II-1
DAFTAR ISI
DAFTAR ISI III-i
PENDAHULUAN III-i
Kegiatan Belajar ke-3: Mekanika Bahan
3.1 Konsep tegangan dan Regangan
3.1.1 Pengertian Tegangan dan regangan III-1
3.1.2 Titik Berat dan Momen Inersia Penampang III-5
3.2 Tegangan Lentur pada Balok
3.2.1 Distribusi Tegangan Lentur III-15
3.2.2 Menghitung Tegangan Lentur III-16
3.3 Tegangan Geser pada Balok
3.3.1 Distribusi Tegangan Geser III-22
2.3.2 Menghitung Tegangan Geser III-23
3.4 Lendutan Balok
3.4.1 Formula Lendutan balok III-28
3.4.2 Menghitung Lendutan Balok III-35
RANGKUMAN III-40
DAFTAR PUSTAKA III-46
II-2
iii
PENDAHULUAN
Deskripsi Singkat Isi Materi
Kegiatan belajar ini mengkaji tegangan, regangan, dan lendutan balok. Tegangan
yang dibahas meliputi tegangan normal, tegangan geser langsung, tegangan geser
pada balok, dan tegangan lentur pada balok. Tegangan merupakan besaran
penting dalam kerekayasaan untuk menentukan apakah suatu elemen struktur
memiliki kemampuan menerima beban yang bekerja padanya. Konsep regangan
dibahas untuk menghantar pada pemahaman tentang modulus elastis yang sangat
penting dalam pembahasan lendutan balok. Selanjutnya lendutan balok
digunakan untuk dua hal yaitu menentukan kemampulayanan (service ability)
elemen struktur dan sebagai dasar pembahasan Struktur Statis tak Tertentu.
Capaian Pembelajaran
Mampu menguasai dan menerapkan konsep materi Analisis Struktur
meliputi mekanika bahan, elemen struktur, mekanika statis tertentu, dan
mekanika statis tak tentu.
Sub Capaian Pembelajaran
1. Mampu membedakan tegangan normal dan tegangan geser.
2. Mampu menjelaskan pengertian regangan.
3. Mampu mendeskripsikan grafik hubungan tegangan-regangan: modulus
elastis, tegangan leleh, tegangan ultimit, strain hardening.
4. Mampu menentukan titik berat dan momen inersia penampang regular dan
penampang gabungan.
5. Mampu mendiskripsikan distribusi tegangan lentur pada penampang balok.
6. Mampu menghitung tegangan lentur pada balok.
7. Mampu mendiskripsikan distribusi tegangan geser pada balok.
8. Mampu menghitung tegangan geser pada balok.
9. Mampu menghitung lendutan balok dan kemiringan garis singgung pada garis
elastika.
4
URAIAN MATERI
Kegiatan Belajar 3: Mekanika Bahan
Mekanika bahan (Mechanics of Materials) adalah bagian dari mekanika teknik yang
mempelajari tentang kekuatan dan perubahan bentuk struktur akibat pengaruh luar. Kekuatan
suatu material dipresentasikan oleh karakteristik tegangan pada material tersebut, misalnya
tegangan leleh dan tegangan ultimate. Perubahan bentuk dipresentasikan oleh regangan yang
besarnya ditentukan oleh modulus elastis dan modulus geser. Di bawah ini disajikan bagian dasar
dari mekanika bahan yaitu tegangan, regangan, dan lendutan pada balok.
1.1 Konsep Tegangan dan Regangan
1.1.1 Pengertian Tegangan dan Regangan
Pegertian gaya dalam telah dibahas pada Kegiatan Belajar ke-2. Pada kegiatan tersebut
besarnya gaya dalam dihitung untuk keseluruhan penampang elemen struktur. Itulah sebabnya
satuan gaya dalam adalah satuan gaya, misalnya N, yang bekerja pada seluruh luasan elemen
struktur. Jika gaya dalam tersebut dihitung intensitasnya untuk setiap satu satuan luas maka
diperoleh tegangan yang satuannya adalah satuan gaya dibagi dengan satuan luas, misalnya
N/m2
. Jadi dengan kata lain tegangan adalah intensitas gaya dalam setiap satu satuan luas.
Gambar 3.1 Tegangan pada Suatu Penampang
Gaya dalam pada suatu elemen struktur berarah sebarang mengikuti arah dari gaya luar yang
bekerja pada elemen tersebut. Dengan demikian arah tegangan juga sebarang sesuai dengan arah
gaya dalam. Meskipun demikian arah tegangan selalu dapat dibagi menjadi dua yaitu tegangan
dengan arah tegak lurus penampang yang ditinjau dan tegangan dengan arah sejajar penampang
yang ditinjau. Tegangan dengan arah tegak lurus penampang yang ditinjau disebut tegangan
normal (normal stress), disimbolkan dengan ζ (baca sigma) dan tegangan dengan arah sejajar
5
penampang yang ditinjau disebut tegangan geser (shear stress) disimbolkan dengan η (baca tau)
(Gambar 3.1)
Contoh sederhana dari tegangan normal adalah tegangan yang terjadi pada kolom pendek
yang mendapat beban aksial. Tegangan ini dihitung dengan rumus,
dengan P adalah gaya aksial dan A adalah luasan yang menerima gaya aksial tersebut (Gambar
3.2).
Gambar 3.2 Kolom Pendek dengan Beban Aksial,
(a) Penampang Memanjang, (b) Penampang Melintang
Contoh sederhana dari tegangan geser adalah tegangan yang terjadi pada sambungan baut
yang menerima geseran atau biasa juga disebut tegangan geser langsung. Tegangan tersebut
dihitung dengan rumus,
dengan P adalah gaya geser dan A adalah luasan yang menerima geseran (Gambar 3.3).
Gambar 3.3 Sambungan dengan Baut
Pada suatu elemen yang dikenai gaya luar disamping timbul gaya dalam juga terjadi
perubahan bentuk. Misalnya suatu batang yang dikenai gaya tarik akan mngalami perpanjangan.
Jika perpanjangan ini dibagi dengan panjang batang mula-mula maka didapat regangan (strain)
6
disimbolkan dengan ε (baca epsilon). Regangan tidak bersatuan atau dapat juga ditulis satuan
pertambahan panjang dibagi satuan panjang mula-mula, missal mm/mm, in/in.
Regangan dapat dihubungkan dengan tegangan. Jika tegangan terdapat dua macam maka
regangan juga terdapat dua macam yaitu regangan normal berhubungan dengan tegangan normal
dan regangan geser berhubungan dengan tegangan geser. Hubungan antara tegangan normal
dengan regangan normal dapat dicontohkan dengan sebuah batang tulangan baja yang diuji
dengan tarikan. Batang baja mula-mula memiliki panjang Lo dengan luas penampang A. Jika
batang tersebut ditarik (misal dengan mesin uji Tarik Universal Testing Machine, UTM) akan
didapat pasangan dua data yaitu data beban yang menarik dan data perpanjangan batang yang
terjadi. Pasangan dua data tersebut dapat diambil sebanyak mungkin mulai dari pembebanan
kecil sampai batang putus.
Jika besarnya beban tarik dibagi dengan luas penampang batang akan didapat tegangan
normal tarik, dan jika besarnya pertambahan panjang batang dibagi dengan panjang mula-mula
akan didapat regangan normal. Dengan demikian dari pengujian tersebut dapat diperoleh
pasangan dua data tegangan dan regangan. Jika pasangan tegangan dan regangan tersebut
digambarkan pada koordinat kartesius akan diperoleh diagram tegangan dan regangan seperti
Gambar 3.4 di bawah ini.
Sumber: Gambar diperoleh dari Laboratorium Struktur-Teknik Sipil-UM
Gambar 3.4 Diagram Tegangan dan Regangan
Terdapat beberapa bagian penting dari diagram tegangan dan regangan di atas. Untuk
tegangan yang rendah diagram berbentuk garis lurus. Bagian ini disebut daerah linier. Pada
bagian ini berlaku Hukum Hooke yaitu,
7
Pada Hukum hooke di atas diperkenalkan istilah baru yaitu modulus elastis yang disimbolkan
dengan E. Modulus elastis merupakan sifat material yang berhubungan dengan kemampuan
untuk berubah bentuk, misalnya memanjang, memendek, melengkung. Suatu material yang
memiliki modulus elastis kecil lebih mudah mengalami perpanjangan dibandingkan dengan
material yang memiliki modulus elastis besar. Satuan dari modulus elastis sama dengan satuan
tegangan.
Di atas bagian liner pada diagram tegangan-regangan terdapat bagian yang mendatar.
Pada bagian ini material mengalami pelelehan (yielding). Tegangan yang terjadi disebut dengan
tegangan leleh (yield stress) disimbolkan dengan ζy. Tegangan ini digunakan pada analisis atau
disain struktur beton bertulang maupun struktur baja.
Setelah melewati fase leleh, batang baja akan mengalami perkuatan kembali yang
ditunjukkan oleh naiknya garis diagram tegangan-regangan. Bagian ini disebut pengerasan
regangan (strain hardening) hingga mencapai tegangan puncak yang disebut dengan tegangan
batas (ultimate stress), disimbolkan dengan ζu, dan setelah itu batang putus.
Bagi pembaca yang ingin memperluas bacaan yang berkaitan dengan materi ini
dipersilahkan untuk membaca pada link berikut:
https://ocw.upj.ac.id/files/Slide-TSP205-Mek-Bahan-TSP-205-P1-2-3-4.pdf
1.1.2 Titik Berat dan Momen Inersia Penampang
Besarnya momen inertia penampang bidang dibutuhkan untuk menghitung tegangan lentur,
tegangan geser dan lendutan pada suatu balok. Momen inertia yang dimaksud dihitung terhadap
titik berat penampang batang. Untuk itu diperlukan pengetahuan menghitung titik berat
penampang sebelum menghitung momen inersia.
“Titik berat penampang adalah titik pada penampang tersebut yang berimpit dengan pusat
massa jika diandaikan penampang tersebut memiliki distribusi massa yang homogen”.
Tabel 1 Titik Berat dan Momen Inersia Penampang Regular
Nama
Bangun
Gambar Letak Titik
Berat
Momen inersia
terhadap titik berat
8
Persegi
Panjang
y =
Segitiga
y =
Lingkaran
Setengah
lingkaran ( )
Untuk penampang-penampang regular atau penampang yang bentuknya istimewa seperti
persegi panjang, segitiga, lingkaran dan sebagainya letak titik berat dan momen inersia telah
disediakan oleh matematika geometri. Beberapa bentuk yang dimaksud seperti Tabel 1.
Terdapat balok dengan bentuk penampang yang merupakan gabungan dari penampang-
penampang regular. Sebagai contoh penampang berbentuk T merupakan gabungan dari dua
penampang persegi, penampang I merupakan gabungan tiga penampang persegi. Penampang-
penampang ini diciptakan untuk meningkatkan efisiensi penggunaan bahan.
9
Penentuan titik berat penampang gabungan dilakukan dengan terlebih dahulu mengenalkan
istilah momen statis penampang. Momen statis penampang ialah hasil perkalian antara luas
penampang dengan jarak titik berat penampang tersebut ke garis referensi.
Di bawah ini adalah gambar persegi panjang dengan luas A, jarak titik berat penampang ke
sumbu x adalah d1, dan jarak titik berat penampang ke sumbu y adalah d2.
Gambar 3.5 Momen Statis Penampang
Momen statis penampang terhadap sumbu x adalah,
Momen statis penampang terhadap sumbu y adalah,
Prinsip yang digunakan untuk menentukan titik berat penampang gabungan adalah bahwa,
“Momen statis penampang gabungan terhadap garis referensi sama dengan jumlah dari
momen statis penampang-penampang penyusunnya terhadap garis referensi yang sama”.
Langkah-langkah menentukan titik berat:
1. Buatlah garis referensi yang akan digunakan untuk menentukan titik berat penampang.
2. Bagilah penampang gabungan menjadi penampang-penampang regular yang titik
beratnya dapat ditentukan dengan mudah.
3. Hitunglah luas masing-masing penampang tersebut.
4. Tentukan jarak masing-masing titik berat penampang regular ke garis referensi.
5. Hitung momen statis masing-masing penampang terhadap garis referensi.
6. Misalkan koordinat titik berat penampang gabungan dengan (x, y).
7. Hitung (x, y) dengan rumus berikut,
10
∑
∑
∑
∑
Di bawah ini diberikan contoh untuk menghitung titik berat penampang gabungan.
