick or thin, fragile materials • Very low cutting forces and simple fixturing • Water jet erodes work at kerf line into small particles
  • 137.
    PureWJ Cutting cont.PureWJCutting cont. • Water inlet pressure between 20k-60k psi • Forced through hole in jewel 0.007-0.020” dia • Sapphires, Rubies with 50-100 hour life • Diamond with 800- 2,000 hour life, but they are pricey
  • 138.
    AbrasiveWJ CuttingAbrasiveWJ Cutting •Used to cut much harder materials • Water is not used directly to cut material as in Pure, instead water is used to accelerate abrasive particles which do the cutting • 80-mesh garnet (sandpaper) is typically used though 50 and 120-mesh is also used • Standoff distance between mixing tube and workpart is typically 0.010-0.200 mm important to keep to a minimum to keep a good surface finish
  • 139.
    AbrasiveWJ Cutting cont.AbrasiveWJCutting cont. • Evolution of mixing tube technology • Standard Tungsten Carbide lasts 4-6 hours (not used much anymore) • Premium Composite Carbide lasts 100-150 hours • Consumables include water, abrasive, orifice and mixing tube
  • 140.
    TolerancesTolerances • Typically +/-0.005 inch • Machines usually have repeatability of 0.001 inch • Comparatively traditional machining centers can hold tolerances 0f 0.0001 inch with similar repeatability • WJ tolerance range is good for many applications where critical tolerances are not crucial to workpart design
  • 143.
     componentscomponents ofofabrasiveabrasive jetjet machiningmachining Abrasive delivery system Control system Pump Nozzle Mixing tube Motion system
  • 144.
    1.1. abrasive deliverysystemabrasive delivery system Auto abrasive delivery system has the capability of storing abrasive & delivery the abrasive to the bucket . It’s works auto programming system by help of once measuring record & no adjustment or fine tuning system . High sensitive sensor gives extremely reliable & repeatable .
  • 145.
    2.control system2.control system Thecontrol algorithm that computes exactly how the feed rate should vary for a given geometry in a given material to make a precise part . The algorithm actually determines desired variation in the feed rate & the tool path to provide an extremely smooth feed rate .
  • 146.
    3.pump3.pump Crankshaft & intensifierpump are mainly use in the abrasive jet machine . The intensifier pump was the only pump capable of reliably creating pressures high . Crankshaft pumps are more efficient than intensifier pumps because they do not require a power robbing
  • 147.
    4.nozzle4.nozzle All abrasive jetsystems use the same basic two stage nozzle . First , water passes through a small diameter jewel orifice to form a narrow jet . The abrasive particles are accelerated by the moving stream of water & they pass into a long hollow cylindrical ceramic mixing tube. Generally two type of nozzle use , right angle head & straight head .
  • 148.
     fig. ofnozzlefig. of nozzle
  • 149.
    5. mixing tube5.mixing tube The mixing tube is where the abrasive mixes with the high pressure water . The mixing tube should be replaced when tolerances drop below acceptable levels . For maximum accuracy , replace the mixing tube more frequently .
  • 150.
    6.motion system6.motion system Inorder to make precision parts , an abrasive jet system must have a precision x-y table and motion control system . Tables fall into three general categories . Floor-mounted gantry systems Integrated table/gantry systems Floor-mounted cantilever systems
  • 151.
     working processworkingprocess High pressure water starts at the pump , and is delivered through special high pressure plumbing to the nozzle . At the nozzle , abrasive is introduced & as the abrasive/water mixture exits , cutting is performed . Once the jet has exited the nozzle , the energy is dissipated into the catch tank , which is usually full of water &
  • 152.
  • 156.
    Fluid Jet MachiningFluidJet Machining Water-jet machining ◦ It is manufacturing through the use of highly pressurized liquid, forced through a nozzle and used as the cutting tool. ◦ The orifice can range from 5 to 20 thousandth of an inch.
  • 157.
    Fluid Jet MachiningFluidJet Machining Water-jet machining ◦ Water is most common liquid, however alcohol,oil, or glycerol may be used ◦ Water jets machining has been in use since 1970. Water jets have many applications ◦ ranging from cutting steels to sheets of candy (using a sugar water or syrup for cutting).
  • 158.