Bagi pembaca yang ingin memperluas bacaan yang berkaitan dengan materi ini
dipersilahkan untuk membaca pada link berikut:
http://sugengpb.lecture.ub.ac.id/files/2012/02/Mekanika-Bahan-Bab-1-minggu-2.pdf
Contoh 1
Tentukan titik berat penampang berbentuk T seperti Gambar 3.6 di bawah ini.
Gambar 3.6 Penampang Berbentuk T
Penyelesaian
Langkah-langkah menentukan titik berat penampang:
11
1. Buat garis referensi yaitu sumbu X dan Sumbu Y yang diletakkan dengan posisi seperti
Gambar di bawah ini.
2. Penampang gabungan dibagi menjadi dua penampang regular yaitu penampang I dan
penampang II.
3. Selanjutnya, perhitungan luas, jarak ke sumbu-sumbu referensi, dan momen statis
dicantumkan dalam Tabel berikut,
Penampang Luas xi yi Mx My
cm2
cm cm cm3
cm3
I 175 17,5 42,5 7437.5 3062,5
II 200 17,5 20 4000 3500
12
Jumlah 375 11437.5 6562,5
4. Titik berat penampang gabungan terhadap sumbu Y adalah,
= 17,5 cm
5. Titik berat penampang gabungan terhadap sumbu X adalah,
= 30,5 cm
Setelah titik berat penampang diperoleh, berikutnya dihitung momen inersia penampang
terhadap garis yang melalui titik berat penampang. Untuk penampang regular besarnya momen
inersia dapat diperoleh, misalnya dari Tabel 1. Untuk penampang gabungan besarnya momen
inersia merupakan gabungan dari momen inersia penampang-penampang penyusunnya. Untuk
keperluan tersebut diperkenalkan momen inersia penampang terhadap garis yang tidak melalui
titik beratnya. Perhatikan Gambar 3.7 berikut.
Gambar 3.7 Momen Inersia terhadap Garis Di Luar Titik Berat
Sebuah penampang dengan luas A memiliki titik berat pada sumbu xo dan yo dengan momen
inersia yang melalui sumbu tersebut besarnya Ixo dan Iyo.
Besarnya momen inersia dari penampang tersebut terhadap sumbu X yang berjarak d1 dari garis
xo adalah,
13
Besarnya momen inersia dari penampang tersebut terhadap sumbu Y yang berjarak d2 dari garis
yo adalah,
Contoh penggunaan rumus tersebut diberikan dibawah ini.
Contoh 2
Diketahui sebuah penampang persegi panjang dengan panjang 30cm dan lebar 20cm (Gambar
3.8). Tentukan momen inersia penampang tersebut terhadap garis X-X yang berjarak 40cm dari
titik berat penampang persegi panjang dan momen inersia penampang terhadap garis Y-Y yang
berjarak 50cm dati titik berat penampang.
Gambar 3.8 Momen Inersia Persegi Panjang terhadap Garis Diluar Titik Berat
Penyelesaian
Momen inersia persegi panjang yang melalui titik beratnya,
Momen inersia persegi panjang terhadap garis X - X,
14
Momen inersia persegi panjang terhadap garis Y - Y,
Berikut diberikan contoh menghitung momen inersia penampang gabungan.
Contoh 3
Penampang T pada contoh 1 yang telah ditentukan titik beratnya akan dihitung momen
inersianya terhadap garis yang melalui titik beratnya.
Gambar 3.9 Penampang Berbentuk T
Penyelesaian
Penampang gabungan dibagi menjadi dua penampang regular yaitu penampang I dan penampang
II.
Momen inersia penampang I dan penampang II terhadap garis X-X
Penampang I:
Penampang II:
Jadi momen inersia penampang T terhadap garis X-X,
15
Momen inersia penampang I dan penampang II terhadap garis Y-Y
Penampang I:
Penampang II:
Catatan: titik berat penampang I dan penampang II berada pada satu garis dengan titik berat
penampang gabungan sehingga jarak titik berat penampang I dan penampang II ke titik berat
penampang gabungan sama dengan nol.
Jadi momen inersia penampang T terhadap garis Y-Y,
.
Bagi pembaca yang ingin memperluas bacaan yang berkaitan dengan materi ini dipersilahkan
untuk membaca pada link berikut:
http://sugengpb.lecture.ub.ac.id/files/2012/02/Mekanika-Bahan-Bab-1-minggu-2.pdf
1.2 Tegangan Lentur pada Balok
Tegangan lentur pada balok timbul akibat adanya momen lentur. Tegangan ini berarah tegak
lurus pada penampang yang ditinjau. Dengan demikian tegangan lentur termasuk tegangan
normal. Jika tegangan lentur termasuk tegangan normal, apa bedanya dengan tegangan normal
yang berasal dari gaya normal? Tegangan normal yang berasal dari gaya normal terdistribusi
merata di seluruh penampang sedangkan tegangan normal yang berasal dari momen lentur
berubah secara linier sesuai dengan jaraknya terhadap garis netral. Di bawah ini dibahas secara
rinci distribusi yang dimaksud.
16
1.2.1 Distribusi Tegangan Lentur
Besarnya tegangan lentur pada balok berubah sesuai letaknya pada balok dan sesuai
ketinggiannya pada penampang. Letak pada balok ditentukan oleh jarak penampang yang
ditinjau terhadap titik referensi, misalnya titik pada tumpuan yang berada di kiri. Letak ini akan
menentukan besarnya momen lentur yang terjadi. Dalam rumus tegangan lentur momen lentur
dinyatakan dengan M(x). Selanjutnya ketinggian pada penampang ditentukan oleh jarak titik
yang ditinjau pada penampang terhadap garis netral, yaitu garis yang melalui titik berat
penampang. Dalam rumus tegangan lentur jarak tersebut dinyatakan oleh y. Rumus tegangan
yang dimaksud seperti di bawah ini, dengan I adalah momen inersia penampang.
( )
Memperhatikan rumus tegangan lentur di atas dapat dipahami bahwa distribusi tegangan
lentur di sepanjang balok mengikuti distribusi momen lentur M(x). Distribusi momen lentur
dipresentasikan oleh diagram momen lentur (BMD) seperti yang telah dibahas pada Kegiatan
Belajar 2.
Selanjutnya distribusi tegangan lentur arah tegak pada suatu penampang tertentu merupakan
fungsi linier dari y dengan y positip berarah ke bawah. Jika momen lentur yang bekerja pada
penampang balok bertanda positip maka bagian balok di atas garis netral menerima tegangan
normal tekan yang dalam perhitungan diperoleh tanda negatip, sedangkan bagian di bawah garis
netral menerima tegangan normal tarik yang dalam perhitungan diperoleh tanda negatip.
Tegangan lentur terbesar pada suatu penampang ditentukan oleh jarak terbesar dari y.
Dengan kata lain tegangan terbesar pada suatu penampang berada pada bagian paling atas dan
atau pada bagian paling bawah dari penampang. Jika ditanya dimana tegangan lentur maksimum
pada suatu balok? Jawabnya adalah tegangan lentur maksimum berada di tempat yang momen
lenturnya maksimum dan pada titik yang paling jauh dari garis netral (Gambar 3.10)
17
(a) (b) (c)
Gambar 3.10 Distribusi Tegangan Lentur pada Balok: a) Penampang Memanjang, b)
Penampang Melintang, c) Tegangan Lentur
1.2.2 Menghitung Tegangan Lentur
Contoh 4
Balok statis tertentu dengan penampang persegi seperti pada Gambar 3.11. Hitung dan
gambarkan distribusi tegangan lentur pada penampang yang jaraknya 1m dari tumpuan A.
Gambar 3.11 Balok dengan Beban Merata
Penyelesaian
Dihitung terlebih dahulu besarnya momen lentur pada penampang sejauh 1m dari titik A.
Hitungan diawali dengan menentukan reaksi tumpuan pada balok. Cara menghitung reaksi
tumpuan telah dipelajari pada Kegiatan Belajar 2. Karena balok simetris maka diperoleh reaksi
tumpuan dan momen lentur seperti berikut,
= = 60 KN
( ) ( )
= (60 x 1) – ( )
= 45 kN.m = 4500 kN.cm
I 𝑥 𝑏 𝑥 ᶟ
= 𝑥 𝑥 ᶟ
= 1440 cm
18
Dihitung tegangan lentur pada garis netral atau pada saat y = 0 cm, dan juga dihitung tegangan
lentur masing-masing dua titik di atas dan di bawah garis netral. Titik di atas garis netral
memiliki nilai y yang bertanda negatip dan sebaliknya.
ζ = , y positif kebawah
untuk y = 6 cm, ζ = = = 18,75 KN/cm2
y = 3 cm, ζ = = = 9,375 KN/cm2
y = 0 cm, ζ = = = 0 KN/cm2
y = -6 cm ζ = = = -18,75 KN/cm2
.
y = -3 cm, ζ = = = -9,375 KN/cm2
.
Gambar 3.12 Tegangan Lentur pada Balok Berpenampang Persegi Panjang
Contoh 5
Balok statis tertentu seperti pada Gambar di bawah memiliki penampang berbentuk T.
Gambarkan distribusi tegangan lentur pada penampang c yang berjarak 2,5 m dari tumpuan A.
19
Gambar 3.13 Balok dengan Penampang Berbentuk T
Penyelesaian
= = 20 kN
= = 30 kN
Momen pada jarak 2,5 m:
= 20 x 2.5 = 50 kN m
Titik berat penampang
X1 = 50 mm ; X2 = 50 mm
Y1 = 140 mm ; Y2 = 65
A1 = 2000 mm²; A2 = 2600 mm²
=
= 50 mm
Menghitung momen inersia
Ix1 = Io + A. d²
𝑌
𝑌 𝐴 𝑌 𝐴
𝐴 𝐴
=
= 97,61 mm
20
= ᶟ
= 66666.66 + (2000 (52,39 – 10)
= 151446.67 mm
Ix2 = Io + A. d²
= ᶟ
= 3661666.67 + (2600 (97.61 – 65)
= 3746452.67 mm
Ixtot = Ix1 + Ix2
= 3897899.34 mm
Dihitung tegangan lentur pada garis netral yaitu garis yang melalui titik berat penampang atau
garis dengan y = 0. Selanjutnya dihitung tegangan masing-masing dua titik di atas dan di bawah
garis netral. Titik di atas garis netral memiliki nilai y negatip dan sebaliknya.
ζ = , maka :
untuk y = 97,61 mm, ζ = = = 1,25 KN/mm2
y = 32,54 mm, ζ = =
ᶟ
= 0.63 KN/mm2
y = 0 mm,
ζ = =
ᶟ
= 0 KN/mm2
y = -52.39 mm, ζ = =
ᶟ
= -0.67 KN/mm2
y = -26.195 mm, ζ = =
ᶟ
= -0.34 KN/mm2
21
Gambar 3.14 Distribusi Tegangan Lentur pada Balok Berpenampang T
Soal 6
Perhatikan Gambar di bawah ini.
Gambar 3.15 Balok Penampang Persegi Statis Tertentu
Hitung ζmax.
Penyelesaian
Tegangan lentur maksimum terjadi pada momen lentur maksimum dan pada titik terjauh dari
garis netral.
= = 33,33 kN
= = 16,67 kN
Mx =
= 33,33 x 1 = 33,33 kNm
22
Titik berat penampang
X1 = 10 cm ; X2 = 10 cm
Y1 = 17,5 cm ; Y2 = 7,5 cm
A1 = 100 cm² ; A2 = 75 cm²
∑
=
= 10 cm
Ix1 = Io + A. d²
= 208,33 + (100 x 4,292)
= 2048,74 cm
Ix2 = Io + A. d²
= 1406,25+ (75 . 5,582
)
= 3741,48 cm
Ixtot = Ix1 + Ix2
= 5790,22 cm
Tegangan lentur maksimum :
ζ = = = 0,076 kN/cm2
1.3 Tegangan Geser pada Balok
Tegangan geser pada balok timbul akibat adanya gaya lintang. Tegangan ini sejajar dengan
penampang yang ditinjau. Apa beda antara tegangan geser pada balok dengan tegangan geser
yang terjadi pada sambungan baut. Tegangan geser pada baut ( ) disebut dengan tegangan geser
langsung dan dihitung dengan rumus,
𝑌 ∑
𝑌𝑖 𝐴𝑖
𝐴𝑖
=
𝑥
= 13,21 cm
23
dengan P adalah gaya yang menyebabkan timbulnya geseran dan A adalah luasan baut yang
tergeser. Tegangan geser pada balok dihitung dengan rumus yang lebih rumit dan disajikan
berikut ini.
1.3.1 Distribusi Tegangan Geser
Seperti tegangan lentur, besarnya tegangan geser juga dipengaruhi oleh letak penampang
yang ditinjau pada balok dan juga dpengaruhi oleh jarak titik dari garis netral pada penampang
yang ditinjau. Rumus untuk menentukan tegangan geser balok adalah,
Dengan ηx adalah tegangan geser, L adalah gaya lintang, S adalah momen statis, b adalah
lebar penampang yang tergeser, dan I adalah momen inersia penampang.
(a) (b) (c)
Gambar 3.16 Distribusi Tegangan Geser: a) Penampang Memanjang,
b) Penampang Melintang, c) Tegangan Geser
Distribusi tegangan geser pada arah memanjang balok mengikuti distribusi gaya lintang yang
dipresentasikan oleh diagram gaya lintang (SFD). Distribusi tegangan geser pada arah tegak
penampang mengikuti distribusi momen statis S yang merupakan fungsi kuadrat dari jarak y
yaitu jarak dari titik yang ditinjau tegangannya ke garis netral. Dengan demikian distribusi
tegangan geser mengikuti grafik fungsi kuadrat yaitu lengkung parabola dengan nilai nol pada
tepi paling atas dan tepi paling bawah dan maksimum pada garis netral (Gambar 3.16). Di bawah
ini diberikan contoh distribusi tegangan geser pada balok.
24
1.3.2 Menghitung Tegangan Geser
Contoh 7
Dipakai kembali Balok statis tertentu yang telah digunakan pada contoh 4. Hitung dan
gambarkan distribusi tegangan geser pada penampang sejauh 1m dari tumpuan A.
Gambar 3.17 Balok dengan Beban Merata
Penyelesaian
Dihitung terlebih dahulu besarnya gaya lintang pada penampang sejauh 1m dari titik A.
Hitungan diawali dengan menentukan reaksi tumpuan pada balok.
= = 60 KN
Gaya lintang pada titik C,
= 60 – = 30 KN
Besarnya momen statis dihitung seperti di bawah ini.
Besarnya momen statis dihitung dengan mengalikan luas bidang dengan jarak titik berat bidang
tersebut ke garis netral. Misalnya akan dihitung tegangan geser pada titik sejauh 3cm di atas
garis netral maka momen statis sama dengan luas bidang yang diarsir yaitu (10.3) cm dikalikan
dengan jarak d = 4,5cm.
S = A.d
= (10.3).4,5
= 135 cm3
I 𝑏 ᶟ
= ᶟ
= 1440 cm
25
Selanjutnya akan dihitung tegangan geser pada garis netral, maka momen statis sama dengan
luas bidang yang diarsir yaitu (10.6)cm dikalikan dengan jarak d = 3cm.
Berikut ini hasil-hasil perhitungan momen statis digunakan untuk menghitung tegangan geser.
η =
untuk y = 6 cm, S = 0 cm η = = = 0 kN/cm2
y = 3 cm, S = 135 cm η = = = 0,028 kN/cm2
y = 0 cm, S = 180 cm η = = = 0.0375 kN/cm2
Karena bentuk penampang simetris maka besarnya tegangan geser di atas dan di bawah garis
netral adalah sama sehingga dapat digambarkan distribusi tegangan geser seperti pada gambar
berikut.
S = A .d
= (10.6). 3
= 180 cm3
26
Gambar 3.18 Distribusi Tegangan Geser pada Balok Berpenampang Persegi Panjang
Contoh 8
Balok berpenampang I di atas dua tumpuan sendi dan rol seperti Gambar 3.19. Gambarkan
distribusi tegangan geser pada penampang sejauh 1m dari tumpuan sendi.
Gambar 3.19 Balok berpenampang I
Penyelesaian
= = 60 KN
= 60 –
= 30 KN
Titik berat penampang
X1 = 50 mm ; X2 = 50 mm ; X3 = 50 mm
Y1 = 145 mm ; Y2 = 75 mm ; Y3 = 5 mm
A1 = 1000 mm² ; A2 = 1300 mm² ; A3 = 1000 mm2
=
= 50 mm
𝑌
𝑌 𝐴 𝑌 𝐴 𝑌 𝐴
𝐴 𝐴 𝐴
=
= 75 mm
27
Menghitung momen inersia
Ix1 = Io + A. d²
= ᶟ
= 8333,33 + (1000 (75-5)
= 78333,33 mm
Ix2 = Io + A. d²
= ᶟ
= 1830833,33+ (1300. (0)
= 1830833,33 mm
Ixtot = 2. Ix1 + Ix2
= 1987499,99 mm
Selanjutnya dihitung tegangan geser dengan rumus berikut,
η =
Untuk menggambar distribusi tegangan, dilakukan perhitungan tegangan geser pada beberapa
titik di penampang, semakin banyak titiknya semakin baik gambarnya. Titik-titik tersebut
ditetapkan dengan cara menentukan jarak vertikalnya, yaitu y, terhadap titik berat penampang.
Pada sayap
28
Untuk y = 75mm, S = 0, η = = = 0 kN/mm2
y = 70 mm, S = 72500 mm3
, η = = = 0.0109 kN/cm2
y = 65 mm, S = 70000 mm3
, η = = = 0.011 kN/cm2
Catatan: Tegangan geser pada titik peralihan antara sayap dengan badan dihitung dua kali.
Hitungan pertama dengan menggunakan b sama dengan lebar sayap dan hitungan kedua dengan
menggunakan b sama dengan lebar badan. Besarnya momen statis S sama untuk kedua hitungan
tersebut.
Pada badan
Gambar jarak-jarak y
Untuk
y = 65 mm, S = 70000 mm3
, η = = = 0.1057 kN/cm2
y = 25 mm, S = 88.004 mm3
, η = = = 0.1328 kN/cm2
y = 0 mm , S = 91.129 mm3
, η = = = 0.1376 kN/cm2
Karena penampang simetris maka cukup dihitung distribusi tegangan geser di atas titik berat
penampang dan distribusi tegangan geser di bawah penampang sama dengan distribusi tegangan
di atas penampang.
29
Gambar 3.20 Distribusi Tegangan Geser pada Penampang I
Pembaca dipersilahkan memperluas bacaannya pada link berikut:
https://ocw.upj.ac.id/files/Slide-TSP205-Mek-Bahan-TSP-205-P9-10-11.pdf
1.4 Lendutan Balok
1.4.1 Formula Lendutan Balok
Rumus lendutan balok berbentuk persamaan diferensial biasa orde dua dengan variabel bebas y
dan variabel terikat x seperti persamaan di bawah ini. Variabel bebas y menunjukkan besarnya
lendutan balok dalam satuan panjang, variabel x menunjukkan tempat pada balok yang diukur
dari titik referensi dalam satuan panjang, M(x) adalah besarnya momen lentur pada jarak x dari
titik referensi, sedangkan E dan I masing-masing modulus elastis dan momen inersia.
( )
Jika persamaan diferensial di atas diintegral satu kali maka diperoleh persamaan diferensial orde
satu karena di dalamnya terdapat turunan kesatu dari y terhadap x. Turunan ini memiliki arti
geometris sebagai gradient garis singgung atau putaran sudut yang memiliki satuan radian. Jika
turunan kesatu ini diintegral sekali lagi akan diperoleh y = f(x) yang merupakan persamaan garis
lendutan balok atau disebut dengan garis elastika. Dibawah ini diberikan contoh penyelesaian
persamaan diferensial lendutan balok.
Contoh 9
30
Diberikan contoh penerapan persamaan diferensial lendutan balok untuk menentukan lendutan
balok statis tertentu sepanjang L dengan beban merata sebesar q seperti gambar di bawah ini.
Material balok memiliki modulus elestis E dan penampang memiliki momen inersia I.
Gambar 3.21 Balok dengan Beban Merata
Penyelesaian
Untuk menyelesaikan persamaan diferensial lendutan balok dibutuhkan formula momen lentur
yang terjadi pada balok. Menentukan momen lentur pada balok telah dipelajari pada Kegiatan
Belajar ke-2, dan para pembaca diharap mempelajari kembali sub bab tersebut. Untuk soal ini
diperoleh momen lentur seperti di bawah ini.
( )
Persamaan diferensial lendutan balok yang akan diselesaikan adalah,
( )
atau bisa diubah menjadi ( )
Substitusikan formula momen lentur yang telah diperoleh kedalam persamaan diferensial,
Lakukan pengintegralan ruas kiri dan ruas kanan,
∫ ∫( )
, dengan C1 adalah konstanta integrasi.
Arti geometris dari adalah gradien garis singggung pada kurva y = f(x). Untuk itu besarnya
C1 ditentukan oleh sifat gradien garis singgung pada struktur yang sedang dievaluasi. Mengingat
balok yang sedang dievaluasi memiliki sifat simetris baik bentuk maupun pembebanannya maka
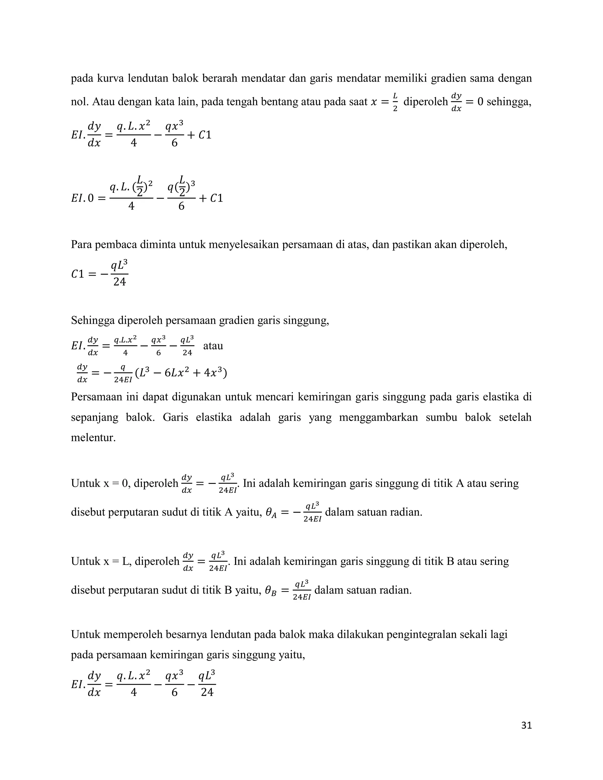
lendutan maksimum akan terjadi di tengah bentang. Pada lendutan maksimum, garis singgung
31
pada kurva lendutan balok berarah mendatar dan garis mendatar memiliki gradien sama dengan
nol. Atau dengan kata lain, pada tengah bentang atau pada saat diperoleh sehingga,
( ) ( )
Para pembaca diminta untuk menyelesaikan persamaan di atas, dan pastikan akan diperoleh,
Sehingga diperoleh persamaan gradien garis singgung,
atau
( )
Persamaan ini dapat digunakan untuk mencari kemiringan garis singgung pada garis elastika di
sepanjang balok. Garis elastika adalah garis yang menggambarkan sumbu balok setelah
melentur.
Untuk x = 0, diperoleh . Ini adalah kemiringan garis singgung di titik A atau sering
disebut perputaran sudut di titik A yaitu, dalam satuan radian.
Untuk x = L, diperoleh . Ini adalah kemiringan garis singgung di titik B atau sering
disebut perputaran sudut di titik B yaitu, dalam satuan radian.
Untuk memperoleh besarnya lendutan pada balok maka dilakukan pengintegralan sekali lagi
pada persamaan kemiringan garis singgung yaitu,
32
∫ ∫( )
Ini adalah persamaan untuk menghitung besarnya lendutan balok disetiap titik di sepanjang
balok. Untuk itu besarnya konstanta C2 dapat dievaluasi dengan menerapkan lendutan balok
pada titik-titik yang besarnya telah diketahui misalnya pada titik-titk tumpuan besarnya lendutan
sama dengan nol.