    Fluid Jet MachiningFluidJet Machining • Some examples are: – Nickel alloys,Titanium, tool steels, glass, marble, brass, copper, wood, rubber, paper and plastics. – The cutting thickness is normally for any size under 6".
  • 159.
    Fluid Jet MachiningFluidJet Machining Advantages of water- jet machining ◦ The water stream makes very little noise. ◦ Chips or waste is moved out of the way of the cutting process.
  • 160.
    Fluid Jet MachiningFluidJet Machining • Advantages of water-jet machining – There are no bits or tools touching the material surface, thus there is no tool replacement costs. – Ultrahigh-pressure Water-jets cut to accuracy's of +/- 0.010". – Low level of mechanical stress (less than a pound) placed on the work piece preventing damage and deformations.
  • 161.
    Fluid Jet MachiningFluidJet Machining Advantages of water- jet machining ◦ Omni-directional cutting capabilities allow the cutting of intricate shapes and curves not possible with conventional cutting tools.
  • 162.
    Fluid Jet MachiningFluidJet Machining Advantages of water- jet machining ◦ Especially suited for short run production because there are no tooling expenses. ◦ There are no heat affected zone's.
  • 163.
    Abrasive Jet MachiningAbrasiveJet Machining Abrasives, such as garnet, diamond or powders, can be mixed into the water to make a slurry with better cutting properties than straight water.
  • 164.
  • 166.
    Advantages of AbrasiveJetsAdvantages of Abrasive Jets Quality finish Materials cut by the abrasive jet have a smooth, satin-like finish, similar to a fine sandblasted finish. Minimal burr No heavy burrs are produced by the abrasive jet process. Parts can often be used directly without deburring
  • 167.
    Advantages of AbrasiveJetsAdvantages of Abrasive Jets over Water Jetsover Water Jets Increased Accuracy Compared to the water jet 0.010”, abrasive jets average from 0.00 5”. In this example, the wall are a 0.025 wafer thin.
  • 168.
  • 169.
  • 171.
    When is itPractical?When is it Practical? The cutter is commonly connected to a high-pressure water pump, where the water is then ejected from the nozzle, cutting through the material by spraying it with the jet of high-speed water. It’s practical to use it to cut any kind of material. In waterjet cutting, there is no heat generated. This is especially useful for cutting tool steel and other metals where excessive heat may change the properties of the material. Waterjet cutting does not leave a burr or a rough edge, and eliminates other machining operations such as finish sanding and grinding. It can be easily automated for production use.
  • 172.
    AdvantagesAdvantages • Cheaper thanother processes. • Cut virtually any material. (pre hardened steel, mild steel, copper, brass, aluminum; brittle materials like glass, ceramic, quartz, stone) • Cut thin stuff, or thick stuff. • Make all sorts of shapes with only one tool. • No heat generated. • Leaves a satin smooth finish, thus reducing secondary operations. • Clean cutting process without gasses or oils. • Modern systems are now very easy to learn. • Are very safe. • Machine stacks of thin parts all at once. This part is shaped with waterjet using one tool. Slots, radii, holes, and profile in one 2 minute setup.
  • 173.
    Advantages (continued)Advantages (continued) •Unlike machining or grinding, waterjet cutting does not produce any dust or particles that are harmful if inhaled. • The kerf width in waterjet cutting is very small, and very little material is wasted. • Waterjet cutting can be easily used to produce prototype parts very efficiently. An operator can program the dimensions of the part into the control station, and the waterjet will cut the part out exactly as programmed. This is much faster and cheaper than drawing detailed prints of a part and then having a machinist cut the part out. • Waterjets are much lighter than equivalent laser cutters, and when mounted on an automated robot. This reduces the problems of accelerating and decelerating the robot head, as well as taking less energy. Get nice edge quality from different materials.
  • 174.
    DisadvantagesDisadvantages • One ofthe main disadvantages of waterjet cutting is that a limited number of materials can be cut economically. While it is possible to cut tool steels, and other hard materials, the cutting rate has to be greatly reduced, and the time to cut a part can be very long. Because of this, waterjet cutting can be very costly and outweigh the advantages. • Another disadvantage is that very thick parts can not be cut with waterjet cutting and still hold dimensional accuracy. If the part is too thick, the jet may dissipate some, and cause it to cut on a diagonal, or to have a wider cut at the bottom of the part than the top. It can also cause a rough wave pattern on the cut surface. Waterjet lag
  • 175.