Untuk x = 0, yaitu tepat di atas tumpuan sendi diperoleh y = 0 karena pada tumpuan tidak bisa
terjadi lendutan pada balok sehingga diperoleh,
atau diperoleh C2 = 0.
Diperoleh,
atau
( )
Ini adalah persamaan untuk menghitung besarnya lendutan balok disetiap titik di sepanjang
balok. Lendutan maksimum terjadi di tengah bentang atau pada saat . Para pembaca
diminta untuk mensubstitusikan harga ini ke persamaan lendutan balok dan pastikan akan
diperoleh nilai y yang tidak lain adalah lendutan maksimum sebesar, .
Cara untuk menentukan kemiringan garis singgung dan lendutan balok dengan berbagai macam
pembebanan adalah seperti yang telah diuraikan di atas. Cara ini menuntut kemampuan pembaca
untuk menyelesaikan persamaan diferensial. Untuk kepentingan praktis di bawah ini diberikan
tabel rumus fungsi lendutan balok, fungsi kemiringan garis singgung dan lendutan maksimum
pada balok. Cara menggunakan rumus pada Tabel 2 akan dibahas pada bagian berikutnya.
Tabel 2 Kemiringan Sudut dan Lendutan Balok
A. BALOK KANTILEVER
33
y = defleksi pada arah y (positif keatas)
y’ = dy/dx (kemiringan kurva defleksi
δB = -y(L) = Defleksi pada ujung balok B
ƟB = rotasi sudut pada ujung balok B
EI = konstan
𝑦
𝑞𝑥
𝐸𝐼
( 𝐿 𝐿𝑥 𝑥 )
𝑦′
𝑞𝑥
𝐸𝐼
( 𝐿 𝐿𝑥 𝑥 )
𝛿 𝐵
𝑞𝐿
𝐸𝐼
Ɵ 𝐵
𝑞𝐿ᶟ
𝐸𝐼
𝑦
𝑃𝑥
𝐸𝐼
( 𝐿 𝑥)
𝑦′
𝑃𝑥
𝐸𝐼
( 𝐿 𝑥)
𝛿 𝐵
𝑃𝐿ᶟ
𝐸𝐼
Ɵ 𝐵
𝑃𝐿
𝐸𝐼
𝑦
𝑞𝑎
𝐸𝐼
( 𝑥 𝑎) 𝑦′
𝑞𝑎
𝐸𝐼
𝐴𝑡 𝑥 𝑎 ∶ 𝑦
𝑞𝑎
𝐸𝐼
𝑦′
𝑞𝑎
𝐸𝐼
𝑦
𝑞𝑥
𝐸𝐼
( 𝑎 𝑎𝑥 𝑥 ) (0 ≤ x ≤ a )
𝑦′
𝑞𝑥
𝐸𝐼
( 𝑎 𝑎𝑥 𝑥 ) (0 ≤ x ≤ a )
𝛿 𝐵
𝑞𝑎
𝐸𝐼
( 𝐿 𝑎) Ɵ 𝐵
𝑞𝑎
𝐸𝐼
𝑦
𝑞𝑎
𝐸𝐼
( 𝑥 𝑎) 𝑦′
𝑞𝑎
𝐸𝐼
𝐴𝑡 𝑥 𝑎 ∶ 𝑦
𝑃𝑎
𝐸𝐼
𝑦′
𝑃𝑎
𝐸𝐼
𝑦
𝑃𝑥
𝐸𝐼
( 𝑎 𝑥) 𝑦′
𝑃𝑥
𝐸𝐼
( 𝑎 𝑥) (0 ≤ x ≤ a )
𝑦
𝑃𝑎
𝐸𝐼
( 𝑥 𝑎) 𝑦′
𝑃𝑎
𝐸𝐼
(0 ≤ x ≤ L )
𝛿 𝐵
𝑃𝑎
𝐸𝐼
( 𝐿 𝑎) Ɵ 𝐵
𝑃𝑎
𝐸𝐼
34
B. BALOK DI ATAS TUMPUAN SENDI DAN ROL
y = defleksi pada arah y (positif keatas)
y’ = dy/dx (kemiringan kurva defleksi
δc = -y(L/2) = Defleksi pada titik tengah C balok
X1= Jarak dari A ke titik maksimum
δmax = -ymax = maksimum defleksi (positif ketas)
ƟA = -y’(0) = rotasi sudut pada ujung kiri balok
(Positif searah jarum jam)
ƟB = y’(L) = rotasi sudut pada ujung kiri balok
(positif berlawanan arah jarum jam)
𝑦′
𝑞
𝐸𝐼
(𝐿 𝐿𝑥 𝑥 )
𝛿 𝑐 𝛿 𝑚𝑎𝑥
𝑞𝐿
𝐸𝐼
( 𝐿 𝑎)
Ɵ 𝐴 Ɵ 𝐵
𝑞𝐿
𝐸𝐼
𝑦
𝑞𝑥
𝐸𝐼
(𝐿 𝐿𝑥 𝑥 )
𝑦
𝑞𝑥
𝐸𝐼
(𝑎 𝑎 𝐿 𝑎 𝐿 𝑎 𝑥 𝑎𝐿𝑥 𝐿𝑥 )
𝑦′
𝑞
𝐸𝐼
(𝑎 𝑎 𝐿 𝑎 𝐿 𝑎 𝑥 𝑎𝐿𝑥 𝐿𝑥 )
𝑦
𝑞𝑎
𝐸𝐼
( 𝑎 𝐿 𝐿 𝑥 𝑎 𝑥 𝐿𝑥 𝑥 )
𝑦′
𝑞𝑎
𝐸𝐼
( 𝐿 𝑎 𝐿𝑥 𝑥 (a ≤ x ≤ L)
Ɵ 𝐴
𝑞𝑎
𝐸𝐼
( 𝐿 𝑎) Ɵ 𝐵
𝑞𝑎
𝐸𝐼
( 𝐿 𝑎 )
𝑦
𝑃𝑥
𝐸𝐼
( 𝐿 𝑥 )
𝑦′
𝑃𝑥
𝐸𝐼
(𝐿 𝑥 ) (0 ≤ x ≤
𝐿
)
𝛿 𝑐 𝛿 𝑚𝑎𝑥
𝑃𝐿
𝐸𝐼
Ɵ 𝐴 Ɵ 𝐵
𝑃𝐿
𝐸𝐼
35
Tabel putaran sudut lengkap dapat diperoleh di link: http://fulan112.blogspot.com/2016/02/tabel-
perputaran-sudut.html
Tabel lendutan dan putaran sudut silahkan dibaca di link: https://ocw.upj.ac.id/files/Slide-TSP202-
AnalisisStruktur-TSP-202-P7.pdf
1.4.2 Menghitung Lendutan Balok
Contoh 10
Balok kantilever dengan beban merata seperti pada Gambarxxx. Besar beban q = 15KN/m’
termasuk berat sendiri balok dan bentang balok L = 1,5m. Balok terbuat dari batang baja
W30x132 dengan momen inersia I = 5770 in4
dan modulus elastis E = 210 GPa.
𝑦
𝑃𝑏𝑥
𝐿𝐸𝐼
(𝐿 𝑏 𝑥 )
Ɵ 𝐴
𝑃𝑎𝑏(𝐿 𝑏)
𝐿𝐸𝐼
Ɵ 𝐵
𝑃𝑎𝑏(𝐿 𝑎)
𝐿𝐸𝐼
𝐼𝑓 𝑎 ≥ 𝑏 𝛿 𝑐
𝑃𝑏( 𝐿 𝑏 )
𝐸𝐼
𝐼𝑓 𝑎 ≤ 𝑏 𝛿 𝑐
𝑃𝑎( 𝐿 𝑎 )
𝐸𝐼
𝐼𝑓 𝑎 ≥ 𝑏 𝑥
𝐿 𝑏
; 𝛿 𝑚𝑎𝑥
𝑃𝑏( 𝐿 𝑏 ) /
𝐿𝐸𝐼
𝑦′ 𝑃𝑏
𝐸𝐼
( 𝐿 𝑏 𝑥 ) (0 ≤ x ≤
𝐿
)
𝛿 𝑐 𝛿 𝑚𝑎𝑥
𝑃𝑎
𝐸𝐼
( 𝐿 𝑎 )
Ɵ 𝐴 Ɵ 𝐵
𝑃𝑎(𝐿 𝑎)
𝐸𝐼
𝑦
𝑃𝑥
𝐸𝐼
( 𝑎𝐿 𝑎 𝑥 )
𝑦′
𝑃
𝐸𝐼
(𝑎𝐿 𝑎 𝑥 ) (0 ≤ x ≤ 𝑎)
𝑦
𝑃𝑎
𝐸𝐼
( 𝐿𝑥 𝑥 𝑎 )
𝑦′
𝑃𝑎
𝐸𝐼
(𝐿 𝑥) (a ≤ x ≤ L - 𝑎)
36
Gambar 3.22 Balok Kantilever dengan Beban Merata
Diminta: a) Hitung lendutan balok pada titik C sejauh 1 m dari tumpuan jepit
b) Hitung kemiringan garis singgung pada titik C.
c) Hitung lendutan maksimum balok.
d) Hitung kemiringan garis singgung pada titik B.
Penyelesaian
E = 210 GPa = 210000000 kN/m2
I = 5770 in4
= 1,46558 x 10-4
m4
a. Hitung lendutan pada titik c sejauh 1 m dari tumpuan jepit
( )
( ( )( ) )
= -1,74 10-4
m
b. Hitung kemiringan garis singgung pada titik C.
′ ( )
( ( ) ( )( ) )
= 5,94 10-4
radian
37
c. Lendutan maksimum balok
d. Kemiringan garis singgung pada titik B
′ ( )
( ( )( ) )
= -3,91 10-4
m
Contoh 11
Balok kantilever dengan beban terpusat seperti pada Gambarxxx. Besar beban P = 20KN,
berat sendiri balok diabaikan, a = 1m, dan b = 0,5m. Balok terbuat dari batang kayu dengan
ukuran penampang b = 10cm dan h = 12cm dan modulus elastis E = 12 GPa.
Gambar 3.23 Balok Kantilever dengan Beban Terpusat
Diminta: a) Lendutan balok pada titik C sejauh 0,5m dari tumpuan jepit.
b) Lendutan balok pada titik B.
c) Putaran sudut pada titik D sejauh 0,25m dari titik B.
Penyelesaian
12 GPa = 12000 MPa = 12000000 kN/m2
ᶟ = ᶟ = 1,44 10-5
m4
a. Lendutan Balok pada titik C sejauh 0.5 m dari tumpuan jepit
38
( ) ( ≤ ≤ )
( )
0,012 m
b. Lendutan balok pada titik B
( )
( )
= -0,019 m
c. Putaran sudut pada titik D sejauh 1,25 m dari tumpuan
Ɵ
0,09 radian
Contoh 12
Balok di atas dua tumpuan dengan beban terpusat seperti pada Gambarxxx. Besar beban P =
25KN, berat sendiri balok diabaikan, a = 3m, dan b = 2m. Balok terbuat dari profil baja W16x31
dengan momen inersia I = 375 in4
dan modulus elastis E = 210 GPa.
Gambar 3.24 Balok Sederhana dengan Beban Terpusat
Diminta: a) Lendutan balok pada titik C sejauh 2m dari tumpuan sendi.
b) Lendutan maksimum.
39
c) Putaran sudut pada titik B.
Penyelesaian
E = 210000000 kN/m2
I = 375 in4
= 952,5 x 10-8
m4
a. Lendutan balok pada titik C sejauh 2m dari tumpuan sendi
( )
( )
= -0.028 m
b. Lendutan Maksimum
( ) /
( ) /
= 0,031 m
c. Putaran sudut pada titik B
Ɵ
( )
( )
radian
Pembaca diharap memperluas bacaan pada link berikut:
http://web.ipb.ac.id/~lbp/kulon/diktat/4.pdf
RANGKUMAN
1. Tegangan adalah intensitas gaya dalam setiap satu satuan luas.
2. Regangan adalah pertambahan panjang/pendek untuk setiap satu satuan panjang mula-mula.
3. Tegangan normal adalah tegangan yang arahnya tegak lurus pada penampang yang ditinjau.
40
4. Tegangan geser adalah tegangan yang arahnya sejajar dengan penampang yang ditinjau.
5. Modulus elastis adalah perubahan satu unit tegangan terhadap satu unit regangan pada daerah
elastis linier untuk uji Tarik/tekan.
6. Tegangan leleh adalah tegangan dimana material mulai memasuki fase plastis.
7. Tegangan ultimate adalah adalah tegangan maksimum yang mampu ditahan jika material
ditarik/ditekan.
8. Strain hardening adalah adalah keadaan dimana material yang ditarik akan memperoleh
kekuatannya kembali setelah mencapai tegangan leleh.
9. Rumus untuk menghitung tegangan lentur pada balok akibat momen lentur adalah,
( )
10. Rumus untuk menghitung tegangan geser pada balok akibat gaya lintang adalah,
11. Rumus untuk menghitung lendutan balok adalah
( )
.
DAFTAR PUSTAKA
Gere, J.M. 2004. Mechanics of Materials, sixth edition. Thomson Learning, Inc. Australia.
Soemono. 1989. Tegangan 1. Penerbit ITB. Bandung

Modul TKP M2KB3 - Mekanika Bahan

  • 1.
    II-1 DAFTAR ISI DAFTAR ISIIII-i PENDAHULUAN III-i Kegiatan Belajar ke-3: Mekanika Bahan 3.1 Konsep tegangan dan Regangan 3.1.1 Pengertian Tegangan dan regangan III-1 3.1.2 Titik Berat dan Momen Inersia Penampang III-5 3.2 Tegangan Lentur pada Balok 3.2.1 Distribusi Tegangan Lentur III-15 3.2.2 Menghitung Tegangan Lentur III-16 3.3 Tegangan Geser pada Balok 3.3.1 Distribusi Tegangan Geser III-22 2.3.2 Menghitung Tegangan Geser III-23 3.4 Lendutan Balok 3.4.1 Formula Lendutan balok III-28 3.4.2 Menghitung Lendutan Balok III-35 RANGKUMAN III-40 DAFTAR PUSTAKA III-46
  • 2.
  • 3.
    iii PENDAHULUAN Deskripsi Singkat IsiMateri Kegiatan belajar ini mengkaji tegangan, regangan, dan lendutan balok. Tegangan yang dibahas meliputi tegangan normal, tegangan geser langsung, tegangan geser pada balok, dan tegangan lentur pada balok. Tegangan merupakan besaran penting dalam kerekayasaan untuk menentukan apakah suatu elemen struktur memiliki kemampuan menerima beban yang bekerja padanya. Konsep regangan dibahas untuk menghantar pada pemahaman tentang modulus elastis yang sangat penting dalam pembahasan lendutan balok. Selanjutnya lendutan balok digunakan untuk dua hal yaitu menentukan kemampulayanan (service ability) elemen struktur dan sebagai dasar pembahasan Struktur Statis tak Tertentu. Capaian Pembelajaran Mampu menguasai dan menerapkan konsep materi Analisis Struktur meliputi mekanika bahan, elemen struktur, mekanika statis tertentu, dan mekanika statis tak tentu. Sub Capaian Pembelajaran 1. Mampu membedakan tegangan normal dan tegangan geser. 2. Mampu menjelaskan pengertian regangan. 3. Mampu mendeskripsikan grafik hubungan tegangan-regangan: modulus elastis, tegangan leleh, tegangan ultimit, strain hardening. 4. Mampu menentukan titik berat dan momen inersia penampang regular dan penampang gabungan. 5. Mampu mendiskripsikan distribusi tegangan lentur pada penampang balok. 6. Mampu menghitung tegangan lentur pada balok. 7. Mampu mendiskripsikan distribusi tegangan geser pada balok. 8. Mampu menghitung tegangan geser pada balok. 9. Mampu menghitung lendutan balok dan kemiringan garis singgung pada garis elastika.
  • 4.
    4 URAIAN MATERI Kegiatan Belajar3: Mekanika Bahan Mekanika bahan (Mechanics of Materials) adalah bagian dari mekanika teknik yang mempelajari tentang kekuatan dan perubahan bentuk struktur akibat pengaruh luar. Kekuatan suatu material dipresentasikan oleh karakteristik tegangan pada material tersebut, misalnya tegangan leleh dan tegangan ultimate. Perubahan bentuk dipresentasikan oleh regangan yang besarnya ditentukan oleh modulus elastis dan modulus geser. Di bawah ini disajikan bagian dasar dari mekanika bahan yaitu tegangan, regangan, dan lendutan pada balok. 1.1 Konsep Tegangan dan Regangan 1.1.1 Pengertian Tegangan dan Regangan Pegertian gaya dalam telah dibahas pada Kegiatan Belajar ke-2. Pada kegiatan tersebut besarnya gaya dalam dihitung untuk keseluruhan penampang elemen struktur. Itulah sebabnya satuan gaya dalam adalah satuan gaya, misalnya N, yang bekerja pada seluruh luasan elemen struktur. Jika gaya dalam tersebut dihitung intensitasnya untuk setiap satu satuan luas maka diperoleh tegangan yang satuannya adalah satuan gaya dibagi dengan satuan luas, misalnya N/m2 . Jadi dengan kata lain tegangan adalah intensitas gaya dalam setiap satu satuan luas. Gambar 3.1 Tegangan pada Suatu Penampang Gaya dalam pada suatu elemen struktur berarah sebarang mengikuti arah dari gaya luar yang bekerja pada elemen tersebut. Dengan demikian arah tegangan juga sebarang sesuai dengan arah gaya dalam. Meskipun demikian arah tegangan selalu dapat dibagi menjadi dua yaitu tegangan dengan arah tegak lurus penampang yang ditinjau dan tegangan dengan arah sejajar penampang yang ditinjau. Tegangan dengan arah tegak lurus penampang yang ditinjau disebut tegangan normal (normal stress), disimbolkan dengan ζ (baca sigma) dan tegangan dengan arah sejajar
  • 5.
    5 penampang yang ditinjaudisebut tegangan geser (shear stress) disimbolkan dengan η (baca tau) (Gambar 3.1) Contoh sederhana dari tegangan normal adalah tegangan yang terjadi pada kolom pendek yang mendapat beban aksial. Tegangan ini dihitung dengan rumus, dengan P adalah gaya aksial dan A adalah luasan yang menerima gaya aksial tersebut (Gambar 3.2). Gambar 3.2 Kolom Pendek dengan Beban Aksial, (a) Penampang Memanjang, (b) Penampang Melintang Contoh sederhana dari tegangan geser adalah tegangan yang terjadi pada sambungan baut yang menerima geseran atau biasa juga disebut tegangan geser langsung. Tegangan tersebut dihitung dengan rumus, dengan P adalah gaya geser dan A adalah luasan yang menerima geseran (Gambar 3.3). Gambar 3.3 Sambungan dengan Baut Pada suatu elemen yang dikenai gaya luar disamping timbul gaya dalam juga terjadi perubahan bentuk. Misalnya suatu batang yang dikenai gaya tarik akan mngalami perpanjangan. Jika perpanjangan ini dibagi dengan panjang batang mula-mula maka didapat regangan (strain)
  • 6.
    6 disimbolkan dengan ε(baca epsilon). Regangan tidak bersatuan atau dapat juga ditulis satuan pertambahan panjang dibagi satuan panjang mula-mula, missal mm/mm, in/in. Regangan dapat dihubungkan dengan tegangan. Jika tegangan terdapat dua macam maka regangan juga terdapat dua macam yaitu regangan normal berhubungan dengan tegangan normal dan regangan geser berhubungan dengan tegangan geser. Hubungan antara tegangan normal dengan regangan normal dapat dicontohkan dengan sebuah batang tulangan baja yang diuji dengan tarikan. Batang baja mula-mula memiliki panjang Lo dengan luas penampang A. Jika batang tersebut ditarik (misal dengan mesin uji Tarik Universal Testing Machine, UTM) akan didapat pasangan dua data yaitu data beban yang menarik dan data perpanjangan batang yang terjadi. Pasangan dua data tersebut dapat diambil sebanyak mungkin mulai dari pembebanan kecil sampai batang putus. Jika besarnya beban tarik dibagi dengan luas penampang batang akan didapat tegangan normal tarik, dan jika besarnya pertambahan panjang batang dibagi dengan panjang mula-mula akan didapat regangan normal. Dengan demikian dari pengujian tersebut dapat diperoleh pasangan dua data tegangan dan regangan. Jika pasangan tegangan dan regangan tersebut digambarkan pada koordinat kartesius akan diperoleh diagram tegangan dan regangan seperti Gambar 3.4 di bawah ini. Sumber: Gambar diperoleh dari Laboratorium Struktur-Teknik Sipil-UM Gambar 3.4 Diagram Tegangan dan Regangan Terdapat beberapa bagian penting dari diagram tegangan dan regangan di atas. Untuk tegangan yang rendah diagram berbentuk garis lurus. Bagian ini disebut daerah linier. Pada bagian ini berlaku Hukum Hooke yaitu,
  • 7.
    7 Pada Hukum hookedi atas diperkenalkan istilah baru yaitu modulus elastis yang disimbolkan dengan E. Modulus elastis merupakan sifat material yang berhubungan dengan kemampuan untuk berubah bentuk, misalnya memanjang, memendek, melengkung. Suatu material yang memiliki modulus elastis kecil lebih mudah mengalami perpanjangan dibandingkan dengan material yang memiliki modulus elastis besar. Satuan dari modulus elastis sama dengan satuan tegangan. Di atas bagian liner pada diagram tegangan-regangan terdapat bagian yang mendatar. Pada bagian ini material mengalami pelelehan (yielding). Tegangan yang terjadi disebut dengan tegangan leleh (yield stress) disimbolkan dengan ζy. Tegangan ini digunakan pada analisis atau disain struktur beton bertulang maupun struktur baja. Setelah melewati fase leleh, batang baja akan mengalami perkuatan kembali yang ditunjukkan oleh naiknya garis diagram tegangan-regangan. Bagian ini disebut pengerasan regangan (strain hardening) hingga mencapai tegangan puncak yang disebut dengan tegangan batas (ultimate stress), disimbolkan dengan ζu, dan setelah itu batang putus. Bagi pembaca yang ingin memperluas bacaan yang berkaitan dengan materi ini dipersilahkan untuk membaca pada link berikut: https://ocw.upj.ac.id/files/Slide-TSP205-Mek-Bahan-TSP-205-P1-2-3-4.pdf 1.1.2 Titik Berat dan Momen Inersia Penampang Besarnya momen inertia penampang bidang dibutuhkan untuk menghitung tegangan lentur, tegangan geser dan lendutan pada suatu balok. Momen inertia yang dimaksud dihitung terhadap titik berat penampang batang. Untuk itu diperlukan pengetahuan menghitung titik berat penampang sebelum menghitung momen inersia. “Titik berat penampang adalah titik pada penampang tersebut yang berimpit dengan pusat massa jika diandaikan penampang tersebut memiliki distribusi massa yang homogen”. Tabel 1 Titik Berat dan Momen Inersia Penampang Regular Nama Bangun Gambar Letak Titik Berat Momen inersia terhadap titik berat
  • 8.
    8 Persegi Panjang y = Segitiga y = Lingkaran Setengah lingkaran( ) Untuk penampang-penampang regular atau penampang yang bentuknya istimewa seperti persegi panjang, segitiga, lingkaran dan sebagainya letak titik berat dan momen inersia telah disediakan oleh matematika geometri. Beberapa bentuk yang dimaksud seperti Tabel 1. Terdapat balok dengan bentuk penampang yang merupakan gabungan dari penampang- penampang regular. Sebagai contoh penampang berbentuk T merupakan gabungan dari dua penampang persegi, penampang I merupakan gabungan tiga penampang persegi. Penampang- penampang ini diciptakan untuk meningkatkan efisiensi penggunaan bahan.
  • 9.