    Disadvantages (continued)Disadvantages (continued) •Taper is also a problem with waterjet cutting in very thick materials. Taper is when the jet exits the part at a different angle than it enters the part, and can cause dimensional inaccuracy. Decreasing the speed of the head may reduce this, although it can still be a problem. Stream lag caused inside corner damage to this 1- in.-thick stainless steel part. The exit point of the stream lags behind the entrance point, causing irregularities on the inside corners of the part. The thicker the material is or the faster an operator tries to cut it, the greater the stream lag and the more pronounced the damage.
  • 176.
    Waterjets vs. LasersWaterjetsvs. Lasers • Abrasive waterjets can machine many materials that lasers cannot. (Reflective materials in particular, such as Aluminum and Copper. • Uniformity of material is not very important to a waterjet. • Waterjets do not heat your part. Thus there is no thermal distortion or hardening of the material. • Precision abrasive jet machines can obtain about the same or higher tolerances than lasers (especially as thickness increases). • Waterjets are safer. • Maintenance on the abrasive jet nozzle is simpler than that of a laser, though probably just as frequent. After laser cutting After waterjet cutting
  • 177.
    Waterjets vs. EDMWaterjetsvs. EDM • Waterjets are much faster than EDM. • Waterjets machine a wider variety of materials (virtually any material). • Uniformity of material is not very important to a waterjet. • Waterjets make their own pierce holes. • Waterjets are capable of ignoring material aberrations that would cause wire EDM to lose flushing. • Waterjets do not heat the surface of what they machine. • Waterjets require less setup. • Many EDM shops are also buying waterjets. Waterjets can be considered to be like super-fast EDM machines with less precision. Waterjets are much faster than EDM.
  • 178.
    Waterjets vs. PlasmaWaterjetsvs. Plasma • Waterjets provide a nicer edge finish. • Waterjets don't heat the part. • Waterjets can cut virtually any material. • Waterjets are more precise. • Plasma is typically faster. • Waterjets would make a great compliment to a plasma shop where more precision or higher quality is required, or for parts where heating is not good, or where there is a need to cut a wider range of materials. After plasma cutting After waterjet cutting
  • 179.
    Waterjets vs. OtherProcessesWaterjets vs. Other Processes Flame Cutting: Waterjets would make a great compliment to a flame cutting where more precision or higher quality is required, or for parts where heating is not good, or where there is a need to cut a wider range of materials. Milling: Waterjets are used a lot for complimenting or replacing milling operations. They are used for roughing out parts prior to milling, for replacing milling entirely, or for providing secondary machining on parts that just came off the mill. For this reason, many traditional machine shops are adding waterjet capability to provide a competitive edge. Punch Press: Some stamping houses are using waterjets for fast turn-around, or for low quantity or prototyping work. Waterjets make a great complimentary tool for punch presses and the like because they offer a wider range of capability for similar parts.
  • 180.
    Future of WaterjetFutureof Waterjet Drilling wells Drilling for oil Radial tunnels
  • 181.
  • 182.
    Practical ApplicationsPractical Applications Edgefinishing Radiusing De-burring Polishing
  • 183.
    ConclusionConclusion • Relatively newtechnology has caught on quickly and is replacing century-old methods for manufacturing • Used not only in typical machining applications, but food and soft-goods industries • As material and pump technology advances faster cutting rates, longer component life and tighter tolerances will be achievable • Paves the way for new machining processes that embrace simplicity and have a small environmental impact
  • 184.
    ConclusionConclusion Jet Machining isthe right choice of tools for: ◦ Heat-sensitive or Brittle materials ◦ Glass Composites and Nonmetals Burrless Applications Produce long tapered walls in deep cuts
  • 185.
    Thank You 7/30/2015 185 Prof.P.Laxminarayana,Osmania University, Hyderabad - 500 007, TS

Editor's Notes

  • #78 Material is also removed by grains moving quickly and building up kinetic energy. When they strike the work surface, they transfer their energy quickly causing surface work. This effect is smaller than hammering. The grains are not actually perfectly spherical, and as a result smaller rounds actually lead to faster machining. mmr decreases when static force F gets high enough to crush abrasive grains.
  • #79 f = 16.3 KHz, A = 12.5 micro m, grain = 100 mesh. If d approaches A the grains start to crush.