    9 Penentuan titik beratpenampang gabungan dilakukan dengan terlebih dahulu mengenalkan istilah momen statis penampang. Momen statis penampang ialah hasil perkalian antara luas penampang dengan jarak titik berat penampang tersebut ke garis referensi. Di bawah ini adalah gambar persegi panjang dengan luas A, jarak titik berat penampang ke sumbu x adalah d1, dan jarak titik berat penampang ke sumbu y adalah d2. Gambar 3.5 Momen Statis Penampang Momen statis penampang terhadap sumbu x adalah, Momen statis penampang terhadap sumbu y adalah, Prinsip yang digunakan untuk menentukan titik berat penampang gabungan adalah bahwa, “Momen statis penampang gabungan terhadap garis referensi sama dengan jumlah dari momen statis penampang-penampang penyusunnya terhadap garis referensi yang sama”. Langkah-langkah menentukan titik berat: 1. Buatlah garis referensi yang akan digunakan untuk menentukan titik berat penampang. 2. Bagilah penampang gabungan menjadi penampang-penampang regular yang titik beratnya dapat ditentukan dengan mudah. 3. Hitunglah luas masing-masing penampang tersebut. 4. Tentukan jarak masing-masing titik berat penampang regular ke garis referensi. 5. Hitung momen statis masing-masing penampang terhadap garis referensi. 6. Misalkan koordinat titik berat penampang gabungan dengan (x, y). 7. Hitung (x, y) dengan rumus berikut,
  • 10.
    10 ∑ ∑ ∑ ∑ Di bawah inidiberikan contoh untuk menghitung titik berat penampang gabungan. Bagi pembaca yang ingin memperluas bacaan yang berkaitan dengan materi ini dipersilahkan untuk membaca pada link berikut: http://sugengpb.lecture.ub.ac.id/files/2012/02/Mekanika-Bahan-Bab-1-minggu-2.pdf Contoh 1 Tentukan titik berat penampang berbentuk T seperti Gambar 3.6 di bawah ini. Gambar 3.6 Penampang Berbentuk T Penyelesaian Langkah-langkah menentukan titik berat penampang:
  • 11.
    11 1. Buat garisreferensi yaitu sumbu X dan Sumbu Y yang diletakkan dengan posisi seperti Gambar di bawah ini. 2. Penampang gabungan dibagi menjadi dua penampang regular yaitu penampang I dan penampang II. 3. Selanjutnya, perhitungan luas, jarak ke sumbu-sumbu referensi, dan momen statis dicantumkan dalam Tabel berikut, Penampang Luas xi yi Mx My cm2 cm cm cm3 cm3 I 175 17,5 42,5 7437.5 3062,5 II 200 17,5 20 4000 3500
  • 12.
    12 Jumlah 375 11437.56562,5 4. Titik berat penampang gabungan terhadap sumbu Y adalah, = 17,5 cm 5. Titik berat penampang gabungan terhadap sumbu X adalah, = 30,5 cm Setelah titik berat penampang diperoleh, berikutnya dihitung momen inersia penampang terhadap garis yang melalui titik berat penampang. Untuk penampang regular besarnya momen inersia dapat diperoleh, misalnya dari Tabel 1. Untuk penampang gabungan besarnya momen inersia merupakan gabungan dari momen inersia penampang-penampang penyusunnya. Untuk keperluan tersebut diperkenalkan momen inersia penampang terhadap garis yang tidak melalui titik beratnya. Perhatikan Gambar 3.7 berikut. Gambar 3.7 Momen Inersia terhadap Garis Di Luar Titik Berat Sebuah penampang dengan luas A memiliki titik berat pada sumbu xo dan yo dengan momen inersia yang melalui sumbu tersebut besarnya Ixo dan Iyo. Besarnya momen inersia dari penampang tersebut terhadap sumbu X yang berjarak d1 dari garis xo adalah,
  • 13.
    13 Besarnya momen inersiadari penampang tersebut terhadap sumbu Y yang berjarak d2 dari garis yo adalah, Contoh penggunaan rumus tersebut diberikan dibawah ini. Contoh 2 Diketahui sebuah penampang persegi panjang dengan panjang 30cm dan lebar 20cm (Gambar 3.8). Tentukan momen inersia penampang tersebut terhadap garis X-X yang berjarak 40cm dari titik berat penampang persegi panjang dan momen inersia penampang terhadap garis Y-Y yang berjarak 50cm dati titik berat penampang. Gambar 3.8 Momen Inersia Persegi Panjang terhadap Garis Diluar Titik Berat Penyelesaian Momen inersia persegi panjang yang melalui titik beratnya, Momen inersia persegi panjang terhadap garis X - X,
  • 14.
    14 Momen inersia persegipanjang terhadap garis Y - Y, Berikut diberikan contoh menghitung momen inersia penampang gabungan. Contoh 3 Penampang T pada contoh 1 yang telah ditentukan titik beratnya akan dihitung momen inersianya terhadap garis yang melalui titik beratnya. Gambar 3.9 Penampang Berbentuk T Penyelesaian Penampang gabungan dibagi menjadi dua penampang regular yaitu penampang I dan penampang II. Momen inersia penampang I dan penampang II terhadap garis X-X Penampang I: Penampang II: Jadi momen inersia penampang T terhadap garis X-X,
  • 15.
    15 Momen inersia penampangI dan penampang II terhadap garis Y-Y Penampang I: Penampang II: Catatan: titik berat penampang I dan penampang II berada pada satu garis dengan titik berat penampang gabungan sehingga jarak titik berat penampang I dan penampang II ke titik berat penampang gabungan sama dengan nol. Jadi momen inersia penampang T terhadap garis Y-Y, . Bagi pembaca yang ingin memperluas bacaan yang berkaitan dengan materi ini dipersilahkan untuk membaca pada link berikut: http://sugengpb.lecture.ub.ac.id/files/2012/02/Mekanika-Bahan-Bab-1-minggu-2.pdf 1.2 Tegangan Lentur pada Balok Tegangan lentur pada balok timbul akibat adanya momen lentur. Tegangan ini berarah tegak lurus pada penampang yang ditinjau. Dengan demikian tegangan lentur termasuk tegangan normal. Jika tegangan lentur termasuk tegangan normal, apa bedanya dengan tegangan normal yang berasal dari gaya normal? Tegangan normal yang berasal dari gaya normal terdistribusi merata di seluruh penampang sedangkan tegangan normal yang berasal dari momen lentur berubah secara linier sesuai dengan jaraknya terhadap garis netral. Di bawah ini dibahas secara rinci distribusi yang dimaksud.
  • 16.
    16 1.2.1 Distribusi TeganganLentur Besarnya tegangan lentur pada balok berubah sesuai letaknya pada balok dan sesuai ketinggiannya pada penampang. Letak pada balok ditentukan oleh jarak penampang yang ditinjau terhadap titik referensi, misalnya titik pada tumpuan yang berada di kiri. Letak ini akan menentukan besarnya momen lentur yang terjadi. Dalam rumus tegangan lentur momen lentur dinyatakan dengan M(x). Selanjutnya ketinggian pada penampang ditentukan oleh jarak titik yang ditinjau pada penampang terhadap garis netral, yaitu garis yang melalui titik berat penampang. Dalam rumus tegangan lentur jarak tersebut dinyatakan oleh y. Rumus tegangan yang dimaksud seperti di bawah ini, dengan I adalah momen inersia penampang. ( ) Memperhatikan rumus tegangan lentur di atas dapat dipahami bahwa distribusi tegangan lentur di sepanjang balok mengikuti distribusi momen lentur M(x). Distribusi momen lentur dipresentasikan oleh diagram momen lentur (BMD) seperti yang telah dibahas pada Kegiatan Belajar 2. Selanjutnya distribusi tegangan lentur arah tegak pada suatu penampang tertentu merupakan fungsi linier dari y dengan y positip berarah ke bawah. Jika momen lentur yang bekerja pada penampang balok bertanda positip maka bagian balok di atas garis netral menerima tegangan normal tekan yang dalam perhitungan diperoleh tanda negatip, sedangkan bagian di bawah garis netral menerima tegangan normal tarik yang dalam perhitungan diperoleh tanda negatip. Tegangan lentur terbesar pada suatu penampang ditentukan oleh jarak terbesar dari y. Dengan kata lain tegangan terbesar pada suatu penampang berada pada bagian paling atas dan atau pada bagian paling bawah dari penampang. Jika ditanya dimana tegangan lentur maksimum pada suatu balok? Jawabnya adalah tegangan lentur maksimum berada di tempat yang momen lenturnya maksimum dan pada titik yang paling jauh dari garis netral (Gambar 3.10)
  • 17.
    17 (a) (b) (c) Gambar3.10 Distribusi Tegangan Lentur pada Balok: a) Penampang Memanjang, b) Penampang Melintang, c) Tegangan Lentur 1.2.2 Menghitung Tegangan Lentur Contoh 4 Balok statis tertentu dengan penampang persegi seperti pada Gambar 3.11. Hitung dan gambarkan distribusi tegangan lentur pada penampang yang jaraknya 1m dari tumpuan A. Gambar 3.11 Balok dengan Beban Merata Penyelesaian Dihitung terlebih dahulu besarnya momen lentur pada penampang sejauh 1m dari titik A. Hitungan diawali dengan menentukan reaksi tumpuan pada balok. Cara menghitung reaksi tumpuan telah dipelajari pada Kegiatan Belajar 2. Karena balok simetris maka diperoleh reaksi tumpuan dan momen lentur seperti berikut, = = 60 KN ( ) ( ) = (60 x 1) – ( ) = 45 kN.m = 4500 kN.cm I 𝑥 𝑏 𝑥 ᶟ = 𝑥 𝑥 ᶟ = 1440 cm
  • 18.
    18 Dihitung tegangan lenturpada garis netral atau pada saat y = 0 cm, dan juga dihitung tegangan lentur masing-masing dua titik di atas dan di bawah garis netral. Titik di atas garis netral memiliki nilai y yang bertanda negatip dan sebaliknya. ζ = , y positif kebawah untuk y = 6 cm, ζ = = = 18,75 KN/cm2 y = 3 cm, ζ = = = 9,375 KN/cm2 y = 0 cm, ζ = = = 0 KN/cm2 y = -6 cm ζ = = = -18,75 KN/cm2 . y = -3 cm, ζ = = = -9,375 KN/cm2 . Gambar 3.12 Tegangan Lentur pada Balok Berpenampang Persegi Panjang Contoh 5 Balok statis tertentu seperti pada Gambar di bawah memiliki penampang berbentuk T. Gambarkan distribusi tegangan lentur pada penampang c yang berjarak 2,5 m dari tumpuan A.
  • 19.
    19 Gambar 3.13 Balokdengan Penampang Berbentuk T Penyelesaian = = 20 kN = = 30 kN Momen pada jarak 2,5 m: = 20 x 2.5 = 50 kN m Titik berat penampang X1 = 50 mm ; X2 = 50 mm Y1 = 140 mm ; Y2 = 65 A1 = 2000 mm²; A2 = 2600 mm² = = 50 mm Menghitung momen inersia Ix1 = Io + A. d² 𝑌 𝑌 𝐴 𝑌 𝐴 𝐴 𝐴 = = 97,61 mm
  • 20.
    20 = ᶟ = 66666.66+ (2000 (52,39 – 10) = 151446.67 mm Ix2 = Io + A. d² = ᶟ = 3661666.67 + (2600 (97.61 – 65) = 3746452.67 mm Ixtot = Ix1 + Ix2 = 3897899.34 mm Dihitung tegangan lentur pada garis netral yaitu garis yang melalui titik berat penampang atau garis dengan y = 0. Selanjutnya dihitung tegangan masing-masing dua titik di atas dan di bawah garis netral. Titik di atas garis netral memiliki nilai y negatip dan sebaliknya. ζ = , maka : untuk y = 97,61 mm, ζ = = = 1,25 KN/mm2 y = 32,54 mm, ζ = = ᶟ = 0.63 KN/mm2 y = 0 mm, ζ = = ᶟ = 0 KN/mm2 y = -52.39 mm, ζ = = ᶟ = -0.67 KN/mm2 y = -26.195 mm, ζ = = ᶟ = -0.34 KN/mm2
  • 21.
    21 Gambar 3.14 DistribusiTegangan Lentur pada Balok Berpenampang T Soal 6 Perhatikan Gambar di bawah ini. Gambar 3.15 Balok Penampang Persegi Statis Tertentu Hitung ζmax. Penyelesaian Tegangan lentur maksimum terjadi pada momen lentur maksimum dan pada titik terjauh dari garis netral. = = 33,33 kN = = 16,67 kN Mx = = 33,33 x 1 = 33,33 kNm
  • 22.
    22 Titik berat penampang X1= 10 cm ; X2 = 10 cm Y1 = 17,5 cm ; Y2 = 7,5 cm A1 = 100 cm² ; A2 = 75 cm² ∑ = = 10 cm Ix1 = Io + A. d² = 208,33 + (100 x 4,292) = 2048,74 cm Ix2 = Io + A. d² = 1406,25+ (75 . 5,582 ) = 3741,48 cm Ixtot = Ix1 + Ix2 = 5790,22 cm Tegangan lentur maksimum : ζ = = = 0,076 kN/cm2 1.3 Tegangan Geser pada Balok Tegangan geser pada balok timbul akibat adanya gaya lintang. Tegangan ini sejajar dengan penampang yang ditinjau. Apa beda antara tegangan geser pada balok dengan tegangan geser yang terjadi pada sambungan baut. Tegangan geser pada baut ( ) disebut dengan tegangan geser langsung dan dihitung dengan rumus, 𝑌 ∑ 𝑌𝑖 𝐴𝑖 𝐴𝑖 = 𝑥 = 13,21 cm
  • 23.
    23 dengan P adalahgaya yang menyebabkan timbulnya geseran dan A adalah luasan baut yang tergeser. Tegangan geser pada balok dihitung dengan rumus yang lebih rumit dan disajikan berikut ini. 1.3.1 Distribusi Tegangan Geser Seperti tegangan lentur, besarnya tegangan geser juga dipengaruhi oleh letak penampang yang ditinjau pada balok dan juga dpengaruhi oleh jarak titik dari garis netral pada penampang yang ditinjau. Rumus untuk menentukan tegangan geser balok adalah, Dengan ηx adalah tegangan geser, L adalah gaya lintang, S adalah momen statis, b adalah lebar penampang yang tergeser, dan I adalah momen inersia penampang. (a) (b) (c) Gambar 3.16 Distribusi Tegangan Geser: a) Penampang Memanjang, b) Penampang Melintang, c) Tegangan Geser Distribusi tegangan geser pada arah memanjang balok mengikuti distribusi gaya lintang yang dipresentasikan oleh diagram gaya lintang (SFD). Distribusi tegangan geser pada arah tegak penampang mengikuti distribusi momen statis S yang merupakan fungsi kuadrat dari jarak y yaitu jarak dari titik yang ditinjau tegangannya ke garis netral. Dengan demikian distribusi tegangan geser mengikuti grafik fungsi kuadrat yaitu lengkung parabola dengan nilai nol pada tepi paling atas dan tepi paling bawah dan maksimum pada garis netral (Gambar 3.16). Di bawah ini diberikan contoh distribusi tegangan geser pada balok.
  • 24.
    24 1.3.2 Menghitung TeganganGeser Contoh 7 Dipakai kembali Balok statis tertentu yang telah digunakan pada contoh 4. Hitung dan gambarkan distribusi tegangan geser pada penampang sejauh 1m dari tumpuan A. Gambar 3.17 Balok dengan Beban Merata Penyelesaian Dihitung terlebih dahulu besarnya gaya lintang pada penampang sejauh 1m dari titik A. Hitungan diawali dengan menentukan reaksi tumpuan pada balok. = = 60 KN Gaya lintang pada titik C, = 60 – = 30 KN Besarnya momen statis dihitung seperti di bawah ini. Besarnya momen statis dihitung dengan mengalikan luas bidang dengan jarak titik berat bidang tersebut ke garis netral. Misalnya akan dihitung tegangan geser pada titik sejauh 3cm di atas garis netral maka momen statis sama dengan luas bidang yang diarsir yaitu (10.3) cm dikalikan dengan jarak d = 4,5cm. S = A.d = (10.3).4,5 = 135 cm3 I 𝑏 ᶟ = ᶟ = 1440 cm
  • 25.
    25 Selanjutnya akan dihitungtegangan geser pada garis netral, maka momen statis sama dengan luas bidang yang diarsir yaitu (10.6)cm dikalikan dengan jarak d = 3cm. Berikut ini hasil-hasil perhitungan momen statis digunakan untuk menghitung tegangan geser. η = untuk y = 6 cm, S = 0 cm η = = = 0 kN/cm2 y = 3 cm, S = 135 cm η = = = 0,028 kN/cm2 y = 0 cm, S = 180 cm η = = = 0.0375 kN/cm2 Karena bentuk penampang simetris maka besarnya tegangan geser di atas dan di bawah garis netral adalah sama sehingga dapat digambarkan distribusi tegangan geser seperti pada gambar berikut. S = A .d = (10.6). 3 = 180 cm3
  • 26.
    26 Gambar 3.18 DistribusiTegangan Geser pada Balok Berpenampang Persegi Panjang Contoh 8 Balok berpenampang I di atas dua tumpuan sendi dan rol seperti Gambar 3.19. Gambarkan distribusi tegangan geser pada penampang sejauh 1m dari tumpuan sendi. Gambar 3.19 Balok berpenampang I Penyelesaian = = 60 KN = 60 – = 30 KN Titik berat penampang X1 = 50 mm ; X2 = 50 mm ; X3 = 50 mm Y1 = 145 mm ; Y2 = 75 mm ; Y3 = 5 mm A1 = 1000 mm² ; A2 = 1300 mm² ; A3 = 1000 mm2 = = 50 mm 𝑌 𝑌 𝐴 𝑌 𝐴 𝑌 𝐴 𝐴 𝐴 𝐴 = = 75 mm
  • 27.
    27 Menghitung momen inersia Ix1= Io + A. d² = ᶟ = 8333,33 + (1000 (75-5) = 78333,33 mm Ix2 = Io + A. d² = ᶟ = 1830833,33+ (1300. (0) = 1830833,33 mm Ixtot = 2. Ix1 + Ix2 = 1987499,99 mm Selanjutnya dihitung tegangan geser dengan rumus berikut, η = Untuk menggambar distribusi tegangan, dilakukan perhitungan tegangan geser pada beberapa titik di penampang, semakin banyak titiknya semakin baik gambarnya. Titik-titik tersebut ditetapkan dengan cara menentukan jarak vertikalnya, yaitu y, terhadap titik berat penampang. Pada sayap
  • 28.
    28 Untuk y =75mm, S = 0, η = = = 0 kN/mm2 y = 70 mm, S = 72500 mm3 , η = = = 0.0109 kN/cm2 y = 65 mm, S = 70000 mm3 , η = = = 0.011 kN/cm2 Catatan: Tegangan geser pada titik peralihan antara sayap dengan badan dihitung dua kali. Hitungan pertama dengan menggunakan b sama dengan lebar sayap dan hitungan kedua dengan menggunakan b sama dengan lebar badan. Besarnya momen statis S sama untuk kedua hitungan tersebut. Pada badan Gambar jarak-jarak y Untuk y = 65 mm, S = 70000 mm3 , η = = = 0.1057 kN/cm2 y = 25 mm, S = 88.004 mm3 , η = = = 0.1328 kN/cm2 y = 0 mm , S = 91.129 mm3 , η = = = 0.1376 kN/cm2 Karena penampang simetris maka cukup dihitung distribusi tegangan geser di atas titik berat penampang dan distribusi tegangan geser di bawah penampang sama dengan distribusi tegangan di atas penampang.
  • 29.
    29 Gambar 3.20 DistribusiTegangan Geser pada Penampang I Pembaca dipersilahkan memperluas bacaannya pada link berikut: https://ocw.upj.ac.id/files/Slide-TSP205-Mek-Bahan-TSP-205-P9-10-11.pdf 1.4 Lendutan Balok 1.4.1 Formula Lendutan Balok Rumus lendutan balok berbentuk persamaan diferensial biasa orde dua dengan variabel bebas y dan variabel terikat x seperti persamaan di bawah ini. Variabel bebas y menunjukkan besarnya lendutan balok dalam satuan panjang, variabel x menunjukkan tempat pada balok yang diukur dari titik referensi dalam satuan panjang, M(x) adalah besarnya momen lentur pada jarak x dari titik referensi, sedangkan E dan I masing-masing modulus elastis dan momen inersia. ( ) Jika persamaan diferensial di atas diintegral satu kali maka diperoleh persamaan diferensial orde satu karena di dalamnya terdapat turunan kesatu dari y terhadap x. Turunan ini memiliki arti geometris sebagai gradient garis singgung atau putaran sudut yang memiliki satuan radian. Jika turunan kesatu ini diintegral sekali lagi akan diperoleh y = f(x) yang merupakan persamaan garis lendutan balok atau disebut dengan garis elastika. Dibawah ini diberikan contoh penyelesaian persamaan diferensial lendutan balok. Contoh 9
  • 30.
    30 Diberikan contoh penerapanpersamaan diferensial lendutan balok untuk menentukan lendutan balok statis tertentu sepanjang L dengan beban merata sebesar q seperti gambar di bawah ini. Material balok memiliki modulus elestis E dan penampang memiliki momen inersia I. Gambar 3.21 Balok dengan Beban Merata Penyelesaian Untuk menyelesaikan persamaan diferensial lendutan balok dibutuhkan formula momen lentur yang terjadi pada balok. Menentukan momen lentur pada balok telah dipelajari pada Kegiatan Belajar ke-2, dan para pembaca diharap mempelajari kembali sub bab tersebut. Untuk soal ini diperoleh momen lentur seperti di bawah ini. ( ) Persamaan diferensial lendutan balok yang akan diselesaikan adalah, ( ) atau bisa diubah menjadi ( ) Substitusikan formula momen lentur yang telah diperoleh kedalam persamaan diferensial, Lakukan pengintegralan ruas kiri dan ruas kanan, ∫ ∫( ) , dengan C1 adalah konstanta integrasi. Arti geometris dari adalah gradien garis singggung pada kurva y = f(x). Untuk itu besarnya C1 ditentukan oleh sifat gradien garis singgung pada struktur yang sedang dievaluasi. Mengingat balok yang sedang dievaluasi memiliki sifat simetris baik bentuk maupun pembebanannya maka lendutan maksimum akan terjadi di tengah bentang. Pada lendutan maksimum, garis singgung
  • 31.
    31 pada kurva lendutanbalok berarah mendatar dan garis mendatar memiliki gradien sama dengan nol. Atau dengan kata lain, pada tengah bentang atau pada saat diperoleh sehingga, ( ) ( ) Para pembaca diminta untuk menyelesaikan persamaan di atas, dan pastikan akan diperoleh, Sehingga diperoleh persamaan gradien garis singgung, atau ( ) Persamaan ini dapat digunakan untuk mencari kemiringan garis singgung pada garis elastika di sepanjang balok. Garis elastika adalah garis yang menggambarkan sumbu balok setelah melentur. Untuk x = 0, diperoleh . Ini adalah kemiringan garis singgung di titik A atau sering disebut perputaran sudut di titik A yaitu, dalam satuan radian. Untuk x = L, diperoleh . Ini adalah kemiringan garis singgung di titik B atau sering disebut perputaran sudut di titik B yaitu, dalam satuan radian. Untuk memperoleh besarnya lendutan pada balok maka dilakukan pengintegralan sekali lagi pada persamaan kemiringan garis singgung yaitu,
  • 32.
    32 ∫ ∫( ) Iniadalah persamaan untuk menghitung besarnya lendutan balok disetiap titik di sepanjang balok. Untuk itu besarnya konstanta C2 dapat dievaluasi dengan menerapkan lendutan balok pada titik-titik yang besarnya telah diketahui misalnya pada titik-titk tumpuan besarnya lendutan sama dengan nol. Untuk x = 0, yaitu tepat di atas tumpuan sendi diperoleh y = 0 karena pada tumpuan tidak bisa terjadi lendutan pada balok sehingga diperoleh, atau diperoleh C2 = 0. Diperoleh, atau ( ) Ini adalah persamaan untuk menghitung besarnya lendutan balok disetiap titik di sepanjang balok. Lendutan maksimum terjadi di tengah bentang atau pada saat . Para pembaca diminta untuk mensubstitusikan harga ini ke persamaan lendutan balok dan pastikan akan diperoleh nilai y yang tidak lain adalah lendutan maksimum sebesar, . Cara untuk menentukan kemiringan garis singgung dan lendutan balok dengan berbagai macam pembebanan adalah seperti yang telah diuraikan di atas. Cara ini menuntut kemampuan pembaca untuk menyelesaikan persamaan diferensial. Untuk kepentingan praktis di bawah ini diberikan tabel rumus fungsi lendutan balok, fungsi kemiringan garis singgung dan lendutan maksimum pada balok. Cara menggunakan rumus pada Tabel 2 akan dibahas pada bagian berikutnya. Tabel 2 Kemiringan Sudut dan Lendutan Balok A. BALOK KANTILEVER
  • 33.
    33 y = defleksipada arah y (positif keatas) y’ = dy/dx (kemiringan kurva defleksi δB = -y(L) = Defleksi pada ujung balok B ƟB = rotasi sudut pada ujung balok B EI = konstan 𝑦 𝑞𝑥 𝐸𝐼 ( 𝐿 𝐿𝑥 𝑥 ) 𝑦′ 𝑞𝑥 𝐸𝐼 ( 𝐿 𝐿𝑥 𝑥 ) 𝛿 𝐵 𝑞𝐿 𝐸𝐼 Ɵ 𝐵 𝑞𝐿ᶟ 𝐸𝐼 𝑦 𝑃𝑥 𝐸𝐼 ( 𝐿 𝑥) 𝑦′ 𝑃𝑥 𝐸𝐼 ( 𝐿 𝑥) 𝛿 𝐵 𝑃𝐿ᶟ 𝐸𝐼 Ɵ 𝐵 𝑃𝐿 𝐸𝐼 𝑦 𝑞𝑎 𝐸𝐼 ( 𝑥 𝑎) 𝑦′ 𝑞𝑎 𝐸𝐼 𝐴𝑡 𝑥 𝑎 ∶ 𝑦 𝑞𝑎 𝐸𝐼 𝑦′ 𝑞𝑎 𝐸𝐼 𝑦 𝑞𝑥 𝐸𝐼 ( 𝑎 𝑎𝑥 𝑥 ) (0 ≤ x ≤ a ) 𝑦′ 𝑞𝑥 𝐸𝐼 ( 𝑎 𝑎𝑥 𝑥 ) (0 ≤ x ≤ a ) 𝛿 𝐵 𝑞𝑎 𝐸𝐼 ( 𝐿 𝑎) Ɵ 𝐵 𝑞𝑎 𝐸𝐼 𝑦 𝑞𝑎 𝐸𝐼 ( 𝑥 𝑎) 𝑦′ 𝑞𝑎 𝐸𝐼 𝐴𝑡 𝑥 𝑎 ∶ 𝑦 𝑃𝑎 𝐸𝐼 𝑦′ 𝑃𝑎 𝐸𝐼 𝑦 𝑃𝑥 𝐸𝐼 ( 𝑎 𝑥) 𝑦′ 𝑃𝑥 𝐸𝐼 ( 𝑎 𝑥) (0 ≤ x ≤ a ) 𝑦 𝑃𝑎 𝐸𝐼 ( 𝑥 𝑎) 𝑦′ 𝑃𝑎 𝐸𝐼 (0 ≤ x ≤ L ) 𝛿 𝐵 𝑃𝑎 𝐸𝐼 ( 𝐿 𝑎) Ɵ 𝐵 𝑃𝑎 𝐸𝐼
  • 34.
    34 B. BALOK DIATAS TUMPUAN SENDI DAN ROL y = defleksi pada arah y (positif keatas) y’ = dy/dx (kemiringan kurva defleksi δc = -y(L/2) = Defleksi pada titik tengah C balok X1= Jarak dari A ke titik maksimum δmax = -ymax = maksimum defleksi (positif ketas) ƟA = -y’(0) = rotasi sudut pada ujung kiri balok (Positif searah jarum jam) ƟB = y’(L) = rotasi sudut pada ujung kiri balok (positif berlawanan arah jarum jam) 𝑦′ 𝑞 𝐸𝐼 (𝐿 𝐿𝑥 𝑥 ) 𝛿 𝑐 𝛿 𝑚𝑎𝑥 𝑞𝐿 𝐸𝐼 ( 𝐿 𝑎) Ɵ 𝐴 Ɵ 𝐵 𝑞𝐿 𝐸𝐼 𝑦 𝑞𝑥 𝐸𝐼 (𝐿 𝐿𝑥 𝑥 ) 𝑦 𝑞𝑥 𝐸𝐼 (𝑎 𝑎 𝐿 𝑎 𝐿 𝑎 𝑥 𝑎𝐿𝑥 𝐿𝑥 ) 𝑦′ 𝑞 𝐸𝐼 (𝑎 𝑎 𝐿 𝑎 𝐿 𝑎 𝑥 𝑎𝐿𝑥 𝐿𝑥 ) 𝑦 𝑞𝑎 𝐸𝐼 ( 𝑎 𝐿 𝐿 𝑥 𝑎 𝑥 𝐿𝑥 𝑥 ) 𝑦′ 𝑞𝑎 𝐸𝐼 ( 𝐿 𝑎 𝐿𝑥 𝑥 (a ≤ x ≤ L) Ɵ 𝐴 𝑞𝑎 𝐸𝐼 ( 𝐿 𝑎) Ɵ 𝐵 𝑞𝑎 𝐸𝐼 ( 𝐿 𝑎 ) 𝑦 𝑃𝑥 𝐸𝐼 ( 𝐿 𝑥 ) 𝑦′ 𝑃𝑥 𝐸𝐼 (𝐿 𝑥 ) (0 ≤ x ≤ 𝐿 ) 𝛿 𝑐 𝛿 𝑚𝑎𝑥 𝑃𝐿 𝐸𝐼 Ɵ 𝐴 Ɵ 𝐵 𝑃𝐿 𝐸𝐼
  • 35.
    35 Tabel putaran sudutlengkap dapat diperoleh di link: http://fulan112.blogspot.com/2016/02/tabel- perputaran-sudut.html Tabel lendutan dan putaran sudut silahkan dibaca di link: https://ocw.upj.ac.id/files/Slide-TSP202- AnalisisStruktur-TSP-202-P7.pdf 1.4.2 Menghitung Lendutan Balok Contoh 10 Balok kantilever dengan beban merata seperti pada Gambarxxx. Besar beban q = 15KN/m’ termasuk berat sendiri balok dan bentang balok L = 1,5m. Balok terbuat dari batang baja W30x132 dengan momen inersia I = 5770 in4 dan modulus elastis E = 210 GPa. 𝑦 𝑃𝑏𝑥 𝐿𝐸𝐼 (𝐿 𝑏 𝑥 ) Ɵ 𝐴 𝑃𝑎𝑏(𝐿 𝑏) 𝐿𝐸𝐼 Ɵ 𝐵 𝑃𝑎𝑏(𝐿 𝑎) 𝐿𝐸𝐼 𝐼𝑓 𝑎 ≥ 𝑏 𝛿 𝑐 𝑃𝑏( 𝐿 𝑏 ) 𝐸𝐼 𝐼𝑓 𝑎 ≤ 𝑏 𝛿 𝑐 𝑃𝑎( 𝐿 𝑎 ) 𝐸𝐼 𝐼𝑓 𝑎 ≥ 𝑏 𝑥 𝐿 𝑏 ; 𝛿 𝑚𝑎𝑥 𝑃𝑏( 𝐿 𝑏 ) / 𝐿𝐸𝐼 𝑦′ 𝑃𝑏 𝐸𝐼 ( 𝐿 𝑏 𝑥 ) (0 ≤ x ≤ 𝐿 ) 𝛿 𝑐 𝛿 𝑚𝑎𝑥 𝑃𝑎 𝐸𝐼 ( 𝐿 𝑎 ) Ɵ 𝐴 Ɵ 𝐵 𝑃𝑎(𝐿 𝑎) 𝐸𝐼 𝑦 𝑃𝑥 𝐸𝐼 ( 𝑎𝐿 𝑎 𝑥 ) 𝑦′ 𝑃 𝐸𝐼 (𝑎𝐿 𝑎 𝑥 ) (0 ≤ x ≤ 𝑎) 𝑦 𝑃𝑎 𝐸𝐼 ( 𝐿𝑥 𝑥 𝑎 ) 𝑦′ 𝑃𝑎 𝐸𝐼 (𝐿 𝑥) (a ≤ x ≤ L - 𝑎)
  • 36.
    36 Gambar 3.22 BalokKantilever dengan Beban Merata Diminta: a) Hitung lendutan balok pada titik C sejauh 1 m dari tumpuan jepit b) Hitung kemiringan garis singgung pada titik C. c) Hitung lendutan maksimum balok. d) Hitung kemiringan garis singgung pada titik B. Penyelesaian E = 210 GPa = 210000000 kN/m2 I = 5770 in4 = 1,46558 x 10-4 m4 a. Hitung lendutan pada titik c sejauh 1 m dari tumpuan jepit ( ) ( ( )( ) ) = -1,74 10-4 m b. Hitung kemiringan garis singgung pada titik C. ′ ( ) ( ( ) ( )( ) ) = 5,94 10-4 radian
  • 37.
    37 c. Lendutan maksimumbalok d. Kemiringan garis singgung pada titik B ′ ( ) ( ( )( ) ) = -3,91 10-4 m Contoh 11 Balok kantilever dengan beban terpusat seperti pada Gambarxxx. Besar beban P = 20KN, berat sendiri balok diabaikan, a = 1m, dan b = 0,5m. Balok terbuat dari batang kayu dengan ukuran penampang b = 10cm dan h = 12cm dan modulus elastis E = 12 GPa. Gambar 3.23 Balok Kantilever dengan Beban Terpusat Diminta: a) Lendutan balok pada titik C sejauh 0,5m dari tumpuan jepit. b) Lendutan balok pada titik B. c) Putaran sudut pada titik D sejauh 0,25m dari titik B. Penyelesaian 12 GPa = 12000 MPa = 12000000 kN/m2 ᶟ = ᶟ = 1,44 10-5 m4 a. Lendutan Balok pada titik C sejauh 0.5 m dari tumpuan jepit
  • 38.
    38 ( ) (≤ ≤ ) ( ) 0,012 m b. Lendutan balok pada titik B ( ) ( ) = -0,019 m c. Putaran sudut pada titik D sejauh 1,25 m dari tumpuan Ɵ 0,09 radian Contoh 12 Balok di atas dua tumpuan dengan beban terpusat seperti pada Gambarxxx. Besar beban P = 25KN, berat sendiri balok diabaikan, a = 3m, dan b = 2m. Balok terbuat dari profil baja W16x31 dengan momen inersia I = 375 in4 dan modulus elastis E = 210 GPa. Gambar 3.24 Balok Sederhana dengan Beban Terpusat Diminta: a) Lendutan balok pada titik C sejauh 2m dari tumpuan sendi. b) Lendutan maksimum.
  • 39.
    39 c) Putaran sudutpada titik B. Penyelesaian E = 210000000 kN/m2 I = 375 in4 = 952,5 x 10-8 m4 a. Lendutan balok pada titik C sejauh 2m dari tumpuan sendi ( ) ( ) = -0.028 m b. Lendutan Maksimum ( ) / ( ) / = 0,031 m c. Putaran sudut pada titik B Ɵ ( ) ( ) radian Pembaca diharap memperluas bacaan pada link berikut: http://web.ipb.ac.id/~lbp/kulon/diktat/4.pdf RANGKUMAN 1. Tegangan adalah intensitas gaya dalam setiap satu satuan luas. 2. Regangan adalah pertambahan panjang/pendek untuk setiap satu satuan panjang mula-mula. 3. Tegangan normal adalah tegangan yang arahnya tegak lurus pada penampang yang ditinjau.
  • 40.
    40 4. Tegangan geseradalah tegangan yang arahnya sejajar dengan penampang yang ditinjau. 5. Modulus elastis adalah perubahan satu unit tegangan terhadap satu unit regangan pada daerah elastis linier untuk uji Tarik/tekan. 6. Tegangan leleh adalah tegangan dimana material mulai memasuki fase plastis. 7. Tegangan ultimate adalah adalah tegangan maksimum yang mampu ditahan jika material ditarik/ditekan. 8. Strain hardening adalah adalah keadaan dimana material yang ditarik akan memperoleh kekuatannya kembali setelah mencapai tegangan leleh. 9. Rumus untuk menghitung tegangan lentur pada balok akibat momen lentur adalah, ( ) 10. Rumus untuk menghitung tegangan geser pada balok akibat gaya lintang adalah, 11. Rumus untuk menghitung lendutan balok adalah ( ) . DAFTAR PUSTAKA Gere, J.M. 2004. Mechanics of Materials, sixth edition. Thomson Learning, Inc. Australia. Soemono. 1989. Tegangan 1. Penerbit ITB. Bandung